Modeling of nonlinear torsional vibrations of a truncated conical rod
- Authors: Khudoynazarov K.K.1
-
Affiliations:
- Sharof Rashidov Samarkand State University
- Issue: Vol 27, No 4 (2023)
- Pages: 704-722
- Section: Mechanics of Solids
- URL: https://journals.eco-vector.com/1991-8615/article/view/303608
- DOI: https://doi.org/10.14498/vsgtu2002
- EDN: https://elibrary.ru/ICMOQO
- ID: 303608
Cite item
Full Text
Abstract
In the present study, a nonlinear mathematical model of non-stationary torsional vibrations of a truncated conical rod made of elastic material taking into account the nonlinear relationship between stresses and strains has been developed. A nonlinear equation for torsional vibrations of the truncated conical rod has been derived with respect to the main part of the torsional displacement of the axis of symmetry of the rod. It has been demonstrated that the obtained equation for nonlinear torsional vibrations of the truncated conical elastic rod coincides with known equations obtained by other authors in particular cases. Using the derived equation, the stress-strain state of an arbitrary cross-section of the conical rod can be uniquely determined based on spatial coordinates and time. The problem of non-stationary torsional vibrations of the truncated conical rod under the action of axial and surface dynamic loads has been numerically due to the constructed model, when the wide end of the rod is rigidly fixed and the narrow end is free.
Full Text
Введение
Конические элементы, совершающие нестационарные колебания, встречаются в рамках крепления двигателей, в колоннах строительных сооружений, поддерживающих перекрытиях, на которых установлены неуравновешенные агрегаты, при устройстве подвесов и т.д. [1]. Они также являются важными конструктивными элементами аэрокосмических аппаратов и находят широкое применение в различных приложениях, начиная от лучевых куполов и заканчивая космическими ракетами-носителями с большими топливными баками [2]. Можно указать ещe целый ряд областей техники и строительства, где широко применяются конические оболочечные конструкции, которые обусловливают исследование их вибрационных характеристик из соображения обеспечения безопасности и устойчивости этих систем [4]. В частности конические участки встречаются на деталях гребных валов и валах мощных приводов, подверженных крутильным колебаниям. Обычно расчет крутильных колебаний вала с переменным сечением осуществляют приближенно, при этом вал заменяется системой элементов с конечным числом степеней свободы [3], что приводит к сложным и громоздким вычислениям.
В связи с этим разработка математических моделей, позволяющих более точно осуществлять расчеты крутильных колебаний усеченных конических оболочек и стержней, в частности валов конической формы, является актуальной задачей.
Отметим, что в случае малости деформаций оболочек и стержней расчет и анализ их напряженно-деформированного состояния проводится на основе линейной теории оболочек и стержней [5, 6]. В некоторых случаях практического приложения колеблющихся систем для достижения большей точности возникает необходимость использования нелинейной теории колебания.
В научной литературе геометрически и физически нелинейным колебаниям конических элементов уделено намного меньше внимания, нежели цилиндрическим оболочкам, пластинкам и стержням [7, 8]. В этом плане в статье [9] исследовано распределение напряжений в тонкой пластинке при ее нелинейных колебаниях.
Учитывались два типа нелинейности — геометрическая и физическая. Физическая нелинейность предполагалась малой, соответствующее уравнение для деформаций решалось методом малого параметра. Перемещения при нелинейных колебаниях раскладывались по собственным формам линейных колебаний. Следует подчеркнуть, что вращающиеся оболочки или стержни в форме усеченного конуса — важные конструкции, которые широко применяются во многих областях техники [10].
При решении нелинейных задач важную роль играют разрешающие уравнения состояния [11]. В работе [12] С. В. Бакушевым рассматривается построение разрешающих уравнений в перемещениях в цилиндрической системе координат для плоской деформации сплошных сред, механическое поведение которых описывается математическими моделями, в которых физические соотношения имеют форму произвольных перекрестных зависимостей между первыми инвариантами тензоров и вторыми инвариантами девиаторов напряжений и деформаций. В качестве примеров рассмотрены две модели: деформационная теория пластичности сыпучей среды и деформационная теория пластичности бетона. Полученные уравнения могут быть использованы при определении напряженно-деформированного состояния физически нелинейных массивных тел со сложной геометрией.
В статьях [13, 14] разработаны математические модели нестационарных крутильных колебаний круговых цилиндрических [13] и усеченных конических [14] упругих оболочек с учетом нелинейных соотношений между напряжениями и деформациями. Выведены уточненные физически нелинейные уравнения крутильных колебаний таких оболочек из однородного и изотропного материала, из которых в частном случае, можно получить некоторые известные уравнения колебания классического типа. Предложены алгоритмы, позволяющие по полю искомых функций однозначно определить напряженно-деформированное состояние произвольного сечения рассматриваемых систем по пространственной координате и времени. Проанализированы некоторые предельные и частные случаи, следующие из полученных результатов.
Отметим также, что выбор уравнений колебаний на основе конкретных физико-механических свойств материала является одной из основных проблем в исследовании динамического поведения оболочек и стержней. Поэтому во многих случаях исследователям приходится разработать надлежащие уравнения колебания. Естественно, при этом используются различные методы вывода уравнений колебания [5]. К одному из таких методов относится метод использования общих решений в преобразованиях трехмерных задач теории упругости [6]. В частности, этот метод в линейной постановке был успешно применен к задачам динамики пластин [15] и круговых цилиндрических оболочек и стержней в работах [16, 17]. Сущность метода сводится к изучению построенных решений при различных типах внешних воздействий и выявлению условий, при выполнении которых смещения или их «главные части» удовлетворяют несложным уравнениям колебания, и нахождению алгоритма, позволяющего по полю этих «главных частей» вычислять приближенные значения полей смещений и напряжений в любом сечении для произвольного момента времени [18].
В настоящей работе на базе методов статей [13, 14] получены физически нелинейные уравнения для крутильных колебаний оболочек и стержней, разработан алгоритм определения их напряженно-деформированных состояний, а также проведен анализ предельных и частных случаев полученных результатов.
1. Математическая постановка задачи и линеаризация уравнения движения
Рассмотрим задачу о физически нелинейных крутильных колебаниях усеченного конического стержня с углом наклона $\varphi$ образующей конуса к оси симметрии (угол атаки) конуса (рис. 1). Материал стержня полагается упругим, однородным и изотропным, а его длина — неограниченной. Стержень отнесен к цилиндрической системе координат $(r, \theta , z)$, начало которой помещено на левом конце стержня, а ось $Oz$ направлена по оси симметрии стержня. Радиус граничной поверхности стержня меняется по заданному закону в зависимости от продольной координаты $z$, т.е. $r=r_{0} +kz$, где $k=\operatorname{tg}\varphi$, $r_{0} =\rm const$ — радиус левого торца стержня при $z=0$.
При выводе уравнений колебания считается, что стержень как коническое трехмерное тело строго подчиняется математической теории упругости и описывается уравнениями ее движения. Известно, что при решении осесимметричных задач о нестационарных колебаниях круговых цилиндрических и конических тел их крутильные колебания можно рассматривать отдельно от задачи об их продольно-радиальных колебаний. В случае крутильных колебаний усеченного конического стержня из-за симметричности задачи относительно оси симметрии отличными от нуля будут компоненты напряжения $\tau _{r\theta }$, $\tau _{z\theta }$ и соответствующие компоненты деформации $\gamma _{r\theta }$, $\gamma _{z\theta }$. Отсюда следует, что крутильные колебания усеченного конического стержня описываются уравнением
\[ \begin{equation}
\frac{\partial \tau _{r\theta } }{\partial r} +\frac{\partial \tau _{z\theta } }{\partial z} +\frac{2\tau _{r\theta } }{r} =\rho \frac{\partial ^{2} V}{\partial t^{2} } , \quad 0\le r<\infty,
\end{equation} \tag{1} \]
где $V$ — перемещения точек стержня.
Рис. 1. Схема усеченного конического стержня
[Figure 1. Diagram of a truncated conical rod]
Для задания граничных условий на конической поверхности стержня в произвольной точке его поверхности введем ортогональную систему координат $(n, s_{1},s_{2})$ (см. рис. 1). Здесь $n$ — нормаль к поверхности оболочки; $s_{1}$, $s_{2}$ — ортогональные к нормали координаты в плоскости образующей стержня, проведенной к его поверхности в выбранной точке. При этом $s_{1}$ направлена в окружном направлении, а $s_{2}$ — в продольном. Касательные напряжения $\tau_{ns_{1}}$ и $\tau_{ns_{2} }$ в точках конической поверхности в ортогональной системе координат $(n, s_{1}, s_{2})$ выражаются через компоненты напряжений в цилиндрической системе координат $(r, \theta, z)$. Cчитается [6, 7], что крутильные колебания стержня возбуждаются внешним динамическим усилием $f_{ns_{1}}(z,t)$, действующим на поверхности стержня, т.е. граничное условие задачи в системе координат $(n,s_{1},s_{2})$ при $r=r_{0} +kz$ имеет вид
\[ \begin{equation}
\bigl[\tau _{r\theta } (r, z, t )-k\tau _{z\theta } (r, z, t )\bigr]_{r=r_{0} +kz}=\Delta _{0} f_{r\theta } (z, t ),
\quad \text{где $\Delta _{0} =\sqrt{1+k^2}$ }.
\end{equation} \tag{2} \]
При этом считается, что другая составляющая внешней нагрузки равна нулю, т.е. $f_{z\theta}(z,t)=0$. Начальные условия принимаются нулевыми.
Будем считать, что зависимости Коши между компонентами тензора деформации и вектора перемещения линейны, т.е. перемещения малы, а связь между напряжениями и деформациями является нелинейной. Принимая нелинейную связь в виде нелинейного закона упругости, для случая крутильных колебаний стержня можно записать [19]:
\[ \begin{equation}
\tau _{r\theta } =\mu \chi (\psi _{0}^{2} )\gamma _{r\theta } ,\quad
\tau _{z\theta } =\mu \chi (\psi _{0}^{2} )\gamma _{z\theta } ,
\end{equation} \tag{3} \]
где $\mu $ и $\chi (\psi_{0}^{2})$ — коэффициент и функция сдвига соответственно; ${\psi }_0$ — интенсивность деформации сдвига, которая в данном случае будет иметь вид
\[ \begin{equation}
\psi _{0}^{2} =\frac{2}{3} (\gamma _{r\theta }^{2} +\gamma _{z\theta }^{2} ).
\end{equation} \tag{4} \]
Раскладывая функцию сдвига $\chi (\psi _{0}^{2} )$ в степенной ряд по степеням $\psi _{0}^{2}$ и ограничиваясь первыми двумя членами разложения, получим, что
\[ \begin{equation}
\chi (\psi _{0}^{2} ) \cong 1+\gamma _{2} \psi _{0}^{2} .
\end{equation} \tag{5} \]
Коэффициент $\gamma _{2}$ при этом является величиной порядка $[\psi _{0}^{2} ]^{-1}$, поэтому $\gamma _{2} [\psi _{0}^{2} ]^{-1}$ — величина порядка единицы [14]. Выражения (3) с учетом (4), (5) принимают вид
\[ \begin{equation}
\tau _{r\theta } =\mu \Bigl[\gamma _{r\theta } +\frac{2}{3} \gamma _{2} (\gamma _{r\theta }^{3} +\gamma _{z\theta }^{2} \gamma _{r\theta } )\Bigr],
\quad
\tau _{z\theta } =\mu \Bigl[\gamma _{z\theta } +\frac{2}{3} \gamma _{2} (\gamma _{r\theta }^{2} \gamma _{z\theta } +\gamma _{z\theta }^{3} )\Bigr].
\end{equation} \tag{6} \]
При этом соотношения Коши связи между компонентами деформаций и перемещения линейны:
\[ \begin{equation}
\gamma _{r\theta } =\frac{\partial V}{\partial r} -\frac{V}{r},\quad
\gamma _{\theta z} =\frac{\partial V}{\partial z}.
\end{equation} \tag{7} \]
Таким образом, задача о нестационарных, физически нелинейных крутильных колебаниях усеченного конического стержня приводится к интегрированию уравнений движения (1) при нелинейном законе упругости (6) с динамическими граничными (2) и нулевыми начальными условиями.
Подстановка выражений (6) и (7) в уравнение движения (1) дает следующее дифференциальное уравнение:
\[ \begin{equation*}
\Delta V+\gamma _{2} \Bigl[
\psi _{0}^{2} \Delta V+\gamma _{r\theta } \frac{\partial \psi _{0}^{2} }{\partial r} +
\gamma _{z\theta } \frac{\partial \psi _{0}^{2} }{\partial z} \Bigr]=
\frac{1}{b^{2} } \frac{\partial ^{2} V}{\partial t^{2} } ,
\end{equation*} \]
где
\[ \begin{equation*}
\Delta =\frac{d^{2} }{dr^{2} } +\frac{1}{r} \frac{d}{dr} +\frac{d^{2} }{dz^{2} },\quad b^{2} =\frac{\mu }{\rho } .
\end{equation*} \]
Преобразовывая выражение, заключенное в квадратные скобки в последнем уравнении, с помощью формул (4) и (7) и пренебрегая при этом членами порядка $O(V^{4})$ и выше, получим нелинейное уравнение
\[ \begin{equation}
\Delta V+\frac{2}{3} \gamma _{2} F (V )=\frac{1}{b^{2} } \frac{\partial ^{2} V}{\partial t^{2} } ,
\end{equation} \tag{8} \]
где
\[ \begin{equation*}
F (V )=\frac{3V}{r^{2} } \Bigl(\frac{\partial V}{\partial r} \Bigr)^{2} -
\frac{3V^{2} }{r^{3} } \frac{\partial V}{\partial r} +
\frac{V^{3} }{r^{4} } +
\frac{V}{r^{2} } \Bigl(\frac{\partial V}{\partial z} \Bigr)^{2} -
\frac{1}{r} \frac{\partial V}{\partial r} \Bigl(\frac{\partial V}{\partial z} \Bigr)^{2}
+\frac{V^{2} }{r^{2} } \frac{\partial ^{2} V}{\partial r^{2} } +\frac{\partial ^{2} V}{\partial z^{2} } \Bigl(\frac{\partial V}{\partial z} \Bigr)^{2}.
\end{equation*} \]
Для решения полученного уравнения применим метод малого параметра. Разложение перемещения в степенные ряды по степеням малого параметра $\alpha$ ($0<\alpha \ll 1$) и пренебрежение членами, содержащими квадрат малого параметра и выше (с учетом малости перемещения и деформаций), дает возможность представить его в виде
\[ \begin{equation}
V(r,z,t)=V^{(0)} (r,z,t)+\alpha V^{(1)} (r,z,t).
\end{equation} \tag{9} \]
Подстановка (9) в (8) с последующим пренебрежением членами, содержащими малый параметр $\alpha$ во второй и более степенях, приводит к линейным уравнениям
\[ \begin{equation}
\Delta V^{(0)} =\frac{1}{b^{2} } \frac{\partial ^{2} V^{(0)} }{\partial t^{2} } ,
\end{equation} \tag{10} \]
\[ \begin{equation}
\Delta V^{(1)} +\frac{2}{3} \gamma _{2} F (V^{(0)} )=\frac{1}{b^{2} } \frac{\partial ^{2} V^{(1)} }{\partial t^{2} } .
\end{equation} \tag{11} \]
При этом неоднородная часть уравнения (11) зависит только от функции $V^{(0)}$, которая определяется как решение однородного уравнения (10).
2. Вывод уравнения крутильных колебаний
Для решения уравнений (10), (11) функцию внешнего воздействия $f_{ns_{1}}(z,t)$ в граничных условиях (2) будем считать принадлежащими к классу функций, представимых в виде [20]
\[ \begin{equation}
f_{ns_{1} } (z, t)=
\int _{0}^{\infty }\!\!\!\! \begin{array}{r} {\sin qz} \\ {-\cos qz} \end{array}\!\! \Bigr\} dq
\int _{\left(l\right)}\bar{f}_{ns_{1} } \left(k,p\right)e^{pt} dp ,
\end{equation} \tag{12} \]
где $(l)$ — разомкнутый контур в плоскости $p$, прилегающий справа к участку $(-i\omega _{0}, i\omega _{0})$ мнимой оси. Кроме того, функции $\bar{f}_{ns_{1} } (k, p)$ пренебрежимо малы вне области $q\leqslant q_{0}$, $ |\operatorname{Im} p |\leqslant \omega_{0}$, где $q_{0}$, $\omega _{0} $ — некоторые числа.
Представляя перемещение $V^{(0)}$ в виде, аналогичном (12) (обозначим при этом его изображение через $\bar{V}^{(0)} $), и подставляя полученное в уравнение (10), получим обыкновенное дифференциальное уравнение Бесселя
\[ \begin{equation}
\Delta _{\beta } \bar{V}^{(0)} =0, \quad
\Delta _{\beta } =\frac{d^{2} }{dr^{2} } +\frac{1}{r} \frac{d}{dr} -\Bigl(\beta ^{2} +\frac{1}{r^{2} } \Bigr),
\quad
\beta ^{2} = \frac{p^{2}}{b^{2}} +q^{2}, \quad
b^{2} = \frac{\mu}{\rho },
\end{equation} \tag{13} \]
общее решение которого c учетом ограниченности решений при $r=0$ имеет вид
\[ \begin{equation}
\bar{V}^{(0)} =C I_{1} (\beta r),
\end{equation} \tag{14} \]
где $C$ — постоянная интегрирования; $I_{1}({}\cdot{})$ — модифицированная функция Бесселя.
Воспользуемся стандартным разложением в степенной ряд функции Бесселя в общем решении (14). Ограничимся нулевым приближением в разложении и введем новую искомую функцию по формуле [17]
\[ \begin{equation*}
\bar{V}_{0}^{(0)} (q, p )= C \beta /2.
\end{equation*} \]
При этом преобразованное перемещение $\bar{V}^{(0)}$ легко выражается через введенную новую функцию $\bar{V}_{0}^{(0)}(q,p)$:
\[ \begin{equation}
\bar{V}^{(0)} (r, q, p )=
2\sum _{n=0}^{\infty }\beta ^{2n} \bar{V}_{0}^{(0)} (q, p)
\frac{( r/2 )^{2n+1} }{n! (n+1)!}.
\end{equation} \tag{15} \]
Вводя оператор [17]
\[ \begin{equation}
\lambda ^{n} (\zeta )=
\int _{0}^{\infty }\!\!\!\! \begin{array}{r} {\sin qz} \\ {-\cos qz} \end{array}\!\!\Bigr\}dq
\int _{(l)}\beta ^{2n} \bar{\zeta } (q, p )e^{pt} dp ,
\end{equation} \tag{16} \]
из выражения (15) для оригинала $V^{(0)}$ получаем решение уравнения (10):
\[ \begin{equation}
V^{(0)} (r, z, t )=
\Bigl(r+\frac{r^{3} }{8} \lambda \Bigr)
V_{0}^{(0)} (z, t )+\frac{r^{5} }{96} \lambda ^{2} V_{0}^{(0)} (z, t)+ \dots,
\end{equation} \tag{17} \]
где $V_{0}^{(0)} (z, t )$ — оригинал функции $\bar{V}_{0}^{(0)} (q, p)$.
Для решения неоднородного уравнения (11) выразим функцию $F(V^{(0)} )$, где $V^{(0)}$ определяется по (17). Для этого ограничимся первыми двумя членами в разложении (17) и подставим их в выражение (8) для $F(V^{(0)} )$. Далее, пренебрегая членами выше третьего порядка малости и подставляя полученное выражение в (11), будем иметь
\[ \begin{equation}
\Delta V^{(1)} +\frac{2}{3} \gamma _{2} \bigl[rf_{1} (V_{0}^{(0)} )+r^{3} f_{2} (V_{0}^{(0)} )\bigr]=0,
\end{equation} \tag{18} \]
где $f_{1}$, $f_{2}$ — функции главной части перемещения $V_{0}^{(0)} (z, t)$.
Представляя функции $V^{(1)}(r, z, t)$, $f_{1} (z,t)$ и $f_{2} (z,t)$ в виде, аналогичном (12), и подставляя их в уравнение (18), будем иметь следующее преобразованное уравнение:
\[ \begin{equation}
\Delta _{\beta } \bar{V}^{(1)} +\frac{2}{3} \gamma _{2}
\bigl[r\bar{f}_{1} (q, p)+r^{3} \bar{f}_{2} (q,p)\bigr]=0,
\end{equation} \tag{19} \]
где $\bar{V}^{(1)} (r, q, p)$, $\bar{f}_{1} (q,p)$, $\bar{f}_{2} (q, p)$ — изображения функций $V^{(1)} (r, z, t)$, $f_{1} (z,t)$ и $f_{2} (z, t)$ соответственно.
Для нахождения решения неоднородного уравнения (19) применим метод Лагранжа (метод вариации произвольных постоянных). Общее решение соответствующего однородного уравнения $\Delta_{\beta}\bar{V}^{(1)}=0$ имеет вид
\[ \begin{equation*}
\bar{V}^{(1)} =D_{1} I_{1} (\beta r)+D_{2} K_{1} (\beta r).
\end{equation*} \]
Определяя методом Лагранжа выражения для $D_{1}$ и $D_{2}$ и ограничиваясь в них первыми членами степенных рядов Бесселя, получим приближенное частное решение неоднородного уравнения (19) в виде
\[ \begin{equation}
\bar{V}^{(1)} (r,q,p)=-\frac{r^{3} }{12} \gamma _{2}
\Bigl[\bar{f}_{1} (q,p)+\frac{r^{2} }{3} \bar{f}_{2} (q,p)\Bigr].
\end{equation} \tag{20} \]
Применяя к обеим частям решения (20) преобразования вида (12) для функций $\bar{V}^{(1)} (r, q, p)$, $\bar{f}_{1} (q,p)$ и $\bar{f}_{2} (q,p)$, получим решение уравнения (18) в виде
\[ \begin{equation}
V^{(1)} =-\frac{r^{3} }{12} \gamma _{2} \Bigl\{
\frac{9}{4} V^{(0)} \lambda V_{0}^{(0)} +\frac{r^{2} }{3}
\Bigl[
\frac{\partial ^{2} V_{0}^{(0)} }{\partial t^{2} } -\frac{3}{4} \lambda V_{0}^{(0)} \Bigr]
\Bigl(\frac{\partial V_{0}^{(0)} }{\partial z} \Bigr)^{2} \Bigr\}.
\end{equation} \tag{21} \]
Подставляя (21) и (17) в (9), получим
\[ \begin{equation}
V=\Big(r+\frac{r^{3} }{8} \lambda \Big)V_{0}^{(0)} +\frac{r^{5} }{96} \lambda ^{2} V_{0}^{(0)}
-\alpha \gamma _{2} \Bigl\{\frac{3r^{3} }{16} V_{0} \lambda V_{0}^{(0)} +\frac{r^{5} }{36}
\Bigl[
\frac{\partial ^{2} V_{0}^{(0)} }{\partial z^{2} } -\frac{3}{4} \lambda V_{0}^{(0)} \Bigr]
\Bigl(\frac{\partial V_{0}^{(0)} }{\partial z} \Bigr)^{2}
\Bigr\}.
\end{equation} \tag{22} \]
Удовлетворяя (22) граничному условию (2) и пренебрегая членами с производными выше четвертого порядка, получим следующее уравнение:
\[ \begin{multline}
-\frac{4k}{r} \frac{\partial V_{0}^{(0)} }{\partial z} +\lambda V_{0}^{(0)} -\frac{kr}{2} \lambda \frac{\partial V_{0}^{(0)} }{\partial z} +\frac{r^{2} }{6} \lambda ^{2} V_{0}^{(0)}
-\alpha \gamma _{2}
\Bigl[3 V_{0}^{(0)} \lambda V_{0}^{(0)} -\frac{3r}{4} k
\Bigl(\frac{\partial V_{0}^{(0)} }{\partial z} \lambda V_{0}^{(0)} +
V_{0}^{(0)} \lambda \frac{\partial V_{0}^{(0)} }{\partial z} \Bigr)+ {} \\
{}+ \frac{8r^{2} }{9} \Bigl(\frac{\partial ^{2} V_{0}^{(0)} }{\partial z^{2} } -\frac{3}{4} \lambda V_{0}^{(0)} \Bigr)
\Bigl(\frac{\partial V_{0}^{(0)} }{\partial z} \Bigr)^{2} \Bigr]+
\frac{8kr}{3} \gamma _{2} \Bigl(\frac{\partial V_{0}^{(0)} }{\partial z} \Bigr)^{3}
+\frac{2r^{2} }{3} \gamma _{2}
\Bigl(
\frac{\partial V_{0}^{(0)} }{\partial z} \Bigr)^{2} \lambda V_{0}^{(0)} =\frac{4(1+k^{2} )}{\mu r^{2} } f_{r\theta } (z,t),
\end{multline} \tag{23} \]
где $r=r_{0} +kz$.
Из представления (13) для $\beta ^{2}$ следует, что введенные выше операторы $\lambda ^{n}$ (см. формулу (16)) в переменных $(z,t)$ принимают вид [21]
\[ \begin{equation}
\lambda ^{n} =
\Bigl[\frac{1}{b^{2} } \frac{\partial ^{2} }{\partial t^{2} } -\frac{\partial ^{2} }{\partial z^{2} }
\Bigr]^{n} ,\quad b=\sqrt{ {\mu }/{\rho } } ,\quad
n=0, 1, 2,\dots .
\end{equation} \tag{24} \]
Отсюда следует, что $\lambda$, $\lambda ^{2}$, $\dots$ — дифференциальные операторы, а $\lambda ^{0}\equiv 1$.
Уравнение (23) в соответствии с выражением (24) для операторов $\lambda ^{n}$ является дифференциальным уравнением относительно главной части $V_{0}^{(0)}$ крутильного перемещения усеченного конического стержня $V^{(0)}$. Оно представляет собой общее уравнение физически нелинейных крутильных колебаний усеченного конического упругого стержня, которое зависит от операторов $\lambda ^{n}$ и главной части крутильного перемещения точек оси симметрии стержня. Это уравнение в своей правой части правильно учитывает силы, действующие на поверхность стержня.
Наряду с уравнением колебания аналогично выводятся формулы для ненулевых напряжений, выражающие их через искомую функцию $V_{0}^{(0)}$:
\[ \begin{equation}
\begin{split}
\sigma _{ns_{1} } (r,z,t)=\frac{1}{\Delta _{0} } \bigl[\tau _{r\theta } (r, z, t )-k\tau _{z\theta } (r, z, t )\bigr], \\
\sigma _{s_{1} s_{2} } (r,z,t)=\frac{1}{\Delta _{0} } \bigl[
\tau _{z\theta } (r, z, t )-k\tau _{r\theta } (r, z, t )\bigr],
\end{split}
\end{equation} \tag{25} \]
где
\[ \begin{equation}
\begin{array}{l}
\tau _{r\theta } =\mu L\Bigl\{\dfrac{r^{2} }{4} \lambda V_{0}^{(0)}+\dfrac{r^{4}}{24} \lambda^{2} V_{0}^{(0)}
- \dfrac{r^{2}}{4}\alpha\gamma_{2}\Bigl[\dfrac{3}{2} V_{0}\lambda V_{0}^{(0)}
+ \dfrac{4r^{4}}{9} \Bigl(\dfrac{\partial ^{2} V_{0}^{(0)}}{\partial z^{2}}-\dfrac{3}{4} \lambda V_{0}^{(0)} \Bigr)
\Bigl(
\dfrac{\partial V_{0}^{(0)}}{\partial z}\Bigr)^{2}\Bigr]\Bigr\},
\\
\tau _{z\theta } =\mu L\Bigl[\Bigl(r+\dfrac{r^{3} }{8} \lambda \Bigr)
\dfrac{\partial V_{0}^{(0)} }{\partial z} -
\dfrac{3r^{3} }{16} \alpha \gamma _{2} \Bigl(\dfrac{\partial V_{0}^{(0)} }{\partial z} \lambda V_{0}^{(0)} +V_{0} \lambda \dfrac{\partial V_{0}^{(0)} }{\partial z} \Bigr)\Bigr],
\\
L=1+\dfrac{2}{3} \gamma _{2} r^{2} \Bigl(\dfrac{\partial V_{0} }{\partial z} \Bigr)^{2} +\dfrac{1}{6} \gamma _{2} r^{4} \lambda \Bigl(\dfrac{\partial V_{0} }{\partial z} \Bigr)^{2} .
\end{array}
\end{equation} \tag{26} \]
При этом крутильное перемещение вычисляется по формуле (22).
Формулы для перемещения (22) и напряжений (25) дают возможность определить напряженно-деформированное состояние усеченного конического стержня в ее произвольном сечении по пространственным координатам и времени.
3. Частные случаи уравнения колебаний
Полученные результаты допускают некоторые предельные и частные случаи, следующие из выведенных уравнений физически нелинейных колебаний усеченного конического стержня и соответствующих формул для определения напряженно-деформированного состояния его произвольной точки.
Пренебрегая в уравнении (23) слагаемыми, заключенными в квадратные скобки, как малыми величинами1 более высокого порядка по сравнению с остальными членами уравнения, и учитывая, что $r=r_{0} +kz$, получим
\[ \begin{equation}
\lambda V_{0}^{(0)} +\frac{ (r_{0} +kz )^{2} }{6} \lambda ^{2} V_{0}^{(0)} -
k\Bigl(\frac{4}{r_{0} +kz} \frac{\partial V_{0}^{(0)} }{\partial z} +\frac{1}{2} \lambda \frac{\partial V_{0}^{(0)} }{\partial z} \Bigr)
+\frac{8k (r_{0} +kz )^{2} }{3} \gamma _{2} \Bigl(\frac{\partial V_{0}^{(0)} }{\partial z} \Bigr)^{3}+
\frac{2 (r_{0} +kz )^{2} }{3} \gamma _{2} \Bigl(\frac{\partial V_{0}^{(0)} }{\partial z} \Bigr)^{2}
\lambda V_{0}^{(0)} =\frac{4\Delta _{0} }{\mu (r_{0} +kz )^{2} } f_{r\theta } (z,t).
\end{equation} \tag{27} \]
В этом случае формулы для напряжений $\tau _{r\theta }(r, z, t)$, $\tau _{z\theta } (r, z, t)$ принимают вид
\[ \begin{equation*}
\begin{array}{l}
\tau _{r\theta } =
\mu L\Bigl[\dfrac{ (r_{0} +kz )^{2} }{4} \lambda V_{0}^{(0)} +
\dfrac{ (r_{0} +kz )^{4} }{24} \lambda ^{2} V_{0}^{(0)} \Bigr],
\\
\tau _{z\theta } =\mu L\Bigl(r_{0} +kz+\dfrac{ (r_{0} +kz )^{3} }{8} \lambda \Bigr)
\dfrac{\partial V_{0}^{(0)} }{\partial z},
\end{array}
\end{equation*} \]
а выражение дифференциального оператора $L$ будет по-прежнему определяться формулой (26).
Рассмотрим некоторые частные случаи, следующие из уравнения физически нелинейных крутильных колебаний усеченного конического стержня (27).
3.1. Допустим, что угол атаки конуса $\varphi$ равен нулю, следовательно, и ${k=0}$. Тогда уравнение (27) принимает вид
\[ \begin{equation}
\lambda V_{0}^{(0)} +\frac{r_{0} ^{2} }{6} \lambda ^{2} V_{0}^{(0)} +\frac{2r_{0} ^{2} }{3} \gamma _{2} \Bigl(\frac{\partial V_{0}^{(0)} }{\partial z} \Bigr)^{2} \lambda V_{0}^{(0)} =
\frac{4\Delta _{0} }{\mu r_{0} ^{2} } f_{r\theta } (z,t).
\end{equation} \tag{28} \]
В этом случае формулы для напряжений принимают вид
\[ \begin{equation*}
\begin{array}{l}
\sigma _{ns_{1} } (r,z,t)= \tau _{r\theta } (r,z,t )=
\mu L\Bigl[\dfrac{r_{0} ^{2} }{4} \lambda V_{0}^{(0)} (z, t) +
\dfrac{r_{0} ^{4} }{24} \lambda ^{2} V_{0}^{(0)} (z, t) \Bigr],
\\
\sigma _{s_{1} s_{2} } (r,z,t)=\tau _{z\theta } (r, z, t )=
\mu L\Bigl(r_{0} +\dfrac{r_{0} ^{3} }{8} \lambda \Bigr)
\dfrac{\partial V_{0}^{(0)}(z, t) }{\partial z} .
\end{array}
\end{equation*} \]
Уравнение (28) является уравнением физически нелинейных крутильных колебаний кругового цилиндрического стержня с радиусом поперечного сечения, равным $r_{0}$. В соответствии с видом (24) операторов $\lambda^{n}$ оно является дифференциальным уравнением четвертого порядка в частных производных. При этом легко показывается, что слагаемые с производными четвертого порядка учитывают эффекты инерции вращения и деформации поперечного сдвига [21]. Если в нем пренебречь членами с производными четвертого порядка, то это уравнение в точности совпадет с уравнением, рассмотренным в работе [13].
Для сравнения с другими известными уравнениями крутильных колебаний стержней перепишем уравнение (28) в следующем виде:
\[ \begin{equation}
\frac{1}{b^{2} } \frac{\partial ^{2} V_{0}^{(0)} }{\partial t^{2} } -
\frac{\partial ^{2} V_{0}^{(0)} }{\partial z^{2} } +
\frac{2r_{0} ^{2} }{3b^{2} } \gamma _{2} \frac{\partial ^{2} V_{0}^{(0)} }{\partial t^{2} }
\Bigl(\frac{\partial V_{0}^{(0)} }{\partial z} \Bigr)^{2}
- \frac{2r_{0} ^{2} }{3} \gamma _{2} \frac{\partial ^{2} V_{0}^{(0)} }{\partial z^{2} }
\Bigl(\frac{\partial V_{0}^{(0)} }{\partial z} \Bigr)^{2}=\frac{4}{\mu r_{0} ^{2} } f_{r\theta } (z,t).
\end{equation} \tag{29} \]
Уравнение (29) переходит в уравнение крутильных колебаний кругового цилиндрического стержня, предложенное профессором И. Г. Филипповым [20], если в нем пренебречь третьим членом, и переходит в классическое уравнение Г. Каудерера [19], если в нем еще занулить правую часть.
3.2. Рассмотрим линейный случай, т.е. $\gamma _{2} =0$. Тогда уравнение (27) принимает вид
\[ \begin{equation}
\lambda V_{0}^{(0)} +\frac{ (r_{0} +kz )^{2} }{6} \lambda ^{2} V_{0}^{(0)} -
k\Bigl(\frac{4}{r_{0} +kz} \frac{\partial V_{0}^{(0)} }{\partial z} +\frac{1}{2} \lambda \frac{\partial V_{0}^{(0)} }{\partial z} \Bigr)
=\frac{4\Delta _{0} }{\mu (r_{0} +kz )^{2} } f_{r\theta } (z,t).
\end{equation} \tag{30} \]
Уравнение (30) является уточненным уравнением нестационарных крутильных колебаний усеченного конического стержня с учетом инерции вращения и деформации поперечного сдвига. Из выражения крутильного перемещения (17) нетрудно заключить, что $V_{0}^{(0)} $ есть величина безразмерная и она может быть принята за угол поворота. С учетом этого обстоятельства и в частном случае равенства нулю правой части и отсутствия второго и четвертого слагаемых в левой части после некоторых несложных преобразований это уравнение в точности переходит в уравнение С. П. Беридзе [3].
3.3. Пусть $k=0$ и $\gamma _{2} =0$ одновременно. Тогда из (27) следует уравнение крутильных колебаний стержня кругового поперечного сечения:
\[ \begin{equation*}
\frac{1}{b^{2} } \frac{\partial ^{2} V_{0}^{(0)} }{\partial t^{2} } -\frac{\partial ^{2} V_{0}^{(0)} }{\partial z^{2} } +\frac{r_{0} ^{2} }{6}
\Bigl[
\frac{1}{b^{4} } \frac{\partial ^{4} V_{0}^{(0)} }{\partial t^{4} } -2\frac{1}{b^{4} } \frac{\partial ^{4} V_{0}^{(0)} }{\partial t^{2} \partial z^{2} } +\frac{\partial ^{4} V_{0}^{(0)} }{\partial z^{4} }
\Bigr]=\frac{4}{\mu r_{0} ^{2} } f_{r\theta } (z,t).
\end{equation*} \]
Это уравнение учитывает инерцию вращения и деформацию поперечного сдвига [21].
4. Физически нелинейные крутильные колебания конического стержня
В качестве примера рассмотрим задачу о нестационарных физически нелинейных крутильных колебаниях усеченного конического стержня с одним свободным и другим жестко заделанным концами. Колебания стержня возбуждаются поверхностной нагрузкой постоянной интенсивности $f_{r\theta } (z,t)=\rm const$ и заданным перемещением $g (t)$ на свободном конце. В начальный момент времени стержень находится в покое и начальная скорость колебаний равна нулю. Требуется определить напряженно-деформированное состояние поверхностных точек стержня в зависимости от продольной координаты и времени.
Для решения поставленной прикладной задачи применим уравнение (27) без учета инерции вращения и поперечного сдвига, т.е. ограничиваясь производными не выше третьего порядка и пренебрегая пятым слагаемым как малой величиной по сравнению с другими слагаемыми уравнения:
\[ \begin{equation}
\frac{1}{b^{2} } \frac{\partial ^{2} V_{0} }{\partial t^{2} } -
\frac{\partial ^{2} V_{0} }{\partial z^{2} } +
\frac{2\gamma _{2} (r_{0} +kz )^{2} }{3} \Bigl(\frac{\partial V_{0} }{\partial z} \Bigr)^{2}
\Bigl(\frac{1}{b^{2} } \frac{\partial ^{2} V_{0} }{\partial t^{2} } -\frac{\partial ^{2} V_{0} }{\partial z^{2} } \Bigr)
-\frac{4k}{ (r_{0} +kz )} \frac{\partial V_{0} }{\partial z} =
\frac{4\Delta _{0} }{\mu (r_{0} +kz )^{2} } f_{r\theta }(z,t),
\end{equation} \tag{31} \]
где через $V_{0}$ обозначена искомая в (27) функция $V_{0}^{(0)}$. На основании (22) $V_{0}$ является главной частью (углом поворота), поэтому крутильное перемещение $V$ в первом приближении выражается так:
\[ \begin{equation*}
V (r,z,t )= (r_{0} +kz )V_{0} (z, t ).
\end{equation*} \]
Переходя в (31) к безразмерным переменным по формулам
\[ \begin{equation*}
r_{0}^{*} = r_{0}/ l ,
\quad
t^{*} = bt/ l ,
\quad
z^{*} = z/ l,
\end{equation*} \]
где $l$ — длина стержня, и опуская звездочки для удобства записи, получим
\[ \begin{equation}
\Bigl(\frac{\partial ^{2} V_{0} }{\partial t^{2} } -\frac{\partial ^{2} V_{0} }{\partial z^{2} } \Bigr)
\Bigl\{1+\frac{2\gamma _{2} (r_{0} +kz )^{2} }{3} \Bigl(\frac{\partial V_{0} }{\partial z} \Bigr)^{2}
\Bigr\}-\frac{4k}{ (r_{0} +kz )}
\frac{\partial V_{0} }{\partial z} =
\frac{4\Delta _{0} }{\mu (r_{0} +kz )^{2} } f_{r\theta } (z,t).
\end{equation} \tag{32} \]
Функцию внешней поверхностной нагрузки согласно условию задачи примем в виде $f_{r\theta } (z,t)= P/ S_{b}$, где $P$ — постоянная внешняя сила; $S_{b} = \pi l {(2r_{0} +kl )} \times \sqrt{1+k^{2} }$ — площадь боковой поверхности конуса. Граничные и начальные условия запишутся в виде
\[ \begin{equation}
V_{0} (0, t) = r_{0}^{-1} g (t ), \quad V_{0} (1, t) =0, \quad 0\leqslant t\leqslant 1;
\end{equation} \tag{33} \]
\[ \begin{equation}
V_{0} (z, 0) = \frac{\partial V_{0} (z,t)}{\partial t} \Bigr|_{t=0} =0, \quad 0\leqslant z\leqslant 1.
\end{equation} \tag{34} \]
Задача (32)–(34) решена численно методом конечных разностей с соблюдением условий устойчивости и сходимости. Для расчетов функция торцевой нагрузки принималась в виде $g(t)=A\sin (\pi t)$, где $A$ — заданная амплитуда перемещения, при этом $T=l/b$ — время прохождения крутильной волной длины стержня. Расчеты проводились для следующих значений параметров: ${\varphi =1^{\circ }}$, $k=\operatorname{tg} 3^{\circ } =0.052$, $l=1$, $r_{0} =0.02$, $T=1$, ${P=5}$ кН, $A\approx 0.2\cdot 10^{-3}$. Физико-механические параметры модели соответствовали алюминиевому сплаву Д16Т [22, 23]: $\mu =27.7$ ГПа, $\rho =2780$ кг/м$^{3}$, $\gamma_{2} =-0.3878 \cdot 10^{6}$.
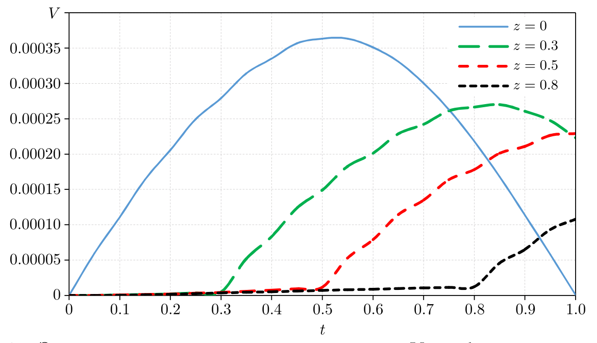
На рис. 2 приведены расчетные зависимости крутильного перемещения $V$ от безразмерного времени в различных поперечных сечениях стержня. Из представленных графиков видно, что колебания начинаются в тот момент, когда волна достигает того или иного сечения. Самые большие изменения претерпевают перемещения точек левого торца стержня, имея максимальное отклонение, равное 0.00036 при $t=0.5$. При этом чем дальше сечение от левого, подвергнутого кинематическому воздействию торца, тем меньше максимальное значение перемещения. Например, максимальные значения перемещений точек сечений $z=0$ и $z=0.3$ отличаются друг от друга на 33.3 %. Зависимости перемещения носят синусоидальный характер и являются затухающими при возрастании продольной координаты.
Рис. 2. Зависимость крутильного перемещения \(V\) от безразмерного времени \(t\) в различных поперечных сечениях усеченного конического стержня
[Figure 2. The torsional displacement $V$ vs. dimensionless time $t$ graph in various cross-sections a truncated conical rod]
На рис. 3 приведены расчетные зависимости касательного напряжения ${\sigma }_{ns_1}$ от безразмерного времени для поверхностных точек различных сечений усеченного конического стержня в системе координат $(n, s_{1} ,s_{2})$. Из представленных графиков следует, что касательное напряжение в любом сечении отрицательное и почти сразу достигает своего максимального значения, а потом медленно затухает по времени. Кроме того, видно, что по мере удаления от левого торца максимальные значения напряжения $\sigma _{ns_{1} } $ убывают, сохраняя при этом в каждом отдельном случае закономерности затухания по времени.
Рис. 3. Зависимость касательного напряжения \(\sigma_{ns_1}\) от безразмерного времени \(t\) в различных поперечных сечениях конического стержня
[Figure 3. The tangential stress ${\sigma }_{ns_1}$ vs. dimensionless time $t$ graph in various cross-sections of a truncated conical rod]
На рис. 4 приведены графики зависимости крутильного перемещения $V$ от продольной координаты $z$ усеченного конического стержня в различные моменты безразмерного времени $t$. В сечении $z=0$ при значениях времени $t\leqslant 0.6$ перемещения поверхностных точек достигают своего максимального значения и тут же начинают затухать, а к концу конического стержня во всех зафиксированных значениях времени ($t=0.2;\, 0.4;\, 0.6;\, 0.8$) уже полностью затухают.
Рис. 4. Зависимость крутильного перемещения \(V\) от продольной координаты \(z\) в различные моменты безразмерного времени \(t\) для усеченного конического стержня
[Figure 4. The torsional displacement $V$ vs. longitudinal coordinate $z$ graph at various moments of dimensionless time $t$ for a truncated conical rod]
Рис. 5. Зависимость касательного напряжения \(\sigma_{ns_1}\) от продольной координаты \(z\) в различные моменты безразмерного времени \(t\) для усеченного конического стержня
[Figure 5. The tangential stress ${\sigma }_{ns_1}$ vs. longitudinal coordinate $z$ graph at various moments of dimensionless time $t$ for a truncated conical rod]
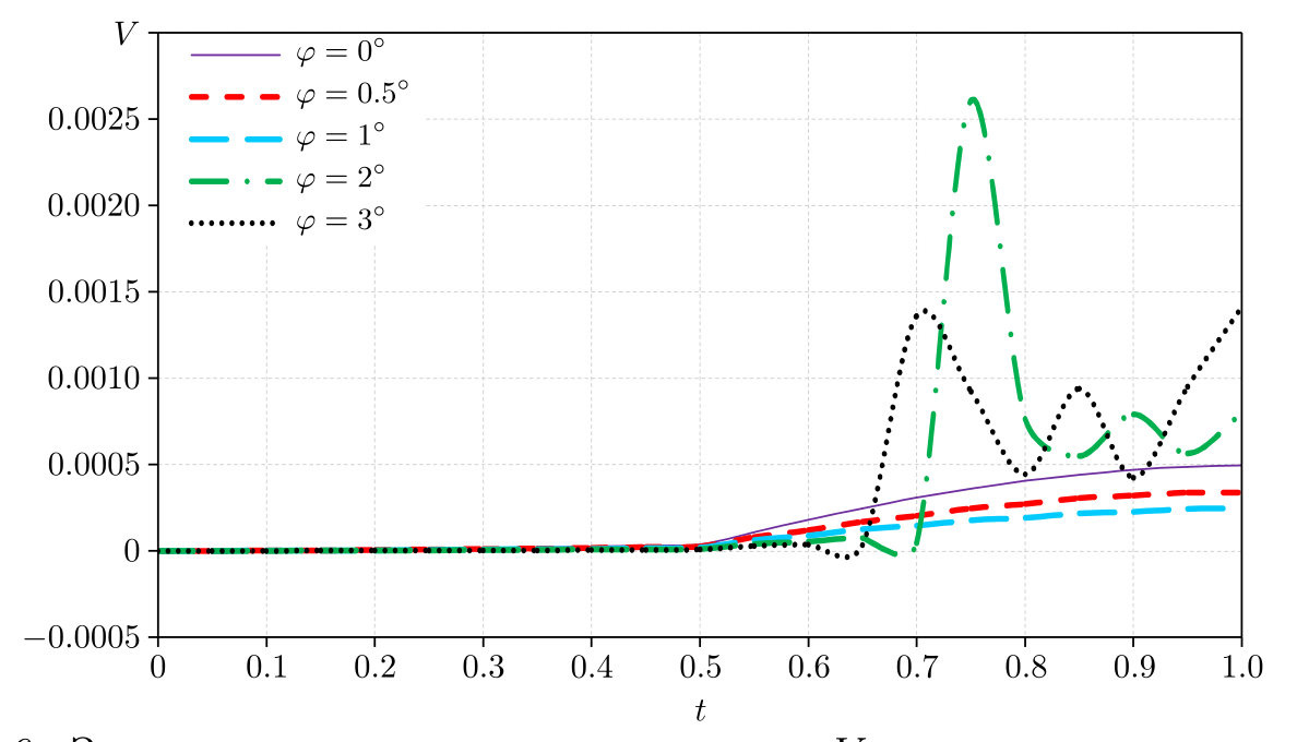
Рис. 6. Зависимость крутильного перемещения \(V\) точек срединного сечения стержня от безразмерного времени \(t\) при различных углах атаки \(\varphi\)
[Figure 6. The torsional displacement $V$ of the rod middle section of the rod vs. dimensionless time $t$ graph at different angles of attack $\varphi$]
На рис. 5 приведены графики зависимости касательного напряжения $\sigma _{ns_{1} }$ от продольной координаты $z$ усеченного конического стержня в различные моменты безразмерного времени $t$. Из представленных графиков видно, что в точках левого торца стержня напряжение достигает максимального значения (по модулю) и сразу начинает убывать. С течением времени максимальное значение переходит с отрицательных значений при $t\leqslant 0.6$ на положительные при $t\geqslant 0.7$. С прохождением волны возмущения некоторого сечения за фиксированное время (например, сечения $z=0.23$ при $t=0.6$) касательное напряжение $\sigma _{ns_1 }$ можно считать равным нулю.
На рис. 6 приведены графики изменения крутильного перемещения точек срединного сечения стержня по безразмерному времени $t$ при различных значениях угла атаки $\varphi$. Из графиков видно, что при значениях угла атаки $0\leqslant \varphi <2^{\circ }$ перемещение $V$ точек срединного сечения стержня начинает расти с момента достижения возбуждением сечения $z=0.5$; полученные графики можно считать относительно плавными. При этом малым значениям угла атаки соответствуют большие значения перемещения, т.е. с ростом значения угла атаки перемещения уменьшаются.
При значениях угла атаки $\varphi \geqslant 2^{\circ}$ наблюдается скачкообразное изменение перемещений точек срединного сечения стержня с момента достижения возмущением сечения $z=0.5$. При этом графики имеют синусоидальный характер с относительными максимумами и минимумами. Расчеты показали, что данный эффект имеет место при любых значениях угла атаки $\varphi \geqslant 2^{\circ}$, что указывает на неправильность полученных результатов при $\varphi \geqslant 2^{\circ }$. Это объясняется тем, что в этих случаях усеченный конический стержень с ростом продольной координаты быстро превращается в «трехмерное тело».
Заключение
В настоящей работе поставлена и решена задача о крутильных колебаниях усеченного конического стержня с учетом физически нелинейной связи между компонентами тензоров напряжений и деформаций. Выведено нелинейное уравнение для крутильных колебаний усеченного конического стержня относительно главной части крутильного перемещения оси симметрии стержня. Показано, что полученное уравнение нелинейных крутильных колебаний усеченного конического упругого стрежня в частных случаях совпадает с известными уравнениями, полученными другими авторами.
Выполнен численный расчет для определения напряженно-деформированного состояния усеченного конического стержня при действии торцевой и поверхностной динамических нагрузок в условиях, когда правый (широкий) конец стержня жестко заделан, а левый (узкий) является свободным.
Расчеты крутильного перемещения и касательных напряжений показали, что предложенная теория, учитывающая физическую нелинейность материала, хорошо описывает колебательный процесс в усеченном коническом стержне при углах атаки $0\leqslant \varphi <2^{\circ }$.
Конкурирующие интересы. Конкурирующих интересов не имею.
Авторская ответственность. Я несу полную ответственность за предоставление окончательной версии рукописи в печать. Окончательная версия рукописи мною одобрена.
Финансирование. Исследование выполнялось без финансирования.
1За счет произведений малого параметра и главной части крутильного перемещения и его производных.
About the authors
Khayrulla Kh. Khudoynazarov
Sharof Rashidov Samarkand State University
Author for correspondence.
Email: kh.khudoyn@gmail.com
ORCID iD: 0000-0001-8994-9738
Scopus Author ID: 57221229444
https://www.mathnet.ru/person120543
Dr. Techn. Sci., Professor; Head of Department; Dept. Theoretical and Applied Mechanics
Uzbekistan, 140104, Samarkand, University blv., 15References
- Kushnarenko V. M., Beridze S. P. Free longitudinal vibrations of a conical rod, Vestn. Orenburg. Gos. Univ., 2000, no. 3, pp. 83–86 (In Russian). EDN: HVZBFP.
- Bakhtiari M., Lakis A. A., Kerboua Y. Nonlinear vibration of truncated conical shells: Donnell, Sanders and Nemeth theories, Rapport technique no. EPMRT-2018-01, 2018 (In French). https://publications.polymtl.ca/3011/.
- Beridze S. P. Free torsional vibrations of a conical rod, Vestn. Orenburg. Gos. Univ., 1999, no. 3, pp. 104–107 (In Russian). EDN: HVHSMT.
- Sofiyev A. H. The non-linear vibration of FGM truncated conical shells, Compos. Struct., 2012, vol. 94, no. 7, pp. 2237–2245. DOI: https://doi.org/10.1016/j.compstruct.2012.02.005.
- Khudoynazarov Kh. Kh., Khalmuradov R. I., Yalgashev B. F. Longitudinal-radial vibrations of a elastic cylindrical shell filled with a viscous compressible liquid, Vestn. Tomsk. Gos. Univ. Mat. Mekh., 2021, no. 69, pp. 139–154 (In Russian). EDN: FTGEQR. DOI: https://doi.org/10.17223/19988621/69/11.
- Khudoynazarov Kh. Kh. Transversal vibrations of thick and thin cylindrical shells, interacting with deformable medium, In: Shell Structures Theory and Applications. London, Taylor & Francis Group, pp. 343–347.
- Alijani F., Amabili M. Non-linear vibrations of shells: A literature review from 2003 to 2013, Int. J. Non-Linear Mech., 2014, vol. 58, pp. 233–257. DOI: https://doi.org/10.1016/j.ijnonlinmec.2013.09.012.
- Pellicano F. Vibrations of circular cylindrical shells: Theory and experiments, J. Sound Vibration, 2007, vol. 303, no. 1–2, pp. 154–170. DOI: https://doi.org/10.1016/j.jsv.2007.01.022.
- Breslavskii I. D. Stress distribution over a plate during nonlinear vibrations, Visn. Kharkiv. Natsion. Univ. im. V. N. Karazina. Ser. Mat. Mod., Inform. Tekhn., Avtomat. Sist. Upravl., 2010, no. 926, pp. 75–84 (In Russian). http://nbuv.gov.ua/UJRN/VKhIMAM_2010_926_15_11.
- Chen C. Nonlinear dynamic of a rotating truncated conical shell, In: L. Dai, R. Jazar (Eds.) Nonlinear Approaches in Engineering Applications. New York, NY, Springer, 2012, pp. 349–391. DOI: https://doi.org/10.1007/978-1-4614-1469-8_12.
- Akhmedov A. B., Sheshenin S. V. Nonlinear equations of motion for orthotropic plates, Moscow University Mechanics Bulletin, 2012, vol. 67, no. 3, pp. 66–68. EDN: RGCBPX. DOI: https://doi.org/10.3103/S002713301203003X.
- Bakushev S. V. Resolving equations of planar deformation in cylindrical coordinates for physically nonlinear continuum, Structural Mechanics of Engineering Constructions and Buildings, 2018, vol. 14, no. 1, pp. 38—45 (In Russian). EDN: YOJIUV. DOI: https://doi.org/10.22363/1815-5235-2018-14-1-38-45.
- Khudoynazarov Kh., Abdurazakov J., Kholikov D. Nonlinear torsional vibrations of a circular cylindrical elastic shell, AIP Conf. Proc., 2022, vol. 2637, 020003. DOI: https://doi.org/10.1063/5.0118844.
- Khudoynazarov Kh., Kholikov D., Abdurazakov J. Torsional vibrations of a conical elastic shell, AIP Conf. Proc., 2022, vol. 2637, 030024. DOI: https://doi.org/10.1063/5.0118846.
- Khudoynazarov Kh., Khudoyberdiyev Z. B. Unsteady vibrations of a three-layer plate with an asymmetric structure, IOP Conf. Ser.: Earth Environ. Sci., 2020, vol. 614, 012061. DOI: https://doi.org/10.1088/1755-1315/614/1/012061.
- Khudoynazarov Kh., Yaxshiboyev Sh. R. The mathematical model of transverse vibrations of the three-layer plate, IOP Conf. Ser.: Earth Environ. Sci., 2020, vol. 614, 012062. DOI: https://doi.org/10.1088/1755-1315/614/1/012062.
- Khudoynazarov K., Yalgashev B. Longitudinal vibrations of a cylindrical shell filled with a viscous compressible liquid, E3S Web Conf., 2021, vol. 264, 02017. DOI: https://doi.org/10.1051/e3sconf/202126402017.
- Filippov I. G., Kudajnazarov K. Boundary value problems of longitudinal oscillations of the circular cylindrical shells, Industrial Construction, 1998, vol. 28, no. 12, pp. 34–40. EDN: RQIBJX.
- von Kauderer H. Nichtlineare Mechanik. Berlin, Springer-Verlag, 684 pp. (In German)
- Filippov I. G., Filippov S. I. Kolebatel’nye i volnovye protsessy v sploshnykh szhimaemykh sredakh [Oscillatory andWave Processes in Continuous Compressible Media]. Moscow, 2007, 429 pp. (In Russian). EDN: QJRVVZ.
- Khudoynazarov Kh. Kh. Nestatsionarnoe vzaimodeistvie tsilindricheskikh obolochek i sterzhnei s deformiruemoi sredoi [Nonstationary Interaction of Cylindrical Shells and Rods with a Deformable Medium]. Tashkent, 2003, 326 pp. (In Russian)
- Tsurpal I. A. Raschet elementov konstruktsii iz nelineino-uprugikh materialov [Calculation of Structural Elements Made from Nonlinearly Elastic Materials]. Kiev, Tekhnika, 1976, 176 pp. (In Russian)
- Kudin A. V., Tamurov Yu. N. Application of the small parameter method in modeling the bending of symmetrical three-layer plates with nonlinear elastic filler, Visn. Skhidnoukr. Natsion. Univ. im. V. Dalya, 2011, no. 11, pp. 32–40 (In Russian).
Supplementary files









