Antiplane axisymmetric elastic-plastic shear in an isotropic hardening material
- Authors: Sevastyanov G.M.1
-
Affiliations:
- Institute of Machinery and Metallurgy, Khabarovsk Federal Research Center, Far-East Branch of RAS
- Issue: Vol 28, No 4 (2024)
- Pages: 740-758
- Section: Mechanics of Solids
- URL: https://journals.eco-vector.com/1991-8615/article/view/634110
- DOI: https://doi.org/10.14498/vsgtu2102
- EDN: https://elibrary.ru/KQCUGA
- ID: 634110
Cite item
Full Text
Abstract
The paper presents an analytical solution to the problem of axisymmetric antiplane shear. The deformable material is enclosed between two cylindrical surfaces, one of which is fixed, and the other moves along the generatrix. This problem models a shear-off testing scheme. We use a geometrically nonlinear formulation of the elastic-plastic problem, taking the multiplicative decomposition of the deformation gradient tensor into elastic and plastic parts. The elastic properties of the specimen are described by the Mooney–Rivlin hyperelastic model. We consider an isotropic hardening material with the hardening law that is an arbitrary monotonic function of the accumulated plastic strain. The Tresca yield condition is utilized. The original nonlinear coupled system of partial differential equations is reduced to ordinary linear differential equations, the solution of which requires the calculation of definite integrals. The resulting solution includes deformation in the elastic range, the initiation of plastic flow, propagation of the plastic deformation region, and subsequent intensive plastic flow. The solution is illustrated with examples of materials with linear hardening, quadratic hardening, and Voce-type hardening with saturation. For these examples, ''force – displacement'' relationships, the distribution of accumulated plastic strain over the sample cross-section, and data on the distortion of material fibers, which were located in the radial direction before deformation, are
presented.
Full Text
Введение
Механика материалов описывает их поведение в рамках некоторых математических моделей. В теории пластически упрочняющихся тел, например, принимается, что интенсивность напряжений по Мизесу или Треска (в качестве интенсивности могут быть использованы и другие, более сложные конструкции) при пластическом течении есть некоторая функция накопленной пластической деформации (функция упрочнения). Для нее может быть принят тот или иной вид, включающий коэффициенты (материальные константы), которые можно определить опытным путем, сравнивая экспериментальные данные с численными или аналитическими расчетами по выбранной модели. При этом разные схемы нагружения материала могут дать различающиеся между собой наборы материальных констант. Синтетические тесты, в которых применяется несколько различных схем нагружения, показывают более надежные результаты идентификации материальных параметров [1]. Схемы тестирования с неоднородным напряженным состоянием имеют некоторые преимущества перед схемами с однородным состоянием: реализация однородного состояния требует соблюдения достаточно сложных условий тестирования; тесты с неоднородным состоянием могут предоставить большую информацию о поведении материала [1]. Вместе с тем тесты с неоднородным напряженным состоянием сложнее интерпретировать.
Рис. 1. Реализация антиплоского осесимметричного сдвига (серым цветом выделена область деформации образца; оснастка заштрихована)
[Figure 1. Realization of antiplane axisymmetric shear (the region of sample deformation is highlighted in gray; the equipment is shaded)]
Один из примеров теста с неоднородным напряженным состоянием — тест кручения сплошного цилиндрического образца. Этот тест широко используется, и для соответствующей краевой задачи имеется ряд аналитических решений, учитывающих как нелинейно-упругие свойства материала [2, 3], так и нелинейное упрочнение в пластическом диапазоне [4, 5].
В представленном здесь исследовании дается решение для другой достаточно простой схемы неоднородного деформирования, а именно для антиплоского осесимметричного сдвига. Эта схема может быть реализована с помощью оснастки, описанной в работе [6] (см. также [7]) и приведенной на рис. 1.
Указанный тест предоставляет данные «перемещение пуансона – приложенная нагрузка». Несмотря на то, что представляемое исследование не учитывает накопление поврежденности материала (а значит, не может описать нисходящую часть кривой нагрузки), оно может дать адекватное аналитическое описание процесса при умеренных деформациях вплоть до пикового значения нагрузки.
Осесимметричное антиплоское движение материала (то есть такое, при котором вектор скорости имеет только осевую компоненту, величина которой зависит только от радиальной координаты) рассматривалось при различных краевых условиях в ряде работ в рамках жестковязкопластического [8, 9], а также упруговязкопластического анализа [10] (см. также цитируемую в этих источниках литературу). Вместе с тем при обычных условиях большинство материалов в пластическом диапазоне в большей степени демонстрируют деформационное упрочнение, нежели зависимость предела текучести от скорости деформации. В этом смысле представленное решение, учитывающее изотропное упрочнение, более пригодно для описания тестирования материалов.
1. Постановка задачи
Будем полагать, что область деформации материала расположена между неподвижным внешним кожухом и сердцевиной, на которую давит пуансон (см. рис. 1), т.е. она ограничена цилиндрическими поверхностями с радиусами $R_1$ и $R_0$, $R_1>R_0$ и имеет начальную высоту $H$. Остальная часть образца не деформируется. Таким образом, движение деформируемого материала соответствует кинематике антиплоского сдвига:
\[\begin{equation}
r=R,\quad z=Z+w (R, t ),\quad \varphi=\theta,
\end{equation} \tag{1} \]
где $w (R, t )\geqslant 0$ — функция осевого перемещения с граничными условиями
\[\begin{equation}
w (R_1, t )=0,\quad w (R_0, t )=w^* (t ).
\end{equation} \tag{2} \]
Здесь $(R, \theta, Z )$ и $ (r, \varphi, z )$ — цилиндрические координаты точки среды в недеформированном и деформированном состоянии соответственно; $t$ — время.
1.1. Модель материала
Для несжимаемой гиперупругой среды примем модель Муни–Ривлина:
\[\begin{equation}
\mathbf{\sigma}=-p\mathbf{I}+2\mathbf{B}^{e}\frac{\partial\Psi}{\partial\mathbf{B}^e},
\quad
\Psi=C_1 [I_1 (\mathbf{B}^e )-3 ]+C_2 [I_2 (\mathbf{B}^e )-3 ].
\end{equation} \tag{3} \]
Условие несжимаемости $\det \mathbf{B}^e=1$. Здесь $\mathbf{\sigma}$ — тензор напряжений Коши; $\mathbf{I}$ — единичный тензор; $\mathbf{B}^e$ — упругая часть левого тензора деформаций Коши–Грина $\mathbf{B}=\mathbf{F}\mathbf{F}^{\top}$; $\mathbf{F}= (\nabla_X\otimes x )^{\top}$ — тензор градиента деформации; $X$, $x$ — векторы места материальной точки в исходном и деформированном состоянии соответственно; $I_1 (\mathbf{B}^e )=\operatorname{tr}\mathbf{B}^e$, $2I_2 (\mathbf{B}^e )=\operatorname{tr}^2 (\mathbf{B}^e )-\operatorname{tr} (\mathbf{B}^e )^2$ — инварианты $\mathbf{B}^e$; $\Psi$ — упругий потенциал; $C_1>0$ и $C_2\geqslant 0$ — упругие константы Муни–Ривлина. Удобно ввести следующие обозначения: $\mu=2 (C_1+C_2 )$, $\alpha= (C_1-C_2 ) (C_1+C_2 )^{-1}$, $-1\leqslant\alpha\leqslant 1$; $4C_1=\mu (1+\alpha )$, $4C_2=\mu (1-\alpha )$. Неогуковскому материалу соответствует $\alpha=1$; $\mu$ — модуль сдвига. Функция свободной энергии (3) — общее представление с погрешностью четвертого порядка относительно градиента перемещения для несжимаемого изотропного материала [11]. Эта модель обычно используется для резиноподобных и полимерных материалов [12, 13], однако нелинейно-упругий закон (3) с некоторой погрешностью может быть применен и для других слабосжимаемых материалов при умеренных величинах упругой деформации сдвига.
Из (3) следует, что
\[\begin{equation}
\mathbf{\tilde{\sigma}}=-\tilde{p}\mathbf{I}+\Bigl(\frac{1+\alpha}{2}+\frac{1-\alpha}{2}\operatorname{tr}\mathbf{B}^e\Bigr)\mathbf{B}^e-\frac{1-\alpha }{2} (\mathbf{B}^e )^2.
\end{equation} \tag{4} \]
Здесь и далее тильда означает безразмерную величину напряжения, полученную нормированием на модуль сдвига $\mu$.
Пластическое деформирование описывается условием текучести Треска, обобщенным на случай изотропного упрочнения, и ассоциированным с ним законом:
\[\begin{equation}
\Phi=\frac{\sigma_1-\sigma_3}{2}-\tau_y\left(q\right)=0,
\end{equation} \tag{5} \]
\[\begin{equation}
\mathbf{D}^p=\Lambda\frac{\partial\Phi}{\partial\mathbf{\sigma}}.
\end{equation} \tag{6} \]
Здесь $\tau_y (q )$ — произвольная монотонная функция упрочнения, параметром которой выступает накопленная пластическая деформация $q$, определяющаяся уравнением $\dot{q}=\sqrt{ (2/3 )\operatorname{tr} (\mathbf{D}^p )^2}$. Здесь и далее точка над символом обозначает полную материальную производную по времени $\dot{( )}={\partial( )}/{\partial t}+ (\mathbf{v}\nabla_x ) ( )$; $\mathbf{v}=\mathbf{\dot{u}}$ — вектор скорости; $\nabla_x$ — оператор Гамильтона в базисе деформированного состояния. Тензор $\mathbf{D}^p$ — скорость пластической деформации, $\Lambda$ — неопределенный скалярный множитель Лагранжа. Начальный предел текучести на сдвиг обозначим $\tau_{y0}=\tau_y (0 )$.
1.2. Разделение деформации на упругую и пластическую составляющие
Будем использовать мультипликативное разделение тензора градиента деформации $\mathbf{F}$ на упругую и пластическую составляющие [14–16]:
\[ \begin{equation*}
\mathbf{F}=\mathbf{F}^e\mathbf{F}^p,\quad
\mathbf{F}^p= (\mathbf{F}^p )^{\top}.
\end{equation*} \]
Последнее равенство означает, что пластическая деформация осуществляется без вращения (подробнее см. [15, 17]).
Такое разделение приводит к эволюционному уравнению для тензора упругой деформации $\mathbf{B}^e$ [18]:
\[\begin{equation}
\partial_{Old} (\mathbf{B}^e )=\mathbf{\dot{B}}^e-\mathbf{L}\mathbf{B}^e-\mathbf{B}^e\mathbf{L}^{\top}=-2\mathbf{B}^e\mathbf{D}^p.
\end{equation} \tag{7} \]
Здесь $\partial_{Old} ( )$ обозначает производную Олдройда; $\mathbf{L}= (\nabla_x\otimes\mathbf{v} )^{\top}$ — пространственный тензор градиента скорости. Уравнение (7) описывает изменение тензора упругой деформации в области пластического течения, при этом начальные значения компонент этого тензора определяются решением упругой задачи.
1.3. Кинематика антиплоского сдвига
Исходя из (1), несимметричный тензор градиента деформации $\mathbf{F}$ отличается от единичного тензора единственной компонентой $F_{zR}=\partial w/\partial R$. Левый тензор деформации Коши–Грина имеет координатное представление
\[\begin{equation}
[\mathbf{B} ]= [\mathbf{F}\mathbf{F}^{\top} ]=
\left[
\begin{matrix}
1 & 0 & \partial w/\partial R \\
0 & 1 & 0 \\
\partial w/\partial R & 0 & 1+\left(\partial w/\partial R\right)^2 \\
\end{matrix}
\right].
\end{equation} \tag{8} \]
Вектор перемещений имеет единственную ненулевую компоненту ${u_z=w}$, аналогично, единственная ненулевая компонента вектора скорости $v_z=\partial w/\partial t$.
2. Упругое деформирование
На стадии чисто упругого деформирования во всем теле тензоры полной деформации и упругой деформации совпадают, $\mathbf{B}^e=\mathbf{B}$ и по (4) и (8) компоненты тензора напряжений имеют выражение
\[\begin{equation}
\begin{aligned}
\tilde{\sigma}_{rr}&=-\tilde{p}+\frac{3-\alpha}{2}, \\
\tilde{\sigma}_{\varphi\varphi}&=\tilde{\sigma}_{rr}+\frac{1-\alpha}{2}\Bigl(\frac{\partial w}{\partial r}\Bigr)^2,\\
\tilde{\sigma}_{zz}&=\tilde{\sigma}_{rr}+\Bigl(\frac{\partial w}{\partial r}\Bigr)^2,\\
\tilde{\sigma}_{rz}&=\frac{\partial w}{\partial r}.
\end{aligned}
\end{equation} \tag{9} \]
Поскольку деформирование осуществляется не за счет градиента давления, а только за счет перемещения цилиндрических поверхностей $R=R_0$ и $R=R_1$ друг относительно друга, разумно предположить, что напряженное состояние не зависит от продольной координаты $z$, и, в частности, $\partial \tilde{p}/\partial z=0$.
Тогда условие равновесия $\nabla\cdot\mathbf{\sigma}=\mathbf{0}$ приводит к следующим уравнениям:
\[\begin{equation}
r\frac{\partial\tilde{\sigma}_{rr}}{\partial r}=\tilde{\sigma}_{\varphi\varphi}-\tilde{\sigma}_{rr},\quad
\frac{1}{r}\frac{\partial}{\partial r} (r\tilde{\sigma}_{rz} )=-\frac{\partial\tilde{\sigma}_{zz}}{\partial z}=\frac{\partial\tilde{p}}{\partial z}=0.
\end{equation} \tag{10} \]
Второе из этих уравнений с учетом последнего уравнения (9) позволяет найти
\[ \begin{equation*}
\tilde{\sigma}_{rz}=-\frac{A}{r},\quad
\frac{\partial w}{\partial r}=-\frac{A}{r},\quad w=w_0-A\ln r,
\end{equation*} \]
где $A=A (t )\geqslant 0$ и $w_0>0$ есть константы интегрирования. Учитывая граничные условия (2), имеем
\[\begin{equation}
A (t)=\frac{w^* (t)}{\ln\delta},\quad
w_0=w^*(t)\frac{\ln R_1}{\ln\delta},\quad \delta=\frac{R_1}{R_0}>1
\end{equation} \tag{11} \]
и
\[\begin{equation}
\tilde{\sigma}_{rz}=\frac{\partial w}{\partial r}=-\frac{w^*}{\ln\delta}\frac{1}{r},
\quad
w=\frac{w^*}{\ln\delta}\ln\frac{R_1}{r}.
\end{equation} \tag{12} \]
Первое уравнение (10) служит для установления функции добавочного давления $\tilde{p}$.
3. Возникновение пластического течения
Формулы (9) позволяют получить выражения для главных напряжений:
\[ \begin{align*}
\tilde{\sigma}_{\tt I} &=\frac{\tilde{\sigma}_{zz}+\tilde{\sigma}_{rr}}{2}+
\sqrt{\Bigl(\frac{\tilde{\sigma}_{zz}-\tilde{\sigma}_{rr}}{2}\Bigr)^2+\tilde{\sigma}_{rz}^2}={}
\\
&
\qquad {} =-\tilde{p}+\frac{3-\alpha}{2}+\frac{1}{2}\Bigl(\frac{\partial w}{\partial r}\Bigr)^2+\sqrt{\Bigl(\frac{\partial w}{\partial r}\Bigr)^2+\frac{1}{4}\Bigl(\frac{\partial w}{\partial r}\Bigr)^4},
\\
\tilde{\sigma}_{\tt II}&=\tilde{\sigma}_{\varphi\varphi}=-\tilde{p}+\frac{3-\alpha}{2}+\frac{1-\alpha}{2}\Bigl(\frac{\partial w}{\partial r}\Bigr)^2,
\\
\tilde{\sigma}_{\tt III}&=\frac{\tilde{\sigma}_{zz}+\tilde{\sigma}_{rr}}{2}-\sqrt{\Bigl(\frac{\tilde{\sigma}_{zz}-\tilde{\sigma}_{rr}}{2}\Bigr)^2+\tilde{\sigma}_{rz}^2}={}
\\
& \qquad {} =-\tilde{p}+\frac{3-\alpha}{2}+\frac{1}{2}\Bigl(\frac{\partial w}{\partial r}\Bigr)^2-\sqrt{\Bigl(\frac{\partial w}{\partial r}\Bigr)^2+\frac{1}{4}\Bigl(\frac{\partial w}{\partial r}\Bigr)^4}.
\end{align*} \]
Далее имеем
\[ \begin{align*}
\tilde{\sigma}_{\tt I}-\tilde{\sigma}_{\tt II}&=\frac{\alpha}{2}\Bigl(\frac{\partial w}{\partial r} \Bigr)^2+
\sqrt{\Bigl(\frac{\partial w}{\partial r}\Bigr)^2+\frac{1}{4}\Bigl(\frac{\partial w}{\partial r}\Bigr)^4}> {}
\\
& \qquad {}>\frac{\alpha}{2}\Bigl(\frac{\partial w}{\partial r}\Bigr)^2+
\frac{1}{2}\Bigl(\frac{\partial w}{\partial r}\Bigr)^2=
\frac{1+\alpha}{2}\Bigl(\frac{\partial w}{\partial r}\Bigr)^2,
\\
\tilde{\sigma}_{\tt II}-\tilde{\sigma}_{\tt III}&=-\frac{\alpha}{2}\Bigl(\frac{\partial w}{\partial r}\Bigr)^2+
\sqrt{\Bigl(\frac{\partial w}{\partial r}\Bigr)^2+\frac{1}{4}\Bigl(\frac{\partial w}{\partial r}\Bigr)^4}> {}
\\
& \qquad {} >-\frac{\alpha}{2}\Bigl(\frac{\partial w}{\partial r}\Bigr)^2+
\frac{1}{2}\Bigl(\frac{\partial w}{\partial r}\Bigr)^2=
\frac{1-\alpha}{2}\Bigl(\frac{\partial w}{\partial r}\Bigr)^2.
\end{align*} \]
Поскольку $-1\leqslant \alpha\leqslant 1$, $\sigma_{\tt II}=\sigma_{\varphi\varphi}$ — промежуточное главное напряжение, $\sigma_1=\sigma_{\tt I}$ — максимальное главное напряжение, $\sigma_3=\sigma_{\tt III}$ — минимальное главное напряжение.
Запишем условие возникновения пластического течения, которое должно выполняться на упругопластической границе $r=r_{ep}$ (с учетом того, что на упругопластической границе накопленная пластическая деформация равна нулю, $q \bigr|_{r=r_{ep}}=0$:
\[ \begin{equation*}
\frac{\tilde{\sigma}_1-\tilde{\sigma}_3}{2}\Bigr|_{r=r_{ep}}=
\Bigl|\frac{\partial w}{\partial r}\Bigr|_{r=r_{ep}}
\sqrt{1+\frac{1}{4}\Bigl[ \frac{\partial w}{\partial r}\Bigr|_{r=r_{ep}}\Bigr]^2}=\frac{\tau_{y0}}{\mu}=\tilde{\tau}_{y0}.
\end{equation*} \]
Отсюда
\[ \begin{equation}
\frac{\partial w}{\partial r}\Bigr|_{r=r_{ep}}=-\sqrt{2\Bigl(\sqrt{1+\tilde{\tau}_{y0}^2}-1\Bigr)}.
\end{equation} \tag{13} \]
Поскольку, согласно (12), величина $\partial w/\partial r$ обратно пропорциональна радиальной координате, пластическое течение зарождается на внутренней границе области деформирования $r=r_0$ при величине смещения
\[ \begin{equation*}
w^*=w_{cr1}^*=R_0\ln\delta\sqrt{2\Bigl(\sqrt{1+\tilde{\tau}_{y0}^2}-1\Bigr)}.
\end{equation*} \]
При $w_{cr1}^*<w^*<w_{cr2}^*$ в теле существуют две области: область ${R_0\leqslant r<r_{ep}}$, в которой происходит упругопластическое деформирование, и область $r_{ep} <r \leqslant R_1$, которая остается деформированной чисто упруго. При $w^*\geqslant w_{cr2}^*$ упругая область полностью исчезает, пластическое течение охватывает все тело. Выражение для $w_{cr2}^*$ будет приведено позже. Полагается, что $w$ и $\partial w/\partial r$ непрерывны на упругопластической границе.
4. Область упругого деформирования
В упругой области ${r_{ep}<r\leqslant R_1}$ сохраняется равенство $\mathbf{B}^e=\mathbf{B}$, где $\mathbf{B}$ определяется по (8), и верны выражения (9) для компонент напряжения, а также равенства
\[ \begin{equation}
\tilde{\sigma}_{rz}=-\frac{A^e}{r},\quad w=w_0^e-A^e\ln r.
\end{equation} \tag{14} \]
Однако теперь $A^e$ и $w_0^e$ уже не совпадают с $A$ и $w_0$ из чисто упругого решения (11). Граничное условие $w\bigr|_{r=R_1}=0$ как и прежде позволяет выразить $w_0^e=A^e\ln R_1$ и, следовательно,
\[ \begin{equation}
w=A^e\ln\frac{R_1}{r},\quad \frac{\partial w}{\partial r}=-\frac{A^e}{r} .
\end{equation} \tag{15} \]
По (13) с учетом (15) имеем
\[ \begin{equation}
\frac{A^e}{r_{ep}}=\sqrt{2\Bigl(\sqrt{1+\tilde{\tau}_{y0}^2}-1\Bigr)}.
\end{equation} \tag{16} \]
Для определения закона движения упругопластической границы $r =r_{ep} (w^*)$ необходимо знать $A^e (w^* )$. А для определения этой функции по формуле (15) требуется значение $w \bigr|_{r=r_{ep}}$, которое может быть найдено только из решения в области упругопластического деформирования.
5. Область упругопластического деформирования
В этой области $\mathbf{B}^e\ne\mathbf{B}$; тензор упругой деформации определяется эволюционным уравнением (7). Мы будем искать координатное представление этого тензора в области пластического течения в виде
\[ \begin{equation}
\left[\mathbf{B}^e\right]=\left[
\begin{matrix}
B_{rr}^e & 0 & B_{rz}^e \\
0 & 1 & 0 \\
B_{rz}^e & 0 & B_{zz}^e \\
\end{matrix}
\right],
\quad
\det\mathbf{B}^e=B_{rr}^e B_{zz}^e-\left(B_{rz}^e\right)^2=1 .
\end{equation} \tag{17} \]
Несимметричный тензор градиента скорости $\mathbf{L}=\left(\nabla_x\otimes\mathbf{v}\right)^{\top}$ в (7) имеет единственную ненулевую компоненту:
\[ \begin{equation}
L_{zr}=\frac{\partial v_z}{\partial r}=\frac{\partial^2 w}{\partial r\partial t}.
\end{equation} \tag{18} \]
Компоненты тензора $\mathbf{B}^e$ не зависят от координаты $z$, тогда $ (\mathbf{v}\nabla_x )\mathbf{B}^e=\mathbf{0}$.
Упругий закон (4) с учетом (17) позволяет выразить в пластической области компоненты напряжений в виде
\[ \begin{equation}
\begin{aligned}
&\tilde{\sigma}_{rr}=-\tilde{p}+\frac{1-\alpha}{2}+B_{rr}^e, \\
&\tilde{\sigma}_{\varphi\varphi }=-\tilde{p}+\frac{1+\alpha}{2}+\frac{1-\alpha}{2} (B_{rr}^e+B_{zz}^e ), \\
&\tilde{\sigma}_{zz}=-\tilde{p}+\frac{1-\alpha}{2}+B_{zz}^e, \\
&\tilde{\sigma}_{rz}=B_{rz}^e.
\end{aligned}
\end{equation} \tag{19} \]
Уравнение равновесия в пластической области так же, как и в упругой, дает $\partial (\tilde{\sigma}_{rz}r )/\partial r=0$, и непрерывность касательного напряжения на упругопластической границе позволяет получить равенство, идентичное (14):
\[ \begin{equation*}
\tilde{\sigma}_{rz}=B_{rz}^e=-\frac{A^e}{r}.
\end{equation*} \]
Из (19) можно получить
\[ \begin{align*}
\tilde{\sigma}_{{\tt I}, {\tt III}} &=\frac{\tilde{\sigma}_{zz}+\tilde{\sigma}_{rr}}{2}\pm\sqrt{\Bigl(\frac{\tilde{\sigma}_{zz}-\tilde{\sigma}_{rr}}{2}\Bigr)^2+\tilde{\sigma}_{rz}^2}=
-\tilde{p}+\frac{1-\alpha}{2}+\Sigma\pm\sqrt{\Sigma^2-1},
\\
\tilde{\sigma}_{\tt II} &=\tilde{\sigma}_{\varphi\varphi }=-\tilde{p}+\frac{1+\alpha}{2}+\Sigma\left(1-\alpha\right)
\end{align*} \]
и, следовательно,
\[ \begin{align*}
\tilde{\sigma}_{\tt I}-\tilde{\sigma}_{\tt II} &=\alpha (\Sigma-1 )+\sqrt{\Sigma^2-1}>
\alpha (\Sigma-1 ) + (\Sigma-1 )= (\alpha+1 ) (\Sigma-1 )\geqslant 0, \\
\tilde{\sigma}_{\tt II}-\tilde{\sigma}_{\tt III} &=\alpha (1-\Sigma ) +
\sqrt{\Sigma^2-1} > \alpha (1-\Sigma ) + (\Sigma-1 ) = (\Sigma-1 ) (1-\alpha )\geqslant 0.
\end{align*} \]
Здесь введено обозначение $\Sigma= (B_{rr}^e+B_{zz}^e )/2$. Таким образом, $\sigma_{\tt II}=\sigma_{\varphi\varphi}$ остается промежуточным главным напряжением в пластической области; $\sigma_1=\sigma_{\tt I}$, $\sigma_3=\sigma_{\tt III}$.
Условие пластичности (5) может быть записано в виде
\[ \begin{equation}
\frac{\tilde{\sigma}_1-\tilde{\sigma}_3}{2}=\tilde{\tau}_y=\sqrt{\Sigma^2-1}.
\end{equation} \tag{20} \]
По (6) с учетом (19) тензор скорости пластической деформации имеет следующие ненулевые компоненты:
\[ \begin{equation}
D_{zz}^p =-D_{rr}^p=\frac{\Lambda}{2\tilde{\tau}_y}\frac{\tilde{\sigma}_{zz}-\tilde{\sigma}_{rr}}{2}=\frac{\Lambda}{2\tilde{\tau}_y}\frac{B_{zz}^e-B_{rr}^e}{2},
\end{equation} \tag{21} \]
\[ \begin{equation*}
D_{rz}^p =\frac{\Lambda}{2\tilde{\tau}_y}\tilde{\sigma}_{rz}=\frac{\Lambda}{2\tilde{\tau}_y}B_{ez}^e.
\end{equation*} \]
Уравнение для накопленной пластической деформации с учетом (19) и (21) принимает вид
\[ \begin{equation*}
\dot{q}=\sqrt{ (2/3 )\mathbf{D}^p:\mathbf{D}^p}=(2/\sqrt{3})
\sqrt{ (D_{zz}^p )^2 + (D_{rz}^p )^2} =
\frac{\Lambda}{\sqrt{3}\tilde{\tau}_y}\sqrt{\Sigma^2-1}=
\frac{\Lambda }{\sqrt{3}}.
\end{equation*} \]
При этом, учитывая, что $\partial q/\partial z=0$, имеем $\dot{q}=\partial q/\partial t$.
Подставляя (17), (18), (21) в (7), запишем уравнения изменения компонент тензора упругой деформации $\mathbf{B}^e$:
\[ \begin{equation}
\begin{aligned}
\frac{\partial B_{rr}^e}{\partial t}
&=-\frac{\sqrt{3}}{\tilde{\tau}_y}\frac{\partial q}{\partial t}
\Bigl(B_{rr}^e\frac{B_{zz}^e+B_{rr}^e}{2}-1\Bigr),
\\
\frac{\partial B_{rz}^e}{\partial t}-B_{rr}^e\frac{\partial^2 w}{\partial t\partial r}
&=-\frac{\sqrt{3}}{\tilde{\tau}_y}\frac{\partial q}{\partial t}\frac{B_{rr}^e+B_{zz}^e}{2}B_{rz}^e,
\\
\frac{\partial B_{zz}^e}{\partial t}-2B_{rz}^e\frac{\partial^2 w}{\partial t\partial r}
&=-\frac{\sqrt{3}}{\tilde{\tau}_y}\frac{\partial q}{\partial t}\Bigl(B_{zz}^e\frac{B_{rr}^e+B_{zz}^e}{2}-1\Bigr),
\end{aligned}
\end{equation} \tag{22} \]
остальные компоненты не изменяются при пластическом деформировании; из трех уравнений выше независимы только два из-за условия несжимаемости $B_{rr}^e B_{zz}^e-1= (B_{rz}^e)^2$.
Далее, согласно (20), нам известно выражение для $\Sigma= (B_{rr}^e+B_{zz}^e )/{2}$ в виде функции накопленной пластической деформации:
\[ \begin{equation*}
\Sigma=\sqrt{\tilde{\tau}_y^2+1}.
\end{equation*} \]
Если теперь предположить, что компоненты упругой деформации, а также функция $G=\partial w/\partial r$, которая характеризует искривление материальных волокон, расположенных в недеформированном состоянии в радиальном направлении, являются функциями одной переменной $q$ (накопленной пластической деформации), то система уравнений (22) может быть записана в следующем виде:
\[ \begin{align*}
\frac{1}{\sqrt{\tilde{\tau}_y^2+1}}\frac{1}{\sqrt{3}}\frac{d\tilde{\tau}_y}{dq}
&=\frac{1}{\sqrt{3}}\frac{B_{rz}^e}{\tilde{\tau}_y}\frac{dG}{dq}-1,
\\
\frac{1}{\sqrt{3}}\frac{dB_{rz}^e}{dq}
&=\Bigl[\sqrt{\tilde{\tau}_y^2+1}-\sqrt{\tilde{\tau}_y^2- (B_{rz}^e )^2} \Bigr]
\frac{1}{\sqrt{3}}\frac{dG}{dq}-\frac{\sqrt{\tilde{\tau}_y^2+1}}{\tilde{\tau}_y}B_{rz}^e.
\end{align*} \]
Здесь учтено, что $B_{rr}^e=\sqrt{\tilde{\tau}_y^2+1}-\sqrt{\tilde{\tau}_y^2- (B_{rz}^e )^2}$. Это выражение следует из условия несжимаемости $B_{rr}^e B_{zz}^e-1=\left(B_{rz}^e\right)^2$ и равенства $\Sigma= (B_{rr}^e+B_{zz}^e )/2 =\sqrt{\tilde{\tau}_y^{2}+1}$.
Или, исключая $dG/dq$ из первого уравнения этой системы:
\[ \begin{equation}
\begin{aligned}
\frac{1}{\sqrt{3}}\frac{dG}{dq}
&=\frac{\tilde{\tau}_y}{B_{rz}^e} \Bigl(\frac{1}{\sqrt{\tilde{\tau}_y^2+1}}\frac{1}{\sqrt{3}}\frac{d\tilde{\tau}_y}{dq}+1\Bigr),
\\
\frac{1}{\sqrt{3}}\frac{dB_{rz}^e}{dq}B_{rz}^e
&=-\frac{\sqrt{\tilde{\tau}_y^2+1}}{\tilde{\tau}_y} (B_{rz}^e )^2+ {} \\
&\qquad {}+\Bigl[\sqrt{\tilde{\tau}_y^2+1}-\sqrt{\tilde{\tau}_y^2- (B_{rz}^e )^2}\Bigr]
\Bigl[\frac{\tilde{\tau}_y}{\sqrt{\tilde{\tau}_y^2+1}}\frac{1}{\sqrt{3}}\frac{d\tilde{\tau}_y}{dq}+\tilde{\tau}_y\Bigr].
\end{aligned}
\end{equation} \tag{23} \]
Замечание (существование решения). Поскольку условия равновесия требуют, чтобы касательное напряжение по абсолютной величине убывало обратно пропорционально радиальной координате $r$, а накопленная пластическая деформация также убывает с ростом $r$, правая часть в последнем уравнении системы (23) должна быть положительной. Можно понять, что это возможно не при любых функциях упрочнения.
В частности, для неупрочняемого материала в момент начала пластического течения $\Bigl($при $B_{rz}^e=-\sqrt{2 \Bigl(\sqrt{1+\tilde{\tau}_{y0}^2}-1 \Bigr)} \Bigr)$ имеем
\[ \begin{multline*}
-\frac{\sqrt{\tilde{\tau}_{y0}^2+1}}{\tilde{\tau}_{y0}} (B_{rz}^e )^2+
\Bigl[\sqrt{\tilde{\tau}_{y0}^2+1}-\sqrt{\tilde{\tau}_{y0}^2- (B_{rz}^e )^2} \Bigr]\tilde{\tau}_{y0}= {}
\\
{}=-\frac{2\sqrt{\tilde{\tau}_{y0}^2+1}\Bigl(\sqrt{\tilde{\tau}_{y0}^2+1}-1\Bigr)}{\tilde{\tau}_{y0}}+\tilde{\tau}_{y0}
=-\frac{\Bigl(\sqrt{\tilde{\tau}_{y0}^2+1}-1\Bigr)^2}{\tilde{\tau}_{y0}}<0.
\end{multline*} \]
Уравнение, совпадающее с последним уравнением в системе (23), было получено для кругового упругопластического сдвига в [18]. Там же были приведены условия, налагаемые на функцию упрочнения, которые обеспечивают существование решения (правда, достаточно жесткие; для существования решения в некотором интервале нагрузки достаточно просто монотонного роста предела текучести с ростом пластической деформации).
Введем новую функцию $\Omega=\sqrt{1- (\tilde{\sigma}_{rz}/\tilde{\tau}_y )^2}=\sqrt{1- (B_{rz}^e/\tilde{\tau}_y)^2}$, $\Omega\in [0{,} 1 ]$, которая показывает, насколько напряженное состояние в точке отличается от состояния чистого сдвига. Тогда система уравнений (23) принимает простой вид:
\[ \begin{equation*}
\frac{dG}{dq}=-\frac{f_1}{\sqrt{1-\Omega^2}}, \quad
\frac{d\Omega}{dq}= (1-\Omega f_2 )f_1,
\end{equation*} \]
где $f_1 (q )=\sqrt{3}+\dfrac{1}{\sqrt{\tilde{\tau}_y^2 (q )+1}}\dfrac{d\tilde{\tau}_y (q )}{dq}$, $f_2 (q )=\dfrac{\sqrt{\tilde{\tau}_y^2 (q )+1}}{\tilde{\tau}_y (q )}$. Второе из этих уравнений — линейное ОДУ с решением
\[ \begin{equation}
\Omega (q )= \Omega (0 )+\int _{0}^{q} f_1 (\xi )e^{\normalsize -\int _{\xi}^{q}f_1 (\zeta )f_2 (\zeta )d\zeta} d\xi,
\end{equation} \tag{24} \]
первое же, после того как найдена функция $\Omega (q )$, позволяет найти функцию $G (q )=\partial w/\partial r$ прямым интегрированием:
\[ \begin{equation}
G (q )=G (0 )-\int _{0}^{q}\frac{f_1 (\varsigma )}{\sqrt{1-\Omega^2 (\varsigma )}}d\varsigma .
\end{equation} \tag{25} \]
Значения $\Omega (0 )$ и $G (0 )$ соответствуют упругопластической границе, где согласно (14), (15) и (16)
\[ \begin{equation}
B_{rz}^e\bigr|_{r=r_{ep}}= \frac{\partial w}{\partial r}\Bigr|_{r=r_{ep}}=
G (0 )=-\frac{A^e}{r_{ep}}=-\sqrt{2\Bigl(\sqrt{1+\tilde{\tau}_{y0}^2}-1\Bigr)}
\end{equation} \tag{26} \]
и, следовательно,
\[ \begin{equation}
\Omega (0 )=\sqrt{1-\bigl( B_{rz}^e\bigr|_{r=r_{ep}}/\tilde{\tau}_{y0}\bigr)^2}=
\frac{\sqrt{1+\tilde{\tau}_{y0}^2}-1}{\tilde{\tau}_{y0}}.
\end{equation} \tag{27} \]
Равенство
\[ \begin{equation}
B_{rz}^e=-\frac{A^e}{r}=-\tilde{\tau}_y (q )\sqrt{1-\Omega^2 (q )}
\end{equation} \tag{28} \]
позволяет (в неявном виде) установить распределение накопленной пластической деформации по радиусу образца. Остается только связать величину $A^e$ с величиной осевого смещения $w^*$ внутренней цилиндрической поверхности относительно внешней. Далее удобно использовать в качестве параметра нагружения (после начала пластического течения) величину накопленной пластической деформации на внутренней цилиндрической поверхности $q\bigr|_{r=R_0}=q^{in}$. Величина $A^e$ связана с этим параметром выражением $A^e=R_0\tilde{\tau}_y (q^{in} )\sqrt{1-\Omega^2 (q^{in} )}$.
Поле перемещений в области упругопластического деформирования ${r_{ep}<r<R_0}$ определяется интегрированием функции $G (q )=\partial w/\partial r$. С учетом (28), накопленная пластическая деформация является функцией автомодельной переменной $A^e/r$, тогда можно записать следующие равенства:
\[ \begin{equation*}
G (q )=\frac{\partial w}{\partial r}=\frac{\partial w}{\partial q}\frac{\partial q}{\partial r}=\frac{\partial w}{\partial q}\frac{dq}{d (A^e/r )}\frac{\partial (A^e/r )}{\partial r} =-\frac{\partial w}{\partial q}\frac{1}{A^e}\Bigl(\frac{A^e}{r}\Bigr)^2\Bigl[\frac{d (A^e/r )}{dq}\Bigr]^{-1}.
\end{equation*} \]
и, следовательно,
\[ \begin{multline}
\frac{\partial w}{\partial q}=-A^e G\frac{d (A^e/r )}{dq}
\Bigl(\frac{A^e}{r}\Bigr)^{-2} = {}
\\
{} =R_0\tilde{\tau}_y (q^{in} )\sqrt{1-\Omega^2 (q^{in} )}G\frac{d}{dq}\Bigl[\frac{1}{\tilde{\tau}_y\sqrt{1-\Omega^2}}\Bigr].
\end{multline} \tag{29} \]
Интегрируя (29) по частям с граничным условием на упругопластической границе, которое следует из (15) и (16)
\[ \begin{multline*}
w\bigr|_{r=r_{ep}} = A^e\ln\frac{R_1}{r_{ep}}=
A^e\ln\Bigl\{\frac{R_1}{A^e}\sqrt{2\Bigl(\sqrt{1+\tilde{\tau}_{y0}^2}-1\Bigr)}\Bigr\}= {}
\\
{} =R_0\tilde{\tau}_y (q^{in} ) \sqrt{1-\Omega^2 (q^{in} )}
\ln\Biggl\{\frac{R_1\sqrt{2\Bigl(\sqrt{1+\tilde{\tau}_{y0}^2}-1\Bigr)}}{R_0\tilde{\tau}_y (q^{in} )\sqrt{1-\Omega^2 (q^{in} )}}\Biggr\} ,
\end{multline*} \]
имеем
\[ \begin{multline*}
w= w\bigr|_{r=r_{ep}} + R_0\tilde{\tau}_y (q^{in} ) \sqrt{1-\Omega^2 (q^{in} )}
\int _{0}^{q} G\frac{d}{dq}\Bigl[\frac{1}{\tilde{\tau}_y\sqrt{1-\Omega^2}}\Bigr]dq= {}
\\
{}= w\bigr|_{r=r_{ep}} + R_0\tilde{\tau}_y (q^{in}) \sqrt{1-\Omega^2 (q^{in} )}\times {} \hspace{4cm}
\\
{}\times\Biggl\{\frac{G (q )}{\tilde{\tau}_y (q )\sqrt{1-\Omega^2 (q )}}-
\frac{G (0 )}{\tilde{\tau}_{y0}\sqrt{1-\Omega^2 (0 )}}+
\int _{0}^{q} \frac{f_1}{\tilde{\tau}_y (1-\Omega^2 )}dq \Biggr\}={}
\\
{}=R_0\tilde{\tau}_y\left(q^{in}\right)\sqrt{1-\Omega^2\left(q^{in}\right)}\times {} \hspace{5cm}
\\
{}
\times\Biggl\{
\ln\Biggl[\frac{R_1\sqrt{2\Bigl(\sqrt{1+\tilde{\tau}_{y0}^2}-1\Bigr)}}{R_0\tilde{\tau}_y (q^{in} )
\sqrt{1-\Omega^2 (q^{in} )}}\Biggr]+
\frac{G (q )}{\tilde{\tau}_y (q )\sqrt{1-\Omega^2 (q )}}+1+
\int _{0}^{q}{\frac{f_1}{\tilde{\tau}_y (1-\Omega^2 )}}dq
\Biggr\} .
\end{multline*} \]
Это равенство при $q=q^{in}$ связывает $w^*$ с параметром $q^{in}$. Теперь по (16) можно указать, при каком значении смещения $w^*$ пластическое течение достигнет внешней границы области деформирования:
\[ \begin{equation*}
w_{cr2}^*= w\bigr|_{q=q_{cr2}^{in}},
\end{equation*} \]
где $q_{cr2}^{in}$ — корень алгебраического уравнения
\[ \begin{equation}
\tilde{\tau}_y (q^{in} )\sqrt{1-\Omega^2 (q^{in} )}=\frac{R_1}{R_0}\sqrt{2\Bigl(\sqrt{1+\tilde{\tau}_{y0}^2}-1\Bigr)}.
\end{equation} \tag{30} \]
6. Деформирование при развитом пластическом течении
Когда смещение цилиндрических поверхностей образца друг относительно друга превышает величину $w_{cr2}^*$, которая определена в предыдущем разделе, вся область деформирования находится в состоянии пластического течения.
В этом случае решение строится таким же образом, как и в предыдущем разделе, за исключением того, что константа интегрирования в уравнении (29) находится не из условия на упругопластической границе, а из условия на внешней границе области деформирования образца $w\bigr|_{r=R_1}=0$:
\[ \begin{multline*}
w=R_0\tilde{\tau}_y (q^{in} )\sqrt{1-\Omega^2 (q^{in} )}
\int_{q^{out}}^{q} G\frac{d}{dq}\Bigl[\frac{1}{\tilde{\tau}_y\sqrt{1-\Omega^2}}\Bigr]dq= {}
\\
{}=R_0\tilde{\tau}_y (q^{in} )\sqrt{1-\Omega^2 (q^{in} )}\times {} \hspace{6cm}
\\
{}\times\Biggl\{
\frac{G (q )}{\tilde{\tau}_y (q )\sqrt{1-\Omega^2 (q)}}-
\frac{G (q^{out} )}{\tilde{\tau}_y (q^{out} )\sqrt{1-\Omega^2 (q^{out} )}}+
\int_{q^{out}}^{q} \frac{f_1 (\zeta )}{\tilde{\tau}_y (\zeta ) [1-\Omega^2 (\zeta ) ]}d\zeta
\Biggr\}.
\end{multline*} \]
Здесь $q^{out}$ — величина накопленной пластической деформации на внешней границе области деформирования, которая, согласно (28), связана с величиной $q^{in}$ равенством $R_0\tilde{\tau}_y (q^{in} )\sqrt{1-\Omega^2 (q^{in})}=R_1\tilde{\tau}_y (q^{out} )\sqrt{1-\Omega^2 ( q^{out})}$; функции $\Omega (q )$ и $G (q )$ определены равенствами (24) и (25) из предыдущего раздела с теми же константами интегрирования $\Omega (0 )$ и $G (0 )$, определенными формулами (26) и (27).
7. Расчет величины силового воздействия
В качестве характеристики силового воздействия примем безразмерную величину $F/ (2\pi R_0 H\mu )$, где $F$ — действующая на пуансон сила, $H$ — начальная высота образца [7]. Работа механических сил равна $w^*F$. С другой стороны, она равна $2\pi R_0 H |\sigma_{rz}|_{r=R_0}w^*$. Тогда
\[ \begin{equation*}
F/ (2\pi R_0 H\mu )= |\tilde{\sigma}_{rz}|_{r=R_0}= |B_{rz}^e |_{r=R_0}=
\tilde{\tau}_y (q^{in} )\sqrt{1-\Omega^2 (q^{in} )}.
\end{equation*} \]
Из последней формулы с учетом (30) следует, что моменту перехода всего образца в пластическое состояние соответствует приложенная к пуансону сила
\[ \begin{equation*}
F_{fp}=2\pi R_1 H\mu\sqrt{2\Bigl(\sqrt{1+\tilde{\tau}_{y0}^2}-1\Bigr)}\approx 2\pi R_1 H \tau_{y0}.
\end{equation*} \]
Эта величина не зависит от функции упрочнения материала. Последнее приближенное равенство верно при небольших значениях $\tilde{\tau}_{y0}$.
8. Пример решения
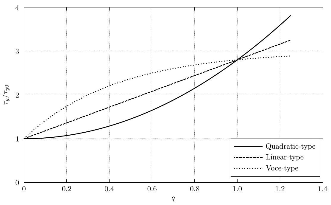
В заключение рассмотрим поведение материалов с различными законами упрочнения при антиплоском осесимметричном сдвиге. Для сравнения выберем три варианта функции упрочнения:
- линейная $\tau_y/\tau_{y0}=1+h_1q$;
- квадратичная $\tau_y/\tau_{y0}=1+h_2 q^2$,
- с насыщением по типу Восе $\tau_y/\tau_{y0}=\tau_{y\infty}/\tau_{y0}- (\tau_{y\infty}/\tau_{y0}-1 )e^{-h_3 q}$.
Параметры во всех трех функциях выбраны так, чтобы пределы текучести при величине накопленной пластической деформации, равной 1, совпадали (см. рис. 2): $h_1=h_2=1.8$, $\tau_{y\infty}/\tau_{y0}=3$, $h_3=2.3$. Другие параметры материалов совпадают: начальный предел текучести $\tau_{y0}=20$ МПа, модуль сдвига $\mu=1$ ГПа. Геометрическая характеристика образца $R_1/R_0=2$.
Рис. 2. Варианты функции упрочнения
[Figure 2. Types of hardening functions]
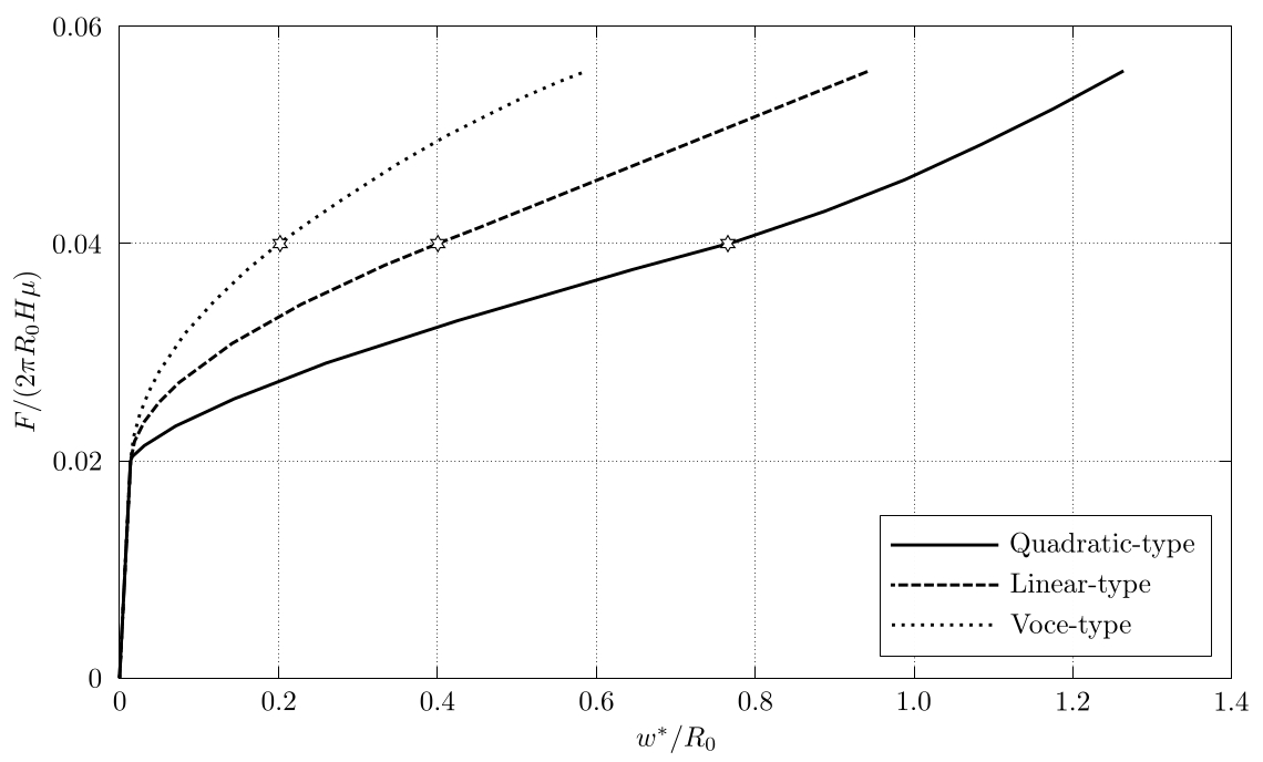
Рис. 3. Зависимость приложенной нагрузки от перемещения пуансона. Звездочками отмечен момент полного перехода образца в пластическое состояние. Самая правая точка каждого графика соответствует величине накопленной пластической деформации на внутренней поверхности образца, равной 1. Линейный участок каждого графика соответствует чисто упругому деформированию
[Figure 3. Dependence of the applied load on the punch displacement. The asterisks mark the moment of complete transition of the sample to the plastic state. The rightmost point of each graph corresponds to the value of accumulated plastic strain on the inner surface of the sample equal to 1. The linear section of each graph corresponds to purely elastic deformation]
На рис. 3 приведена расчетная величина силового воздействия с использованием полученного аналитического решения. Одним и тем же величинам приложенной нагрузки соответствуют существенно различающиеся значения перемещений пуансона, зависящие от функции упрочнения. Это говорит о хорошей чувствительности такого теста и его пригодности для идентификации параметров закона упрочнения. Полный переход образца в пластическое состояние происходит при наименьшем перемещении пуансона для модели Восе и при наибольшем — для квадратичного закона упрочнения.
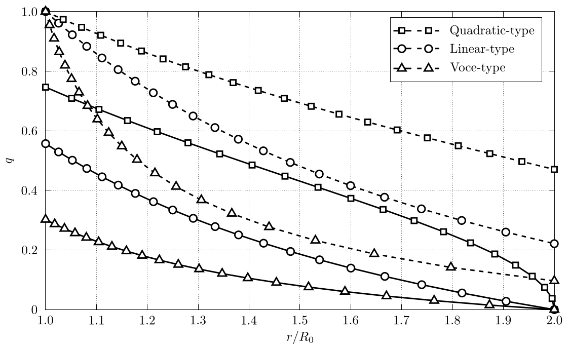
На рис. 4 приведены расчетные данные о распределении пластической деформации по сечению образца. Уровень пластических деформаций наименьший в материале с законом упрочнения Восе, наибольший – в материале с квадратичным законом упрочнения. При этом с ростом нагрузки распределение пластической деформации более однородно в материале с квадратичным законом упрочнения. На рис. 5 приведены графики искривления материальных волокон при антиплоском осесимметричном сдвиге для указанных моделей упрочнения.
Рис. 4. Распределение пластической деформации по сечению образца для трех функций упрочнения: сплошные линии — в момент полного перехода образца в пластическое состояние; пунктирные линии — в момент, когда величина накопленной пластической деформации на внутренней поверхности образца достигает величины 1
[Figure 4. Distribution of plastic strain over the sample cross-section for three hardening functions: solid lines — at the moment of complete transition of the sample to the plastic state, dashed lines — at the moment when the amount of accumulated plastic strain on the inner surface of the sample reaches a value of 1]
Рис. 5. Искривление материальных волокон, которые изначально располагались в радиальном направлении (безразмерное осевое перемещение $w(r/R_0)/R_0$): сплошные линии — в момент полного перехода образца в пластическое состояние, пунктирные линии — в момент, когда величина накопленной пластической деформации на внутренней поверхности образца достигает величины 1
[Figure 5. Distortion of the material fibers that were initially located in the radial direction (dimensionless axial displacement $w(r/R_0)/R_0$): solid lines — at the moment of complete transition of the sample to the plastic state, dashed lines – at the moment when the amount of accumulated plastic strain on the inner surface of the sample reaches a value of 1]
Заключение
Получено аналитическое решение задачи об осесимметричном антиплоском упругопластическом сдвиге. Полученные результаты описывают как стадию упругого деформирования с зарождающимся пластическим течением, так и дальнейшее нагружение материала, когда вся область деформирования образца охвачена пластическим течением.
Результаты расчетов показывают, что решение достаточно чувствительно к выбору закона упрочнения, поэтому описанная схема деформирования может быть использована для идентификации параметров законов изотропного упрочнения материалов, способных выдерживать большие упругие и пластические деформации.
Аналитические решения нелинейных упругопластических задач достаточно редки, еще одним возможным применением полученных результатов может выступать тестирование программ МКЭ-моделирования.
Конкурирующие интересы. Нет конфликта интересов.
Авторский вклад и ответственность. Я несу полную ответственность за предоставление окончательной версии рукописи в печать. Окончательная версия рукописи мною одобрена.
Финансирование. Работа выполнена в рамках госзадания ХФИЦ ДВО РАН.
About the authors
Georgiy M. Sevastyanov
Institute of Machinery and Metallurgy, Khabarovsk Federal Research Center, Far-East Branch of RAS
Author for correspondence.
Email: akela.86@mail.ru
ORCID iD: 0000-0003-4755-5305
SPIN-code: 9223-1950
Scopus Author ID: 56803833800
ResearcherId: M-8548-2016
https://www.mathnet.ru/person59678
Cand. Phys. & Math. Sci.; Leading Researcher; Lab. of Mechanics of Materials and Structures
Russian Federation, 681005, Komsomolsk-on-Amur, Metallurgov st., 1References
- Shutov A. V., Kaygorodtseva A. A. Sample shapes for reliable parameter identification in elasto-plasticity, Acta Mech., 2020, vol. 231, pp. 4761–4780. DOI: https://doi.org/10.1007/s00707-020-02758-9.
- Arutyunyan N. Kh., Radayev Yu. N. Elastoplastic torsion of a cylindrical rod for finite deformations, J. Appl. Math. Mech., 1989, vol. 53, no. 6, pp. 804–811. DOI: https://doi.org/10.1016/0021-8928(89)90090-7.
- Sevastyanov G. M., Burenin A. A. Finite strain upon elastic-plastic torsion of an incompressible circular cylinder, Dokl. Phys., 2018, vol. 63, pp. 393–395. EDN: NFBQYY. DOI: https://doi.org/10.1134/S1028335818090094.
- Sevastyanov G. M., Bormotin K. S. Finite-strain elastic-plastic torsion: Analytical and FEM modeling for nonmonotonically hardening polymers, PNRPU Mechanics Bulletin, 2023, no. 3, pp. 124–136. EDN: WQVCPT. DOI: https://doi.org/10.15593/perm.mech/2023.3.11.
- Sevastyanov G. M. Finite-strain elastic-plastic torsion: Comparison of von Mises and Tresca materials, Materials Physics and Mechanics, 2023, vol. 51, no. 2, pp. 140–150. EDN: KEMBBZ. DOI: https://doi.org/10.18149/MPM.5122023_13.
- Xue Z., Pontin M. G., Zok F. W., Hutchinson J. W. Calibration procedures for a computational model of ductile fracture, Eng. Fract. Mech., 2010, vol. 77, no. 3, pp. 492–509. DOI: https://doi.org/10.1016/j.engfracmech.2009.10.007.
- Tvergaard V., Hutchinson J. W. Numerical simulation of cropping, J. Appl. Mech., 2014, vol. 81, no. 7, 071002. DOI: https://doi.org/10.1115/1.4026891.
- Aleksandrov S. E., Goldstein R. V. Motion of a rigid bar in a rigid-viscoplastic medium: The influence of the model type on the solution behavior, Mech. Solids, 2015, vol. 50, no. 4, pp. 389–396. EDN: UZWWOB. DOI: https://doi.org/10.3103/S0025654415040044.
- Alexandrov S., Date P. An alternative interpretation of axial friction test results for viscoplastic materials, Mech. Time-Depend. Mater., 2018, vol. 22, pp. 259–271. EDN: VBBPGU. DOI: https://doi.org/10.1007/s11043-017-9372-x.
- Burenin A. A., Kovtanyuk L. V., Mazelis A. L. Development of a rectilinear axisymmetric viscoplastic flow and elastic aftereffect after its stop, J. Appl. Mech. Tech. Phys., 2010, vol. 51, no. 2, pp. 261–268. EDN: MXCWLJ. DOI: https://doi.org/10.1007/s10808-010-0036-8.
- Liu I. S. A note on the Mooney–Rivlin material model, Continuum Mech. Thermodyn., 2012, vol. 24, pp. 583–590. DOI: https://doi.org/10.1007/s00161-011-0197-6.
- Kellermann D. C., Attard M. M. An invariant-free formulation of neo-Hookean hyperelasticity, ZAMM, 2016, vol. 96, no. 2, pp. 233–252. DOI: https://doi.org/10.1002/zamm.201400210.
- Korobeynikov S. N. Families of Hooke-like isotropic hyperelastic material models and their rate formulations, Arch. Appl. Mech., 2023, vol. 93, pp. 3863–3893. EDN: GMCDFC. DOI: https://doi.org/10.1007/s00419-023-02466-5.
- Lee E. H. Elastic-plastic deformation at finite strains, J. Appl. Mech., 1969, vol. 36, no. 1, pp. 1–6. DOI: https://doi.org/10.1115/1.3564580.
- Levitas V. I. Large deformation of materials with complex rheological properties at normal and high pressure. New York, Nova Science Publ., 1996.
- Feng B., Levitas V. I., Hemley R. J. Large elastoplasticity under static megabar pressures: Formulation and application to compression of samples in diamond anvil cells, Int. J. Plasticity, 2016, vol. 84, pp. 33–57. DOI: https://doi.org/10.1016/j.ijplas.2016.04.017.
- Rogovoi A. A. Formalizovannyi podkhod k postroeniiu modelei mekhaniki deformiruemogo tverdogo tela. Chast' II [Formalized Approach to Constructing Models of the Mechanics of a Deformable Solid. Part II]. Moscow; Izhevsk, Izhevskii Institut Komp’iuternykh Issledovanii, 2023, 318 pp. (In Russian)
- Sevastyanov G. M., Begun A. S., Burenin A. A. Finite-strain elastic-plastic circular shear in materials with isotropic hardening, Prikl. Mat. Mekh., 2024, vol. 88, no. 2, pp. 313–340 (In Russian). EDN: XUAKYF. DOI: https://doi.org/10.31857/S0032823524020108.
Supplementary files








