Influence of shaking intensity attenuation peculiarities on reliability of earthquake loss estimation in emergency mode
- Authors: Frolova N.I.1, Gabsatarova I.P.2, Petrova N.V.2, Ugarov A.N.3, Malaeva N.S.1
-
Affiliations:
- Sergeev Institute of Environmental Geoscience, Russian Academy of Sciences
- Geophysical Survey, Russian Academy of Sciences
- Extreme Situations Research Centre
- Issue: No 5 (2019)
- Pages: 23-37
- Section: NATURAL AND TECHNONATURAL PROCESSES
- URL: https://journals.eco-vector.com/0869-7809/article/view/16165
- DOI: https://doi.org/10.31857/S0869-78092019523-37
- ID: 16165
Cite item
Full Text
Abstract
The methods and results of seismic hazard zoning are investigated for the Russian Federation territory and abroad. The input data used in the zoning procedure, aimed at revealing the boundaries of areas with stable seismic intensity attenuation parameters have been analyzed. The zoning procedure has been developed for determining the boundaries of territories, within which the macroseismic field parameters (i.e., the coefficients in N.V. Shebalin’s equation; the orientation of the elliptic isoseist axes, as well as the ratio of their semi-axes) show close values in each point. Examples are given in distinguishing zones characterized by quasi-stable parameters for separate regions, as well as in calibrating the computer model of the macroseismic field. The case studies are considered in the presence of a complete set of input data and under conditions of their insufficiency. The efficiency of the macroseismic field calibrated models application in the Extremum system in order to increase the reliability of near real time earthquake loss estimations is shown.
Full Text
ВВЕДЕНИЕ
Оперативная оценка ожидаемых потерь от произошедшего землетрясения, выполняемая с применением автоматизированных информационных систем (ИС), позволяет принимать быстрое и эффективное решение о проведении поисково-спасательных работ, эффективность которых зависит от точности и надежности прогноза параметров обстановки в зоне чрезвычайной ситуации (ЧС).
Анализ большого числа обработанных с использованием ИС данных в оперативном и ретроспективном режимах позволил установить факт зависимости точности и надежности оценок параметров обстановки в зоне ЧС, обусловленной сильным землетрясением, от значительного числа факторов [14-16, 20].
Факторы удобно разделить на три большие группы [21]:
- “очаг” – группа, включающая возможные ошибки координат эпицентра, глубины, магнитуды, описания механизма очага, в том числе ориентацию разрыва в очаге;
- “поле” – группа, включающая неточности в описании анизотропии макросейсмического поля, проявляющиеся в некорректном учете изменчивости затухания интенсивности вдоль и вкрест горных структур, а также протяженных очагов;
- “уязвимость” – группа, характеризующая погрешности ее математического описания для элементов риска (зданий и сооружений, населения).
Цель работ, результаты которых представлены в данной статье, – уменьшение степени влияния групп факторов на прогноз потерь, повышение его точности и надежности – может быть достигнута в процессе калибровки математических моделей ИС применительно к зонам, отличающихся своими свойствами.
Зонирование территории – один из важнейших этапов процесса калибровки моделей. Собственно калибровка математических моделей, реализованных в ИС, − итерационный процесс определения границ зон, которым ставится в соответствие набор усредненных параметров, обеспечивающих заданную точность и надежность оценки обстановки в районе, пострадавшем от землетрясения [13-15, 20].
Не принижая значения групп факторов “очаг” и “уязвимость”, в настоящей статье основное внимание уделяется исследованию параметров группы факторов “поле”.
Учет региональных особенностей затухания сейсмической интенсивности при оперативной оценке потерь рассматривался ранее в публикациях [13, 15, 16]. На ряде примеров для отдельных землетрясений мира, стран СНГ и России показано, что калибровка моделей дает значительный эффект повышения точности и надежности результата при оперативной оценке потерь от землетрясений. Принимая данный факт во внимание, различные исследователи стремятся организовать международное сотрудничество для сбора и обобщения калибровочной информации, в качестве которой особую ценность представляют результаты полевых обследований районов сильных землетрясений, в том числе макросейсмическая информация.
В последнее время активизируется процесс организации баз данных (БД), содержащих такую информацию. Опубликован ряд атласов изосейст с описанием сильных и ощутимых землетрясений, содержащих макросейсмическую информацию за период с древнейших времен до начала 2000-х годов [6, 19]. Созданы БД, содержащие результаты макросейсмических наблюдений, например, электронная база макросейсмической информации “GeoInt” для республики Грузии [24]. Был подготовлен Итальянский параметрический каталог землетрясений [22], включающий макросейсмические данные, актуализируемые в настоящее время в рамках соглашения INGV‐DPC 2012‐2021.
В ФИЦ ЕГС РАН в рамках подготовки ежегодников “Землетрясения России” и “Землетрясения Северной Евразии” на регулярной основе осуществляются сбор и обработка материалов обследования последствий землетрясений России и стран СНГ, которые в настоящее время составляют основную долю макросейсмической информации в БД “Сильные и ощутимые землетрясения России и сопредельных стран” (БД СиОЗР). В ней содержится несколько каталогов, формируемых из разных источников, что позволяет для выбранного землетрясения иметь различные, иногда альтернативные, требующие уточнения наборы основных параметров. В БД СиОЗР включены таблицы макросейсмических проявлений ощутимых землетрясений в населенных пунктах, растровые и цифровые карты изосейст, библиографические ссылки и публикации. В настоящее время в ней содержится полный комплект макросейсмических данных из ежегодников “Землетрясения Северной Евразии” за 1992-2012 гг., а также данные о проявлениях отдельных землетрясений за разные годы из других источников.
Накопленный материал позволил перейти к обобщению информации c целью выделения зон с “квазиустойчивыми” параметрами макросейсмического поля, к которым следует отнести:
- коэффициенты уравнения макросейсмического поля;
- отношение большой b и малой a осей эллиптических изосейст высших баллов (коэффициент сжатия k);
- угол, задающий ориентацию макросейсмического поля, в частности азимут большой оси эллипса вытянутости изосейст.
Несмотря на выполненный объем работ, актуальность исследований в области повышения точности и надежности моделей ИС сохраняется. Значительный прогресс в накоплении и анализе данных макросейсмических наблюдений не позволяет “поставить точку” в исследованиях, так как для многих регионов ощущается недостаток информации для адекватного моделирования затухания интенсивности I. Пользователи ИС часто допускают грубые ошибки при оперативных оценках потерь, что обусловлено использованием общих, осредненных для больших территорий коэффициентов уравнения макросейсмического поля.
Для исключения грубых ошибок в оперативной оценке потерь целесообразно представить калибровку моделей ИС как итерационный процесс, позволяющий на каждом шаге, обусловленном заметным сейсмическим событием и прогнозом его последствий, вносить изменения в калибровочные коэффициенты моделей и изменять границы квазиустойчивых зон.
ИСХОДНЫЕ ДАННЫЕ ДЛЯ ПОСТРОЕНИЯ ЗОН С КВАЗИСТАБИЛЬНЫМИ ПАРАМЕТРАМИ ПОЛЯ
Базовая информационная основа для настоящего исследования − материалы, полученные при подготовке и составлении карт сейсмического районирования территории СССР и Российской Федерации [10-12, 17, 18]; параметры макросейсмического поля, азимуты простирания очагов сильнейших землетрясений из Унифицированного (УКЗ) и Специализированного (СКЗ) каталогов землетрясений Северной Евразии [11] и карты зон ВОЗ в виде линеаментов и доменов [12], а также опубликованные результаты исследования уравнений макросейсмического поля в отдельных регионах.
Для большинства регионов бывшего СССР в [17, 18] были предложены коэффициенты уравнения макросейсмического поля Н.В. Шебалина (табл. 1, рис. 1), установленные на основе анализа макросейсмических данных наиболее надежных опорных землетрясений:
, (1)
где r – гипоцентральное расстояние, определяемое по формуле: , Δ – эпицентральное расстояние, км; h – глубина очага, км; М – магнитуда землетрясения;
b, c, ν − региональные коэффициенты уравнения макросейсмического поля.
Рис. 1. Границы регионов бывшего СССР, для которых определены коэффициенты уравнения макросейсмического поля Н.В.Шебалина [18], табл. 1.
Таблица 1. Коэффициенты уравнения макросейсмического поля для регионов бывшего СССР [17, 18]
Регион | b | ν | с | |
I | Карпаты | 1.5 | 3.5 | 3.0 |
IIа | Крым и Нижняя Кубань | 1.5 | 3.5 | 3.0 |
IIб | Кавказ | |||
Северный Кавказ | 1.6 | 3.1 | 2.2 | |
Дагестан | 1.5 | 3.6 | 3.1 | |
Закавказье | 1.4 | 3.5 | 4.2 | |
Азербайджан | 1.4 | 3.5 | 3.5 | |
IIв | Туркмения | 1.5 | 3.8 | 3.5 |
III | Средняя Азия и Казахстан | 1.5 | 3.5 | 3.0 |
IV | Алтай и Саяны | 1.5 | 3.5 | 3.0 |
V | Прибайкалье | 1.5 | 4.0 | 4.0 |
VI | Якутия и Северо-Восток | 1.5 | 3.5 | 3.0 |
VII | Приморье и Приамурье | 1.5 | 3.5 | 3.0 |
VIII | Сахалин | 1.6 | 4.3 | 3.3 |
IX | Курилы | 1.5 | 4.5 | 4.5 |
X | Камчатка | 1.5 | ν0=2.63 ρ=0.0087 | 2.5 |
X | Чукотка | 1.5 | 3.5 | 3.0 |
XII | Арктический бассейн | - | - | - |
XIIL | Балтийский щит | 1.5 | 3.5 | 3.0 |
XIV | Европейская часть СССР, Урал и Западная Сибирь | 1.5 | 3.5 | 3.0 |
Для Камчатки из-за ощутимости землетрясений на больших расстояниях в [17] была принята формула типа Ковеслигети, учитывающая поглощение:
I = 1.5M – 2.63 lg r – 0.0087r + 2.5. (2)
По мере накопления макросейсмических данных об ощутимых землетрясениях значения коэффициентов b, ν, c в ф. (1) уточнялись для отдельных сейсмоактивных регионов России и других стран. При этом в каждом регионе либо проверялась применимость их средних значений b=1.5; ν=3.5; с=3.0, либо проводилось специальное исследование с целью определения их региональных значений. Зачастую данные разных авторов были противоречивыми. Поэтому одной из задач данного исследования являлась проверка актуальности установленных ранее значений региональных коэффициентов уравнения макросейсмического поля по материалам, содержащимся в БД СиОЗР.
Проверка и уточнение коэффициентов уравнения макросейсмического поля
На основании имеющихся в БД СиОЗР данных обследований сильных землетрясений за период 1992-2012 гг. проведен расчет коэффициентов макросейсмического поля для различных регионов бывшего СССР. Для каждого землетрясения с использованием разработанных ранее подходов [10, 17, 18] строились кривые затухания интенсивности сотрясений в населенных пунктах и подбирались коэффициенты в ф. (1), наилучшим образом удовлетворяющие эмпирическим данным.
Обобщение полученных данных иллюстрируется на примере районов Кавказа (рис. 2, табл. 2). По Кавказу собраны сведения об ощутимости в 1850 населенных пунктах 32 сильных землетрясений (I0≥6-7 баллов по шкале MSK-64) за 1966-2012 гг., построены графики затухания, рассчитаны индивидуальные для каждого землетрясения и средние для районов (см. рис. 2) параметры уравнения (1). Наиболее уверенные результаты получены для Дагестанской зоны (см. табл. 2).
Рис. 2. Положение эпицентров землетрясений в рамках регионов IIa (Крым и Нижняя Кубань) и IIб (Кавказ, с подразделением на районы Северного Кавказа, Большого Кавказа, Дагестана, Закавказья и Азербайджана). На белом фоне в рамках показаны уравнения Шебалина из [18], кружками показаны землетрясения и полученные для них коэффициенты затухания ν.
Таблица 2. Параметры уравнения макросейсмического поля для Дагестана по отдельным землетрясениям и их средние значения
Землетрясение | b | ν | с |
Аргунское, 02.03.1966, Мs=4.9, I0=7 | 1.5 | 3.38 | 3.58 |
Дагестанское. 14.05.1970, Мs=6.6, I0=9 | 1.5 | 3.76 | 2.88 |
Бежтинское, 4.08.1974, Ms=5.0, I0=7 | 1.5 | 3.17 | 2.88 |
Килятлинское, 13.11.1974, Мs=4.7, I0=7 | 1.5 | 3.40 | 2.80 |
Курчалойское, 11.10.2008, Мs=5.6, I0=7-8 | 1.5 | 3.60 | 3.1 |
Кизилюртовское, 31.01.1999, Мs=5.5, I0=7 | 1.5 | 3.74 | 3.78 |
Черногорское, 28.07.1976, Мs=6.2, I0=8-9 | 1.5 | 3.31 | 2.10 |
Тлохское, 15.02.1992, Мs=4.7, I0=7 | 1.5 | 4.58 | 4.16 |
Среднее значение | 1.5 | 3.62 | 3.16 |
Стандартное отклонение | ±٠.٢٤ | ±٠.٣٦ | |
Уравнение Шебалина для Дагестана (см. табл. ١) | 1.5 | 3.6 | 3.1 |
Осредненные данные о затухании сейсмической интенсивности при 8 современных землетрясениях подтверждают коэффициенты уравнения макросейсмического поля для Дагестана, предложенные в [18] (см. табл. 2).
Полученные значения коэффициентов уравнения макросейсмического поля для всех исследованных зон суммированы в табл. 3.
Таблица 3. Коэффициенты уравнения макросейсмического поля, полученные авторами
Регион | Уравнения макросейсмического поля (1) и (2) с региональными коэффициентами по [18] | Новые осредненные коэффициенты в уравнении (1) | Число исследованных землетрясений | ||
b | ν | c | |||
Байкал | I=1.5M − 4 lgr + 4 | 1.5 | 3.44 (±0.16) | 3.13(±0.6) | 9 |
Алтай и Саяны | I=1.5M −3.5lgr+3 | 1.5 | 3.73 (±0.19) | 3.69(±0.63) | 5 |
Туркменистан | I=1.5M −3.8lgr+3.5 | 1.5 | 3.72 (±0.25) | 2.87(±0.63) | 5 |
Центральная Азия и Казахстан | I=1.5 M − 3.5lgr+3 | 1.5 | 3.6 (±0.33) | 2.84 (±0.99) | 8 |
Камчатка | I=1.5 M –2.63 lg r–0.0087r+2.5 I=1.5M − 4.6lgr+5.3 | 1.5 | 4.42 (±0.17) | 4.26 (±0.73) | 3 |
Сахалин | I=1.6M − 4.3lgr+3.3 | 1.6 | 4.43 (±0.21) | 2.90 (±0.43) | 6 |
Крым и Кубань | I=1.5M − 3.5lgr+3 | 1.5 | 3.29 (±0.53) | 2.94 (±0.76) | 5 |
Северный Кавказ | I=1.6M − 3.1lgr +2.2 | 1.5 | 3.1 (±0.36) | 2.23 (±0.47) | 11 |
Закавказье | I=1.4M − 3.5lgr+4.2 | 1.4 | 3.4 (±0.36) | 3.91 (±0.47) | 4 |
Дагестан | I=1.5M − 3.6lgr+3.1 | 1.5 | 3.62 (±0.24) | 3.16 (±0.36) | 8 |
На основе проведенного исследования получено наилучшее соответствие эмпирических данных установленным ранее региональным законам затухания для Сахалина, где была проделана большая работа по уточнению коэффициентов макросейсмического поля. Имеются и значительные отклонения от полученных ранее региональных зависимостей, например, в Байкальском регионе. Так, для хорошо обследованного Култукского землетрясения (322 пункта), произошедшего 27.08.2008 г. с Ms =6.2 в Прибайкалье, получен необычно низкий для Байкальского региона коэффициент затухания (ν=3.0), который подтверждается макросейсмическими данными двух ближайших землетрясений – Еловского (29.06.1995) с Ms=5.8 (139 пунктов) и Южнобайкальского (25.02.1999) с Mw=6.0 (154 пункта). На юго-востоке Прибайкалья в малообследованном районе Приаргунья, по данным о самом сильном здесь Аргунском землетрясении (22.07.2011) с Мw=4.5 (35 пунктов), наметилась зона с очень низким затуханием (ν=2.7). Для остальных байкальских землетрясений коэффициенты затухания ниже регионального ν=4.0.
В соседнем Алтае-Саянском регионе, наоборот, значения ν оказались несколько выше, чем в применяемом здесь общем уравнении Н.В. Шебалина (ν=3.5), особенно при Тувинском землетрясении (26.02.2012; ν=4; 280 пунктов).
Для Олюторского землетрясения (20.04.2006, Мs=7.7), произошедшего в малонаселенной местности на севере Камчатки, получен очень высокий коэффициент затухания ν=4.55 (37 пунктов) по сравнению с региональными уравнениями для Чукотки и Камчатки.
На основе данных табл. 3, обобщающей значения полученных авторами в разных регионах коэффициентов уравнения макросейсмического поля, сделаны выводы:
- с учетом доверительных интервалов средних значений коэффициентов полученные данные подтверждают значения коэффициентов в региональных уравнениях макросейсмического поля, приведенных в табл. 1 [18], и возможность их использования для регионов Алтая и Саян, Средней Азии и Казахстана, Сахалина, Северного Кавказа, Закавказья, Дагестана, Крыма и Кубани;
- для Прибайкалья получено более низкое затухание, чем в региональном уравнении I=1.5M-4lgr+4, и средние коэффициенты, близкие к таковым в общем уравнении Шебалина I=1.5M-3.5lgr+3, т.е. это уравнение более предпочтительно при аппроксимации макросейсмических данных землетрясений Прибайкалья;
- для Туркмении, при близости полученного коэффициента затухания (ν=3.7) к региональному (ν=3.8), установлены более низкие значения коэффициента с=2.87 по сравнению с региональным уравнением (с=3.5) с разницей на границе доверительного интервала;
- для Камчатского региона на примере трех землетрясений показана возможность использования уравнения макросейсмического поля для Курил (I=1.5M-4.5lgr+4.5);
- для уточнения и детализации уравнений макросейсмического поля в более мелких районах в пределах регионов, представленных в табл. 1 и на рис. 1, требуется больше исходных данных, чем имеющихся на данный момент в БД СиОЗР, поэтому детализация и уточнение будут проводиться по мере их накопления.
Исследование азимута разрыва и ориентации изосейст
В ходе работ по сейсмическому районированию территории бывшего СССР и России созданные для этой цели Унифицированный каталог землетрясений Северной Евразии (УКЗ) и Специализированный каталог землетрясений Северной Евразии (СКЗ) [11] были дополнены данными о протяженности и ориентации очагов крупных землетрясений с Ms≥6.8 и адаптированы к использованию в географических информационных системах (ГИС).
При визуализации УКЗ средствами ГИС на экране отображаются зоны ВОЗ (домены) и очаги землетрясений белыми эллипсами разного размера c цифрами, соответствующими азимуту направления разрыва. Отдельные эпицентры группируются и имеют близкие значения азимута разрыва.
Начаты работы по уточнению ориентации макросейсмического поля на Кавказе. В качестве основы также взяты домены и сейсмолинеаменты, заимствованные с карты ОСР [12], а также азимуты направления разрывов сильнейших землетрясений из УКЗ и СКЗ (показаны серыми эллипсами на рис. 3). Эти данные дополнены сведениями об азимутах вытянутости изосейст 35 землетрясений Кавказа за период 1988-2009 гг. из БД СиОЗР (белые эллипсы на рис. 3). Для большей части землетрясений ориентация эллипсов согласуется с направлением сейсмолинеаментов.
Рис. 3. Фрагмент карты зон ВОЗ для Кавказа, дополненной сведениями об ориентации первых изосейст (белые эллипсы) и разрывов в очагах землетрясений из [11] (серые эллипсы); 1 – интенсивность в эпицентре и ориентация 1-й изосейсты; 2 – магнитуда землетрясения и ориентация разрыва по комплексу данных; 3 – сейсмолинеаменты с градацией по сейсмическому потенциалу Mmax.
Подобные работы проведены для регионов IIв (“Туркмения”), III (“Средняя Азия и Казахстан”) и IV (“Алтай и Саяны”), представленных в табл. 1 и на рис. 1.
Исследование отношения большой и малой осей эллиптических изосейст высших баллов (коэффициента сжатия k)
К.М. Мирзоев и Р.У. Джураев [7] для обширного региона Средней Азии на основе богатого эмпирического материала предложили простые зависимости коэффициента сжатия k от балльности для разных землетрясений и разработали палетки для построения карт изосейст землетрясений разной магнитуды и для разных глубин очагов. Как показала практика использования этих зависимостей, они оказались справедливы и для других сейсмоопасных регионов. Полученная авторами информация дополнила эти данные.
Для Кавказа на основании данных по 34 землетрясениям построены зависимости k от интенсивности в эпицентре, магнитуды и глубины. Четкого соотношения установить не удалось. Но отмечено, что в основном значения k лежат в интервале 1.1-2.1 и вполне описываются средним значением k=1.5 вне зависимости от интенсивности в эпицентре, магнитуды и глубины. Однако некоторые землетрясения, произошедшие в Закавказье и Азербайджане, с повышенными значениями k=3.0-5.4 первых изосейст (например, Ленинаканское (22.10.1926, Мs=5.8), Спитакское (7.12.1988, Мs=6.9), Ереванское (1.03.1997, Мs=3.8), Ноемберянское (18.07.1997, Мs=4.4), Игдыр-Догубаязитское (1.07.2004, Мs=4.8), Сисианское (13.03.2005, Мs=4.0) нуждаются в дополнительном исследовании. Для этого БД СиОЗР будет дополнена данными об ощутимых землетрясениях Армении из [19].
Зависимость средних для первых 3 изосейст значений k3 от балльности в эпицентре I0, магнитуды по поверхностной волне Ms и глубины гипоцентра, определенные по инструментальным и макросейсмическим данным в Копетдаг-Каспийском регионе (“Туркмения”, см. табл. 1, рис. 1), позволила выявить незначительную тенденцию роста k с магнитудой и интенсивностью в эпицентре с низкими коэффициентами корреляции 0.44 и 0.36 соответственно. Для землетрясений с I0≥6 и Ms>4.5 эта тенденция практически незаметна. Зависимости k от глубины гипоцентра по макросейсмическим hm и инструментальным hi данным имеют очень низкие коэффициенты корреляции, на основании чего нельзя сделать вывод об их существовании. Поэтому в выделенных на территории Копетдаг-Каспийского региона зонах анализировались только значения k для землетрясений с I0≥6 баллов, вне их зависимости от параметров I0, M, h.
ВЫДЕЛЕНИЕ ЗОН С КВАЗИСТАБИЛЬНЫМИ ПАРАМЕТРАМИ МАКРОСЕЙСМИЧЕСКОГО ПОЛЯ В КОПЕТДАГ-КАСПИЙСКОМ РЕГИОНЕ
В настоящее время работы по выделению географических зон с квазиустойчивыми параметрами макросейсмического поля с использованием вышеописанных данных и подходов получили наибольшее развитие для Кавказа и Копетдаг-Каспийского региона. Проиллюстрируем последовательность и результаты проведения таких работ в Копетдаг-Каспийском регионе (зона IIв на рис. 1).
Результаты уточнения коэффициентов макросейсмического поля по Копетдаг-Каспийскому региону в границах φ=35-43°N, λ=51-60°Е приведены в табл. 3 (“Туркменистан”). Более дробное деление региона по параметрам уравнения (1) пока представляется нецелесообразным из-за недостатка выверенных данных о проявлениях землетрясений в населенных пунктах.
Для выделения зон с квазиустойчивыми параметрами k и азимутов (Az) использованы сведения об азимутах очагов сильных землетрясений с Мs≥6.8, содержащиеся в каталоге УКЗ [11]. Согласно представлениям Н.В. Шебалина [17, 18], размер и ориентация разрыва в очаге напрямую связаны с параметрами 1-й изосейсты, поэтому данные [11] были использованы для уточнения преимущественной ориентации макросейсмического поля наряду с макросейсмическими данными.
По Копетдаг-Каспийскому региону в БД СиОЗР собран наиболее полный комплект оцифрованных карт изосейст (59) с исторических времен по 2010 г. Источниками данных послужили опубликованные карты изосейст землетрясений региона, построенные в большинстве случаев Г.Л. Голинским [3, 8] с применением подходов Н.В. Шебалина. Собранные по данному региону изосейсты имеют близкую к эллипсу форму, поэтому для них без проблем были определены длины большой (b) и малой (a) осей в километрах, а также азимуты (Az) большой оси эллипса, отсчитанные по часовой стрелке от направления на север. Учитывая ненадежность проведения 1-й изосейсты из-за недостатка макросейсмических данных в случаях, когда землетрясение произошло в малонаселенном районе, выбранные для выделения зон квазиустойчивых параметров значения k и Az анализировались как для 1-й изосейсты (k1), так и для средних значений k для первых 3 изосейст (k3).
На первом этапе проводился анализ ориентации макросейсмического поля по параметрам Az. На карте (рис. 4) серыми эллипсами показана ориентация разрывов в очагах сильных землетрясений по данным [11] и белыми – первых изосейст. Размеры эллипсов, пропорциональные магнитудам Ms или интенсивностям в эпицентре I0, выбраны условно. Выделены границы зон с близкими параметрами Az. Для каждой зоны определены средние значения Az, характеризующие предполагаемую ориентацию оси минимального затухания интенсивности сотрясений (табл. 4).
Рис. 4. Зоны с близкими параметрами Az, выделенные по данным об ориентации первых изосейст землетрясений Копетдага и разрывов в очагах сильных землетрясений из [11]. 1 – интенсивность в эпицентре и ориентация 1-й изосейсты; 2 – магнитуда землетрясения и ориентация разрыва по комплексу данных; 3 – сейсмолинеаменты с градацией по сейсмическому потенциалу Mmax.
Таблица 4. Средние параметры Az и k землетрясений с интенсивностью Io≥6 баллов
Номер зоны | Az | N | k1= b/a | N1 | k3= b/a | N3 |
1 | 116 | 13 | 1.96 | 9 | 1.85 | 9 |
2 | 132 | 11 | 1.99 | 7 | 2.06 | 5 |
3 | 143 | 13 | 1.74 | 7 | 1.64 | 7 |
4 | 57 | 6 | 1.7 | 3 | 1.70 | 3 |
5 | 117 | 6 | ||||
6 | 92 | 4 | ||||
7 | 69 | 1 | 1.6 | 1 | 1.50 | 1 |
8 | 105 | 2 |
N, N1, N3 – соответственно число событий, участвовавших в определении Az, k1, k3.
КАЛИБРОВКА МАТЕМАТИЧЕСКИХ МОДЕЛЕЙ ИНФОРМАЦИОННОЙ СИСТЕМЫ “ЭКСТРЕМУМ”
Полученные авторами результаты, фиксирующие региональные особенности затухания сейсмической интенсивности, представленные в предыдущих разделах, были использованы для калибровки математических моделей ИС “Экстремум”. Цель калибровки – повышение надежности оперативных оценок ущерба и потерь. Поскольку калибровка – итерационный и довольно сложный циклический процесс определения границ зон и вычисления для них приемлемых квазистабильных параметров, то по мере накопления данных о новых событиях могут измениться и сами параметры, и границы зон, в пределах которых они были ранее выделены. Приемлемые параметры модели затухания должны обеспечить заданную точность оценки интенсивностей, а границы калибровочных зон – высокую надежность при выборе соответствующей записи из списка параметров, в том числе с учетом возможных ошибок в координатах эпицентра события, анализируемого в оперативном режиме.
В разделе приводятся примеры калибровки при наличии полного и сокращенного наборов данных. Для оценки эффективности использования откалиброванных моделей выполнены расчеты потерь для отдельных регионов России, стран СНГ и сопредельных государств. Показана процедура подбора приемлемых значений параметров математической модели затухания сейсмической интенсивности:
- коэффициентов уравнения макросейсмического поля (1);
- коэффициентов сжатия эллипса k= b/a;
- углов, определяющих ориентацию большой оси эллиптических изосейст макросейсмического поля.
Представлены границы зон, в пределах которых значения параметров математических моделей затухания сейсмической интенсивности будут квазистабильными.
Для контроля качества калибровки выбраны:
- Дагестанское землетрясение (14.05.1970, Ms=6.5);
- Боджнурдское землетрясение (4.02.1997, Mw=6.5);
- Тувинское землетрясение (27.12.2011, Ms=6.6);
- Суусамырское землетрясение (19.08.1992, Ms=7.5).
Контроль осуществлялся путем совмещения наблюденных и расчетных значений сейсмической интенсивности. Приемлемым значением разности интенсивностей считались величины, не превышающие 0.5 баллов для изосейст, считающихся ущербообразующими.
При включении контрольного события в группу исходных данных для калибровки параметры и границы зон могут быть изменены. Изменяя варианты входных данных, достигается минимум суммы разностей зарегистрированных интенсивностей и полученных путем моделирования. Параметры, при которых добиваются минимального расхождения значений интенсивностей, могут быть использованы в качестве калибровочных значений, характеризующих выбранную зону.
Контрольные события взяты из зон, сформированных на основе наборов данных, характеризующих разную степень макросейсмической изученности территорий. Дагестанское землетрясение принадлежит зоне (см. рис. 2), для которой калибровочные коэффициенты уравнения поля Н.В. Шебалина были уточнены. Боджнурдское землетрясение принадлежит к зоне №3 (см. рис. 4), для которой был определен полный набор квазистабильных параметров. Тувинское землетрясение произошло в Алтае-Саянском районе, для которого в результате исследований авторов были уточнены коэффициенты затухания (см. табл. 3). Суусамырское землетрясение произошло в зоне, для которой на основе данных каталога В.И. Уломова однозначно выделяется ориентация эллипсов макросейсмического поля.
Все контрольные события – значительные землетрясения, приведшие к ощутимым социальным и экономическим последствиям в рассматриваемых регионах.
Расчеты последствий Дагестанского землетрясения поводились для параметров очага: 43.0°N; 47.09°E; Ms=6.5; h=13 км [4]. Использовались коэффициенты уравнения макросейсмического поля для Дагестана (см. табл. 3), и для сравнения рассматривались другие региональные коэффициенты:
- b=1.6; ν=3.1; c=2.2 для Северного Кавказа [18];
- b=1.4; ν=3.5; c=4.2 для Закавказья [18];
- b=1.52; ν=3.6; c=1.6 для Дагестана [2];
- b=1.5; ν=4; c=3.8 для Юго-Восточной Европы и Ближнего Востока.
Рассматривались 4 значения коэффициента k: 1.2; 1.6; 2.0; 2.7.
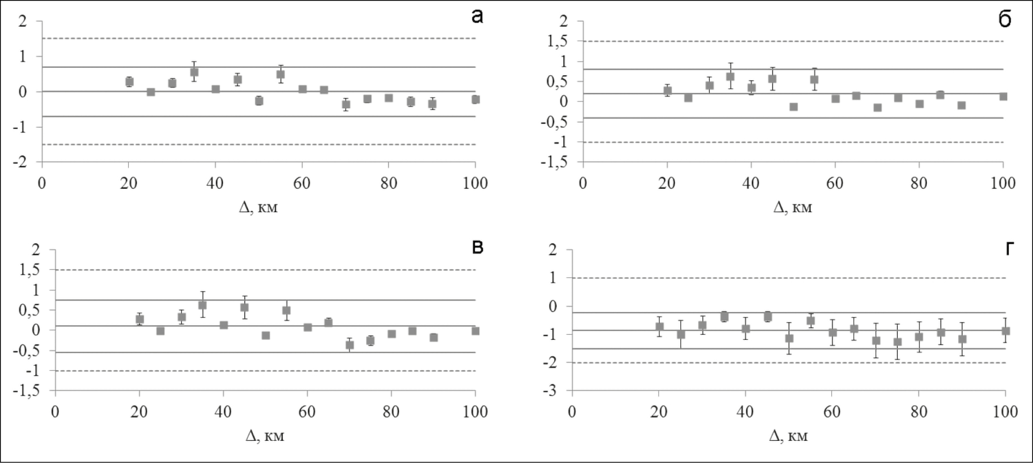
На рис. 5 показаны отклонения расчетных значений I для разных вариантов исходных данных. Осредненные разницы на участках в 5 км показаны серыми точками. Анализ результатов сравнения наблюденных и расчетных значений интенсивности показывает, что наименьшие расхождения наблюдаются при использовании уравнения Н.В. Шебалина для Дагестана [18] b=1.5; ν=3.6; c=3.1 с разными значениями коэффициента сжатия k и ориентацией вдоль разломов (рис. 5а, б, в). Сильное занижение расчетных значений интенсивности по сравнению с наблюденными (рис. 5 г) получено на расстояниях более 50 км при использовании коэффициентов для Дагестана [2].
Рис. 5. Сравнение наблюденных при Дагестанском землетрясении и расчетных интенсивностей ΔIср для значений коэффициентов: a – b=1.5, ν=3.6, c=3.1, k = 2.7; б – b=1.5, ν=3.6, c=3.1, k = 1.6; в – b=1.5, ν=3.6, c=3.1, k=2.0; г – b=1.52, ν=3.6, c=1.6, k=2.0.
Коэффициенты b=1.5; ν=3.6; c=3.1 также были получены для Курчалойского землетрясения по характеру изменения наблюденного макросейсмического эффекта на местности [1]. Вместе с доводами Е.А. Рогожина, характеризующего тектоническую позицию очага Курчалойского землетрясения [9], эти факты могут служить основанием расширения зоны Дагестанского клина на восток и выделения общей зоны с квазистабильными параметрами затухания сейсмической интенсивности в этом районе Кавказа.
В случае Боджнурдского землетрясения расчеты последствий проводились для параметров очага: 37.79°N; 57.42°E, Mw=6.5; h=25 км [3]. В вариантах, представленных на рис. 6а, б, в, использовались коэффициенты уравнения макросейсмического поля для Туркменистана из табл. 3, и для сравнения на рис. 6г − из табл. 1. Рассматривались 4 значения коэффициента сжатия эллипса: k=1.5 и 2.25; k1=1.74 и k3=1.64 (см. табл. 4). Расчетный эллипс ориентировался под углами: 143° − в соответствии с таковым для района №3 (см. табл. 4); 146° − согласно решению механизма очага; 125° − согласно ориентации первых изосейст в [3].
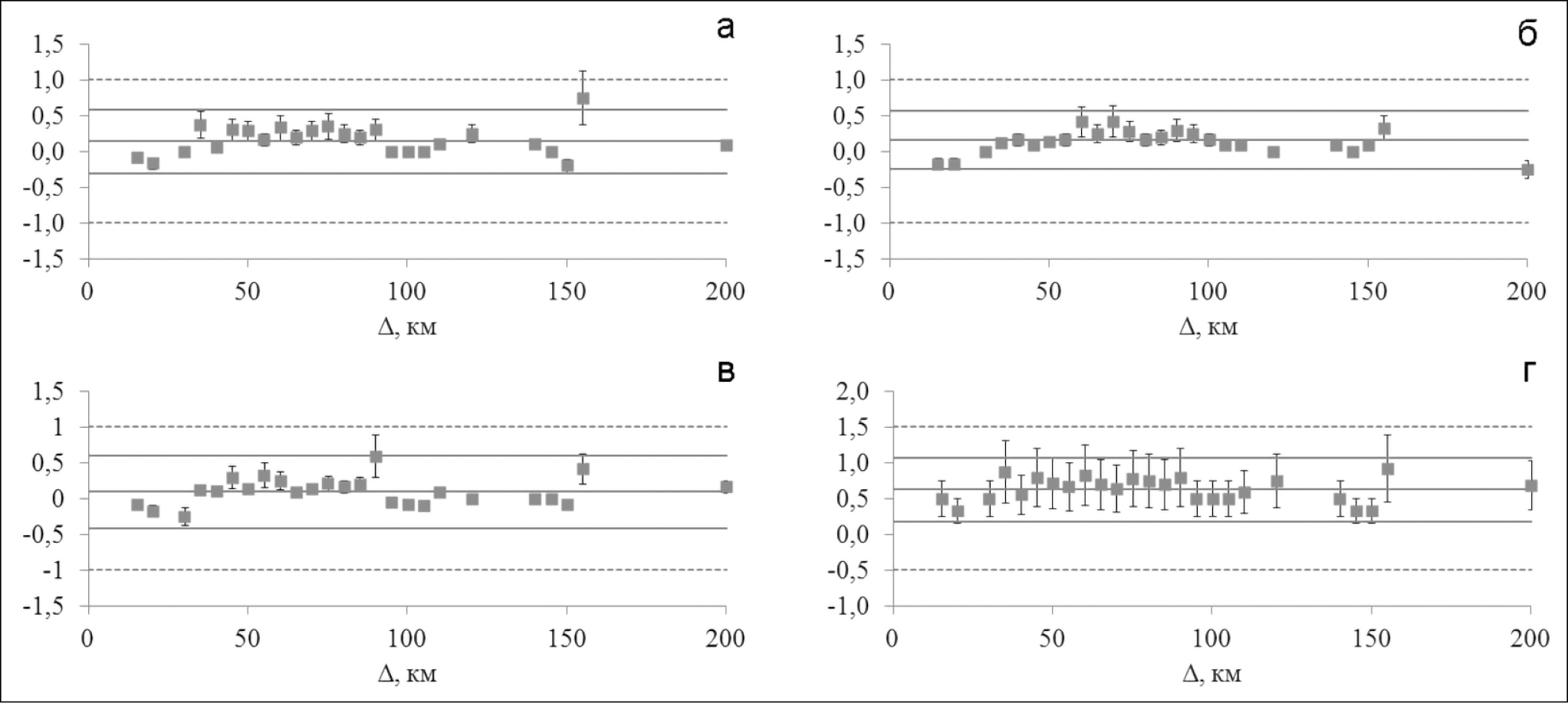
Рис. 6. Сравнение наблюденных при Боджнурдском землетрясении и расчетных интенсивностей ΔIср для значений коэффициентов: a – b=1.5, ν=3.72, c=2.87, k=1.74, Az=143°; б – b=1.5, ν=3.72, c=2.87, k=1.74, Az=125°; в – b=1.5, ν=3.72, c=2.87, k=2.25, Az=146°; г – b=1.5, ν=3.8, c=3.5 [18], k=1.74, Ms=6.5, Az=143°.
На рис. 6 показаны отклонения I расчетных значений для разных вариантов исходных данных. Осредненные разницы на участках в 5 км показаны серыми точками. Наименьшие расхождения наблюдаются при использовании квазиустойчивых параметров макросейсмического поля в зоне №3 (рис. 6а, б, в), где произошло это событие. Расхождения между расчетными и наблюденными значениями I на всем рассматриваемом диапазоне эпицентральных расстояний до 200 км не превышают 0.5 баллов. Отмечено превалирующее влияние на надежность оценок потерь правильности выбора коэффициентов уравнения (1) по сравнению со значениями k и Az.
Еще один пример показывает образование области с квазиустойчивыми параметрами в районе, где такая информация не могла быть установлена и детализирована ранее. Так, в работе [15] показано, что для описания затухания интенсивности Тувинских землетрясений (2011-2012 гг.) более подходит использование уравнения с коэффициентами b=1.5, ν=4, c=4.0, рекомендованными Н.В. Шебалиным для Прибайкалья, вопреки предлагаемым ранее в целом для Алтае-Саянского региона значениям коэффициентов b=1.5, ν=3.5, c=3.0. Имеющиеся в распоряжении исследователей данные недостаточны для устойчивого выделения зоны и описания всех факторов, необходимых для моделирования. Однако полученные данные по уравнению затухания интенсивности, а также знание механизма очага и расположения основных активных разломов в этой области позволили наметить зону, границы которой впоследствии будут уточняться.
Выполненные расчеты последствий с помощью ИС “Экстремум” показали предпочтительность уравнения с коэффициентами b=1.5, ν=4, c=4.0 для описания затухания Тувинских землетрясений 2011-2012 гг. В качестве исходных данных при моделировании последствий Тувинского землетрясения 2011 г. использовались коэффициенты в формуле Шебалина для Прибайкалья; ориентация эллипса под углом 345° в соответствии с решением механизма очага по NEIC и коэффициент сжатия k=1.5. Этот результат хорошо согласуется с наблюденным полем изосейст этого землетрясения; на рис. 7а показаны отклонения расчетных и наблюденных значений I для него. Расхождения между расчетными и наблюденными значениями ΔIср в диапазоне эпицентральных расстояний до 83 км, на которых наблюдаются ущербообразующие значения интенсивности, не превышают 0.4 балла.
Рис. 7. Сравнение наблюденных и расчетных интенсивностей ΔIср; а − для Тувинского землетрясения 2011 г.; б − для Суусамырского землетрясения 19.09.1992 г.
Использование значений ориентации эллипса изосейст из каталога СКЗ [11] с учетом значений азимута разрыва в очаге землетрясений для моделирования возможных последствий показано на примере Суусамырского землетрясения. Ранее в работе [16] расчеты его последствий проводились для параметров очага: φ=42.07°N, λ=73.63°E, MS=7.5, h=25 км, и коэффициентов уравнения макросейсмического поля b=1.5, ν=4.5, c=4.4 (вкрест структур) для Киргизии [5], k=1.5. На рис. 7б показаны отклонения расчетных значений I от наблюденных при моделировании последствий Суусамырского землетрясения с использованием вышеописанных исходных данных для расчета.
Сопоставление результатов с границами зон ВОЗ для ОСР позволяет также наметить границы возможной зоны с квазиустойчивыми параметрами.
Контрольные расчеты последствий 4 землетрясений с использованием полученных авторами результатов исследования особенностей затухания сейсмической интенсивности показали эффективность калибровки моделей ИС “Экстремум”. В целом, погрешность в определении интенсивности не превышает 0.5 балла. Значения погрешностей ΔIср в прогнозировании интенсивности от контрольных землетрясений на разных расстояниях приведены в табл. 5.
Таблица 5. Расхождения ΔIср при прогнозировании последствий контрольных землетрясений с помощью откалиброванной ИС “Экстремум”
Контрольное землетрясение | Эпицентральное расстояние Δ, км | ΔIср | I, балл |
Тувинское (27.12.2011, Ms =6.6) | < 45 | 0.2 | 7.5 |
< 55 | 0.4 | 7 | |
< 75 | 0.2 | 6.5-7 | |
Суусамырское (19.08.1992, Ms =7.5) | < 40 | 0.5 | 8-7.5 |
< 50 | 0.3 | 7-7.5 | |
< 60 | 0.3 | 7 | |
Дагестанское (14.05.1970, Ms =6.5) | < 25 | 0.1 | 7.5-8 |
< 40 | 0.15 | 7.5-7 | |
< 50 | 0.25 | 6.5-7 | |
< 100 | 0.3 | 6-5.5 | |
Боджнурдское (4.02.1997, Mw=6.5) | < 20 | 0.1 | 7-7.5 |
< 40 | 0.1 | 6.5-7 | |
< 50 | 0.3 | 6.5-6 | |
< 80 | 0.2 | 5.5-6 |
Полученные результаты позволили выделить зоны с квазиустойчивыми параметрами макросейсмического поля (рис. 8), которые могут быть использованы в дальнейшем при оперативных расчетах ущерба и потерь.
Рис. 8. Зоны с квазистабильными параметрами макросейсмического поля: а – на Кавказе; б – в Копетдаг-Каспийском регионе; в – в Алтае-Саянском регионе; г – в Средней Азии.
ЗАКЛЮЧЕНИЕ
Рост требований к точности и надежности оперативных прогнозов потерь от землетрясений обусловил возрастание интереса исследователей к калибровке соответствующих математических моделей, опирающейся на сбор и анализ данных о параметрах ощутимых землетрясений и их макросейсмических проявлениях в различных регионах.
К настоящему времени для такой задачи получен большой объем информации при формировании информационной основы для составления карт Общего сейсмического районирования [12]. Собранные данные, представленные в виде баз данных (например, БД СиОЗР ФИЦ ЕС РАН), позволяют решить ряд теоретических и практических задач, в частности выполнять привязанную к месту калибровку математических моделей, обеспечивающих достаточную для практического применения точность оценки параметров макросейсмических полей.
Основные результаты данной работы:
- Уточнены значения параметров уравнения Н.В. Шебалина для сейсмоопасных регионов, границы которых формировались на основе разнообразных гипотез, обусловленных генезисом, структурой и сплошностью горных пород, а также простиранием геологических провинций.
- Показана возможность выделения зон с квазистабильными параметрами, характеризующихся близкими значениями коэффициентов закона затухания, отношений большой и малой осей эллиптических изосейст высших баллов, ориентации макросейсмического поля или азимутов вытянутости изосейст.
- Установлено, что калибровка является итерационным процессом, где каждая итерация возникает по поводу любого нового сейсмического события, как только его описание попадает в специальную базу данных. При этом возможно как дробление, так и укрупнение зон, как это было показано на примере изменения границ зон после проведения контрольных расчетов.
- На примере контрольных землетрясений выполнена оценка точности формирования макросейсмических полей для 4 зон при наличии набора значений параметров математических моделей, уточненных в процессе калибровки. Показано, что в результате калибровки для зон достаточной протяженности возможно уменьшить величины ошибки вычисления интенсивности I до величины, не превышающей 0.5 балла.
Очевидно, что такие работы должны быть продолжены и будут способствовать формализации и ускорению процесса использования макросейсмической информации в службах МЧС для эффективного расчета возможных потерь от сильных землетрясений и скорейшего принятия решения о проведении поисково-спасательных и других неотложных мероприятий.
Источник финансирования. Статья подготовлена в рамках выполнения государственного задания ИГЭ РАН по теме НИР №г.р. АААА-А19-119021190077-6 и государственного задания ФИЦ ЕГС РАН по теме НИР №г.р. АААА-А16-116070550060-7.
About the authors
N. I. Frolova
Sergeev Institute of Environmental Geoscience, Russian Academy of Sciences
Author for correspondence.
Email: frolovanina7@gmail.com
Russian Federation, Ulanskii per., 13, bld. 2, Moscow, 101000
I. P. Gabsatarova
Geophysical Survey, Russian Academy of Sciences
Email: npetrova@gsras.ru
Russian Federation, pr. Lenina, 189, Obninsk, Kaluga region, 249035
N. V. Petrova
Geophysical Survey, Russian Academy of Sciences
Email: npetrova@gsras.ru
Russian Federation, pr. Lenina, 189, Obninsk, Kaluga region, 249035
A. N. Ugarov
Extreme Situations Research Centre
Email: garo@esrc.ru
Russian Federation, Vyatskaya ul. 35, Moscow, 127015
N. S. Malaeva
Sergeev Institute of Environmental Geoscience, Russian Academy of Sciences
Email: frolovanina7@gmail.com
Russian Federation, Ulanskii per., 13, bld. 2, Moscow, 101000
References
- Asmanov, О.А, Levkovich, R.А., Gaisumov, М.Ya., Kerimov, I.А., Gabsatarova, I.P., Golovkova, L.V., Ivanova, L.E., Ponomareva, N.L., Chepkunas, L.S., Ryzhikova, M.I. Makroseismicheskie proyavleniya Kurchailoiskogo zemletryasenia 11 oktyabrya 2008 g s Kp =14.5, Mw=5.8 I0=7-8 (Chechenskaya respublika) [Macroseismic manifestations of the Kurchaloi earthquake on October 11, 2008 with Kp =14.5, Mw=5.8 I0=7-8 (Chechen Republic)]. Zemletryaseniya Severnoi Evrazii, 2008 god [Earthquakes in the Northern Eurasia, 2008]. Obninsk, GS RAN, 2014, pp. 421-432. (in Russian)
- Bystritskaya, Yu.V. Sootnoshenie i sopostavlenie makroseismicheskikh instrumental’nykh dannykh (Dagestanskie zemletryaseniya) [Relationship and comparison of macroseismic and instrumental data (Dagestan earthquakes)]. Seismichnost’ i gidrogazogeokhimiya territorii Dagestana, IG Dag FAN SSSR, 1978, no. 2(17), pp. 78-84. (in Russian)
- Gaipov, B.N., Golinskii, G.L., Petrova, N.V., Il’yasov, B.I., Muradov, Ch.M., Rakhimov, A.R., Bezmenova, L.V., Garagozov, D., Khodzhaev, A., Baimuradov, K., Rakhmanova, M.S. Bodzhnurdskoe zemletryasenie 4 fevralya 1997 g. s Ms=6.6, I0=8 (Kopetdag) [Bodzhnurd earthquake on February 4, 1997 with Ms=6.6, I0=8 (Kopetdag)]. Zemletryaseniya Severnoi Evrazii v 1997 godu [Earthquakes in the Northern Eurasia in 1997]. Obninsk, GS RAN, 2003, pp. 199-218. (in Russian)
- Dagestanskoe zemletryasenie 14 marta 1970 g. Seismologiya, geologiya, geofizika. [Dagestan earthquake on May 14, 1970. Seismology, geology, geophysics]. Moscow, Nauka, 1980, 220 p. (in Russian)
- Dzhanuzakov, K.D., Il’yasov, B.I., Muraliev, A.M., Yudakhin, F.N. Susamyrskoe zemletryasenie 19 avgusta 1992 goda [Sussamur earthquake on August 19, 1992]. Zemletryaseniya Severnoi Evrazii v 1992 godu [Earthquakes in the Northern Eurasia in 1992]. Moscow, OIFZ RAN, 1997, pp. 48-53. (in Russian)
- Kal’met’eva, Z.A., Mikolaichuk, A.V., Moldobekov, B.D., et al. Atlas zemletryasenii Kyrgyzstana [Atlas of earthquakes in Kyrgyzstan]. Bishkek, TsAIIZ, 2009. (in Russian)
- Mirzoev, K.M., Dzhuraev, R.U. Osnovnye zakonomernosti zatukhaniya ball’nosti zemletryasenii na territorii Tadzhikistana [Principle regularities in shaking intensity attenuation for the territory of Tajikistan]. Zemletryaseniya Srednei Azii i Kazakhstana [Earthquakes of Central Asia and Kazakhstan]. Dushanbe, Donish, 1985, pp. 99-128. (in Russian)
- Petrova, N.V., Levina, V.I., Mikhailova, R.S. Analiz i dopolnenie makroseismicheskikh dannykh o zemletryaseniyakh Severnoi Evrazii 2004-2008 gg. [Analysis and updating of macroseismic data on earthquakes of Northern Eurasia in 2004–2008]. Sovremennye metody obrabotki i interpretatsii seismologicheskikh dannykh. Materialy XI Mezhdunar. Seismologicheskoi shkoly [Modern methods of processing and interpretation of seismological data. Proc. XI Intern. Seismological Workshop]. A.A. Malovichko, Ed. Obninsk, FITs EGS RAN, 2016, pp. 250-254. (in Russian)
- Rogozhin, E.A. Tektonicheskaya pozitsiya, seismotektonicheskie, makroseismicheskie i seismologicheskie proyavleniya Kurchaloiskogo zemletryaseniya 11 oktaybrya 2008 g. v Chechenskoi Respublike [Tectonic position, seismotectonic, macroseismic and seismologic manifestations of the Kurchaloi earthquake on October 11, 2008 in the Chechen Republic] Geologiya i geofizika Yuga Rossii, 2017, no. 3, pp. 111-116. (in Russian)
- Seismicheskoe raionirovanie territorii SSSR. Medtodicheskie osnovy i regional’noe opisanie karty 1978 g. [Seismic zoning of the USSR territory. Methodological basis and regional description of the 1978 map]. V.I. Bune, G.P. Gorshkov, Eds. Moscow, Nauka, 1980, 307 p. (in Russian)
- Spetsializirovannyi katalog zemletryasenii dlya zadach obshchego seismicheskogo raionirovaniya territorii Rossiiskoi Federatsii [Specialized catalog of earthquakes for review seismic zoning of the Russian Federation territory]. V.I. Ulomov, N.S. Medvedeva, Eds. Available at: http://seismos-u.ifz.ru/documents/Eartquake-Catalog.pdf. (in Russian)
- Ulomov, V.I., Shumilina, L.S. Komplekt kart obshchego seismicheskogo raionirovaniya territorii Rossiiskoi Federatsii. Ob'yasnitel'naya zapiska i spisok gorodov i naselennykh punktov, raspolozhennykh v seismoopasnykh raionakh. OSR-97. Masshtab 1:8 000 000 [Set of maps of review seismic zoning of the Russian Federation territory. OSR-97. Scale 1:8 000 000. Explanatory note and list of cities and settlements located in earthquake-prone areas]. Moscow, OIFZ, 1999, 57 p. (in Russian)
- Frolova, N.I., Gabsatarova, I.P. Ispol’zovanie makroseismicheskikh dannykh dlya povysheniya nadezhnosti operativnykh otsenok poter’ na primere Kurchaloiskogo zemletryaseniya [Macroseismic data application for increasing reliability of near real time loss estimations: example of Kurchaloi earthquake]. Proc. 9-th International scientific and practical conference GEORISK–2015. Moscow, RUDN, 2015, vol. 2, pp. 391-399. (in Russian)
- Frolova, N.I., Ugarov, A.N. Baza znanii o sil’nykh zemletryseniyakh kak instrument povysheniya nadezhnosti operativnykh otsenok poter’ [Knowledge base about past earthquakes consequences as a tool to increase the reliability of near real time loss estimation]. Geoekologiya, 2018, no. 6, pp. 1-18. (in Russian)
- Frolova, N.I., Gabsatarova, I.P. Izuchenie parametrov zakona zatukhaniya makroseismicheskoi intensivnosti Tuvinskikh zemletryasenii 2011 i 2012 gg (Respublika Tuva) [The study of parameters of the law of macroseismic intensity attenuation in the Tuva earthquakes, 2011 and 2012 (Republic of Tuva). Zemletryaseniya Severnoi Evrazii, 2012 god [Earthquakes in the Northern Eurasia, 2012]. Obninsk, FiTs EGS RAN, 2018, pp. 318-323. (in Russian)
- Frolova, N.I., Gabsatarova, I.P., Ugarov, A.N. Ispol’zovanie makroseismicheskikh dannykh dlya povysheniya nadezhnosti operativnykh otsenok poter’ na primere zemletryasenii RF i sopredel’nykh territorii [Macroseismic data application for increasing reliability of near real time loss estimations by the example of earthquakes in Russia and adjacent areas]. Proc. 10th International scientific and practical conference GEORISK–2018. Moscow, RUDN, 2018, vol. 1, pp. 218-226. (in Russian)
- Shebalin, N.V. Metody ispol’zovaniya inzhenerno-seismologicheskikh dannykh pri seismicheskom raionirovanii [Methods of engineering seismological data application for seismic zoning]. Seismicheskoe raionirovanie SSSR [Seismic zoning of the USSR], Moscow, Nauka, 1968, pp. 95-121. (in Russian)
- Shebalin, N.V. Opornye zemletryaseniya i uravneniya makroseismicheskogo polya [Reference earthquakes and macroseismic field equations]. Novyi katalog sil’nykh zemletryasenii na territorii SSSR (s drevneishikh vremen do 1975 g) [New catalogue of strong earthquakes for the USSR territory (from ancient times till 1975)]. Moscow, Nauka, 1977, pp. 20-30. (in Russian)
- Babayan, T. Atlas of strong earthquakes of the Republic of Armenia, Artsakh and adjacent territories from ancient times through 2003, Tigran Mets, Yerevan, 2006, 140 p.
- Frolova, N.I., Larionov, V.I., Bonnin, J., Sushchev, S.P., Ugarov, A.N., Kozlov, M.A. Loss caused by earthquakes: rapid estimates. Natural Hazards, 2017, vol. 88, issue 1, pp. 63-80.
- Jaiswal, K.S., Wald, D.J. Improving PAGER’s real-time earthquake casualty and loss estimation toolkit: challenges. Proc. the 15th World Conference on Earthquake Engineering: September 24-28, 2012, Lisbon, Portugal. Available at: http://www.iitk.ac.in/nicee/wcee/article/WCEE2012_2539.pdf
- Rovida, A., Locati, M., Camassi, R., Lolli, B., Gasperini, P. (Eds.) CPTI15, the 2015 version of the Parametric Catalogue of Italian earthquakes. Istituto Nazionale di Geofisica e Vulcanologia. 2016. DOI: http://doi.org/10.6092/INGV.IT‐CPTI15.
- So, E. Introduction to the GEM Earthquake Consequences Database (GEMECD). GEM Technical Report. 2014-14. V1.0.0. 158 p., GEM Foundation, Pavia, Italy. DOI: 10.13117/ GEM.VULN-MOD.TR2014.14.
- Varazanashvili, O., Tsereteli, N., Bonali, F.L. et al. GeoInt: the first macroseismic intensity database for the Republic of Georgia. Journal of Seismology, 2018, vol. 22, issue 4, pp. 625-667. doi: 10.1007/s10950-017-9726-5.
Supplementary files










