Numerical simulation of the interaction of a shock wave with a permeable deformable granulated layer
- Authors: Modin I.A.1, Kochetkov A.V.1, Glazova E.G.1
-
Affiliations:
- Research Institute of Mechanics, National Research Lobachevsky State University of Nizhny Novgorod
- Issue: Vol 26, No 1 (2022)
- Pages: 79-92
- Section: Mechanics of Solids
- URL: https://journals.eco-vector.com/1991-8615/article/view/106626
- DOI: https://doi.org/10.14498/vsgtu1879
- ID: 106626
Cite item
Full Text
Abstract
The article presents a mathematical model that describes, in a one-dimensional approximation, the interconnected processes of unsteady deformation of flat permeable granular layers. The model consists of solid particles and wave processes in pore and surrounding gas. The model is based on nonlinear equations of dynamics of two interpenetrating continua. As interfacial forces, drag forces are taken into account when gas flows around ball particles and friction forces. The numerical solution of the equations is carried out according to the modified scheme of S. K. Godunov, adapted to the problems of the dynamics of interpenetrating media. The contact surfaces of pure gas with the porous granular layer and pore gas are the surface of the fracture of porosity and permeability. The numerical implementation of contact conditions is based on the solution of the problem of disintegration of a gap at a jump in porosity. Solutions are obtained for the effects of plane shock waves on a deformable granular layer. We study the transformation of waves passing through an elastoplastic granular layer with and without taking into account changes in the permeability of the layer. When solving problems, the dependence of the change in the permeability of a layer on its compression is used, which is also obtained numerically when modeling the compression of symmetric fragments of granular layers in a spatial setting. Numerical studies of the processes of nonlinear interaction of shock waves with deformable permeable granular layers have shown that the parameters of transmitted and reflected waves substantially depend on the degree of compression of the granular layers. Assessment of the protective properties of permeable barriers when exposed to strong shock waves should be carried out taking into account changes in their permeability due to deformation layers.
Full Text
Введение. Перспективным элементом, защищающим конструкции от импульсных воздействий, являются насыпные слои [1-3]. В научной литературе существует ряд работ, посвященных исследованию деформируемых пористых преград [4-22], где показано, что размещение слоя пористых насыпных слоев перед стенкой мишени уменьшает величины остаточного напряжения и энергии мишени и существенно снижает скорость приложенной нагрузки. Полученные результаты ограничиваются малыми нагрузками, которые не вызывают развитое пластическое течение или разрушение материала шариков [14, 15]. При этом предполагалось, что проницаемые элементы в процессе взаимодействия с ударными волнами испытывают малые деформации и их проницаемость не изменяется. В данной статье рассматривается процесс взаимодействия плоских ударных волн с деформируемыми упругопластическими гранулированными слоями, которые могут испытывать большие деформации, влияющие на их проницаемость.
1. Уравнения в одномерном приближении. Динамическое поведение гранулированного слоя с содержащимся поровым газом описывается на основе уравнений динамики двух взаимопроникающих континуумов, каждый из которых имеет свои скорости, напряжения (давления) и температуры. Одномерные уравнения динамики порового газа в форме законов сохранения массы, импульса и энергии имеют вид:
Здесь и далее нижний индекс 1 относится к газу; 2 — к твердой компоненте; — время; — координата; — истинная плотность газа; — скорость; — внутренняя энергия; — удельная теплоемкость; — показатель адиабаты газа; , — межфазные силы и тепловой поток, действующие на "элементарный узел" твердой компоненты со стороны порового газа; — количество таких узлов в единице объема смеси; — объемные концентрации компонент; — коэффициент проницаемости сечений. Коэффициент проницаемости принимается в виде отношения площади пор к общей площади элемента среды. Из системы (1) при и следуют уравнения газовой динамики для однородной среды.
Уравнения динамического деформирования гранулированного слоя в одномерном приближении как скелета двухфазной среды имеют вид [14, 23]:
(2)
Здесь , — напряжение и деформация, — приведенная плотность гранулированного слоя ( , ). Закон связи между напряжением и деформацией имеет вид . Параметры, отмеченные верхним индексом , представляют собой максимальные значения, достигнутые частицей при нагружении в соответствующем направлении, они необходимы для описания разгрузки частиц среды, испытывающей необратимые деформации. Конкретный вид уравнения состояния определяется по результатам экспериментальных исследований сжатия гранулированных слоев. При взаимодействии твердого и газового компонентов в качестве межфазных сил учитываются: силы сопротивления частичек твердой фазы при их обтекании поровым газом; силы Стокса вязкого трения, а также конвективный теплообмен через межфазную поверхность [23]. Твердая фаза как скелет высокопористой среды может сильно сжиматься в процессе деформации, поэтому параметры , будут зависеть от степени ее сжатия. Конкретный вид этих зависимостей определяется численными исследованиями деформирования фрагментов гранулированного слоя в трехмерной постановке [24].
Поверхности контакта чистого газа с пористым гранулированным слоем являются поверхностью разрыва пористости и проницаемости. Как показали исследования [25-27], на контактных границах "чистый газ" – "поровый газ" должны выполняться специальные условия, как на скачке пористости:
(3)
Уравнения (3) отражают законы сохранения массы, импульса и энергии на скачке. Индекс 5 относится к параметрам со стороны "чистого газа", индекс 4 — к параметрам со стороны порового газа.
Построенная нелинейная математическая модель описывает процессы взаимодействия проницаемых деформируемых гранулированных слоев с ударными волнами. Модель учитывает изменение пористости среды и ее проницаемости от степени деформации гранулированного слоя. Численное решение уравнений (1), (2) производится с помощью схемы С. К. Годунова [28], адаптированной к задачам динамики взаимопроникающих сред. Численная реализация контактных условий (3) производится на основе решения задачи распада разрыва на скачке пористости [25, 27].
2. Постановка задачи. Постановка задачи показана на рис. 1. Расчетная область включает в себя три подобласти: воздух, гранулированный слой, воздух. Подвижный деформируемый гранулированный слой размещается в подобласти 2 от до , таким образом, начальная толщина гранулированного слоя составляет м. Коэффициент проницаемости слоя принимается равным , начальные параметры порового газа МПа, кг/м , .
Рис. 1. Постановка задачи численного моделирования
Координаты границ подобластей имеют следующие значения: м, м, м, м. В первой подобласти задаются параметры, соответствующие параметрам газа (воздуха) за фронтом набегающей плоской ударной волны. На искусственных границах подобластей газа и ставятся условия по давлению, соответствующие начальным условиям по этим подобластям. Размеры расчетных областей (подобласти 1 и 2) выбраны из условий, чтобы волновые возмущения от гранулированного слоя не отразились от искусственных границ и не исказили численное решение в течение интервала времени 0.4 мс, когда уже сформированы отраженные и прошедшие ударные волны в газе.
Коэффициент проницаемости принимается в виде отношения площади пор к общей площади элемента среды. В третьей подобласти — покоящийся газ с начальными параметрами, как и во второй подобласти. Показатель адиабаты газа во всех подобластях . Решение получено на разностной сетке с размером ячеек 0.0005 м. Гранулированный слой предполагается деформируемым. Кривые одноосного сжатия имеют вид, характерный для пористых материалов [29], и в переменных "давление – плотность" показаны на рис. 2. Пунктиром показана разгрузочная ветвь, принимаемая в виде прямой линии, с тангенсом угла наклона (квадрат скорости звука) равным м /с . В начальный момент времени слой покоится, деформации слоя отсутствуют, его начальная плотность равна 680 кг/м , давление — 0.1 МПа. Уменьшение проницаемости слоя при его сжатии с начального значения происходит по линейному закону (рис. 3). Вид зависимости изменения проницаемости от плотности установлен по результатам численного моделирования трехмерных задач упругопластического сжатия симметричных фрагментов гранулированных слоев [30].
Рис. 2. Изменение плотности относительно давления
Рис. 3. Изменение проницаемости
В области в качестве начальных условий задаются постоянные параметры за фронтом набегающей плоской ударной волны (УВ) в направлении оси . Эти параметры определяются числом Маха ударного фронта и вычисляются согласно формулам [31]:
где — показатель адиабаты, , — скорость звука перед УВ.
Рассматривались три варианта задания интенсивности набегающей УВ. В первом варианте полагалось МПа, кг/см , м/с. На рис. 4–6 представлены распределения давлений, плотностей и скоростей в газе по расчетной области задачи () в момент времени мс, когда формируются отраженные и проходящие через гранулированный слой ударные волны. Видно, что амплитуда давления отраженной волны в газе (кривые 1) более чем в 2 раза превышает амплитуду падающей ударной волны. Проходящая волна также является нелинейной с амплитудой 0.136 МПа (кривая 3). Наибольшие давления образуются в поровом газе гранулированной среды с амплитудами, на порядок превышающими амплитуду набегающей, отраженной и проходящей волны (кривая 2). Распределения скорости и плотности подтверждают нелинейный характер протекающих процессов (рис. 5, 6). Хорошо видны характерные скачки всех параметров на границах гранулированного слоя, что соответствует физике протекающих явлений [14].
Рис. 4. Распределение давления по расчетной области при мс
Рис. 5. Распределение скорости по расчетной области при мс
Рис. 6. Распределение плотности по расчетной области при мс
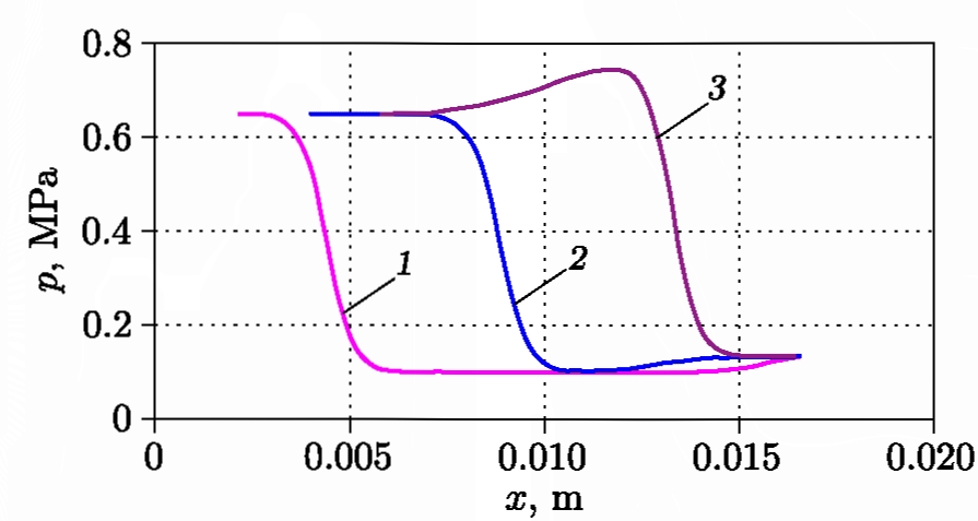
На рис. 7, 8 представлены распределения давлений и плотностей по гранулированному слою (твердой фазе) в моменты времени мс. Здесь цифрой 1 отмечено распределение полей в момент времени мс; цифрой 2 — мс; цифрой 3 — мс.
Рис. 7. Распределение давления по расчетной области в твердой фазе слоя
Рис. 8. Распределение плотности по расчетной области в твердой фазе слоя
Процессы волнообразования в твердой фазе также носят нелинейный характер. Скорости распространения возмущений по твердой фазе значительно меньше, чем по поровому газу. Вследствие нелинейности происходит некоторое усиление амплитуды, распространяющейся по слою волны (кривые 3). В распространяющейся по твердой фазе волне наблюдается уплотнение слоя в 1.76 раза, что приводит к существенному изменению его проницаемости (рис. 3). Для оценки влияния изменения проницаемости при сжатии гранулированного слоя на параметры проходящих и отраженных волн ниже приводится сравнительный анализ численных решений с учетом и без учета изменения его проницаемости вследствие деформирования.
Для этого проведены расчеты взаимодействия гранулированного слоя с набегающими УВ различной амплитуды: МПа, МПа, МПа.
На рис. 9, 10 представлены временные зависимости давлений проходящих (рис. 9) и отраженных (рис. 10) волн в точках на удалении и от границ слоя.
Рис. 9. Изменение давления проходящих волн
Рис. 10. Изменение давления отраженных волн
Цифрами 1 и 1' отмечено решение, полученное при параметрах газа за фронтом плоской ударной волны: МПа. Цифрами 2 и 2' — решение, полученное при параметрах газа за фронтом плоской ударной волны: МПа. Цифрами 3 и 3' — решение, полученное при параметрах газа за фронтом плоской ударной волны: МПа. Сплошные линии (1, 2, 3) соответствуют решению с учетом изменения коэффициента проницаемости, пунктирные линии (1', 2', 3') "— решению с постоянным коэффициентом проницаемости 0.215. Влияние учета изменения проницаемости особо заметно на параметрах отраженных волн, и это влияние возрастает с ростом амплитуды набегающей волны. Эта же закономерность проявляется и для проходящих волн, но в меньшей мере.
Заключение. Численные исследования процессов нелинейного взаимодействия ударных волн с деформируемыми проницаемыми гранулированными слоями показали, что параметры проходящих и отраженных волн зависят от степени обжатия гранулированных слоев, более существенна эта зависимость для проходящих волн. Поэтому оценку защитных свойств проницаемых преград при воздействии сильных ударных волн следует проводить с учетом изменения их проницаемости вследствие деформирования. Разработанные математическая и численная модели позволяют получать параметры отраженных и проходящих волн через проницаемые гранулированные слои с учетом изменения проницаемости от степени деформационного сжатия слоя.
Конкурирующие интересы. Заявляем, что в отношении авторства и публикации этой статьи конфликта интересов не имеем.
Авторский вклад и ответственность. И. А. Модин — проведение численных расчетов и экспериментальных исследований, обработка и анализ результатов, работа с черновиком и переработанным вариантом рукописи. А. В. Кочетков — идея исследования, формулировка целей и задач исследования, визуализация и верификация результатов Е. Г. Глазова — проведение численных расчетов, визуализация и верификация результатов, работа с черновиком и переработанным вариантом рукописи. Авторы несут полную ответственность за предоставление окончательной рукописи в печать. Окончательная версия рукописи была одобрена всеми авторами.
Финансирование. Работа выполнена при финансовой поддержке гранта Российского научного фонда (РНФ № 20–79–00108).
About the authors
Ivan A. Modin
Research Institute of Mechanics, National Research Lobachevsky State University of Nizhny Novgorod
Email: mianet@mail.ru
ORCID iD: 0000-0002-3561-4606
SPIN-code: 4839-8129
Scopus Author ID: 57192279101
ResearcherId: E-9088-2019
http://www.mathnet.ru/rus/person138504
Cand. Techn. Sci.; Researcher; Researcher; Lab. of Simulation of Physical and Mechanical Processes
Russian Federation, 23, korp. 6, pr. Gagarina, Nizhny Novgorod, 603022Anatoliy V. Kochetkov
Research Institute of Mechanics, National Research Lobachevsky State University of Nizhny Novgorod
Author for correspondence.
Email: kochetkov@mech.unn.ru
ORCID iD: 0000-0001-7939-8207
SPIN-code: 9964-3450
Scopus Author ID: 23004869700
http://www.mathnet.ru/person32889
Dr. Phys. & Math. Sci.; Professor; Dept. of Theoretical, Computer and Experimental Mechanics; (Institute of Information Technology, Mathematics and Mechanics UNN)
Russian Federation, 23, korp. 6, pr. Gagarina, Nizhny Novgorod, 603022Elena G. Glazova
Research Institute of Mechanics, National Research Lobachevsky State University of Nizhny Novgorod
Email: glazova@mech.unn.ru
ORCID iD: 0000-0003-4351-889X
SPIN-code: 5314-3012
Scopus Author ID: 55248346700
http://www.mathnet.ru/person163935
Cand. Phys. & Math. Sci.; Senior Researcher; Lab. of Dynamics of Multicomponent Media (Research Institute of Mechanics UNN)
Russian Federation, 23, korp. 6, pr. Gagarina, Nizhny Novgorod, 603022References
- Gelfand B. E., Silnikov M. V. Fugasnye effekty vzryvov [The Explosive Effects of Explosions]. St. Petersburg, Poligon, 2002, 272 pp. (In Russian)
- Gel’fand B. E., Gubanov A. V., Timofeev E. I. Interaction of shock waves in air with a porous screen, Fluid Dyn., 1983, vol. 18, no. 4, pp. 561–566. https://doi.org/10.1007/BF01090621.
- Ben-Dor G., Britan A., Elperin T., et al. Mechanism of compressive stress formation during weak shock waves impact with granular materials, Experiments in Fluids, 1997, vol. 22, no. 6, pp. 507–518. https://doi.org/10.1007/s003480050078.
- Glam B., Igra O., Britan A., Ben-Dor G. Dynamics of stress wave propagation in a chain of photoelastic discs impacted by a planar shock wave; Part I, experimental investigation, Shock Waves, 2007, vol. 17, no. 1, pp. 1–14. https://doi.org/10.1007/s00193-007-0094-x.
- Ben-Dor G., Britan A., Elperin T., et al. Experimental investigation of the interaction between weak shock waves and granular layers, Experiments in Fluids, 1997, vol. 22, no. 5, pp. 432–443. https://doi.org/10.1007/s003480050069.
- Britan A., Ben-Dor G. Shock tube study of the dynamical behavior of granular materials, Int. J. Multiphase Flow, 2006, vol. 32, no. 5, pp. 623–642. https://doi.org/10.1016/j.ijmultiphaseflow.2006.01.007.
- Britan A., Ben-Dor G., Igra O., Shapiro H. Development of a general approach for predicting the pressure fields of unsteady gas flows through granular media, J. Appl. Phys., 2006, vol. 99, no. 9, 093519. https://doi.org/10.1063/1.2197028.
- Britan A., Elperin T., Igra O., Jiang J. P. Head-on collision of a planar shock wave with a granular layer, AIP Conf. Proc., 1997, vol. 370, no. 1, pp. 971–974. https://doi.org/10.1063/1.50571.
- Levy A., Ben-Dor G., Sorek S. Numerical investigation of the propagation of shock waves in rigid porous materials: development of the computer code and comparison with experimental result, J. Fluid Mech., 1996, vol. 324, pp. 163–179. https://doi.org/10.1017/S0022112096007872.
- Britan A., Ben-Dor G., Elperin T., Igra O., Jiang J. P. Gas filtration during the impact of weak shock waves on granular layers, Int. J. Multiphase Flow, 1997, vol. 23, no. 3, pp. 473–491. https://doi.org/10.1016/s0301-9322(96)00088-2.
- Sadd M. H., Shukla A., Mei H., Zhu C. Y. The effect of voids and inclusions on wave propagation in granular materials, In: Micromechanics and Inhomogeneity. New York, Springer, 1990, pp. 367–383. https://doi.org/10.1007/978-1-4613-8919-4_23.
- Britan A., Ben-Dor G., Igra O., Shapiro H. Shock waves attenuation by granular filters, Int. J. Multiphase Flow, 2001, vol. 27, no. 4, pp. 617–634. https://doi.org/10.1016/S0301-9322(00)00048-3.
- Al’tshuler L. V., Kruglikov B. S. Attenuation of strong shock waves in two-phase and heterogeneous media, J. Appl. Mech. Tech. Phys., 1984, vol. 25, no. 5, pp. 672–676. https://doi.org/10.1007/BF00909366.
- Gubaidullin A. A., Dudko D. N., Urmancheev S. F. Modeling of the interaction between an air shock wave and a porous screen, Combust. Explos. Shock Waves, 2000, vol. 36, no. 4, pp. 496–505. https://doi.org/10.1007/BF02699481.
- Boldyreva O. Yu., Gubaidullin A. A., Dudko D. N., Kutushev A. G. Numerical study of the transfer of shock-wave loading to a screened flat wall through a layer of a powdered medium and a subsequent air gap, Combust. Explos. Shock Waves, 2007, vol. 43, no. 1, pp. 114–123. https://doi.org/10.1007/s10573-007-0016-3.
- Kochetkov A. V., Leont’ev N. V., Modin I. A., Savikhin A. O. Study of the stress-strain and strength properties of the metal woven grids, Vestnik Tomskogo Gosudarstvennogo Universiteta, Matematika i Mekhanika [Tomsk State University Journal of Mathematics and Mechanics], 2018, no. 52, pp. 53–62 (In Russian). https://doi.org/10.17223/19988621/52/6.
- Bragov A. M., Zhegalov D. V., Konstantinov A. Yu., Kochetkov A. V., Modin I. A., Savikhin A. O. Experimental study of deformation properties of a package of woven metal mesh under dynamic and quasi-static stressing, PNRPU Mechanics Bulletin, 2016, no. 3, pp. 252–262 (In Russian). https://doi.org/10.15593/perm.mech/2016.3.17.
- Balandin V. V., Kochetkov A. V., Krylov S. V., Modin I. A. Numerical and experimental study of the penetration of a package of woven metal grid by a steel ball, J. Phys.: Conf. Ser., 2019, vol. 1214, 012004. https://doi.org/10.1088/1742-6596/1214/1/012004.
- Modin I. A., Kochetkov A. V., Leontiev N. V. Numerical simulation of quasistatic and dynamic compression of a granular layer, AIP Conf. Proc., 2019, vol. 2116, 270003. https://doi.org/10.1063/1.5114277.
- Igumnov L. A., Kazakov D. A., Shishulin D. N., Modin I. A., Zhegalov D. V. Experimental studies of high-temperature creep of titanium alloy VT6 under conditions of a complex stress state under the influence of an aggressive medium, Vestn. Samar. Gos. Tekhn. Univ. Ser. Fiz.-Mat. Nauki [J. Samara State Tech. Univ., Ser. Phys. Math. Sci.], 2021, vol. 25, no. 2, pp. 286–302 (In Russian). https://doi.org/10.14498/vsgtu1850.
- Telegin S. V., Kirillova N. I., Modin I. A., Suleimanov E. V. Effect of particle size distribution on functional properties of Ce 0.9 Y 0.1 O 2−d ceramics, Ceramics Intern., 2021, vol. 47, no. 12, pp. 17316–17321. https://doi.org/10.1016/j.ceramint.2021.03.043.
- Kochetkov A. V., Modin I. A., Poverennov E. Y. Numerical study of elastoplastic dynamic compression of metal braided grid, AIP Conf. Proc., 2021, vol. 2371, 050005. https://doi.org/10.1063/5.0060905.
- Glazova E. G., Kochetkov A. V. Numerical simulation of interaction of deformable gaspermeable packets of grids with shock waves, J. Appl. Mech. Tech. Phys., 2012, vol. 53, no. 3, pp. 316–323. https://doi.org/10.1134/S0021894412030029.
- Kochetkov A. V., Leont’ev N. V., Modin I. A. Deformational properties of a filling layer of lead balls, Problems of Strength and Plasticity, 2017, vol. 79, no. 4, pp. 413–424 (In Russian). https://doi.org/10.32326/1814-9146-2017-79-4-413-424.
- Yaushev I. K. Decay of an arbitrary discontinuity in a channel with a jump in the crosssectional area, In: Izv. Sibirsk. Otdel. Akad. Nauk SSSR. Tekhn. Nauki, no. 8, issue 2, 1967, pp. 109–120 (In Russian).
- Kraiko A. F., Miller L. G., Shirkovskii I. A. Gas flow in a porous medium with porosity discontinuity surfaces, J. Appl. Mech. Tech. Phys., 1982, vol. 23, no. 1, pp. 104–110. https://doi.org/10.1007/BF00911987.
- Dulov V. G., Lukyanov G. A. Gazodinamika protsessov istecheniia [Gas Dynamics of Processes of the Expiration]. Novosibirsk, Nauka, 1984, 234 pp. (In Russian)
- Godunov S. K., Zabrodin A. V., Ivanov M. Ya., Kraiko A. N. Prokopov G. P. Chislennoe reshenie mnogomernykh zadach gazovoi dinamiki [Numerical solution of multidimensional problems of gas dynamics]. Moscow, Nauka, 1976, 400 pp. (In Russian)
- Bragov A. M., Konstantinov A. U., Kochetkov A. V., Modin I. A., Savikhin A. O. Experimental study of deformation properties of a bulk layer from plumbum balls under dynamic and quasistatic loading, PNRPU Mechanics Bulletin, 2017, no. 4, pp. 16–27 (In Russian). https://doi.org/10.15593/perm.mech/2017.4.02.
- Kochetkov A. V., Leontiev N. V., Modin I. A., Turygina I. A., Chekmarev D. T. Numerically modeling deformation of a granular bed loaded in compression, Problems of Strength and Plasticity, 2018, vol. 80, no. 3, pp. 359–367 (In Russian). https://doi.org/10.32326/1814-9146-2018-80-3-359-367.
- Bazhenova T. V., Gvozdeva L. G. Nestatsionarnye vzaimodeistviia udarnykh voln [Unsteady Interactions of Shock Waves]. Moscow, Nauka, 1977, 204 pp. (In Russian)
Supplementary files













