Математическое моделирование влияния на перенос ионов соли изменения константы скорости диссоциации/рекомбинации в диффузионном слое у ионообменной мембраны
- Авторы: Назаров Р.Р.1, Коваленко А.В.1, Бостанов Р.А.2, Уртенов М.Х.1
-
Учреждения:
- Кубанский государственный университет
- Карачаево-Черкесский государственный университет имени У. Д. Алиева
- Выпуск: Том 29, № 1 (2025)
- Страницы: 109-128
- Раздел: Математическое моделирование, численные методы и комплексы программ
- URL: https://journals.eco-vector.com/1991-8615/article/view/633977
- DOI: https://doi.org/10.14498/vsgtu2101
- EDN: https://elibrary.ru/AZCCRJ
- ID: 633977
Цитировать
Полный текст
Аннотация
Представлена новая теоретическая модель стационарного переноса ионных компонентов соли через катионообменную мембранную систему. В отличие от существующих теоретических подходов, в предложенной модели модификация константы равновесия обусловлена не только градиентом электрического потенциала, но и пространственным распределением заряда. Анализ уравнения Пуассона подтверждает существенную зависимость кинетики диссоциации ионов от локальной плотности пространственного заряда в мембранной структуре.
Разработанная математическая модель, учитывающая указанную зависимость, позволяет достичь более точного описания диффузионно-миграционных процессов в катионообменных мембранах. Полученные результаты обеспечивают более корректное описание поведения ионных компонентов в стационарных условиях переноса, что имеет существенное значение для разработки перспективных мембранных материалов и технологических процессов. Предлагаемая модель может быть применена в различных технологических областях, использующих ионообменные мембранные системы, включая процессы водоочистки и энергетические преобразователи.
Важным преимуществом предложенной модели является возможность комплексного учета ключевых параметров ионного транспорта, включая ионную силу раствора, температурные условия и структурно-функциональные характеристики мембраны. Это обеспечивает более точное прогнозирование эксплуатационных характеристик мембранных систем в реальных технологических процессах.
В частности, применение данной модели в системах мембранной очистки воды позволяет оптимизировать процессы деминерализации, что способствует повышению эффективности очистки водных сред и снижению энергетических затрат технологического цикла.
Таким образом, разработанная модель предоставляет новые возможности для фундаментального исследования и практической оптимизации процессов массопереноса в системах с ионообменными мембранами.
Полный текст
Введение
Несмотря на существование точных решений уравнений термодиффузии для стационарных сдвиговых течений бинарной несжимаемой жидкости, которые применяются при моделировании различных процессов (включая течение в тонких слоях жидкости и процессы в аппаратах химической технологии [1, 2]), остаются актуальными задачи, связанные с анализом сопряженных конвективных и диффузионных эффектов [3–5].
Построение точных и численных решений уравнений массопереноса и гидродинамики с учетом реакций диссоциации и рекомбинации молекул воды представляет собой сложную и актуальную задачу. Диссоциация воды на межфазных границах и изменение константы скорости реакции крайне важны для понимания процессов переноса вещества через селективные ионообменные мембраны. Известно, что изменение константы скорости диссоциации молекул воды на границах раздела фаз (мембрана/раствор или мембрана/мембрана) может быть обусловлено несколькими факторами, как отмечается в работах [6, 7]. В данной работе исследуется влияние электрического поля на константу равновесия реакции диссоциации/рекомбинации молекул воды.
В настоящее время установлено, что скорость этой реакции экспоненциально зависит от приложенного напряжения [8–11] в системах с биполярными мембранами, что объясняется следующими причинами:
- ослаблением связи $\mathrm{H}$–$\mathrm{OH}$ в молекуле воды под действием электрического поля;
- кооперативным переносом протона через цепочку благоприятно ориентированных молекул воды.
Согласно представлениям, разработанным С. Ф. Тимашевым, Н. В. Шельдешовым и др. [8, 10, 11] для биполярных мембран, плотность тока ионов $\mathrm{H}^{+}$/$\mathrm{OH}^{-}$, генерируемых в мембранной системе, определяется эмпирической формулой [11]
\[ \begin{equation}
i_{\mathrm{H}^{+} , \mathrm{O H}^{-}} = k_{\Sigma} \frac{\varepsilon_{r}}{\beta}
\bigl[ e^{\beta E_{m}} - e^{\beta E_{0}} \bigr],
\end{equation} \tag{1} \]
где $k_{\Sigma}$ — суммарная эффективная константа скорости псевдомономолекулярной реакции диссоциации воды в тонкой пограничной области толщиной 2–4 нм в отсутствие электрического поля; $E_{m}$ — напряженность электрического поля в некоторой точке реакционной зоны вблизи границы раздела фаз, зависящая от внешнего приложенного напряжения; $E_0$ — напряженность электрического поля в этой точке при нулевом токе в мембранной системе; $\beta$ — слабо изменяющийся с температурой (энтропийный) фактор [10] (подгоночный параметр); $\varepsilon_0$ — диэлектрическая проницаемость вакуума; $\varepsilon$ — относительная диэлектрическая проницаемость раствора; $\varepsilon_r = \varepsilon \varepsilon_0$ — абсолютная диэлектрическая проницаемость раствора; $i_{\mathrm{H}^+,\mathrm{OH}^-}$ — парциальные токи по $\mathrm{H}^+$ и $\mathrm{OH}^-$ соответственно.
Как видно из формулы (1), константа равновесия зависит не от конкретного значения экспоненты от напряженности электрического поля, а от разности значений экспонент при заданном и нулевом токах.
Изучению этой зависимости в электродиализных системах с монополярными мембранами посвящено ограниченное число работ (см., например, [7]). В работе [7] аналог формулы (1) представлен в следующем виде:
\[ \begin{equation}
i_{\mathrm{H}^{+},\mathrm{OH}^{-}} = A e^{\beta E_{0}} \bigl( e^{\beta (E_{m} - E_{0})} - 1 \bigr),
\end{equation} \tag{2} \]
где $A$ — коэффициент, определяемый константой скорости диссоциации воды, структурой границы раздела мембрана/раствор и температурой $T$.
В отличие от работ С. Ф. Тимашева и Н. В. Шельдешова, в формуле (2) величину $E_{0}$ предлагается относить не к нулевому току, а к некоторому критическому току $i_{cr}$, при котором начинается заметная диссоциация молекул воды. В [12–14] показано, что этот ток достаточно близок к предельному электродиффузионному току.
1. Зависимость константы равновесия от пространственного заряда
Ряд соображений позволяет предположить, что в отличие от рассмотренных выше работ, изменение константы равновесия следует связывать не просто с величиной напряженности электрического поля, а с величиной пространственного заряда.
Действительно, как следует из уравнения Пуассона
\[ \begin{equation*}
\varepsilon_r \frac{dE}{dx} = \rho(x),
\end{equation*} \]
если напряженность $E$ велика, но постоянна (т.е. электрическое поле однородно), то выполняется условие локальной электронейтральности $\rho(x) \equiv 0$. Это означает, что в области электронейтральности не следует ожидать увеличения константы скорости диссоциации, так как она должна оставаться неизменной. С другой стороны, из уравнения Пуассона следует, что в области пространственного заряда, особенно в ее квазиравновесной части, электрическое поле становится неоднородным, а его напряженность — значительной.
В формуле (2) разность $E_m - E_0$ определяется приростом плотности пространственного заряда при увеличении тока от $i_{cr}$ до заданного значения $i$ [7]. Однако эту разность можно интерпретировать иначе — как разность напряженностей электрического поля $E_m$ на поверхности мембраны и в некоторой точке объема $E_0$. Если в формуле (2) показатель экспоненты умножить и разделить на величину $h_0$, соответствующую разности абсцисс значений $E_0$ и $E_m$, то получим
\[ \begin{equation*}
i_{\mathrm{H}^+,\mathrm{OH}^-} = A e^{\beta E_0}
\Bigl( e^{\beta h_0 \frac{E_m - E_0}{h_0}} - 1 \Bigr) \approx
A e^{\beta E_0} \Bigl( e^{\beta h_0 \frac{dE}{dx}} - 1 \Bigr).
\end{equation*} \]
Поскольку из уравнения Пуассона следует, что $\frac{dE}{dx} = \frac{1}{\varepsilon \varepsilon_0} \rho$, где $\rho$ — плотность пространственного заряда, изменение $i_{\mathrm{H}^+,\mathrm{OH}^-}$ должно зависеть от величины пространственного заряда.1 Следовательно, константа равновесия $K_w$ должна зависеть от $\rho$, т.е. $K_w =K_w(\rho)$.
Дополнительным аргументом в пользу этого предположения служит анализ размерности уравнений реакции:
\[ \begin{equation*}
\frac{ j_{\mathrm{H}^+}}{dx} = \frac{ j_{\mathrm{OH}^-}}{dx} = K_r (K_w - C_{\mathrm{H}^+}C_{\mathrm{OH}^-}),
\end{equation*} \]
где $K_w = ({k_d}/{k_r})C_{\mathrm{H}_2\mathrm{O}}$ — константа равновесия; $k_d$ и $k_r$ — коэффициенты диссоциации и рекомбинации соответственно; $C_{\mathrm{H}_2\mathrm{O}}$, $C_{\mathrm{H}^+}$, $C_{\mathrm{OH}^-}$ — концентрации воды и ионов $\mathrm{H}^+$ и $\mathrm{OH}^-$. Из формулы для $K_w$ следует, что ${k_d}/{k_r}$ имеет размерность концентрации: $[{k_d}/{k_r}] = [C_{\mathrm{H}_2\mathrm{O}}]$, как и плотность пространственного заряда, нормированная на число Фарадея: $\rho/ {F}$.
Разлагая $K_w(\rho)$ (или, что то же самое, ${k_d(\rho)}/{k_r(\rho)} = ({k_d}/{k_r})(\rho)$) в ряд Тейлора по $\rho$ в окрестности $\rho=0$ и ограничиваясь первым приближением, получаем эмпирическую формулу
\[ \begin{equation*}
\frac{k_d}{k_r}(\rho) = \frac{k_d(0)}{k_r(0)} + b\rho,
\end{equation*} \]
где $b$ — константа, определяемая экспериментально. Умножив на $C_{\mathrm{H}_2\mathrm{O}}$, получим
\[ \begin{equation*}
K_w(\rho) = \frac{k_d}{k_r}(\rho) C_{\mathrm{H}_2\mathrm{O}} =
\Bigl(\frac{k_d(0)}{k_r(0)} + b\rho\Bigr)C_{H_2O}
\end{equation*} \]
или
\[ \begin{equation*}
K_w(\rho) = \frac{k_d(0)}{k_r(0)}C_{\mathrm{H}_2\mathrm{O}} + b \rho C_{\mathrm{H}_2\mathrm{O}}.
\end{equation*} \]
Вводя обозначения
\[ \begin{equation*}
K_{w_0} = \frac{k_d(0)}{k_r(0)}C_{H_2O}\quad \text{и}\quad
b_0 = b {F}C_{H_2O} = \lambda C_{H_2O},
\end{equation*} \]
где $\lambda = b {F}$ — безразмерная величина, и учитывая, что
\[ \begin{equation*}
\rho = \sum\limits_{i=1}^n z_i C_i,
\end{equation*} \]
где $z_i$ — зарядовые числа, $C_i$ — концентрации ионов, получим
\[ \begin{equation}
K_w(\rho) = K_{w_0} + b_0 \sum\limits_{i=1}^n z_i C_i.
\end{equation} \tag{3} \]
Таким образом, мы получаем всего один безразмерный подгоночный параметр $\lambda$, физический смысл которого заключается во влиянии величины пространственного заряда на скорость диссоциации молекул воды. Функция $K_w(\rho)$ линейно зависит от концентраций ионов, что позволяет исследовать ее изменение в разных частях диффузионного слоя (см. рис. 1). Например, в области электронейтральности эта функция постоянна ($K_w(\rho) = K_{w_0}$), а в квазиравновесной области пространственного заряда для 1:1 электролита, где концентрация катионов $C_1$ значительно превышает концентрации других ионов, формула упрощается до вида
\[ \begin{equation*}
K_w(\rho) = K_{w_0} + b_0 C_1.
\end{equation*} \]
Рис. 1. Схема диффузионного слоя для постановки краевой задачи. Масштаб не соблюден из соображений наглядности
[Figure 1. Schematic of the diffusion layer for the boundary value problem formulation. Scale is not preserved for clarity]
Этот результат согласуется с экспоненциальной зависимостью константы равновесия от напряженности поля, так как в квазиравновесной области согласно приближению Дебая–Больцмана
\[ \begin{equation*}
\frac{dC_1}{dx} = -C_1 \frac{d\varphi}{dx},
\end{equation*} \]
где $\varphi$ — потенциал. Интегрируя от точки $x_0$ до $x$, получим
\[ \begin{equation*}
C_1 = C_{1x_0} e^{- h_0 \frac{\varphi - \varphi_0}{h_0}} = C_{1x_0} e^{-h_0 \frac{d\varphi}{dx}} = C_{1x_0} e^{h_0 E},
\end{equation*} \]
что дает экспоненциальную зависимость константы равновесия от напряженности поля:
\[ \begin{equation}
K_w(\rho) = K_{w_0} + b_0 C_{1x_0} e^{h_0 E}.
\end{equation} \tag{4} \]
Следует отметить, что данные работы [15, рис. 5] демонстрируют практически одинаковый характер изменения напряженности электрического поля $E$ и модуля пространственного заряда $\rho$ вблизи биполярной границы. Это наблюдение позволяет рассматривать зависимость от модуля пространственного заряда $\rho$ вместо зависимости от напряженности поля $E$.
Таким образом, формула (3) представляет собой обобщение экспоненциальной зависимости константы равновесия от напряженности. Из формулы (4) также следует экспериментально установленная в работе [7] закономерность: в сверхпредельных токовых режимах числа переноса продуктов диссоциации воды при заданных скачках потенциала $\Delta \varphi$ растут с уменьшением концентрации соли.
Действительно, используя асимптотическое решение упрощенной модели [12, 13], можно показать, что при уменьшении концентрации соли и фиксированном $\Delta \varphi$ величина $C_{1x_0}$ уменьшается как степенная функция, а $E$ увеличивается экспоненциально. Поскольку экспонента растет быстрее любой степени, произведение $C_{1x_0} e^{h_0 E}$ и, следовательно, константа равновесия $K_w(\rho) = K_{w_0} + b_0 C_{1x_0} e^{h_0 E}$ увеличиваются. Эту же закономерность подтверждают проведенные численные исследования.
2. Математическая модель
Рассмотрим диффузионный слой, где координата $x=0$ соответствует границе с объемом раствора (с известными заданными концентрациями), а $x=h$ — границе раздела раствор/катионообменная мембрана. Концентрации и потоки ионов 1:1 электролита (например, $\mathrm{K}^+$ и $\mathrm{Cl}^-$) обозначим через $C_i$, $j_i$ ($i=1, 2$), а для ионов $\mathrm{H}^+$ и $\mathrm{OH}^-$ — через $C_i$, $j_i$ ($i=3, 4$) соответственно [16, 17].
2.1. Система уравнений
Используя выражение для константы равновесия $K_w(\rho)=K_{w_0}+b_0(C_1-C_2+C_3-C_4)$, предложим следующую математическую модель стационарного переноса ионов 1:1 электролита в диффузионном слое у катионообменной мембраны с учетом пространственного заряда и реакции диссоциации/рекомбинации [18]:
\[ \begin{equation}
-\frac{dj_i}{dx} + R_i = 0, \quad i=1,\ldots,4 ;
\end{equation} \tag{5} \]
\[ \begin{equation}
j_i = -z_i\frac{ {F}}{RT}D_iC_i\frac{d\varphi}{dx} - D_i\frac{dC_i}{dx}, \quad i=1,\ldots,4 ;
\end{equation} \tag{6} \]
\[ \begin{equation}
\frac{d^2\varphi}{dx^2} = -\frac{\rho}{\varepsilon_r} ;
\end{equation} \tag{7} \]
\[ \begin{equation}
\begin{array}{l}
R_1 = R_2 = 0, \\
R_3 = R_4 = k_d(\rho)C_{\mathrm{H}_2\mathrm{O}} - k_rC_3C_4 = k_r(K_w(\rho)-C_3C_4) ,
\\
z_1 = 1, \quad z_2 = -1, \quad z_3 = 1, \quad z_4 = -1;
\end{array}
\end{equation} \tag{8} \]
\[ \begin{equation}
I = F\sum\limits_{i=1}^{4}z_ij_i.
\end{equation} \tag{9} \]
Математическая модель включает следующую систему уравнений:
- уравнения материального баланса для каждого ионного компонента (5), выражающие закон сохранения массы в стационарных условиях;
- уравнения переноса Нернста–Планка (6), описывающие потоки ионов под действием градиентов концентрации и электрического потенциала;
- уравнение Пуассона (7), связывающее распределение электрического потенциала с пространственным зарядом системы;
- кинетические уравнения (8) для реакции диссоциации/рекомбинации молекул воды, учитывающие зависимость скорости диссоциации от локальной плотности заряда;
- уравнение для плотности полного тока (9), представляющее сумму фарадеевских вкладов всех ионных потоков (током заряжения двойного электрического слоя пренебрегаем).
Параметры модели включают в себя следующие физические величины и константы:
- $\varepsilon_r$ — относительная диэлектрическая проницаемость раствора;
- $R = 8.314$ Дж/(моль${}\cdot{}$К) — универсальная газовая постоянная;
- $\varphi(x)$ — распределение электрического потенциала в диффузионном слое;
- $E(x) = -d\varphi/dx$ — напряженность электрического поля;
- $C_i(x)$ — объемная концентрация $i$-го иона, моль/м$^3$;
- $j_i(x)$ — плотность потока $i$-го иона, моль/(м$^2{}\cdot{}$с);
- $D_i$ — коэффициент диффузии $i$-го иона, м$^2$/с;
- $k_r = 1.1 \cdot 10^8$ м$^3$/(с${}\cdot{}$моль) — константа скорости рекомбинации ионов [19];
- $K_{w_0} = k_dC_{\mathrm{H}_2\mathrm{O}}/k_r = 1.0\cdot 10^{-8}$ моль$^2$/м$^6$ — ионное произведение воды в объеме раствора;
- $k_d = 2.0 \cdot 10^{-5}$ с$^{-1}$ — константа скорости диссоциации воды [20–22];
- $C_{\mathrm{H}_2\mathrm{O}} \approx 55.5\cdot 10^3$ моль/м$^3$ — концентрация воды.
2.2. Краевые условия
Наблюдается существенная асимметрия в генерации ионов $\mathrm{H}^+$ и $\mathrm{OH}^-$ на анионо- и катионообменных мембранах. На анионообменных мембранах (например, МА-40, МА-41) генерация протекает интенсивнее: ионы $\mathrm{OH}^-$ переносятся через мембрану и далее не участвуют в процессах переноса, а ионы $\mathrm{H}^+$ движутся в сторону катионообменной мембраны. Модификация анионообменных мембран позволяет снизить интенсивность генерации $\mathrm{H}^+$/$\mathrm{OH}^-$, приводя к подкислению раствора во всем объеме канала обессоливания, тогда как подщелачивание наблюдается только вблизи катионообменной мембраны. Эта асимметрия требует различных подходов к математическому моделированию процессов переноса в диффузионных слоях у разных мембран, что отражается в краевых условиях. В данной работе рассматривается перенос в диффузионном слое у катионообменной мембраны, что позволяет исследовать влияние электрического поля на скорость некаталитической диссоциации воды и рекомбинации ионов $\mathrm{H}^+$/$\mathrm{OH}^-$.
Граничные условия при $x=0$ (объем раствора):
\[ \begin{equation}
C_1(0) = C_{10}, \quad
C_2(0) = C_{20}, \quad
C_4(0) = \frac{K_{w_0}}{C_{30}},
\end{equation} \tag{10} \]
\[ \begin{equation}
C_3(0) = C_{30}, \quad C_{30} \gg \sqrt{K_{w_0}},
\end{equation} \tag{11} \]
\[ \begin{equation}
\varphi(0) = d.
\end{equation} \tag{12} \]
Концентрации $C_{10}$, $C_{20}$ и $C_{30}$ в (10), (11) задаются как известные параметры модели. Условие $C_{30} \gg \sqrt{K_{w_0}}$ в (11) соответствует сильному подкислению раствора в объеме.2 Увеличение потока $\mathrm{H}^+$ за счет изменения константы равновесия в области пространственного заряда (ОПЗ) у анионообменной мембраны незначительно по сравнению с потоком от каталитической диссоциации воды на поверхности анионообменной мембраны и может быть проигнорировано.
Граничные условия на границе раствор/мембрана (${x=h}$):
\[ \begin{equation}
C_1(h) = C_{1k},
\end{equation} \tag{13} \]
\[ \begin{equation}
\Bigl[\frac{F}{RT}C_2D_2\frac{d\varphi}{dx} - D_2\frac{dC_2}{dx}\Bigr]_{x=h} = 0,
\end{equation} \tag{14} \]
\[ \begin{equation}
\frac{dC_3 }{dx}\Bigr|_{x=h} = 0,
\end{equation} \tag{15} \]
\[ \begin{equation}
\Bigl[\frac{F}{RT}C_4D_4\frac{d\varphi}{dx} - D_4\frac{dC_4}{dx}\Bigr]_{x=h} = j_{4k},
\end{equation} \tag{16} \]
\[ \begin{equation}
\varphi(h) = 0.
\end{equation} \tag{17} \]
Физическая интерпретация граничных условий при $x=h$:
- условие (13) определяет концентрацию катионов у поверхности мембраны $C_{1k}$, которая устанавливается равной ее обменной емкости;
- условие (14) отражает свойство идеальной селективности мембраны — нулевой поток анионов через границу (отсутствие проникновения анионов в мембрану);
- условие (15) показывает, что ионы водорода $\mathrm{H}^+$ свободно проникают через мембрану (нулевой градиент концентрации на границе), что связано с их малой концентрацией по сравнению с основными катионами;
- условие (16) задает поток гидроксид-ионов $\mathrm{OH}^-$ ($j_{4k}$), инжектируемых с поверхности мембраны в раствор, что обусловлено менее интенсивной, но все же существующей генерацией $\mathrm{H}^+/\mathrm{OH}^-$-пар на катионообменной мембране;
- условие (17) фиксирует нулевое значение электрического потенциала на границе с мембраной.
Следует отметить, что интенсивность генерации $\mathrm{H}^+/\mathrm{OH}^-$-пар на катионообменных мембранах существенно ниже, чем на анионообменных, что приводит к асимметрии в распределении этих ионов в системе.
В данной работе при фиксированном скачке потенциала (12), (17) плотность тока определяется по формуле (9) [19–22].
3. Результаты и обсуждение
Реакция диссоциации молекул воды в мембранных системах может протекать двумя принципиально различными путями: каталитическим, обусловленным присутствием функциональных групп мембраны, и некаталитическим (электролитическим), связанным с влиянием пространственного заряда. Следует подчеркнуть, что некаталитическая диссоциация характеризуется максимально достижимой скоростью, лимитируемой фундаментальной константой диссоциации.
В области малых скачков потенциала или при плотностях тока ниже предельных значений (допредельный режим) пространственный заряд локализован в непосредственной близости от ионообменной мембраны и в первом приближении демонстрирует независимость от величины плотности тока, что соответствует его квазиравновесному состоянию. В данных условиях некаталитическая реакция диссоциации, протекающая исключительно в пределах малой квазиравновесной ОПЗ и характеризующаяся постоянством константы скорости диссоциации, оказывает пренебрежимо малое влияние на процессы переноса ионов соли. Однако при учете зависимости константы скорости диссоциации, а следовательно, и константы равновесия от величины пространственного заряда наблюдается выраженный сверхлинейный рост потоков ионов $\mathrm{H}^+$ и $\mathrm{OH}^-$, что приводит к существенному влиянию некаталитической реакции диссоциации на перенос ионов соли.
При превышении предельных значений скачка потенциала или плотности тока (сверхпредельный режим), согласно данным работ [12, 13], формируется расширенная ОПЗ, размеры которой, оставаясь меньшими, становятся сопоставимыми с толщиной диффузионного слоя, в то время как квазиравновесная ОПЗ сохраняет свои характеристики. В сверхпредельном режиме некаталитическая реакция диссоциации протекает как в квазиравновесной, так и в расширенной ОПЗ, оказывая существенное влияние на перенос ионов соли. Для конкретизации дальнейшего изложения определим значения параметров модели: $C_0=1$ моль/м$^3$, $b_0=0.1$. Поскольку настоящее исследование сосредоточено на изучении влияния пространственного заряда на константу равновесия некаталитической реакции диссоциации, принято $j_{4k}=0$.
3.1. Структура диффузионного слоя
Для детального анализа пространственной организации диффузионного слоя введем функцию распределения пространственного заряда:
\[ \begin{equation*}
\rho(x) = F(C_1 - C_2 + C_3 - C_4),
\end{equation*} \]
где $F$ — число Фарадея, $C_i$ — концентрации соответствующих ионов. Важно отметить, что модифицированная константа равновесия диссоциации воды
\[ \begin{equation*}
K_w(\rho) = K_{w_0} + b_0(C_1 - C_2 + C_3 - C_4)
\end{equation*} \]
демонстрирует пространственное распределение, аналогичное распределению $\rho(x)$. Ключевую роль в анализе играет функция равновесия
\[ \begin{equation*}
P_w(x) = K_w(\rho)C_{\mathrm{H}_2\mathrm{O}} - C_3C_4 = (K_{w_0} + b_0\rho/F)C_{\mathrm{H}_2\mathrm{O}} - C_3C_4 ,
\end{equation*} \]
которая характеризует баланс между процессами диссоциации и рекомбинации. Физический смысл функции $P_w(x)$ заключается в следующем:
- при $P_w(x) = 0$ система находится в состоянии динамического равновесия;
- при $P_w(x) > 0$ преобладает процесс диссоциации молекул воды;
- при $P_w(x) < 0$ доминирует процесс рекомбинации ионов.
Численное решение краевой задачи математической модели позволило выявить сложную гетерогенную структуру диффузионного слоя, схематически представленную на рис. 1. Установлено, что диффузионный слой включает следующие характерные области:
- область рекомбинации ионов;
- область пространственного заряда (ОПЗ);
- область электронейтральности (ОЭН);
- переходные слои между указанными областями.
На рис. 1 схематически представлены ключевые характеристические точки структуры диффузионного слоя:
- $x_r$ — центр области рекомбинации ионов;
- $x_c$ — центр переходного (промежуточного) слоя между ОЭН и расширенной ОПЗ;
- $x_q$ — левая граница квазиравновесной ОПЗ, примыкающей к поверхности катионообменной мембраны.
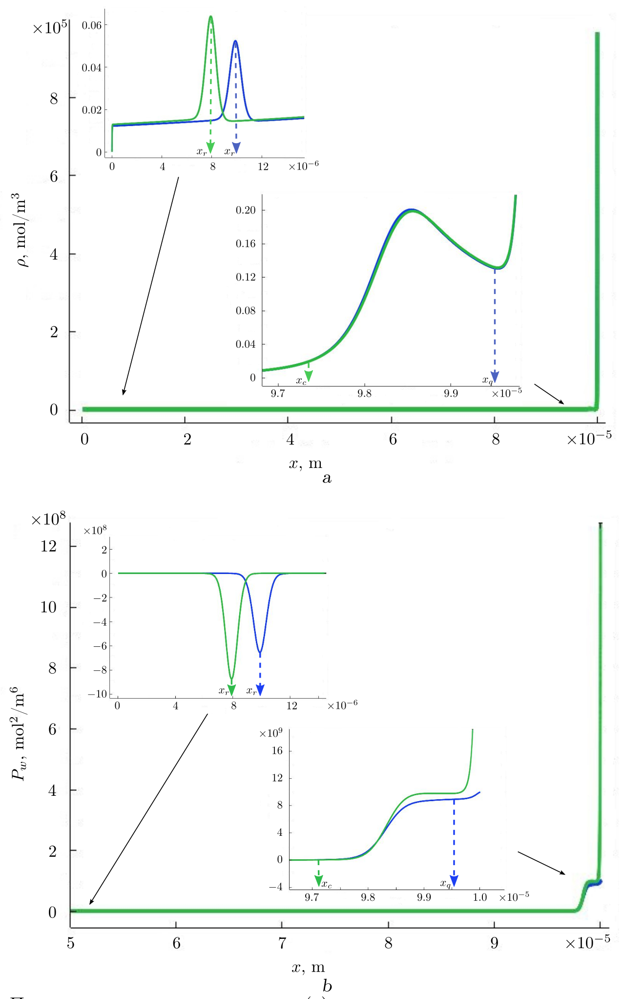
Область рекомбинации представляет собой симметричную (с большой степенью точности) окрестность точки $x_r$ размером $(x_r-\delta_1, x_r+\delta_1)$. Образование области рекомбинации обусловлено взаимодействием ионов водорода $\mathrm{H}^+$, генерируемых как в результате каталитической реакции на поверхности анионообменной мембраны, так и за счет некаталитической диссоциации воды в ОПЗ у анионообменной мембраны (см. граничные условия), с гидроксид-ионами $\mathrm{OH}^-$, образующимися при некаталитической диссоциации в ОПЗ у катионообменной мембраны, включая их дополнительное образование, связанное с зависимостью константы равновесия от величины пространственного заряда. Хотя константа скорости рекомбинации имеет высокое значение, ее конечная величина приводит к двум взаимосвязанным эффектам: во-первых, к малому размеру области рекомбинации по сравнению с другими структурными элементами диффузионного слоя, а во-вторых, к возникновению пространственного заряда в данной области вследствие конечного времени рекомбинации. Существенная асимметрия в интенсивности каталитической генерации ионов $\mathrm{H}^+$/$\mathrm{OH}^-$ на анионообменной ($j_{\mathrm{H}^+} \gg 0$) и катионообменной ($j_{4k} \approx 0$) мембранах приводит к формированию избыточной концентрации ионов водорода и, как следствие, к появлению положительного пространственного заряда в области рекомбинации (см. рис. 1). Центр области рекомбинации и величина пространственного заряда определяются балансом потоков ионов $\mathrm{H}^+$/$\mathrm{OH}^-$, что демонстрируется на примере увеличения потока гидроксид-ионов при фиксированном значении $b_0 = 0.1$ и неизменном граничном условии (11), приводящего к уменьшению величины положительного пространственного заряда и смещению положения области рекомбинации в направлении катионообменной мембраны.
В интервале $(0,x_r-\delta_1)$ наблюдается значительное смещение кислотно-основного равновесия в сторону подкисления раствора, что обусловлено генерацией ионов $\mathrm{H}^+$ на поверхности анионообменной мембраны (см. граничные условия). В данной области концентрация гидроксид-ионов $\mathrm{OH}^-$ пренебрежимо мала по сравнению с концентрацией ионов водорода $\mathrm{H}^+$. Анализ показывает, что концентрации катионов и анионов сохраняют равенство с высокой точностью даже при искусственном нарушении этого условия в точке $x=0$ для выполнения требования электронейтральности. В последнем случае возникающий пограничный слой (рис. 1) компенсирует это неравенство. При отсутствии требования строгой электронейтральности в точке $x=0$ пограничный слой не формируется, и во всей подкисленной области возникает положительный пространственный заряд, величина которого определяется потоком ионов $\mathrm{H}^+$ с анионообменной мембраны. Таким образом, область $[0,x_r-\delta_1)$ формально представляет собой объемную зону с равномерно распределенным пространственным зарядом (рис. 2), однако в силу его малой величины в первом приближении данную область можно считать практически электронейтральной.
Точка $x_c$ определяет центр узкого переходного слоя $(x_c-\delta_2, x_c+\delta_2)$, разделяющего область электронейтральности $(x_r+\delta_1, x_c-\delta_2)$ и область пространственного заряда $(x_c+\delta_2, h]$. Последняя, в свою очередь, состоит из двух подобластей: расширенной ОПЗ $(x_c+\delta_2, x_q)$ и квазиравновесной ОПЗ $(x_q, h]$. Важно отметить, что в точке $x_c$ наблюдается локальный максимум пространственного заряда, что свидетельствует о переходном характере данной области.
В пределах ОЭН величина пространственного заряда $\rho(x)$, хотя и возрастает, остается настолько незначительной, что в рамках первого приближения можно пренебречь ее влиянием и считать выполненными следующие условия:
- условие локальной электронейтральности ($\rho(x) \approx 0$);
- условие динамического равновесия реакций ($P_w(x) \approx 0$).
Расширенная ОПЗ характеризуется следующими ключевыми особенностями:
- интенсивная некаталитическая диссоциация молекул воды;
- существенная модификация эффективной константы равновесия $K_w(\rho)$;
- увеличение скорости некаталитического процесса диссоциации (см. рис. 3).
Наиболее выраженные эффекты наблюдаются в квазиравновесной ОПЗ:
- экспоненциальный рост модифицированной константы равновесия;
- соответствующий экспоненциальный рост потоков ионов $\mathrm{H}^+$/$\mathrm{OH}^-$;
- формирование сильного градиента электрического потенциала.
Рис. 2. Пространственное распределение (a) плотности пространственного заряда $\rho(x)$ и (b) функции равновесия $P_w(x)$ в диффузионном слое. Вставки демонстрируют увеличенные участки вблизи граничных областей при $x=0$ (объем раствора) и $x=h$ (граница мембраны). {Синие кривые соответствуют базовой модели ($b=0$), зеленые кривые отражают модифицированную модель с учетом зависимости константы равновесия от пространственного заряда ($b=10^{-6}$) (онлайн в цвете)
[Figure 2. (color online) Spatial distributions of (a) space charge density $\rho(x)$ and (b) equilibrium function $P_w(x)$ in the diffusion layer. Insets show magnified regions near the boundary areas at $x=0$ (solution bulk) and $x=h$ (membrane interface). Blue curves correspond to the base model ($b=0$), while green curves represent the modified model accounting for the dependence of the equilibrium constant on space charge ($b=10^{-6}$)]
Рис. 3. Пространственное распределение модифицированной константы равновесия $K_w(x) = K_{w_0} + b\rho(x)$ в диффузионном слое, где $K_{w_0}$ — константа равновесия в объеме раствора, а $\rho(x)$ — плотность пространственного заряда. На вставках показаны увеличенные области вблизи границ при $x=0$ (объем раствора) и $x=h$ (граница мембраны). {Синяя кривая — $b=10^{-6}$} (учет зависимости от пространственного заряда); {зеленая кривая — $b=0$} (базовый случай с постоянной $K_w$). Зависимость от $\rho(x)$ приводит к значительным изменениям вблизи границы мембраны (онлайн в цвете)
[Figure 3. (color online) Spatial distribution of the modified equilibrium constant $K_w(x) = K_{w_0} + b\rho(x)$ in the diffusion layer, where $K_{w_0}$ is the bulk equilibrium constant and $\rho(x)$ is the space charge density. Insets show magnified regions near the boundaries at $x=0$ (solution bulk) and $x=h$ (membrane interface). Blue curve — $b=10^{-6}$ (space-charge-dependent case); green curve — $b=0$ (reference case with constant $K_w$). The dependence on $\rho(x)$ leads to significant variations near the membrane interface]
Рис. 4. Пространственное распределение потоков ионов $\mathrm{H}^+$ ($j_3$) и $\mathrm{OH}^-$ ($j_4$) в диффузионном слое. На вставках показано увеличение областей вблизи границ $x=0$ (объем раствора) и $x=h$ (граница мембраны). Обозначения: синяя кривая — поток ионов $\mathrm{H}^+$ при $b=0$; зеленая кривая — поток ионов $\mathrm{H}^+$ при $b=10^{-6}$; красная кривая — поток ионов $\mathrm{OH}^-$ при $b=0$; голубая кривая — поток ионов $\mathrm{OH}^-$ при $b=10^{-6}$ (онлайн в цвете)
[Figure 4. (color online) Spatial distribution of ion fluxes for $\mathrm{H}^+$ ($j_3$) and $\mathrm{OH}^-$ ($j_4$) in the diffusion layer. Insets display magnified regions adjacent to the boundaries at $x=0$ (solution bulk) and $x=h$ (membrane interface). Legend: blue curve — $\mathrm{H}^+$ ion flux at $b=0$; green curve — $\mathrm{H}^+$ ion flux at $b=10^{-6}$; red curve — $\mathrm{OH}^-$ ion flux at $b=0$; cyan curve — $\mathrm{OH}^-$ ion flux at $b=10^{-6}$]
3.2. Влияние вариаций константы равновесия на ионные потоки $\mathbf{H}^+$/$\mathbf{OH}^-$
В области электронейтральности, где устанавливается динамическое равновесие между процессами диссоциации и рекомбинации, наблюдаются следующие особенности ионных потоков:
- поток ионов $\mathrm{H}^+$ ($j_3$) практически нулевой;
- поток ионов $\mathrm{OH}^-$ ($j_4$) сохраняет постоянное отрицательное значение;
- величина потока $\mathrm{OH}^-$ демонстрирует выраженную зависимость от вариаций константы равновесия $K_w(\rho)$.
В пределах внутренней области пространственного заряда ($[0,x_r-\delta_1)$) распределение потоков имеет обратную картину:
- поток $\mathrm{OH}^-$ ($j_4$) стремится к нулю;
- поток $\mathrm{H}^+$ ($j_3$) сохраняет положительное постоянное значение;
- интенсивность потока $\mathrm{H}^+$ существенно зависит от изменений $K_w(\rho)$.
В расширенной области пространственного заряда (ОПЗ) $[x_c+\delta_2, x_q]$ экспериментальные данные и численное моделирование демонстрируют следующие характерные особенности:
- линейное нарастание величин потоков $\mathrm{H}^+$ ($j_3$) и $\mathrm{OH}^-$ ($j_4$) по мере приближения к мембране, что обусловлено нарушением баланса между процессами диссоциации и рекомбинации;
- существенное преобладание некаталитической диссоциации молекул воды над процессом рекомбинации ионов, что количественно выражается в положительных значениях функции равновесия $P_w(x) > 0$;
- явно выраженная зависимость ионных потоков от модифицированной константы равновесия $K_w(\rho)$, проявляющаяся в увеличении их абсолютных значений при $b=10^{-6}$ по сравнению с базовым случаем ($b=0$).
Наиболее существенные изменения физико-химических параметров системы наблюдаются в квазиравновесной ОПЗ ($[x_q, h]$), что количественно проявляется в следующих эффектах:
- экспоненциальный рост эффективной константы равновесия $K_w(x) = K_{w_0} + b\rho(x)$, где параметр $b$ отражает степень влияния пространственного заряда на равновесные характеристики;
- согласованный экспоненциальный рост потоков ионов $\mathrm{H}^+$ ($j_3$) и $\mathrm{OH}^-$ ($j_4$), что подтверждается результатами численного моделирования, представленными на рис. 4;
- формирование значительного по величине пространственного заряда $\rho(x) = F(C_1 - C_2 + C_3 - C_4)$, достигающего максимальных значений в непосредственной близости от поверхности мембраны ($x \rightarrow h$).
Заключение
Предложена новая теоретическая модель, описывающая влияние внешнего электрического поля на константу равновесия $K_w$ реакции диссоциации/рекомбинации молекул воды. В отличие от существующих подходов, в разработанной модели изменение константы равновесия обусловлено не напряженностью электрического поля $E$, а величиной пространственного заряда $\rho$, что представляет собой принципиально новое концептуальное решение.
Основные достижения работы:
- разработана математическая модель переноса ионов бинарного электролита в диффузионном слое у поверхности катионообменной мембраны, учитывающая зависимость $K_w(\rho)$;
- установлено, что предложенная модель приводит к значительному (на порядок величины) росту потоков ионов $\mathrm{H}^+$/$\mathrm{OH}^-$;
- показано, что в квазиравновесном примембранном слое наблюдается увеличение константы равновесия в 5–10 раз, что хорошо согласуется с экспериментальными данными [7].
Полученные результаты открывают новые возможности для управления ионным транспортом в мембранных системах за счет контроля пространственного заряда.
Конкурирующие интересы. Заявляем, что в отношении авторства и публикации этой статьи конфликта интересов не имеем.
Авторский вклад и ответственность. Р.Р. Назаров — разработка численно-аналитического метода и программы для численных экспериментов; компьютерное и математическое моделирование; интерпретация результатов; подготовка первоначального варианта рукописи; доработка текста. А.В. Коваленко — компьютерное моделирование; обработка и анализ экспериментальных данных; написание первоначального варианта рукописи. Р.А. Бостанов — обработка и анализ экспериментальных данных; интерпретация результатов. М.Х. Уртенов — инициация исследования; математическое моделирование; разработка численно-аналитического метода; интерпретация результатов; подготовка первоначального варианта рукописи; доработка текста. Все авторы участвовали в утверждении окончательной версии рукописи. Авторы несут ответственность за содержание статьи.
Финансирование. Исследование выполнено за счет гранта Российского научного фонда № 24–19–00648, https://rscf.ru/project/24-19-00648/.
Благодарность. Авторы благодарны рецензентам за тщательное прочтение статьи, ценные предложения и комментарии.
1Впервые о зависимости потоков ионов от величины пространственного заряда упомянуто в работе В. В. Никоненко и др. [7].
2Концентрация ионов $\mathrm{H}^+$ превышает равновесное значение в десятки и сотни раз.
Об авторах
Роман Равшанович Назаров
Кубанский государственный университет
Email: r.nazarov1998@mail.ru
ORCID iD: 0009-0001-7280-0563
https://www.mathnet.ru/person213833
аспирант; каф. анализа данных и искусственного интеллекта
Россия, 350040, Краснодар, ул. Ставропольская , 149Анна Владимировна Коваленко
Кубанский государственный университет
Автор, ответственный за переписку.
Email: savanna-05@mail.ru
ORCID iD: 0000-0002-3991-3953
SPIN-код: 3693-4813
Scopus Author ID: 55328224000
ResearcherId: P-1166-2015
http://www.mathnet.ru/person112835
доктор технических наук, доцент; заведующий кафедрой; каф. анализа данных и искусственного интеллекта
Россия, 350040, Краснодар, ул. Ставропольская , 149Рамазан Алиевич Бостанов
Карачаево-Черкесский государственный университет имени У. Д. Алиева
Email: bost-rasul@yandex.ru
ORCID iD: 0000-0002-8502-7653
https://www.mathnet.ru/person30830
кандидат физико-математических наук, доцент; каф. математического анализа
Россия, 369202, Карачаевск, ул. Ленина, 29Махамет Хусеевич Уртенов
Кубанский государственный университет
Email: urtenovmax@mail.ru
ORCID iD: 0000-0002-0252-6247
https://www.mathnet.ru/person119069
доктор физико-математических наук, профессор; профессор; каф. прикладной математики
Россия, 350040, Краснодар, ул. Ставропольская , 149Список литературы
- Ershkov S., Burmasheva N. V., Leshchenko D. D., Prosviryakov E. Yu. Exact solutions of the Oberbeck–Boussinesq equations for the description of shear thermal diffusion of Newtonian fluid flows // Symmetry, 2023. vol. 15, no. 9, 1730. EDN: UXUKDI. DOI: https://doi.org/10.3390/sym15091730.
- Burmasheva N. V., Prosviryakov E. Yu. Exact solutions to the Oberbeck–Boussinesq equations for shear flows of a viscous binary fluid with allowance made for the Soret effect // Bulletin Irkutsk State Univ., Ser. Mathematics, 2021. vol. 37. pp. 17–30. EDN: NTNSFJ. DOI: https://doi.org/10.26516/1997-7670.2021.37.17.
- Бурмашева Н. В., Просвиряков Е. Ю. Точное решение типа Куэтта–Пуазейля для установившихся концентрационных течений // Учен. зап. Казан. ун-та. Сер. Физ.-матем. науки, 2022. Т. 164, №4. С. 285–301. EDN: FXLLHT. DOI: https://doi.org/10.26907/2541-7746.2022.4.285-301.
- Bashurov V. V., Prosviryakov E. Yu. Steady thermo-diffusive shear Couette flow of incompressible fluid. Velocity field analysis // Vestn. Samar. Gos. Tekhn. Univ., Ser. Fiz.-Mat. Nauki [J. Samara State Tech. Univ., Ser. Phys. Math. Sci.], 2021. vol. 25, no. 4. pp. 763–775. EDN: AXCZUX. DOI: https://doi.org/10.14498/vsgtu1878.
- Burmasheva N. V., Prosviryakov E. Yu. Influence of the Dufour effect on shear thermal diffusion flows // Dynamics, 2022. vol. 2, no. 4. pp. 367–379. EDN: NGVOBP. DOI: https:// doi.org/10.3390/dynamics2040021.
- Шельдешов Н. В. Процессы с участием ионов водорода и гидроксила в системах с ионообменными мембранами : Дис. . . . докт. хим. наук: 02.00.05 — электрохимия. Краснодар: КубГУ, 2002. 405 с. EDN: NNNGQN.
- Никоненко В. В., Письменская Н. Д., Володина Е. И. Зависимость скорости генерации H+- и OH−-ионов на границе ионообменная мембрана/разбавленный раствор от плотности тока // Электрохимия, 2005. Т. 41, №11. С. 1351–1357. EDN: HSIUHJ.
- Гребень В. П., Пивоваров Н. Я., Коварский Н. Я. [и др.] Биполярная ионообменная мембрана : Авторское свидетельство № 745193 A1 СССР, МПК C25B 13/04. № 2665517 : заявл. 18.09.1978 : опубл. 15.04.1990. EDN: VNZYHP.
- Головня В.А., Капустин А. Ф., Смирнова Н. М. [и др.] Способ регенерации неорганических кислот : Авторское свидетельство № 865321 A1 СССР, МПК B01D 13/00. № 2867388 : заявл. 04.01.1980 : опубл. 23.09.1981. EDN: GSAAWG.
- Смагин В. Н., Чухин В. А., Медведев И. Н., Щекотов П. Д. Электродиализатор для обессоливания воды : Авторское свидетельство № 971403 A1 СССР, МПК B01D 13/02. № 3275226 : заявл. 10.04.1981 : опубл. 07.11.1982. EDN: STKKOM.
- Гребень В. П., Пивоваров Н. Я., Лацков В. Л. [и др.] Биполярная ионообменная мембрана : Авторское свидетельство № 1150989 A1 СССР, МПК C25B 13/00, B01D 69/00. № 3634930 : заявл. 22.07.1983 : опубл. 15.11.1990. EDN: UYAFXH.
- Rubinshtein I., Maletzki F. Electroconvection at an electrically inhomogeneous permselective membrane surface // J. Chem. Soc., Faraday Trans., 1991. vol. 87, no. 13. pp. 2079–2087. DOI: https://doi.org/10.1039/FT9918702079.
- Рубинштейн И., Зальцман Б., Прец И., Линдер К. Экспериментальная проверка электроосмотического механизма формирования "запредельного" тока в системе с катионообменной электродиализной мембраной // Электрохимия, 2002. Т. 38, №8. С. 956–967. EDN: RSNSYP.
- Гребень В. П., Пивоваров Н. Я. Лацков В. Л. [и др.]. Электродиализатор : Авторское свидетельство № 1237230 СССР, МПК B01D 13/02. № 3736135 : заявл. 04.05.1984 : опубл. 15.06.1986. EDN: LHEPGD.
- Mareev S. A., Evdochenko E., Wessling M., et al. A comprehensive mathematical model of water splitting in bipolar membranes: Impact of the spatial distribution of fixed charges and catalyst at bipolar junction // J. Membr. Sci., 2020. Т. 603, 118010. EDN: AJNNIW. DOI: https://doi.org/10.1016/j.memsci.2020.118010.
- Коваленко А. В., Узденова А. М., Овсянникова А. В. [и др.] Математическое моделирование влияния спейсеров на массоперенос в электромембранных системах // Вестн. Сам. гос. техн. ун-та. Сер. Физ.-мат. науки, 2022. Т. 26, №3. С. 520–543. EDN: JWREJU. DOI: https://doi.org/10.14498/vsgtu1944.
- Казаковцева Е. В., Коваленко А. В., Письменский А. В., Уртенов М. Х. Гибридный численно-аналитический метод решения задач переноса ионов соли в мембранных системах с осевой симметрией // Вестн. Сам. гос. техн. ун-та. Сер. Физ.-мат. науки, 2024. Т. 28, №1. С. 130–151. EDN: BOXTTX. DOI: https://doi.org/10.14498/vsgtu2043.
- Newman J. S. Electrochemical Systems. Hoboken, N.J.: John Wiley & Sons, Inc., 2004. xx+647 pp.
- Urtenov M. K., Kovalenko A. V., Sukhinov A. I., et al. Model and numerical experiment for calculating the theoretical current-voltage characteristic in electro-membrane systems // IOP Conf. Ser.: Mater. Sci. Eng., 2019. vol. 680. pp. 012030. EDN: AUNMRR. DOI: https://doi.org/10.1088/1757-899X/680/1/012030.
- Kovalenko A. V., Nikonenko V. V., Chubyr N. O., Urtenov M. Kh. Mathematical modeling of electrodialysis of a dilute solution with accounting for water dissociation-recombination reactions // Desalination, 2023. vol. 550, 116398. EDN: UCCTJU. DOI: https://doi.org/10.1016/j.desal.2023.116398.
- Узденова А. М., Коваленко А. В., Уртенов М. Х., Никоненко В. В. Теоретический анализ влияния концентрации ионов в объеме раствора и у поверхности мембраны на массоперенос при сверхпредельных токах // Электрохимия, 2017. Т. 53, №11. С. 1421–1433. EDN: JVMTDS. DOI: https://doi.org/10.7868/S0424857017110032.
- Kovalenko A. V., Yzdenova A. M., Sukhinov A. I., et al. Simulation of galvanic dynamic mode in membrane hydrocleaning systems taking into account space charg // AIP Conf. Proc., 2019. vol. 2188, 050021. EDN: YHCGZX. DOI: https://doi.org/10.1063/1.5138448.
Дополнительные файлы







