Hypothermic effect of antihypoxant 2-aminobenzotiazole
- Autores: Klimenko D.I.1,2,3, Demidova E.O.4, Karpova I.V.5, Marysheva V.V.3, Evdokimova N.R.5, Shchukina N.A.3, Ganapolsky V.P.3, Shabanov P.D.3,5
-
Afiliações:
- North-Western State Medical University named after I.I. Mechnikov
- Golikov Research Center of Toxicology, Saint Petersburg
- Kirov Military Medical Academy
- Golikov Research Center of Toxicology
- Institute of Experimental Medicine
- Edição: Volume 15, Nº 2 (2024)
- Páginas: 135-140
- Seção: Neuropsychopharmacology
- ##submission.dateSubmitted##: 03.04.2024
- ##submission.dateAccepted##: 11.04.2024
- ##submission.datePublished##: 17.06.2024
- URL: https://journals.eco-vector.com/1606-8181/article/view/629889
- DOI: https://doi.org/10.17816/phbn629889
- ID: 629889
Citar
Texto integral
Resumo
BACKGROUND: The compound 2-aminobenzothiazole (2-ABT), which has a proven antihypoxic effect, was studied at the Department of Pharmacology of the Kirov Military Medical Academy. The mechanism of action of this substance is partially associated with the central action, and its protective effect may be due to the general hypothermic effect. AIM: To determine the effect of 2-ABT on body temperature. MATERIALS AND METHODS: Twenty-four male adult white outbred mice were studied. Moreover, 2-ABT was dissolved in 0.9% sodium chloride solution and administered intraperitoneally to mice at doses of 32.5 mg/kg (with proven antihypoxic effect), 21.7 mg/kg, and 10.8 mg/kg. Rectal temperature was obtained with an electronic thermometer (DT-623, China) before administration of the test substance and at 5, 30, and 60 min after the injection. RESULTS: Compound 2-ABT has a pronounced dose-dependent hypothermic effect. This effect is maximally expressed in a dose in which the compound has a proven antihypoxic property — 32.5 mg/kg. The hypothermic effect was evident within 5 min after administration. Additionally, the maximum decrease in body temperature was observed after 30 min, whereas the effect persisted for 1 h. CONCLUSIONS: 2-ABT may be a promising compound for developing a drug for drug-induced (controlled) hypothermia.
Palavras-chave
Texto integral
ОБОСНОВАНИЕ
В клинической медицине широкое применение нашли лекарственные средства, обладающие защитными свойствами от гипоксии. Применение данных средств направлено на повышение продолжительности жизни и защиту от острой гипоксии организма человека. К остро возникшим состояниям, сопровождающимся острой гипоксией, относится ишемия различных органов и тканей: головного мозга, почек, печени, а также плода [1]. 2-Аминобензотиазол (2-АБТ) — одно из исследованных на кафедре фармакологии Военно-медицинской академии им. С.М. Кирова соединений с доказанным антигипоксическим эффектом [2]. Механизм действия данного вещества частично обусловлен центральным действием [2]. Есть предположение, что протективное действие потенциально может быть связано с общим гипотермическим эффектом, поэтому цель данного исследования состояла в определении влияния 2-АБТ на температуру тела.
МАТЕРИАЛЫ И МЕТОДЫ
В эксперименте использованы 24 особи белых беспородных мышей-самцов массой 30–35 г. Животных, полученных из питомника «Рапполово», содержали в стандартных условиях [3, 4]. Для исследования использовали 2-АБТ, синтезированный на кафедре фармакологии Военно-медицинской академии им. С.М. Кирова. Для изучения влияния на терморегуляторные процессы были выбраны три дозы препарата: первая доза — с доказанным антигипоксическим эффектом — 32,5 мг/кг [1], вторая — 21,7 мг/кг и третья — 10,8 мг/кг. Ректальную температуру регистрировали электронным термометром DT-623 (Китай). Глубина погружения термометра составляла 1,5 см.
До начала эксперимента животных случайным образом распределили на три группы: 1-я — опытная группа (2-АБТ в дозе 32,5 мг/кг), 2-я — опытная группа (2-АБТ в дозе 21,7 мг/кг), 3-я — опытная группа (2-АБТ в дозе 10,8 мг/кг). До введения исследуемого вещества у животных определяли контрольные значения ректальной температуры электронным термометром. Температуру измеряли при комнатных условиях — 20–22 °С. Перед введением 2-АБТ предварительно растворяли в изотоническом растворе хлорида натрия (0,9 %), затем внутрибрюшинно в соответствующих дозах (32,5; 21,6; 10,8 мг/кг) вводили животным (0,1 мл/ 10 г веса). Температуру регистрировали через 5, 30 и 60 мин после внутрибрюшинной инъекции.
Полученные результаты анализировали при помощи пакета статистических прикладных программ Graph Pad Prism 6.0 (GraphPad Software, США). Данные обрабатывали методами непараметрической статистики для малых выборок. Для исследования временного хода изменений, происходящих у мышей каждой группы при введении определенной дозы препарата, использовали парный критерий Вилкоксона. Для сравнения эффектов различных доз 2-АБТ через 5, 30 и 60 мин после введения применяли непарный критерий Манна – Уитни. Различия считали статистически значимыми при p < 0,05. Данные представлены в виде медиан (Мe) с указанием границ вариационных рядов [хmin; хmax].
РЕЗУЛЬТАТЫ
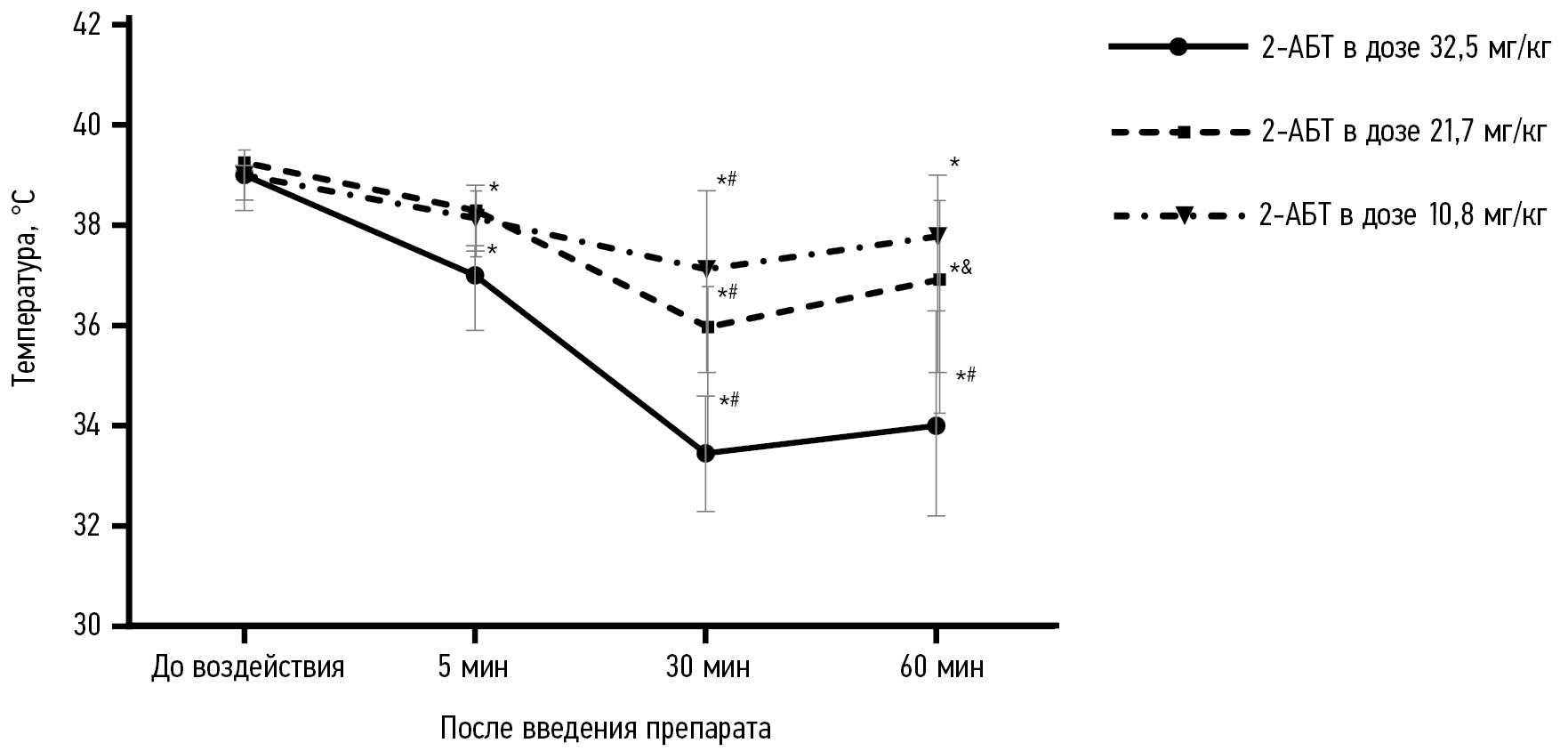
Результаты измерения ректальной температуры у мышей трех групп приведены в таблице и графически представлены на рисунке.
У всех экспериментальных животных 2-АБТ снижал ректальную температуру. Максимальный гипотермический эффект отмечен при введении соединения в доказанной антигипоксической дозе (32,5 мг/кг). Гипотермическое действие вещества статистически значимо проявлялось уже спустя 5 мин после введения (р = 0,0313). Максимальное действие 2-АБТ (32,5 мг/кг) наблюдалось на 30-й минуте (р = 0,0313), при этом к 60-й минуте достигнутая температура статистически значимо не возрастала (р = 0,3125). Таким образом, продолжительность выраженного гипотермического эффекта 2-АБТ в дозе 32,5 мг/кг составляет не менее часа (см. табл., рис.).
При введении 2-АБТ в дозе 21,7 мг/кг гипотермический эффект также возникает спустя 5 мин (р = 0,0313). Через 30 мин также отмечено максимальное снижение ректальной температуры (р = 0,0313), которое статистически значимо сохранялось до 60-й минуты исследования (р = 0,0313). Однако по сравнению с 30-й минутой, на 60-й минуте температура тела значимо возрастала (р = 0,0313) и приближалась к результату, полученному на 5-й минуте исследования (р = 0,0625), что свидетельствует о меньшей продолжительности гипотермического эффекта более низкой дозы вещества (21,7 мг/кг) (см. табл., рис.).
Действие 2-АБТ в дозе 10,8 мг/кг через 5 мин после введения вещества статистически значимо не проявлялось (р = 0,0625). Однако спустя 30 мин зафиксирован гипотермический эффект (р = 0,0313), который сохранялся до 60-й минуты (р = 0,0313). Таким образом, снижение дозы вещества приводит к уменьшению продолжительности гипотермического эффекта у животных (см. табл., рис.).
Рис. 1. Динамика изменения температуры тела у мышей под действием 2-АБТ. Представлены медианы значений ректальной температуры, зарегистрированных через 5, 30 и 60 мин после введения исследованного вещества в дозах: 32,5; 21,7; 10,8 мг/кг. Вертикальными штрихами обозначены границы соответствующих вариационных рядов. Временной ход изменений температуры тела под действием 2-АБТ: * — статистически значимые отличия от температуры, зарегистрированной у мышей соответствующей группы до введения вещества (p < 0,05); # — статистически значимые отличия от температуры, зарегистрированной у мышей соответствующей группы через 5 мин после введения вещества (p < 0,05); & — статистически значимые отличия от температуры, зарегистрированной у мышей соответствующей группы через 30 мин после введения вещества (p < 0,05) (по критерию Вилкоксона)
До введения 2-АБТ у мышей всех трех групп температура тела значимо не различалась (см. табл., рис.). Однако уже через 5 мин отмечены статистически значимые различия между группами животных, получавших 2-АБТ в дозах 10,7 и 32,5 мг/кг (р = 0,0087) и 21,7 и 32,5 мг/кг (р = 0,0087) (см. табл., рис.). Через 30 мин также наблюдалось статистически значимое различие между дозами 10,7 и 32,5 мг/кг (р = 0,0022) и группой с дозами 21,7 и 32,5 мг/кг (р = 0,0173) (см. табл., рис.). Максимальный гипотермический эффект отмечен при введении 2-АБТ в дозе 32,5 мг/кг. Через 60 мин гипотермический эффект сохранялся, при этом были выявлены значимые различия между эффектами препарата в дозах 10,7 и 32,5 мг/кг (р = 0,0087) и 21,7 и 32,5 мг/кг (р = 0,0152) (см. табл., рис.).
Таким образом, наиболее эффективным для снижения ректальной температуры было введение 2-АБТ в дозе 32,5 мг/кг, что позволяет рассматривать данное вещество как эффективное потенциальное гипотермическое средство с быстрым наступлением фармакологического эффекта (уже через 5 мин после введения), действие которого продолжается не менее часа после введения.
Полученные нами результаты о влиянии 2-АБТ на температуру гомойотермных животных согласуются с данными литературы. Так, в работе В.В. Дикманова (2011) показано, что вещества со схожими фармакоформными группами могут оказывать гипотермический эффект [5]. В частности, при введении животным препаратов — производных группы тиазолиндолов — ректальная температура достоверно снижается [5]. Аналогичные результаты получены в ходе изучения способности известных антигипоксантов, таких как амтизол, биметил и мексидол, изменять ректальную температуру [6]. Внутрибрюшинное введение амтизола в различных дозах (10, 25, 50, 100 мг/кг) через час приводило к значимому уменьшению ректальной температуры [6]. Обнаружено также, что не только антигипоксанты аминотиолового, тиазолиндольного и бензотиазольного ряда могут оказывать гипотермический эффект. Металлорганические селеносодержащие комплексы обладают выраженными антигипоксическими и гипотермическими свойствами [6].
Однако не только приведенные выше соединения могут воздействовать на процессы терморегуляции. Давно известно, что ряд препаратов центрального типа действия также вызывает гипотермический эффект. Так, клофелин, действуя на пресинаптические альфа-адренорецепторы, выраженно снижает температуру тела у экспериментальных животных [7]. Помимо адренергических средств гипотермический эффект могут оказывать также нейролептические средства. Яркий представитель антипсихотиков, выраженно снижающий температуру, — галоперидол [8]. Кроме того, тест на способность уменьшать температуру тела нашел применение в изучении новых лекарственных средств с антидепрессивным эффектом [9]. Гипотермический эффект, вызванный разными группами веществ, очевидно, реализуется через разные механизмы терморегуляции.
Важно отметить, что гипотермический эффект может быть актуален при терапии критических состояний, таких как шок, нарушение мозгового кровообращения, острое нарушение коронарного кровообращения, тяжелые черепно-мозговые травмы и др. [10]. Поэтому данное свойство уже известных фармакологических препаратов может способствовать расширению спектра их применения в клинической медицине, а поиск новых препаратов с гипотермическим эффектом и изучение механизма их действия представляет важное перспективное направление.
ВЫВОДЫ
- Соединение 2-АБТ оказывает выраженный дозозависимый гипотермический эффект.
- Данный эффект максимально выражен в дозе, в которой соединение обладает доказанным антигипоксическим свойством, — 32,5 мг/кг.
- Гипотермический эффект проявляется уже через 5 мин после введения, максимальное снижение температуры тела наблюдается через 30 мин, при этом эффект сохраняется в течение часа.
- 2-АБТ может быть перспективным соединением при создании препарата для проведения медикаментозной (управляемой) гипотермии.
Таблица. Значения ректальной температуры у мышей после внутрибрюшинного введения 2-АБТ
Table. Rectal temperature values in mice after intraperitoneal administration of 2-ABT
Доза введения 2-АБТ | Ректальная температура, °С | |||
до воздействия | 5 мин | 30 мин | 60 мин | |
32,5 мг/кг (1-я группа) | 37,0* | 33,45*, # | 34,0*,# | |
21,6 мг/кг (2-я группа) | 39,15 | 38,2* | 35,9*,#,@ | 36,85*,& |
10,8 мг/кг (3-я группа) | 38,9 | 38,05@@, %% | 37,05*,#,@@,%% | 37,7*,@@,%% |
Примечание. Данные представлены в виде медиан и границ вариационных рядов (Me[хmin; хmax]). Изменение температуры тела под действием 2-АБТ: * — статистически значимые отличия от температуры, зарегистрированной у мышей соответствующей группы до введения вещества (p < 0,05); # — статистически значимые отличия от температуры, зарегистрированной через 5 мин после введения вещества (p < 0,05); & — статистически значимые отличия от температуры, зарегистрированной через 30 мин после введения вещества (p < 0,05) (по критерию Вилкоксона). Дозозависимые эффекты 2-АБТ через 5, 30 и 60 мин после введения вещества: @ — p < 0,05; @@ — p < 0,01 — значимые отличия от эффекта 2-АБТ в дозе 10,8 мг/кг; %% — p < 0,01 — значимые отличия от эффекта 2-АБТ в дозе 21,6 мг/кг (по критерию Манна – Уитни).
Note. Data are presented as median and range of ordered samples (Me[хmin; хmax]). Changes in body temperature under the influence of 2-ABT are as follows: *, significant differences from the temperature recorded in mice of the corresponding group before substance administration (p < 0.05); #, significant differences from the temperature recorded 5 min after substance administration (p < 0.05); &, significant differences from the temperature recorded 30 min after substance administration (p < 0.05) (Wilcoxon test). Dose-dependent effects of 2-ABT at 5, 30, and 60 min after substance administration: @, p < 0.05; @@, p < 0.01, significant differences from the effect of 2-ABT at a dose of 10.8 mg/kg; %%, p < 0.01, significant differences from the effect of 2-ABT at a dose of 21.6 mg/kg (according to the Mann–Whitney test)
ДОПОЛНИТЕЛЬНАЯ ИНФОРМАЦИЯ
Вклад авторов. Все авторы внесли существенный вклад в разработку концепции, проведение исследования и подготовку статьи, прочли и одобрили финальную версию перед публикацией. С.И. Уткин, О.Ж. Бузик, А.А. Бурцев — написание статьи, анализ данных; С.И. Уткин — разработка общей концепции.
Конфликт интересов. Авторы декларируют отсутствие явных и потенциальных конфликтов интересов, связанных с публикацией настоящей статьи.
Источник финансирования. Авторы заявляют об отсутствии внешнего финансирования при проведении исследования.
Информированное согласие на публикацию. Авторы получили письменное согласие пациентов на публикацию медицинских данных.
ADDITIONAL INFORMATION
Authors contribution. Thereby, all authors made a substantial contribution to the conception of the study, acquisition, analysis, interpretation of data for the work, drafting and revising the article, final approval of the version to be published and agree to be accountable for all aspects of the study. S.I. Utkin, O.Z. Buzik, A.A. Burtsev — manuscript drafting, writing and pilot data analyses; S.I. Utkin — general concept discussion.
Competing interests. The authors declare that they have no competing interests.
Funding source. This study was not supported by any external sources of funding.
Sobre autores
D. Klimenko
North-Western State Medical University named after I.I. Mechnikov; Golikov Research Center of Toxicology, Saint Petersburg; Kirov Military Medical Academy
Autor responsável pela correspondência
Email: dima.klimenko999@mail.ru
ORCID ID: 0009-0007-8168-7228
Código SPIN: 8481-4489
Rússia, 47 Piskarevsky pr., 195067, Saint Petersburg; Saint Petersburg; Saint Petersburg
E. Demidova
Golikov Research Center of Toxicology
Email: bedskaya.667@yandex.com
ORCID ID: 0009-0003-0820-8471
Código SPIN: 1618-1510
Rússia, Saint Petersburg
I. Karpova
Institute of Experimental Medicine
Email: inessa.karpova@gmail.com
ORCID ID: 0000-0001-8725-8095
Código SPIN: 9874-4082
Dr. Sci. (Biology), Assistant Professor
Rússia, Saint PetersburgV. Marysheva
Kirov Military Medical Academy
Email: vvmarysheva@jandex.ru
Rússia, Saint Petersburg
N. Evdokimova
Institute of Experimental Medicine
Email: enatalyar@mail.ru
ORCID ID: 0000-0003-4318-2556
Código SPIN: 2087-0058
Cand. Sci. (Biology)
Rússia, Saint PetersburgN. Shchukina
Kirov Military Medical Academy
Email: tshukina.nella@gmail.com
ORCID ID: 0000-0001-6479-5971
Código SPIN: 8582-5461
Rússia, Saint Petersburg
V. Ganapolsky
Kirov Military Medical Academy
Email: ganvp@mail.ru
ORCID ID: 0000-0001-7685-5126
Código SPIN: 9872-8841
MD, Dr. Sci. (Medicine)
Rússia, Saint PetersburgP. Shabanov
Kirov Military Medical Academy; Institute of Experimental Medicine
Email: pdshabanov@mail.ru
ORCID ID: 0000-0003-1464-1127
Código SPIN: 8974-7477
Dr. Sci. (Medicine, Pharmacology), Professor
Rússia, Saint Petersburg; Saint PetersburgBibliografia
- Shabanov PD, Zarubina IV, Novikov VE, Tsygan VN. Metabolic correctors of hypoxia. Belevitin AB, editor. Saint Petersburg: Inform-Novigator; 2010. 912 p. (In Russ.)
- Patent RUS N 2776219 C1/14.07.2022. Marysheva VV, Shabanov PD, Mikheev VV. Method of increasing life expectancy in experiment under hypercapnic hypoxia. (In Russ.)
- GOST 33215-2014 from 01.07.2016. Guidelines for the maintenance and care of laboratory animals. Rules for equipment of premises and organisation of procedures. Moscow: Standardinform; 2019. 11 p. (In Russ.)
- GOST 33216-2014 from 01.07.2016. Guidelines for the maintenance and care of laboratory animals. Rules for maintenance and care of laboratory rodents and rabbits. Moscow: Standardinform; 2019. 8 p. (In Russ.)
- Dikmanov VV, Novikov VE, Marysheva VV, Shabanov PD. Antihypoxic properties of triazinoindol derivatives. Reviews on Clinical Pharmacology and Drug Therapy. 2011;9(3):60–64. EDN: OUNJPD
- Sosin DV. Selenium-containing metal complex compounds in acute exogenous hypoxia: speciality [dissertation abstract]. Saint Petrsburg, 2015. 22 p. (In Russ.)
- Skripka MO, Maltsev DV, Spasov AA, Perfiliev MA. Pharmacological analysis of the mechanisms of action of a ouinoxaline derivative with anxiolytic properties. Journal of Volgograd State Medical University. 2022;19(3):134–140. EDN: GEYFDE doi: 10.19163/1994-9480-2022-19-3-134-140
- Lin MT, Wang HS, Wang Z, Chern YF. Haloperidol produces hypothermic effects in rats. Experientia. 1979;35(11):1469–1470. doi: 10.1007/BF01962790
- Khabriev RU, editor. Manual on experimental (preclinical) study of new pharmacological substances. 2nd ed., rev. and suppl. Moscow: Medicine, 2005. 832 p. (In Russ.)
- Choukér A, Ngo-Ahn TJ, Biesbroek R, et al. European space agency’s hibernation (torpor) strategy for deep space missions: Linking biology to engineering. Neurosci Biobehav Rev. 2021;131:618–626. doi: 10.1016/j.neubiorev.2021.09.054
Arquivos suplementares




