Model of bending of an orthotropic cantilever beam of Bernoulli-Euler under the action of unsteady thermomechanodiffusion loads
- Authors: Zemskov A.V.1,2, Le V.H.1, Serdiuk D.O.1
-
Affiliations:
- Moscow Aviation Institute (National Research University)
- Lomonosov Moscow State University, Institute of Mechanics
- Issue: Vol 28, No 4 (2024)
- Pages: 682-700
- Section: Mechanics of Solids
- URL: https://journals.eco-vector.com/1991-8615/article/view/635367
- DOI: https://doi.org/10.14498/vsgtu2112
- EDN: https://elibrary.ru/CVHDVM
- ID: 635367
Cite item
Full Text
Abstract
The paper examines the interaction of mechanical, temperature and diffusion fields during unsteady bending of a cantilevered beam. The mathematical formulation of the problem includes a system of equations of non-stationary bending vibrations of a Bernoulli-Euler beam taking into account heat and mass transfer, which is obtained from the general model of thermomechanical diffusion for continuum using the generalized principle of virtual displacements. It is assumed that the speed of propagation of thermal and diffusion disturbances is finite. Using the example of a cantilevered three-component beam made of an alloy of zinc, copper and aluminum, under the influence of a non-stationary load applied to the free end, the interaction of mechanical, temperature and diffusion fields was studied.
Full Text
Введение
В последнее время все больший научный и практический интерес вызывают связанные нестационарные модели механики деформируемого твердого тела, в частности модели термомеханодиффузии. Это связано с тем, что диффузия, особенно при повышенных температурах, влияя на напряженно-деформированное состояние тела, может оказывать нежелательное воздействие на конструкции или их отдельные элементы.
Экспериментальные исследования середины XX века и теоретические основы, заложенные в работах конца XX века, позволили перейти к построению замкнутых математических моделей и формулировке начально-краевых задач термомеханодиффузии. За последние годы опубликовано значительное количество работ, посвященных исследованию взаимодействия механических, температурных и диффузионных полей в сплошных средах, а также в балках, пластинах и оболочках, которые составляют основу большинства реальных конструкций [1–17].
Среди этих публикаций следует выделить работы, посвященные изучению влияния тепломассопереноса на напряженно-деформированное состояние пологой трансверсально-изотропной оболочки [1–4]. В частности, в статье [4]} предложен вариационный подход к моделированию термодиффузионных процессов, возникающих при контакте гладких слоистых оболочек. В работах [5, 6] рассчитано осесимметричное напряженное состояние нагретой трансверсально-изотропной сферической оболочки с круговым отверстием при диффузионном насыщении в квазистатическом приближении. В публикациях [7–16] проведен анализ термомеханодиффузионных явлений в балках Бернулли–Эйлера и пластинах Кирхгофа. В работе [17] экспериментально исследовано влияние деформаций на массоперенос в пластине из поликристаллического никеля, покрытой медью, к краям которой приложена растягивающая нагрузка.
Анализ публикаций показывает, что, с одной стороны, проблема взаимодействия физических полей в сплошных средах и элементах конструкций остается актуальной. С другой стороны, основное внимание уделяется преимущественно квазистатическим термомеханодиффузионным процессам. Нестационарным моделям посвящены лишь работы [10, 14], где рассматриваются пластины Кирхгофа [10] и балки Бернулли–Эйлера [14].
В данной работе предложена модель нестационарных термомеханодиффузионных колебаний консольно закрепленной балки, основанная на гипотезах Бернулли–Эйлера и учитывающая конечную скорость распространения тепловых и диффузионных потоков, что отличает ее от модели, рассмотренной в [14]. Постановка задачи и общая схема решения были изложены в публикации [18], где отмечено, что граничные условия, соответствующие консольному закреплению, не позволяют получить решение в виде рядов по собственным функциям термоупругодиффузионного оператора.
В связи с этим предложен метод решения, основанный на использовании эквивалентных граничных условий. Суть метода заключается в рассмотрении вспомогательной задачи, отличающейся от исходной только краевыми условиями, которые допускают построение аналитического решения в виде рядов Фурье методом разделения переменных. Соотношения, связывающие правые части граничных условий обеих задач, записываются в виде системы интегральных уравнений Вольтерры первого рода, которая решается численно с использованием квадратурных формул средних прямоугольников. В результате решение исходной задачи получается путем численного вычисления сверток функций Грина вспомогательной задачи с функциями, найденными в результате решения указанной системы интегральных уравнений.
1. Постановка задачи
В работе исследуются физико-механические процессы, возникающие при термоупругодиффузионном изгибе консольно закрепленной ортотропной балки Бернулли–Эйлера под действием нестационарной поперечной нагрузки, приложенной к свободному концу. Изгибные деформации вызывают нагрев и порождают диффузионные потоки, направленные из зон сжатия в зоны растяжения (эффект Горского) [19, 20]. Возникающий при этом тепломассоперенос влияет на механическое поле и, как следствие, на напряженно-деформированное состояние балки.
Математическая постановка задачи представляет собой замкнутую систему уравнений поперечных колебаний балки с учетом термодиффузии. Эта система получена с использованием обобщенного принципа виртуальных перемещений из общей модели термоупругой диффузии для сплошных сред с конечной скоростью распространения тепловых и диффузионных потоков [21–23]. Схема приложенных усилий представлена на рис. 1. На закрепленном конце поддерживаются постоянные температура и концентрации диффузантов, а свободный конец является тепло- и массоизолированным.
Рис. 1. Иллюстрация к постановке задачи
[Figure 1. Illustration of the problem statement]
Математическая модель поперечных колебаний балки описывается уравнениями [18, 24] (штрих обозначает производную по продольной координате $x_{1}$, а точка — производную по времени):
\[ \begin{equation}
\begin{gathered}
\cfrac{\partial^2v''}{\partial\tau^2}-a\cfrac{\partial^2v}{\partial\tau^2}=
v^{IV}+b_{1}\vartheta''+ \sum_{j=1}^{N} \alpha^{(j)}_1 H_j'', \quad a=\frac{F}{J_3},
\\
\sum_{l=0}^{M} \cfrac{ (\tau_0 )^l}{l!} \cfrac{\partial^{l+1}}{\partial\tau^{l+1}}
\biggl(\vartheta- B_1v''+ \sum_{q=1}^{N}{\upsilon^{ (q )}H_q}\biggr)=
\kappa_1\vartheta'',
\\
\sum_{r=0}^{K}\cfrac{(\tau_q)^r}{r!} \cfrac{\partial^{r+1} H_q}{\partial\tau^{r+1}}=
D_1^{ (q )}H_q''+\Lambda_{11}^{ (q )}v^{IV}-M_1{ (q )}\vartheta'',\quad
H_{N+1}=- \sum_{q=1}^{N}{H_q}.
\end{gathered}
\end{equation} \tag{1} \]
Все величины в (1) являются безразмерными. Для них приняты следующие обозначения:
\[ \begin{gather*}
x_i=\cfrac{x^*_i}{l},\quad v=\cfrac{v^*}{l},\quad \tau=\cfrac{Ct}{l},\quad
\tau_q=\cfrac{C\tau^{ (q )}}{l},\quad \tau_0=\cfrac{C\tau_t}{l},\quad \theta=\cfrac{T-T_0}{T_0},
\\
\kappa_\alpha=\cfrac{\kappa_{\alpha\alpha}}{\rho c_0Cl},
\quad
B_\alpha = \cfrac{b_{\alpha\alpha}}{\rho c_0},\quad
b_\alpha = \cfrac{b_{\alpha\alpha}T_0}{C_{1111}},\quad
C^2 = \cfrac{C_{1111}}{\rho},\\
M_\alpha^{(q)} = \cfrac{n_0^{(q)} D_{\alpha\alpha}^{(q)}}{Cl}\ln ( n_0^{ (q)} \gamma^{(q)}),\quad
\alpha_\gamma^{(q)} = \cfrac{\alpha_{\gamma\gamma}^{(q)}}{C_{1111}},\quad
\upsilon^{(q)} = R\cfrac{\ln [n_0^{ (q )} \gamma^{(q)}]}{c_0m^{(q)}},\\
D_{\alpha}^{(q)} = \cfrac{D_{\alpha\alpha}^{(q)}}{Cl},\quad
\Lambda_{\alpha\beta}^{(q)} = \cfrac{m^{(q)} D_{\alpha\alpha}^{(q)}\alpha_{\beta\beta}^{(q)}n_0^{(q)}}{\rho RT_0Cl},\quad
J_3 = \cfrac{J^*_3}{l^4},\quad F=\cfrac{F^*}{l^2},
\end{gather*} \]
где $t$ — время; $x_i^*$ — прямоугольные декартовы координаты; $v^* (x_1, \tau )$ — прогиб балки; $l$ — длина балки; $\eta_q (x_1, x_2, \tau )=x_2H_q (x_1, \tau )$ — приращение концентрации $q$-той компоненты вещества в составе $(N+1)$-компонентной среды; $H_q$ — линейная плотность приращения концентрации; $n _0^{(q)}$ — начальная концентрация $q$-того вещества; $C_{ijkl}$ — упругие постоянные; $\rho$ — плотность; $\alpha_{ij}^{(q)}$ — коэффициенты, характеризующие объемное изменение среды за счет диффузии; $\upsilon^{(q)}$ — коэффициенты, характеризующие нагрев среды за счет диффузии; $D_{ij}^{(q)}$ — коэффициенты диффузии;
$R$ — универсальная газовая постоянная; $\theta(x_1, x_2, \tau)=x_2\vartheta (x_1, \tau)$ — приращение температуры; $\vartheta (x_1, \tau )$ — линейная плотность приращения температуры; $T$ — актуальная температура среды; $T_0$ — начальная температура среды; $\kappa_{ij}$ — компоненты тензора теплопроводности; $c_0$ — удельная теплоемкость; $b_{ij}$ — температурные коэффициенты, характеризующие деформации за счет нагрева; $m^{(q)}$ — молярная масса $q$-того вещества; $\tau^{(q)}$ и $\tau_t$ — время релаксации диффузионных и тепловых потоков; $J_3^*$ — момент инерции сечения; $F^*$ — площадь сечения.
Уравнения (1) дополняются начально-краевыми условиями, которые в случае консольного закрепления имеют вид
\[ \begin{equation}
\begin{array}{l}
v'|_{x=0}=0,\quad v|_{x=0}=0,\quad H_q|_{x=0}=0,\quad \vartheta|_{x=0}=0,
\\
\biggl[ v'' +b_1\vartheta +\displaystyle\sum_{j=1}^{N}\alpha_1^{(j)}H_j\biggr]_{x=1} =0,\\
\biggl[ v'''+b_1\vartheta'+\displaystyle\sum_{j=1}^{N}\alpha_1^{(j)}H_j'- \cfrac{\partial^2v'}{\partial\tau^2}\biggr]_{x=1} = -\cfrac{Q}{J_3},\quad
Q=\cfrac{Q^*}{C_{1111}}, \\
\vartheta'|_{x=1}=0,\quad
[\Lambda_{11}^{(q)}v'''-M_1^{(q)}\vartheta'+D_1^{(q)}H'_q]_{x=1}=0,
\end{array}
\end{equation} \tag{2} \]
где $Q^*$ — поперечная нагрузка на свободном конце балки. Начальные условия полагаются нулевыми.
2. Алгоритм построения функций Грина
Основная проблема заключается в невозможности построения решения задачи (1), (2) в виде рядов Фурье, что осложняет обращение преобразования Лапласа, используемого при решении этой задачи. Для преодоления указанной проблемы применяется метод эквивалентных граничных условий. Суть метода заключается в рассмотрении вспомогательной задачи со следующими граничными условиями [23, 25]:
\[ \begin{equation}
\begin{array}{l}
\biggl[ v''+b_1\vartheta+\displaystyle\sum_{j=1}^{N}\alpha_1^{(j)}H_j \biggr]_{x=0} =f_1(\tau),
\; \; v|_{x=0}=0,\; \vartheta|_{x=0}=0,\; H_q|_{x=0}=0;
\\
\biggl[ v'''+b_1\vartheta'+\displaystyle\sum_{j=1}^{N}\alpha_1^{(j)}H_j'- \cfrac{\partial^2v'}{\partial\tau^2} \biggr]_{x=1} =-\cfrac{Q}{J_3}=f_3(\tau),\quad \vartheta'|_{x=1}=0;
\\
[\Lambda_{11}^{(q)}v'''-M_1^{(q)}\vartheta'+D_1^{(q)}H'_q]_{x=1}=0,\quad v'|_{x=1}=f_2(\tau)
\end{array}
\end{equation} \tag{3} \]
при этом функции $f_1(\tau)$ и $f_2(\tau)$ подлежат определению.
Решение задачи (1), (3) представляется в виде
\[ \begin{equation}
\left\{
\begin{array}{r}
v(x, \tau )\\
\vartheta(x, \tau )\\
H_q(x,\tau)
\end{array}
\right\}=\displaystyle\int_0^\tau \sum_{k=1}^3
\left\{
\begin{array}{r}
G_{1k}(x, \tau-\xi )\\
G_{2k}(x, \tau-\xi )\\
G_{q+2,k}(x, \tau-\xi )
\end{array}
\right\}
f_k(\xi)d\xi,
\end{equation} \tag{4} \]
где $G_{mk}$ — краевые функции Грина задачи (1), (3), которые, в свою очередь, являются решениями следующих задач:
\[ \begin{equation}
\begin{array}{l}
\cfrac{\partial^2G_{1 k}''}{\partial\tau^2}-a \cfrac{\partial^2G_{1 k}}{\partial\tau^2}=
G_{1 k}^{I V}+b_1 G_{2 k}''+\sum_{j=1}^N \alpha_1^{(j)} G_{j+2, k}'',\\
\displaystyle
\sum_{l=0}^M \frac{(\tau_0)^l}{l!} \frac{\partial^{l+1}}{\partial \tau^{l+1}}
\biggl(G_{2 k}-B_1 G_{1 k}''+\sum_{q=1}^N v^{(q)} G_{q+2, k}\biggr)=
\kappa_1 G_{2 k}'',
\\
\displaystyle
\sum_{r=0}^K \frac{(\tau_q)^r}{r!} \frac{\partial^{r+1} G_{q+2, k}}{\partial \tau^{k+1}}=
D_1^{(q)} G_{q+2, k}''+\Lambda_{11}^{(q)} G_{1 k}^{I V}-M_1^{(q)} G_{2 k}'',
\end{array}
\end{equation} \tag{5} \]
\[ \begin{equation}
\begin{array}{l}
G_{1k}|_{x=0}=0, \quad G_{q+2,k}|_{x_1=0}=0,\quad G_{2k}|_{x_1=0}=0,
\\
G_{1k}' |_{x_1=1}=\delta_{2k} \delta(\tau), \quad G_{2k}' |_{x_1=1}=0,
\\
\biggl[
\displaystyle
G_{1k}''+b_1 G_{2 k}+\sum_{j=1}^N \alpha_1^{(j)} G_{j+2,k} \biggr]_{x=0}=\delta_{1 k} \delta(\tau),
\\
\biggl[
\displaystyle
G_{1k}''' +b_1 G_{2k}' +\sum_{j=1}^N \alpha_1^{(j)} G_{j+2,k}'-
\cfrac{\partial^2G_{1 k}'}{\partial\tau^2}\biggr]_{x=1}=\delta_{3k} \delta(\tau),
\\
\bigl[
D_1^{(q)} G_{q+2,k}' +\Lambda_{11}^{(q)} G_{1k}''' -M_1^{(q)} G_{2 k}' \bigr]_{x_1=1}=0 .
\end{array}
\end{equation} \tag{6} \]
Здесь $\delta_{ij}$ — символы Кронекера, $\delta(\tau)$ — дельта-функция Дирака.
В соответствии с алгоритмом, изложенным в работах [24, 25], к задаче (5), (6) применяется преобразование Лапласа и разложение в ряды Фурье. Для этого каждое из уравнений (5) домножается на $\sin \lambda_n x$, где $\lambda_n = \pi(n - 1/2)$, и интегрируется по промежутку $[0{,} 1]$ с учетом граничных условий (6). В результате получаем (верхний индекс $L$ обозначает трансформанту Лапласа):
\[ \begin{equation*}
\begin{array}{r}
\displaystyle
k_{1n}(s) G_{1kn}^L(s)-b_1 \lambda_n^2 G_{2kn}^L(s)-\lambda_n^2 \sum_{j=1}^N \alpha_1^{(j)} G_{j+2,kn}^L(s)=F_{1kn}(s),
\\
\displaystyle
B_1 \lambda_n^2 k_0(s) G_{1kn}^L(s)+k_{2n}(s) G_{2kn}^L(s)+k_0(s) \sum_{j=1}^N v^{(j)} G_{j+2,kn}^L(s)=F_{2kn}(s), \\
-\Lambda_{11}^{(q)} \lambda_n^4 G_{1kn}^L(s)-M_1^{(q)} \lambda_n^2 G_{2kn}^L(s)+k_{q+2,n}(s) G_{q+2,kn}^L(s)=F_{q+2, k n}(s),
\end{array}
\end{equation*} \]
где
\[ \begin{equation*}
\begin{array}{l}
k_{1n}(s)= (\lambda_n^2+a ) s^2+\lambda_n^4, \qquad k_{2n}(s)=k_0(s)+\kappa_1 \lambda_n^2,
\\
\displaystyle
k_0(s)=\sum_{l=0}^K \frac{ (\tau_0 )^l s^{l+1}}{l!}, \qquad \qquad
k_{q+2,n}(s)=\sum_{r=0}^M \frac{ (\tau_q )^r s^{r+1}}{r!}+D_1^{(q)} \lambda_n^2,
\\
F_{1kn}(s)=-2 \lambda_n \delta_{1 k}+2 (-1 )^{n+1} \lambda_n^2 \delta_{2k}-2 (-1 )^{n+1} \delta_{k3},\\
F_{2kn}(s)=2 (-1 )^{n+1} B_1 k_0(s) \delta_{2k}, \\
F_{q+2,kn}(s)=2 \Lambda_{11}^{(q)} \lambda_n \delta_{1k}-2 (-1 )^{n+1} \Lambda_{11}^{(q)} \lambda_n^2 \delta_{2k},\\
\displaystyle
G_{mk}^L(x, s) = \sum_{n=1}^{\infty} G_{mkn}^L(s) \sin \lambda_n x,\quad
G_{mkn}^L (s) = 2 \int_0^1 G_{mk}^L(x, s) \sin \lambda_n x dx.
\end{array}
\end{equation*} \]
Решение полученной системы имеет вид
\[ \begin{equation}
\begin{gathered}
G_{ikn}^L=\frac{P_{ikn}(s)}{P_n(s)},\quad i= 1, 2;
\\
G_{q+2,kn}^L=\frac{2 \Lambda_{11}^{(q)} \lambda_n \delta_{1k}-
2 \Lambda_{11}^{(q)} \lambda_n^2 (-1 )^{n+1} \delta_{2k}}{k_{q+2,n}(s)}+\frac{P_{q+2,kn}(s)}{Q_{qn}(s)},
\end{gathered}
\end{equation} \tag{7} \]
где
\[ \begin{multline}
P_n(s)=\bigl[k_{1n}(s) k_{2n}(s)+B_1 b_1 \lambda_n^4 k_0(s)\bigr] \Pi_n(s)+ \lambda_n^2 k_0(s) \sum_{j=1}^N C_{1n}^{(j)} \Lambda_{11}^{(j)} \Pi_{j n}(s) -{}
\\
{} -\lambda_n^6 \sum_{j=1}^N C_{2n}^{(j)} \Lambda_{11}^{(j)} \Pi_{j n}(s)
-\lambda_n^8 k_0(s) \sum_{i=1}^N \sum_{j=1}^N v^{(i)} \alpha_1^{(j)} M^{(ij)} \Pi_{i j n}(s),
\end{multline} \tag{8} \]
\[ \begin{equation*}
Q_{qn}(s)=k_{q+2, n}(s) P_n(s),
\end{equation*} \]
\[ \begin{equation*}
\Pi_n(s)= \prod_{j=1}^N k_{j+2, n}(s),\quad
\Pi_{qn}(s)= \!\! \prod_{j=1, j \neq q}^N k_{j+2, n}(s),\quad
\Pi_{pqn}(s)=\!\! \prod_{j=1, j \neq p, q}^N k_{j+2, n}(s);
\end{equation*} \]
\[ \begin{multline*}
P_{11n}(s)=-2 \lambda_n S_{11n}(s)+2 \lambda_n^3 \sum_{j=1}^N C_{2 n}^{(j)}(s) \Lambda_{11}^{(j)} \Pi_{j n}(s)- {}
\\
{}-2 \lambda_n^5 k_0(s) \sum_{i=1}^N \sum_{j=1}^N M_1^{(i)} S^{(ij)} \Lambda_{11}^{(j)} \Pi_{i j n}(s),
\end{multline*} \]
\[ \begin{multline*}
P_{12n}(s)=2(-1)^{n+1} \lambda_n^2 S_{11n}(s)+2(-1)^{n+1} B_1 \lambda_n^2 k_0(s) S_{12n}(s)-{}
\\
-2(-1)^{n+1} \lambda_n^4 \sum_{j=1}^N C_{2 n}^{(j)}(s) \Lambda_{11}^{(j)} \Pi_{jn}(s)+ {}
\\
{}+2(-1)^{n+1} \lambda_n^6 k_0(s) \sum_{i=1}^N \sum_{j=1}^N M_1^{(i)} \Lambda_{11}^{(j)} S^{(j)} \Pi_{ijn}(s),
\end{multline*} \]
\[ \begin{multline}
P_{21n}(s)=2\lambda_n^3 k_0(s) S_{21n}(s)-2 \lambda_n k_0(s) \sum_{j=1}^N C_{1 n}^{(j)}(s)\Lambda_{11}^{(j)} \Pi_{jn}(s)+ {}
\\
{}+2\lambda_n^7 k_0(s) \sum_{i=1}^N \sum_{j=1}^N \Lambda_{11}^{(i)} \Lambda_{11}^{(j)} S^{(ij)} \Pi_{i j n}(s),
\end{multline} \tag{9} \]
\[ \begin{multline*}
P_{22 n}(s)=-2(-1)^{n+1} \lambda_n^4 k_0(s) S_{21 n}(s)+2(-1)^{n+1} B_1 S_{22 n}(s) k_0(s)+ {}
\\
{}+2(-1)^{n+1} \lambda_n^2 k_0(s) \sum_{j=1}^N C_{1n}^{(j)}(s) \Lambda_{11}^{(j)} \Pi_{jn}(s)- {}
\\
{}-2(-1)^{n+1} \lambda_n^8 k_0(s) \sum_{i=1}^N \sum_{j=1}^N \Lambda_{11}^{(i)} \Lambda_{11}^{(j)} S^{(ij)} \Pi_{ijn}(s),
\end{multline*} \]
\[ \begin{gather*}
P_{13 n}(s)=-2(-1)^{n+1} S_{11 n}(s), \quad
P_{23 n}(s)= 2(-1)^{n+1} k_0(s) \lambda_n^2 S_{21 n}(s),\\
P_{1, q+3, n}(s)=0, \qquad P_{2, q+3, n}(s)=0, \\
P_{q+2, k n}(s)=\Lambda_{11}^{(q)} \lambda_n^4 P_{1 k n}(s)+M_1^{(q)} \lambda_n^2 P_{2 k n}(s);
\end{gather*} \]
\[ \begin{equation}
\begin{array}{l}
\displaystyle
S_{11n}(s)=k_{2n}(s) \Pi_n(s)+\lambda_n^2 k_0(s) \sum_{j=1}^N v^{(j)} M_1^{(j)} \Pi_{j n}(s),
\\
\displaystyle
S_{12 n}(s)=b_1 \Pi_n(s)+\lambda_n^2 \sum_{j=1}^N \alpha_1^{(j)} M_1^{(j)} \Pi_{j n}(s),
\\
\displaystyle
S_{21 n}(s)=B_1 \Pi_n(s)+\lambda_n^2 \sum_{j=1}^N v^{(j)} \Lambda_{11}^{(j)} \Pi_{j n}(s),\\
\displaystyle
S_{22 n}(s)=k_{1 n}(s) \Pi_n(s)-\lambda_n^6 \sum_{j=1}^N \alpha_1^{(j)} \Lambda_{11}^{(j)} \Pi_{j n}(s),
\end{array}
\end{equation} \tag{10} \]
\[ \begin{gather*}
C_{1 n}^{(j)}(s)=k_{1 n}(s) v^{(j)}+\lambda_n^4 B_1 \alpha_1^{(j)},
\quad
C_{2 n}^{(j)}(s)=k_{2 n}(s) \alpha_1^{(j)}-b_1 k_0(s) v^{(j)},
\\
S^{(ij)}=\alpha_1^{(i)} v^{(j)}-\alpha_1^{(j)} v^{(i)} M^{(ij)}=M_1^{(i)} \Lambda_{11}^{(j)}-\Lambda_{11}^{(i)} M_1^{(j)}.
\end{gather*} \]
Оригиналы функций (9) находятся с помощью вычетов и таблиц операционного исчисления
\[ \begin{equation}
\begin{gathered}
G_{ikn}(\tau)=\sum_{j=1}^{\Sigma} A_{ikn}^{(j)}\exp (s_{jn} \tau ), \quad
A_{ikn}^{(j)}=\frac{P_{ikn} (s_{jn} )}{P'_n (s_{jn})}, \quad i=1, 2;
\\
A_{q+2,kn}^{(l)}=\frac{P_{q+1,kn} (s_{ln})}{Q'_{qn} (s_{l n} )},
\quad \Sigma=(K+1) N+M+3;
\\
G_{q+2, k n}(\tau)=2 \Lambda_{11}^{(q)} \bigl(\lambda_n \delta_{1 k}- (-1 )^{n+1} \lambda_n^2 \delta_{2k}\bigr) \sum_{r=1}^{K+1} \frac{\exp (\xi_{qrn}\tau )}{k'_{q+2,n} (\xi_{qrn} )}+{} \\
{}\hspace{5cm} +\sum_{j=1}^{\Sigma+K+1} A_{q+2,kn}^{(j)}\exp (s_{jn} \tau ),
\end{gathered}
\end{equation} \tag{11} \]
где $s_{jn}$, $j=\overline{1, \Sigma},$ — нули многочлена $P_n(s)$; $\xi_{qrn}$ — нули многочлена $k_{q+2,n}(s)$.
3. Метод эквивалентных граничных условий
Следующий этап решения заключается в построении соотношений, связывающих правые части граничных условий исходной и вспомогательной задач. Для этого решения (4) подставляются в граничные условия (2). В результате приходим к следующей системе интегральных уравнений:
\[ \begin{equation}
\sum_{j=1}^2 \int_0^\tau a_{ij} (\tau-t ) f_j (t ) d t=\varphi_i(\tau),
\end{equation} \tag{12} \]
где
\[ \begin{equation*}
\begin{array}{l}
a_{11}(\tau)=G_{11}' (0, \tau), \quad
a_{12}(\tau)=G_{12}' (0, \tau),\\
\displaystyle
a_{21}(\tau)=G_{11}'' (1, \tau) + b_1 G_{21} (1, \tau )+\sum_{j=1}^N \alpha_1^{(j)} G_{j+2,1} (1, \tau ),
\\
\displaystyle
a_{22}(\tau)=G_{12}'' (1, \tau) + b_1 G_{22} (1, \tau )+\sum_{j=1}^N \alpha_1^{(j)} G_{j+2,2} (1, \tau ),
\end{array}
\end{equation*} \]
\[ \begin{equation*}
\begin{gathered}
\varphi_1(\tau)=-\int_0^\tau G_{13}' (0, \tau-t ) f_3 (t ) dt,
\\
\varphi_2(\tau) = - \int_0^\tau \biggl[
G_{13}'' (1, \tau - t) + b_1 G_{23} (1, \tau - t )+
\sum_{j=1}^N \alpha_1^{(j)} G_{j+1,3} (1, \tau - t )\biggr] f_3 (t )dt.
\end{gathered}
\end{equation*} \]
Интегрированием по частям система (12) приводится к виду
\[ \begin{equation}
\sum_{j=1}^2 \int_0^\tau A_{ij} (\tau-t ) \frac{\partial f_j (t )}{\partial t} dt =\varphi_i(\tau), \quad
A_{ij}(\tau)=\int_0^\tau a_{ij} (t )dt
\end{equation} \tag{13} \]
и далее решается численно с помощью квадратурных формул средних прямоугольников [23, 25]. Для этого область интегрирования $[0, \tau]$ разбивается на $N_t$ отрезков точками $t_m=mh_t$, $m=\overline{0, N_t}$, с равномерным шагом $h_t=\tau/N_t$ и вводятся сеточные функции $y_m^j=\partial f_j (t_m )/\partial\tau$, $A_m^{ij}=A_{ij} (t_m)$. Интегралы аппроксимируются с помощью формул средних прямоугольников:
\[ \begin{equation*}
\begin{gathered}
\int_0^\tau A_{ij} (\tau-t ) \frac{\partial f_j (t )}{\partial t} d t \approx h_t S_{m-1/2}^{ij}+h_t A_{1/2}^{ij} y_{m-1/2}^j,
\\
S_{m-1/2}^{ij}=\sum_{l=1}^{m-1} A_{m-l+1/2}^{ij} y_{l-1/2}^j, \quad i, j=\overline{1,N+2} ;
\\
t_{m-1/2}=({t_{m-1}+t_m})/{2}=h_t (m- {1}/{2} ),\\
t_{m-l+1/2}=t_m-t_{l-1/2}=h_t (m-l+ {1}/{2} ), \quad m=\overline{1, N_t}.
\end{gathered}
\end{equation*} \]
В результате приходим к рекуррентной последовательности систем линейных алгебраических уравнений $(m\geqslant 1)$:
\[ \begin{equation}
\begin{gathered}
\boldsymbol{A} \boldsymbol{y}_{m-1/2}= \boldsymbol{b}_{m-1/2}, \quad
\boldsymbol{A} = (A_{1/2}^{ij} )_{2 \times 2},
\\
\boldsymbol{b}_{m-1/2}= (b_{m-1/2}^i )_{2 \times 1}, \quad
b_{m-1/2}^i=\frac{F_i (t_m )}{h_t}-\sum_{j=1}^2 S_{m-1/2}^{ij},
\end{gathered}
\end{equation} \tag{14} \]
где $\boldsymbol{y}_{m-1/2}= (y_{m-1/2}^i )_{4 \times 4}$ — столбец неизвестных.
Решение системы (14) находится по правилу Крамера:
\[ \begin{equation}
\begin{gathered}
y_{m-1/2}^1=\frac{b_{m-1/2}^1 A_{1/2}^{22}-b_{m-1/2}^2 A_{1/2}^{12}}{A_{1/2}^{11} A_{1/2}^{22}-A_{1/2}^{12} A_{1/2}^{21}},\;
y_{m-1/2}^2=\frac{b_{m-1/2}^2 A_{1/2}^{11}-b_{m-1/2}^1 A_{1/2}^{21}}{A_{1/2}^{11} A_{1/2}^{22}-A_{1/2}^{12} A_{1/2}^{21}}.
\end{gathered}
\end{equation} \tag{15} \]
Полученные таким образом сеточные значения функций $\partial f_1/\partial\tau$ и $\partial f_2/\partial\tau$ подставляются в свертки (4), которые также вычисляются численно. В результате получаем решение исходной задачи (1), (2):
\[ \begin{equation*}
\begin{array}{l}
\displaystyle
v (x, t_i )=h_t \sum_{l=1}^2 \sum_{j=1}^i \tilde{G}_{1l} (x,t_{i-j+1/2} ) y_{j-1/2}^l+\int_0^{t_i} G_{13} (x,t_i-t ) f_3 (t ) dt, \\
\displaystyle
\vartheta (x, t_i )=h_t \sum_{l=1}^2 \sum_{j=1}^i \tilde{G}_{2l} (x,t_{i-j+1/2} ) y_{j-1/2}^l+
\int_0^{t_i} G_{23} (x, t_i-t ) f_3 (t ) dt, \\
\displaystyle
\eta_q (x,t_i ) =h_t \sum_{l=1}^2 \sum_{j=1}^i \tilde{G}_{q+2,l} (x,t_{i-j+1/2} )
y_{j-1/2}^l +
\int_0^{t_i} G_{q+2,3} (x,t_i - t )f_3 (t )dt,\\
\displaystyle
\tilde{G}_{mk}(x, \tau)=\int_0^\tau G_{mk} (x,t )dt.
\end{array}\!\!\!\!\!\!\!\!\!
\end{equation*} \]
4. Предельные переходы
Полагая в (8)–(10) $\alpha_1^{(q)}=0$, $b_1=0$ и $D_1^{(q)}=0$ из соотношений (11) получаем функции Грина $G_1^{(el)}(x, \tau)$ упругой задачи [25]:
\[ \begin{gather*}
G_1^{(el)}(x, \tau)=-2 \sum_{n=1}^{\infty} \frac{\lambda_n \sin [\gamma (\lambda_n ) \tau ]}{ (\lambda_n^2+a) \gamma (\lambda_n )} \sin \lambda_n x,
\\
G_2^{(e l)}(x, \tau)=2 \sum_{n=1}^{\infty} \frac{ (-1 )^{n+1} \lambda_n^2 \sin [\gamma (\lambda_n ) \tau ]}{ (\lambda_n^2+a ) \gamma (\lambda_n )} \sin \lambda_n x,
\\
G_3^{(el)}(x, \tau)=-2 \sum_{n=1}^{\infty} \frac{ (-1 )^{n+1} \sin [\gamma (\lambda_n ) \tau ]}{ (\lambda_n^2+a ) \gamma \ (\lambda_n )} \sin \lambda_n x,
\end{gather*} \]
где $\gamma (\lambda_n )= {\lambda_n^2}/{\sqrt{\lambda_n^2+a}}$.
Полагая в граничных условиях (3)
\[ \begin{equation*}
f_k(\tau)=\tilde{f}_k H(\tau), \quad k=\overline{1, 3}
\end{equation*} \]
и переходя к пределу при $\tau \to \infty $, получаем решение задачи об изгибе консольно закрепленной балки под действием статической нагрузки, приложенной к свободному концу. Здесь $H(\tau)$ — функция Хевисайда.
Функции Грина статической задачи $G_{mk}^{(st)}(x)$ выражаются через функции Грина $G_{mk}(x, \tau )$ динамической задачи с помощью соотношений [23, 25]
\[ \begin{equation}
G_{mk}^{(st)} (x ) = \lim _{\tau \to \infty} [G_{m k}(x, \tau )*H(\tau) ]=
\lim _{s \to 0} \Bigl[s G_{m k}^L (x, s ) \frac{1}{s}\Bigr]=
\lim _{s \to 0} G_{m k}^L(x, s ).
\end{equation} \tag{16} \]
Преобразуя свертки (4) с помощью (16), получаем решение статической задачи:
\[ \begin{equation*}
\left\{
\begin{array}{r}
v^{(st)}(x)\\
\vartheta^{(st)}(x)\\
H_q^{(st)}(x)
\end{array}
\right\}=
\sum_{k=1}^3
\left\{
\begin{array}{r}
G_{1k}^{(st)}(x)\\
G_{21}^{(st)}(x)\\
G_{q + 2,k}^{(st)}(x)
\end{array}
\right\}\tilde{f}_k.
\end{equation*} \]
Применяя предельный переход (16) к равенствам (7), получаем следующие выражения для функций $G_{mk}^{(st)}(x)$, $k=\overline{1, N+2}$, $m=\overline{1, N+3}$:
\[ \begin{equation}
\begin{array}{l}
\displaystyle
G_{11}^{(st)}(x)=\sum_{n=1}^{\infty} \frac{P_{11 n} (0)}{P_n (0)} \sin \lambda_n x=-2 \sum_{n=1}^{\infty} \frac{\sin \lambda_n x}{\lambda_n^3},
\\
\displaystyle
G_{12}^{(st)}(x)=\sum_{n=1}^{\infty} \frac{P_{12 n} (0)}{P_n (0)} \sin \lambda_n x=2 \sum_{n=1}^{\infty} \frac{(-1)^{n+1}}{\lambda_n^2} \sin \lambda_n x,
\\
\displaystyle
G_{13}^{(st)}(x)=\sum_{n=1}^{\infty} \frac{P_{13 n}(0)}{P_n(0)} \sin \lambda_n x=-2 \Phi \sum_{n=1}^{\infty} \frac{(-1)^{n+1}}{\lambda_n^4} \sin \lambda_n x,
\\
\displaystyle
G_{q+2,3}^{(st)}(x)=\sum_{n=1}^{\infty} \frac{P_{q+2,3 n}(0)}{P_n(0)} \sin \lambda_n x=-2 \Lambda_{11}^{(q)} \Phi_q \sum_{n=1}^{\infty} \frac{(-1)^{n+1}}{\lambda_n^2} \sin \lambda_n x.
\end{array}
\end{equation} \tag{17} \]
Остальные функции равны нулю. Здесь введены следующие обозначения:
\[ \begin{equation}
\begin{gathered}
\Phi=\cfrac{\displaystyle{\prod_{j=1}^N} D_1^{(j)}}{\displaystyle{\prod_{j=1}^N} D_1^{(j)} - \displaystyle{\sum_{j=1}^N} \alpha_1^{(j)} \Lambda_{11}^{(j)}\!\!\! \displaystyle{\prod_{r=1, r\neq j}^N}\!\!\! D_1^{(r)}},
\,\,
\Phi_q=\frac{\displaystyle{\prod_{r=1, r\neq q}^N}\!\!\! D_1^{(r)}}{\displaystyle{\prod_{j=1}^N} D_1^{(j)} - \displaystyle{\sum_{j=1}^N} \alpha_1^{(j)} \Lambda_{11}^{(j)}\!\!\! \displaystyle{\prod_{r=1, r\neq j}^N}\!\!\! D_1^{(r)}}.
\end{gathered}
\end{equation} \tag{18} \]
С учетом предельного перехода (16) система уравнений (12) запишется в виде
\[ \begin{equation}
\begin{gathered}
\sum_{j=1}^2 \tilde{a}_{ij} \tilde{f}_j=\tilde{\varphi}_i,
\end{gathered}
\end{equation} \tag{19} \]
где с учетом формул (17) и (18)
\[ \begin{equation*}
\begin{array}{l}
\tilde{a}_{11}=G_{11}^{(st){\prime}} (0), \quad
\tilde{a}_{12}=G_{12}^{(st){\prime}} (0 ) ,
\\
\displaystyle
\tilde{a}_{21}=G_{11}^{(st){\prime \prime}} (1)+b_1 G_{21}^{(st)} (1)+\sum_{j=1}^N \alpha_1^{(j)} G_{j+2,1}^{(st)} (1),
\\
\displaystyle
\tilde{a}_{22}=G_{12}^{(st)\prime\prime } (1)+b_1 G_{22}^{(st)} (1)+\sum_{j=1}^N \alpha_1^{(j)} G_{j+2,2}^{(st)} (1),
\\
\displaystyle
\tilde{\varphi}_1=-G_{13}^{(st){\prime}} (0) \tilde{f}_3,
\\
\displaystyle
\tilde{\varphi}_2=-\biggl[G_{13}^{(st) \prime \prime} (1)+b_1 G_{23}^{(st)}(1)+
\sum_{j=1}^N \alpha_1^{(j)} G_{j+2,3}^{(st)}(1)\biggr] \tilde{f}_3.
\end{array}
\end{equation*} \]
Решение системы (19) находится по формулам (15). При этом используются следующие соответствия:
\[ \begin{equation*}
y_{m-1/2}^i \leftrightarrow \tilde{f}_j, \quad
A_{1 / 2}^{ij} \leftrightarrow \tilde{a}_{ij}, \quad
b_{m-1/2}^i \leftrightarrow \tilde{\varphi}_i.
\end{equation*} \]
5. Пример
В качестве расчетного примера рассматривается задача для консольно закрепленного трехкомпонентного дюралюминиевого стержня, в котором компоненты цинк и медь диффундируют в алюминии. Стержень характеризуется следующими физическими параметрами [26]:
\[ \begin{equation*}
C_{1122}=6.93 \cdot 10^{10} \text{Н/м}^2, \;\;
C_{1212}=2.56 \cdot 10^{10} \text{Н/м}^2, \;\;
T_0=700 \text{К}, \;\;
\rho=2700 \text{кг/м}^3,
\end{equation*} \]
\[ \begin{equation*}
c_0=920 \text{Дж}/\text{(кг}\cdot\text{К)}, \;\;
\alpha_{11}^{(1)}=1.55 \cdot 10^7 \text{Дж/кг}, \;\;
\alpha_{11}^{(2)}=6.14 \cdot 10^7 \text{Дж/кг},
\end{equation*} \]
\[ \begin{equation*}
D_{11}^{(1)}=2.62 \cdot 10^{-12} \text{м}^2/\text{с}, \;\;
D_{11}^{(2)}=2.89 \cdot 10^{-14} \text{м}^2/\text{с}, \;\;
b_{11}=4.94 \cdot 10^6 \text{Н}/(\text{К}\cdot\text{м}^2),
\end{equation*} \]
\[ \begin{equation*}
\kappa_{11}=134 \text{Вт}/(\text{м}\cdot\text{К}),\;\;
m^{(1)}=0.065 \text{кг}/\text{моль},\;\;
m^{(2)}=0.064 \text{кг}/\text{моль},
\end{equation*} \]
\[ \begin{equation*}
C_{1111}=C_{2222}=C_{1122}+2 C_{1212},\quad
n_0^{(1)}=0.0084,\quad
n_0^{(2)}=0.045.
\end{equation*} \]
Стержень имеет прямоугольное сечение: $h \times b = 0.05 l \times 0.05 l$, где $l = 0.01$ м. Поперечная нагрузка на конце стержня при $x = 1$ задается в виде
\[ \begin{equation*}
f_3(\tau) = H(\tau),
\end{equation*} \]
где $H(\tau)$ — функция Хевисайда.
Решая численно систему (13) и подставляя найденные функции в формулы (15), получаем результаты, представленные на рис. 2–8. Здесь одна единица безразмерного времени соответствует $1.6 \cdot 10^{-6}$ секундам. Для численного решения системы интегральных уравнений Вольтерра (15) использовалось $N_t = 20$ точек разбиения. Дальнейшее увеличение количества точек не приводит к заметным изменениям результатов.
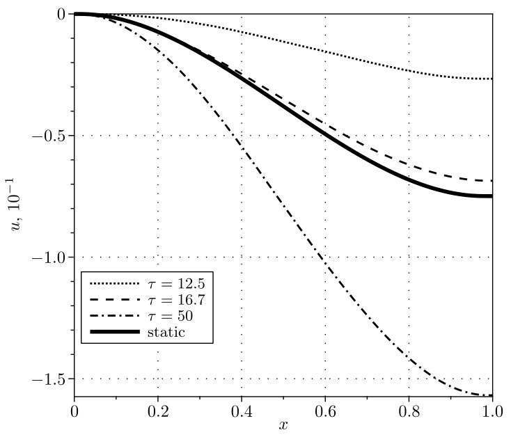
Рис. 2. Прогибы балки
[Figure 2. Beam deflections]
На рис. 2 показаны прогибы балки в различные моменты времени, а также прогиб балки при статической нагрузке (жирная линия). Сравнение результатов для термомеханодиффузионной и упругой (при $\alpha_{11}^{(q)} = 0$ и $b_{11} = 0$) моделей показывает, что влияние тепломассопереноса на механическое поле изгибаемой консольно закрепленной балки Бернулли–Эйлера на рассматриваемом промежутке времени пренебрежимо мало (графики совпадают).
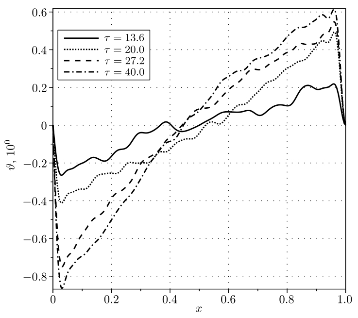
Графики на рис. 3 и 4 демонстрируют плотности приращений концентраций цинка и меди при динамической и статической нагрузках. На рис. 5 и 6 изображена плотность приращения температуры при динамических нагрузках.
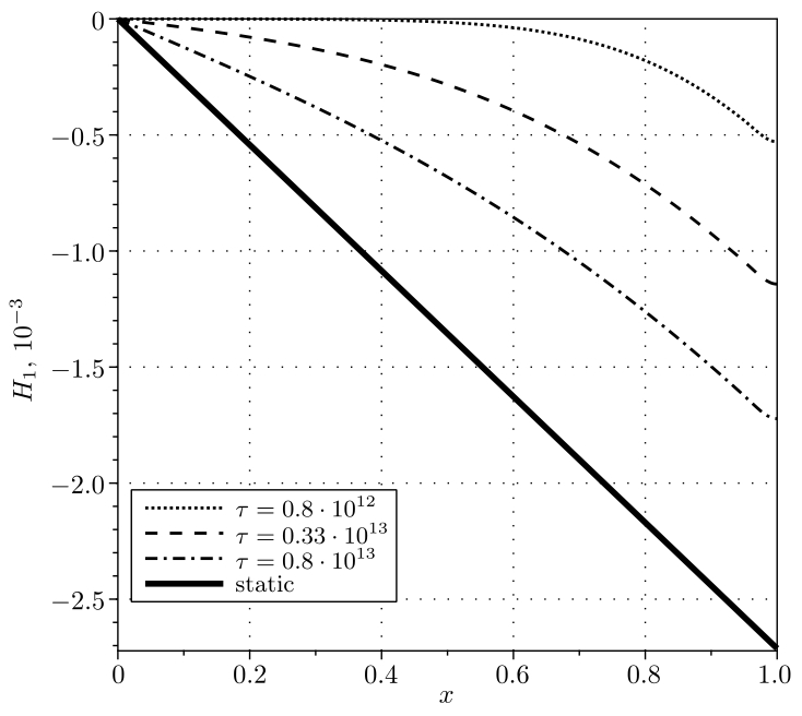
Рис. 3. Линейная плотность приращения концентрации цинка
[Figure 3. Linear density of zinc concentration increment]
Рис. 4. Линейная плотность приращения концентрации меди
[Figure 4. Linear density of copper concentration increment]
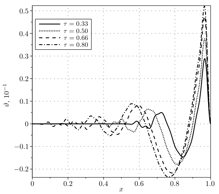
Как показывают расчеты [24], релаксационные эффекты, обуславливающие конечную скорость распространения тепловых и диффузионных потоков, существенно проявляются в начальные моменты времени. Графики, представленные на рис. 3 и 4, одинаково подходят как для классической модели тепломассопереноса, так и для рассмотренной здесь. Примерный момент времени, когда обе модели дают достаточно близкие результаты, показан на рис. 7. Однако на более ранних стадиях развития процесса наблюдаются существенные различия в результатах, полученных по разным моделям (рис. 8).
Полученные результаты позволяют сделать вывод, что влияние механического поля на теплоперенос проявляется более существенно, чем на диффузионные процессы. При заданной нагрузке максимальная плотность приращения температуры материала составляет примерно 85 % (рис. 6). Переходя к размерным величинам, с учетом заданных размеров балки получаем приращение температуры на поверхности балки $x_2^* = h/2$:
\[ \begin{equation*}
T - T_0 = \theta T_0 = x_2 \vartheta T_0 = \frac{x_2^*}{l} \vartheta T_0 = \frac{h}{2l} \vartheta T_0 = \frac{0.05}{2} \cdot 0.85 \cdot 700 \approx 15 \text{К}.
\end{equation*} \]
Рис. 5. Линейная плотность приращения температуры
[Figure 5. Linear density of temperature increment]
Рис. 6. Линейная плотность приращения температуры
[Figure 6. Linear density of temperature increment]
Рис. 7. Линейная плотность приращения концентрации цинка в момент времени $\tau=10^9$
[Figure 7. Linear density of zinc concentration increment at time $\tau=10^9$]
Рис. 8. Линейная плотность приращения концентрации цинка в момент времени $\tau=10^8$
[Figure 8. Linear density of zinc concentration increment at time $\tau=10^8$]
При этом изменение плотности концентрации веществ (цинк и медь) даже на значительном промежутке времени не превышает 1.1 % по отношению к начальным плотностям концентраций, что при переходе к размерным величинам дает пренебрежимо малое значение. Это, в свою очередь, подтверждается экспериментальными исследованиями [27], согласно которым влияние механических нагрузок на диффузионное поле слабо проявляется при упругих деформациях.
Результаты, представленные на рис. 2–4, хорошо согласуются с результатами, полученными ранее аналогичным способом для консольно закрепленной упругодиффузионной балки Бернулли–Эйлера [25]. Кроме того, в так называемом «неопубликованном обзоре»1 имеется немало ссылок на экспериментальные исследования, в том числе и на работу [27], подтверждающих, что взаимодействие механических и диффузионных полей наиболее существенным образом проявляется только при пластических деформациях.
6. Заключение
Таким образом, в работе построена модель нестационарных колебаний консольно закрепленной ортотропной балки Бернулли–Эйлера с учетом релаксации тепловых и диффузионных потоков. Данная модель описывает взаимосвязь между механическими, температурными и диффузионными полями в сплошных средах. Установлено, что интенсивность возникающего тепломассопереноса крайне мала и практически не оказывает обратного влияния на механическое поле в изгибаемой балке. Этот вывод подтвержден путем сравнения полученного решения с решением упругой задачи для балки Бернулли–Эйлера.
Предложен алгоритм решения задачи об изгибе консольно закрепленной балки с учетом тепломассопереноса, основанный на использовании преобразования Лапласа, разложения в тригонометрические ряды Фурье и метода эквивалентных граничных условий.
Конфликт интересов. Авторы заявляют об отсутствии конфликта интересов.
Вклад авторов и ответственность. Все авторы внесли равный вклад в разработку концепции статьи и написание рукописи. Авторы несут полную ответственность за подготовку и предоставление окончательной версии рукописи для публикации. Окончательная версия рукописи была одобрена всеми авторами.
Финансирование. Исследование выполнено за счет гранта Российского научного фонда № 23-21-00189, https://rscf.ru/project/23-21-00189/.
1Бекман И. Н. Диффузионные процессы при механических воздействиях на материал: Неопубликованный обзор, М., 1980. https://profbeckman.narod.ru/DMD.pdf.
About the authors
Andrei V. Zemskov
Moscow Aviation Institute (National Research University); Lomonosov Moscow State University, Institute of Mechanics
Author for correspondence.
Email: azemskov1975@mail.ru
ORCID iD: 0000-0002-2653-6378
SPIN-code: 9082-9823
Scopus Author ID: 56770970200
ResearcherId: J-3893-2013
http://www.mathnet.ru/person75409
Dr. Phys. & Math. Sci., Associate Professor; Professor; Dept. of Applied Software and Mathematical Methods1; Leading Researcher; Lab. of Dynamic Testing2
Russian Federation, 125993, Moscow, Volokolamskoe shosse, 4; 119192, Moscow, Michurinsky prospekt, 1Van H. Le
Moscow Aviation Institute (National Research University)
Email: vanhaovtl@gmail.com
ORCID iD: 0000-0002-0456-6429
https://www.mathnet.ru/person226526
Postgraduate Student; Dept. of Strength of Materials, Dynamics, and Strength of Machines
Russian Federation, 125993, Moscow, Volokolamskoe shosse, 4Dmitry O. Serdiuk
Moscow Aviation Institute (National Research University)
Email: d.serduk55@gmail.com
ORCID iD: 0000-0003-0082-1856
SPIN-code: 4515-5386
Scopus Author ID: 57217994555
ResearcherId: AAB-7446-2022
http://www.mathnet.ru/person128979
Cand. Techn. Sci., Associate Professor; Associate Professor; Dept. of Strength of Materials, Dynamics, and Strength of Machines
Russian Federation, 125993, Moscow, Volokolamskoe shosse, 4References
- Flyachok V. M., Shvets R. N. Theorems of the mechano-thermodiffusion theory of anisotropic shells, Mat. Metody Fiz.-Mekh. Polya, 1985, no. 21, pp. 32–37 (In Russian).
- Shvets R. N., Flyachok V. M. Equations of the mechano-thermodiffusion of anisotropic shells taking into account transverse deformations, Mat. Metody Fiz.-Mekh. Polya, 1984, no. 20, pp. 54–61 (In Russian).
- Shvets R. N., Flyachok V. M. Variational approach to the solution of dynamical problems of thermoelastic diffusion for anisotropic shells, Mat. Fiz. Nelin. Mekh., 1991, no. 16, pp. 39–43 (In Russian).
- Ravrik M. S. A variational mixed formula for contact problems of thermal diffusion theory of deformation of laminated shells, Mat. Metody Fiz.-Mekh. Polya, 1985, no. 22, pp. 40–44 (In Russian).
- Bhattacharya D., Kanoria M. The influence of two temperature generalized thermoelastic diffusion inside a spherical shell, Int. J. Eng. Technol. Res., 2014, vol. 2, no. 5, pp. 151–159.
- Ravrik M. S., Bichuya A. L. Axisymmetric stress state of a heated transversal-isotropic spherical shell with circular opening at diffusion saturation, Mat. Metody Fiz.-Mekh. Polya, 1983, no. 17, pp. 51–54 (In Russian).
- Aouadi M., Copetti M. I. M. Analytical and numerical results for a dynamic contact problem with two stops in thermoelastic diffusion theory, ZAMM, 2016, vol. 96, no. 3, pp. 361–384. DOI: https://doi.org/10.1002/zamm.201400285.
- Aouadi M., Copetti M. I. M. A dynamic contact problem for a thermoelastic diffusion beam with the rotational inertia, Appl. Numer. Math., 2018, vol. 126, pp. 113–137. DOI: https://doi.org/10.1016/j.apnum.2017.12.007.
- Aouadi M., Copetti M. I. M. Exponential stability and numerical analysis of a thermoelastic diffusion beam with rotational inertia and second sound, Math. Comput. Simul., 2021, vol. 187, pp. 586–613. DOI: https://doi.org/10.1016/j.matcom.2021.03.026.
- Aouadi M., Miranville A. Smooth attractor for a nonlinear thermoelastic diffusion thin plate based on Gurtin–Pipkin’s model, Asymptotic Anal., 2015, vol. 95, no. 1–2, pp. 129–160. DOI: https://doi.org/10.3233/ASY-151330.
- Copetti M. I. M., Aouadi M. A A quasi-static contact problem in thermoviscoelastic diffusion theory, Appl. Numer. Math., 2016, vol. 109, pp. 157–183. DOI: https://doi.org/10.1016/j.apnum.2016.06.011.
- Shevchuk P. R., Shevchuk V. A. Mechanodiffusion effect in bending a two-layer bar, Mater. Sci., 1987, vol. 23, no. 6, pp. 604–608. DOI: https://doi.org/10.1007/BF01151899.
- Huang M., Wei P., Zhao L., Li Y. Multiple fields coupled elastic flexural waves in the thermoelastic semiconductor microbeam with consideration of small scale effects, Compos. Struct., 2021, vol. 270, 114104. DOI: https://doi.org/10.1016/j.compstruct.2021.114104.
- Kumar R., Devi S., Sharma V. Resonance of nanoscale beam due to various sources in modified couple stress thermoelastic diffusion with phase lags, Mech. Mech. Eng., 2019, vol. 23, no. 1, pp. 36–49. DOI: https://doi.org/10.2478/mme-2019-0006.
- Aouadi M. On thermoelastic diffusion thin plate theory, Appl. Math. Mech., 2015, vol. 36, no. 5, pp. 619–632. DOI: https://doi.org/10.1007/s10483-015-1930-7.
- Miranville A., Aouadi M. Quasi-stability and global attractor in nonlinear thermoelastic diffusion plate with memory, Evol. Equ. Control Theory, 2015, vol. 4, no. 3, pp. 241–263. DOI: https://doi.org/10.3934/eect.2015.4.241.
- Mikolaychuk M. A., Knyazeva A. G., Grabovetskaya G. P., Mishin I. P. Research of the stress influence on the diffusion in the coating plate, PNRPU Mechanics Bulletin, 2012, no. 3, pp. 120–134 (In Russian). EDN: PETTDJ.
- Zemskov A. V., Le V. H., Serdyuk D. O. A model of bending of an orthotropic cantilevered Bernoulli–Euler beam under the action of nonstationary thermomechanodiffusion loads, In: Innovatsionnoe razvitie transportnogo i stroitel’nogo kompleksov [Innovative Development of Transport and Construction Complexes], vol. 2. Gomel’, Belarusian State University of Transport, 2023, pp. 90–92 (In Russian).
- Vol’fson E. F. To the 80th anniversary of the famous opening of V.S. Gorskii, Izv. Vyssh. Uchebn. Zaved. Chernaya Metallurgiya, 2016, vol. 59, no. 5, pp. 357–359 (In Russian). EDN: WBOQVZ. DOI: https://doi.org/10.17073/0368-0797-2016-5-357-359.
- Kukushkin S. A., Osipov A. V. The Gorsky effect in the synthesis of silicon-carbide films from silicon by topochemical substitution of atoms, Tech. Phys. Lett., 2017, vol. 43, no. 7, pp. 631–634. EDN: XNQWWZ. DOI: https://doi.org/10.1134/S1063785017070094.
- Knyazeva A. G. Vvedenie v termodinamiku neobratimykh protsessov. Lektsii o modeliakh [Introduction to Thermodynamics of Irreversible Processes. Lectures on Models]. Tomsk, Ivan Fedorov, 2014, 172 pp. (In Russian)
- Keller I. E., Dudin I. S. Mekhanika sploshnoi sredy. Zakony sokhraneniia [Continuum Mechanics. Conservation Laws]. PNIPU, Perm’, 2022, 142 pp. (In Russian)
- Zemskov A. V., Tarlakovskii D. V. Modelirovanie mekhanodiffuzionnykh protsessov v mnogokomponentnykh telakh s ploskimi granitsami [Modeling of Mechanodiffusion Processes in Multicomponent Bodies with Flat Boundaries]. Moscow, Fizmatlit, 2021, 288 pp. (In Russian)
- Zemskov A. V., Le V. H., Tarlakovskii D. V. Bernoulli–Euler beam unsteady bending model with consideration of heat and mass transfer, J. Appl. Comp. Mech., 2023, vol. 9, no. 1, pp. 168–180. DOI: https://doi.org/10.22055/jacm.2022.40752.3649.
- Zemskov A. V., Tarlakovskii D. V., Faykin G. M. Unsteady bending of the orthotropic cantilever Bernoulli–Euler beam with the relaxation of diffusion fluxes, ZAMM, 2022, vol. 102, no. 10, e202100107. DOI: https://doi.org/10.1002/zamm.202100107.
- Babichev A. P., Babushkina N. A., Bratkovskii A. M., et al. Fizicheskie velichiny [Physical Quantities]. Moscow, Energoatomizdat, 1991, 1232 pp. (In Russian)
- Hirano K., Cohen M., Averbach B. L., Ujiiye N. Self-diffusion in alpha iron during compressive plastic flow, Trans. Metall. Soc. AIME, 1963, vol. 227, pp. 950–957.
Supplementary files











