Residual stress analysis in surface-hardened rotating prismatic elements with semicircular notches under high-temperature creep
- Authors: Radchenko V.P.1, Saushkin M.N.1, Shishkin D.M.2
-
Affiliations:
- Samara State Technical University
- Syzran’ Branch of Samara State Technical University
- Issue: Vol 28, No 3 (2024)
- Pages: 489-515
- Section: Mechanics of Solids
- URL: https://journals.eco-vector.com/1991-8615/article/view/642449
- DOI: https://doi.org/10.14498/vsgtu2099
- EDN: https://elibrary.ru/GOWDBU
- ID: 642449
Cite item
Full Text
Abstract
A numerical method is developed to calculate the relaxation of residual stresses in a rotating surface-hardened prismatic sample with a semicircular notch under high-temperature creep conditions. The problem models the stressed-deformed state of a sample fixed on a disk rotating at a constant speed.
The methodology includes the following steps:
– reconstruction of residual stress and plastic deformation fields after preliminary surface plastic deformation;
– calculation of residual stress relaxation during creep in a rotating prismatic rod.
A detailed analysis is performed on a prismatic sample measuring 150 $\times$ 10 $\times$10 mm made of EP742 alloy. One face of this sample is hardened using mechanical ultrasonic treatment. The problem is analyzed for samples with semicircular notches of 0.1 mm and 0.3 mm radii, located 2 mm and 75 mm from the fixed edge.
For the notched regions after preliminary surface plastic deformation, the problems are solved in both elastic and elastoplastic formulations. The obtained initial fields of residual stresses and plastic deformations are used as input data for the creep problem.
The analysis of the influence of notch radius, location, angular velocity, and initial residual stress fields on the relaxation of residual stresses is conducted at a temperature of 650 °C based on phenomenological flow theory established from known experimental data for this alloy.
Results show that to determine the initial stressed-deformed state after preliminary plastic deformation for a notch radius of 0.1 mm, an elastoplastic solution is necessary, while for a radius of 0.3 mm, the differences between elastic and elastoplastic solutions are minimal.
The study of residual stress relaxation is conducted at angular velocities of 1500 and 2000 RPM over a period of 100 hours. Despite significant relaxation of residual stresses for samples with notches of radii 0.1 mm and 0.3 mm, a substantial level of residual compressive stresses remains in the notch regions after complete thermal-mechanical unloading. This indicates the high effectiveness of surface hardening under high-temperature creep conditions.
Full Text
Введение
Формирование микроструктуры поверхностного слоя деталей авиационных двигателей при их производстве является сложным процессом, сопровождающимся неоднократным изменением напряженно-деформированного состояния (НДС) на поверхностях заготовок на всех стадиях механической обработки. Процессы резания, такие как токарная обработка и фрезерование, обычно вызывают приповерхностные растягивающие напряжения, которые не всегда полностью исчезают даже на этапах финишной обработки и могут отрицательно влиять на прочность компонентов в процессе эксплуатации.
В инженерной практике такие начальные напряжения на этапе проектирования часто игнорируются, а расчеты на прочность проводятся лишь с учетом эксплуатационных нагрузок в предположении, что первоначальное напряженное состояние невозмущенное. Однако эксплуатационные напряжения комбинируются с неучтенными начальными растягивающими напряжениями, которые могут превышать допустимые предельные значения для материала, что приводит к образованию микротрещин и непрогнозируемым разрушениям.
Другим значительным фактором, способствующим нарушениям целостности конструкций, таких как газотурбинные двигатели (ГТД), является локальное превышение растягивающих напряжений над их допустимыми значениями в местах концентрации напряжений. Концентраторы могут возникать как из-за конструктивных особенностей (например, канавок и пазов), так и из-за эксплуатационных дефектов (например, царапин и вмятин), вызванных столкновением с инородными объектами. Наличие концентраторов напряжений крайне нежелательно, так как они значительно увеличивают вероятность разрушения в условиях эксплуатации, часто приводя к выходу из строя всего агрегата в целом. Ситуация усугубляется высокими рабочими температурами, когда в наиболее подверженных деформации сечениях деталей возникает ползучесть.
На протяжении последних десятилетий наиболее эффективным подходом к повышению прочностных характеристик деталей и изделий в авиадвигателестроении и энергетическом машиностроении стали методы поверхностного пластического деформирования (ППД) [1–7], кавитационного [5], термопластического [8], лазерного [9] упрочнения и другие технологии. Эти методы позволяют значительно улучшить механические свойства упрочненных деталей.
Известно, что применение поверхностного упрочнения позволяет существенно повысить предел выносливости [1, 2, 4, 6, 8, 10, 11], улучшить трибологические характеристики поверхности [6, 12, 13] и увеличить микротвердость поверхностного слоя [14].
С позиции механики упрочнения улучшение показателей надежности деталей достигается за счет формирования тонкого приповерхностного слоя остаточных напряжений (ОН) сжатия, которые компенсируют эксплуатационные растягивающие напряжения. Например, в зависимости от используемого метода ППД толщина упрочненного слоя может варьироваться от 100 до 300 мкм [2, 4, 6, 14–17] при дробеструйной обработке и достигать 1 мм и более при обкатке роликом [15, 17].
Применение методов ППД также положительно влияет и на характеристики надежности деталей с концентраторами напряжений, о чем свидетельствуют результаты многих исследований [2, 6, 15, 18–21, 23–26]. В частности, поверхностное упрочнение деталей, ослабленных концентраторами напряжений, способствует значительному увеличению их предела выносливости [18–20, 24, 26].
Важно отметить, что для снижения интенсивности напряжений в предусмотренных конструкцией концентраторах напряжений применяется метод опережающего поверхностного пластического деформирования (ОППД) [18, 19, 27, 28]. Этот метод заключается в предварительном упрочнении гладкой детали с последующим удалением части материала в зоне соответствующего концентратора.
Несмотря на стабильность процесса ППД деталей и ожидаемую прогнозируемость наведенных упрочнением полей сжимающих ОН, их эффективность и распределение могут значительно снижаться в условиях интенсивного эксплуатационного температурного и температурно-силового воздействия, особенно в условиях ползучести из-за релаксации ОН. Однозначного решения этой проблемы на данный момент не существует, так как решение вопросов, связанных с релаксацией ОН в условиях ползучести, находится на стадии становления и развития, а требования к материалам и конструктивным решениям из-за увеличения мощностей силовых установок продолжают расти. В связи с этим существует необходимость в подробном исследовании НДС упрочненных и неупрочненных деталей ГТД, работающих в условиях высокотемпературной ползучести [16, 19, 29–32].
Частичное решение упомянутой проблемы отражено в работах, посвященных разработке методов численного расчета релаксации ОН в поверхностно упрочненных гладких «бездефектных» образцах цилиндрического [31] и призматического [32] профиля, функционирующих в условиях высокотемпературной ползучести с учетом силового нагружения в поле массовых сил. Однако для поверхностно упрочненных призматических тел с концентраторами напряжений аналогичного решения задачи в данной постановке не существует. Поэтому настоящая работа посвящена разработке численного метода расчета релаксации остаточных напряжений в условиях высокотемпературной ползучести с учетом силового нагружения, вызванного вращением образца, на примере поверхностно упрочненного призматического образца с полукруглыми надрезами. В области надрезов после ОППД задача решалась как в упругой, так и в упругопластической постановках.
1. Постановка задачи
В декартовой системе координат $xyz$ рассматривается вращающийся поверхностно упрочненный призматический образец размером $150{\times}10{\times}10$ мм из сплава ЭП742 в условиях высокотемпературной ползучести при температуре 650 °C в течение 100 часов. Образец ослаблен полукруглыми надрезами радиусом 0.1 и 0.3 мм, расположенными на расстоянии 2 и 75 мм от жестко закрепленной левой торцевой грани в плоскости $yz$ (рис. 1).
Рис. 1. Схема нагружения поверхностно упрочненного образца с полукруглыми надрезами
[Figure 1. The loading scheme for a surface-hardened sample with semicircular notches]
Плоскость $xz$ совмещена с верхней упрочненной гранью призматического образца (на рис. 1 показана заливкой темного цвета), которая была подвержена виброударному ультразвуковому поверхностно-пластическому упрочнению дробью (УЗУ) и на которую впоследствии наносился полукруглый надрез радиуса $\rho$. Закрепление образца осуществлялось консольно (жестко) по левой торцевой грани в плоскости $yz$, что аналогично стержню квадратного сечения, закрепленному на абсолютно жестком диске радиуса $R_1$. Вращение упрочненного образца полагалось относительно вертикальной оси $A_1A_2$ с постоянной угловой скоростью $\omega$, в результате чего в объеме образца возникает неоднородное осевое напряженное состояние за счет переменной нагрузки $N(x)$ (рис. 1), которая приводит к развитию деформации ползучести в каждом поперечном сечении образца и релаксации наведенных упрочнением сжимающих ОН. Для дальнейшего исследования введена гипотеза плоских сечений.
Решение представленной задачи строится аналогично решению о вращении гладкого призматического образца [32]. Реализация решения для образца с полукруглым надрезом состоит из следующих расчетных этапов:
- реконструкция полей ОН и пластических деформаций (ПД) после процедуры упрочнения гладкого «бездефектного» призматического образца при нормальной («комнатной») температуре $T_{0}$;
- формирование поверхностного полукруглого надреза радиуса $\rho$ на упрочненной грани образца в соответствии с технологией ОППД и пересчет полей ОН в упрочненном образце с учетом полукруглого надреза при температуре $T_{0}$;
- пересчет полей ОН с учетом надреза в условиях температурно-силового нагружения от действия инерционных сил при вращении и изменении температуры со значения $T_{0}$ (модуль упругости $E(T_0)=E_0$) до рабочей температуры $T_1$ ($T_1>T_0$, модуль упругости $E(T_1)=E_1$) в момент времени $t=0-0$;
- расчет релаксации ОН в поверхностно упрочненном образце с надрезом вследствие ползучести при температуре $T_{1}$ для значений времени $t>0$.
2. Оценка напряженно-деформированного состояния бездефектного образца при вращении
Закон изменения осевого напряжения во вращающемся неупрочненном призматическом образце без надреза от действия центробежной силы, действующей на элементарный объем $H{\times} H{\times} dx$ (см. рис. 1), имеет следующий вид:
\[ \begin{equation}
dN=\omega (R_{1} +x)\gamma F(x)dx, \quad 0\leqslant x\leqslant L=R_2-R_1,
\end{equation} \tag{1} \]
где $\omega$ — угловая скорость, $\gamma=\rho_{\text{сп}}g$ — удельный вес, $\rho_{\text{сп}}$ — плотность сплава ЭП742, $g$ — ускорение свободного падения, $F(x)$ — площадь поперечного сечения образца (в рассматриваемом случае $F(x)=H^{2} ={\rm const}$). Из (1) получаем
\[ \begin{equation}
N(x)=\gamma \omega ^{2} \int _{x}^{L}(R_1+\xi )F(\xi)d\xi.
\end{equation} \tag{2} \]
Учитывая, что $F(x)=H^2$, из (2) для напряжения $\sigma ^{0} (x)=N(x)/H^2$ имеем
\[ \begin{equation}
\sigma _{x}^{0} (x)=\gamma \omega ^{2} \Bigl[R_{1} (L-x )+\frac{L^2-x^{2} }{2} \Bigr].
\end{equation} \tag{3} \]
Формулу (3) с учетом обозначения $L=R_2-R_1$ можно представить в виде
\[ \begin{equation}
\sigma _{x}^{0} (x)=\frac{1}{2} \gamma \omega ^{2} R_2^2\Bigl[1-\Bigl(\frac{R_1 +x}{R_2} \Bigr)^{2} \Bigr], \quad 0\leqslant x\leqslant R_2-R_1.
\end{equation} \tag{4} \]
Из формул (3) и (4) следует, что при $\omega={\rm const}$ осевое напряжение $\sigma _{x}^{0} (x)$ при фиксированной величине $x$ не зависит от времени. Другими словами, задачу можно рассматривать независимо для каждого сечения как находящегося под действием растягивающего постоянного осевого напряжения $\sigma_x^0=\sigma_x^0(x)$.
3. Численный метод расчета полей остаточных напряжений и пластических деформаций в поверхностно упрочненном образце с полукруглым надрезом
Для начала рассмотрим методику численного расчета полей ОН и ПД для гладкого «бездефектного» образца после процедуры ОППД, подробно изложенную в работах [28, 32].
В [28, 32] установлено, что компоненты тензоров ОН и ПД зависят только от координаты $y$: $\sigma _{x} =\sigma _{x} (y)$, $\sigma _{z} =\sigma _{z} (y)$, $\sigma _{y} =\sigma _{y} (y)=0$; все недиагональные компоненты ОН и ПД полагаются равными нулю в силу их незначительности. При этом ненулевыми компонентами деформаций являются упругие $e_{i} =e_{i} (y)$, пластические $q_{i} =q_{i} (y)$ и полные $\varepsilon _{i} =\varepsilon _{i} (y)$, $i=x, y, z$, соответственно. Согласно введенной гипотезе плоских сечений для компонент остаточных полных деформаций выполняется условие
\[ \begin{equation*}
\varepsilon _{x} (y)=\varepsilon _{z} (y)=0.
\end{equation*} \]
Для рассматриваемого случая изотропного поверхностного упрочнения (выполняется условие $q_{x} (y)=q_{z} (y)$) с учетом условия пластической несжимаемости $q_{x} +q_{y} +q_{z} =0$, при том, что процесс упрочнения осуществляется в момент времени $t=0-0$ при температуре $T_{0}$, расчетные формулы для ОН и ПД принимают вид [28, 32]
\[ \begin{equation}
\sigma _{x} (y)=\sigma _{z} (y),\quad q_{x} (y)=q_{z} (y)=-\frac{1-\nu }{E_{0} } \sigma _{x} (y),\quad q_{y} (y)=\frac{2(1-\nu )}{E_{0} } \sigma _{x} ,
\end{equation} \tag{5} \]
где $\nu $ — коэффициент Пуассона, $E_{0} $ — модуль Юнга (при температуре $T_{0}$).
В соответствии с (5) все компоненты тензоров ОН и ПД выражаются через компоненту $\sigma _{x} (y)$, поэтому для реконструкции НДС упрочненного образца достаточно иметь известную экспериментальную зависимость $\sigma _{x} =\sigma _{x} (y)$ в пределах упрочненного слоя (показана точками на рис. 2), после чего необходимо построить аппроксимацию этой зависимости и экстраполировать ее на все значения $0\leqslant y\leqslant H$, где $H=10$ мм — высота призматического образца.
3.1. Начальный этап численного расчета заключается в аппроксимации известной экспериментальной зависимости для компоненты $\sigma_x=\sigma_x(y)$ по формуле
\[ \begin{equation}
\sigma _{x} (y)=\sigma _{0} -\sigma _{1} \exp \Bigl[-\Bigl(\frac{y-y^{*} }{b} \Bigr)^{2} \Bigr],
\end{equation} \tag{6} \]
где $\sigma _{0}$, $\sigma _{1}$, $b$, $y^{*} $ — параметры аппроксимации эпюры $\sigma _{x} =\sigma _{x} (y)$, методика определения которых подробно изложена в [28, 32]; $y$ — текущее положение координаты.
Для поверхностно упрочненного гладкого призматического образца размером $150{\times}10{\times}10$ мм, изготовленного из сплава ЭП742, параметры аппроксимации в соответствии с [32] имеют следующие значения: $\sigma_{0} =119.2$ МПа, $\sigma_{1}=1230.7$ МПа, $b=0.097$ мм, $y^{*} =0.04$ мм. Полученные результаты расчета ОН для компоненты $\sigma _{x} =\sigma _{x} (y)$ по аппроксимации (6) приведены на рис. 2 сплошной линией.
Зависимости (5) и (6) задают исходную информацию для следующего этапа — численного расчета полей ОН и ПД в поверхностно упрочненном призматическом образце с полукруглым надрезом в пакете ANSYS Mechanical APDL.
Рис. 2. Данные для компоненты $\sigma_x=\sigma_x(y)$ после УЗУ поверхности призматического образца с размерами $150{\times}10{\times}10$ мм из сплава ЭП742: экспериментальные данные (маркеры) [28, 32], расчетные данные по аппроксимации (6) (сплошная линия) и для термоупругой задачи (штриховая линия)
[Figure 2. Data for the component ${\sigma_x=\sigma_x(y)}$ after ultrasonic surface hardening of a prismatic sample measuring $150{\times}10{\times}10$ mm made of EP742 alloy: experimental data (markers) [28, 32], calculated data from approximation (6) (solid line), and for the thermoelastic problem (dashed line)]
3.2. На втором этапе определяемые из соотношений (5) компоненты тензора остаточных ПД $q_{i} =q_{i} (y)$, $i=x, y, z$, моделируются фиктивными температурными деформациями вида
\[ \begin{equation}
q_{i} (y)=\beta _{i} \bigl(T(y)\bigr) \bigl[T(y)-T_{0} \bigr], \quad i=x, y, z,\quad 0\leqslant y\leqslant H,
\end{equation} \tag{7} \]
где $\beta _{i} \bigl(T(y) \bigr)$ — коэффициенты температурного расширения, $T=T(y)$ — неоднородное температурное поле с малым градиентом температур, которое может быть произвольным, $T_*=T(0)=30\,{}^\circ$C — значение температуры на упрочненной грани образца (закрашена на рис. 1, $y=0$), $T_0=T(H)=20\,{}^\circ$C — фиксированное значение температуры на противоположной грани образца (рис. 1) при $y=H$.
При известных из (5) и (6) значениях $q_{i} (y)$ и заданном распределении температуры $T=T(y)$ по формуле (7) вычисляются коэффициенты температурного расширения $\beta _{i} \bigl(T(y)\bigr)$, необходимые для численного решения задачи фиктивной термоупругости поверхностно упрочненного гладкого образца на основе метода конечных элементов (МКЭ) с целью определения его начального НДС (на рис. 2 полученный результат соответствует штриховой линии).
Из данных на рис. 2 видно, что расчет МКЭ для задачи термоупругости хорошо согласуется с экспериментальными данными и с расчетом по модели (5) с учетом аппроксимации (6). Это, в частности, подтверждает адекватность расчетов методом конечных элементов на основе начальных температурных деформаций как в отношении экспериментальных данных, так и данных, полученных по модели (5), (6).
3.3. Третий расчетный этап заключается в реализации технологии ОППД. На упрочненный гладкий образец наносится полукруглый надрез методом удаления части материала с наведенными упрочнением ОН и ПД, что приводит поле полных деформаций к неуравновешенному состоянию вблизи надреза. Равновесное состояние достигается за счет перераспределения полей ОН в зоне надреза, которое определяется повторным численным расчетом задачи фиктивной термоупругости в ANSYS.
Как уже было отмечено в [28], при расчете полей ОН в области полукруглого надреза в упругой постановке, когда радиус полукруглого надреза $\rho \leqslant h$ (где $h$ — толщина упрочненного слоя, зависящая от метода ППД), полученные результаты для компонент ОН $\sigma _{i} =\sigma _{i} (y)$, $i=x, y, z$, представляют собой завышенные значения, зачастую превосходящее предел прочности. В этой связи расчет необходимо производить с учетом зоны вторичной пластичности материала упрочненного образца в окрестности надреза, т. е. решать задачу в упругопластической постановке, для чего в программном комплексе ANSYS задается диаграмма упругопластического деформирования в координатах «истинное напряжение – полная деформация» ($\sigma$ – $\varepsilon $) (рис. 3, кривая 3). При этом предполагается, что диаграммы растяжения и сжатия практически одинаковы для рассматриваемого материала (с учетом знака), а уровень образующихся в зоне надреза сжимающих ОН, превышающий предел текучести $\sigma _T $, приводит к появлению вторичных пластических деформаций. Согласно [33] пересчет «истинных» напряжений осуществляется из «номинальных» напряжений $\sigma _{0} $ (рис. 3, кривая 2), полученных на основе экспериментальных данных для сплава ЭП742 (рис. 3, кривая 1), с учетом накопления поврежденности по зависимости
\[ \begin{equation}
\sigma =\sigma _{0} (1+\omega ),\quad \dot{\omega }=\alpha \sigma \dot{q},
\end{equation} \tag{8} \]
где $\omega $ — параметр поврежденности, $q$ — деформация пластичности, $\alpha ={\rm const}$ — феноменологический параметр, $\sigma _{0} $ и $\sigma $ — номинальное и истинное напряжения, соответствующие одному и тому же уровню пластической деформации $q$.
Рис. 3. Кривые упругопластического деформирования сплава ЭП742 при температуре 20 °C: 1 — экспериментальные данные [23], 2 — расчет в координатах $\sigma _{0}$ – $\varepsilon$, 3 — расчет в координатах $\sigma$ – $\varepsilon$
[Figure 3. The stress-strain curves of the EP742 alloy under elastic-plastic deformation at a temperature of 20 °C: 1 — experimental data [23], 2 — calculation in coordinates $\sigma _{0}$ – $\varepsilon $, 3 — calculation in coordinates $\sigma$ – $\varepsilon $]
Для жесткого режима нагружения одноосного образца ($\dot{\varepsilon }={\rm const}$) используется неявно заданная зависимость $\sigma _{0} =\sigma _{0} (q)$ [33]:
\[ \begin{equation}
q=c\biggl[\sigma _{0} \exp \biggl(\int _{0}^{q}\alpha \sigma _{0} (\xi )d\xi \biggr)-\sigma _T \biggr]^{n} ,
\end{equation} \tag{9} \]
где $\sigma _T $ — предел текучести (пропорциональности), $c$ и $n$ — параметры аппроксимации начального участка диаграммы упругопластического деформирования степенной зависимостью при $\omega \approx 0$ и $\sigma _{0} \cong 0$:
\[ \begin{equation}
q=c(\sigma _{0} -\sigma _T )^{n} .
\end{equation} \tag{10} \]
Для построения упругопластической кривой в координатах «истинное напряжение – полная деформация» $\sigma$ – $\varepsilon $ (см. рис. 3) по формулам (8)–(10), представляющей собой монотонно возрастающую функцию, использовались следующие параметры [28, 33]: $\sigma _T =863.3$ МПа, $c=1.356\cdot 10^{-6} $ МПа$^{-n} $, $n=1.776$, $\alpha =1.916\cdot 10^{-3} $ МПа$^{-1} $.
Таким образом, решение задачи сводится к определению начального НДС поверхностно упрочненного образца с надрезом либо в упругой постановке, при этом решается фиктивная задача термоупругости, либо в упругопластической постановке на основе задачи термоупругопластичности. Во втором случае для мелких надрезов получаются реалистичные поля ОН по сравнению с решениями задач в упругой постановке [28].
Следует отметить, что полученные результаты распределения ОН в упрочненном образце с надрезом из решения задачи в обеих постановках являются исходными данными при дальнейшем расчете кинетики напряжений в условиях температурно-силового нагружения образца при ползучести.
4. Методика расчета кинетики напряженно-деформированного состояния упрочненных гладких призматических образцов с надрезами при вращении
Изложим методику релаксации ОН во вращающихся гладких образцах и образцах с надрезами с единых позиций с использованием МКЭ в вычислительном комплексе ANSYS. Для образца с надрезами это единственный способ, а численое решение для гладкого образца в дальнейшем будет использоваться для сравнительного анализа решения задачи по МКЭ с решением по методу сеток, методика которого приведена в [32].
4.1. На первом этапе в обоих случаях строится решение после процедуры ППД для гладкого образца или ОППД для образца с надрезами в условиях мгновенного температурного нагружения с температуры упрочненного состояния $T_0$ до «рабочей» (эксплуатационной) температуры $T_1$. В обоих случаях модуль упругости материала уменьшается с величины $E(T_0)=E_0$ до $E(T_1)=E_1$ (в дальнейшем предполагается, что коэффициент Пуассона $\nu$ не зависит от температуры), что, в свою очередь, приводит к изменению НДС образцов при переходе от температуры $T_0$ до $T_1$. Тогда для гладкого образца в предположении, что новых пластических деформаций не возникает, по аналогии с (5) в момент времени $t=0+0$ получаем следующее распределение полей ОН и ПД:
\[ \begin{equation}
\sigma _{x} (y)=-\frac{E_{1} }{1-\nu } q_{x} (y),\quad \sigma _{z} (y)=\sigma _{x} (y).
\end{equation} \tag{11} \]
Из сравнения (5) и (11) следует, что напряжение $\sigma _{x} (y)$ при температуре «эксплуатации» $T_{1}$ можно получить, умножив функцию $\sigma _{x} (y)$ при температуре упрочнения $T_{0}$ на коэффициент $E_1/E_0$.
Аналогичная процедура пересчета НДС реализуется и для образца с надрезом: поля распределения ОН, полученные решением задачи в упругой или упругопластической постановке при температуре $ T_0$, умножаются также на коэффициент $E_1/E_0$.
4.2. Следующий шаг силового нагружения связан с вращением нагретого до температуры $T_{1}$ упрочненного образца относительно вертикальной оси $A_1A_2$ с постоянной угловой скоростью $\omega$ (рис. 1). Для случая гладкого «бездефектного» образца неоднородность напряженного состояния образца задается продольной компонентой напряжений $\sigma _{x}^{0} (x)$ в соответствии с (1) и его стационарностью по координате $x\in [0, L]$ при вращении. Для образца с полукруглыми надрезами радиуса $\rho $ (независимо от их расположения) напряжения $\sigma _{x}^{0} (x)$ вычисляются аналогично в программном комплексе ANSYS, но с учетом концентрации напряжений в ослабленных надрезами и близко прилегающих к ним сечениях. Для этой цели достаточно задать удельный вес материала $\gamma$ и значение угловой скорости $\omega $.
4.3. На следующем этапе в обоих случаях реализуется расчет НДС в условиях ползучести при заданном температурно-силовом нагружении с учетом накопления деформаций ползучести при температуре $T_1$ в течение заданного времени $t\in[0, t^*]$. В дальнейшем для сплава ЭП742 время расчета на ползучесть образцов при температуре 650 °C принималось равным $t^*=100$ часов. Для реализации расчета нужен выбор конкретной теории ползучести, при этом необходимо ориентироваться на возможности библиотеки соответствующих теорий в вычислительной среде ANSYS Mathematical APDL. Экспериментальные данные по ползучести сплава ЭП742 при температуре 650 °C имеются в работе [33, рис. 3.9] на базе до $400{\div}800$ часов. Поэтому для временной базы 100 часов использовались лишь начальные участки экспериментальных кривых ползучести при напряжениях $\sigma=\{588.6; 637.6; 686\}$ МПа, представленных на рис. 4 точками. С учетом характера этих кривых (наличие лишь первой стадии ползучести) для построения модели ползучести выбрана теория течения, которая в одномерном случае с учетом гипотезы подобия кривых имеет вид [34]
\[ \begin{equation}
\dot{p}(t,\sigma)=S(\sigma)\tau(t).
\end{equation} \tag{12} \]
Выбирая кривую при $\sigma_*=637.6$ МПа в качестве базовой кривой ползучести, перепишем (12) для определения функции $\tau(t)$ в виде степенной аппроксимации
\[ \begin{equation}
\dot{p}(t,\sigma)=S\Bigl(\frac{\sigma}{\sigma_*}\Bigr)At^n,
\end{equation} \tag{13} \]
где $S(1)=1$ для кривой ползучести при $\sigma=\sigma_*$. После интегрирования (13) при $\sigma=\sigma_*$ получаем
\[ \begin{equation*}
p(t,\sigma_*)=\frac{At^{n+1}}{n+1},
\end{equation*} \]
где величины $n$ и $ {A}/({n+1})$ находятся методом наименьших квадратов и имеют значения $n+1=0.6$, $ {A}/({n+1})=0.67\cdot10^{-3}$, откуда $n=-0.4$. Аппроксимация функции $S ( {\sigma}/{\sigma_*} )$ также принимается в виде степенной зависимости:
\[ \begin{equation*}
S\Bigl(\frac{\sigma}{\sigma_*}\Bigr)=B\cdot\Bigl(\frac{\sigma}{\sigma_*}\Bigr)^m ,
\end{equation*} \]
где параметры $B$ и $m$ находятся с использованием кривых ползучести при напряжениях $\sigma = \{588.6; 637.6; 686 \}$ МПа при фиксированных значениях времени $t$ методом наименьших квадратов и имеют следующие значения: $B=1.04$; $m=6.82$. Тогда окончательно с учетом всех найденных параметров получаем следующую модель ползучести — теорию течения:
\[ \begin{equation}
\dot{p}(t,\sigma)=3.4\cdot10^{-23}\cdot\sigma^{6.82}\cdot t^{-0.4},
\end{equation} \tag{14} \]
а после интегрирования (14) при $\sigma={\rm const}$ —
\[ \begin{equation}
p(t)=5.22\cdot10^{-23}\cdot\sigma^{6.82}\cdot t^{0.6}.
\end{equation} \tag{15} \]
Расчетные значения деформации ползучести для сплава ЭП742 при температуре 650 °C на основании зависимости (15) приведены на рис. 4 сплошными линиями. Наблюдается хорошее соответствие данных расчета с экспериментальными данными.
Теория течения в библиотеке моделей ANSYS имеет вид
\[ \begin{equation}
\dot{\varepsilon}_{cr}=C_1\sigma_2^{C_2}t^{C_3}e^{-C_4/T},
\end{equation} \tag{16} \]
где $\dot{\varepsilon}_{cr}$ — скорость деформации ползучести, $T$ — температура, $C_i$ — константы модели. Таким образом, сравнивая (14) и (16), для сплава ЭП742 при температуре 650 °C в расчетах достаточно положить $C_1=3.4\cdot10^{-23}$, $C_2=6.82$, $C_3=-0.4$, $C_4=0$.
Рис. 4. Экспериментальные (точки) и расчетные (сплошные линии) кривые ползучести сплава ЭП742 при температуре 650 °C: 1 — $\sigma=588.6$ МПа, 2 — $\sigma=637.6$ МПа, 3 — $\sigma=686$ МПа
[Figure 4. Experimental (points) and theoretical (solid lines) creep curves of the EP742 alloy at a temperature of 650 °C: 1 — $\sigma=588.6$ MPa, 2 — $\sigma=637.6$ MPa, 3 — $\sigma=686$ MPa]
Согласно настоящей методике, дискретизация по времени $t$ при использовании программного комплекса ANSYS осуществляется заданием временного шага $\Delta t$ в разделе настроек решателя, где от $t_{0} =0$ до $t_{1} =1$ ч временной шаг интегрирования соответствует $\Delta t_{1} =0.02$ ч, после чего от $t_{1} =1$ ч и до окончания времени $t^{*} $ температурной выдержки $\Delta t=1$ ч. Это связано с тем, что в пределах первого часа нагружения скорость релаксации ОН имеет наибольшую величину, поэтому шаг интегрирования в области, прилегающей к $t=0$, должен быть малым.
5. Расчет релаксации остаточных напряжений во вращающемся упрочненном гладком призматическом образце в условиях высокотемпературной ползучести
В связи с тем, что в работе в дальнейшем сравниваются решения для гладкого вращающегося образца методом конечных элементов на основе фиктивной термоупругой задачи, с решением этой же задачи методом сеток, приведем полностью алгоритм метода сеток, изложенный в [32]. Сначала выполняется дискретизация по переменной $x$: $0=x_{0} <x_{1} <\cdots<x_{n} =L$ c постоянным шагом $\Delta x=L/N_1$, где $N_1$ — количество отрезков разбиения. В результате упрочненный образец рассматривается как стержень из $N$ элементарных стержней прямоугольного сечения с высотой $\Delta x$ (см. рис. 1), причем в каждом поперечном сечении осевое растягивающее напряжение $\sigma _{x}^{0} (x)$, $x_{i-1} \leqslant x\leqslant x_{i}$, $i=1,2,\ldots, N_1$, вычисленное по зависимости (4), можно считать постоянным. Поэтому при расчете релаксации ОН в каждом сечении $x=x_{k}$ вращающегося образца действует постоянное напряжение $\sigma _{x}^{0} (x_{k} )$.
Для каждого элементарного стержня вводится гипотеза плоских сечений в виде
\[ \begin{equation*}
\varepsilon _{x} (y,x_{k} ,t)=\varepsilon _{x}^{0} (x_{k} , t),\quad
\varepsilon _{z} (y,x_{k} ,t)=\varepsilon _{z}^{0} (x_{k} ,t).
\end{equation*} \]
Тогда в любой момент времени справедливы следующие равенства:
\[ \begin{equation}
\begin{array}{l}
\varepsilon _{x} (y,x_{k} ,t)=e_{x} (y,x_{k} ,t)+q_{x} (y)+p_{x} (y,x_{k} ,t)=\varepsilon _{x}^{0} (x_{k} ,t),
\\
\varepsilon _{z} (y,x_{k} ,t)=e_{z} (y,x_{k} ,t)+q_{z} (y)+p_{z} (y,x_{k} ,t)=\varepsilon _{z}^{0} (x_{k} ,t).
\end{array}
\end{equation} \tag{17} \]
Величины $\varepsilon _{x}^{0} (x_{k} , t)$ и $\varepsilon _{z}^{0} (x_{k} , t)$ имеют следующее представление:
\[ \begin{equation}
\varepsilon _{x}^{0} (x_{k} , t)=\frac{1}{E_{1} } \sigma _{x}^{0} (x_{k} )+p_{x}^{0} (x_{k} , t), \quad
\varepsilon _{z}^{0} (x_{k} , t)=-\frac{\nu }{E_{1} } \sigma _{x}^{0} (x_{k} )+p_{z}^{0} (x_{k} , t).
\end{equation} \tag{18} \]
Тогда (17) с учетом (18) преобразуются к виду
\[ \begin{eqnarray*}
&\dfrac{1}{E_{1} }[\sigma _{x} (y,x_{k} ,t)-\nu \sigma _{z} (y,x_{k} ,t)]+q_{x} (y)+p_{x} (y,x_{k} ,t)=\dfrac{1}{E_{1} } \sigma _{x}^{0} (x_{k} )+p_{x}^{0} (x_{k} ,t),
\\
&\dfrac{1}{E_{1} }[\sigma _{z} (y,x_{k} ,t)-\nu \sigma _{x} (y,x_{k} ,t)]+q_{z} (y)+p_{z} (y,x_{k} ,t)=-\dfrac{\nu }{E_{1} } \sigma _{x}^{0} (x_{k} )+p_{z}^{0} (x_{k} ,t).
\end{eqnarray*} \]
Решая полученную систему относительно $\sigma _{x} (y, x_{k} , t)$ и $\sigma _{z} (y, x_{k} , t)$, находим
\[ \begin{equation}
\begin{array}{l}
\sigma _{x} (y,x_{k} ,t)=\sigma _{x}^{0} (x_{k} )+\dfrac{E_{1} }{1-\nu ^{2} }
\bigl[ \bigl(p_{x}^{0} (x_{k} ,t)+\nu p_{z}^{0} (x_{k} ,t) \bigr)- {} \\
\hspace{3cm}
{}- \bigl(q_{x} (y)+\nu q_{z} (y)\bigr)- \bigl(p_{x} (y,x_{k} ,t)+\nu p_{z} (y,x_{k} ,t) \bigr)\bigr],
\\
\sigma _{z} (y, x_{k} ,t)=\dfrac{E_{1} }{1-\nu ^{2} }
\bigl[\bigl(p_{z}^{0} (x_{k} ,t)+\nu p_{x}^{0} (x_{k} ,t) \bigr)- {}
\\
\hspace{3cm}
{}- \bigl(q_{z} (y)+\nu q_{x} (y)\bigr)- \bigl(p_{z} (y,x_{k} ,t)+\nu p_{x} (y,x_{k} ,t) \bigr) \bigr].
\end{array}
\end{equation} \tag{19} \]
Однако для реализации расчетов кинетики напряжений $\sigma _{x} (y,x_{k} ,t)$ и $\sigma _{z} (y,x_{k} ,t)$ на основании (19) необходимо знать величины $p_{z}^{0} (x_{k} ,t)$ и $p_{x}^{0} (x_{k} ,t)$, которые изначально неизвестны. Для их определения запишем условия равенства внутренних и внешних сил, действующих в любом сечении, параллельном координатным плоскостям $xy$ и $xz$:
\[ \begin{equation}
\int _{0}^{H}\sigma _{x} (y, x_{k} ,t)dy=\int _{0}^{H}\sigma _{x}^{0} (x_{k} )dy ,\quad
\int _{0}^{H}\sigma _{z} (y, x_{k} ,t)dy=0.
\end{equation} \tag{20} \]
Подставляя (19) в (20) и учитывая, что при $x=x_{k}$ величина $\sigma _{x}^{0} (x_{k} )={\rm const}$, решим полученную систему уравнений относительно $p_{z}^{0} $ и $p_{x}^{0} $ и окончательно найдем
\[ \begin{equation}
\begin{array}{l}
\displaystyle
p_{x}^{0} (x_{k} ,t)=\int _{0}^{H}[q_{x} (y)+p_{x} (y,x_{k} ,t)] dy, \\
\displaystyle
p_{z}^{0} (x_{k} ,t)=\int _{0}^{H}[q_{z} (y)+p_{z} (y,x_{k} ,t)] dy.
\end{array}
\end{equation} \tag{21} \]
Объединяя (19) и (21), получаем систему для расчета кинетики ОН $\sigma _{x} (y,x_{k} ,t)$ и $\sigma _{z} (y,x_{k} ,t)$ в процессе ползучести во вращающемся упрочненном гладком призматическом образце. Начальные условия для этой системы следующие: $p_{x} (y,x_{k},0)=0$; $p_{z} (y,x_{k},0)=0$.
Таким образом, при известных компонентах тензора деформаций ползучести $p_{x} (y,x_{k},t)$ и $p_{z}(y,x_{k},t)$ величины $\sigma _{x} (y,x_{k},t)$ и $\sigma _{z} (y,x_{k},t)$ определяются из системы (19), (21). Компоненты деформации ползучести $p_x(y,x,t)$ и $p_z(y,x,t)$ рассчитываются по теории течения, реологические соотношения которой при сложном напряженном состоянии обобщаются исходя из одноосной модели (16) при $C_4=0$ и имеют вид
\[ \begin{equation}
\dot{p}_{ij}=\frac32C_1(S^*)^{C_2-1}\Bigl(\sigma_{ij}-\frac13\sigma_{kk}\Bigr)t^{C_3},
\end{equation} \tag{22} \]
где $S^*$ — интенсивность напряжений; $\sigma_{ij}$ и $\dot{p}_{ij}$ — компоненты тензоров напряжений и скоростей деформаций ползучести, по повторяющемуся индексу осуществляется суммирование; константы $C_i$ имеют такие же значения, как и в одноосной модели. Для гладкой детали имеем две компоненты тензора напряжений $\sigma_{11}=\sigma_x$, $\sigma_{22}=\sigma_z$ и три компоненты скоростей деформаций $\dot{p}_{11}=\dot{p}_x$, $\dot{p}_{22}=\dot{p}_z$, $\dot{p}_{33}=\dot{p}_y$, но из условия несжимаемости материала при ползучести величина $\dot{p}_y=-(\dot{p}_x+\dot{p}_z)$, поэтому она не играет никакой роли в процессе релаксации ОН.
Для вычисления $\sigma_x$ и $\sigma_z$ из (19), (21) известным методом шагов по времени рассчитываются $p_x$ и $p_z$. Суть метода состоит в следующем. Сначала осуществляется дискретизация по временной координате $0=t_{0} <t_{1} <\cdots<t_{K} =t^{*} $ с заданным шагом $\Delta t_{i} =t_{i+1} -t_{i} $, $i=0, 1, \ldots, K-1$, и по пространственной переменной $0=y_{0} <y_{1} <\cdots<y_{M} =H$, где $H$ — высота образца, см. рис. 1. Тогда на основании (22) вычисляются приращения компонент деформаций ползучести $\Delta p_{x} (y_{j} ,x_{k} ,t_{i} )$, $\Delta p_{z} (y_{j} ,x_{k} ,t_{i} )$ за шаг по времени $\Delta t_{i} $, при этом приращения соответствующих величин, входящих в (22), вычисляются, например, по методу Эйлера. Далее находятся значения
\[ \begin{equation*}
p_{x} (y_{j} ,x_{k} ,t_{i+1} )=p_{x} (y_{j} ,x_{k} ,t_{i} )+\Delta p_{x} (y_{j} ,x_{k} ,t_{i} ),
\end{equation*} \]
\[ \begin{equation*}
p_{z} (y_{j} ,x_{k} ,t_{i+1} )=p_{z} (y_{j} ,x_{k} ,t_{i} )+\Delta p_{z} (y_{j} ,x_{k} ,t_{i} ),
\end{equation*} \]
а затем по формулам (19), (21) определяются значения величин $\sigma _{x} (y_{j} ,x_{k} ,t_{i+1} )$ и $\sigma _{z} (y_{j} ,x_{k} ,t_{i+1} )$, и процесс итерационно продолжается до достижения значения времени заданного интервала расчета $t=t_{N} =t^{*}$. На первом шаге при $\Delta t_{0} =t_{1} =t_{0} $ используются начальные условия применяемой теории ползучести (22) и значения напряжений $\sigma _{x} (y, x_{k}, 0)$ и $\sigma _{z} (y, x_{k}, 0)$ в момент приложения температурно-силового нагружения.
Температурно-силовая разгрузка поверхностно упрочненного гладкого образца после ползучести в момент времени $t=t^{*} +0$ осуществляется с учетом предварительно выполненной силовой упругой разгрузки (полагается, что $\omega =0$). Тогда из соотношений (18) для ОН получаем
\[ \begin{equation}
\begin{array}{l}
\sigma _{x} (y,x_{k},t^{*} )=\dfrac{E_{1} }{1-\nu ^{2} }
\bigl[ \bigl(p_{x}^{0} (x_{k} ,t^{*} )+\nu p_{z}^{0} (x_{k} ,t^{*} ) \bigr) - {}
\\
\hspace{3cm}
{}- \bigl(q_{x} (y)+\nu q_{z} (y)\bigr) - \bigl(p_{x} (y,x_{k},t^{*} )+\nu p_{z} (y,x_{k},t^{*} ) \bigr) \bigr],
\\
\sigma _{z} (y,x_{k},t^{*} )=\dfrac{E_{1} }{1-\nu ^{2} }
\bigl[ \bigl(p_{z}^{0} (x_{k} ,t^{*} )+\nu p_{x}^{0} (x_{k} ,t^{*} ) \bigr) -{}
\\
\hspace{3cm}
{}- \bigl(q_{z} (y)+\nu q_{x} (y) \bigr) - \bigl(p_{z} (y,x_{k} ,t^{*} )+\nu p_{x} (y,x_{k} ,t^{*} ) \bigr)
\bigr].
\end{array}
\end{equation} \tag{23} \]
При этом, чтобы найти ОН после температурной разгрузки с температуры $T_{1}$ до температуры $T_{0}$, достаточно в (23) $E(T_{1})=E_{1}$ заменить на $E(T_{0})=E_{0}$.
В качестве замечания отметим, что температурная разгрузка для образца с надрезами осуществляется аналогично формуле (23), но для всех компонент тензора напряжений, сформированных к моменту времени $t=t^*$, умножением фактически на коэффициент $E_0/E_1$.
6. Результаты расчетов и их анализ
Численное исследование кинетики ОН при температурно-силовом нагружении поверхностно упрочненного призматического образца размерами $150{\times}10{\times}10$ мм с полукруглыми надрезами радиуса $\rho=\{0.1; 0.3\}$ мм из сплава ЭП742 проводилось при его вращении в условиях высокотемпературной ползучести материала при температуре 650 °C. Расположение одиночного полукруглого надреза $\rho $ предполагалось на расстоянии $x=\{2; 75\}$ мм от левой грани призматического образца (см. рис. 1). Рассматриваемый процесс упрочнения осуществлялся при нормальной («комнатной») температуре $T_{0}=20\,{}^\circ$C (модуль Юнга $E(T_{0})=E_{0}= 2.21 \cdot 10^{5}$ МПа). Расчет релаксации ОН проводился при температуре $T_{1}= 650\,{}^\circ$C (модуль Юнга $E(T_{1})=E_1=1.79 \cdot 10^{5}$ МПа) при угловой скорости вращения $\omega=\{1500; 2000\}$ об/мин и выдержке при температурно-силовом нагружении 100 ч. Коэффициент Пуассона $\nu=0.3$ полагался не зависящим от температуры. Для учета действия массовых сил при вращении упрочненного образца были заданы плотность $\rho_\text{сп}= 8320$ кг/м$^{3}$ для сплава ЭП742 и ускорение свободного падения $g=9.81$ м/с$^{2}$. Численные значения геометрических параметров (см. рис. 1) следующие: $R_1= 517$ мм, $R_2=667$ мм, $L=150$ мм, $H=10$ мм.
Ввиду того, что в рассматриваемой постановке задача представлена впервые, оценка адекватности разработанного метода расчета кинетики ОН в первую очередь осуществлялась на примере упрочненного гладкого «бездефектного» образца, для чего полученные результаты расчета МКЭ сопоставлялись с данными работы [32], полученными методом сеток. Основное внимание было уделено изучению кинетики компоненты $\sigma_x=\sigma_x(h,t)$ при фиксированных значениях $x=2$ и 7 мм, где $h=y-\rho$ — глубина залегания ОН от дна надреза, т.е. в минимальном сечении образца. На всех последующих рисунках представлена кинетика эпюр ОН $\sigma_x=\sigma_x(h,t)$ для следующих расчетных моментов времени:
- после поверхностного упрочнения образца при температуре $T_{0}=20\,{}^\circ$C в момент времени $t=0-0$ (данные соответствуют кривой 1);
- после «мгновенного» прогрева упрочненного образца при температуре $T_1=650\,{}^\circ$C в момент времени $t=0 + 0$ (данные соответствуют кривой 2);
- при силовом нагружении образца от вращения с угловой скоростью $\omega$ при температуре $T_1=650\,{}^\circ$C в момент времени $t=0 + 0$ (данные соответствуют кривой 3);
- при температурно-силовом нагружении образца угловой скоростью $\omega$ при температуре $T_1=650\,{}^\circ$C в условиях ползучести в момент времени $t=100 - 0$ ч (данные соответствуют кривой 4);
- при силовой разгрузке образца при температуре $T_1=650\,{}^\circ$C в момент времени $t=100+0$ ч (данные соответствуют кривой 5);
- при температурной разгрузке образца до температуры $T_{0}=20\,{}^\circ$C в момент времени $t=100+0$ ч (данные соответствуют кривой 6).
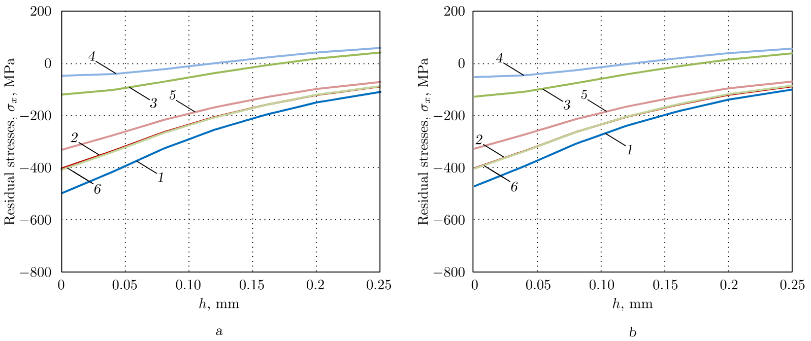
Ниже представлены результаты расчета кинетики ОН в поверхностно упрочненном гладком образце для компоненты $\sigma _{x}$, полученные с помощью МКЭ (рис. 5, a, рис. 6, a) и методом сеток (рис. 5, b, рис. 6, b) для случаев $\omega=1500$ об/мин в сечении $x= 75$ мм и $\omega=2000$ об/мин в сечении $x=0$ соответственно.
Рис. 5. Данные кинетики компоненты $\sigma _{x}$ в условиях ползучести при угловой скорости вращения 1500 об/мин в сечении $x=75$ мм, полученные для гладкого образца с помощью МКЭ (a) и методом сеток (b) [32]
[Figure 5. The kinetic data for the components $\sigma _{x} $ under creep conditions at an angular rotation speed of 1500 RPM in the section $x = 75$ mm, obtained for a smooth sample using FEM (a) and the mesh method (b) [32]. Calculated values: 1 — after the hardening procedure at 20 °C at time $t = 0 - 0$; 2 — after temperature loading up to 650 °C at time $t = 0 + 0$; 3 — after force loading from rotation at 650 °C at time $t = 0 + 0$; 4 — after creep under temperature-force loading at 650 °C at time $t = 100 - 0$ h; 5 — after force unloading at 650 °C at time $t = 100 + 0$ h; 6 — after temperature unloading to 20 °C at time $t = 100 + 0$ h]
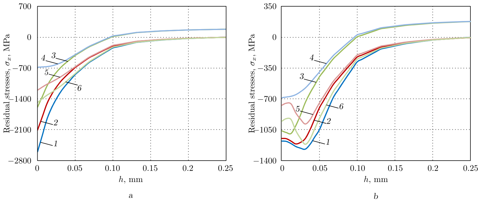
Рис. 6. Данные кинетики компоненты $\sigma _{x}$ в условиях ползучести при угловой скорости вращения 2000 об/мин в сечении $x=0$ мм, полученные для гладкого образца с помощью МКЭ (a) и методом сеток (b) [32]
[Figure 6. The kinetic data for the components $\sigma _{x}$ under creep conditions at an angular rotation speed of 1500 RPM in the section $x = 75$ mm, obtained for a smooth sample using FEM (a) and the mesh method (b) [32]. The markers mean the same thing as in Figure 5]
При сравнении представленных графиков можно заметить хорошую согласованность полученных результатов расчета кинетики ОН по обеим методикам для гладкого поверхностно упрочненного образца, что в частном случае подтверждает адекватность разработанного численного метода расчета на основе метода конечных элементов.
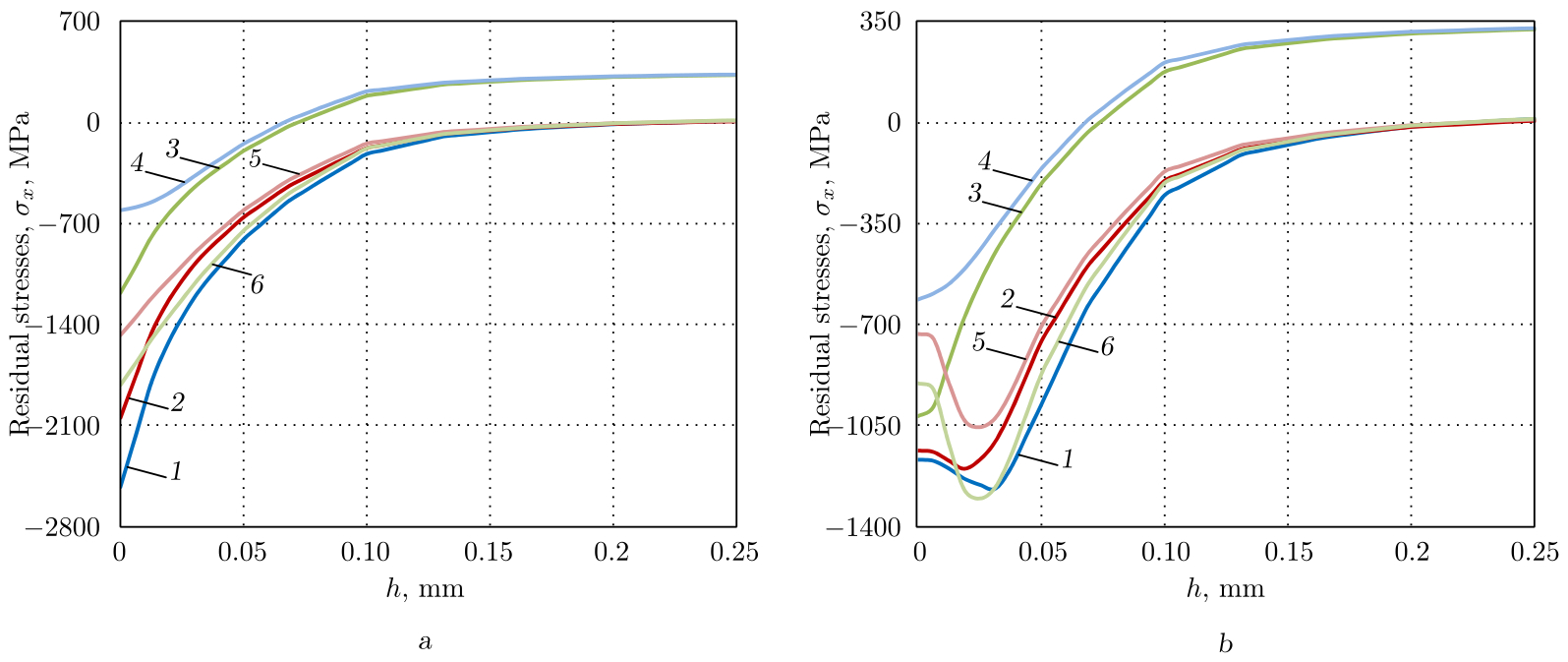
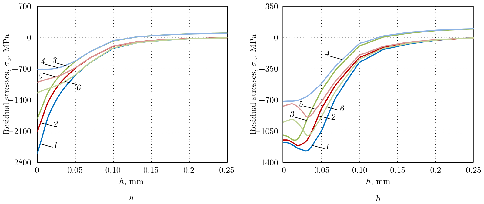
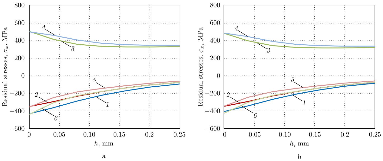
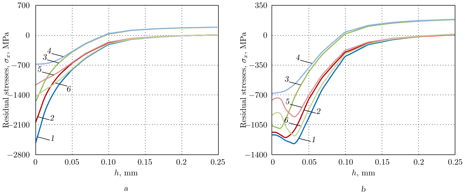
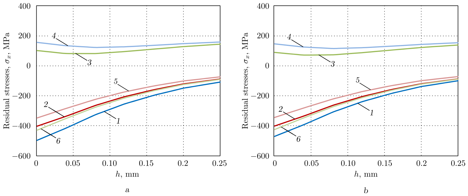
Дальнейший анализ результатов кинетики ОН осуществлялся для случая температурно-силового нагружения упрочненного призматического образца при наличии концентратора напряжений в виде кругового надреза радиуса $\rho=\{0.1; 0.3\}$ мм при использовании упругой или упругопластической постановки задачи при реконструкции полей ОН после процедуры ОППД и использовании этих ОН как начальных при решении задачи о релаксации ОН в условиях ползучести. Анализ численных результатов кинетики ОН модельных расчетов для компоненты $\sigma _{x} $ выполнялся при угловой скорости вращения $\omega=\{1500; 2000\}$ об/мин в двух поперечных сечениях, где располагался полукруглый надрез радиуса $\rho $: при $x=2$ мм (сечение, близкое к «корневому» сечению) и при $x=75$ мм (центральное сечение).
Ниже на рис. 7–14 приведены графики численного расчета кинетики компоненты $\sigma _{x} $, распределенной по глубине $h$ упрочненного образца с надрезом от дна концентратора в упругой (a) и упругопластической (b) постановках при значениях радиуса надреза $\rho=\{0.1; 0.3\}$ мм.
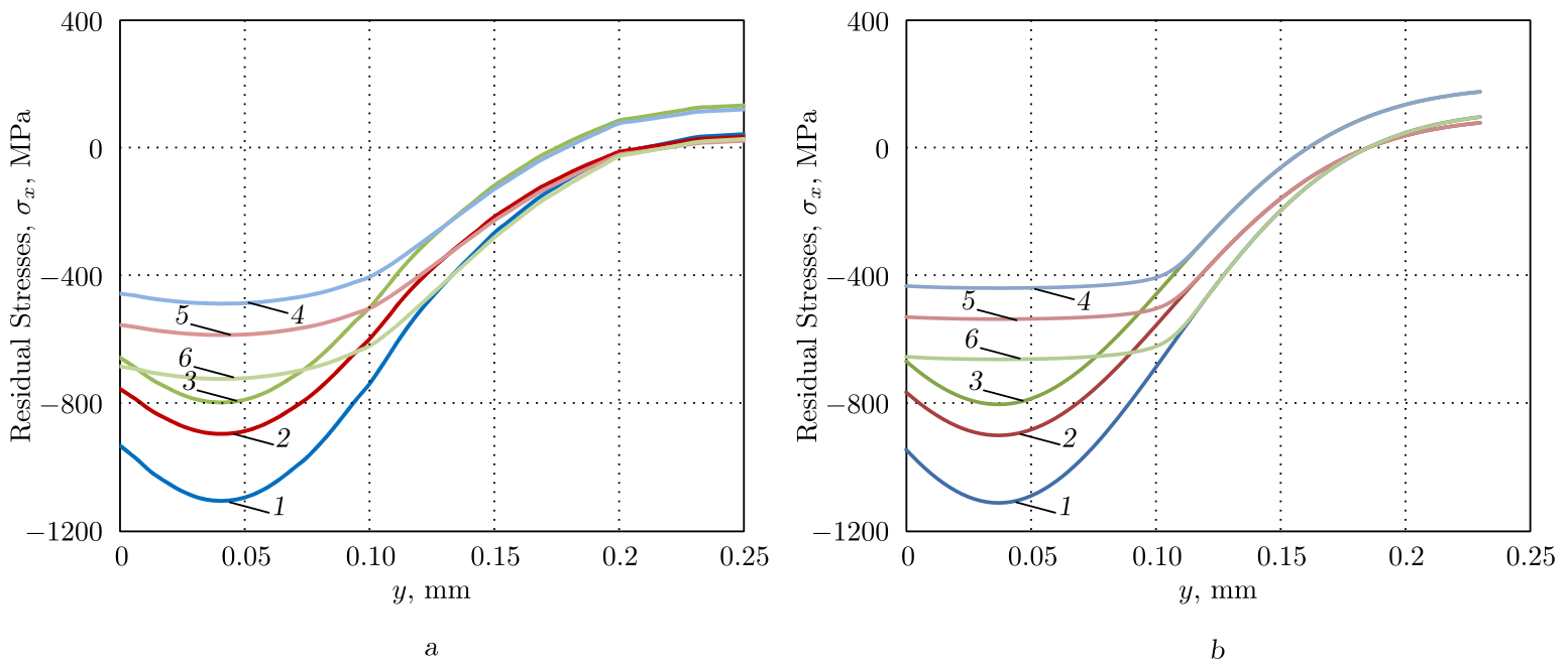
Рис. 7. Данные кинетики компоненты $\sigma _{x}$ в условиях ползучести при угловой скорости вращения 1500 об/мин в сечении $x=2$ мм для $\rho=0.1$ мм, полученные при упругом (a) и упругопластическом (b) решении
[Figure 7. The kinetic data for the components $\sigma _{x} $ under creep conditions at an angular velocity of 1500 RPM in the section $x = 2$ mm for $\rho = 0.1$ mm, obtained from the elastic solution (a) and the elastoplastic solution (b). The markers mean the same thing as in Figure 5]
Рис. 8. Данные кинетики компоненты $\sigma _{x}$ в условиях ползучести при угловой скорости вращения 1500 об/мин в сечении $x=75$ мм для $\rho=0.1$ мм, полученные при упругом (a) и упругопластическом (b) решении
[Figure 8. The kinetic data for the components $\sigma _{x} $ under creep conditions at an angular velocity of 1500 RPM in the section $x = 75$ mm for $\rho = 0.1$ mm, obtained from the elastic solution (a) and the elastoplastic solution (b). The markers mean the same thing as in Figure 5]
Рис. 9. Данные кинетики компоненты $\sigma _{x}$ в условиях ползучести при угловой скорости вращения 2000 об/мин в сечении $x=2$ мм для $\rho=0.1$ мм, полученные при упругом (a) и упругопластическом (b) решении
[Figure 9. The kinetic data for the components $\sigma _{x} $ under creep conditions at an angular velocity of 2000 RPM in the section $x = 2$ mm for $\rho = 0.1$ mm, obtained from the elastic solution (a) and the elastoplastic solution (b). The markers mean the same thing as in Figure 5]
Рис. 10. Данные кинетики компоненты $\sigma _{x}$ в условиях ползучести при угловой скорости вращения 2000 об/мин в сечении $x=75$ мм для $\rho=0.1$ мм, полученные при упругом (a) и упругопластическом (b) решении
[Figure 10. The kinetic data for the components $\sigma _{x} $ under creep conditions at an angular velocity of 2000 RPM in the section $x = 75$ mm for $\rho = 0.1$ mm, obtained from the elastic solution (a) and the elastoplastic solution (b). The markers mean the same thing as in Figure 5]
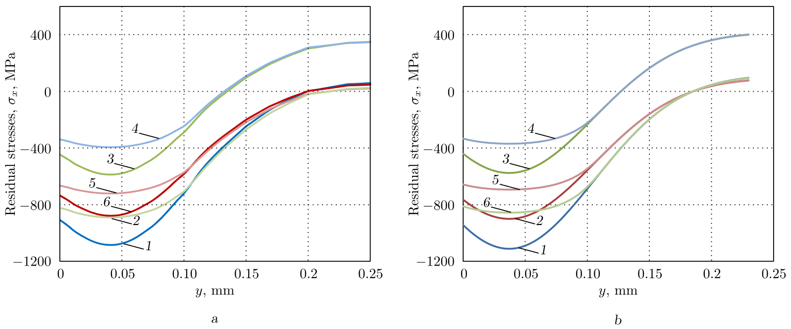
Рис. 11. Данные кинетики компоненты $\sigma _{x} $ в условиях ползучести при угловой скорости вращения 1500 об/мин в сечении $x=2$ мм для $\rho=0.3$ мм, полученные при упругом (a) и упругопластическом (b) решении
[Figure 11. The kinetic data for the components $\sigma _{x} $ under creep conditions at an angular velocity of 1500 RPM in the section $x = 2$ mm for $\rho = 0.3$ mm, obtained from the elastic solution (a) and the elastoplastic solution (b). The markers mean the same thing as in Figure 5]
Рис. 12. Данные кинетики компоненты $\sigma _{x}$ в условиях ползучести при угловой скорости вращения 1500 об/мин в сечении $x=75$ мм для $\rho=0.3$ мм, полученные при упругом (a) и упругопластическом (b) решении
[Figure 12. The kinetic data for the components $\sigma _{x} $ under creep conditions at an angular velocity of 1500 RPM in the section $x = 75$ mm for $\rho = 0.3$ mm, obtained from the elastic solution (a) and the elastoplastic solution (b). The markers mean the same thing as in Figure 5]
Рис. 13. Данные кинетики компоненты $\sigma _{x}$ в условиях ползучести при угловой скорости вращения 2000 об/мин в сечении $x=2$ мм для $\rho=0.3$ мм, полученные при упругом (a) и упругопластическом (b) решении
[Figure 13. The kinetic data for the components $\sigma _{x} $ under creep conditions at an angular velocity of 2000 RPM in the section $x = 2$ mm for $\rho = 0.3$ mm, obtained from the elastic solution (a) and the elastoplastic solution (b). The markers mean the same thing as in Figure 5]
Рис. 14. Данные кинетики компоненты $\sigma _{x}$ в условиях ползучести при угловой скорости вращения 2000 об/мин в сечении $x=75$ мм для $\rho=0.3$ мм, полученные при упругом (a) и упругопластическом (b) решении
[Figure 14. The kinetic data for the components $\sigma _{x} $ under creep conditions at an angular velocity of 2000 RPM in the section $x = 75$ mm for $\rho = 0.3$ mm, obtained from the elastic solution (a) and the elastoplastic solution (b). The markers mean the same thing as in Figure 5]
По полученным результатам распределения ОН от дна концентратора по высоте $y$ можно сделать вывод о том, что для компоненты $\sigma _{x} $, когда радиус надреза $\rho $ не превышает толщину упрочненного слоя $h= 250$ мкм ($\rho=0.1$ мм), решения задачи в упругой и упругопластической постановках имеют серьезные отличия по уровню и характеру распределения этой величины для всех расчетных моментов времени $t$. Как следует из рис. 7–10, при решении упругой задачи о формировании ОН после ОППД при $\rho=0.1$ мм наблюдаются далекие от реальности ОН, значения которых в области дна концентратора более чем в два раза превышают предел прочности материала. Это служит обоснованием использования упругопластической постановки задачи после ОППД. При величине надреза $\rho=0.3$ мм, т. е. когда величина $\rho$ больше толщины области сжатия упрочненного слоя, решения в упругой и упругопластической постановках дают практически близкие результаты (см. рис. 11–14).
Из анализа представленных графиков кинетики компоненты $\sigma _{x} $ в поверхностно упрочненном образце с надрезом также видно, что несмотря на наличие надреза (концентратора напряжений) и возникающих вследствие вращения растягивающих напряжений, интенсивность которых доходит до 500 МПа (кривая 4 на рис. 13), при температурно-силовой разгрузке в наименьших поперечных сечениях изучаемого образца все еще наблюдаются сжимающие ОН. Интересный результат получен для распределения ОН при решении задачи в упругопластической постановке для $\rho=0.1$ мм (см. рис. 7–10 с меткой b). Здесь максимальное по модулю значение ОН после полного цикла «реконструкция ОН после ОППД при температуре 20 °C – температурно-силовая нагрузка – ползучесть в течение $t^*=100$ час при температуре 650 °C – температурно-силовая разгрузка» наблюдается не на дне концентратора ($h=0$), а на глубине $h\approx0.04$ мм. Кроме того, после полного цикла нагружения уровень ОН мало изменился, для этого достаточно сравнить кривые 1 и 6 на рис. 7–10 с меткой b. Аналогичная картина для релаксации остаточных напряжений наблюдается и при $\rho=0.3$ мм, для этого также достаточно сравнить кривые 1 и 6 на рис. 11–14 с меткой b.
7. Выводы
- Разработан численный метод расчета кинетики остаточных напряжений во вращающемся поверхностно упрочненном призматическом образце со сквозным одиночным надрезом полукруглого профиля в условиях высокотемпературной ползучести при температурно-силовом нагружении, основанный на известном напряженно-деформированном состоянии для гладкого образца и технологии опережающего поверхностного пластического деформирования.
- На примере сравнения численных решений задач кинетики остаточных напряжений во вращающемся гладком поверхностно упрочненном призматическом образце методом сеток и методом конечных элементов в условиях температурно-силового нагружения с выдержкой по времени до 100 ч при температуре $650\,{}^\circ$C и с его последующей полной разгрузкой обоснована адекватность разработанного метода расчета на основе МКЭ.
- На основе сравнительного анализа решения задач оценки кинетики остаточных напряжений в упрочненном призматическом образце с надрезом обоснована постановка задачи релаксации ОН в рамках теории упругопластического деформирования после ОППД для радиусов надрезов меньших, чем толщина упрочненного слоя в области сжатия.
- Показано, что несмотря на существенный процесс релаксации остаточных напряжений для всех рассматриваемых случаев образцов с круговым надрезом радиуса $\rho=\{0.1; 0.3\}$ мм, после полной температурно-силовой разгрузки в них все еще наблюдается значительный уровень остаточных сжимающих напряжений, что свидетельствует об эффективности поверхностного упрочнения и в условиях высокотемпературной ползучести.
Конкурирующие интересы. У нас нет конфликта интересов в отношении авторства и публикации этой статьи.
Авторский вклад и ответственность. Все авторы принимали участие в разработке концепции статьи и в написании рукописи. Авторы несут полную ответственность за предоставление окончательной рукописи в печать. Окончательная версия рукописи была одобрена всеми авторами.
Финансирование. Исследование выполнено за счет гранта Российского научного фонда № 23–29–00434, https://rscf.ru/project/23-29-00434/.
About the authors
Vladimir P. Radchenko
Samara State Technical University
Author for correspondence.
Email: radchenko.vp@samgtu.ru
ORCID iD: 0000-0003-4168-9660
SPIN-code: 1823-0796
Scopus Author ID: 7004402189
ResearcherId: J-5229-2013
http://www.mathnet.ru/person38375
Dr. Phys. & Math. Sci., Professor; Head of Department; Dept. of Applied Mathematics & Computer Science
Russian Federation, 443100, Samara, Molodogvardeyskaya st., 244Mikhail N. Saushkin
Samara State Technical University
Email: saushkin.mn@samgtu.ru
ORCID iD: 0000-0002-8260-2069
SPIN-code: 9740-1416
Scopus Author ID: 35318659800
ResearcherId: A-8120-2015
https://www.mathnet.ru/person38368
Cand. Phys. & Math. Sci.; Associate Professor; Dept. of Applied Mathematics & Computer Science
Russian Federation, 443100, Samara, Molodogvardeyskaya st., 244Dmitry M. Shishkin
Syzran’ Branch of Samara State Technical University
Email: shishkin.dim@yandex.ru
ORCID iD: 0000-0003-3205-2262
https://www.mathnet.ru/person164459
Cand. Techn. Sci.; Associate Professor; Dept. of General Theoretical Disciplines
Russian Federation, 446001, Samara region, Syzran, Sovetskaya str., 45References
- Birger I. A. Ostatochnye napriazheniia [Residual Stresses]. Moscow, Mashgiz, 1963, 232 pp. (In Russian)
- Grinchenko I. G. Uprochnenie detalei iz zharoprochnykh i titanovykh splavov [The Hardening of Parts of Heat-Resistant and Titanium Alloys]. Moscow, Mashinostroenie, 1971, 120 pp.
- Ivanov S. I., Shatunov M. P., Pavlov V. F. Influence of residual stresses on notched specimen endurance, In: Problems of Strength of Aircraft Structure Elements, Issue 1. Kuibyshev, Kuibyshev Aviation Inst., 1974, pp. 88–95 (In Russian).
- Kudryavtsev I. V. Poverkhnostnyi naklep dlia povysheniia prochnosti i dolgovechnosti detalei mashin poverkhnostnym plasticheskim deformirovaniem [Surface Strain Hardening to Increase the Strength and Durability of Machine Parts]. Moscow, Mashinostroenie, 1969, 100 pp. (In Russian)
- Nozhnitskii Yu. A., Fishgoit A. V., Tkachenko R. I., Teplova S. V. Development and application of new GTE parts hardening methods based on the plastic deformation of the surface layers, Vestn. Dvigatel., 2006, no. 2, pp. 8–16 (In Russian).
- Sulima G. N., Shuvalov V. A., Yagodkin Yu. D. Poverkhnostnyi sloi i ekspluatatsionnye svoistva detalei mashin [Surface Layer and Performance Properties of Machine Parts]. Moscow, Mashinostroenie, 1988, 240 pp. (In Russian)
- Buchanan D. J., John R. Relaxation of shot-peened residual stresses under creep loading, Scripta Materialia, 2008, vol. 59, no. 3, pp. 286–289. DOI: https://doi.org/10.1016/j.scriptamat.2008.03.021.
- Kravchenko B. A.,Krutsilo V. G., Gutman G. N. Termoplasticheskoe uprochnenie – rezerv povysheniya prochnosti i nadezhnosti detalei mashin [Thermoplastic Hardening as a Reserve for Increasing the Strength and Reliability of Machine Parts]. Samara, Samara State Technical Univ., 2000, 216 pp. (In Russian)
- Hereñú S., Strubbia R., Rubio-González C., et al. High cycle fatigue life improvement of superferritic stainless steel by laser shock peening without coating, Optics Laser Tech., 2022, vol. 152, 108083. DOI: https://doi.org/10.1016/j.optlastec.2022.108083.
- Chen M., Xing S., Liu H., et al. Determination of surface mechanical property and residual stress stability for shot-peened SAF2507 duplex stainless steel by in situ X-ray diffraction stress analysis, J. Mater. Res. Technol., 2022, vol. 9, no. 4, pp. 7644–7654. DOI: https://doi.org/10.1016/j.jmrt.2020.05.028.
- Peng X., Liang Y., Qin X., Gu J. The effect of ultrasonic surface rolling process on tensiontension fatigue limit of small diameter specimens of Inconel 718 superalloy, Int. J. Fatigue, 2022, vol. 162, 106964. DOI: https://doi.org/10.1016/j.ijfatigue.2022.106964.
- Zhao J., Zhou W., Tang J., et al. Analytical and experimental study on the surface generation mechanism in shot peening, Archiv. Civ. Mech. Eng., 2022, vol. 22, 111. DOI: https://doi.org/10.1007/s43452-022-00431-7.
- Mitryaev K. F., Egorov V. I., Malkov G. F., et al. Improving the fatigue strength of heat-resistant materials by diamond burnishing of the surface of the part, In: Ostatochnye napriazheniia [Residual Stresses], Issue 53. Kuibyshev, Kuibyshev Aviation Institute, 1971, pp. 151–159 (In Russian).
- Radchenko V. P., Morozov A. P. Experimental study of the effect induced by air shotblasting processing, thermal exposition and high cycle fatigue tests on physical and mechanical condition hardening layer of cylindrical samples of alloys V95 and D16T, Vestn. Samar. Gos. Tekhn. Univ., Ser. Fiz.-Mat. Nauki [J. Samara State Tech. Univ., Ser. Phys. Math. Sci.], 2010, no. 5, pp. 222–228 (In Russian). EDN: NCTNON. DOI: https://doi.org/10.14498/vsgtu829.
- Pavlov V. F., Kirpichev V. A., Ivanov V. B. Ostatochnye napriazheniia i soprotivlenie ustalosti uprochnennykh detalei s kontsentratorami napriazhenii [Residual Stresses and Fatigue Resistance of Hardened Parts with Stress Concentrators]. Samara, Samara Sci. Center of RAS, 2008, 64 pp. (In Russian)
- Radchenko V. P., Saushkin M. N. Polzuchest’ i relaksatsiia ostatochnykh napriazhenii v uprochnennykh konstruktsiiakh [Creep and Relaxation of Residual Stresses in Hardened Structures]. Moscow, Mashinostroenie-1, 2005, 226 pp. (In Russian). EDN: RXLJLN.
- Radchenko V. P., Pavlov V. Ph., Saushkin M. N. Investigation of surface plastic hardening anisotropy influence on residual stresses distribution in hollow and solid cylindrical specimens, PNRPU Mechanics Bulletin, 2015, no. 1, pp. 130–147 (In Russian). EDN: TVSBYV. DOI: https://doi.org/10.15593/perm.mech/2015.1.09.
- Pavlov V. F., Bukaty A. S., Semenova O. Yu. Forecasting of the endurance limit of surfacehardened parts with stress concentrators, Vestn. Mashinostroeniya, 2019, no. 1, pp. 3–7 (In Russian). EDN: VTAEPK.
- Pavlov V. F., Kirpichev V. A., Vakuluk V. S. Prognozirovanie soprotivleniia ustalosti poverkhnostno uprochnennykh detalei po ostatochnym napriazheniiam [Prediction of Fatigue Resistance of Surface Reinforced Parts by Residual Stresses]. Samara, Samara Sci. Center of RAS, 2012, 125 pp. (In Russian)
- Bag A., Lévesque M., Brochu M. Effect of shot peening on short crack propagation in 300M steel, Int. J. Fatigue, 2020, vol. 131, 105346. DOI: https://doi.org/10.1016/j.ijfatigue.2019.105346.
- Fleury R., Nowell D. Evaluating the influence of residual stresses and surface damage on fatigue life of nickel superalloys, Int. J. Fatigue, 2017, vol. 105, pp. 27–33. DOI: https://doi.org/10.1016/j.ijfatigue.2017.08.015.
- Foss B., Gray S., Hardy M., et al. Analysis of shot-peening and residual stress relaxation in the nickel-based superalloy RR1000, Acta Materialia, 2013, vol. 61, no. 7, pp. 2548–2559. DOI: https://doi.org/10.1016/j.actamat.2013.01.031.
- Soyama H. Comparison between shot peening, cavitation peening, and laser peening by observation of crack initiation and crack growth in stainless steel, Metals, 2019, vol. 10, no. 1, 63. DOI: https://doi.org/10.3390/met10010063.
- Takahashi K., Osedo H., Suzuki T., Fukuda S. Fatigue strength improvement of an aluminum alloy with a crack-like surface defect using shot peening and cavitation peening, Eng. Fract. Mech., 2018, vol. 193, pp. 151–161. DOI: https://doi.org/10.1016/j.engfracmech.2018.02.013.
- You C., Achintha M., He B. Y., Reed P. A. S. A numerical study of the effects of shot peening on the short crack growth behaviour in notched geometries under bending fatigue tests, Int. J. Fatigue, 2017, vol. 103, pp. 99–111. DOI: https://doi.org/10.1016/j.ijfatigue.2017.05.023.
- Zhao X., Sun Z., Xu D., Liu Y. Local fatigue strength evaluation of shot peened 40Cr notched steel, Metals, 2018, vol. 8, no. 9, 681. DOI: https://doi.org/10.3390/met8090681.
- Radchenko V. P., Shishkin D. M. The method of reconstruction of residual stresses in a prismatic specimen with a notch of a semicircular profile after advanced surface plastic deformation, Izv. Saratov Univ. Math. Mech. Inform., 2020, vol. 20, no. 4, pp. 478–492 (In Russian). EDN: ZPKSUN. DOI: https://doi.org/10.18500/1816-9791-2020-20-4-478-492.
- Radchenko V. P., Shishkin D. M. Numerical method for calculating the stress-strain state in a prismatic surface-hardened spacemen with a notch in elastic and elastoplastic formulations, Izv. Saratov Univ. Math. Mech. Inform., 2021, vol. 21, no. 4, pp. 503–519 (In Russian). EDN: KNHHLG. DOI: https://doi.org/10.18500/1816-9791-2021-21-4-503-519.
- Radchenko V. P., Kirpichev V. A., Lunin V. A. Influence of thermoexposition on residual stresses of specimens from EP742 alloy after the ultrasonic hardening, Vestn. Samar. Gos. Tekhn. Univ. Ser. Techn. Nauki, 2012, no. 3, pp. 147–154 (In Russian). EDN: PYUQNV.
- Radchenko V. P., Saushkin M. N., Bochkova T. I. Mathematical modeling and experimental study of forming and relaxation of the residual stresses in plane samples made of EP742 alloy after the ultrasonic hardening under the hightemperature creep conditions, PNRPU Mechanics Bulletin, 2016, no. 1, pp. 93–112 (In Russian). EDN: VQTAHL. DOI: https://doi.org/10.15593/perm.mech/2016.1.07.
- Radchenko V. P., Liberman A. E., Blokhin O. L. Relaxation of residual stresses in a surfacehardened rotating cylinder under creep conditions, Vestn. Samar. Gos. Tekhn. Univ., Ser. Fiz.-Mat. Nauki [J. Samara State Tech. Univ., Ser. Phys. Math. Sci.], 2022, vol. 26, no. 1, pp. 119–139 (In Russian). EDN: GFBZBC. DOI: https://doi.org/10.14498/vsgtu1884.
- Radchenko V. P., Berbasova T. I., Saushkin M. N., Akinfieva M. M. Relaxation of residual stresses in surface-hardened rotating prismatic elements of structures under creep conditions, Izv. Saratov Univ. Math. Mech. Inform., 2023, vol. 23, no. 4, pp. 512–530 (In Russian). EDN: TAEGBQ. DOI: https://doi.org/10.18500/1816-9791-2023-23-4-512-530.
- Radchenko V. P., Eremin Yu. A. Reologicheskoe deformirovanie i razrushenie materialov i elementov konstruktsii [Rheological Deformation and Fracture of Materials and Structural Elements]. Moscow, Mashinostroenie-1, 2004, 264 pp. (In Russian). EDN: QNATSX.
- Rabotnov Yu. N. Creep problems in structural members, North-Holland Series in Applied Mathematics and Mechanics, vol. 7. Amsterdam, London, North-Holland Publ. Co., 1969, xiv+822 pp.
Supplementary files

















