Parametric identification in inverse heat conduction problems under interval uncertainty based on neural networks
- Authors: Diligenskaya A.N.1, Samokish A.V.1
-
Affiliations:
- Samara State Technical University
- Issue: Vol 28, No 4 (2020)
- Pages: 6-18
- Section: Informatics, Computer Science and Control
- URL: https://journals.eco-vector.com/1991-8542/article/view/61003
- ID: 61003
Cite item
Full Text
Abstract
The application of parametric identification methods used to solve inverse problems of technological thermophysics under conditions of interval uncertainty of parameters is considered. To solve such problems under the action of disturbing factors, artificial neural networks can be used that reproduce the structure of the operator of the direct problem with a small dimension of the desired vector of parameters. A variant of constructing a neural network for solving the boundary inverse heat conduction problem with a known structure of a mathematical operator, characterized by a small number of parameters, is proposed. The method allows the use of a priori information about the admissible range of belonging of the identified characteristics or their parameters. The input data for the neural network model are all possible realizations of temperature states, obtained as a reaction to the input action, which is an identifiable characteristic that satisfies all permissible options for the combination of parameters.
The solution of the problem is an iterative procedure, at each step of which, using a neural network, the value of one of the parameters specifying the parametric representation of the desired value is refined. The combination of neural network technologies with high-quality information about the regularities of non-stationary heat conduction processes makes it possible to increase the accuracy of solving the problem of parametric identification under conditions of disturbances. Variants of solving the boundary inverse problem of heat conduction with one- and two-parameters representation of the desired characteristic under the conditions of disturbances are demonstrated. The accuracy of solving the problem is investigated depending on the intensity of the disturbing effect
Full Text
Теория идентификации широкого ряда технологических процессов или технических объектов и систем, их свойств и отношений находит свое применение в различных областях науки и техники и является базовым компонентом для эффективного решения задач управления производствами или для проектирования промышленного оборудования. В каждой производственной сфере разрабатываются наиболее пригодные для использования подходы и методы структурной, параметрической или непараметрической идентификации, определенные спецификой предметной области исследований.
В области технологической теплофизики задачи идентификации процессов нестационарной теплопроводности сводятся к определению по измеряемым температурным полям неизвестных характеристик, среди которых наиболее типичными являются задачи восстановления внешних воздействий (тепловых потоков на поверхности, коэффициентов теплообмена между взаимодействующими средами), функций мощности внутренних тепловых источников, теплофизических характеристик материалов или начального состояния системы [1]. Такие задачи, предусматривающие нахождение одной или нескольких характеристик процесса по результатам измерения температурных полей, относятся к обратным задачам теплопроводности (ОЗТ), которые в зависимости от идентифицируемой характеристики подразделяются на граничные, внутренние, коэффициентные и ретроспективные ОЗТ.
Разработка методов решения обратных задач математической физики, в том числе обратных задач теплопроводности, является актуальным, быстро развивающимся направлением, и на сегодняшний день существует большое число методов [2, 3], основанных на различных приемах и подходах теории решения некорректных и обратных задач математической физики, идентификации, вычислительной математики, теории оптимального управления, искусственного интеллекта.
В большинстве подходов решение задачи структурной идентификации, как правило, сводится к формализации и структуризации исследуемых явлений в рамках совокупности конечного числа математических моделей, разработке алгоритмов генерации структурных зависимостей (альтернатив) и их перебору с целью выбора альтернативы, наиболее удовлетворяющей поставленному многофакторному критерию. Наличие априорной информации об операторе искомой характеристики и о математической модели объекта позволяет сразу перейти к этапу параметрической идентификации.
Если математическая модель, содержащая искомую характеристику, в остальном известна с высокой степенью достоверности и уровень возмущающих воздействий не является высоким, то значительными преимуществами обладают методы параметрической идентификации, основанные на использовании аналитических условий оптимальности [4, 5]. Эти методы показали эффективность их использования и высокую достоверность результатов в сочетании с относительно невысокой трудоемкостью реализации.
В ситуации, когда анализ объекта исследования может быть отнесен к слабоструктурированным проблемам вследствие сочетания неопределенных факторов различной природы, возникает потребность в разработке альтернативных подходов, позволяющих находить регулярные решения в условиях неполноты и неточности исходной информации [6–9].
В данной статье предлагается подход к решению задачи параметрической идентификации на основе применения искусственных нейронных сетей (ИНС) [10–12], использующих информацию о структуре оператора прямой задачи при небольшой размерности искомого вектора параметров, в условиях неполноты и неточности исходной информации, обусловленных действием возмущающих факторов.
Постановка обратной задачи технологической физики
в условиях неполноты информации
Рассматривается базовая математическая модель относительно температурного поля в процессе нестационарной теплопроводности одномерного объекта канонической формы, заданная одномерным линейным уравнением Фурье в относительных координатах
,(1)
дополненная краевыми условиями
(2)
На основе представленного математического описания формулируется модельная граничная ОЗТ, предусматривающая нахождение неизвестной функции плотности теплового потока , действующего на границе заданной пространственной области, при известных прочих параметрах и характеристиках по полученной экспериментальной информации о температуре в некоторой точке . Результаты эксперимента неизбежно содержат возмущения, о которых известно, что они удовлетворяют нормальному закону распределения плотности вероятностей.
Выбор структуры математической модели основывается на физических особенностях процессов технологической теплофизики. Вследствие инерционности тепловых объектов идентифицируемые характеристики и результирующая температура, как правило, не содержат резких локальных скачков, что позволяет в зависимости от типа исследуемой ОЗТ ограничить выбор семейства структур искомых величин классами достаточно гладких функций.
Для основополагающих граничных ОЗТ изменение плотности граничного теплового потока может быть описано согласно [1] с помощью следующих типовых функций: постоянных, монотонных, линейных (возрастающих или убывающих), параболических, кубических, экспоненциальных, а также гармонических, или их комбинаций. Каждый альтернативный вариант структуры математической модели характеризуется определенным вектором параметров , значения которых могут быть найдены в результате параметрической оптимизации с использованием сформулированного определенным образом функционала качества. Для исследования базовых основ и возможностей использования нейросетевых технологий для решения задачи параметрической идентификации процессов нестационарной теплопроводности в работе в качестве математических операторов искомой функции – плотности теплового потока – рассматриваются простые базовые функциональные зависимости от времени, характеризующиеся малым числом параметров: постоянные и экспоненциальные функции.
Построение нейросетевой модели процесса нестационарной
теплопроводности
Для решения обратной задачи теплопроводности в условиях действия возмущающих факторов использованы искусственные нейронные сети [13–15], обеспечивающие непосредственное восстановление искомых параметров на основе входной информации, что соответствует переходу от процедуры минимизации невязки к аппроксимации идентифицируемой характеристики путем обучения построенной ИНС. В основу такого подхода положена способность нейронных сетей аппроксимировать искомые зависимости с требуемой точностью.
Предполагается, что решение ОЗТ осуществляется при наличии некоторого объема априорной информации о значениях параметров восстанавливаемой характеристики, что, как правило, соответствует минимальным сведениям об условиях реализации конкретного процесса. Эта информация используется для формирования обучающей выборки нейросетевой модели. Априорная информация может принимать форму интервальной неопределенности, когда доступные сведения заключаются в информации о границах диапазона возможного изменения идентифицируемых параметров . Заданные диапазоны изменения значений для каждого из параметров с помощью равномерного шага дискретизации разбиваются на одномерные массивы ;, которые в дальнейшем используются в качестве входных данных ИНС. Выбор шага дискретизации может выбираться исследователем и в общем случае зависит от достоверности априорной информации. Так, если интервал возможного изменения параметров слишком широк, то возможно поэтапное решение задачи, предусматривающее постепенное сужение допустимого диапазона и, соответственно, уменьшение шага дискретизации. В таких условиях при использовании линейной математической модели, заданной в относительных координатах, приведение исходных данных к относительным единицам измерения позволит достичь унификации процедуры обучения ИНС.
Обучающая выборка, содержащая результирующую температуру , полученную в некоторой точке на интервале наблюдения и соответствующую искомой функции , формируется для всех возможных сочетаний значений параметров на базе основного интегрального соотношения общего решения тепловой задачи
, (3)
где – функция Грина, соответствующая краевой задаче (1), (2) .
При постоянной плотности теплового потока выражение (3) принимает вид
, (4)
а при экспоненциальной зависимости температура описывается соотношением
(5)
Для построения адекватной модели процесса нестационарной теплопроводности использовалась двухслойная нейронная сеть с двадцатью пятью нейронами в скрытом слое. Процесс обучения ИНС, обеспечивающий нахождение значений синаптических весов нейронной сети, реализован на основе алгоритма обучения «байесовская регуляризация» с использованием сигмоидной функции активации. Оценка эффективности полученной нейросетевой модели проводилась на основе среднеквадратичного отклонения между зашумленной температурной зависимостью, построенной на основе (4) или (5), и модельным распределением температуры, в котором в качестве использовалась постоянная или экспоненциальная функция, параметры которой получены с помощью ИНС.
Параметрическая идентификация граничного воздействия
в условиях неполноты экспериментальной информации
Решение ОЗТ, позволяющее провести оценивание параметров неизвестной характеристики на основе экспериментальной информации при априорно заданной структуре искомого воздействия, является задачей параметрической идентификации.
В качестве экспериментальной информации использовались данные , полученные на основе выражения (4) или (5) в точке на интервале идентификации в выборочные моменты времени с учетом случайных возмущений, распределенных по нормальному закону с нулевым математическим ожиданием и среднеквадратичным отклонением (СКО) .
Решение задачи в классе постоянных функций можно рассматривать как начальный этап для определения начального приближения для последующей итерационной процедуры поиска решений на множестве с большим числом параметров. В этом случае само значение и является единственным искомым параметром .
Эффективность решения поставленной задачи существенно зависит от априорной информации об идентифицируемом воздействии. Задача решена в условиях интервальной неопределенности величины , когда полагается, что имеются сведения о границах интервала возможного изменения , что, как правило, доступно на основе очевидных соображений или существующих ограничений. Обучающая выборка заполняется из допустимых значений и значений температуры , полученных согласно (4) в те же моменты времени для всех возможных значений . Таким образом, входные данные представлены в виде массива размерностью .
Идентификация тепловых процессов в случае, когда параметрическое представление искомой характеристики содержит единственный параметр , является частным случаем общей многопараметрической задачи [16]. Возможности применения ИНС для решения граничной ОЗТ, когда параметрическая форма описывается двумя параметрами, были исследованы при поиске идентифицируемой функции в классе экспоненциальных зависимостей
,(6)
учитывающих инерционность тепловых процессов.
Одним из распространенных и универсальных подходов к решению многопараметрической задачи является автономная идентификация каждого из параметров на основе построения нейронных сетей с одним выходом каждая. Для учета взаимного влияния параметров друг на друга может быть реализовано рекурсивное поэтапное выполнение алгоритма автономной идентификации параметров, при котором на каждом очередном этапе на вход НС подаются значения параметров, полученные на предшествующем этапе, и соответствующие им модельные температурные распределения. Последовательный расчет этапов завершается, когда ошибка аппроксимации экспериментальных данных модельной зависимостью становится меньше некоторого априорно заданного значения функционала идентификации, формируемого, как правило, на основе абсолютного или среднеквадратичного значения температурной невязки.
Таким образом, решение сформулированной ОЗТ в классе функций (6) сводилось к последовательному расчету двух параметров и . Первый этап расчета выполняется вышеописанным способом при зафиксированном на основе априорной информации значении . Найденное в результате первого этапа значение фиксируется и используется на следующем этапе для формирования обучающих данных ИНС, восстанавливающей значение . В этом случае формируется выборка допустимых значений искомого параметра , аналогично первому этапу, и соответствующих им модельных температурных кривых . Завершение итерационной процедуры происходит на основе абсолютного или относительного среднеквадратичного значения температурной невязки в соответствии с выполнением условий или . При этом найденные на очередном -ом этапе расчета значения и могут быть использованы для сужения области допустимых решений на следующем -ом этапе.
Вычислительный эксперимент и полученные результаты
Решение задачи в классе постоянных функций
Изложенная методика была опробована на следующих модельных данных. Искомая постоянная величина плотности теплового потока, используемая для расчета «экспериментальной» температуры, была принята . Для оценки временного интервала идентификации использовались относительные единицы , где шаг дискретизации составлял , а размер выборки по временной переменной . Предполагалось, что априорная информация о границах изменения искомой величины была известна лишь приближенно, в связи с чем допустимый интервал был принят как что соответствует более чем пятикратному превышению истинного значения. В зависимости от интенсивности помехи шаг дискретизации был принят от (при ) до (при ), что соответствовало от до значению обучающей выборки.
Результаты одного из возможных решений задачи с применением нейросетевых технологий, демонстрирующие их свойства, представлены в табл. 1. Здесь полученное на основе нейронной сети значение искомой величины плотности теплового потока обозначено как . Среднеквадратичная погрешность температурного распределения рассчитывалась по формуле
,(7)
где соответствовало найденному значению .
Результаты показывают влияние уровня случайного возмущения в каждом из опытов, но при этом отражают сглаживающие свойства нейросетовых моделей в условиях действия неопределенных факторов. Восстановленные значения в серии экспериментов зависят от случайной составляющей, при этом значения среднеквадратичной погрешности аппроксимирующей температурной кривой отражают зависимость от уровня СКО возмущающего воздействия.
Таблица 1
Точность параметрической идентификации в классе постоянных функций в зависимости от величины СКО погрешности измерения
0 | 1 | 5 | 10 | 15 | |
0.9700 | 0.9725 | 0.9305 | 0.9993 | 0.9642 | |
2.6988e-11 | 1.0909e-04 | 0.0027 | 0.0094 | 0.0215 |
Решение задачи в классе экспоненциальных функций
В данном модельном примере искомые значения параметров были приняты следующими: , временной интервал соответствовал предыдущему случаю. На основе априорной информации об экспоненциальной зависимости искомой плотности теплового потока выбраны границы интервала изменения параметра как предельные значения, определяющие требуемый характер зависимости на заданном временном интервале (рис. 1). В случае зависимость (6) на интервале не выходит на установившееся значение, а при участок изменения является столь малым, что им можно пренебречь и искать в классе постоянных функций. В зависимости от интенсивности помехи полученный диапазон был поделен с использованием шага дискретизации от до , на основе чего был сформирован входной массив значений и соответствующих им температурных распределений для обучения второй ИНС. Начальное приближение выбрано равным 10. Характер кривых для всех трех случаев показан на рис. 1.
Рис. 1. Экспоненциальный характер для предельных значений и среднего значения , – (3)
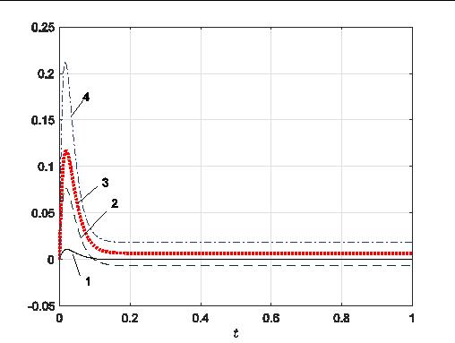
На каждом из расчетных этапов точность определения каждого из параметров существенно зависит от априорно задаваемого значения другого параметра, что особенно сказывается при возрастании уровня возмущающего воздействия. При отсутствии априорной информации для обеспечения сходимости решения к искомому значению рекомендуется сочетание нейросетевых технологий с численными алгоритмами, устанавливающими дополнительные ограничения на принадлежность искомых параметров определенным диапазонам на основе анализа поведения температурного поля исходя из его качественных свойств. Такой подход позволяет получить адекватные результаты при решении двухпараметрической задачи (табл. 2, рис. 2–4). Итерационное выполнение указанных двух этапов по идентификации параметров и проводилось до выполнения условия .
Рис. 2. Зависимость точности решения от уровня СКО случайного возмущен
Рис. 3. Зашумленная температурная кривая при , используемая в качестве экспериментальной информации – (1), и полученное модельное распределение – (2)
Рис. 4. Погрешность при
Таблица 2
Точность параметрической идентификации в классе экспоненциальных функций
в зависимости от величины СКО погрешности измерения
0 | 1 | 3 | 5 | 10 | |
0.9696 | 0.9730 | 0.9632 | 0.9765 | 0.9882 | |
48.4582 | 63.4085 | 59.0270 | 64.4264 | 82.9217 | |
2.4076e-07 | 1.4406e-04 | 9.5059e-04 | 0.0023 | 0.0112 |
Выводы
В работе предложен подход к нейросетевому решению задачи параметрической идентификации при заданной структуре математического оператора искомой характеристики. Проведенные исследования подтверждают возможность использования интеллектуальных методов для решения обратных задач математической физики в условиях неполноты информации в ряде случаев, когда искомая зависимость может быть аппроксимирована функцией с небольшим числом параметров.
Качество работы алгоритма существенно зависит от погрешности исходных данных. С увеличением числа параметров при действии возмущающих факторов для получения удовлетворительной точности решения нейросетевые технологии рекомендуется дополнять алгоритмами, контролирующими поведение искомых и измеряемых характеристик на основе их базовых свойств. Использование априорной информации позволяет повысить точность решения и уменьшить вычислительную сложность.
Предложенный подход может быть в дальнейшем распространен на структурные операторы более сложной формы, характеризующиеся вектором параметров большей размерности.
About the authors
A. N. Diligenskaya
Samara State Technical University
Author for correspondence.
Email: info@eco-vector.com
(Dr. Sci. (Techn.)), Professor
Russian Federation, 244, Molodogvardeyskaya str., Samara, Russian FederationA. V. Samokish
Samara State Technical University
Email: info@eco-vector.com
Postgraduate Student
Russian Federation, 244, Molodogvardeyskaya str., Samara, Russian FederationReferences
- Alifanov O.M. Obratnye zadachi teploobmena [Inverse Heat Transfer Problems]. Moscow: Mashi-nostroenie, 1988, 280 p. (In Russian).
- Beck J.V., Blackwell B., C.R. Jr St. Clair. Inverse Heat Conduction: Ill-Posed Problems, New York: Wiley, 1985.
- Alifanov O.M., Artyukhin E.A., Rumyantsev S.V. Jekstremal'nye metody reshenija nekorrektnyh zadach [Extremum Methods of Solution of Ill-Posed Problems and Their Application to Inverse Heat-Transfer Problems]. Moscow: Nauka, 1988, 288 p. (In Russian).
- Diligenskaya A.N., Rapoport E.Ya. Analytical methods of parametric optimization in inverse heat-conduction problems with internal heat release // J. Eng. Phys. Thermophys., 2014. Vol. 87, no. 5, p. 1126.
- Diligenskaya A.N. Methods of Sequential Parametric Optimization in Inverse Problems of Technologi-cal Thermophysics // 2019 XXI International Conference Complex Systems: Control and Modeling Problems (CSCMP). – Samara, Russia, 2019. pp. 267–270.
- Pranghishvili I.V., Lototsky V.A., Ghinsberg K.S., Smolyaninov V.V. System identification and control problems: on the way to modern system methodologies // Control Sciences. 2004. № 4. Pp. 2–15 (In Russian).
- Voronova N.P., KovalevS.M., Shabelnikov A.N. Identification and estimation of states for fuzzy dy-namical systems // Izvestiya SFedU. Engineering Sciences. 2016. № 6 (179). Pp. 128-130 (In Rus-sian).
- Berdnik V.V., Mukhamedyarov R.D. Application of the Method of Neural Networks to Solution of the Inverse Problem of Heat Transfer // High Temperature, 2003, V. 41, pp. 839–843.
- Kruglov V.V., Dli M.I., Golunov R.Y. Nechetkaja logika i iskusstvennye nejronnye seti [Fuzzy logic and artificial neural networks]. Moscow: Fizmatlit, 2001. 221 p. (In Russian).
- Haykin S. Nejronnye seti: polnyj kurs. 2-e izd [Neural networks: full course. 2nd ed.], Rev. M.: I.D. Williams, 2006. 1104 p. (In Russian).
- Aksenov S.V., Novoseltsev V.B. Organizacija i ispol'zovanie nejronnyh setej (metody i tehnologii) [Or-ganization and use of neural networks (methods and technologies)]. Tomsk, 2006 (In Russian).
- Lusenko D.S., Danilushkin I.A. Dynamic model of waste heat boiler based on recurrent neural network // Vestn. Samar. Gos. Tehn. Un-ta. Tehn. Nauki, 2020. V. 28, No. 2. Pp. 59–72 (In Russian).
- Zamyatin N.V., Medyantsev D.V. Methods of neural network modeling of complex systems // Izvestia Tomsk. Pol-teh Un-ta, 2006. No. 8. Pp. 100–106. (In Russian).
- Gorbachenko V.I., Lazovskaya T.V., Tarkhov D.A., Vasilyev A.N., Zhukov M.V. Neural Network Technique in Some Inverse Problems of Mathematical Physics. In: Cheng L., Liu Q., Ronzhin A. (eds) Advances in Neural Networks – Lecture Notes in Computer Science, 2016. V. 9719.
- Pavlov D.Yu. Neural network solution of the coefficient inverse heat conduction problem // Vestn. Mosk. Univ., Ser. 15: Vych. Mat. Kibern., 1994, no. 4, pp. 51–56.
- Eremenko Y.I., Poleshchenko D.A., Tsygankov Y.A. Development of neural network model of the mul-tiparametric technological object // J. Fundam. Appl. Sci., 2017. 9 (7S). Рр. 706–721.
Supplementary files







