Решение систем линейных интегро-дифференциальных уравнений Вольтерра дробного порядка с производной Капуто методом интегрального преобразования Халаута
- Авторы: Khalouta A.1
-
Учреждения:
- Université Ferhat Abbas de Sétif 1
- Выпуск: Том 29, № 2 (2025)
- Страницы: 207-219
- Раздел: Дифференциальные уравнения и математическая физика
- URL: https://journals.eco-vector.com/1991-8615/article/view/643652
- DOI: https://doi.org/10.14498/vsgtu2141
- EDN: https://elibrary.ru/YHPHPY
- ID: 643652
Цитировать
Полный текст
Аннотация
Интегральное преобразование Халуты представляет собой мощный метод решения различных типов уравнений, включая интегро-дифференциальные уравнения и интегральные уравнения. Оно также может быть применено к начальным и краевым задачам для обыкновенных дифференциальных уравнений и уравнений в частных производных с постоянными коэффициентами. Основная цель данной работы — получение решений систем линейных интегро-дифференциальных уравнений Вольтерра дробного порядка с производной Капуто с использованием интегрального преобразования Халуты.
Для решения таких систем данным методом необходимо установить и определить ключевые свойства интегрального преобразования Халуты, которые играют важнейшую роль при выводе преобразования для дробной производной Капуто, входящей в системы. В работе представлены и решены несколько численных примеров с применением метода интегрального преобразования Халуты, демонстрирующие применимость предложенного подхода. Полученные результаты подтверждают, что данный метод обладает высокой эффективностью и позволяет находить точные решения систем линейных интегро-дифференциальных уравнений Вольтерра дробного порядка прямым способом.
Полный текст
1. Introduction
Fractional integro-differential equations have wide applications in numerous fields of physics and applied mathematics, including continuum mechanics, geophysics, potential theory, electromagnetism, optimization, renewal theory, kinetic theory, quantum mechanics, radiation, optimal control systems, mathematical economics, communication theory, queuing theory, radiative equilibrium, acoustics, steady-state heat conduction, fluid mechanics, and fracture mechanics. Among these, fractional Volterra integro-differential equations are particularly significant due to their prevalence in approximation theory, computational mathematics, and physical mathematics.
Recent research has explored various methods to analyze fractional integro-differential equations for accurate and reliable solutions. Integral transforms stand out as a prominent approach for solving such mathematical problems. Several integral transforms have proven effective for handling different types of fractional integro-differential equations. For instance:
- In [1], an exact solution for Volterra-type fractional integro-differential equations was proposed using the Elzaki integral transform.
- The Aboodh integral transform was applied in [2] to study analytical solutions of linear and nonlinear dynamical systems of fractional integro-differential equations.
- The Mohand integral transform was employed in [3] to analyze fractional integro-differential equations.
- The Ramadan group integral transform was used in [4] to solve fractional Fredholm-Volterra integro-differential equations.
- The Laplace integral transform facilitated solutions to fourth-order fractional partial integro-differential equations in [5].
- In [6], the Laplace integral transform yielded analytical solutions for a system of Volterra-type integro-fractional differential equations with variable coefficients and multi-time delay.
The objective of this paper is to investigate the efficacy of a novel integral transform method, the Khalouta integral transform, for solving systems of linear fractional Volterra integro-differential equations.
The system under consideration is given by:
\[
\begin{equation}
\left\{
\!\!
\begin{array}{l}
\displaystyle
D^{\alpha}X_{1}(t)=f_{1}(t)+ \sum_{j=1}^n \int_{0}^{t}K_{1j}(t-s)X_{j}(s)ds , \\
\displaystyle
D^{\alpha}X_{2}(t)=f_{2}(t)+ \sum_{j=1}^n \int_{0}^{t}K_{2j}(t-s)X_{j}(s)ds , \\
\qquad \qquad ~ \vdots \\
\displaystyle
D^{\alpha}X_{n}(t)=f_{n}(t)+ \sum_{j=1}^n \int_{0}^{t}K_{nj}(t-s)X_{j}(s)ds ,
\end{array}
\right.
\!\!
\end{equation}
\tag{1}
\]
subject to the initial conditions
\[\begin{equation}
X_{1}^{(k)}(0)=C_{1k}, \;
X_{2}^{(k)}(0)=C_{2k}, \;
\ldots, \;
X_{n}^{(k)}(0)=C_{nk}, \quad k=0,1,\ldots,m-1,
\end{equation}
\tag{2}
\]
where $X_{1}(t)$, $X_{2}(t)$, $\ldots$, $X_{n}(t)$ are unknown functions to be determined, $K_{ij}(t,s)=K_{ij}(t-s)$ are difference kernels for $i,j=1,2,\ldots,n$, $f_{i}(t)$ are real-valued functions for $i=1,2,\ldots,n$, and $D^{\alpha}$ denotes the Caputo fractional derivative of order $\alpha$ with $m-1<\alpha \leqslant m$, $m\geqslant 1$.
The Khalouta integral transform is a novel integral transform recently introduced by the author, generalizing several well-known integral transforms including the Laplace transform [7], Sumudu transform [8], ZZ transform [9], ZMA transform [10], Elzaki transform [11], Aboodh transform [12], natural transform [13], and Shehu transform [14]. The Khalouta integral transform offers several key advantages:
- Unit Preservation: It enables direct problem-solving without frequency-domain conversion, particularly valuable in physical sciences where dimensional consistency is crucial;
- Linear Operator Properties: As a linear operator preserving linear functions, it maintains units and dimensions without modification;
- Handling of Initial Conditions and Singularities: The transform is specifically designed to address initial conditions and singularities commonly encountered in practical engineering models;
- Simplified Inversion: The inverse Khalouta transform avoids complex contour integration, offering a more straightforward solution methodology.
This paper is organized as follows. Section 1 presents the introduction. Section 2 provides essential definitions, properties, theorems, and foundational results on fractional calculus and the Khalouta integral transform, which are utilized throughout subsequent sections. Section 3 develops the solution methodology for systems of linear fractional Volterra integro-differential equations (1) with initial conditions (2) using the Khalouta transform.
Section 4 demonstrates numerical applications, and Section 5 concludes the paper.
2. Fundamental Definitions and Theorems
This section presents the essential definitions and theorems of fractional calculus and the Khalouta transform, along with their key properties.
Definition 1 [15]. Let $X(t)$ be a continuous function on the interval $[0,T]$, where $T>0$. The Riemann–Liouville fractional integral operator of order $\alpha \geqslant 0$ is defined as
\[
I^{\alpha}X(t) = \begin{cases}
\displaystyle
\dfrac{1}{\Gamma(\alpha)}\int_{0}^{t}(t-\xi)^{\alpha-1}X(\xi)d\xi, & \alpha > 0, \\
X(t), & \alpha = 0,
\end{cases}
\]
where $\Gamma({}\cdot{})$ denotes the Gamma function.
Definition 2 [15]. Let $X(t)$ be a continuous function on $[0,T]$, $T>0$. The Caputo fractional derivative operator of order $\alpha > 0$ is defined as
\[
D^{\alpha}X(t) = \begin{cases}
I^{m-\alpha}X^{(m)}(t), & m-1 < \alpha < m, \\
X^{(m)}(t), & \alpha = m,
\end{cases}
\]
where $m = [ \alpha ] \in \mathbb{N}$.
An important relationship between these operators is given by:
\[
I^{\alpha}D^{\alpha}X(t) = X(t) - \sum\limits_{k=0}^{n-1}X^{(k)}(0^+)\frac{t^k}{k!}, \quad t > 0.
\]
Definition 3 [16]. Let $X(t)$ be a continuous function of exponential order on $[0,T]$, $T>0$. The Khalouta integral transform of $X(t)$ is defined as
\[
\mathbb{KH}[X(t)] = \mathcal{K}(s,\gamma,\eta) = \frac{s}{\gamma\eta}\int_{0}^{\infty}\exp\Bigl(-\frac{st}{\gamma\eta}\Bigr)X(t)dt,
\]
where $s$, $\gamma$, $\eta > 0$ are real or complex parameters independent of $t$.
The inverse Khalouta transform is given by:
\[\begin{equation}
X(t) = \mathbb{KH}^{-1}[\mathcal{K}(s,\eta,\gamma)] = \frac{1}{2\pi i}\int_{\varphi-i\infty}^{\varphi+i\infty}\frac{1}{s}\exp\Bigl(\frac{st}{\gamma\eta}\Bigr)\mathcal{K}(s,\eta,\gamma)ds,
\end{equation}
\tag{3}
\]
where $\varphi$ is a real constant and the integral in (3) is evaluated along $s=\varphi$ in the complex plane $s=x+iy$.
The Khalouta integral transform possesses the following fundamental properties.
1. Linearity Property:
\[
\mathbb{KH} [\lambda X(t) \pm \mu Y(t) ] = \lambda \mathbb{KH} [X(t) ] \pm \mu \mathbb{KH} [Y(t) ],
\]
where $\lambda$ and $\mu$ are nonzero constants.
2. Differentiation Property:
\[
\mathbb{KH} [X^{(m)}(t) ] = \Bigl(\frac{s}{\gamma\eta}\Bigr)^{m}\mathbb{KH} [X(t) ] - \sum_{k=0}^{m-1}\Bigl(\frac{s}{\gamma\eta}\Bigr)^{m-k}X^{(k)}(0),
\]
where $X^{(m)}(t)$ denotes the $m$-th derivative of $X(t)$ with respect to $t$ for $m = 0,1,2,\ldots$
3. Convolution Property:
\[\begin{equation*}
\mathbb{KH} [(X * Y)(t) ] = \frac{\gamma\eta}{s}\mathbb{KH} [X(t) ]\mathbb{KH} [Y(t) ].
\end{equation*}\]
4. Inverse Transform of Elementary Functions:
\[
\begin{align*}
\mathbb{KH}^{-1} [{1}] &= 1, \\
\mathbb{KH}^{-1}\Bigl[\frac{\gamma\eta}{s}\Bigr] &= t, \\
\mathbb{KH}^{-1}\Bigl[\Bigl(\frac{\gamma\eta}{s}\Bigr)^{n}\Bigr] &= \frac{t^{n}}{n!}, \quad n = 0,1,2,\ldots, \\
\mathbb{KH}^{-1}\Bigl[\Bigl(\frac{\gamma\eta}{s}\Bigr)^{\alpha}\Bigr] &= \frac{t^{\alpha}}{\Gamma(\alpha+1)}, \quad \alpha > -1, \\
\mathbb{KH}^{-1}\Bigl[\frac{s}{s-a\gamma\eta}\Bigr] &= \exp(at), \\
\mathbb{KH}^{-1}\Bigl[\frac{a s\gamma\eta}{s^{2}+a^{2}\gamma^{2}\eta^{2}}\Bigr] &= \sin(at), \\
\mathbb{KH}^{-1}\Bigl[\frac{s^{2}}{s^{2}+a^{2}\gamma^{2}\eta^{2}}\Bigr] &= \cos(at),
\end{align*}
\]
where $a$ is a constant.
Theorem 1 [17]. The Khalouta integral transform of the Caputo fractional derivative is given by:
\[
\mathbb{KH} [D^{\alpha}X(t) ] = \Bigl(\frac{s}{\gamma\eta}\Bigr)^{\alpha}\mathbb{KH} [X(t) ] -
\sum_{k=0}^{m-1}\Bigl(\frac{s}{\gamma\eta}\Bigr)^{\alpha-k}X^{(k)}(0), \quad m-1<\alpha\leqslant m.
\]
Remark 1. The Khalouta integral transform generalizes several well-known integral transforms through appropriate parameter choices:
- For $\gamma=\eta=1$, we recover the Laplace--Carson transform of the Caputo fractional derivative [18]:
\[
\mathbb{LC} [D^{\alpha}X(t) ] = s^{\alpha}\mathbb{LC} [X(t) ] - \sum_{k=0}^{m-1}s^{\alpha-k}X^{(k)}(0), \quad m-1<\alpha\leqslant m;
\] - For $s=\gamma=1$, we obtain the Sumudu transform of the Caputo fractional derivative [19]:
\[\begin{equation*}
\mathbb{S} [D^{\alpha}X(t) ] = \frac{1}{\eta^{\alpha}}\mathbb{S} [X(t) ] -
\sum_{k=0}^{m-1}\frac{1}{\eta^{\alpha-k}}X^{(k)}(0), \quad m-1<\alpha\leqslant m;
\end{equation*}\] - For $\gamma=1$, we derive the ZZ transform of the Caputo fractional derivative [20]:
\[\begin{equation*}
\mathbb{Z} [D^{\alpha}X(t) ] = \Bigl(\frac{s}{\eta}\Bigr)^{\alpha}\mathbb{Z} [X(t) ] -
\sum_{k=0}^{m-1}\Bigl(\frac{s}{\eta}\Bigr)^{\alpha-k}X^{(k)}(0), \quad m-1<\alpha\leqslant m;
\end{equation*}\] - For $s=1$, we obtain the ZMA transform of the Caputo fractional derivative [10]:
\[\begin{equation*}
\mathbb{Z}_{MA} [D^{\alpha}X(t) ] = \frac{1}{(\gamma\eta)^{\alpha}}\mathbb{Z}_{MA} [X(t) ] -
\sum_{k=0}^{m-1}\frac{1}{(\gamma\eta)^{\alpha-k}}X^{(k)}(0), \quad m-1<\alpha\leqslant m.
\end{equation*}\]
3. Procedure of Khalouta Integral Transform Method.
This section presents the methodology for solving systems of linear fractional Volterra integro-differential equations using the Khalouta integral transform.
Consider the general system of linear fractional Volterra integro-differential equations (1), subject to the initial conditions (2).
Applying the Khalouta integral transform to system (1) and using the convolution property yields:
\[\begin{equation}
\begin{cases}
\displaystyle
\mathbb{KH} [D^{\alpha}X_{1}(t) ] = \mathbb{KH} [f_{1}(t) ] + \sum_{j=1}^{n}\frac{\gamma\eta}{s}\mathbb{KH} [K_{1j}(t) ]\mathbb{KH} [X_{j}(t) ] ,\\
\displaystyle
\mathbb{KH} [D^{\alpha}X_{2}(t) ] = \mathbb{KH} [f_{2}(t) ] + \sum_{j=1}^{n}\frac{\gamma\eta}{s}\mathbb{KH}[K_{2j}(t) ]\mathbb{KH} [X_{j}(t) ] ,\\
\qquad \qquad \qquad \vdots \\
\displaystyle
\mathbb{KH} [D^{\alpha}X_{n}(t)] = \mathbb{KH} [f_{n}(t) ] + \sum_{j=1}^{n}\frac{\gamma\eta}{s}\mathbb{KH} [K_{nj}(t) ]\mathbb{KH} [X_{j}(t) ].
\end{cases}
\end{equation}
\tag{4}
\]
Applying Theorem 1 to the first term of system (4) yields:
\[\begin{equation}
\begin{cases}
\displaystyle
\Bigl(\frac{s}{\gamma\eta}\Bigr)^{\alpha}\mathbb{KH} [X_{1}(t) ] - \sum\limits_{k=0}^{m-1}\Bigl(\frac{s}{\gamma\eta}\Bigr)^{\alpha-k}X_{1}^{(k)}(0) = \\
\displaystyle
\qquad \qquad \qquad \quad = \mathbb{KH} [f_{1}(t) ] + \sum\limits_{j=1}^{n}\frac{\gamma\eta}{s}\mathbb{KH} [K_{1j}(t) ]\mathbb{KH} [X_{j}(t) ],
\\
\displaystyle
\Bigl(\frac{s}{\gamma\eta}\Bigr)^{\alpha}\mathbb{KH} [X_{2}(t) ] - \sum\limits_{k=0}^{m-1}\Bigl(\frac{s}{\gamma\eta}\Bigr)^{\alpha-k}X_{2}^{(k)}(0) = \\
\displaystyle
\qquad \qquad \qquad \quad = \mathbb{KH} [f_{2}(t) ] + \sum\limits_{j=1}^{n}\frac{\gamma\eta}{s}\mathbb{KH} [K_{2j}(t) ]\mathbb{KH} [X_{j}(t) ], \\
\qquad \qquad \qquad \quad \vdots \\
\displaystyle
\Bigl(\frac{s}{\gamma\eta}\Bigr)^{\alpha}\mathbb{KH} [X_{n}(t) ] - \sum\limits_{k=0}^{m-1}\Bigl(\frac{s}{\gamma\eta}\Bigr)^{\alpha-k}X_{n}^{(k)}(0) = \\
\displaystyle
\qquad \qquad \qquad \quad =
\mathbb{KH} [f_{n}(t) ] + \sum\limits_{j=1}^{n}\frac{\gamma\eta}{s}\mathbb{KH} [K_{nj}(t) ]\mathbb{KH} [X_{j}(t)].
\end{cases}
\end{equation}
\tag{5}
\]
Substituting the initial conditions (2) into system (5) gives:
\[\begin{equation}
\begin{cases}
\displaystyle
\Bigl(\frac{s}{\gamma\eta}\Bigr)^{\alpha}\mathbb{KH} [X_{1}(t) ] - \sum\limits_{k=0}^{m-1}\Bigl(\frac{s}{\gamma\eta}\Bigr)^{\alpha-k}C_{1k} = \\
\displaystyle
\qquad \qquad \qquad \quad =
\mathbb{KH} [f_{1}(t) ] + \frac{\gamma\eta}{s} \sum\limits_{j=1}^{n}\mathbb{KH} [K_{1j}(t) ]\mathbb{KH}[X_{j}(t)], \\
\displaystyle
\Bigl(\frac{s}{\gamma\eta}\Bigr)^{\alpha}\mathbb{KH} [X_{2}(t) ] - \sum\limits_{k=0}^{m-1}\Bigl(\frac{s}{\gamma\eta}\Bigr)^{\alpha-k}C_{2k} = \\
\displaystyle
\qquad \qquad \qquad \quad =
\mathbb{KH} [f_{2}(t) ] + \sum\limits_{j=1}^{n}\frac{\gamma\eta}{s}\mathbb{KH} [K_{2j}(t) ]\mathbb{KH}[X_{j}(t)] ,\\
\qquad \qquad \qquad \quad \vdots \\
\displaystyle
\Bigl(\frac{s}{\gamma\eta}\Bigr)^{\alpha}\mathbb{KH} [X_{n}(t) ] - \sum\limits_{k=0}^{m-1}\Bigl(\frac{s}{\gamma\eta}\Bigr)^{\alpha-k}C_{nk} = \\
\displaystyle
\qquad \qquad \qquad \quad =
\mathbb{KH} [f_{n}(t) ] + \sum\limits_{j=1}^{n}\frac{\gamma\eta}{s}\mathbb{KH} [K_{nj}(t) ]\mathbb{KH} [X_{j}(t)].
\end{cases}
\end{equation}
\tag{6}
\]
Simplifying system (6) results in:
\[\begin{equation}
\begin{cases}
\displaystyle
\Bigl(\Bigl(\frac{s}{\gamma\eta}\Bigr)^{\alpha} - \frac{\gamma\eta}{s}\mathbb{KH} [K_{11}(t) ]\Bigr)\mathbb{KH} [X_{1}(t) ] - \sum\limits_{j=2}^{n}\frac{\gamma\eta}{s}\mathbb{KH} [K_{1j}(t) ]\mathbb{KH} [X_{j}(t) ] =\\
\displaystyle
\qquad \qquad \qquad \quad \qquad \qquad \qquad \quad \qquad =
\mathbb{KH} [f_{1}(t) ] + \sum\limits_{k=0}^{m-1}\Bigl(\frac{s}{\gamma\eta}\Bigr)^{\alpha-k}C_{1k},
\\
\displaystyle
\Bigl(\Bigl(\frac{s}{\gamma\eta}\Bigr)^{\alpha} - \frac{\gamma\eta}{s}\mathbb{KH} [K_{22}(t) ]\Bigr)\mathbb{KH}[X_{2}(t) ]
- \sum\limits_{\substack{j=1 \\ j\neq 2}}^{n} \frac{\gamma\eta}{s}\mathbb{KH} [K_{2j}(t) ]\mathbb{KH} [X_{j}(t)] = \\
\displaystyle
\qquad \qquad \qquad \quad \qquad \qquad \qquad \quad \qquad =
\mathbb{KH} [f_{2}(t) ] + \sum\limits_{k=0}^{m-1} \Bigl(\frac{s}{\gamma\eta}\Bigr)^{\alpha-k}C_{2k}, \\
\qquad \qquad \qquad \quad \qquad \qquad \qquad \quad \qquad \vdots \\
\displaystyle
\Bigl(\Bigl(\frac{s}{\gamma\eta}\Bigr)^{\alpha} - \frac{\gamma\eta}{s}\mathbb{KH} [K_{nn}(t) ]\Bigr)\mathbb{KH}[X_{n}(t) ]
- \sum\limits_{j=1}^{n-1}\frac{\gamma\eta}{s}\mathbb{KH} [K_{nj}(t) ]\mathbb{KH}\ [X_{j}(t) ] =\\
\displaystyle
\qquad \qquad \qquad \quad \qquad \qquad \qquad \quad \qquad =
\mathbb{KH} [f_{n}(t) ] + \sum\limits_{k=0}^{m-1}\Bigl(\frac{s}{\gamma\eta}\Bigr)^{\alpha-k}C_{nk}.
\end{cases}
\end{equation}
\tag{7}
\]
The solution of system (7) is obtained through Cramer's rule as follows:
\[
\begin{equation*}
\mathbb{KH}[ X_{i}(t)] = \frac{\Delta_i}{\Delta}, \quad i=1,2,\ldots,n,
\end{equation*}
\]
where $\Delta$ is the determinant of the coefficient matrix:
\[
\begin{equation*}
\Delta = \left\vert
\begin{array}{cccc}
a_{11} & a_{12} & \cdots & a_{1n} \\
a_{21} & a_{22} & \cdots & a_{2n} \\
\vdots & \vdots & \ddots & \vdots \\
a_{n1} & a_{n2} & \cdots & a_{nn}
\end{array}
\right\vert,
\end{equation*}
\]
with matrix elements
\[
\begin{equation*}
a_{ij} = \begin{cases}
\displaystyle
\Bigl( \frac{s}{\gamma\eta}\Bigr)^\alpha - \frac{\gamma\eta}{s}\mathbb{KH} [K_{ii}(t) ], & i=j, \\
\displaystyle
-\frac{\gamma\eta}{s}\mathbb{KH} [K_{ij}(t) ], & i\neq j,
\end{cases}
\end{equation*}
\]
and $\Delta_i$ are the determinants formed by replacing the $i$-th column of $\Delta$ with the column vector
\[
\begin{equation*}
\begin{pmatrix}
\displaystyle
\mathbb{KH} [f_1(t) ] + \sum\limits_{k=0}^{m-1}\Bigl(\frac{s}{\gamma\eta}\Bigr)^{\alpha-k}C_{1k} \\
\mathbb{KH} [f_2(t) ] + \sum\limits_{k=0}^{m-1}\Bigl(\frac{s}{\gamma\eta}\Bigr)^{\alpha-k}C_{2k} \\
\vdots \\
\mathbb{KH} [f_n(t) ] + \sum\limits_{k=0}^{m-1}\Bigl(\frac{s}{\gamma\eta}\Bigr)^{\alpha-k}C_{nk}
\end{pmatrix}.
\end{equation*}
\]
Applying the inverse Khalouta transform to $\mathbb{KH} [X_i(t) ]$ yields the final solution for each $X_i(t)$, $i=1,2,\ldots,n$.
4. Numerical Applications
This section demonstrates the Khalouta integral transform method through a concrete example of fractional integro-differential equations.
Example 1. Consider the system of linear Caputo fractional Volterra integro-differential equations:
\[
\begin{equation}
\begin{cases}
\displaystyle
D^{\alpha}X_{1}(t) = 2t^{2} + \int_{0}^{t}(t-s)X_{1}(s)ds + \int_{0}^{t}(t-s)X_{2}(s)ds, \\
\displaystyle
D^{\alpha}X_{2}(t) = -3t^{2} - \frac{1}{10}t^{5} + \int_{0}^{t}(t-s)X_{1}(s)ds - \int_{0}^{t}(t-s)X_{2}(s)ds,
\end{cases}
\end{equation}
\tag{8}
\]
where $0 < \alpha \leqslant 1$, with initial conditions
\[
\begin{equation*}
X_{1}(0) = 1, \quad X_{2}(0) = 1.
\end{equation*}
\]
Applying the Khalouta transform yields:
\[
\begin{equation*}
\begin{cases}
\displaystyle
\Bigl(\frac{s}{\gamma\eta}\Bigr)^{\alpha}\mathbb{KH}[X_{1}(t)] - \Bigl(\frac{s}{\gamma\eta}\Bigr)^{\alpha} =
4\Bigl(\frac{\gamma\eta}{s}\Bigr)^{2} + \Bigl(\frac{\gamma\eta}{s}\Bigr)^{2}\mathbb{KH}[X_{1}(t)] + \Bigl(\frac{\gamma\eta}{s}\Bigr)^{2}\mathbb{KH}[X_{2}(t)], \\
\displaystyle
\Bigl(\frac{s}{\gamma\eta}\Bigr)^{\alpha}\mathbb{KH}[X_{2}(t)] - \Bigl(\frac{s}{\gamma\eta}\Bigr)^{\alpha} = \\
\displaystyle
\qquad \qquad \quad =
-6\Bigl(\frac{\gamma\eta}{s}\Bigr)^{2} - 12\Bigl(\frac{\gamma\eta}{s}\Bigr)^{5} + \Bigl(\frac{\gamma\eta}{s}\Bigr)^{2}\mathbb{KH}[X_{1}(t)] - \Bigl(\frac{\gamma\eta}{s}\Bigr)^{2}\mathbb{KH}[X_{2}(t)].
\end{cases}
\end{equation*}
\]
Solving the last system gives:
\[
\begin{equation*}
X_{1}(t) = 1 + 6\frac{t^{\alpha+2}}{\Gamma(\alpha+3)}, \quad
X_{2}(t) = 1 - 6\frac{t^{\alpha+2}}{\Gamma(\alpha+3)}.
\end{equation*}
\]
For the integer case ($\alpha=1$), we recover the exact solution:
\[
\begin{equation*}
X_{1}(t) = 1 + t^{3}, \quad X_{2}(t) = 1 - t^{3},
\end{equation*}
\]
which agrees with known results obtained via Laplace transform methods [21].
Example 2. Consider the following system of linear Caputo fractional Volterra integro-differential equations:
\[
\begin{equation}
\begin{cases}
\displaystyle
D^{\alpha}X_{1}(t) = -t^{3}-t^{4} + 3\int_{0}^{t}X_{2}(s)ds + 4\int_{0}^{t}X_{3}(s)ds, \\
\displaystyle
D^{\alpha}X_{2}(t) = 2+t^{2}-t^{4} - 2\int_{0}^{t}X_{1}(s)ds + 4\int_{0}^{t}X_{3}(s)ds, \\
\displaystyle
D^{\alpha}X_{3}(t) = 6t-t^{2}+t^{3} + 2\int_{0}^{t}X_{1}(s)ds - 3\int_{0}^{t}X_{2}(s)ds,
\end{cases}
\end{equation}
\tag{9}
\]
where $1<\alpha \leqslant 2$, subject to the initial conditions
\[
\begin{equation*}
X_{1}(0)=0,\ X_{1}'(0)=1; \quad X_{2}(0)=X_{2}'(0)=0; \quad X_{3}(0)=X_{3}'(0)=0.
\end{equation*}
\]
Applying the Khalouta integral transform to system (9) yields:
\[
\begin{equation}
\begin{cases}
\mathbb{KH}[D^{\alpha}X_{1}(t)] = \mathbb{KH}[-t^{3}-t^{4}] + \dfrac{\gamma\eta}{s}\mathbb{KH}[{3}]\mathbb{KH}[X_{2}(t)] + \dfrac{\gamma\eta}{s}\mathbb{KH}[{4}]\mathbb{KH}[X_{3}(t)], \\
\mathbb{KH}[D^{\alpha}X_{2}(t)] = \mathbb{KH}[2+t^{2}-t^{4}] - \dfrac{\gamma\eta}{s}\mathbb{KH}[{2}]\mathbb{KH}[X_{1}(t)] + \dfrac{\gamma\eta}{s}\mathbb{KH}[{4}]\mathbb{KH}[X_{3}(t)], \\
\mathbb{KH}[D^{\alpha}X_{3}(t)] = \mathbb{KH}[6t-t^{2}+t^{3}] + \dfrac{\gamma\eta}{s}\mathbb{KH}[{2}]\mathbb{KH}[X_{1}(t)] - \dfrac{\gamma\eta}{s}\mathbb{KH}[{3}]\mathbb{KH}[X_{2}(t)].
\end{cases}
\end{equation}
\tag{10}
\]
Using Theorem 1, we transform system (10) to
\[
\begin{equation}
\begin{cases}
\displaystyle
\Bigl(\frac{s}{\gamma\eta}\Bigr)^{\alpha}\mathbb{KH}[X_{1}(t)] - \Bigl(\frac{s}{\gamma\eta}\Bigr)^{\alpha-1} = \\
\displaystyle
\qquad \qquad \qquad =
-6\Bigl(\frac{\gamma\eta}{s}\Bigr)^{3} - 12\Bigl(\frac{\gamma\eta}{s}\Bigr)^{4} + 3\frac{\gamma\eta}{s}\mathbb{KH}[X_{2}(t)] + 4\frac{\gamma\eta}{s}\mathbb{KH}[X_{3}(t)],
\\
\displaystyle
\Bigl(\frac{s}{\gamma\eta}\Bigr)^{\alpha}\mathbb{KH}[X_{2}(t)] = \\
\displaystyle
\qquad \qquad \qquad =
2 + 2\Bigl(\frac{\gamma\eta}{s}\Bigr)^{2} - 12\Bigl(\frac{\gamma\eta}{s}\Bigr)^{4} - 2\frac{\gamma\eta}{s}\mathbb{KH}[X_{1}(t)] + 4\frac{\gamma\eta}{s}\mathbb{KH}[X_{3}(t)],
\\
\displaystyle
\Bigl(\frac{s}{\gamma\eta}\Bigr)^{\alpha}\mathbb{KH}[X_{3}(t)] = \\
\displaystyle
\qquad \qquad \qquad =
6\frac{\gamma\eta}{s} - 2\Bigl(\frac{\gamma\eta}{s}\Bigr)^{2} + 6\Bigl(\frac{\gamma\eta}{s}\Bigr)^{3} + 2\frac{\gamma\eta}{s}\mathbb{KH}[X_{1}(t)] - 3\frac{\gamma\eta}{s}\mathbb{KH}[X_{2}(t)].
\end{cases}
\end{equation}
\tag{11}
\]
Solving the last system gives:
\[\begin{equation*}
X_{1}(t) = \frac{t^{\alpha-1}}{\Gamma(\alpha)}, \quad
X_{2}(t) = 2\frac{t^{\alpha}}{\Gamma(\alpha+1)}, \quad
X_{3}(t) = 6\frac{t^{\alpha+1}}{\Gamma(\alpha+2)}.
\end{equation*}\]
For $\alpha=2$, we obtain the exact solution:
\[\begin{equation*}
X_{1}(t) = t, \quad
X_{2}(t) = t^{2}, \quad
X_{3}(t) = t^{3},
\end{equation*}\]
which matches the known solution obtained via Laplace transform methods [21].
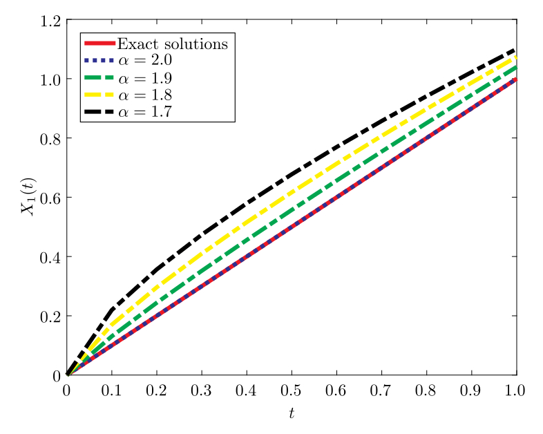
Remark 2. Figures 1–5 demonstrate the behavior of the obtained solutions for different values of the fractional order $\alpha$, comparing them with exact solutions in two applications of linear Caputo fractional Volterra integro-differential equation systems solved via the Khalouta integral transform method. Numerical simulations confirm that the fractional solutions converge precisely to the exact solutions when $\alpha$ approaches 1 for system (8) and 2 for system (9). All computations were performed using MATLAB R2016a for symbolic computation.
Figure 1. Behavior of $X_{1}(t)$ for different fractional orders $\alpha$ compared to the exact solution ($\alpha=1$)
Figure 2. Behavior of $X_{2}(t)$ for different fractional orders $\alpha$ compared to the exact solution ($\alpha=1$)
Figure 3. Behavior of $X_{1}(t)$ for different fractional orders $\alpha$ compared to the exact solution ($\alpha=2$)
Figure 4. Behavior of $X_{2}(t)$ for different fractional orders $\alpha$ compared to the exact solution ($\alpha=2$)
Figure 5. Behavior of $X_{3}(t)$ for different fractional orders $\alpha$ compared to the exact solution ($\alpha=2$)
5. Conclusion
This study has demonstrated the successful application of the Khalouta integral transform method for solving systems of linear Caputo fractional Volterra integro-differential equations. The numerical applications and accompanying graphical representations have validated both the accuracy and effectiveness of the proposed approach. Our results establish the Khalouta transform as a powerful tool for obtaining solutions to systems of linear fractional integro-differential equations, making a significant contribution to this field of research.
The presented findings not only advance current theoretical understanding but also create new opportunities for applications across various scientific and mathematical disciplines. Future research directions will focus on extending this methodology to nonlinear Caputo–Volterra–Fredholm integro-differential equations with complex kernels, potentially combining the Khalouta integral transform with established techniques such as the Adomian decomposition method, the homotopy perturbation method, the variational iteration method, or the differential transform method to develop more robust solution frameworks for these challenging problems.
Competing interests. The author declares no competing interests.
Authors' contributions. The author is solely responsible for the content and preparation of this manuscript. The final version has been reviewed and approved by the author.
Funding. This research received no external funding.
Об авторах
Ali Khalouta
Université Ferhat Abbas de Sétif 1
Автор, ответственный за переписку.
Email: nadjibkh@yahoo.fr
ORCID iD: 0000-0003-1370-3189
Scopus Author ID: 57210790493
https://www.mathnet.ru/person207700
Lab. of Fundamental Mathematics and Numerical; Dept. of Mathematics; Faculty of Sciences
Алжир, 19000 SétifСписок литературы
- Singh Y., Gill V., Singh J., et al. On the Volterra-type fractional integro-differential equations pertaining to special functions, Fractal Fract., 2020, vol. 4, no. 3, 33. DOI: https://doi.org/10.3390/fractalfract4030033.
- Khan Q., Suen A., Khan H. Application of an efficient analytical technique based on Aboodh transformation to solve linear and non-linear dynamical systems of integro-differential equations, Part. Differ. Equ. Appl. Math., 2024, vol. 11, 100848. DOI: https://doi.org/10.1016/j.padiff.2024.100848.
- Gunasekar T., Raghavendran P. The Mohand transform approach to fractional integro-differential equations, J. Comput. Anal. Appl., 2024, vol. 33, no. 1, pp. 358–371. https://eudoxuspress.com/index.php/pub/article/view/29.
- Matoog R. T., Ramadan M. A., Arafa H. M. A hybrid numerical technique for solving fractional Fredholm–Volterra integro-differential equations using Ramadan group integral transform and Hermite polynomials, Alexandria Eng. J., 2024, vol. 108, pp. 889–896. DOI: https://doi.org/10.1016/j.aej.2024.09.025.
- Dhunde R. R. 3712–3718, Indian J. Sci. Technol., 2024, vol. 17, no. 36. DOI: https://doi.org/10.17485/IJST/v17i36.2005.
- Amin M. B. M., Ahmad S. S. Laplace transform for solving system of integro-fractional differential equations of Volterra type with variable coefficients and multi-time delay, Symmetry, 2022, vol. 14, no. 5, 984. DOI: https://doi.org/10.3390/sym14050984.
- Donolato D. Analytical and numerical inversion of the Laplace–Carson transform by a differential method, Comput. Phys. Commun., 2002, vol. 145, no. 2, pp. 298–309. DOI: https://doi.org/10.1016/S0010-4655(02)00281-3.
- Belgacem F. B. M., Karaballi A. A. Sumudu transform fundamental properties, investigations and applications, J. Appl. Math. Stochastic Anal., 2006, vol. 2006, 91083. DOI: https://doi.org/10.1155/JAMSA/2006/91083.
- Zafar Z. U. A. ZZ transform method, Int. J. Adv. Eng. Glob. Technol., 2016, vol. 4, no. 1, pp. 1605–1611.
- Alwan Z. M. (ZMA)-transform method, J. Interdiscip. Math., 2021, vol. 24, no. 7, pp. 1841–1849. DOI: https://doi.org/10.1080/09720502.2021.1963520.
- Elzaki T. M. The new integral transform “Elzaki Transform”, Glob. J. Pure Appl. Math., 2011, vol. 7, no. 1, pp. 57–64.
- Aboodh K. S. The new integral transform “Aboodh Transform”, Glob. J. Pure Appl. Math., 2013, vol. 9, no. 1, pp. 35–43.
- Belgacem F. B. M., Silambarasan R. Theory of natural transform, Math. Eng. Sci. Aerosp., 2012, vol. 3, no. 1, pp. 99–124.
- Maitama S., Zhao W. New integral transform: Shehu transform a generalization of Sumudu and Laplace transform for solving differential equations, Int. J. Anal. Appl., 2019, vol. 17, no. 2, pp. 167–190, arXiv: 1904.11370 [math.GM]. DOI: https://doi.org/10.28924/2291-8639-17-2019-167.
- Kilbas A. A., Srivastava H. M., Trujillo J. J. Theory and Applications of Fractional Differential Equations, North-Holland Mathematics Studies, vol. 204. Amsterdam, Elsevier, 2006, xv+523 pp. EDN: YZECAT. DOI: https://doi.org/10.1016/s0304-0208(06)x8001-5.
- Khalouta A. A new exponential type kernel integral transform: Khalouta transform and its applications, Math. Montisnigri, 2023, vol. 57, pp. 5–23. DOI: https://doi.org/10.20948/mathmontis-2023-57-1.
- Khalouta A. Khalouta transform via different fractional derivative operators, Vestn. Samar. Gos. Tekhn. Univ., Ser. Fiz.-Mat. Nauki [J. Samara State Tech. Univ., Ser. Phys. Math. Sci.], 2024, vol. 28, no. 3, pp. 407–425. EDN: QNZQSC. DOI: https://doi.org/10.14498/vsgtu2082.
- Kumar P., Qureshi S. Laplace-Carson integral transform for exact solutions of non-integer order initial value problems with Caputo operator, J. Appl. Math. Comput. Mech., 2020, vol. 19, no. 1, pp. 57–66. DOI: https://doi.org/10.17512/jamcm.2020.1.05.
- Aibinu M. O., Mahomed F. M., Jorgensen P. E. Solutions of fractional differential models by using Sumudu transform method and its hybrid, Part. Differ. Equ. Appl. Math., 2024, vol. 11, 100872. DOI: https://doi.org/10.1016/j.padiff.2024.100872.
- Zafar Z. U. A. Application of ZZ transform method on some fractional differential equations, Int. J. Adv. Eng. Glob. Technol., 2016, vol. 4, no. 1, pp. 1355–1363.
- Wazwaz A. M. Linear and Nonlinear Integral Equations. Methods and Applications. Berlin, Springer, 2011, xviii+639 pp. DOI: https://doi.org/10.1007/978-3-642-21449-3.
Дополнительные файлы








