Modeling of thermal processes when melting ice on power lines
- Authors: Bazarov A.A.1, Budko S.I.1
-
Affiliations:
- Samara State Technical University
- Issue: Vol 31, No 4 (2023)
- Pages: 49-67
- Section: Energy and Electrical Engineering
- URL: https://journals.eco-vector.com/1991-8542/article/view/629171
- DOI: https://doi.org/10.14498/tech.2023.4.4
- ID: 629171
Cite item
Full Text
Abstract
An analysis of the problem of ice formation on power line wires was carried out, and a review of work in the field of melting ice on various lines was carried out. Existing achievements and problems are noted. One of the reasons for the low equipment of lines with automated melting systems is the need to transfer the line from the operating state to the melting mode. One way to solve the problem is to combine these modes by loading the line with additional current without increasing the power transmitted to consumers. A set of issues on modeling thermal processes in the ice shell of power line wires during ice melting is considered. Limiting the power of heat generation in wires leads to the need to build a sufficiently accurate mathematical model to guarantee melting at different values of wind speed and temperature. A study of wire heating processes was carried out using models of stationary and non-stationary thermal conductivity. An algorithm is proposed for solving the thermal problem when a heated wire penetrates an ice shell, based on simulating the movement of the interface between the solid and liquid phases of water. The features of modeling the melting and crystallization process using a numerical method are described. When ice transitions to a molten state, melting reflects a change in density and the formation of an air gap, accompanied by a significant decrease in heat flows to the lower region of the ice shell. The results of numerical modeling of the process of melting an ice shell with a wire at different values of the convective heat transfer coefficient are presented. When analyzing the modeling results, conditions were identified for the occurrence of unacceptable overheating of a wire freed from ice. Various options for constructing a control system for the smelting process have been proposed to prevent overheating of the wire.
Full Text
Введение
Вопросы борьбы с гололедообразованием на проводах высоковольтных линий электропередачи широко известны. Особенно актуальна эта проблема в отдельных районах нашей страны, в которых ежегодно происходят массовые повреждения на линиях, связанные с этим непредсказуемым явлением. К таким районам относятся зоны с повышенной влажностью, низкими температурами, повышенной ветровой активностью, резкими перепадами температур, характерными для степной местности. Аварийность при интенсивном гололедообразовании крайне высока, так как образование ледяной корки на линии охватывает протяженные участки трассы, приводя к разрушению опор, разрыву проводов и удерживающих тросов, разрушению изоляторов и железной арматуры. Все это имеет серьезные последствия, такие как нарушение стабильности работы энергосистемы и подачи электроэнергии конечному потребителю, а также финансовые расходы на восстановительные работы. В тяжелых случаях такие мероприятия затягиваются на продолжительное время и, как следствие, влекут за собой огромные затраты на капитальный ремонт оборудования ЛЭП.
В связи с этим возникает потребность в оперативном и своевременном предотвращении образования гололеда. На данный момент самым распространенным и эффективным способом решения проблемы борьбы с гололедом на проводах является нагрев проводников линии увеличенными токами. Существующие системы плавки имеют определенные недостатки, обусловленные несовершенством способов, и предполагают стандартные мероприятия: отключение линии от источника питания; плавка гололеда с последующим объездом трассы оперативным персоналом; восстановительные операции, направленные на устранение механических повреждений. Только после выполненных мероприятий линия снова включается в работу. Эффективность таких решений бывает невысокой из-за недостаточной оснащенности средствами диагностики и автоматизации процессов плавки гололеда.
Для более простого решения проблемы предлагается обеспечить нагрев линии за счет пропускания дополнительных реактивных токов, достаточных для формирования нужного по величине уровня мощности тепловыделения [1]. Ток в линии формируется нагрузкой подключенных потребителей и реактивной мощностью реактора, специально подключенного в конце линии и имеющего индуктивность L. Одновременное подключение в начале линии батареи конденсаторов, имеющих суммарную емкость С, позволяет компенсировать реактивную мощность и разгрузить питающий трансформатор от реактивных токов. Для обеспечения необходимого значения тока в линии реактор и батарея конденсаторов имеют несколько ступеней регулирования.
Существует три основных вида гололедных образований: гололед, изморозь, а также смесь из этих осадков.
При значительных скоростях формирования гололеда требуется оперативное вмешательство, так как нарастание массы и площади поверхности ледяной оболочки приводит к предельным нагрузкам на провод при сильном ветре.
Гололедное отложение имеет твердую прозрачную или полупрозрачную структуру с плотностью 600–900 кг/м3 [2]. При отрицательной температуре осадки налипают на поверхность металлических проводов. Процесс образования оболочки из льда происходит при температуре от 0 до –10 °С при скорости ветра до 5–20 м/с. Если направление ветра перпендикулярно оси провода, то гололед образуется с наветренной стороны. Если же ветер направлен вдоль проводника, то гололед образуется на всей его поверхности. Однако в таком случае отложения гололеда имеют меньшую интенсивность и более пористую структуру.
При рассмотрении методов плавки гололеда на линиях электропередачи, а также причин его возникновения следует выделить ряд исследовательских работ. В работе [3] предлагается плавка гололеда токами высокой частоты, сгенерированными радиопередатчиками вдоль всей длины ЛЭП.
В статье [4] выполнен обзор типовых решений по плавке гололеда на проводах, предложены новые технические решения для предотвращения гололедообразования на грозозащитных тросах.
В работах [5, 6] рассмотрены способы плавки гололеда без отключения потребителей. В них предлагается плавка гололеда на параллельных и кольцевых линиях наложением постоянного тока на рабочий переменный ток.
Вопросам расширения возможностей систем плавки гололеда для обеспечения функционирования системы питания коммутационных аппаратов, устанавливаемых на опорах линий электропередачи напряжением 220 и 330 кВ и предназначенных для создания контура при плавке гололеда электрическим током, посвящена работа [7].
Применение компьютерных моделей процесса плавления льда при нагреве фазных и грозозащитного проводов описано в статье [8]. Модель построена с помощью метода точечных источников. Полученные зависимости времени сброса наледи от толщины и теплоемкости оболочки и провода показывают возможность практической реализации.
В работе [9], посвященной исследованию формирования и таяния льда, предложена одномерная модель термодинамики формирования и таяния ледяной оболочки. Модель позволяет получить пространственное распределение ледяного слоя и может быть применима при исследованиях, описывающих движение льда.
В статьях [10, 11] выполнено численное моделирование таяния слоя льда на вертикальной подложке, нагреваемой от источника излучения в виде галогенной лампы. Расчетная модель учитывает селективный характер источника излучения.
Представляет интерес работа [12], в которой приведены результаты компьютерного моделирования режимов плавления гололеда при подогреве проводов токами, увеличенными за счет добавления реактивной нагрузки.
В работах [13, 14] рассмотрен способ плавки гололеда на проводах контактной сети при питании участков контактной сети от разных фаз тяговой подстанции.
Способ очистки проводов от налипшего гололеда путем нагрева электрическим током является широко применяемым на трассах ЛЭП. Образование гололеда на проводах возможно лишь в том случае, если провод имеет температуру ниже 0 °С. Если же провод вследствие нагрева проходящими по нему токами имеет температуру выше 0 °С, то гололед на нем образовываться не будет. Если провод уже покрылся гололедом, то, пропуская через него ток соответствующей силы, можно нагреть его до температуры, при которой гололед начинает постепенно таять и опадать с провода.
Интенсивность прогрева проводника током значительно зависит от температуры воздуха и скорости ветра. При низких температурах воздуха и большой скорости ветра охлаждение проводника происходит интенсивнее, из-за чего для его нагрева до температуры, необходимой для плавления льда, требуются большие силы тока, пропускаемого по проводам.
Целью работы является построение компьютерной модели теплового процесса в системе «провод – оболочка», обладающей допустимой погрешностью и позволяющей определить время разрушения ледяной корки при использовании ограниченной мощности.
Чтобы определить параметры системы нагрева и режимов работы, необходимо проанализировать процессы в системе «провод – ледяная оболочка – окружающая среда». Учитывая допущения о симметричном расположении ледяной оболочки и постоянной скорости движения воздуха, можно сделать вывод, что теплообмен может быть описан дифференциальным уравнением в частных производных, дополненным граничными и начальными условиями. Это соответствует подходу численной реализации, при котором свойства задаются для каждой геометрической подобласти модели.
Геометрическая модель системы «провод – ледяная оболочка» для провода АС-185 содержит две области: внутренняя является металлической с усредненными параметрами; внешняя оболочка представляет собой лед с разными свойствами в зависимости конкретной задачи. При нагреве провода тепло передается в ледяную оболочку, что приводит к ее смещению вниз из-за образования жидкой фазы над металлическим проводом. Полного расплавления корки при этом не происходит. Система нагрева провода должна обеспечить проплавление ледяной оболочки и падение корки на землю. В зависимости от состояния корки процесс нагрева и плавления протекает по-разному. При формировании ледяной корки за счет образования изморози ее плотность составляет 0,15–0,4 [2, 15]. При замерзании капель мороси или ледяного дождя на проводах образуется лед с плотностью около 0,9 [2, 15]. При температуре –0,5 °С осадки в виде мокрого снега также налипают на провода. Плотность корки может изменяться в широких пределах.
Образующаяся корка создает значительную дополнительную статическую и динамическую нагрузку на линию. Увеличение парусности проводов сказывается на амплитуде колебаний и усилиях, которые передаются на опоры. На тепловых процессах это сказывается в виде образования ледяной оболочки неодинаковой толщины с разных сторон и формирования несимметричного распределения температуры в горизонтальной и вертикальной плоскостях.
Построение математической модели
Задание коэффициента теплопроводности корки в виде снега или рыхлой ледяной крошки удобно выполнить с помощью формулы М. Штурма [16], полученной при средней температуре снега −15 °С для плотности, изменяющейся в диапазоне [2, 15]:
,
где – плотность снега (льда).
Теплоемкость пористого льда (слежавшегося снега) в расчетах от плотности практически не зависит и принимается равной [2, 15].
В случае сплошного льда при температуре 0 °С плотность имеет значение 916,2 . В соответствии с данными, приведенными в [16], с понижением температуры удельная теплоемкость льда уменьшается, а теплопроводность и плотность льда, напротив, растут. Например, при температуре –10 °С его плотность становится равной 918,9 .
Значение удельной теплоемкости льда при 0 °С составляет 2050 . При снижении температуры льда до –10 °С его удельная теплоемкость снижается до 2000 . Теплоемкость льда в два раза меньше, чем у воды (4200 ).
Теплопроводность льда при понижении его температуры с 0 до –10 °С увеличивается с 2,22 до 2,3 , а теплопроводность воды в 4 раза меньше (0,56 ).
Процессы передачи тепла в твердых телах описываются дифференциальными уравнениями в частных производных. Модель построена в декартовой системе координат. При учете воздействия ветра на провод необходим учет направления ветра. Поэтому использование более экономичной осесимметричной модели в данной задаче приведет к существенной погрешности из-за угловой несимметрии условий теплообмена с внешней средой. При использовании численных методов расчета для каждой отдельной подобласти уравнение содержит отличающиеся параметры. В случае нелинейной постановки задачи свойства среды неизменны только в пределах одного элемента. С учетом наличия нескольких сред в системе «ледяная оболочка – провод» уравнение теплопроводности записывается в общем виде
\( {{\rm{\rho }}_k}{_k}\frac{{\partial {{\rm{T}}_k}}}{{\partial {\rm{t}}}} = \frac{\partial }{{\partial x}}\left( {{\lambda _k}\frac{{\partial {T_k}}}{{\partial x}}} \right) + \frac{\partial }{{\partial y}}\left( {{\lambda _k}\frac{{\partial {T_k}}}{{\partial y}}} \right) - {\rho _k}L\frac{{\partial b}}{{\partial t}} + {w_k} \) (1)
с начальными условиями
. (2)
Здесь k – номер материала (1 – алюминий; 2 – лед); – плотность материала; – удельная теплоемкость; – коэффициент теплопроводности; – температура; – удельная мощность тепловыделения; L – удельная теплота плавления льда; b – граница между твердой и жидкой фазами.
Начальные условия для упрощения предполагают задание начальной температуры системы «провод – оболочка», равной температуре окружающей среды. В большинстве вычислительных экспериментов температура среды равна –5 °С.
Теплопередача в системе «провод – ледяная оболочка» осуществляется за счет теплопроводности. Поэтому с учетом возможностей программного комплекса Comsol геометрическая модель неизменна, но свойства отдельных элементов могут изменяться. Граничные условия задаются на внешней поверхности ледяной оболочки.
В качестве граничных условий на боковой поверхности задан конвективный теплообмен:
. (3)
Коэффициент конвективного теплообмена может иметь разное значение на поверхности провода. При моделировании в программе Comsol предусмотрено разделение кольцевой линии на четыре сектора, что позволяет на каждом участке задавать нужный вид теплообмена и нужные значения параметров.
Процессы плавления или кристаллизации льда моделируются с помощью замены процесса движения фронта раздела жидкой и твердой фаз, в выражении (1) представленном в виде слагаемого , на приращение теплосодержания в момент перехода через точку кристаллизации (плавления). С учетом дискретного характера вычислительного процесса при моделировании теплота плавления приравнивается к произведению величины интервала температур , на котором происходит фазовое превращение, на расчетное значение добавочной теплоемкости :
.
Теплота плавления льда равна 330 кДж. При величине интервала температур, равной одному градусу, добавка к коэффициенту теплообмена составляет 330000 . Сама по себе эта величина создает сложности при расчетах, но к еще более серьезной проблеме приводит скорость изменения теплоемкости. По причине ухудшения сходимости вычислительного процесса приходится не только уменьшать шаг дискретизации по времени, но и увеличивать интервал температур для фазового перехода.
Сложность задачи плавления гололеда на проводах заключается в том, что необходим учет поглощения и выделения теплоты плавления. Оба эти процесса протекают одновременно. На верхней поверхности провода лед плавится, а в нижней части происходит кристаллизация. Под действием силы тяжести вода стекает вниз, где заполняет поры между крупинками льда. В итоге провод перемещается вверх относительно ледяной оболочки. Скорость перемещения зависит от мощности нагрева и скорости расплавления пограничного слоя. Таким образом, расчет тепловых процессов должен учитывать не только явления плавления и кристаллизации, но и перемещение вещества. Подобные задачи сопровождаются перестроением сетки конечных элементов. В рассматриваемой задаче такое усложнение не только трудно реализуемо, но и не оправдано с точки зрения получаемого результата. Разброс физических свойств ледяной оболочки, зависящих от условий формирования, приводит к сильно отличающимся результатам, что делает нецелесообразным доскональный учет всех параметров сложного процесса.
Для упрощения расчетной модели (1) изменение агрегатного состояния выполнено путем добавления теплоты плавления к величине удельной теплоемкости в узком диапазоне температур [1]. При задании перепада температуры, равного двум градусам, при котором лед переходит в жидкое состояние, получена прибавка теплоемкости 165 . Для данного уточнения параметров модели (1) зависимость теплоемкости от температуры содержит ступенчатую функцию H, позволяющую переходить от значения теплоемкости льда к значению теплоемкости , учитывающей поглощение теплоты плавления, и затем к значению теплоемкости воды :
.
Процесс теплопроводности в системе тел дополняется вектором скорости для провода:
. (4)
При отсутствии в математической модели связи между температурой и перемещением границы жидкой и твердой фаз удобно использовать упрощенный алгоритм расчета. Скорость движения заранее неизвестна и должна быть подобрана для обеспечения соответствия скорости перемещения фронта расплавления льда. Такой подход имитирует реальное перемещение провода в ледяной оболочке и является более простым и экономичным способом задания относительного движения. При этом неизбежна дополнительная вычислительная погрешность, обусловленная изменением условий задачи, так как толщина льда над проводом постепенно уменьшается.
Для отображения процесса расплавления льда в верхней части, стекания воды в нижнюю зону и образования воздушной прослойки под нижней поверхностью провода из-за повышения плотности льда внизу предусмотрено изменение коэффициентов теплопроводности и плотности в зависимости от температуры и места расположения. Так, под нижней поверхностью провода процесс расплавления приводит к образованию тонкого слоя воздуха, имеющего плотность 1,29 и коэффициент теплопроводности 0,0258 .
Определение значения мощности тепловыделения в проводнике должно быть выполнено при соблюдении некоторых условий. Во-первых, нежелателен перегрев провода, который возможен на отдельных участках при неодновременном разрушении корки. В то время как происходит плавление ледяной оболочки, на соседних, уже освободившихся от льда, участках может значительно возрастать температура. Во-вторых, имеется ограничение пропускной способности трансформатора, питающего линию. Значительно увеличить ток линии для ускорения процесса плавления не всегда возможно.
Для решения задачи поиска мощности тепловыделения в проводах, обеспечивающей разрушение ледяной оболочки, выполнен комплекс расчетов.
Моделирование процессов плавления
Мощность внутренних источников сконцентрирована в области проводника. Несмотря на то, что диапазон температур невелик, предусмотрены зависимости всех коэффициентов от температуры нагрева, так как свойства изменяются довольно значительно при изменении агрегатного состояния.
Процесс разогрева ледяной оболочки приводит к превращению тонкого слоя льда на границе проводника и оболочки в жидкое состояние. Физически происходит следующее: жидкость стекает к нижней зоне, где может произойти обратное замораживание, просачивание через стенку или сохранение в жидком состоянии. В любом случае изменения геометрических параметров нижней полости приводят к ухудшению теплового контакта нижней зоны жидкости или льда с проводником. Это частично уменьшает отвод тепла в нижнюю зону и увеличивает интенсивность прогрева верхней зоны ледяной корки. Описанные особенности протекания процесса плавки существенно усложняют алгоритм расчета.
Задачей моделирования процесса плавки ледяной оболочки путем проплавления является также определение возможности протекания процесса при минимально возможных значениях уровня мощности, достаточных для предотвращения образования гололеда.
Для расчетов приняты следующие параметры модели: диаметр проводника 15 мм; толщина ледяной оболочки 10 мм; коэффициент конвективного теплообмена между поверхностью ледяной оболочки и воздухом имеет значения от 5 до 25 ; мощность тепловыделения в проводнике – 33 Вт; длина проводника – 1 м. Тепловыделение в проводнике соответствует протеканию длительно-допустимого тока.
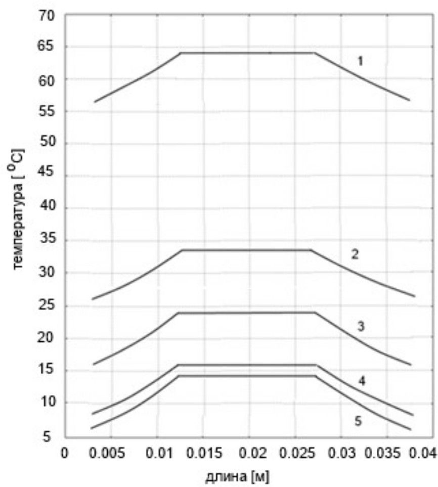
Для определения теплового баланса между поверхностью провода, покрытого слоем льда, и окружающим воздухом произведены расчеты для стационарного режима, когда сформировано установившееся распределение температуры. Процессы плавления и кристаллизации в данном случае не учитываются. Тепловая задача с неподвижным проводником в ледяной оболочке рассмотрена при разных коэффициентах конвективного теплообмена между поверхностью ледяной оболочки провода и окружающей средой. На рис. 1 представлены диаграммы температуры, соответствующие значениям коэффициента теплообмена от 5 до 25 . На рисунке отсчет координат ведется сверху вниз. По сравнению с последующими расчетами для нестационарных процессов картина выглядит нереальной из-за высоких значений температуры, при которых вода находится в жидком состоянии.
Рис. 1. Диаграммы температуры вдоль горизонтальной осевой линии провода при коэффициенте конвективного теплообмена: 1 – 5 Вт/(м2 град) ; 2 – 10 Вт/(м2 град) ; 3 – 15 Вт/(м2 град) ; 4 – 20 Вт/(м2 град) ; 5 – 25 Вт/(м2 град)
Следует отметить сложность зависимости коэффициентов от скорости ветра, требуется учет радиуса проводника или ледяной оболочки. Необходимо рассмотрение подветренной и наветренной сторон по отдельности, а также стационарный или нестационарный режимы движения воздуха. При порывистом ветре среднее значение скорости приводит к другим значениям эквивалентного коэффициента теплообмена в отличие от спокойного характера движения воздуха.
На рисунке горизонтальные участки диаграмм температуры соответствуют проводнику, а наклонные участки характеризуют перепад температуры по толщине ледяной корки. Как видно из диаграмм, их вид мало изменяется с ростом температуры проводника. Мощность, выделяющаяся в проводнике, обеспечивает полное расплавление ледяной корки при условии, что процесс образования ледяной корки не является более интенсивным.
Расчеты на модели нестационарного процесса нагрева провода с ледяной оболочкой показали, что при коэффициенте теплообмена, равном 5 , постоянная времени составляет 3650 с, а при коэффициенте теплообмена, равном 25 , постоянная времени равна 760 с. Тепловой процесс довольно инерционный, даже без учета процесса плавления.
Оценка параметров процесса плавки гололеда выполняется путем расчетов на модели, учитывающей переход льда из твердого в жидкое состояние и обратно, а также образование воздушной прослойки под проводом в ледяном слое. В данном случае имеется в виду оценка соответствия двух параметров – скорости перемещения провода относительно оболочки и скорости движения фронта положительной температуры над проводом. При совпадении этих величин в любой момент времени над проводом наблюдается постоянная толщина прослойки с положительной температурой. При этом учитываются затраты энергии на процесс плавления. В ходе численных экспериментов определено значение мощности, равное 106 Вт, которое обеспечивает формирование области с положительной температурой над проводом при скорости перемещения проводника мм/c. После разогрева в течение 900 с начинается процесс проплавления. Расчетное время прохождения проводом ледяной оболочки при скорости перемещения проводника 0,1 мм/c и толщине корки льда мм определяется по формуле и составляет 100 с. Коэффициент теплообмена задан равным 5 . После проведения расчетов значение скорости может быть скорректировано так же, как и момент начала движения.
Согласно диаграммам, показанным на рис. 2, проводник и прилегающий к нему слой водно-ледяной оболочки переходят в область положительных температур в моменты времени 450 и 560 с (в связи с ограничениями модели принято условное название для оболочки, предполагающее в указанной геометрической области твердое или жидкое состояние воды. Положительные значения температуры относятся только к жидкой фазе.) За этим следует перемещение проводника относительно оболочки. Можно говорить о том, что в момент времени 700 с провод проходит сквозь оболочку и освобождается от нее.
Рис. 2. Временные диаграммы температуры в оболочке на расстоянии от поверхности провода: 1 – 0 мм; 2 – 0,5 мм; 3 – 2,5 мм; 4 – 4,5 мм; 5 – 6,5 мм; 6 – 10 мм
На рис. 3 изображено распределение температуры в проводнике и в слое льда в момент времени 900 с. Несимметрия в картине распределения незначительна.
Рис. 3. Распределение температуры в проводе с ледяной оболочкой при плотности 900 кг/м3 в момент времени 900 с
Диаграммы температуры в системе «провод – лед» вдоль вертикальной линии представлены на рис. 4. По сравнению со стационарным режимом перепады температуры при разных коэффициентах теплообмена стали значительно меньше. Несимметрия диаграмм характеризуется разницей температур не более 0,3 градуса.
Рис. 4. Диаграммы температуры по высоте в проводе с оболочкой при коэффициенте теплообмена: 1 – 5 Вт/(м2 град) ; 2 – 25 Вт/(м2 град) ; 3 – 125 Вт/(м2 град)
Изменение плотности ледяной корки с 900 до 400 приводит к уменьшению времени нагрева до момента плавления на поверхности провода. Практически через 100 с температура на расстоянии 0,5 мм от поверхности становится положительной. При расчете значение мощности изменено со 106 до 88 Вт, остальные параметры оставлены прежними.
Согласно диаграммам, приведенным на рис. 5, температура водно-ледяной оболочки на расстоянии 6,5 мм от поверхности провода становится выше нуля через 650 с. Таким образом, время перемещения нагретого провода через комбинированную водно-ледяную оболочку снижается в несколько раз (положительные температуры соответствуют жидкой фазе). Мощность тепловыделения при заданных параметрах теплообмена с окружающей средой можно снизить еще больше.
Рис. 5. Временные диаграммы температуры в оболочке на расстоянии от поверхности провода: 1 – 0 мм; 2 – 0,5 мм; 3 – 2,5 мм; 4 – 4,5 мм; 5 – 6,5 мм; 6 – 10 мм
Распределение температуры в системе «провод – лед (вода)» показано на рис. 6. Наблюдается значительное изменение по сравнению с предыдущим расчетом. Область положительных температур характеризуется не только повышенными значениями, но и существенной несимметрией. Сильно сказывается влияние воздушной прослойки под проводом, что приводит к уменьшению толщины области положительных температур. Таким образом, при определенных условиях в области ниже провода передача тепла снижается.
Рис. 6. Распределение температуры в проводе с оболочкой при плотности 400 кг/м3 в момент времени 900 с
Расчет тепловых процессов в проводе с водно-ледяной оболочкой при коэффициенте теплообмена 25 показывает практически полное совпадение с диаграммами температур, представленными на рис. 5, поэтому они не приведены. Это объясняется слабым влиянием внешнего термического сопротивления на перепад температуры в слое льда по сравнению с внутренним сопротивлением.
При моделировании процесса плавления ледяной оболочки с низкой плотностью, отличающейся пониженным коэффициентом теплопроводности, диаграммы температуры вдоль вертикальной оси имеют выраженную несимметрию (рис. 7).
Рис. 7. Диаграммы температуры в проводе с ледяной (рыхлой) оболочкой при коэффициенте теплообмена: 1 – 5 Вт/(м2 град) ; 2 – 25 Вт/(м2 град) ; 3 – 125 Вт/(м2 град)
Выполнение основной задачи, связанной с освобождением провода от ледяной оболочки, приводит к изменению площади поверхности, так как теплообмен происходит между поверхностью провода и воздушной средой, а не между поверхностью ледяной оболочки и воздухом. Это приводит к изменению теплового потока в окружающую среду. Данный процесс сопровождается существенным повышением температуры провода. Результаты расчетов этого процесса представлены в виде таблицы и диаграмм (рис. 8).
Рис. 8. Временные диаграммы температуры провода без ледяной корки: 1 – мощность 106 Вт, коэффициент теплообмена 5 Вт/(м2 град) ; 2 – мощность 88 Вт, коэффициент теплообмена 5 Вт/(м2 град) ; 3 – мощность 106 Вт, коэффициент теплообмена 25 Вт/(м2 град) ; 4 – мощность 88 Вт, коэффициент теплообмена 25 Вт/(м2 град) ; 5 – мощность 106 Вт, коэффициент теплообмена 125 Вт/(м2 град) ; 6 – мощность 88 Вт, коэффициент теплообмена 125 Вт/(м2 град)
Результаты расчетов
№ | Р, Вт | , | , с | , | , | , |
1 | 106 | 5 | 1700 | 440 | 110 | 280 |
2 | 106 | 25 | 366 | 85 | 64 | 84 |
3 | 106 | 125 | 75 | 12,8 | 12,8 | 12,8 |
4 | 88 | 5 | 1800 | 365 | 100 | 230 |
5 | 88 | 25 | 350 | 69 | 56 | 69 |
6 | 88 | 125 | 90 | 9,8 | 9,8 | 9,8 |
В таблице отображены значения температуры в моменты времени 10 и 30 мин для того, чтобы определить необходимость проведения каких-либо действий.
Временные диаграммы температуры голого провода необходимы для оценки риска перегрева проводника при неравномерном покрытии поверхности провода ледяной оболочкой во время плавки гололеда. На основании анализа табличных данных и диаграмм видно, что даже при довольно невысоких мощностях тепловыделения нагрев голого провода приводит к недопустимому перегреву, если вовремя не снизить ток линии. Можно сделать вывод о том, что при коэффициентах конвективного теплообмена 5 при подогреве провода в течение времени свыше 500 с проводник разогревается до недопустимых температур. При заданном коэффициенте теплообмена предпочтительнее выглядит краткосрочный режим плавки с заданным временем, когда температуры в проводе не превышают 100 °С. При коэффициентах конвективного теплообмена 25 и 125 , даже при длительности нагрева более 2000 с, диапазон конечных значений температуры не превышает 100 °С. При таких погодных условиях длительный режим не приводит к перегреву и является более безопасным.
Проведение исследования целесообразности и эффективности использования различных моделей тепловых процессов при плавке гололеда на проводах показало, что стационарные модели дают ответ только на вопрос о возможности расплавления ледяной оболочки. Расчет тепловых процессов на нестационарной модели показал возможность не только проплавления ледяной оболочки, но и значительного перегрева освободившегося провода. Определены варианты развития событий. При низких значениях коэффициента теплообмена температура провода возрастает до недопустимых значений. Требуется контроль наличия ледяной оболочки или температуры провода. Альтернативой является измерение скорости ветра и ограничение времени нагрева. Увеличение коэффициента теплообмена между поверхностью ледяной оболочки или, после проплавления, провода с окружающей средой не приводит к отрицательным последствиям в виде недопустимого перегрева. Возможен перерасход энергии, который следует ограничить.
Заключение
Использование различных моделей процесса плавки гололеда на проводах показало возможность повышения точности расчетов в условиях ограниченных возможностей используемого математического аппарата.
Корректировка параметров упрощенной модели процесса плавления позволяет определить мощность и время при заданных значениях плотности и толщины оболочки и коэффициента теплообмена, зависящего от скорости ветра.
Проведение математических исследований процессов плавки гололеда на проводах в различных погодных условиях при разных токах нагрузки в линии позволит подбирать оптимальные режимы дополнительной загрузки линии реактивными токами для эффективной плавки при допустимой перегрузке трансформаторов.
About the authors
Aleksandr A. Bazarov
Samara State Technical University
Author for correspondence.
Email: aleksbazarov@yandex.ru
Dr. Sci. (Techn.), Professor
Russian Federation, 244, Molodogvardeyskaya st., Samara, 443100Stepan I. Budko
Samara State Technical University
Email: budko-1998@mail.ru
Postgraduate Student
Russian Federation, 244, Molodogvardeyskaya st., Samara, 443100References
- Bazarov A.A., Danilushkin A.I., Osipov V.S. Sistema plavki gololeda na provodah linij elektroperedachi bez otklyucheniya nagruzki [System for melting ice on power transmission line wires without disconnecting the load] // Vestnik SamGTU. Tekhnicheskie nauki. 2015. № 3. Pр. 109–117. (In Russian)
- Chubik I.A., Maslov A.M. Spravochnik po teplofizicheskim harakteristikam pishchevyh produktov i polufabrikatov [Handbook on the thermophysical characteristics of food products and semi-finished products]. M.: Pishchevaya promyshlennost', 1970. 184 p. (In Russian)
- Myasoedov Yu.V., Korzhova O.N. Plavka gololeda na liniyah elektroperedachi: metody, innovacii, ekspluataciya [Melting ice on power lines: methods, innovations, operation] // Vestnik Amurskogo gosudarstvennogo universiteta. Seriya: estestvennye i ekonomicheskie nauki. Amurskij gosudarstvennyj universitet. 2019. № 87. Pр. 65–66. (In Russian)
- Chernomaz D.A., Shovkoplyas S.S. Predotvrashchenie avarij pri gololedoobrazovanii na vozdushnyh liniyah elektroperedachi sverhvysokogo napryazheniya [Prevention of emergency situations due to ice formation on ultra-high voltage overhead power lines] // Kibernetika energeticheskih sistem. Sbornik materialov HL sessii nauchnogo seminara po tematike «Diagnostika energooborudovaniya». 2018. Yuzhno-Rossijskij gosudarstvennyj politekhnicheskij universitet (NPI) imeni M.I. Platova (Novocherkassk). Pр. 227–235. (In Russian)
- Elizariev A.Yu., Valeev A.R. Plavka gololeda na vozdushnyh liniyah elektroperedachi bez otklyucheniya potrebitelej [Melting ice on overhead power lines without disconnecting consumers] // Vestnik Ufimskogo gosudarstvennogo aviacionnogo tekhnicheskogo universiteta. Ufimskij gosudarstvennyj aviacionnyj tekhnicheskij universitet. 2015. V. 19, № 4 (70). Pр. 59–65. (In Russian)
- Elizariev A.Yu., Sharafieva G.A. Tekhniko-ekonomicheskaya ocenka sistemy plavki gololeda nalozheniem postoyannogo toka na peremennyj bez otklyucheniya potrebitelej [Technical and economic system for assessing the melting of bare ice by applying direct current to alternating current without disconnecting consumers] // Molodezhnyj vestnik Ufimskogo gosudarstvennogo aviacionnogo tekhnicheskogo universiteta. 2015. № 1 (13). Pр. 13–18. (In Russian)
- Koltsov A.V., Kovtun G.N., Goryushin Yu.A., Ivanitskaya I.V., Yazychenkov N.S., Voloshin A.G., Savotin O.A., Lebedev D.E. Linejnyj kompleks kommutacionnyh apparatov: osobennosti organizacii sistemy pitaniya i informacionnoj sistemy [Linear complex of switching devices: features of the organization of power supply systems and information systems] // Vestnik Severokavkazskogo Federal'nogo Universiteta. 2016. № 6 (57). Pр. 25–30. (In Russian)
- Knyazev S.Yu., Shcherbakova E.E., Shcherbakov A.A. Modelirovanie plavki gololeda na provodah vozdushnyh linij elektroperedach s pomoshch'yu metoda tochechnyh istochnikov polya [Modeling melting of ice on overhead power lines using the point source method] // Prom-Inzhiniring. Trudy II mezhdunarodnoj nauchno-tekhnicheskoj konferencii. FGBOU VPO «Yuzhno-Ural'skij gosudarstvennyj universitet» (nacional'nyj issledovatel'skij universitet). 2016. Pр. 423–428. (In Russian)
- Ivanov V.A., Ryabtsev Yu.N. Modeling of ice formation and formation in the Kerch Strait / Russian Meteorology and Hydrology. Alberton Press, Inc. 43, 2018, No. 1. Pр. 36–42.
- Sleptsov S.D., Rubtsov N.A., Savinova N.A. Modeling of ice melting in a single-phase formulation of the Stefan problem / 34th Siberian Thermophysical Seminar dedicated to the 85th anniversary of Academician A.K. Rebrova, STS 2018. Novosibirsk, August 27–30, 2018. Physical Journal: Conference Series. Institute of Physical Publishing. Volume 1105. 2018.
- Savinova N.A., Sleptsov S.D., Grishin M.A. Numerical modeling of the melting of scattering ice in the single-phase Stefan problem / 5th All-Russian Scientific Conference “Thermophysics and Physical Hydrodynamics” with the School of Young Scientists, TPH 2020, Yalta, Crimea, September 13–20, 2020 Physical Journal: Conference Series Ser. “5th All-Russian Scientific Conference “Thermophysics and Physical Hydrodynamics” with the School of Young Scientists TPH 2020” Volume 1675. 2020.
- Roginskaya L.E., Kartashev V.V., Lyutov A.G., Rakhmatullina G.E. Modelirovanie ustanovki dlya plavki gololeda s ispol'zovaniem reaktivnyh tokov na VL 10 kV PS Al'muhametovo OOO "Bashkirenergo" [Modeling of an installation for melting ice using reactive currents on a 10 kV overhead line at Almukhametovo Substation LLC "Bashkirenergo"] // Voprosy nadezhnosti raboty sistem elektrosnabzheniya v usloviyah gololedno-vetrovyh nagruzok. Materialy mezhdunarodnoj nauchno-prakticheskoj konferencii. Ufimskij gosudarstvennyj aviacionnyj tekhnicheskij universitet (Ufa). 2016. Рр. 76–81. (In Russian)
- Zakaryukin V.P., Kryukov A.V. Modelirovanie dinamiki plavki gololeda na provodah vozdushnyh linij elektroperedachi i kontaktnyh podvesok tyagovyh setej [Modeling the dynamics of ice melting on the wires of overhead power lines and catenary suspensions of traction networks] // System analysis and mathematical modeling. Bajkal'skij gosudarstvennyj universitet. V. 4, № 1. 2022. Pр. 11–37.
- Zakaryukin V.P., Kryukov A.V., Lagunova N.S. Modelirovanie rezhimov plavki gololeda v tyagovyh setyah [Modeling of ice melting modes in traction networks] // Sovremennye tekhnologii. Sistemnyj analiz. Modelirovanie. Irkutskij gosudarstvennyj universitet putej soobshcheniya. 2017. № 2 (54). Pр. 167–174.
- Volkov A.I., Zharsky I.M. Bol'shoj himicheskij spravochnik [Large chemical reference book]. M.: Sovetskaya shkola, 2005. 608 p.
- Mikheev M.A., Mikheeva I.M. Osnovy teploperedachi [Basics of Heat Transfer]. M.: Energiya, 1977. 344 р.
Supplementary files











