Тормозные взаимодействия в системе функционально-сопряженных мышц голени при детском церебральном параличе
- Авторы: Плещинский И.Н.1,2, Гусельникова Г.Г.1,2, Бикмуллина Р.Х.1,2, Новикова Е.В.1,2
-
Учреждения:
- Казанский государственный университет
- Республиканский реабилитационный центр для инвалидов с детства
- Выпуск: Том XXX, № 3-4 (1998)
- Страницы: 39-43
- Раздел: Статьи
- Статья получена: 24.09.2021
- Статья одобрена: 24.09.2021
- Статья опубликована: 27.09.2021
- URL: https://journals.eco-vector.com/1027-4898/article/view/81039
- DOI: https://doi.org/10.17816/nb81039
- ID: 81039
Цитировать
Полный текст
Аннотация
Методом тестирования Н-рефлекса при кондиционирующей стимуляции нервов передней большеберцовой и медиальной икроножной мышц исследовано соответственно реципрокное и нереципрокное торможение мотонейронов камбаловидной мышцы у 10 здоровых и у 8 больных детским церебральным параличом. У здоровых получены два периода как реципрокного, так нереципрокного торможения: коротко- и длиннолатентный. У больных детским церебральным параличом отмечено усиление торможения, более выраженное для коротколатентных компонентов. Обсуждена возможная роль исследованных тормозных систем как ограничителей патологически активированных мотонейронов мышцы-антигравитанта (камбаловидной мышцы).
Ключевые слова
Полный текст
Метод Н-рефлекса достаточно давно используется для исследования состояния сегментарного аппарата у больных детским церебральным параличом (ДЦП) [4]. Отмечены разнообразие параметров Н-ответа у данного контингента больных, а также тесная связь рефлекторной возбудимости мотонейронов с состоянием тормозных процессов и трудность их качественной и количественной характеристики при ДЦП. До настоящего времени противоречива оценка состояния системы тормозного взаимодействия функционально-сопряженных мышц при ДЦП. Так, усиление торможения мышц-антагонистов считается одним из типов нарушения реципрокной иннервации при данной патологии [2]. Brouwer и Smits [7], используя подпороговую стимуляцию большеберцового нерва, отметили у больных церебральным параличом более выраженное тормозное влияние на переднюю большеберцовую мышцу (увеличение РТ), чем у здоровых. В то же время Leonard и соавт. [12], обнаружив отсутствие (или слабую выраженность) торможения Н-ответа камбаловидной мышцы при дорзифлексии стопы, расценили это как проявление дефицита реципрокного торможения (РТ), связанного с нарушением супраспинального контроля. Интерес исследователей к состоянию тормозных систем при ДЦП связан с тем, что последние играют весьма существенную роль в данной патологии.
Мы регистрировали ответы мышц голени на стимуляцию большеберцового и малоберцового нервов. Стимуляцию нервных стволов осуществляли с помощью биполярных поверхностных электродов. Использовали одиночные прямоугольные стимулы длительностью 1 мс. Отведение потенциалов мышц производили с помощью поверхностных биполярных серебряных электродов, располагая их над брюшком камбаловидной (КМ), медиальной икроножной (МИМ) и передней большеберцовой (ПБМ) мышц. Исследования выполняли с помощью миографов фирм “Медикор” и “Ме- делек” в блоке с электростимулятором ЭС-50. Изучали рефлекторную возбудимость мотонейронов КМ у здоровых и больных ДЦП при стимуляции большеберцового нерва в подколенной ямке. Регистрировали порог возникновения, максимальную амплитуду, интервал нарастания и спада Н-ответа, а также определяли соотношение амплитуд максимальных Н- и М-ответов (Нmах /Мmах). Выявляли изменения амплитуды Н-ответа КМ при кондиционирующей стимуляции нерва ПБМ. Сила тестирующего стимула составляла 20—50% от величины стимула, вызывающего максимальный Н-ответ. Кондиционирующий стимул наносили на малоберцовый нерв с силой 75% от порога М-ответа ПБМ. Тестирующий стимул подавали с задержкой от 1 до 40 мс. Для каждой задержки между кондиционирующим и тестирующим стимулами проводили от 3 до 10 тестов. Исследовали изменения амплитуды Н-ответа КМ при кондиционирующей стимуляции нерва МИМ. Тестирующий стимул был идентичен стимулу, использованному в первой и второй сериях исследования. Кондиционирующий стимул наносили на ветвь большеберцового нерва, идущую к медиальной головке икроножной мышцы, при этом стимулирующий электрод располагали на 5-8 см дистальнее места тестирующей стимуляции. Сила кондиционирующего стимула составляла 50% от порога М-ответа МИМ. Задержки между кондиционирующим и тестирующим стимулами были такими, как во второй серии исследования.
Были обследованы 8 больных детским церебральным параличом (4 — со спастическим парапарезом, 2 — со спастическим тетрапарезом, 2 — с гиперкинетической формой ДЦП) в возрасте от 19 до 32 лет, а также 10 здоровых лиц в возрасте от 17 до 29 лет.
Порог Н-ответа у больных был повышен по сравнению с показателями здоровых (80,3±6,8 В), в контрольной группе - 61,8±9,4 В (Р<0,05). Максимальная амплитуда Н-ответа, стимул, вызывающий максимальный ответ, кривые нарастания и спада амплитуды Н-ответа, общая длина кривой рекрутирования Н-ответа и отношение Ңmах/Мmах КМ также достоверно не различались у больных и здоровых.
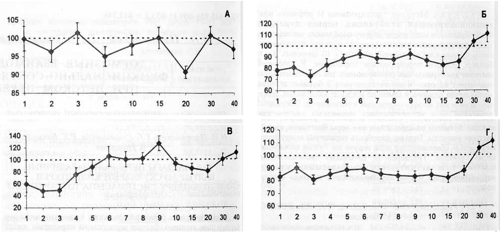
У здоровых при кондиционирующей стимуляции малоберцового нерва амплитуда Н-ответа КМ снижалась до 95±4% от контрольной величины при задержке до 5 мс (Р>0,05) и до 91±2% при задержке до 20 мс (рис. 1А; Р<0,05).
У больных ДЦП (рис. 1Б) уменьшение амплитуды Н-ответа наблюдалось при задержках 1 -5, 7, 8, 10, 15, 20 и 40 мс (Р<0,05). Максимальное торможение отмечено при задержках от 1 до 3 мс (до 73% при 3 мс; Р<0,001). Различие в результатах кондиционирования у больных и здоровых было достоверно для задержек 1-3, 10, 15 и 40 мс (Р<0,01). Наибольшая разница между показателями составляла 19% (Р<0,001) при задержке до 3 мс; у больных торможение проявлялось в большей степени, чем у здоровых.
Рис.1 Влияние кондиционирующей стимуляции нерва ПБМ на Н-ответ КМ у здоровых (А), больных ДЦП—без разделения на подгруппы (Б), больных с гиперкинетической (В) и спастической (Г) формами ДЦП.
По осям абсцисс отложена величина межстимульного интервала (мс), по осям ординат —относительная величина Н-ответа (%).
Кондиционирующая стимуляция малоберцового нерва у больных с гиперкинетической формой ДЦП (рис. 1В) приводила к снижению амплитуды рефлекторного ответа при задержках между стимулами 1 - 4 (Р<0,01), 15 и 20 мс (Р<0,05). Максимальное торможение наблюдалось при задержке до 2 мс; амплитуда Н-ответа составляла 48±9% от контрольной величины Н-ответа. У больных со спастической формой ДЦП (рис. 1Г) торможение было достоверно при задержках 1 мс (Р<0,001), 3 - 20 мс (Р<0,05); максимальное торможение было при задержке до 1 мс; амплитуда ответа составляла 83±4% от контрольной величины.
Торможение Н-ответа, наблюдаемое при задержке до 20 мс у здоровых, было сильнее у больных с гиперкинетической и спастической формами (81 ±7% и 88±4% соответственно), но различия между показателями трех выборок были недостоверными. Различались эффекты кондиционирования при задержках 1, 3, 10, 15 и 40 мс (Р<0,05) у здоровых и больных со спастической формой ДЦП и при задержках от 1 до 3 мс (Р<0,001) у здоровых и больных с гиперкинетической формой ДЦП. Отличие было сильнее выражено у больных с гиперкинетической формой, максимальная разница величин Н-ответов составляла 52% при задержке 3 мс. Максимальное различие между показателями больных со спастической формой ДЦП и здоровых составляла 20% при той же задержке. Различия полученных данных у больных со спастической и гиперкинетической формами ДЦП наблюдались при задержках 2 и 3 мс (Р<0,001), 8 и 9 мс (Р<0,05). У больных с гиперкинетической формой торможение Н-ответа было более выражено при задержках от 1 до 3 мс, а при задержках до 8 и 9 мс оно отсутствовало.
Стимуляция нерва МИМ у здоровых приводила к снижению амплитуды Н-ответа КМ до 92±4% от контрольной величины (Р<0,05) при задержке между кондиционирующим и тестирующим стимулами, равной 3 мс, и до 93±3% (Р<0,05) при задержке до 30 мс (рис. 2А).
У больных ДЦП (рис. 2Б) снижение амплитуды Н-ответа КМ наблюдалось при межстимульных интервалах 2 — 10, 15, 20, 30 и 40 мс (Р<0,001). Максимальное отклонение от контрольной величины имело место при задержках 4 и 5 мс (71 ±4% и 74±4% соответственно; Р<0,001). Результаты, полученные при кондиционировании у больных, отличались от результатов здоровых при задержках, равных 2, 5, 10, 15, 20 и 30 мс (Р<0,01). Наибольшее отличие было при задержке между стимулами в 5 мс (31%; Р<0,001), у больных торможение Н-ответа было сильнее.
У больных с гиперкинетической формой ДЦП (рис. 2В) амплитуда рефлекторного ответа снижалась на всем протяжении начального периода кондиционирования (задержки 1-15 мс; Р<0,05); максимальное торможение Н-ответа возникало при задержке 3 мс, его амплитуда составляла 51 ±8% от ее контрольной величины.
Рис. 2. Влияние кондиционирующей стимуляции нерва МИМ на Н-ответ КМ у здоровых (А), больных ДЦП—без разделения на подгруппы (Б), больных с гиперкинетической (В) и спастической (Г) формами ДЦП.
По осям абсцисс отложена величина межстимульного интервала (мс), по осям ординат —относительная величина Н-ответа (%).
У больных со спастической формой ДЦП (рис. 2Г) торможение Н-ответа было достоверно при задержках от 2 до 6 и от 8 до 40 мс и достигало максимума при 4, 20 и 30 мс (69±5%, 75±5% и 76±6%; Р<0,01). Торможение, наблюдаемое у здоровых при задержке 3 мс, у больных со спастической формой ДЦП выражалось в снижении амплитуды Н-ответа до 88±4%, а у больных с гиперкинетической формой — до 51 ±8%, но различия между показателями трех выборок были недостоверными. При задержке до 30 мс у больных со спастической формой торможение было сильнее, чем у больных с гиперкинетической формой ДЦП и здоровых (75±6%, 82±10% и 93±3% соответственно) и отличалось от показателей у здоровых на достоверную величину (17%; Р<0,01).
У больных с гиперкинетической формой ДЦП результаты отличались от таковых у здоровых при задержках 1 - 3, 5, 10 (Р<0,001) и 15 мс (Р<0,01); максимальное отличие наблюдалось при задержках до 5 мс (44%) и 10 мс (41%), то есть при отсутствии в контрольной группе тормозного эффекта кондиционирования. Эффекты кондиционирования у больных со спастической формой ДЦП отличались от эффектов у здоровых при задержках до 2 (Р<0,05), 5 и 10-40 мс (Р<0,001). Наибольшее влияние оказывал кондиционирующий стимул, подаваемый (как и у больных с гиперкинетической формой) за 5 и 10 мс до тестирующего. Отличие при данных задержках составляло 25% и 19% соответственно.
Степень изменения величины Н-ответа была различной у двух групп больных. Достоверными были отличия при задержках от 1 до 3 мс (Р<0,001) и от 5 до 10 мс (Р<0,01): торможение Н-ответа было сильнее у больных с гиперкинетической формой ДЦП. Максимальные различия наблюдались при задержке в 1 мс (при отсутствии у больных со спастической формой ДЦП торможения), 2 и 3 мс — различия составляли 41%, 32% и 37% соответственно.
Рефлекторная возбудимость спинальных двигательных центров мышц голени у больных ДЦП существенно не изменялась по сравнению с нормой, за исключением повышения порога возникновения рефлекторного ответа. Подобные изменения порога Н-ответа были получены в исследовании Кошелевой и Попова [4]. Что касается других характеристик Н-ответа, то здесь данные литературы противоречивы: отмечено как повышение, так и снижение рефлекторной возбудимости мотонейронов, в частности при спастичности. Здесь, очевидно, следует учитывать не только разнообразие форм ДЦП, но и то, какие именно параметры Н-ответа используются как ведущие для оценки уровня рефлекторной возбудимости, поскольку существует мнение, что различные характеристики Н-ответа отражают состояние различных элементов пула, регуляторные механизмы которых независимы [I].
В покое стимуляция малоберцового нерва вызывает торможение Н-ответа КМ при задержках от 1 до 6 мс и максимумом при 3 мс [15]. РТ, существующее в норме, по нашим данным, у больных ДЦП усилено. При спастической форме ДЦП торможение охватывало период от 1 до 30 мс времени задержки, при гиперкинетической форме РТ регистрировалось в те же периоды, что и у здоровых, однако был усилен коротколатентный компонент торможения.
Что касается НРТ, то существование тормозных связей между ИМ и КМ известно из ряда работ. Pierrot-Deseilligny и соавт. [14] наблюдали торможение Н-ответа КМ при стимуляции нерва МИМ с задержкой между стимулами от 2 до 9 мс. При задержке между стимулами до 2 мс НРТ мотонейронов КМ отмечено Iles и Pisini [10]. Gritti и Schieppati [9] описали 2 коротколатентных периода торможения Н-ответа КМ при стимуляции нерва МИМ - около 0 и 5 мс. В наших исследованиях у больных ДЦП отмечалось усиление НРТ по сравнению с таковым у здоровых на всем протяжении тестируемого интервала - от 2 до 30 мс. При этом паттерн торможения с двумя спадами кривой (рис. 4) у больных со спастической формой ДЦП в целом соответствовал таковому у здоровых. У больных с гиперкинетической формой, как и при исследовании РТ, более выраженным было усиление коротколатентного компонента торможения.
Известно, что при ДЦП нарушается деятельность систем, обеспечивающих положение тела в пространстве. Изменение постурального тонуса принято связывать прежде всего с деятельностью непирамидной системы. Тонические супраспинальные влияния, в норме способствующие активности мышц-антигравитантов, при ДЦП патологически активированы, что особенно выражено у больных с двойной гемиплегией и спастической диплегией. Нисходящие пути, идущие от двигательных центров ствола мозга, воздействуют преимущественно на интернейронный аппарат спинного мозга. В экспериментах на животных были обнаружены обособленные группы спинальных интернейронов, связанные с волокнами различных трактов [3 и др.]. Одновременно на интернейронах системы Iа конвергируют первичные афференты и многие нисходящие пути, включая пирамидный. Mercuri и соавт. [13] показали, что транскраниальная электрическая и магнитная стимуляция коры у здоровых приводит к снижению РТ. Конвергенция нисходящих и восходящих посылок существует и на интернейронах НРТ [11].
Активация тормозных (реципрокных и нереципрокных) влияний на центры мышц-антигравитантов при ДЦП служит, возможно, ограничению их патологической активности. О существовании компенсаторного механизма усиления РТ в отсутствие движения (в покое) у больных ДЦП высказал предположение Yanagisawa [16]. Активация торможения может быть следствием деятельности “антисистемы” [5], под которой понимается механизм, противодействующий патологической системе, что в случае ДЦП может означать стабилизацию патологически активированных мотонейронов, принадлежащих системе антигравитации.
Спинальная регуляция предполагает влияние вышележащих отделов именно на систему взаимодействия между элементами более низкого уровня [б]. Нарушение взаимодействия сегментарных структур при церебральных повреждениях приводит к потере функции модулирования тормозных процессов. Нарушение модуляции спинальных интернейронов у больных с церебральным параличом обнаруживается при использовании транскраниальной магнитной стимуляции [8]. Можно предположить, что изменение характеристик супраспинальных воздействий при ДЦП, приводящее к нарушению взаимодействия сегментарных систем, во многом лишает тормозную “антисистему” ее защитной функции.
Авторы выражают глубокую благодарность за содействие в проведении клинических исследований главному врачу Республиканского центра реабилитации инвалидов с детства, докт. мед. наук В.А. Исаповой.
Об авторах
И. Н. Плещинский
Казанский государственный университет; Республиканский реабилитационный центр для инвалидов с детства
Автор, ответственный за переписку.
Email: info@eco-vector.com
Россия, Казань; Казань
Г. Г. Гусельникова
Казанский государственный университет; Республиканский реабилитационный центр для инвалидов с детства
Email: info@eco-vector.com
Россия, Казань; Казань
Р. Х. Бикмуллина
Казанский государственный университет; Республиканский реабилитационный центр для инвалидов с детства
Email: info@eco-vector.com
Россия, Казань; Казань
Е. В. Новикова
Казанский государственный университет; Республиканский реабилитационный центр для инвалидов с детства
Email: info@eco-vector.com
Россия, Казань; Казань
Список литературы
- Артемьева Е.Н., Кудинова М.П., Залкинд М.С. // Физиология человека. —1977. - № 5. — С. 922-923.
- Бадалян Л.О., Журба Л.Т., Тимонина О.В. Детские церебральные параличи. — Киев, 1988.
- Костюк П.Г.// Нейрофизиология. - 1970. - № 2. - С. 189-202.
- Кошелева Г.Г, Попов С.В. // Журнал невропатол. и психиатр. - 1975. - № 10. - С. 52-58.
- Крыжановский Т.Н. Общая патофизиология нервной системы. Руководство. — М., 1997.
- Пятецкий-Шапиро И.И., Шик МЛ. // Биофизика. - 1964. - Т. 9. - С. 488-492.
- Brouwer В., Smits Е.// Society for neuroscience abstracts. — 1994. - Vol. 20.
- Brouwer В., Smits E.// Developmental medicine and child neurology. - 1996. - Vol. 38. - P. 787-796.
- Gritti I., Schieppati M.// J. Physiol. - 1989. - Vol. 416. - P. 469-481.
- Iles J.F., Pisini J.V. Cortical modulation of transmition in spinal reflex pathways of man. — 1992. — Vol. 455 — P. 425—446.
- Jankowska E.//Progress in Neurobiology. — 1992. - Vol. 38. - P. 335-378.
- Leonard С.T, Moritani T., Hirschfeld H., Forssberg H.// Developmental Medicine and Child Neurology. — 1990. — Vol.32. — P. 974-984.
- Mercuri В., Wassermann E.M., Ikoma К, Samii А., Hallet M.//Electromyography and Motor Control - Electroencephalography and Clinical Neurophysiology. - 1997. - Vol. 105. - P. 87-93.
- Pierrot-Deseilligny E., Morin C., Bergego C., Tonkov N. // Exp. Brain. Res. - 1981. - Vol. 42. - P. 337-350.
- Tanaka R. Inhibitory mechanism in reciprocal innervation in voluntary movements. In: Spinal and supraspinal mechanisms of voluntary motor control and locomotion. /Prog. clin. Neurophysiol. — Vol.8. — Ed. J.E.Desmedt, Karger, Basel, 1980. — P. 117-128.
- Yanagisawa N. Reciprocal reflex connections in motor disorders in man. In: Spinal and supraspinal mechanisms of voluntary motor control and locomotion. Prog. clin. Neurophysiol. — Vol. 8.— Ed. J.E. Desmedt, Karger, Basel, 1980. - P. 129-141.
Дополнительные файлы





