Stability of layered cylindrical shells filled with fluid
- Authors: Bochkarev S.A.1
-
Affiliations:
- Institute of Continuous Media Mechanics, Ural Branch Russian Academy of Sciences
- Issue: Vol 29, No 1 (2025)
- Pages: 55-76
- Section: Mechanics of Solids
- URL: https://journals.eco-vector.com/1991-8615/article/view/636586
- DOI: https://doi.org/10.14498/vsgtu2117
- EDN: https://elibrary.ru/SEUHGG
- ID: 636586
Cite item
Full Text
Abstract
The paper investigates the stability of circular vertical layered cylindrical shells completely filled with a quiescent compressible fluid subjected to hydrostatic and external static loads. The behavior of the elastic structure and the fluid medium is described within the framework of the classical shell theory and Euler equations. The linearized equations of motion of the shell and the corresponding geometrical and physical relations are reduced to a system of ordinary differential equations with respect to new unknowns. The acoustic wave equation is transformed to a system of differential equations using the method of generalized differential quadrature. The solution of the formulated boundary value problem is reduced to the calculation of natural vibration frequency in terms of Godunov's orthogonal sweep method. For this purpose, a stepwise procedure is applied in combination with a subsequent refinement by the Muller method. The reliability of the obtained results is verified through a comparison with known numerical solutions. The dependence of the critical external pressure on the ply angle of simply supported, rigidly fixed and cantilevered two-layer and three-layer cylindrical shells is analyzed in detail. The influence of the combined static pressure on the optimal ply angle providing an increase of the stability boundary is evaluated.
Full Text
Введение
Элементы конструкций на основе пластин и оболочек, в том числе содержащих жидкость или погруженных в нее, эксплуатируются в условиях интенсивных внешних воздействий различной природы. Механические, температурные и центробежные нагрузки, а также статические составляющие аэро- и гидродинамического давления оказывают существенное влияние на поведение упругих тел, изменяя их динамические характеристики; чрезмерные значения некоторых из них могут инициировать статическую потерю устойчивости тонкостенного тела. Известно [1, 2], что применение современных материалов, в том числе слоистых композитов, позволяет повысить порог устойчивости конструкций. Корректное математическое описание воздействия внешних усилий требует привлечения геометрически нелинейных соотношений, учитывающих изменение исходных параметров в результате нагружения. Решение таких задач связано с известными трудностями, но может быть сведено к линеаризованной постановке, если изучение особенностей протекающих нелинейных процессов не является целью исследования. Полученные в этом случае уравнения, сформулированные в окрестности исходного состояния, позволяют учитывать начальное напряженное (в общем случае напряженно-деформированное) состояние, определяемое из решения линейной статической задачи или из аналитических формул.
Анализу тонкостенных конструкций, полностью или частично заполненных жидкостью и выполненных из слоистых композиционных материалов, посвящено незначительное количество публикаций. Из процитированных в библиографических обзорах [3, 4] работ следует, что в этих исследованиях с привлечением различных численных или численно-аналитических методов изучено влияние угла армирования на динамическое поведение поперечно и перекрестно армированных многослойных оболочек, имеющих различные граничные условия.
Количество публикаций, направленных на изучение предварительно нагруженных круговых оболочек, содержащих неподвижную или текущую жидкость, также незначительно [5–19]. В этих работах, выполненных в линеаризованной постановке, проанализировано влияние механических (гидростатическое давление, осевая сила) или температурных нагрузок на частотный спектр или критические параметры потери устойчивости одиночных (цилиндрических, эллиптических) оболочек. Исследование влияния осевого сжимающего усилия и внешнего давления на частоты колебаний и скорости потери устойчивости изотропных и ортотропных цилиндрических оболочек на основе метода конечных элементов представлено в работах [5–7]. Воздействие температуры на частоты и скорости потока жидкости, текущей внутри жестко закрепленной однослойной оболочки, оценено в [8] при различных углах намотки с помощью метода конечных элементов (МКЭ). В работе [9] в рамках МКЭ проанализирован вклад гидростатического давления в изменение критических скоростей дивергенции и флаттера для оболочек с разными граничными условиями. Изменение динамического отклика функционально-градиентной (ФГ) оболочки с текущей жидкостью при различных значениях осевой силы и тепловой нагрузки изучено в работе [10] с использованием методов модальной суперпозиции и Ньюмарка. Новые аналитические методы, основанные на методах распространяющихся волн или передаточных матриц, предложены в статьях [11, 12] для предсказания критического гидростатического давления, действующего на погруженные в жидкость цилиндрические или эллиптические стальные оболочки с различными комбинациями граничных условий. Зависимости минимальных частот колебаний эллиптической оболочки от величины внешнего статического давления изучены в [13] с учетом гидростатического давления на смоченной поверхности при различных параметрах эллиптичности и уровнях неподвижной жидкости в рамках трехмерной реализации МКЭ. Влияние температуры на динамическое поведение цилиндрических оболочек, выполненных из ФГ материала, взаимодействующих с неподвижной или текущей жидкостью, исследовано в [14] с помощью полуаналитического варианта МКЭ. На основе метода распространяющихся волн в [15, 16] предложен направленный на повышение устойчивости эффективный метод анализа погруженных в жидкость ФГ оболочек, нагруженных внешним гидростатическим давлением. В работе [17] представлены экспериментальные и численные (3D МКЭ) исследования гибких трубок, которые нагружены осевой силой с целью предотвращения биения при внутреннем течении жидкости. Изучение собственных колебаний перекрестно армированных оболочек, частично заполненных жидкостью и учитывающих влияние гидростатического давления, обусловленного гравитационными силами, осуществлено в [18] методом ортогональной прогонки Годунова. С помощью метода распространяющихся волн виброакустические характеристики собственных и вынужденных колебаний поперечно и перекрестно армированных оболочек, полностью заполненных жидкостью, исследованы в [19] с учетом внешнего гидростатического давления.
Если в некоторых из перечисленных исследований, учитывающих предварительное нагружение, не акцентируется внимание на вклад, привносимый жидкостью в изменение границ устойчивости, то в других отмечается, что предельные значения статических нагрузок строго соответствуют тем значениям, которые получены для пустых оболочек. Влияние столба жидкости на критические параметры устойчивости может быть учтено за счет изменения напряженно-деформированного состояния смоченной поверхности упругого тела благодаря воздействию гидростатического давления, инициированного гравитационными силами. Такой подход наряду с учетом эффектов на свободной поверхности жидкости используется, как правило, при анализе частично заполненных оболочек [20–30]. Среди указанных публикаций имеются такие, в которых исследования осуществлены в рамках предложенной в работе [20] постановки, суть которой состоит в том, что работа гидростатического давления, совершаемая на смоченной поверхности, должна учитывать и деформацию этой поверхности, происходящую вследствие ее колебаний. Для большинства конфигураций благодаря линейным размерам или физико-механическим свойствам материала принятие гидростатической нагрузки в виде «следящей», как и учет эффектов волнообразования на свободной поверхности, привносит незначительные изменения в частоты колебаний или критические параметры внешней нагрузки и может быть исключено из рассмотрения [18, 21, 31].
Среди вышеупомянутых публикаций только в статьях [18, 19] представлены результаты исследований предварительно нагруженных слоистых оболочек, полностью или частично заполненных жидкостью. В этих работах изучено изменение собственных частот колебаний при учете либо внешней статической нагрузки, либо гидростатического давления, обусловленного гравитационными силами и действующего на смоченной поверхности. Учет одновременного воздействия статической нагрузки различной природы на критические параметры устойчивости композитных оболочек с разными вариантами укладки и углами армирования в литературе не представлен. Выполнение такого анализа является целью настоящей работы.
Численное решение сформулированной краевой задачи осуществляется методом ортогональной прогонки Годунова [32]. При его использовании для конструкций, взаимодействующих с жидкостью, наиболее универсальным является подход, в котором системы обыкновенных дифференциальных уравнений для упругого тела и жидкости решаются совместно. Преобразование дифференциальных уравнений, описывающих поведение идеальной сжимаемой жидкости, к нормальному виду Коши может осуществляться различными методами [33–37], среди которых метод обобщенных дифференциальных квадратур [38] обеспечивает более высокую вычислительную эффективность и поэтому будет использован в настоящей работе.
1. Постановка задачи
Рассматривается вертикально ориентированная упругая слоистая цилиндрическая оболочка вращения (рис. 1) длиной $L$, радиусом $R$ и толщиной $h$, полностью заполненная идеальной сжимаемой жидкостью. Тонкостенное тело, изготовленное из однонаправленного материала, слои которого ориентированы под углами $-\alpha$ и $+\alpha$ относительно меридиональной координаты, подвергается воздействию внешнего равномерного статического давления $P$, положительное направление которого совпадает с нормалью к внешней поверхности. Рассматриваются пакеты, состоящие из двух $[\alpha/{-}\alpha]$ или трех $[\alpha/0^\circ/{-}\alpha]$ слоев. На смоченной поверхности учитывается изменение напряженно-деформированного состояния тела, обусловленное воздействием гидростатических сил $p_g$, инициированных гравитацией. Необходимо проанализировать влияние угла армирования $\alpha$ для двух вариантов укладки слоистого композиционного материала на критические значения внешнего давления $P$ при различных комбинациях граничных условий, задаваемых на краях упругого тела.
Рис. 1. Расчетная схема нагруженной композитной цилиндрической оболочки с жидкостью
[Figure 1. Computational scheme of the loaded composite cylindrical shell with fluid]
2. Основные соотношения и метод решения
В процитированных выше публикациях описание слоистого упругого тела строится с использованием классической теории тонких оболочек или различных вариантов уточненных теорий, учитывающих деформации поперечного сдвига. Последние используют, как правило, при моделировании толстостенных оболочек или в случае высокой степени ортотропии однонаправленного материала. В настоящей работе будут рассмотрены тонкостенные ($R/h > 800$) оболочки, выполненные из трансверсально-изотропного материала, поведение которых описывается в рамках классической теории оболочек, основанной на гипотезах Кирхгофа – Лява. В рамках этой теории компоненты тензора деформаций ${\rm E}_{ij}$ записываются в криволинейной системе координат $\left( {s,\theta ,z} \right)$ в виде [39]
\[ \begin{equation*}
{\rm E}_{11} = \varepsilon_{11} + z\kappa_{11},\quad {\rm E}_{22} = \varepsilon_{22} + z\kappa_{22},\quad {\rm E}_{12} = \varepsilon_{12} + 2z\kappa_{12},
\end{equation*} \]
где
\[ \begin{gather}
\varepsilon_{11} = \frac{\partial u}{\partial s},\quad \varepsilon_{22} = \frac{1}{R}\Bigl( \frac{\partial v}{\partial \theta} + w \Bigr),\quad \varepsilon_{12} = \frac{\partial v}{\partial s} + \frac{1}{R}\frac{\partial u}{\partial \theta}, \\
\kappa_{11} = \frac{\partial \theta_1}{\partial s}, \quad
\kappa_{22} = \frac{1}{R}\frac{\partial \theta_2}{\partial \theta},\quad \kappa_{12} = \frac{1}{R}\Bigl( \frac{\partial v}{\partial s} - \frac{\partial \theta_1}{\partial \theta} \Bigr), \\
\theta_1 = - \frac{\partial w}{\partial s},\quad \theta_2 = \frac{1}{R}\Bigl( v - \frac{\partial w}{\partial \theta} \Bigr).
\end{gather} \tag{1} \]
Здесь $u$, $v$ и $w$ — меридиональная, окружная и нормальная составляющие вектора перемещений оболочки; $\theta _i$ — углы поворота недеформируемой нормали.
Физические соотношения, устанавливающие связь между вектором усилий и моментов ${\boldsymbol{T}} = \{T_{11}, T_{22}, S, M_{11}, M_{22}, H\}^{\top}$ и вектором обобщенных деформаций $\boldsymbol{\varepsilon} = \{\varepsilon_{11}, \varepsilon_{22}, \varepsilon_{12}, \kappa_{11}, \kappa_{22}, 2\kappa_{12}\}^{\top}$, в матричном виде записываются как
\[ \begin{equation}
{\boldsymbol{T}} = {\bf{D}}\boldsymbol{\varepsilon} = \left[ \begin{array}{cc}
{\bf A} & {\bf B} \\
{\bf B} & {\bf C}
\end{array} \right] \boldsymbol{\varepsilon},
\end{equation} \tag{2} \]
где коэффициенты, входящие в матрицу жесткостей $\bf{D}$, определяются по формулам
\[ \begin{equation*}
( a_{ij}, b_{ij}, c_{ij} ) = \int_h ( 1, z, z^2 ) \bar{Q}_{ij}(\alpha) \, dz, \quad i,j = 1,2,3,
\end{equation*} \]
а компоненты матрицы $\bar{Q}_{ij}(\alpha)$ вычисляются известным способом [40] в результате изменения свойств однонаправленного материала при повороте системы координат на угол $\alpha$.
Нелинейные уравнения движения оболочки:
\[ \begin{gather}
\frac{\partial T_{11}}{\partial s} + \frac{1}{R}\frac{\partial S}{\partial \theta} - \rho_0 \frac{\partial^2 u}{\partial t^2} = 0, \\
\frac{\partial S}{\partial s} + \frac{1}{R}\frac{\partial T_{22}}{\partial \theta} +
\frac{1}{R}\Bigl( Q_{22} + \frac{\partial H}{\partial s} \Bigr) - \rho_0 \frac{\partial^2 v}{\partial t^2} = 0,
\\
\frac{\partial Q_{11}}{\partial s} + \frac{1}{R}\frac{\partial Q_{22}}{\partial \theta} - \frac{1}{R} T_{22} - \rho_0 \frac{\partial^2 w}{\partial t^2} + p = 0,
\\
\frac{\partial M_{11}}{\partial s} + \frac{1}{R}\frac{\partial H}{\partial \theta} - Q_{11} - T_{11} \theta_1 - S \theta_2 = 0,
\\
\frac{\partial H}{\partial s} + \frac{1}{R}\frac{\partial M_{22}}{\partial \theta} - Q_{22} - T_{22} \theta_1 - S \theta_1 = 0,
\end{gather} \tag{3} \]
где $Q_{ii}$ — поперечные силы; $\rho_0 = \displaystyle \int_h \rho \, dz$; $\rho$ — плотность материала; $p$ — гидродинамическое давление, которое в области $V_f$ описывается акустическим волновым уравнением [41]:
\[ \begin{equation}
\nabla^2 p = \frac{1}{r} \frac{\partial}{\partial r} \Bigl( r \frac{\partial p}{\partial r} \Bigr) +
\frac{1}{r^2} \frac{\partial^2 p}{\partial \theta^2} + \frac{\partial^2 p}{\partial x^2} = \frac{1}{c^2} \frac{\partial^2 p}{\partial t^2}.
\end{equation} \tag{4} \]
Здесь $c$ — скорость звука в жидкости. На смоченной ($r = R$) поверхности, оси вращения оболочки ($r = 0$), нижнем ($x = 0$) и верхнем ($x = L$) краях давление $p$ удовлетворяет следующим условиям:
\[ \begin{equation}
\nabla p \cdot {\bf n} \Bigr|_{r = R} = - \rho_f \frac{\partial^2 w}{\partial t^2},
\end{equation} \tag{5} \]
\[ \begin{equation}
\nabla p \cdot {\bf n } \Bigr|_{r = 0} = 0,
\end{equation} \tag{6} \]
\[ \begin{equation}
\frac{\partial p}{\partial x}\Bigr|_{x = 0} = 0, \quad
\frac{\partial p}{\partial x}\Bigr|_{x = L} = 0,
\end{equation} \tag{7} \]
где $\bf n$ — единичные внешние нормали к области жидкости $V_f$; $\rho_f$ — плотность жидкости. Равенство нулю градиента давления в условии (7) характеризует взаимодействие жидкости с жесткой поверхностью.
Раскладывая все компоненты уравнений (1), (2), (4) в ряды Фурье по окружной координате $\theta$:
\[ \begin{gather*}
X(x,\theta) = \sum_{j = 0}^\infty X_j(x) \cos j\theta , \quad
Y(x,\theta) = \sum_{j = 0}^\infty Y_j(x) \sin j\theta, \\
X = \{ u, w, \theta_1, E_{11}, E_{22}, K_{11}, K_{22}, T_{11}, T_{22}, M_{11}, M_{22}, Q_{11}, p \}, \\
Y = \{ v, \theta_2, E_{12}, K_{12}, S, H, Q_{22} \},
\end{gather*} \]
сведем геометрические (1) и физические (2) соотношения, а также уравнения движения (3) к системе восьми обыкновенных дифференциальных уравнений первого порядка относительно новых неизвестных [39]:
\[ \begin{gather*}
y_1 = T_{11}, \quad y_2 = S + 2H/R, \quad y_3 = M_{11}, \quad y_4 = Q_{11} + \bar{j} H, \\
y_5 = u, \quad y_6 = v, \quad y_7 = w, \quad y_8 = \theta_1.
\end{gather*} \]
Здесь $j$ — номер гармоники при разложении в ряд Фурье, $\bar{j} = j/R$. С учетом этого и принимая во внимание ${\boldsymbol{y}}(t) = {\boldsymbol{y}} \exp({\rm i} \omega t)$, получим искомую линеаризованную систему уравнений:
\[ \begin{equation}
\frac{\partial \boldsymbol{y}}{\partial s} = \boldsymbol{f} (j, \omega, \boldsymbol{y} ).
\end{equation} \tag{8} \]
Здесь $\omega$ — частота колебаний, ${\rm i }^2 = -1$. Компоненты вектора $\boldsymbol{f}$ определяются следующим образом:
\[ \begin{gather}
f_1 = \bar{j} ( 2H/R - y_2 ) - \omega^2 \rho_0 y_5, \quad f_2 = \bar{j} T_{22} - Q_{22}/R - \omega^2 \rho_0 y_6, \\
f_3 = y_4 - 2\bar{j} H + T_{11}^0 y_8 - y_1 \theta_1^0, \quad f_4 = T_{22}/R - \bar{j} Q_{22} - \omega^2 \rho_0 y_7 - p, \\
f_5 = \varepsilon_{11} - \theta_1^0 y_8, \quad f_6 = \varepsilon_{12} + \bar{j} y_5 - \theta_1^0 \theta_2, \quad f_7 = -y_8, \quad f_8 = \kappa_{11},
\end{gather} \tag{9} \]
где
\[ \begin{gather*}
\varepsilon_{22} = \bar{j} y_6 + y_7/R, \quad \kappa_{22} = \bar{j} \theta_2, \quad \theta_2 = y_6/R - \bar{j} y_7, \quad \varpi = a_{11} c_{11} - b_{11}^2,
\\
M_{12} = b_{33} \varepsilon_{12} + 2c_{33} \kappa_{12}, \quad Q_{22} = -\bar{j} M_{22} + T_{22}^0 \theta_2 - \theta_1^0 ( y_2 - 2M_{12}/R ),
\\
\kappa_{11} = [ a_{11} ( y_3 - b_{12} \varepsilon_{22} - c_{12} \kappa_{22} ) -
b_{11} ( y_1 - a_{12} \varepsilon_{22} - b_{12} \kappa_{22} ) ] / \varpi,
\\
\varepsilon_{11} = \frac{y_1 - a_{12} \varepsilon_{22} - b_{11} \kappa_{11} - b_{12} \kappa_{22}}{a_{11}},
\quad
\kappa_{12} = \frac{\varepsilon_{12} + \bar{j} y_5 - \theta_1^0 \theta_2}{R} - \bar{j} y_8,
\\
T_{22} = a_{12} \varepsilon_{11} + a_{22} \varepsilon_{22} + b_{12} \kappa_{11} + b_{22} \kappa_{22}, \\
M_{22} = b_{12} \varepsilon_{11} + b_{22} \varepsilon_{22} + c_{12} \kappa_{11} + c_{22} \kappa_{22}, \\
\varepsilon_{12} = \frac{y_2 - 2 ( b_{33} + 2c_{33}/R ) \bigl( \bar{j} ( y_5/R + y_8 ) - \theta_1^0 \theta_2/R \bigr)}{a_{33} + 4 ( b_{33} + c_{33}/R )/R}.
\end{gather*} \]
Входящие в выражения (9) величины $T_{11}^0$, $T_{22}^0$ и $\theta_1^0$ характеризуют основное напряженно-деформированное состояние и определяются из решения осесимметричной статической задачи
\[ \begin{equation}
\frac{\partial \bar{\boldsymbol{y}}}{\partial s} =
\bar{\boldsymbol{f}}(\bar{\boldsymbol{y}}) + {\boldsymbol{b}}, \quad
b_3 = P + p_g, \quad p_g = \rho_f g (L - x).
\end{equation} \tag{10} \]
Здесь $\bar{\boldsymbol{y}} = \{ T_{11}, Q_{11}, M_{11}, u, w, \theta_1 \}^{\top}$; $g$ — ускорение свободного падения; $\bar{\boldsymbol{f}}$ — вектор, компоненты которого для значений $\bar{\boldsymbol{y}}$ получены из $\boldsymbol{f}$ при условиях $j = 0$ и $\omega = 0$.
Уравнение (4) сводится к системе обыкновенных дифференциальных уравнений методом обобщенных дифференциальных квадратур [38]. Для этого область жидкости по радиусу $r$ делится на $n$ точек. Тогда производные $l$-го порядка от функции $p(x,r)$ в любой точке $r_i$ определяются как
\[ \begin{equation}
\frac{\partial^l p(x, r_i)}{\partial r^l} = \sum _{k = 1}^n c_{ik}^{(l)} p(x, r_k),
\quad i = \overline{1,n}, \quad l = \overline{1,m},
\end{equation} \tag{11} \]
где $m = n - 1$, а весовые коэффициенты $c_{ik}^{(l)}$ вычисляются по известным рекуррентным формулам [38].
С учетом (11) и граничных условий (5), (6) вместо (4) может быть получена следующая система обыкновенных дифференциальных уравнений [42]:
\[ \begin{gather}
y_{7 + 2(n - 1)} = p_{n - 1}(x), \quad y'_{7 + 2(n - 1)} = y_{8 + 2(n - 1)}, \\
y'_{8 + 2(n - 1)} = -p_{n - 1}^{(2)}(x) + y_{7 + 2(n - 1)}\Bigl( \frac{j^2}{r_{n - 1}^2} - \frac{\omega^2}{c^2} \Bigr) - \frac{p_{n - 1}^{(1)}(x)}{r_{n - 1}},
\end{gather} \tag{12} \]
где
\[ \begin{gather*}
p_{n - 1}^{(1)}(x) = c_{n - 11}^{(1)} p_1(x) + \sum _{k = 2}^{n - 1} c_{n - 1k}^{(1)} y_{7 + 2(k - 1)} + c_{n - 1n}^{(1)} p_n(x), \\
p_{n - 1}^{(2)}(x) = c_{n - 11}^{(2)} p_1(x) + \sum _{k = 2}^{n - 1} c_{n - 1k}^{(2)} y_{7 + 2(k - 1)} + c_{n - 1n}^{(2)} p_n(x), \\
p_n(x) = \biggl( c_{n1}^{(1)} \sum _{k = 2}^{n - 1} \frac{c_{1k}^{(1)} p_k(x)}{c_{11}^{(1)}} -
\sum _{k = 2}^{n - 1} c_{nk}^{(1)} p_k(x) - \rho_f \frac{\partial^2 w}{\partial t^2} \biggr) \bigg/ \Bigl( \frac{c_{nn}^{(1)} - c_{n1}^{(1)} c_{n1}^{(1)}}{c_{11}^{(1)}} \Bigr),
\\
p_1(x) = -\biggl( \sum\_{k = 2}^{n - 1} c_{1k}^{(1)} p_k(x) + c_{1n}^{(1)} p_n(x) \biggr) \bigg/ c_{11}^{(1)}.
\end{gather*} \]
С учетом того, что в соотношениях (9) $p = p_n$, совокупное число неизвестных, определяемых системами уравнений (8) и (12), составляет $N = 8 + 2m$.
Объединенные системы уравнений (8), (12) решаются методом ортогональной прогонки Годунова [32]. Численное интегрирование дифференциальных уравнений с однородными граничными условиями, задаваемыми на краях оболочки и слоя жидкости соотношениями
\[ \begin{equation}
y_i \bigr|_{s = 0} \delta_i + y_{i + M} \bigr|_{s = 0} ( 1 - \delta_i ) = 0, \quad i = 1, \ldots, M,
\end{equation} \tag{13} \]
\[ \begin{equation}
y_i \bigr|_{s = L} \delta_{i + M} + y_{i + M} \bigr|_{s = L} ( 1 - \delta_{i + M} ) = 0, \quad i = 1, \ldots, M,
\end{equation} \tag{14} \]
\[ \begin{equation}
y_i \bigr|_{x = 0} = 0, \quad i = 10, 12, \ldots, N/2,
\end{equation} \tag{15} \]
\[ \begin{equation}
y_i \bigr|_{x = L} = 0, \quad i = 10, 12, \ldots, N/2,
\end{equation} \tag{16} \]
осуществляется методом Рунге–Кутты четвертого порядка точности. В условиях (13) и (14) параметр $\delta_i$ равен нулю или единице в зависимости от заданных кинематических или статических граничных условий соответственно, а параметр $M$ принимает значение, равное трем при решении статической задачи или четырем — в случае динамической.
Общее решение систем представляется в виде
\[ \begin{equation*}
\boldsymbol{y} = \sum_{k = 1}^{N/2} C_k {\boldsymbol{y}}_k,
\end{equation*} \]
где $C_k$ — некоторые константы, а ${\boldsymbol{y}}_k$ — совокупность линейно независимых решений объединенных систем, удовлетворяющих граничным условиям (13), (15). В результате интегрирования по заданному интервалу и удовлетворения граничным условиям (14), (16) получаем следующую алгебраическую систему для определения постоянных:
\[ \begin{equation}
\sum_{k = 1}^{N/2} C_k f_{ik} = 0, \quad i = 1, N/2.
\end{equation} \tag{17} \]
Искомая задача сводится к определению таких значений, при которых существует нетривиальное решение системы (17). Необходимым условием этого является равенство нулю определителя матрицы $| f_{ik}(\omega) | = 0$. Для вычисления частот $\omega$, удовлетворяющих данному условию, используется сочетание двух техник. С помощью пошаговой процедуры определяется диапазон, в котором определитель матрицы $| f_{ij}(\omega) |$ меняет знак. Далее приближенное значение частоты вычисляется с заданной точностью в полученном интервале посредством итерационной процедуры, основанной на методе Мюллера [43, 44]. Для классической теории оболочек статическая задача (10) сводится к решению системы уравнений, имеющих размерность $3 {\times} 3$. В этом случае более эффективным является использование метода Крамера с вычислением определителя по методу треугольников [45]. Оценка устойчивости гидроупругой системы основывается на анализе частоты $\omega$, получаемой при последовательно возрастающем значении внешнего давления $P$.
3. Численные результаты
В численных примерах рассматриваются двухслойные и трехслойные свободно опертые ($v = w = T_{11} = M_{11} = 0$, SS), жестко закрепленные ($u = v = w = \theta_1 = 0$, CC) на обоих краях или консольные ($T_{11} = 0$, $S + 2r_2 H = 0$, $M_{11} = 0$, $Q_{11} + \bar{j} H = 0$, CF) цилиндрические оболочки ($L = 30$ м, $R = 25$ м, $h = 0.03$ м), заполненные сжимаемой жидкостью ($\rho_f = 1000$ кг/м$^3$, $c = 1500$ м/с) и изготовленные из бор-эпоксидной смолы (AVCO 5505), физико-механические характеристики для которой взяты из статьи [46]. Для представления результатов расчетов вводится безразмерный параметр внешнего статического давления
\[ \begin{equation*}
\xi = \frac{P L^3}{c_{11}} \cdot 10^{-4}.
\end{equation*} \]
Верификация результатов, получаемых с помощью описанного выше алгоритма, для различных конфигураций осуществлена в работах [4, 18, 37, 42]. В частности установлено, что для метода обобщенных дифференциальных квадратур приемлемая точность вычислений достигается при разбиении области решения в радиальном направлении на 15 точек.
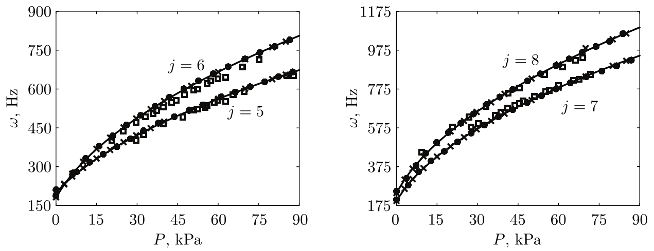
Оценка достоверности результатов в случае нагруженной конструкции осуществлена на задаче о собственных частотах колебаний $\omega$ (Гц) жестко закрепленной на обоих краях (CC) пустой изотропной цилиндрической оболочки (модуль упругости $E = 210$ ГПа, коэффициент Пуассона $\nu = 0.32$, $\rho_s = 7916$ кг/м$^3$, $h = 1.524 \cdot 10^{-4}$ м, $R/h = 666.67$, $L = 0.6096$ м), подверженной воздействию внутреннего статического давления $P$. Сравнение как с экспериментальными [47], так и с численными данными, полученными с помощью двумерной (2D) [7] и трехмерной (3D) [13] конечно-элементных постановок, приведено на рис. 2 для четырех окружных гармоник $j$. Из представленных результатов следует, что имеет место хорошее согласование с известными решениями.
Рис. 2. Сравнение собственных частот колебаний $\omega$ нагруженной внутренним давлением $P$ жестко закрепленной пустой оболочки (CC): $\boldsymbol{\square}$ — [47] (эксперимент); $\boldsymbol{\bullet}$ — [7] (МКЭ, 2D); $\boldsymbol{\times}$ — [13] (МКЭ, 3D); сплошная линия — расчет
[Figure 2. Comparison of natural frequencies of vibrations $\omega$ of the rigidly fixed empty shell (CC) subjected to internal pressure $P$: $\boldsymbol{\square}$ — [47] (experiment); $\boldsymbol{\bullet}$ — [7] (FEM, 2D); $\boldsymbol{\times}$ — [13] (FEM, 3D); solid line — calculation]
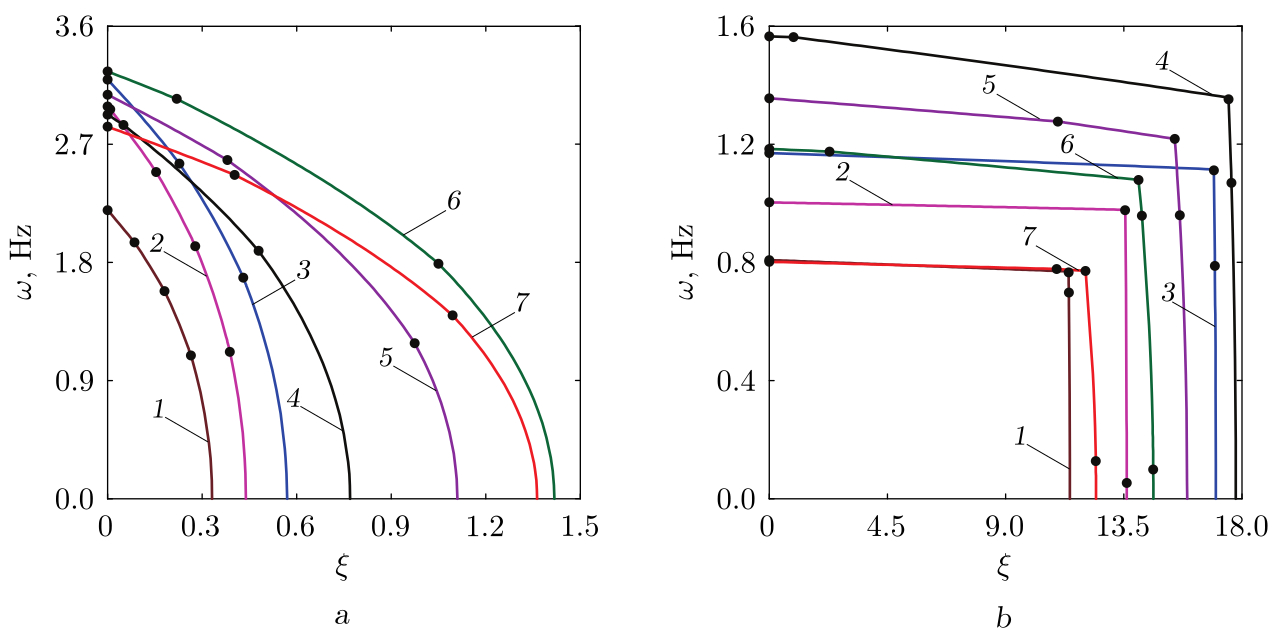
На рис. 3, 4 для различных углов армирования $\alpha$ приведены графики изменения низших собственных частот колебаний $\omega$ (Гц) в зависимости от безразмерного параметра $\xi$ внешнего гидростатического давления $P$, полученные для пустых и полностью заполненных жидкостью оболочек с разными граничными условиями и схемами укладки. Здесь символами отображены точки смены окружной гармоники, соответствующей минимальной частоте. Известно [3, 48], что как для пустых оболочек, так и для оболочек с жидкостью, с ростом угла армирования номер окружной гармоники постепенно снижается благодаря изменению жесткости в окружном направлении. С увеличением давления $\xi$ частота снижается до тех пор, пока при значении $\xi_{cr}$, называемом критическим, она не становится равной нулю. Такое состояние соответствует статической потере устойчивости или дивергенции.
Слоистый материал при различных углах армирования изменяет жесткостные характеристики в осевом и окружном направлениях, определяя различную степень восприимчивости к внешней нагрузке. Столб жидкости, оказывая давление на деформируемую поверхность тела, с одной стороны, повышает уровень сопротивления конструкции к внешнему воздействию, а с другой стороны, может изменять оптимальную комбинацию жесткостных свойств, как это наблюдается для жестко закрепленных оболочек (рис. 4). Для этой комбинации граничных условий угол армирования, обеспечивающий высокие показатели критического внешнего давления, смещается в область более низких значений по сравнению с пустой оболочкой.
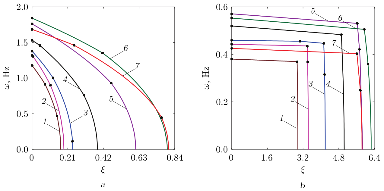
В присутствии жидкости плавное изменение фундаментальной частоты, сопровождающееся последовательным повышением окружной моды с минимальной частотой, сменяется на ее резкое падение и скачкообразный переход к новой окружной гармонике. Например, в случае консольного закрепления (рис. 3) при $\alpha = 60^\circ$ наблюдаются следующие последовательности смены окружных мод для пустых и заполненных оболочек: $9 \rightarrow 10$; $4 \rightarrow 19 \rightarrow 20$. Резкое снижение частоты обусловлено приближением к предельным значениям статической нагрузки, которая в данном случае определяется значениями ее внутренней и внешней составляющих.
Для анализируемой в настоящей работе системы с целью преодоления стабилизирующего влияния внутреннего гидростатического давления требуется значительное воздействие со стороны внешнего давления. В случае других конфигураций вклад внутреннего давления, инициированного гравитационными силами, в состояние устойчивости может быть минимальным или вообще отсутствовать. Отметим также, что при наличии жидкости и $p_g = 0$ зависимости частот от давления будут отличаться от полученных для пустых оболочек, но значения давлений, при которых происходит потеря устойчивости, останутся неизменными.
Рис. 3. Зависимости низших собственных частот колебаний $\omega$ от параметра давления $\xi$, полученные для пустой (a) и полностью заполненной жидкостью (b) трехслойной консольно закрепленной (CF) оболочки при различных значениях угла армирования $\alpha$: 1 — $\alpha=0$, 2 — $\alpha=15^\circ$, 3 — $\alpha=30^\circ$, 4 — $\alpha=45^\circ$, 5 — $\alpha=60^\circ$, 6 — $\alpha=75^\circ$, 7 — $\alpha=90^\circ$
[Figure 3. Dependences of the lowest natural frequencies of vibration $\omega$ on the pressure parameter $\xi$ obtained for empty (a) and completely filled (b) three-layer cantilevered (CF) shells at different values of the ply angle $\alpha$: 1 — $\alpha=0$, 2 — $\alpha=15^\circ$, 3 — $\alpha=30^\circ$, 4 — $\alpha=45^\circ$, 5 — $\alpha=60^\circ$, 6 — $\alpha=75^\circ$, 7 — $\alpha=90^\circ$]
Рис. 4. Зависимости низших собственных частот колебаний $\omega$ от параметра давления $\xi$, полученные для пустой (a) и полностью заполненной жидкостью (b) двухслойной жестко закрепленной (CC) оболочки при различных значениях угла армирования $\alpha$: 1 — $\alpha=0$, 2 — $\alpha=15^\circ$, 3 — $\alpha=30^\circ$, 4 — $\alpha=45^\circ$, 5 — $\alpha=60^\circ$, 6 — $\alpha=75^\circ$, 7 — $\alpha=90^\circ$
[Figure 4. Dependences of the lowest natural frequencies of vibration $\omega$ on the pressure parameter $\xi$ obtained for empty (a) and completely filled (b) two-layer rigidly clamped (CC) shells at different values of the ply angle $\alpha$: 1 — $\alpha=0$, 2 — $\alpha=15^\circ$, 3 — $\alpha=30^\circ$, 4 — $\alpha=45^\circ$, 5 — $\alpha=60^\circ$, 6 — $\alpha=75^\circ$, 7 — $\alpha=90^\circ$]
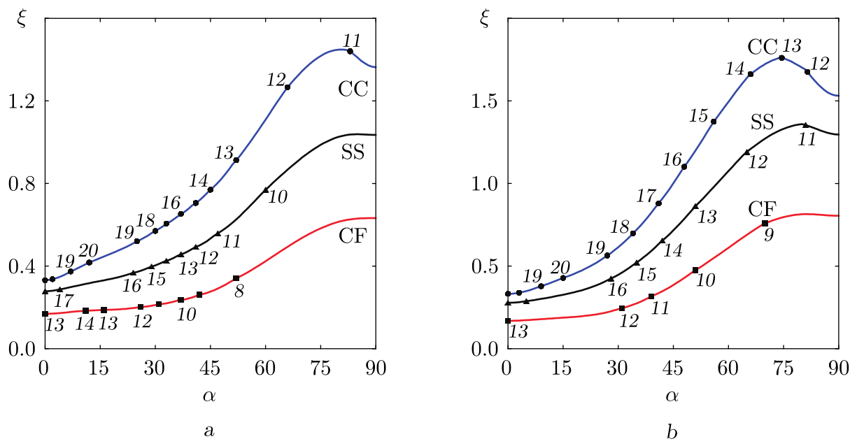
На рис. 3, 4 продемонстрировано, что с учетом сил гравитации на смоченной поверхности тела критическое значение внешней нагрузки значительно возрастает. При этом также увеличивается номер окружной гармоники $j$, на которой происходит потеря устойчивости. Более наглядная картина распределения критического статического давления по окружным гармоникам $j$ представлена на рис. 5. Здесь показаны изоповерхности параметра давления $\xi$ как функции окружной моды $j$ и угла армирования $\alpha$, полученные для заполненных жидкостью двуслойных и трехслойных оболочек с различными граничными условиями.
Если для оболочек с симметричными граничными условиями (SS, CC) области локальных минимумов давления связаны с углами армирования $0^\circ$ и $90^\circ$, то в случае консольного закрепления максимальные значения давления достигаются в области высоких углов намотки. Из представленных данных видно, что окружные гармоники, которым соответствуют критические давления, достигают значительных величин. Например, для жестко закрепленных оболочек при некоторых углах армирования $j_{cr} > 50$. Этот факт может отражать модельный характер задачи, геометрические параметры которой были подобраны таким образом, что частоты колебаний, соответствующие плескательным модам, сопоставимы по величине с частотами колебаний конструкции в целом [49].
Очевидно, что для такой конфигурации влияние гравитационных сил весьма значительно. Необходимо отметить, что данная особенность предъявляет дополнительные требования к используемому методу решения, так как при высоких значениях $j$ для обеспечения сходимости необходима как более тщательная дискретизация области жидкости ($n = 21$), так и увеличение количества точек (узлов) интегрирования в меридиональном направлении.
Рис. 5. Изоповерхности критических значений внешнего статического давления $\xi$ как функции окружной моды $j$ и угла армирования $\alpha$, полученные для двухслойных и трехслойных оболочек, полностью заполненных жидкостью, с различными граничными условиями
[Figure 5. Isosurfaces of critical values of the external static pressure $\xi$ as the functions of circumferential mode $j$ and ply angle $\alpha$ obtained for two-layer and three-layer shells completely filled with fluid under different boundary conditions]
Рис. 6. Зависимости параметра давления $\xi$ от угла армирования $\alpha$, полученные для пустых двухслойных (a) и трехслойных (b) оболочек с различными граничными условиями
[Figure 6. Dependences of the pressure parameter $\xi$ on the ply angle $\alpha$ obtained for empty two-layer (a) and three-layer (b) shells under different boundary conditions]
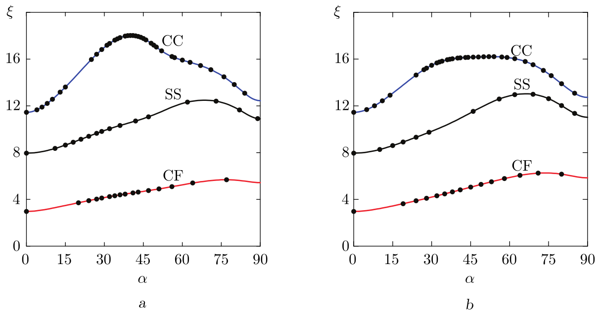
Зависимости критических значений внешнего давления $\xi_{cr}$ от угла армирования $\alpha$, полученные для пустых двухслойных и трехслойных оболочек с различными граничными условиями, приведены на рис. 6. Здесь символами отображены точки смены критической моды. Как и в случае собственных частот, с ростом угла армирования номер окружной гармоники, соответствующий минимальному критическому давлению, после небольшого увеличения при малых углах $\alpha$ постепенно снижается. Номер критической моды также возрастает с увеличением ограничений на краях конструкции.
Оптимальные углы армирования, обеспечивающие наибольшую устойчивость пустых оболочек, несколько отличаются для разных граничных условий и составляют следующие значения (двухслойные/трехслойные):
\[ \begin{array}{cccccc}
CC: & $80.6^\circ/74.3^\circ$; &
SS: & $85^\circ/80.1^\circ$; &
CF: & $90^\circ/81.4^\circ$.
\end{array} \]
Качественно зависимости для двух пакетов совпадают, но трехслойные оболочки обеспечивают более высокие значения критического давления, которое для свободно опертых и консольных оболочек выше на 22 %.
На рис. 7 приведены аналогичные зависимости, построенные для оболочек, заполненных жидкостью. Символами на кривых по-прежнему показаны точки смены критической окружной гармоники. Как было отмечено выше, заполняющая внутренний объем жидкость благодаря гидростатическому давлению на смоченной поверхности оказывает значительное стабилизирующее влияние.
Характерной особенностью является активное формоизменение, особенно в случае жесткого закрепления (СС). Причиной этого является как комбинированный характер статического давления, так и изменение жесткости самой оболочки, обусловленное текущим углом армирования.
Рис. 7. Зависимости параметра давления $\xi$ от угла армирования $\alpha$, полученные для полностью заполненных жидкостью двухслойных (a) и трехслойных (b) оболочек при различных вариантах граничных условий
[Figure 7. Dependences of the pressure parameter $\xi$ on the ply angle $\alpha$ obtained for completely filled two-layer (a) and three-layer (b) shells under different variants of boundary conditions]
Другой особенностью воздействия комбинированного статического давления на слоистую оболочку с жидкостью является смещение оптимальных углов армирования $\alpha$ в область более низких значений по сравнению с пустой оболочкой. Эти углы принимают следующие значения (двухслойные/трехслойные):
\[ \begin{array}{cccccc}
CC: & $40.4^\circ/53.6^\circ$; &
SS: & $68.6^\circ/66.3^\circ$; &
CF: & $76.5^\circ/73.5^\circ$.
\end{array} \]
Для жестко закрепленных оболочек зависимость критического давления от угла намотки приобретает существенные отличия по сравнению с другими граничными условиями. В частности, для этого варианта закрепления критические параметры давления $\xi$ для однослойного и поперечно армированного ([$90^\circ/{-}90^\circ$] или [$90^\circ/0/{-}90^\circ$]) материала имеют близкие значения. Для других граничных условий поперечное армирование обеспечивает повышенные эксплуатационные характеристики в сравнении с однослойным материалом, но уступает перекрестному армированию.
Кроме этого, жестко закрепленная двухслойная оболочка с жидкостью при оптимальном угле армирования способна выдержать нагрузку, более чем на 10 % превышающую критическое давление для трехслойной оболочки. При отсутствии жидкости, как было отмечено выше, наблюдается противоположная зависимость: трехслойная оболочка устойчивее более чем на 16 %.
Из представленных данных следует, что для любой комбинации граничных условий и схем укладки существует достаточно широкий диапазон углов армирования, при которых композитная оболочка, как пустая, так и содержащая жидкость, будет обладать более высокой несущей способностью по сравнению с конструкцией, изготовленной из однонаправленного материала. Наибольшая максимизация критического внешнего давления наблюдается при отсутствии жидкости. Для анализируемого вида нагружения преимущество двухслойной схемы укладки слоистого композита над трехслойной или наоборот отсутствует, поскольку для разных вариантов закрепления, уровней жидкости и углов намотки можно подобрать такой пакет, который в большей степени будет удовлетворять эксплуатационным требованиям к конструкции. С другой стороны, в абсолютных цифрах для большинства из рассмотренных конфигураций трехслойный композит обеспечивает более высокие параметры устойчивости.
Заключение
Представлены результаты численного исследования границ устойчивости вертикальных круговых композитных цилиндрических оболочек, полностью заполненных идеальной неподвижной жидкостью и нагруженных внешним статическим давлением. Принято во внимание изменение напряженно-деформированного состояния смоченной поверхности упругого тела, подвергающегося воздействию гидростатического давления как функции гравитационных сил. Проанализировано влияние различных схем укладки слоистого композита на критические значения внешнего давления оболочек, имеющих разнообразные граничные условия при различных значениях угла армирования.
В результате вычислительных экспериментов установлено, что для рассмотренных конфигураций гидростатическое давление оказывает значительное стабилизирующее воздействие, а оптимальные углы армирования, обеспечивающие более высокие критические значения внешнего статического давления, смещаются в область более низких значений по сравнению с пустой оболочкой. Продемонстрировано, что для нагруженных комбинированным статическим давлением оболочек повышение границ устойчивости для соответствующей комбинации краевых условий достигается в большей степени выбором подходящего угла армирования, а не схемой укладки.
Конкурирующие интересы. Конкурирующих интересов не имею.
Авторская ответственность. Я несу полную ответственность за предоставление окончательной версии рукописи в печать. Окончательная версия рукописи мною одобрена.
Финансирование. Работа выполнена в рамках государственного задания, регистрационный номер темы 124020700047-3.
About the authors
Sergey A. Bochkarev
Institute of Continuous Media Mechanics, Ural Branch Russian Academy of Sciences
Author for correspondence.
Email: bochkarev@icmm.ru
ORCID iD: 0000-0002-9722-1269
https://www.mathnet.ru/person31691
Cand. Phys. & Math. Sci.; Senior Researcher; Lab. of Functional Materials Mechanics
Russian Federation, 614068, Perm, Acad. Korolev st., 1References
- Solomonov Yu. S., Georgievskii V. P., Nedbai A. Ya., Andryushin V. A. Prikladnye zadachi mekhaniki kompozitnykh tsilindricheskikh obolochek [Applied Problems of Mechanics of Composite Cylindrical Shells]. Moscow, Fizmatlit, 2014, 408 pp. (In Russian). EDN: UGLCQJ.
- Stability and Vibrations of Thin-Walled Composite Structures, ed. H. Abramovich. Haifa, Woodhead Publ., 2017, xi+757 pp.
- Bochkarev S. A., Lekomtsev S. V. Natural vibrations and hydroelastic stability of laminated composite circular cylindrical shells, Struct. Eng. Mech., 2022, vol. 81, no. 6, pp. 769–780. EDN: KDSYKY. DOI: https://doi.org/10.12989/sem.2022.81.6.769.
- Bochkarev S. A. Study of natural vibrations of fluid-containing composite cylindrical shells resting on elastic foundation, Mechanics of Composite Materials and Structures, 2023, vol. 29, pp. 149–166 (In Russian). EDN: BFJANF. DOI: https://doi.org/10.33113/mkmk.ras.2023.29.02.01.
- Zhang Y. L., Gorman D. G., Reese J. M. A finite element method for modelling the vibration of initially tensioned thin-walled orthotropic cylindrical tubes conveying fluid, J. Sound Vibration, 2001, vol. 245, no. 1, pp. 93–112. DOI: https://doi.org/10.1006/jsvi.2000.3554.
- Zhang Y. L., Reese J. M., Gorman D. G. Initially tensioned orthotropic cylindrical shells conveying fluid: A vibration analysis, J. Fluids Struct., 2002, vol. 16, no. 1, pp. 53–70. DOI: https://doi.org/10.1006/jfls.2001.0409.
- Zhang Y. L., Gorman D. G., Reese J. M. Vibration of prestressed thin cylindrical shells conveying fluid, Thin-Walled Struct., 2003, vol. 41, no. 12, pp. 1103–1127. DOI: https://doi.org/10.1016/S0263-8231(03)00108-3.
- Kadoli R., Ganesan N. Free vibration and buckling analysis of composite cylindrical shells conveying hot fluid, Compos. Struct., 2003, vol. 60, no. 1, pp. 19–32. DOI: https://doi.org/10.1016/S0263-8223(02)00313-6.
- Bochkarev S.A., Matveenko V.P. Numerical modelling of the stability of loaded shells of revolution containing fluid flows, J. Appl. Mech. Techn. Phys., 2008, vol. 49, no. 2, pp. 313–322. EDN: LLAQVZ. DOI: https://doi.org/10.1007/s10808-008-0043-1.
- Sheng G. G., Wang X. Dynamic characteristics of fluid-conveying functionally graded cylindrical shells under mechanical and thermal loads, Compos. Struct., 2010, vol. 93, no. 1, pp. 162–170. DOI: https://doi.org/10.1016/j.compstruct.2010.06.004.
- Zhu X., Ye W. B., Lin T. Y., Chen C. The elastic critical pressure prediction of submerged cylindrical shell using wave propagation method, Ocean Eng., 2013, vol. 58, pp. 22–26. DOI: https://doi.org/10.1016/j.oceaneng.2012.09.008.
- Li T. Y., Xiong L., Zhu X., et al. The prediction of the elastic critical load of submerged elliptical cylindrical shell based on the vibro-acoustic model, Thin-Walled Struct., 2014, vol. 84, pp. 255–262. DOI: https://doi.org/10.1016/j.tws.2014.06.013.
- Bochkarev S. A., Lekomtsev S. V., Matveenko V. P. Natural vibrations of loaded noncircular cylindrical shells containing a quiescent fluid, Thin-Walled Struct., 2015, vol. 90, pp. 12–22. EDN: UENHRN. DOI: https://doi.org/10.1016/j.tws.2015.01.001.
- Bochkarev S. A., Lekomtsev S. V., Matveenko V. P. Hydrothermoelastic stability of functionally graded circular cylindrical shells containing a fluid, Mech. Compos. Mater., 2016, vol. 52, no. 4, pp. 507–520. EDN: YVHKIT. DOI: https://doi.org/10.1007/s11029-016-9601-4.
- Li R., Liu L., Liang B., Yang M. An efficient method to improve the stability of submerged functionally graded cylindrical shell, J. Mech. Sci. Technol., 2019, vol. 33, pp. 2527–2536. DOI: https://doi.org/10.1007/s12206-019-0502-z.
- Liu X. M., Yang M., Li R., Liang B. Research on prediction of critical pressure of FGM cylindrical shells under hydrostatic pressure based on homogenization transformation method, AIP Advances, 2023, vol. 13, no. 18, 085306. DOI: https://doi.org/10.1063/5.0157600.
- Krishna R. K., Kochupillai J. A new formulation for fluid–structure interaction in pipes conveying fluids using Mindlin shell element and 3-D acoustic fluid element, J. Braz. Soc. Mech. Sci. Eng., 2020, vol. 42, 388. DOI: https://doi.org/10.1007/s40430-020-02477-1.
- Bochkarev S. A., Lekomtsev S. V., Matveenko V. P. Natural vibrations of composite cylindrical shells partially filled with fluid, Vestnik St. Petersb. Univ., Math., 2023, vol. 56, no. 4, pp. 435–445. EDN: AEYLPX. DOI: https://doi.org/10.1134/s1063454123040052.
- Wu J. H., Liu R. J., Duan Y., Sun Y. D. Free and forced vibration of fluid-filled laminated cylindrical shell under hydrostatic pressure, Int. J. Pressure Vessels Piping, 2023, vol. 202, 104925. DOI: https://doi.org/10.1016/j.ijpvp.2023.104925.
- Grigoliuk E. I., Shkliarchuk F. N. Equations of perturbed motion of a body with a thinwalled elastic shell partially pilled with a liquid, J. Appl. Math. Mech., 1970, vol. 34, no. 3, pp. 379–389. DOI: https://doi.org/10.1016/0021-8928(70)90084-5.
- Gorshkov A. G., Morozov V. I., Ponomarev V. I., Shklyarchuk F. N. Aerogidrouprugost' konstruktsii [Aerohydroelasticity of Structures]. Moscow, Fizmatlit, 2000, 592 pp. (In Russian)
- Schotté J. S., Ohayon R. Incompressible hydroelastic vibrations: Finite element modelling of the elastogravity operator, Comput. Struct., 2005, vol. 83, no. 2–3, pp. 209–219. DOI: https://doi.org/10.1016/j.compstruc.2004.03.084.
- Grigor'ev V. G., Grigor’eva E. V. Contact interaction of a bounded liquid volume with a solid under the action of gravity forces, Mech. Solids, 2011, vol. 46, no. 2, pp. 280–290. EDN: OHZDXH. DOI: https://doi.org/10.3103/S0025654411020178.
- Schotté J. S., Ohayon R. Linearized formulation for fluid-structure interaction: Application to the linear dynamic response of a pressurized elastic structure containing a fluid with a free surface, J. Sound Vibration, 2013, vol. 332, no. 10, pp. 2396–2414. DOI: https://doi.org/10.1016/j.jsv.2012.07.036.
- Bochkarev S. A., Lekomtsev S. V. Natural vibrations of non-circular cylindrical shells partially filled with fluid with sloshing of free surface, Comput. Continuum Mechanics, 2014, vol. 7, no. 4, pp. 471–480 (In Russian). EDN: RFBIFJ. DOI: https://doi.org/10.7242/1999-6691/2014.7.4.45.
- Bochkarev S. A., Lekomtsev S. V., Matveenko V. P. Dynamic analysis of partially filled non-circular cylindrical shells with liquid sloshing, Int. J. Appl. Mech., 2016, vol. 8, no. 3, 1650027. EDN: FBXNAG. DOI: https://doi.org/10.1142/S1758825116500277.
- Ohayon R., Schotté J. S. Modal analysis of liquid-structure interaction, In: Modeling and Simulation in Science, Engineering and Technology; eds. Y. Bazilevs, K. Takizawa. Cham, Birkhäuser, 2016, pp. 423–438. DOI: https://doi.org/10.1007/978-3-319-40827-9_33.
- Bochkarev S. A., Lekomtsev S. V., Senin A. N. Natural vibrations and stability of loaded cylindrical shells partially filled with fluid, taking into account gravitational effects, Thin-Walled Struct., 2021, vol. 164, 107867. EDN: FYCGJP. DOI: https://doi.org/10.1016/j.tws.2021.107867.
- Hoareau C., Deü J. F., Ohayon R. Hydroelastic linearized vibrations taking into account prestressed effects due to internal liquid weight: Numerical vs. experimental results, J. Fluids Struct., 2022, vol. 112, 103596. DOI: https://doi.org/10.1016/j.jfluidstructs.2022.103596.
- Hoareau C., Deü J. F., Ohayon R. Construction of reduced order operators for hydroelastic vibrations of prestressed liquid–structure systems using separated parameters decomposition, Comput. Meth. Appl. Mech. Eng., 2022, vol. 402, 115406. DOI: https://doi.org/10.1016/j.cma.2022.115406.
- Amabili M., Païdoussis M. P., Lakis A. A. Vibrations of partially filled cylindrical tanks with ring-stiffeners and flexible bottom, J. Sound Vibration, 1998, vol. 213, no. 2, pp. 259–299. DOI: https://doi.org/10.1006/jsvi.1997.1481.
- Godunov S. K. Ordinary Differential Equations with Constant Coefficients, Translations of Mathematical Monographs, vol. 169. Providence, American Mathematical Society, 1997, ix 282 pp. DOI: https://doi.org/10.1090/mmono/169.
- Yudin A. S., Ambalova N. M. Forced vibrations of coaxial reinforced cylindrical shells during interaction with a fluid, Soviet Appl. Mech., 1989, vol. 25, no. 12, pp. 1222–1227. DOI: https://doi.org/10.1007/BF00887148.
- Yudin A. S., Safronenko V. G. Vibroakustika strukturno-neodnorodnykh obolochek [Vibroacoustics of Structurally Inhomogeneous Shells]. Rostov-on-Don, Southern Federal Univ., 2013, 424 pp. (In Russian)
- Bochkarev S. A. Natural Vibrations of a Cylindrical Shell with Fluid Partly Resting on a Two-Parameter Elastic Foundation, International Journal of Structural Stability and Dynamics, 2022, vol. 22, pp. 2250071. DOI: https://doi.org/10.1142/S0219455422500717.
- Bochkarev S. A. Numerical simulation of natural vibrations of a cylindrical shell partially filled with fluid and embedded in an elastic foundation, Comput. Technol., 2022, vol. 27, no. 4, pp. 15–32 (In Russian). EDN: DDEGTR. DOI: https://doi.org/10.25743/ICT.2022.27.4.003.
- Bochkarev S. A., Lekomtsev S. V., Matveenko V. P. Natural vibrations of truncated conical shells containing fluid, Mech. Solids, 2022, vol. 57, no. 8, pp. 1971–1986. EDN: ZAHSPL. DOI: https://doi.org/10.3103/S0025654422080064.
- Shu C. Differential Quadrature and Its Application in Engineering. London, Springer, 2000, xvi+340 pp. DOI: https://doi.org/10.1007/978-1-4471-0407-0.
- Karmishin A. V., Lyaskovets V. A., Myachenkov V. I., Frolov A. N. Statika i dinamika tonkostennykh obolochechnykh konstruktsii [Statics and Dynamics of Thin-Walled Shell Structures]. Moscow, Mashinostroenie, 1975, 376 pp. (In Russian)
- Alfutov N. A., Zinov'ev P. A., Popov B. G. Raschet mnogosloinykh plastin i obolochek iz kompozitsionnykh materialov [Calculation of Multilayer Plates and Shells of Composite Materials]. Moscow, Mashinostroenie, 1984, 264 pp. (In Russian)
- Averbukh A. Z., Veitsman R. I., Genkin M. D. Kolebaniia elementov konstruktsii v zhidkosti [Vibration of Structural Elements in Fluid]. Moscow, Nauka, 1987, 158 pp. (In Russian)
- Bochkarev S. A., Matveenko V. P. Free vibration analysis of a cylindrical shell of variable thickness partially filled with fluid, Proc. Steklov Inst. Math. (Suppl.), 2023, vol. 321, no. S1, pp. S20–S32. EDN: JVKDVU. DOI: https://doi.org/10.1134/S0081543823030045.
- Muller D. E. A method for solving algebraic equations using an automatic computer, Math. Comput., 1956, vol. 10, no. 56, pp. 208–215. DOI: https://doi.org/10.2307/2001916.
- Wu X. Improved Muller method and bisection method with global and asymptotic superlinear convergence of both point and interval for solving nonlinear equations, Appl. Math. Comput., 2005, vol. 166, no. 2, pp. 299–311. DOI: https://doi.org/10.1016/j.amc.2004.04.120.
- Demidovich B. P., Maron I. A., Shuvalova E. Z. Chislennye metody analiza [Numerical Methods of Analysis]. Moscow, Nauka, 1967, 368 pp. (In Russian)
- Sheinman I., Greif S. Dynamic analysis of laminated shells of revolution, J. Compos. Mater., 1984, vol. 18, no. 3, pp. 200–215. DOI: https://doi.org/10.1177/002199838401800301.
- Miserentino R., Volsteen L. F. Vibration Tests of Pressurized Thin-Walled Cylindrical Shells, NASA TN D-3066. Hampton, Va, Langley Research Center, 1965. https://ntrs.nasa.gov/api/citations/19650026237/downloads/19650026237.pdf.
- Narita Y., Ohta Y., Yamada G., Kobayashi Y. Analytical method for vibration of angle-ply cylindrical shells having arbitrary edges, AIAA Journal, 1992, vol. 30, no. 3, pp. 790–796. DOI: https://doi.org/10.2514/3.10986.
- Amabili M. Eigenvalue problems for vibrating structures coupled with quiescent fluids with free surface, J. Sound Vibration, 2000, vol. 231, no. 1, pp. 79–97. DOI: https://doi.org/10.1006/jsvi.1999.2678.
Supplementary files










