Аналитическое решение краевой задачи математического моделирования нестационарного течения нефти по магистральному трубопроводу при наличии внутренних источников давления
- Авторы: Афиногентов А.А.1, Тычинина Ю.А.1
-
Учреждения:
- Самарский государственный технический университет
- Выпуск: Том 30, № 4 (2022)
- Страницы: 6-19
- Раздел: Информационные технологии и коммуникации
- URL: https://journals.eco-vector.com/1991-8542/article/view/109763
- DOI: https://doi.org/10.14498/tech.2022.4.1
- ID: 109763
Цитировать
Полный текст
Аннотация
Магистральный нефтепровод ввиду его пространственной протяженности может рассматриваться как объект управления с распределенными параметрами (ОРП). Зависимости от времени и координаты скорости потока и давления в трубопроводе рассматриваются в качестве управляемых выходных величин ОРП. Краевая задача математического моделирования процесса трубопроводного транспорта нефти в стандартной форме представлена в виде линейного дифференциального уравнения в частных производных второго порядка. В работе представлено решение краевой задачи математического моделирования нестационарного течения нефти по магистральному трубопроводу при наличии внутренних сосредоточенных источников давления в виде функций, описывающих зависимости от времени и пространственной координаты давлений и средних по сечению трубопровода скоростей потока нефти. Для представления решения краевой задачи в форме интегралов свертки получены функции Грина и стандартизирующие функции, что позволяет использовать негладкие (разрывные) зависимости для описания программ изменения во времени величин внутренних сосредоточенных источников давления. Полученные решения позволяют использовать методы теории оптимального управления системами с распределенными параметрами для решения задач оптимального управления процессом трубопроводного транспорта нефти.
Полный текст
Введение
Магистральные трубопроводы (МТП), предназначенные для транспортировки нефти и нефтепродуктов, имеют большую протяженность, ввиду чего с позиции задачи управления их следует рассматривать как объекты с распределенными параметрами (ОРП) [1–4]. Для решения широкого круга прикладных задач оптимального управления системами с распределенными параметрами, таких как поиск оптимальных программ управления и синтез систем регулирования с обратной связью, востребованными остаются аналитические модели управляемых процессов [3–7]. Такие проблемно-ориентированные модели могут быть получены путем решения соответствующих краевых задач математической физики [8–11]. Проблемная ориентированность моделей для целей синтеза систем оптимального управления подразумевает применение специальных методов решения краевой задачи, в частности метода функций Грина [2, 9–11].
Движение условно несжимаемой нефти по трубопроводу постоянного диаметра описывается уравнениями математической физики гиперболического типа [8, 9]. В частности, в работах [1, 5] на основе системы одномерных уравнений нестационарного движения жидкости И.А. Чарного [12], широко используемой для описания гидродинамики магистральных нефтепроводов [13, 14], предложена краевая задача математического моделирования процесса трубопроводного транспорта нефти при наличии внутренних сосредоточенных источников давления и расхода. Численное решение задачи получено в работе [1], в работах [4, 5] с использованием метода функций Грина получено решение линеаризованной задачи для пространственно-временного распределения скорости потока при наличии в трубопроводе внутренних сосредоточенных источников давления. В то же время более востребованными для решения задач оптимального управления режимами работы магистральных нефтепроводов являются модели, описывающие пространственно-временное распределение внутренних давлений в трубопроводе [5, 12–14]. В статье будет представлено аналитическое решение описанной выше краевой задачи математического моделирования процесса трубопроводного транспорта нефти для пространственно-временного распределения давлений в МТП при наличии внутренних источников давления, сосредоточенных в некоторых точках расположения нефтеперекачивающих станций (НПС).
Краевая задача математического моделирования нестационарного течения нефти по магистральному трубопроводу при наличии внутренних источников давления
Взаимосвязь внутреннего избыточного давления P и средней по сечению скорости ω потока нефти плотностью ρ, движущейся по трубопроводу постоянного диаметра D и длиной L, в любой точке x, по направлению движения потока и в любой момент времени t, описывается согласно [1, 10–14] системой двух одномерных дифференциальных уравнений в частных производных:
, (1)
, (2)
где – угол наклона оси трубопровода к произвольной горизонтальной поверхности; – ускорение свободного падения; c – скорость распространения волн в жидкости, текущей в стальной трубе с толщиной стенки , определяется по формуле Жуковского [1, 12, 14].
Система уравнений (1), (2) дополняется начальными условиями
(3)
или соответствующими условиям (3) начальными условиями
, (4)
описывающими исходное стационарное состояние в трубопроводе, которое сохраняется до момента появления в некоторой внутренней точке с координатой источника давления, величина которого во времени меняется согласно зависимости . В (1) и (4) и – коэффициенты линеаризации. Тогда в уравнении (1) функция распределения по длине трубопровода внутренних источников давления, приложенных в точках расположения НПС, имеет вид
, (5)
где – функции Дирака; – индекс работающих НПС; – индекс работающих на каждой k-ой НПС насосных агрегатов.
Граничные условия краевой задачи формулируются с учетом допущения, что при наличии больших резервуаров в начале и конце МТП изменение уровней взлива и потерь давления в коммуникациях начального и конечного пунктов за время протекания нестационарных процессов будет несущественным по сравнению с давлениями в линейной части МТП. Тогда в качестве граничных можно принять условия
, (6)
или соответствующие условиям (6) граничные условия
, . (7)
Совместно уравнения (1), (2) с начальными условиями (3), (4) и граничными условиями (6), (7) составляют краевую задачу математического моделирования нестационарного течения нефти по магистральному трубопроводу при наличии внутренних источников давления с пространственно-временной функцией распределения в форме (5).
Схемы линеаризации уравнения (1) описаны в [10, 12] и основаны на замене произведения нелинейной функции гидравлических потерь и квадрата средней скорости потока в трубопроводе линейной зависимостью
, (8)
как показано на рис. 1.
Рис. 1. Схема выбора коэффициентов линеаризации уравнения (1)
Схема выбора коэффициентов линеаризации (см. рис. 1) содержит две точки пересечения прямой и исходной нелинейной зависимости , которая может быть построена по формулам гидравлических сопротивлений для зоны гидравлически гладких труб и зоны смешанного трения турбулентного режима течения [15], характерных для большинства режимов транспортировки нефти и нефтепродуктов.
Система уравнений (1), (2) приводится в работах [10, 11] к каноническому виду в форме
, (9)
где определяется как
. (10)
В качестве типовой программы пуска (останова) насосного агрегата может рассматриваться программа с постоянной скоростью роста () или снижения () перепада давления на насосе, приведенная в [5], функциональная зависимость от времени которой имеет вид
(11)
(12)
и приведена на рис. 2.
Рис. 2. Программа пуска и останова sk-го насосного агрегата k-й НПС
Стандартная форма, функция Грина и стандартизирующая функция краевой задачи математического моделирования нестационарного течения нефти по магистральному трубопроводу при наличии внутренних источников давления
Аналитическое решение задачи относительно скорости потока жидкости в трубопроводе получено в [11] с помощью метода функций Грина. Представим краевую задачу (9) относительно пространственно-временной функции распределения скоростей потока с начальными условиями (3), граничными условиями (7) и функцией распределения внутренних источников давления (10) в стандартной форме. Под стандартной формой будем понимать эквивалентную задаче (9), (3), (7), (10) краевую задачу с нулевыми начальными и однородными граничными условиями [2–4, 9]. Характеристикой краевой задачи в стандартной форме или ее импульсной переходной функцией будет являться функция Грина
, (13)
такая, что позволяет получить аналитическую зависимость для в виде интеграла
, (14)
где – стандартизирующая функция, позволяющая представить исходную краевую задачу (9), (3), (7), (10) с ненулевыми начальными и, в общем случае, неоднородными граничными условиями в виде эквивалентной краевой задачи с нулевыми начальными и однородными граничными условиями.
С учетом аналитического решения рассматриваемой краевой задачи относительно скорости потока жидкости в трубопроводе , полученной в [11], и правил, установленных в [2–4], получим следующие выражения для :
(15)
(16)
где – целое число, полученное округлением в меньшую сторону отношения . Выражение для стандартизирующей функции принимает вид
. (17)
Проинтегрировав в (14) по пространственной координате ξ, с учетом свойств δ-функции и линейности интеграла свертки получим выражение для в более простом виде:
. (18)
Аналитическое решение исходной краевой задачи относительно пространственно-временного распределения давлений можно получить в виде функции Грина путем подстановки (15) в уравнение (2) и последующего интегрирования результата подстановки
(19)
по схеме, приведенной далее, и составления новой стандартизирующей функции , удовлетворяющей начальным условиям (4) и граничным условиям (6).
Интегрирование по t правой части (19) сводится к получению двух интегралов:
, (20)
. (21)
Введем новые переменные интегрирования:
, (22)
. (23)
Тогда (20), (21) примут вид
, (24)
, (25)
Получение интеграла (24) не представляет особой сложности после раскрытия выражения для . Результат интегрирования (24) имеет вид
, (26)
. (27)
Для интегрирования (25) выделим интеграл:
, (28)
. (29)
Для получения решений в (28) выполним двойное интегрирование по частям и сведем интеграл к «самому себе». Для интегрирования по частям в (28) положим:
, (30)
, (31)
тогда после первого этапа интегрирования по частям получим:
(32)
Для повторного интегрирования по частям (32) положим вместо (31)
, (33)
тогда после второго этапа интегрирования по частям (32) примет вид
(34)
Как видно из выражения (34), интеграл свелся к «самому себе», и после незначительных преобразований получим
. (35)
Выражение для (21) примет вид
. (36)
После подстановки (22) и (27) в (26) получим:
. (37)
После подстановки (23) и (28) в (36) получим:
. (38)
Тогда результат интегрирования (19) окончательно примет вид:
(39)
Функция Грина (39) является решением задачи (1), (2) при нулевых начальных условиях, обращается в ноль при t=0, начальные условия являются статичными и не зависят от τ (следовательно, можно принять τ=0), тогда постоянные интегрирования и должны удовлетворять тождеству
(40)
Отсюда и определяются как
, . (41)
Соответствие граничных условий (7) условиям (6) и начальных условий (3) условиям (4) позволяет провести замену в (17) следующим выражением:
, (42)
после чего вместо стандартизирующей функции для граничных условий (7) и начальных условий (3) можно использовать функцию для граничных условий (6) и начальных условий (4) в форме
, (43)
а аналитическое решение краевой задачи (1), (2) относительно находится в виде интеграла:
. (44)
Проинтегрировав в (44) по пространственной координате ξ аналогично (18), получим решение для в виде
, (45)
где . (46)
Сравнительный анализ результатов аналитического и численного решения краевой задачи
Полученные интегральные формы (18) и (45) позволяют получить в аналитическом виде в любой момент времени функции распределения давлений и средних скоростей потока нефти по длине магистрального трубопровода при наличии внутренних источников давления, которые в достаточно полной мере описывают гидродинамику изотермических нефтепроводов. Методика численного решения в пакете MathCAD нелинейной краевой задачи математического моделирования гидродинамики магистрального нефтепровода представлена в работе [1].
В данном разделе приводится сравнение результатов аналитического решения в форме (18), (45) и численного решения по методике [1] линеаризованной краевой задачи (1) – (7) на примере технологического участка магистрального трубопровода, имеющего протяженность L = 200 км, внутренний диаметр D = 1200 мм. Транспортируемый продукт – нефть плотностью , вязкостью , для условий течения которой определены коэффициенты линеаризации , согласно схеме (см. рис. 1).
В начальный момент времени режим течения нефти в трубопроводе стационарный со средней по сечению скоростью потока , давления в начале и в конце трубопровода составляют соответственно , , профиль трассы ровный. В момент времени в точке расположения НПС км происходит пуск насосного агрегата по программе (11), (12) с параметрами и . Для расчетов учитывались первые 400 членов ряда в (15) и (40), при N*=1 численный расчет по методике [1] реализован на сетке размером 400×400.
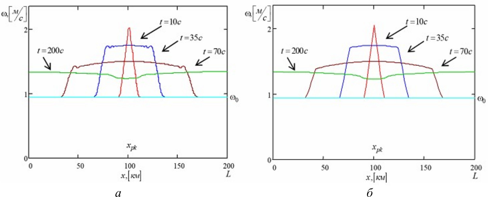
Результаты расчетов распределения по длине трубопровода средних по сечению скоростей потока представлены на рис. 3, распределения давлений – на рис. 4 для четырех моментов времени (10 с, 35 с, 70 с, 200 с).
Рис. 3. Распределение скорости потока по длине трубопровода в различные моменты времени: а – численное решение; б – аналитическое решение
Рис. 4. Распределение давления по длине трубопровода в различные моменты времени: а – численное решение; б – аналитическое решение
Сравнительный анализ результатов численного и аналитического решения линеаризованной краевой задачи (1) – (7) показывает:
– высокую степень совпадения результатов расчетов во временной области: характер распределения функций и в частности положение фронта волны давления (скорости потока), полученные как по численной, так и по аналитической модели, совпадают в моменты времени, отличные друг от друга менее чем на 1 %;
– высокую степень совпадения результатов расчетов по пространственной координате: абсолютные значения функций и , полученные как по численной, так и по аналитической модели и совпадающие по характеру в некоторые моменты времени, отличаются друг от друга менее чем на 1 %;
– зависимость точности совпадения результатов расчетов от количества узлов сетки численной модели (шага расчета по пространственной и временной координате) и количества членов ряда в (15) и (40). Указанная выше точность совпадения результатов расчетов достигается для следующих параметров численной и аналитической моделей: шаг сетки по пространственной координате численной модели , шаг сетки по временной координате численной модели , количество членов ряда в (15) и (40) .
Заключение
В работе представлено аналитическое решение краевой задачи математического моделирования нестационарного течения нефти по магистральному трубопроводу в виде функций, описывающих зависимости от времени и пространственной координаты давлений и средних по сечению трубопровода скоростей потока нефти, рассматриваемых в качестве управляемых величин объекта управления с распределенными параметрами, при наличии внутренних источников давления, сосредоточенных в точках расположения нефтеперекачивающих станций.
Получены функции Грина и стандартизирующие функции для представления решения краевой задачи в форме интегралов свертки, что позволяет использовать негладкие (разрывные) функции для описания программ изменения во времени внутренних сосредоточенных источников давления, рассматриваемых в качестве управляющих воздействий для объекта управления с распределенными параметрами.
Проведенный сравнительный анализ результатов численного и аналитического решений краевой задачи показал высокую степень совпадения результатов расчетов во временной и пространственной области. Позволил определить требования к параметрам численной и аналитической моделей, обеспечивающих высокую точность решения краевой задачи.
Полученные в работе аналитические зависимости от времени и пространственной координаты давлений и средних по сечению трубопровода скоростей потока нефти позволяют приступить к решению задач оптимального программного управления и задач синтеза замкнутых систем регулирования процесса транспортировки нефти по магистральному трубопроводу с использованием методов теории оптимального управления системами с распределенными параметрами.
Об авторах
Александр Александрович Афиногентов
Самарский государственный технический университет
Email: Pondex@yandex.ru
ORCID iD: 0000-0003-3498-6587
SPIN-код: 9243-2840
Scopus Author ID: 56695164500
ResearcherId: N-4453-2014
кандидат технических наук, доцент
Россия, 443100, г. Самара, ул. Молодогвардейская, 244Юлия Александровна Тычинина
Самарский государственный технический университет
Автор, ответственный за переписку.
Email: ytychinina@list.ru
SPIN-код: 5315-1230
кандидат технических наук, доцент
Россия, 443110, г. Самара, ул. Молодогвардейская, 244Список литературы
- Афиногентов А.А., Плешивцева Ю.Э., Снопков А.С. Математическое моделирование управляемых гидродинамических процессов трубопроводного транспорта жидких углеводородов // Вестник Самарского государственного технического университета. Cер.: Технические науки. 2010. № 7(28). С. 137–144.
- Бутковский А.Г. Характеристики систем с распределенными параметрами. М.: Наука, 1979. 224 с.
- Бутковский А.Г. Методы управления системами с распределенными параметрами. М.: Наука, 1975. 568 с.
- Рапопорт Э.Я. Оптимальное управление системами с распределенными параметрами. М.: Высш. шк., 2009. 677 с.
- Афиногентов А.А., Плешивцева Ю.Э., Ефимов А.П. Оптимальное по быстродействию управление переходными режимами работы магистрального нефтепровода // Вестник Самарского государственного технического университета. Cер.: Технические науки. 2011. № 3(31). С. 6–13.
- Рапопорт Э.Я. Структурное моделирование объектов и систем управления с распределенными параметрами. М.: Высш. шк., 2003. 300 с.
- Рапопорт Э.Я. Анализ и синтез систем автоматического управления с распределенными параметрами. М.: Высш. шк., 2005. 292 с.
- Тихонов А.Н., Самарский А.А. Уравнения математической физики. М.: Наука, 1966. 724 с.
- Арсенин В.Я. Методы математической физики и специальные функции. М.: Наука, 1984. 384 с.
- Афиногентов А.А., Тычинина Ю.А. Решение краевой задачи математического моделирования процесса трубопроводного транспорта нефти методом Фурье // Вестник Самарского государственного технического университета. Cер.: Технические науки. 2013. № 2(38). С. 188–196.
- Афиногентов А.А., Тычинина Ю.А., Попов А.В. Решение краевой задачи математического моделирования процесса трубопроводного транспорта нефти методом функций Грина // Вестник Самарского государственного технического университета. Cер.: Технические науки. 2014. № 2(42). С. 164–173.
- Чарный И.А. Неустановившееся движение реальной жидкости в трубах. М.: Недра, 1975. 296 с.
- Мирзаджанзаде А.Х., Галлямов А.К., Марон В.И., Юфин В.А. Гидродинамика трубопроводного транспорта нефти и нефтепродуктов. М.: Недра, 1984. 287 с.
- Лурье М.В. Математическое моделирование процессов трубопроводного транспорта нефти, нефтепродуктов и газа. М.: РГУ нефти и газа им. И.М. Губкина, 2012. 456 с.
- Идельчик И.Е. Справочник по гидравлическим сопротивлениям. М.: Машиностроение, 1992. 672 с.
Дополнительные файлы







