Cognitive aggregate-flow metamodel of the process automatic spacecraft flight control
- Authors: Kovtun V.S.1
- 
							Affiliations: 
							- S. p. Korolev rocket and space Corporation Energia (RSCE)
 
- Issue: Vol 28, No 3 (2020)
- Pages: 35-60
- Section: Informatics, Computer Science and Control
- URL: https://journals.eco-vector.com/1991-8542/article/view/42002
- DOI: https://doi.org/10.14498/tech.2020.3.3
- ID: 42002
Cite item
Full Text
Abstract
Currently, there is an urgent scientific problem of ensuring the effective implementation of the automatic spacecraft (AS) flight program, taking into account the material, energy and information resource limitations of onboard systems (OS). The consumption of OS resources largely depends on the synergistic phenomena that occur during intersystem interaction in the AS. By using these phenomena, it is possible to increase the efficiency of the use of existing resources, as well as to supplement them with new "synergistic" resources [1,2]. At the same time, synergistic phenomena can lead to premature development of the OS resource and unforeseen (non-calculated) failures and accidents [3]. For purposeful search and use of these synergistic phenomena, it is necessary to conduct a special study of the processes occurring on board. Research becomes possible only when moving from the system-cybernetic model of AS as a " black box "to a system-cybernetic model that provides" transparency "of AS as a" white box", which requires high accuracy and complexity of analysis of processes occurring on board [4]. This situation determines the urgency of developing new engineering techniques and modeling technologies. To create them, it is necessary to solve the problem of the initial stage of building models that describe in one form or another the engineering knowledge of OS development experts and flight control specialists [5]. The development of a universal method for solving the problem of the initial stage of modeling is significantly complicated due to the wide variety of OS, each of which has its own emergent and synergistic properties, which largely depend on the "non-clonability" of their elements [6,7].
In order to simplify the modeling of real OS functioning processes, taking into account their specifics, it is proposed to carry out preliminary development of a formalized cognitively structured aggregate-flow metamodel ("model of models") of the AS flight control process, which contains information about potentially existing capabilities for controlling the state of vehicles in various conditions of implementation of nominal and abnormal processes. Creating a conceptual metamodel allows you to make the transition from the subject formalized model to the next stages of modeling-formal-mathematical and material-functional modeling, which take into account the individual characteristics of the processes on board the AS when controlling its flight. At the same time, the problems of overcoming the complexity of the metamodel, including its dimension, are solved.
Full Text
Введение
Непременным условием устойчивого функционирования АКА на протяжении всего времени его активного существования на орбите является ресурсное обеспечение БС. На этапе эскизного проектирования аппарата для выполнения программы полета устанавливается ресурсный баланс (сводка) БС, в который входит необходимый запас встроенных в эти системы структурных и функциональных ресурсов, в том числе определяется необходимая масса рабочего тела (РТ) для электроракетных двигателей и топлива для жидкостных ракетных двигателей, мощность бортовых источников электроэнергии. Проектный расчет ресурсного обеспечения производится на основе комплексного анализа первичных причинно-следственных топологических и функциональных номинальных связей между БС и их элементами, а также эмерджентных свойств, выявленных в результате реализации на практике двойственных взаимосвязанных процессов декомпозиции-агрегирования (объединения, укрупнения) тех или иных бортовых подсистем в общую БС. Однако, как бы ни производилась декомпозиция АКА, на самом «первичном» уровне, который определяется «системой», из-за ее открытости и нелинейности возникают неявные эволюционные вторичные причинно-следственные взаимодействия, которые традиционные функциональная и топологическая схемы систем не отражают. Вторичные взаимодействия, вызванные многоместными отношениями номинальных процессов, протекающих в системах, с процессами, определяемыми внешними факторами, приводят к появлению синергетических явлений.
Далее будем называть синергетическими ресурсами такой вид ресурсов, который формируется в ходе самоорганизации и саморазвития БС за счет объективно существующих явных и неявных многоместных отношений, описывающих взаимодействия между процессами, протекающими в ходе совместного функционирования рассматриваемых систем с учетом влияния внешней среды.
АКА одновременно является сложной технической системой (СТС) и большой технической системой (БТС). С гносеологической позиции система является сложной, так как требует для познания привлечения многих моделей (многомодельности), многих теорий и научных дисциплин. Одним из наиболее существенных видов онтологической сложности системы является сложность моделирования [4]. А понятие БТС определяется размерностью моделей, приводящей к необходимости применения операций декомпозиции и агрегирования. В инженерии знаний для решения проблемы моделирования сложных и больших систем применяется метод, основанный на использовании прототипов моделей предметной области. Этот метод используется в качестве концептуальной основы нового научного направления – моделе-ориентированной системной инженерии (model-based systems engineering – MBSE) [8, 9]. В MBSE для решения этой проблемы предварительно разрабатываются «модели моделей» (метамодели). При этом метамодель интерпретируется как концептуальная модель, отражающая свойства и закономерности, одновременно принадлежащие всему множеству отдельных («простых») моделей, которые агрегируются в сложные модели.
Далее с использованием метамодели как основы производится построение моделей конкретных объектов одного класса, исследуемых с применением выбранного множества. Современные методологии моделирования сложных и больших систем, включая MBSE, разъясняют, что и почему надо делать для решения таких задач, но не объясняют, как их решать в конкретной космической предметной области. Цель данной статьи – построить концептуальную метамодель для изучения эмерджентных свойств БС с учетом синергетических явлений, возникающих в процессе выполнения космического полета АКА.
Декомпозиция и стратификация процесса управления полетом автоматического космического аппарата
Синергетические явления на борту АКА обнаруживают себя на уровне физических процессов. Поэтому необходима декомпозиция АКА как материального объекта, а также соответствующая декомпозиция процессов управления его полетом на каждом конкретном уровне детализации АКА.
Согласно предлагаемой декомпозиции (схеме деления) АКА выстраивается следующая иерархическая структура, состоящая из 4 уровней описания, где на верхнем уровне находится АКА как СТС, ниже располагаются соответственно системы, элементы систем и внутриэлементные материальные устройства [10]. Каждая материальная часть АКА в иерархической структуре рассматривается как объект управления, а сами сложные процессы, в нем протекающие, являются предметом исследования. Все перечисленные объекты и их части являются материальными, а при их объединении в целостную структуру образуются информационно-материально-энергетические поля, действующие на объекты и их подсистемы своими силами. Материальные объекты взаимодействуют посредством соответствующих полей в виде физических процессов – носителей действий.
Расход и регенерация ресурса – это изменение вещественной формы материального объекта, зависящее от взаимодействия физических полей и отображаемое свойствами, оцениваемыми параметрическими характеристиками процессов. Испытания, проводимые с материальными объектами АКА на протяжении всего их жизненного цикла, есть не что иное, как силовые взаимодействия информационно-энергетических полей. При этом синергетические явления в БС и их естественное ресурсное обеспечение зависят от данных взаимодействий.
Процесс, протекающий в БС, рассматривается как физическое явление, происходящее в материальном объекте и управляемое системой – регулятором процесса (системой управления космическим аппаратом, его бортовой аппаратурой, элементами конструкции и др.) и/или группой регуляторов, приводящее к изменению состояния процесса. При этом процесс называют простым, если для него можно разработать только одну концептуальную, материальную и/или математическую модель, описывающую изменение различных физических явлений исследуемого процесса через известное отображение области определения параметров процессов в область их значений. Сложный процесс рассматривается как совокупность простых процессов [5]. С помощью регулятора как управляющего устройства отслеживается, оценивается, прогнозируется состояние процесса, а для его изменения вырабатываются управляющие воздействия. Предлагается для моделирования АКА и процессов управления его полетом использовать стратифицированное описание (создание слоев – страт) на 4 уровнях: целевых процессов, происходящих на уровне АКА (базовых процессов (БП) – 1-й уровень); процессов, происходящих на системном (2-й уровень), элементном (3-й уровень) и внутриэлементном (4-й уровень) уровнях. Регуляторами этих процессов являются управляющие подсистемы: на страте первого уровня (С1) – АКА, взаимодействующим с внешней средой; второго (С2) – системами АКА; третьего (С3) – элементами систем и на страте четвертого уровня (С4) – внутриэлементными устройствами. Каждому процессу на борту АКА ставится в соответствие множество телеметрируемых параметров, значения которых измеряются датчиками, а также параметров-сообщений, формируемых алгоритмами бортовых вычислительных средств, выполняющих функцию автоматического управления и контроля работы БС [10, 11].
Для перехода от лингвистического описания равновесного рабочего состояния регуляторов, которое, как правило, присутствует в технической документации на систему и ее элементы, к их параметрическому описанию, зафиксированному на текущий момент времени, вводится допущение о возможности статического описания процессов. Такое допущение позволяет первоначально не учитывать временной фактор, предполагая, что он не оказывает влияния на результаты декомпозиции и стратификации процесса управления полетом АКА в каждый текущий момент времени.
В результате для описания в каждый момент времени явлений, происходящих во всех регуляторах, на каждой страте вводятся следующие множества µ( ) параметров, каждому из которых ставятся в соответствие процессы (Π), для которых введены следующие обозначения [5]:
– 1-я страта, базовые процессы:
μ(Пj) = {Пj/ j = 1, 2, …, J}, (1)
где j – обозначение текущего номера базового процесса;
– 2-я страта, системные процессы:
μ(Пjsk) = {Пjsk/ j = 1, 2, …, J; s = 1, 2, …, S; ks = 1, 2, …, K}, (2)
где s – обозначения текущего номера системного процесса и ks-го текущего номера варианта его реализации за счет структурных и функциональных резервов;
– 3-я страта, процессы в элементах систем:
μ(Пjpsk) = {Пjpsk/ j = 1, 2,…, J; s = 1, 2, …, S; ks = 1, 2, …, K; p = 1, 2, …, P}, (3)
где p – обозначение текущего номера процесса в системном элементе;
– 4-я страта, процессы внутриэлементных устройств:
μ(Пjp(z)sk) = {Пjp(z)sk/ j = 1, 2, …, J; s = 1, 2, …, S;
ks = 1, 2, …, K; p = 1, 2, …, P; z = 1, 2,…, Z}, (4)
где z – обозначение текущего номера процесса в устройстве.
Процессы, которым поставлены в соответствие множества (1)–(3), рассматриваются одновременно и как простые, и как сложные. В дальнейшем в статье используется инвестиционный принцип перехода от процессов более низкого уровня к процессам более высокого уровня. В принятой иерархии процессы четвертого уровня (4) – простейшие, т. е. условно они не включают в себя процессы еще более низкого уровня. При необходимости вводятся дополнительные уровни страт с условием, что процесс самого нижнего уровня определяет свойства объекта управления как «белого ящика» [4]. Согласно введенному дуализму, простые процессы страт первого – третьего уровней одновременно являются сложными, содержащими в себе процессы более низкого уровня, что позволяет последовательно детализировать процессы в объекте управления. Детализация происходит за счет «прозрачности» описания параметрических характеристик нижестоящих процессов, входящих в состав вышестоящих и определяющих их.
Статическая когнитивная модель сложного процесса управления полетом автоматического космического аппарата
При выполнении полетных операций существует множество вариантов (вариабельность) возникновения синергетических явлений на борту аппарата, каждый из которых является причиной появления новых эмерджентных свойств БС и АКА в целом, от которых зависит расход ресурсов и обеспечение живучести. Возникновению новых целостных свойств БС способствуют не только временные, но и синергетические системные факторы, которые необходимо распознавать и учитывать при выборе варианта управлении полетом АКА для дальнейшего прогнозирования или создания сценария развития состояния аппарата. Поэтому можно говорить о высоком уровне нестабильности и нестационарности воздействий внешней среды на процессы управления полетом АКА и высокой степени сложности принятия управленческих решений. При высоком уровне нестабильности среды целесообразно использовать управление на основе гибких экспертных решений, базирующихся на когнитивном подходе, который, в свою очередь, основывается не столько на интуиции эксперта, сколько на упорядоченном и верифицированном применении его знаний об АКА как СТС.
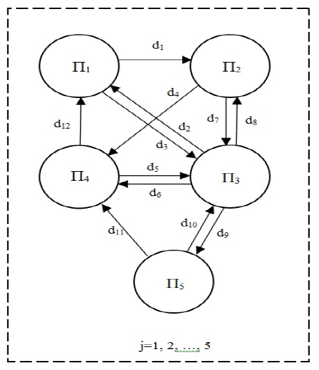
Основу когнитивного подхода составляет когнитивный системный анализ процессов (как инструмент исследования), позволяющий выявить противоречия и провести качественную и количественную оценку изучаемых процессов. В начале когнитивного анализа целесообразно проводить (как показали исследования) построение статической когнитивной модели на основе предварительной структуризации процесса управления полетом АКА в виде когнитивной карты (рис. 1).
Иерархическая когнитивная карта построена в виде множеств ориентированных функциональных графов (объединенных пунктирной линией), распределенных по уровням страт (см. рис. 1), в каждом из которых установлены материальные, энергетические и информационные связи между процессами в регуляторах. Кроме них, существуют связи-факторы, оказывающие внешнее синергетическое влияние на основные процессы. Построенная иерархическая когнитивная карта является статической моделью сложного процесса управления полетом АКА [12]. Для описания функциональных графов существует несколько классов матриц, из которых были выбраны основные – матрицы смежности и инциденций [13]. Каждому множеству процессов на стратах соответствует множество вершин функционального графа, веса которых определяются соответствующими элементами множества коэффициентов (множеством констант), пропорциональных располагаемым полетным временам.
Каждой т-й дуге графа соотносится вес, который задается исходя из физической интерпретации бинарных отношений r1, r2,…, rn, построенных на декартовом произведении множеств управляющих (УВ) U = (u1, u2, u3, u4) и возмущающих воздействий (ВВ) J = (ξ1,ξ2,ξ3,ξ4,ξ5,ξ6), формирующих множество входных воздействий V = UÎJ [12], где ξ6 – ВВ от взаимодействия, вызванного синергетическим явлением.
При этом на дугах функционального графа между элементами множеств УВ и ВВ существуют многоместные n-арные отношения, определяющие одновременное приложение нескольких УВ и ВВ:
, ..., , , , ,..., .
Рис. 1. Когнитивная карта процесса управления полетом АКА
Далее производится бинаризация n-арных отношений [14]: < U1 r1 J1 >1, < U2 r2 J2 >2,…, < Un rn Jn >m с установлением тем самым графика бинарных отношений на дугах функционального графа Rnm= {r1, r2,…, rn }m Í V.
Матрицы смежности и инцидентности функциональных графов позволяют конструктивно задать функции сложного процесса управления полетом АКА с помощью соответствующих графов.
При этом матрицы смежности описывают связь между входными и выходными физическими переменными процессов типа y = f(x1,…, xn), представляющую собой функциональную модель (Ф-модель) «черного ящика». А матрицы инцидентности позволяют описать способ действия, характеризующийся физическими преобразованиями материальных, энергетических и информационных входов внутри объекта управления, для формирования выходных переменных параметров процессов. При этом обеспечивается конструктивное описание реальной функции f, осуществляющей отображение f: Х→Y. Тем самым формируется Ф-модель «белого ящика» [4].
Предложенный инвестиционный принцип перехода от процессов управления АКА более низкого уровня к процессам управления более высокого уровня повлек за собой использование вложенных функциональных графов. В результате сформирован способ конфигурирования графа сложного процесса управления полетом АКА, заключающийся в четырехслойном планарном его построении (С1-С4), соответствующим декомпозиции сложного процесса управления полетом АКА. При этом граф называется планарным, если изображается на плоскости так, что его ребра пересекаются только в вершинах [13].
Алгоритм построения когнитивной агрегативно-потоковой метамодели процесса управления полетом автоматического космического аппарата
Предлагается производить моделирование сложного процесса управления полетом АКА с помощью «динамической когнитивной карты», в которой бинарные отношения УВ и ВВ зависят от времени и параметрических характеристик процессов, которым поставлены в соответствие вершины рассматриваемых функциональных графов. При этом выбирается структурно-функциональный базис для моделирования процессов на каждой страте – базис СФ-моделей [4]. Описание каждого функционального графа «динамической когнитивной карты» производится с использованием матриц инциденций на интервалах, ограниченных дискретными моментами времени t0, t1, t2,…, ti, формирующими множество моментов времени T. При этом учитываются веса ребер, связанных как с входными воздействиями, так и с процессами формирования выходных воздействий в каждом объекте управления для смежных объектов.
Закономерность смены состояния АКА предлагается описывать переходным отображением (φ) и выходным отображением (ψ):
φ: , ψ: .
При отображении процесса применяется частный случай динамической системы – конечный автомат. При этом каждому моменту времени ti сопоставляются свои множества определений ()i и значений ()i параметров процессов с функцией отображения в виде графика бинарных отношений на дугах функционального графа : , , , . Для выходного отображения процесса задается вариант конечного автомата типа «вход-выход» (автомат Мура [15]):
.
Отображение процесса полета АКА с использованием «динамической когнитивной карты» содержит описания не только правил построения взаимосвязей на вершинах и дугах функциональных графов, но и инвестиционных принципов использования описания процессов на нижестоящих стратах для описания процессов в вышестоящих стратах. При переходе к частному случаю отображения процесса управления полетом АКА через функциональные модели такой принцип описания соответствует базисному определению структурно-функциональной операционной (СФО) модели [4]. В соответствии с принятым определением СФО-моделей в понятийно-терминологическом базисе отдельные сложные процессы в виде взвешенных графов с весами дуг, интерпретируемых как «пропускные способности взаимосвязей», относятся к классу потоковых моделей [4]. Веса связей взвешенных графов количественно описывают их пропускную способность. Одной из возможных характеристик потока через дугу графа является интенсивность дискретного потока, определяемая энергетическими показателями управляющих и возмущающих воздействий на внутриэлементные процессы (например, при переходе к функциональному описанию УВ могут формироваться напряжением электрического сигнала 8, 28, 100 и 300 Вольт). Вторичной характеристикой потока является дискретность формирования УВ.
Для получения сложных процессов производится их агрегирование с использованием инвестиционного принципа перехода от процессов более низкого уровня к процессам более высокого уровня. Процедура направлена на укрупнение процессов, в общности отражающих эмерджентные свойства АКА, БС и их элементов с учетом синергетических явлений. Полученную модель принято называть агрегативной [16]. Когнитивное агрегативно-потоковое СФО-моделирование процессов производится в соответствии с предварительно разработанной когнитивной картой (статической когнитивной моделью) процесса управления полетом АКА (см. рис. 1).
Алгоритм построения когнитивно-функциональной агрегативно-потоковой метамодели процесса управления полетом АКА для решения поставленной задачи включает в себя следующие шаги.
Шаг 1. Моделирование процессов, описывающих функционирование элементов.
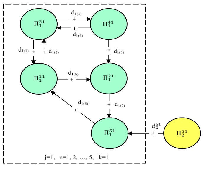
С учетом взвешенных вершин и дуг функционального графа (рис. 2) концептуальное моделирование процесса функционирования элемента (p =1) на [t(i-1), ti]-м такте в составе системного процесса s =1, ks =1 и базового процесса j = 1 АКА производится с использованием матрицы инциденций:
| (5) | 
Рис. 2. Граф процесса функционирования элемента
Отображение процесса на уровне элемента задается функцией, определенной на вершинах (где , – множество определений процесса; , – множество значений процесса) и дугах функционального графа процесса, описывающего функционирование элемента*.
При этом функции рассматриваются как частный случай отображения протекающих процессов. В таком случае переходные отображения процессов формируются исходя из физической интерпретации функции входных воздействий через бинарные отношения создаваемых УВ в выходных полюсах вершин с учетом ВВ (), а выходные отображения в виде функций самих регуляторов для выдачи в смежные внутриэлементные регуляторы – исходя из физической интерпретации бинарных отношений УВ и ВВ входных () и выходных () полюсов вершин:
и т. д., см. (5).
Физические результаты моделирования каждой функции (например, для процесса ) лингвистически интерпретируются следующим образом: на процесс формирования выходного воздействия (истока) от регулятора, трактуемого бинарным отношением УВ и ВВ, оказывает влияние входное воздействие (сток) от процесса , формирующего УВ при наличии ВВ в бинарном отношении . Начальными значениями для проведения моделирования рассматриваемых процессов являются значения соответствующих параметров процессов, полученные на предыдущем такте , и т. д. При этом множеству процессов соответствует множество вершин графа
,
веса которых определяются элементами множества коэффициентов (множества констант) располагаемого полетного времени по каждому внутриэлементному регулятору [1]:
.
Каждому элементу множества дуг графа
соотносится вес исходя из физической интерпретации бинарных отношений в графике, построенном для функционального графа на рис. 2:
,
на декартовом произведении двух множеств – УВ и – ВВ, формирующих множество входных воздействий на внутриэлементные регуляторы элементного процесса , с учетом синергетических явлений (знак «˜» указывает на индивидуальные свойства, обусловленные неклонируемостью регулятора процесса и наличием в нем синергетических явлений). При этом неклонируемость в детерминированной сетевой модели рассматривается как индивидуальное определенное свойство системы и ее элементов. По определению физически неклонируемые регуляторы – это системы (устройства) и их элементы, неотъемлемым свойством которых является неклонируемость (неповторяемость) их функций, свойств, характеристик или параметров, поскольку они состоят из множества компонент, параметры которых в процессе создания принимают случайные значения [6]. Множествам взвешенных вершин и дуг сопоставляется множество входных воздействий:
, ,
,
.
Общий вид графиков бинарных отношений, построенных для функциональных графов процессов, протекающих в элементах систем, может быть представлен следующим образом:
.
Для учета синергетических явлений во множество возмущающих воздействий вводится дополнительный элемент :
и т. д.
В других бинарных отношениях УВ и ВВ , и т. д., в соответствии с расположением дуг функционального графа дополнительное ВВ не учитывается. В общем случае дополнительное синергетическое воздействие от процесса необходимо рассматривать в плане как положительного, так и отрицательного влияния. При наличии прочих синергетических воздействий каждое включается в моделируемый процесс, представленный взвешенным функциональным графом [13] сложного процесса, протекающего в элементе (см. рис. 2):
G () = <µ [(),,,]>,
определяющим на вершинах и дугах зависимость между процессами в регуляторах внутриэлементных процессов с учетом расходуемых ресурсов при их управлении в составе регулятора сложного процесса в элементе.
Моделирование процессов в регуляторах элементов позволяет проводить их агрегирование для анализа взаимодействия в устройствах.
Агрегат сложного процесса , протекающего в элементе, формируется на основе выполнения операции покрытия семейства множеств параметров простых процессов, протекающих в его устройствах:
.
Шаг 2. Моделирование процессов, описывающих функционирование систем.
С учетом взвешенных вершин и дуг функционального графа (рис. 3) моделирование функционирования системы АКА (s =1, ks =1) на [t(i-1), ti]-м такте в составе БП j =1 производится с использованием матрицы инциденций:
| (6) | 
Рис. 3. Граф процесса функционирования системы
Отображение процесса на уровне системы задается функцией, определенной на вершинах (где , – множество определений процесса; , – множество значений процесса) и дугах функционального графа процесса, описывающего функционирование системы.
При этом функции рассматриваются как частный случай отображения процессов. В таком случае переходные отображения процессов формируются исходя из физической интерпретации функции входных воздействий через бинарные отношения создаваемых УВ в выходных полюсах вершин с учетом ВВ (), а выходные отображения в виде функций самих регуляторов для выдачи в смежные регуляторы элементов – исходя из физической интерпретации бинарных отношений входных () и выходных () полюсов вершин:
и т. д. , см. (6).
Начальными значениями параметров для проведения моделирования рассматриваемых процессов являются значения соответствующих параметров процессов, полученные на предыдущем такте , и т. д. В соответствии с принципом инвестиций процессов страт более низкого уровня в процессы страт верхнего уровня состав сложного системного процесса первой системы (s=1), первой конфигурации (ks=1) в рассмотренном примере первого БП (j=1) содержит множество p-х элементных процессов (рис. 4):
.
Веса вершин определяются соответствующими компонентами множества коэффициентов располагаемого полетного времени по каждому элементному регулятору процесса:
.
Каждой дуге графа из множества
.
соотносится вес исходя из физической интерпретации бинарных отношений в графике, построенном для функционального графа на рис. 4:
.
Бинарные отношения построены на декартовом произведении двух множеств – управляющих и – возмущающих воздействий, формирующих множество входных воздействий на регуляторы в элементах системного процесса с учетом синергетических явлений:
, ,
,
При этом на один из штатных процессов в регуляторах элементов оказывает влияние внешний (синергетический) процесс от другого регулятора (знак дуги «±»), не имеющего непосредственной функциональной связи и энергетически взаимодействующего через физическое поле (например, электростатическое):
В других бинарных отношениях УВ и ВВ и т. д., дополнительное ВВ не учитывается.
Множества взвешенных вершин и дуг определяют в совокупности функциональный взвешенный граф [13] (см. рис. 4)
= <µ[(),,, ]>,
задающий своими вершинами и дугами связь между ресурсами регуляторов p-x элементных процессов при их управлении в составе регулятора системного сложного процесса. Агрегат сложного процесса , протекающего в системе, формируется на основе выполнения операции покрытия семейства множеств параметров простых процессов, протекающих в элементах систем:
Шаг 3. Моделирование базовых процессов.
С учетом взвешенных вершин и дуг функционального графа (см. рис. 4) концептуальное моделирование первого базового процесса (j = 1), происходящего на уровне АКА , на [t(i-1), ti]-м такте производится с использованием матрицы инциденций:
| (7) | 
Рис. 4. Функциональный граф базового процесса
Отображение на уровне БП задается функцией, определенной на вершинах , (где , – множество определений процесса; , – множество значений процесса) и дугах функционального графа процессов, протекающих в системах. При этом в регуляторах функции рассматриваются как частный случай отображения процессов. В регуляторе БП выходные функции отображения процессов зависят от переходных отображений , формируемых исходя из физической интерпретации бинарных отношений выходных полюсов вершин (). Выходные отображения в виде функций регуляторов в системных процессах для выдачи в смежные регуляторы систем формируются исходя из физической интерпретации бинарных отношений входных () и выходных () полюсов вершин:
и т. д., см. (7).
Начальными значениями параметров для проведения моделирования рассматриваемых процессов являются значения соответствующих параметров процессов, полученные предыдущем такте , и т. д.
В соответствии с принципом инвестиций процессов страт более низкого уровня в процессы страт верхнего уровня состав сложного БП в рассматриваемом примере (см. рис. 4) содержит множество системных «s»-х процессов первых комплектов (ks=1):
.
Функциональные системные процессы (s = 1,...,5) отвечают множеству вершин графа. Веса вершин определяются соответствующими элементами множества коэффициентов располагаемого полетного времени по каждому системному регулятору:
.
Каждой дуге графа из множества
соотносится вес исходя из физической интерпретации бинарных отношений в графике, построенном для функционального графа на рис. 4:
на декартовом произведении двух множеств – управляющих и – возмущающих воздействий, формирующих множество входных воздействий на системные регуляторы БП с учетом синергетических явлений
, ,
,
,
.
При этом на один из штатных системных процессов оказывает влияние внешний (синергетический) системный процесс другого регулятора:
В других графиках бинарных отношений и т. д. дополнительное ВВ не учитывается. Множества взвешенных вершин и дуг определяют в совокупности взвешенный граф [13] сложного БП (см. рис. 4):
= <, , , >,
который является функциональным графом, определяющим на вершинах и дугах функциональную зависимость между ресурсами регуляторов системных процессов и их управлением в составе АКА как регулятора сложного БП .
Агрегат сложного БП является покрытием семейства множеств параметров простых системных процессов:
Шаг 4. Моделирование процесса управления полетом АКА.
С учетом взвешенных вершин и дуг функционального графа (рис. 5) концептуальное моделирование сложного процесса управления полетом АКА на [t(i-1), ti ]-м такте производится с помощью матрицы инциденций:
| (8) | 
Рис. 5. Функциональный граф процесса управления полетом АКА
Отображение процесса на уровне аппарата задается функцией, определенной на вершинах (где , – множество определений БП; , – множество значений БП) и дугах функционального графа БП.
В регуляторах БП сложного процесса управления полетом АКА выходные функции отображения БП зависят от переходных отображений , формируемых исходя из физической интерпретации бинарных отношений выходных полюсов вершин (). В самих регуляторах выходные воздействия для выдачи в смежные регуляторы базовых процессов формируются исходя из физической интерпретации бинарных отношений входных () и выходных () полюсов вершин:
и т. д., см. (8).
Начальными значениями параметров для проведения моделирования рассматриваемых процессов являются значения соответствующих параметров процессов, полученные на предыдущем такте , и т. д.
В соответствии с принципом инвестиций процессов страт более низкого уровня в процессы страт верхнего уровня процесс управления полетом АКА на верхнем уровне содержит j-е базовые процессы (см. рис. 1, j = ). Функциональные БП соответствуют множеству вершин графа (см. рис. 5). Веса вершин определяются элементами множества коэффициентов располагаемого полетного времени по каждому регулятору базового процесса:
.
Каждой дуге графа из множества
соотносится вес исходя из физической интерпретации бинарных отношений в графике, построенном для функционального графа на рис. 5:
,
на декартовом произведении двух множеств – управляющих воздействий и – возмущающих воздействий, формирующих множество входных воздействий на АКА с учетом синергетических явлений
, ,
, , и т. д.,
.
Множества взвешенных вершин и дуг описывают в совокупности взвешенный функциональный граф [10] процесса управления полетом АКА:
= <,,,]>,
отражающий на вершинах и дугах зависимость между ресурсами АКА, распределенными по БП.
Агрегат сложного процесса управления полетом АКА формируется на основе выполнения операции покрытия семейства множеств параметров базовых процессов
Когнитивно-графическое отображение агрегативно-потоковой метамодели, решение проблем размерности и сложности
Функциональная модель сложного процесса управления полетом АКА формируется путем описания процессов в материальных объектах управления на каждом уровне когнитивной карты процесса управления полетом АКА и координирующего механизма их интеграции, обеспечивающего достижение поставленной цели при переходе с уровня на уровень.
Предлагаемая лингвистическая интерпретация координирующего механизма заключается в содержательном описании взаимосвязей и взаимодействий сложных процессов, происходящих на верхних уровнях предложенного ранее стратифицированного представления АКА как объекта управления с процессами, происходящими на нижних стратах предлагаемой концептуальной модели. Например, работа гироскопического измерителя вектора угловой скорости АКА (датчика угловой скорости (ДУС)), элемента в системе управления движением (СУД) зависит от функционирования основного внутриэлементного устройства – поплавкового гироскопа (ПГ). В таком случае координирующий механизм зависимостей протекания БП «движение АКА относительно центра масс» заключается в описании: внутриэлементного процесса в ПГ; процесса функционирования ДУС, включающего процесс в ПГ; процесса функционирования ДУС в составе СУД; целевого БП процесса функционирования, включающего процесс СУД в совокупности процессов, протекающих в других системах. Очевидно, от номинального функционирования ПГ зависит решение задач, стоящих перед БП, в частности построение и поддержание ориентации, программные развороты АКА.
Синергетические явления, возникающие в исследуемых процессах, невозможно изучать путем наблюдения только за БП, так как состояние АКА и его управляющей подсистемы описывается интегральными (обобщенными) параметрами целевых процессов, происходящих на уровне АКА и характеризующих, например, «построение орбитальной ориентации», «состояние энергобаланса», «выполнение коррекции орбиты» и др. сформированные процессы более низкого уровня. Чем ниже по иерархии производятся исследования, тем более детальным становится описание процессов. Наиболее продуктивна регистрация изменений в процессах при их самой низкой дифференциации на внутриэлементные процессы в страте 4-го уровня. При этом описания одних причинно-следственных связей в когнитивной карте недостаточно для проведения анализа протекания процессов в регуляторах с учетом синергетических явлений. Необходимы знания о степени взаимовлияния процессов через множество пересекающихся (взаимозависимых) параметров, чтобы локализовать их в каждом регуляторе процесса, выделить основные (штатные) и внешние (синергетические) процессы для их анализа и определения степени взаимосвязей и взаимодействий.
Для описания инвестиционных переходов и взаимодействий процессов на уровне страт удобно использовать когнитивно-графическое представление агрегативно-потоковой метамодели сложного процесса управления полетом АКА (см. рис. 6 с обозначениями, соответствующими ранее введенным), позволяющее выделять для анализа отдельные информационно взаимосвязанные и взаимодействующие объекты – кластеры процессов [5]. Набор правил для алгоритма построения рассматриваемой в статье модели подчиняется инвестиционному принципу. Агрегаты сложных элементных процессов , задаваемые с помощью матриц инцидентности, объединяют в себе первичные простые взаимосвязанные внутриэлементные процессы, формируя новые параметры сложных процессов в элементах систем. Модель сложного процесса, происходящего в элементе, сохраняет все его свойства для изучения с переводом образа процесса в компактное изображение в виде диаграмм Эйлера – Венна. На страте каждого уровня в иерархии сложного процесса управления полетом АКА существует свой набор параметров, который позволяет в значительной степени ограничить изучение их взаимосвязей стратой данного уровня. Относительная независимость процессов на стратах предоставляет возможность более глубокого и детального их изучения. Однако экспериментально доказано, что предположение о полной независимости процессов на отдельных стратах неоправданно и приводит к неполному пониманию поведения сложных процессов на стратах более высокого уровня, содержащих процессы более низкого уровня. Поэтому после описания каждого из сложных процессов на элементном уровне в регуляторах (в отдельных приборах и узлах) производится их комплексирование в агрегаты сложных системных процессов страты 2-го уровня . При этом модель каждого процесса, протекающего в элементе, рассматривается как модель первичного простого процесса в сложном системном процессе.
Далее проводится исследование сложных процессов на элементном уровне в составе сложных системных процессов (описание работы отдельных приборов в составе системы). Если описания на вышестоящем и нижестоящем уровнях совпадают, то процесс на элементном уровне идентифицируют, в противоположном случае проводятся дополнительные исследования с целью определения синергетического взаимодействия между внутриэлементными процессами на уровне страты С4, которые в составе системных процессов проявляются как дополнительные свойства. Введенный инвестиционный принцип дуализма позволяет рассматривать процессы в элементах как «простые» в составе сложного системного процесса. Аналогичным образом производятся моделирование и проверка взаимодействия системных процессов страты 2-го уровня после их агрегирования в БП страты 1‑го уровня .
Если отображение сложных системных процессов соответствует их описанию через сложные процессы в элементах, то системные процессы идентифицируют. В противоположном случае производится исследование поведения систем с целью определения межсистемных синергетических явлений и их анализа. При этом «простыми» считаются системные процессы в составе базового процесса.
Рис. 6. Когнитивно-графическое представление агрегативно-потоковой метамодели процесса управления полетом АКА
Агрегат сложного процесса управления полетом аппарата задается с использованием матрицы инцидентности, определяющей взаимодействие базовых процессов. При этом базовые процессы являются «простыми» по отношению к сложному процессу управления полетом АКА. Например, «простым» можно считать базовый процесс «Управление движением относительно центра масс», так как его можно отображать одной математической моделью с использованием кинематических и динамических дифференциальных уравнений движения АКА [17]. Результаты моделирования верифицируются на основе оценивания состояния БС в составе БП путем сопоставления значений контролируемых параметров на материальной модели с прогнозируемыми значениями. Точность математического прогноза изменения вектора кинетического момента на борту АКА при поддержании ориентации на заданном интервале оценивается через измерение компонент вектора на том же интервале и определения ошибки в расхождении измеренных и прогнозируемых значений [18]. Критерием для оценки близости (адекватности) моделируемого базового процесса реальному является точность поддержания ориентации АКА при использовании прогнозируемых значений вектора кинетического момента в формировании закона управления угловым движением аппарата.
Ранее уже было сказано, что АКА одновременно является сложной технической системой с гносеологической и онтологической позиций, а также большой системой по размерности и суперсложности [4, 16]. Для решения проблемы комплексного моделирования АКА как системы большой размерности каждый простой процесс предлагается рассматривать как отдельный «функциональный объект» (ФО) – модельный образ материального объекта, которому прописывается некоторая ролевая сущность – функция [8]. Сложный процесс управления полетом АКА разделяется на простые ФО, каждый из которых может быть подвергнут независимому моделированию. При этом создаваемый единый полимодельный комплекс при его практической реализации предлагается рассредоточить по различным местам разработки и испытания материальных объектов и их регуляторов. Это позволит распределять средства и методы комплексного моделирования, привлекая широкое сообщество экспертов самой высокой квалификации, каждый из которых может сам наблюдать за всеми аспектами поведения регулятора процесса для разработки сценариев «ситуация → решение». Самая высокая страта функциональной модели БП, реализуемой на средствах центра управления полетом (ЦУП) АКА, позволит руководителю полета наблюдать за обозримым числом состояний всего сложного процесса. Моделирование функционального объекта наиболее высокого уровня обеспечивается за счет моделирования функциональных слоев на стратах метамодели и рассмотренного координирующего инвестиционного механизма интеграции моделей. Таким образом, суперсложная модель поведения АКА наблюдается и воспринимается одним субъектом управления как «относительно простая». Аналогичным образом воспринимаются моделируемые «простые» процессы на стратах более низкого уровня.
Метамодель в полимодельном комплексе позволяет учитывать все эмерджентные свойства регуляторов процессов с учетом синергетических явлений в моделируемых ФО. Для этого используется механизм бинарных отношений между факторами, влияющими на протекание процессов в каждом ФО, которые передаются в виде исходных данных, включающих обнаруженные синергетические воздействия, для моделирования в соответствии с текущими ситуациями на борту АКА. Тем самым решается проблема сложности технической системы с гносеологической позиции за счет применения многомодельности с использованием для исследования результатов, полученных к настоящему времени в междисциплинароной отрасли системных знаний, которые конкретизируются в виде соответствующих методик и обеспечиваются материальными и вычислительными средствами в конкретных местах разработки и испытаний регуляторов процессов или в ЦУПе. Одновременно проблема сложности технической системы (структуры, функционирования, моделирования развития и др.) с онтологической позиции решается за счет распределения целей и задач при моделировании ФО. Когнитивно-графическое визуальное представление сложного процесса управления полетом АКА предлагается осуществлять переводом модельного образа в компактное изображение для ускоренного понимания текущей ситуации (рис. 6). Характеристики каждого агрегата закодированы графическими способами, называемыми «категории кода» [19]. Устанавливается последовательность иерархической упорядоченности в виде размещения страт С1-С4. На каждой страте указаны покрытия множеств вершин взвешенных графов в виде диаграмм Эйлера – Венна с агрегированием в кластерные образования с двойным и одинарным пересечением процессов. Штатные процессы в одном агрегате могут быть внешними по отношению к процессам в смежном агрегате.
Разработанную когнитивную агрегативно-потоковую метамодель предлагается использовать для поиска компромиссных решений в существующей на борту аппарата противоречивой проблемной ситуации, вызванной, с одной стороны, неклонируемостью свойств отдельных элементов БС АКА, которые могут самоорганизовываться и саморазвиваться в полете под действием внешних и внутренних факторов, с другой стороны – необходимостью использования этих же неповторяемых индивидуальных текущих свойств элементов БС для ресурсного обеспечения полета АКА.
Выводы
Предложена новая методика построения агрегативно-потоковой метамодели сложного процесса управления полетом АКА в виде «динамической когнитивной карты». При этом параметры каждой модели в метамодели зависят от времени и бинарных отношений, построенных на множествах управляющих и возмущающих воздействий на бортовые материальные объекты через регуляторы процессов. Синергетические явления рассматриваются как дополнительный фактор в составе множества возмущающих воздействий. Планарность построения модели в виде «динамической когнитивной карты» сложного процесса управления полетом АКА на базе функциональных графов позволяет в интерпретации системно-кибернетического описания АКА как «ящика» перейти от модели «черного ящика» к модели «белого ящика». Прозрачность моделирования достигается за счет введения необходимого количества страт (в рассмотренном примере четырех) при планарном построении когнитивной карты. При этом выполняется то условие, что математическая, материальная или концептуальная модель процесса страты самого нижнего уровня описывает состояние регулятора как «белого ящика», при котором становится возможным явное описание изменения различных параметров исследуемого процесса во времени с помощью известного отображения области определения процесса в область его значений. Далее известность результатов отображения процессов на уровне всего АКА обеспечивается за счет комплексного моделирования процессов на уровнях страт с инвестированием результатов «прозрачности процессов» самого нижнего уровня до верхнего уровня «динамической когнитивной карты». Разработка когнитивной агрегативно-потоковой метамодели процесса управления полетом позволяет с конструктивных позиций подойти к решению проблем размерности и сложности самого комплексного моделирования АКА в ходе его управляемого полета.
Моделирование АКА как «белого ящика» позволяет выявлять эмерджентные свойства бортовых систем и их элементов с учетом синергетических явлений для использования результатов исследования новых свойств БС АКА в целях рационального расходования бортовых ресурсов.
* Здесь и далее n-е индексы бинаризации в обозначениях отношений УВ и ВВ не используются.
About the authors
Vladimir S. Kovtun
S. p. Korolev rocket and space Corporation Energia (RSCE)
							Author for correspondence.
							Email: Vladimir.S.Kovtun@rsce.ru
				                					                																			                								
Ph.D. Techn., Chief Specialist of System Engineering
Russian Federation, 4A, Lenin st., Korolev, Moscow region, 141070References
- Kovtun V.S. Statement of the problem of variable flight control of automatic spacecraft for rational use of resources of onboard systems // Cosmonautics and rocket science. 2017. No. 1 (94). Pp. 13–23.
- Akhmetov R.N., Makarov V. P., Sollogub A.V. Bypass As an attribute of survivability of automatic spacecraft in abnormal flight situations // Bulletin of the Samara state aerospace University. 2015. Vol. 14, No. 4, Pp. 17–37.
- Ivanov V. A. Functional stability of systems. Prospects for improving their reliability // Cosmonautics and rocket science. - 2000. No. 19. Pp. 181–189.
- Mikoni S.V., Sokolov B.V., Yusupov R.M. Qualimetry of models and polymodel complexes, M., Publishing house of the Russian Academy of Sciences, 2018, 312 р.
- Kovtun V.S. Stratification of the complex process of spacecraft flight control // Cosmonautics and rocket science. 2012. no. 4. Pp. 78–88.
- Yarmolik V.N., Vashinko Yu.G. Physically unclonable functions // Informatics. 2011. No. 2 (30). Pp. 92–103.
- Kovtun V.S., Frolov I.V. Methods of variable analysis and synthesis of a complex process of controlling the system of electric rocket engines of spacecraft// Space engineering and technologies. 2016. No. 4 (15). C. 47–67.
- Kirillov N.P. Conceptual model of the object of situational management of the functional state of technical systems // Artificial intelligence and decision-making #4. 2012. Pp. 61–75.
- Jeff A. Estefan. Survey of Model-Based Systems Engineering (MBSE) Methodologies // http://www.omgsysml.org/MBSE_Methodology_Survey_RevB.pdf.
- Mikrin E.A. On-Board control systems for spacecraft. Moscow: Bauman Moscow state technical University publishing house, 2014, 245 P.
- Solovyov V.A., Lysenko L.N., Lyubinsky V.E. Space flight Control. Part 1. Moscow: Bauman Moscow state technical University. 2009. 477 P.
- Kovtun V.S. Construction and research of the functional graph of the automatic spacecraft flight control process. XLIV academic readings on cosmonautics "Royal readings". M., 2020. 13 р.
- Gorbatov V.A. Fundamental principles of discrete mathematics. Moscow: Nauka. Fizmatlit. 1999. 540 р.
- Sinel'nikova O.I., Vecherskaya I.D. Representation of multiple relations as a composition of binary relations // Radio electronics and computer science. 2001. No. 3. Pp. 147–150.
- Okhtilev M.Yu., Sokolov B.V., Yusupov R.M. Intelligent technologies for monitoring the state and managing the structural dynamics of complex technical objects. 2005. 291 pp.
- Aleshin E.N., Zinoviev S.V., Kopkin E.V., Osipenko S.A., Pavlov A.N., Sokolov B.V. System analysis of organizational and technical systems for space purposes: textbook. St. Petersburg: A.F. Mozhaisky VKA, 2018. 357 р.
- Raushenbach B.V., Tokar E.N. Control of spacecraft orientation. – Moscow: Nauka, 1974. 594 р.
- Patent RU 2356802 C2. MPK B64 G 1/00 / Platonov V.N., Belyaev M.Yu., Banit Yu.R., Kovtun V.S. Method for maintaining the three-axis orientation of a spacecraft with power gyroscopes and target load // Invention No. 15. 2009.
- Burdaev M.N., Emelyanov Y.G., Khachumov V.M. Cognitive computer graphics systems for space and med-ical applications. M.:LENAND, 2019. 256 p.
Supplementary files
 
				
			 
					 
						 
									
 
  
  
  Email this article
			Email this article 





















