Study of transmission parameters and mutual influence of signal-blocking cables with current-conductive cores with increased flexibility
- Authors: Popov V.B.1
-
Affiliations:
- Povolzhskiy State University of telecommunications and Informatics
- Issue: Vol 21, No 2 (2023)
- Pages: 19-24
- Section: Communication lines and fiber-optics telecommunications technologies
- URL: https://journals.eco-vector.com/2073-3909/article/view/628942
- DOI: https://doi.org/10.18469/ikt.2023.21.2.03
- ID: 628942
Cite item
Full Text
Abstract
In recent years, the intensive development of passenger high-speed and freight heavy traffic сreated increased demands on the organization and provision of transportation, the development and implementation of new, primarily infocommunication technical means and technologies of the track complex. Russian Railways is implementing a number of significant infrastructure projects, several of which have obtained federal status. One of the main directions of of the railway network development is its widespread electrification, development and implementation of innovative infocommunication technical means and technologies for the railway infrastructure of the track complex. During the operation of electrified railways, generted high-power electromagnetic fields posing a serious problem related to electromagnetic compatibility of equipment. Therefore, requirements are placed on the quality of cables of signaling, centralization and blocking systems of railways are rather high. The article observes the transmission parameters and mutual influence of signal-blocking cables and current-carrying cores with high-flexibility.
Full Text
Общие положения
ОАО «РЖД» реализует целый ряд значимых инфраструктурных проектов. Несколько из них получили статус федеральных. Одним из основных направлений развития сети железных дорог является их широкая электрификация, разработка и внедрение инновационных инфокоммуникационных технических средств и технологий железнодорожной инфраструктуры путевого комплекса.
На электрифицированных железных дорогах серьезной проблемой являются электромагнитные поля высокой мощности, возникающие в процессе их функционирования. С целью снижения степени внешнего электромагнитного воздействия на кабели в их конструкции предусмотрены алюминиевые оболочки и стальные броневые покровы.
По цепям сигнально-блокировочных кабелей передаются сигналы систем сигнализации, централизации и блокировки (СЦБ) [1]. Так, как российские железные дороги являются важным стратегическим объектом государства – к железнодорожным кабелям предъявляются жесткие требования, особенно к стабильности их эксплуатационных параметров в условиях воздействия негативных факторов.
Чаще всего кабели систем СЦБ имеют полиэтиленовую изоляцию и алюминиевую оболочку. На АО «Самарская кабельная компания» (АО «СКК») изготавливаются конструкции кабелей систем СЦБ со сплошной алюминиевой оболочкой и стальной броней из спирально наложенных лент [2–5], обеспечивающие защиту от воздействия внешних электромагнитных полей, а также механических и климатических условий.
В регламентирующем документе [6] установлены нормативные значения коэффициента затухания α и переходного затухания на ближнем конце А0. Сигнально-блокировочные кабели выпускаются как с однопроволочными, так и с многопроволочными токопроводящими жилами повышенной гибкости. Кабели с многопроволочными жилами применяются в тех местах, где в соответствии с монтажными и эксплуатационными условиями к токопроводящим жилам предъявляются требования повышенной гибкости. В источниках информации практически отсутствуют сведения об указанных параметрах кабелей систем СЦБ, особенно применительно к кабелям с многопроволочными токопроводящими жилами.
Технология производства сигнально-блокировочных кабелей в АО «Самарская кабельная компания»
На предприятии АО «СКК», которое в этом году отметило свое 71-летие, внедрена и успешно действует система менеджмента качества (СМК).
Предприятие АО «СКК» является одним из лидеров российской кабельной промышленности и специализируется на разработке и серийном выпуске телекоммуникационных, сигнально-блокировочных и контрольных кабелей, волоконно-оптических кабелей, автомобильных проводов, силовых кабелей и проводов для электроэнергетики. Осваивается выпуск новых видов кабельно-проводниковой продукции, номенклатура выпускаемой предприятием продукции постоянно расширяется. На предприятии реализуются новые бизнес-планы, внедряются новейшие технологии. Предприятие успешно вышло на мировой рынок кабельно-проводниковой продукции. Теперь перед компанией стоит задача прочно закрепиться на нем.
Благодаря функционированию СМК на предприятии АО «СКК» организовано производство высококачественной кабельно-проводниковой продукции, отвечающей запросам потребителей и соответствующей нормам и требованиям законодательных документов. На предприятии регулярно проводятся аттестации СМК. По результатам аттестаций выдаются сертификаты соответствия стандартам ISO 9001, ISO 14001 и ГОСТ РВ 0015-002.
Процесс производства сигнально-блокировочных кабелей имеет ряд очень важных технологических особенностей. Для изготовления кабеля высокой однородности особенно важной технологической операцией является операция наложения изоляции на токопроводящую жилу. Изоляция на токопроводящую жилу накладывается на поточной экструзионной линии с системой автоматического регулирования. В процессе наложения изоляции в режиме online выполняются измерения ряда параметров. Измеряются следующие параметры: погонная емкость, диаметр и эксцентриситет жилы, а также электрическая прочность изоляции. По результатам измерения указанных параметров системой автоматического регулирования поддерживаются нормативные значения величин емкости, диаметра, толщины и концентричности изоляции токопроводящей жилы [7, 8]. Толщина изоляции имеет допуск ±1 % (0,003 мм), номинальная емкость – менее 2 пФ, концентричность изоляции – более 0,95. Скрутка кабельных пар выполняется на крутильных машинах с подобранными разными значениями шагов скрутки (не превышающими 100 мм). Весь этот комплекс технологических мероприятий направлен на обеспечение высоких и стабильных параметров передачи и взаимного влияния сигнально-блокировочных кабелей.
Результаты измерений параметров передачи и взаимного влияния
Исследуемый сигнально-блокировочный кабель марки СБМВБАБпШп 19х2х1,0 имеет конструкцию с алюминиевой оболочкой и многопроволочными токопроводящими жилами сечением 1,0 мм2. Многопроволочные токопроводящие жилы этого кабеля представляют собой стренгу. Стренга токопроводящих жил скручивается из 7 однородных по структуре и геометрии медных проволок диаметром 0,427 мм. Электрические параметры исследуемого кабеля определялись в заводских условиях на строительных длинах 112 м и 300 м с использованием измерительного комплекса «ПИКА ИКС» и измерительного прибора PSM-39.
Низкочастотные параметры кабеля. К низкочастотным параметром передачи относятся: сопротивление жил постоянному току (R), норма не более 17,8 – 19,9 Ом/км; омическая асимметрия жил (ΔR) – не более 0,8 Ом; рабочая емкость (С) – не более 70 нФ/км.
Низкочастотные параметры кабеля очень сильно зависят от геометрической и структурной однородности медных токопроводящих жил и изоляции.
При статистической обработке результатов измерений низкочастотных параметров кабеля делалось предположение что они имеют нормальный закон распределения, а также характеризуются статистическими средними значениями (Rср, ∆R, С) и среднеквадратическими отклонениями от средних значений (σ) [9]. Результаты статистической обработки низкочастотных параметров приведены в таблице 1.
Таблица 1. Низкочастотные параметры сигнально-блокировочного кабеля марки СБМВБАБпШп 19х2х1,0
R, Ом/км | ∆R, % | C, нФ/км | |||
Rср | σ | ∆Rср | σ | Сср | σ |
17,75 | 0,34 | 0,03 | 0,23 | 48,56 | 0,92 |
Анализ результатов измерения показывает, что электрическое сопротивление медных токопроводящих жил имеет минимальное отклонение от статистического среднего значения и очень стабильно; омическая асимметрия значительно меньше допустимых 0,8 Ом; рабочая емкость также меньше максимально допустимого значения 70 нФ/ км. Следует отметить, что в сигнально-блокировочных кабелях требования к омической асимметрии по сравнению с другими симметричными кабелями более высокие. При этом обеспечить низкое значение ΔR удается благодаря применению в многопроволочных проводниках для скрутки в стренгу высокооднородных медных проволок диаметром 0,427 мм. Все это в конечном итоге положительно сказывается на высокочастотных параметрах передачи и взаимного влияния кабеля и оказывает положительное влияние на эффективность применения кабелей, благодаря повышению их потребительских свойств.
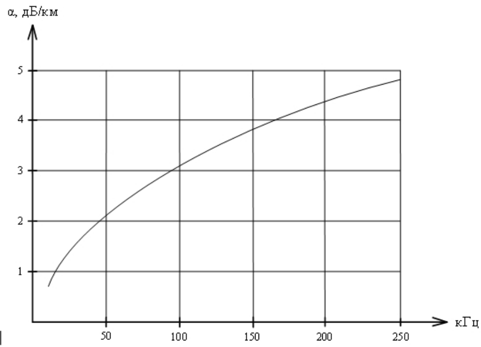
Высокочастотные параметры кабеля. К основным высокочастотным параметрам сигнально-блокировочных кабелей относятся: коэффициент затухания, α, дБ/км; переходное затухание на ближнем конце, А0, дБ и защищенность на дальнем конце, Аз, дБ. Указанные параметры требуется учитывать при организации технологической связи по сигнально-блокировочным кабелям. В ГОСТ 34679-2020 приведены нормы на коэффициент затухания в диапазоне частот до 39 кГц, а переходного затухания на ближнем конце до160 кГц. В этой статье указанные параметры исследуются в более широком диапазоне частот до 250 кГц. Также исследован такой важный параметр, как защищенность на дальнем конце. В таблице 2 и приведены усредненные значения коэффициента затухания кабеля марки СБМВБАБпШп 19х2х1,0. На рисунке 1 приведен график частотной характеристики коэффициента затухания α (усредненные значения параметра) исследуемого сигнально-блокировочного кабеля.
Измерения выполнялись измерительным прибором PSM-39.
Анализ результатов измерения коэффициента затухания α, приведенных в таблице 2 и на рисунке 1, показывает, что затухание в кабеле возрастает пропорционально квадратному корню из частоты. Это свидетельствует о том, что в кабеле определяющими характеристиками являются потери в металле. При этом нормы величины коэффициента затухания α цепей кабеля в соответствии с ГОСТ 34679-2020 выполняются.
Таблица 2. Усредненные значения коэффициента затухания сигнально-блокировочного кабеля марки СБМВБАБпШп 19х2х1,0
Частота, кГц | 0,8 | 10 | 15 | 20 | 40 | 60 | 100 | 160 | 250 |
α, дБ/км | 0,72 | 1,13 | 1,23 | 1,37 | 1,94 | 2,55 | 3,23 | 3,74 | 4,98 |
Рисунок 1. Частотная характеристика коэффициента затухания α (усредненные значения) сигнально-блокировочного кабеля марки СБМВБАБпШп 19х2х1,0
В таблице 3 приведены усредненные значения параметров взаимного влияния кабеля. На рисунке 2 приведены графики частотных характеристик этих параметров. Измерения выполнялись измерительным комплексом «ПИКА ИКС».
Таблица 3. Усредненные значения переходного затухания на ближнем конце и защищенности на дальнем конце сигнально-блокировочного кабеля СБМВБАБпШп 19х2х1,0
Частота, кГц | 0,8 | 10 | 15 | 20 | 40 | 60 | 100 | 160 | 250 |
А0, дБ | 106 | 104 | 101 | 99 | 94 | 90 | 86 | 82 | 76 |
Аз, дБ | 105 | 103 | 100 | 98 | 93 | 91 | 84 | 80 | 75 |
Рисунок 2. Частотные характеристики переходного затухания на ближнем конце А0 и защищенности на дальнем конце Аз (усредненные значения) кабеля СБМВБАБпШп 19х2х1,0
Анализируя результаты, можно сказать, что значения переходных затуханий соответствуют требованиям ГОСТ 34679-2020. Скорость снижения значений переходного затухания на ближнем конце А0 и защищенности на дальнем конце Аз при увеличении частоты не более 6 дБ на октаву. Таким образом, подтверждаются теоретические положения о том, что в данном случае наведенная помеха формируется в основном за счет непосредственного электромагнитного влияния, а именно его нерегулярной составляющей [10]. Это свидетельствует о высокой геометрической и структурной однородности сигнально-блокировочного кабеля марки СБМВБАБпШп 19х2х1,0.
Заключение
Подводя итоги проведенного исследования параметров передачи и взаимного влияния сигнально-блокировочного кабеля марки СБМВБАБпШп 19х2х1,0 в алюминиевой оболочке с многопроволочными токопроводящими жилами повышенной гибкости, можно сделать вывод, что по низкочастотным параметрам кабель соответствует нормам [6] в исследуемом диапазоне частот до 250 кГц. Достаточно высокие значения параметров передачи и взаимных влияний дают возможность рекомендовать сигнально-блокировочные кабели производства предприятия АО «СКК» для применения на сетях железных дорог при организации высокочастотной технологической связи в диапазоне частот до 250 кГц.
About the authors
Victor B. Popov
Povolzhskiy State University of telecommunications and Informatics
Author for correspondence.
Email: inkat@inbox.ru
Professor of Communication and Measurement in Communications Technology Department, PhD in Technical Science
Russian Federation, SamaraReferences
- Balashov A.I. et al. Cables and wires. Fundamentals of cable technology. Ed. by I.B. Peshkov. Moscow: Energoatomizdat, 2009, 467 p. (In Russ.)
- Andreev V.A., Popov B.V. Shielding characteristics of signal-blocking cables. Avtomatika, svyaz’, informatika, 2015, no. 4, pp. 14–16. (In Russ.)
- Andreev V.A. et al. Directing telecommunication systems: Textbook for Universities. Moscow: Hotline-Telecom, 2018, 396 p. (In Russ.)
- Alekhin N.I. et al. Study of the durability of signal-blocking cables. Automation, communications, computer science, 2018, no. 7, pp. 23–25. (In Russ.)
- Grodnev I.I., Sergeychuk K.Ya. Shielding of equipment and communication cables. Moscow: Svyazizdat, 1960, 316 p. (In Russ.)
- GOST 34679 -2020 Cables for signaling and blocking. General technical conditions. Moscow: Standartinform, 2020. 38 p. (In Russ.)
- Andreev V. et al. Quality of lan cables – the basis for reliable work of scs and broadband. Pervaya milya, 2020, no.1, pp. 24–27. (In Russ.)
- Babitsky O.Sh., Lekhtman D.Ya. Technology twisting cables. Moscow: Energiya, 1978, 133 p. (In Russ.)
- Shvartsman V.O. Mutual influences in communication cables. Moscow: Svyaz’, 1996, 416 p. (In Russ.)
- Andreev V.A. The theory of electromagnetic influences between communication circuits. Moscow: Radio i svyaz’, 1999, 320 p. (In Russ.)
Supplementary files





