Reorientation of the Earth remote sensing spacecraft using rotors
- Authors: Alekseev A.V.1, Golushkova A.O.1
-
Affiliations:
- Samara National Research University
- Issue: Vol 21, No 2 (2023)
- Pages: 24-29
- Section: Radio transmitting and receivering devices, television
- URL: https://journals.eco-vector.com/2073-3909/article/view/628944
- DOI: https://doi.org/10.18469/ikt.2023.21.2.04
- ID: 628944
Cite item
Full Text
Abstract
The article describes a method of reorienting of the Earth remote sensing gyrostat satellite using a flywheel engine, while located in the same vertical plane with the observation object. In the course of the study, a geometric dependence of the nutation angle on time was derived, differential equations of the motion of the spacecraft relative to the center of mass were generated and solutions were obtained. These obtained equations allows to determine motion parameters (coordinates and speeds) depending on the inertial mass characteristics of the system, initial conditions and time, as well as control the effect of these parameters on the system. The article presents the results of conducted studies that show the performance of the developed mathematical model. Thanks to the developed model, it is possible to determine the necessary control actions to target the gyrostat satellite to the observation object with high accuracy.
Full Text
Введение
С каждым днем появляется все больше потребностей в дистанционном зондировании Земли (ДЗЗ). Дистанционное зондирование – это процесс наблюдения и изучения нашей планеты, при котором используются специальные инструменты и технологии, используемые на спутниках или самолетах. Существуют и другие задачи, в которых требуется нацеливание космического аппарата (КА) на определенный объект.
Чаще всего при переориентации КА для нацеливания антенны или камеры используются двигатели малой тяги, которые подразделяются на несколько категорий: на сжатом газе, на монотопливе, на двухкомпонентном топливе; специальные установки и двигатели на закиси азота, аммиаке, газообразном водороде и кислороде; электроракетные системы на базе импульсных плазменных, ионных или стационарных плазменных двигателей [1].
Все вышеперечисленные инструменты для переориентации КА подразумевают расход рабочего тела, запас которого на борту КА ограничен. Предлагается использовать двигатели-маховики на основе управляемого моментного бесконтактного двигателя постоянного тока [2]. Данный способ является более эффективным из-за отсутствия необходимости в расходуемом рабочем теле, и, как следствие, уменьшения рабочей массы КА. Подобные КА называют спутниками-гиростатами.
Исследованию движения гиростатов посвящено достаточно много работ отечественных и зарубежных ученых, например, Румянцева В.В. [3; 4], Кошлякова В.Н. [5], Нейштадта А.И. и Пивоварова М.Л. [6], Виттенбурга Й. [7], Асланова В.С. и Дорошина А.В. [8; 9] и многих других. В отмеченных работах, в основном, исследуется динамика и устойчивость движения гиростатов, но мало внимания уделяется определению законов движения и управляющих воздействий, обеспечивающих данные движения.
В настоящей работе предпринимается попытка решения конкретной прикладной задачи: определения закона ориентации КА ДЗЗ с частичной закруткой для наблюдения за объектом, а также управляющего внутреннего момента, обеспечивающего полученный закон.
Математическая модель
Предположим, что спутник-гиростат представляет собой динамически несимметричное несущее тело (тело 4) с тремя одинаковыми динамически симметричными роторами (тела 1, 2, 3), оси вращения которых совпадают с главными осями инерции всей системы (рисунок 1). На рисунке 1 роторы изображены схематично (вне несущего тела) для наглядности и удобства обозначения координатных осей и других параметров: на самом деле роторы находятся внутри КА.
Рисунок 1. Схема спутника-гиростата и используемые системы координат
Динамические уравнения движения спутника-гиростата строятся на основании теоремы об изменении кинетического момента механической системы [3]:
(1)
где , , ; Ai, Bi, Ci – главные моменты инерции роторов, вычисленные в своих связанных системах координат , а моменты инерции тела-носителя в системе координат ; – проекции угловой скорости несущего тела на оси системы координат Oxyz; – осевые моменты инерции роторов. Правые части уравнений (1) представляют собой проекции момента внешних сил.
Кинематические уравнения для углов Эйлера и углов относительного закручивания:
(2)
где – эйлеровы углы, которые характеризуют положение несущего тела относительно кениговой системы OXYZ; – углы относительного закручивания роторов; – относительные угловые скорости роторов.
Уравнения относительного движения роторов:
(3)
где – моменты внутреннего взаимодействия тел вдоль оси вращения; – моменты внешних сил, воздействующие на роторы.
Компоненты векторов угловых скоростей роторов , , , выраженные через компоненты угловой скорости несущего тела, имеют вид:
(4)
(5)
(6)
Таким образом, уравнения (1) – представляют собой замкнутую математическую модель движения спутника-гиростата относительно центра масс. Приведенные уравнения при добавлении начальных условий позволяют определить все параметры движения системы в зависимости от времени.
Постановка задачи и преобразование математической модели
На данном этапе рассматривается так называемая плоская задача, для которой принимается ряд основных допущений:
- Спутник движется прямолинейно с постоянной скоростью центра масс ν, находясь в одной вертикальной плоскости с наблюдаемым объектом, на высоте H, в начальный момент на расстоянии L (рисунок 2).
- Для нацеливания спутника-гиростата используется только один маховик, ось вращения которого совпадает с осью Ox.
- Значение угла в начальным момент принято равным 30°, что соответствует нацеливанию на объект наблюдения (остальные геометрические размеры соответствуют данному начальному углу).
- Так как расстояние, на котором происходит съемка объекта, значительно меньше длины окружности земли ( длины экватора), то сферичностью земной поверхности пренебрегаем.
- Внешние силы и моменты на систему не действуют.
Рисунок 2. Схема движения спутника-гиростата
С учетом перечисленных допущений, движение спутника-гиростата описывается следующими уравнениями, полученными из системы (1)–(6):
(7)
Таким образом, ставится задача определения внутреннего управляющего момента , который обеспечивает нацеливание КА ДЗЗ на объект наблюдения в течение некоторого интервала времени.
Определение управляющего момента
В течении всего времени t активного участка полета (съемки) угол нутации может быть определен по формуле (рисунок 2):
. (8)
Определим необходимую угловую скорость КА согласно второму уравнению системы (7):
. (9)
Найдем производную угловой скорости (9):
. (10)
Подставляя производную (10) в первое уравнение системы (7), выразим относительное угловое ускорение ротора:
. (11)
Зная угловые ускорения (10) и (11), найдем из третьего уравнения системы (7) зависимость управляющего момента от времени:
. (12)
Рисунок 3. График зависимости управляющего момента от времени
На рисунке 3 показана зависимость управляющего момента Mα от времени.
Рисунок 4. График зависимости проекции угловой скорости p от времени
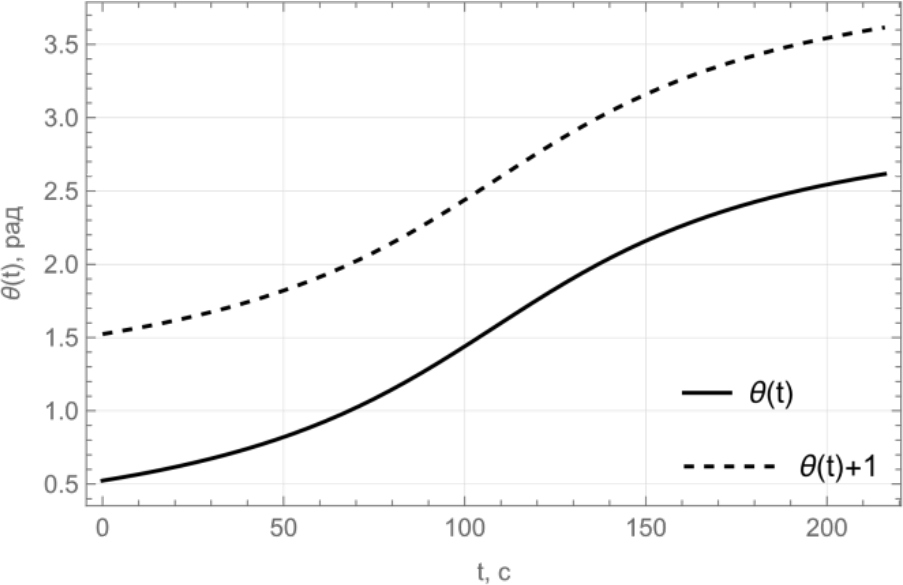
Рисунок 5. График зависимости угла нутации от времени
Для проверки результатов, полученных выше, проведено численное интегрирование системы дифференциальных уравнений (7) при соответствующих исходных условиях и внутреннем моменте (12). На рисунках 4 и 5 представлены зависимости угловой скорости несущего тела p и угла нутации Θ от времени. При этом на рисунках представлены результаты аналитического расчета по формулам (8) и (9) и численного интегрирования системы (7). Так как результаты полностью совпали, для наглядности численное решение несколько смещено вверх.
Выбор двигателя-маховика
Для обеспечения закона (12) изменения внутреннего управляющего момента, действующего на ротор, необходимо на КА установить двигатель с соответствующими параметрами. Основным параметром решаемой задачи является величина управляющего момента. Для выбранных параметров системы значение максимального управляющего момента лежит в диапазоне 0,15- 0,20 Нм.
В таблице 1 представлены основные характеристики применяемых в настоящее время двигателей-маховиков для управления ориентацией КА, масса которых составляет менее 500 кг [10]. Двигатель-маховик представляет собой электрический двигатель, на валу которого установлен массивный маховик.
Таблица 1. Основные технические характеристики двигателей-маховиков для систем ориентации космических аппаратов
Параметры | ДМ1-20 | ДМ5-20 | ДМ-10-25 | ДМ20-250 | ДМБ |
Диапазон изменения кинетического момента, Н | 1,0 | 5,0 | 10,0 | 20,0 | 29,4 |
Управляющий момент Mx, | 0,02 | 0,05 | 0,025 | 0,25 | 0,35 |
Диапазон изменения частоты вращения n, об/мин. | 65000 | 63500 | 66000 | 61470 | 61200 |
Число импульсов на оборот, N | 36 | 36 | 36 | 56 | 960 |
Масса, кг | 1,4 | 3,8 | 4 | 11,5 | 17,5 |
Максимальная потребляемая мощность, не более, Вт | 15 | 31 | 31 | 70 | 100 |
Потребляемая мощность в установившемся режиме, не более, Вт | 3 | 4 | 5 | 6 | 7 |
Таким образом, из представленных моделей двигателей для решения поставленной задачи подходит, например, модель ДМ20-250, так как его значения управляющего момента соизмеримы с теми, которые были получены в ходе вычисления.
Заключение
В качестве основных результатов работы следует отметить преобразование имеющейся математической модели под плоскую задачу, определение закона изменения угла нутации, обеспечивающего нацеленность КА на объект наблюдения, получение зависимости внутреннего управляющего момента от времени, оценку величины управляющего момента, которая позволила выбрать требуемый двигатель-маховик. Кроме того, проведено численное моделирование движения для проверки адекватности аналитических зависимостей.
Результаты работы могут быть использованы при проектировании КА ДЗЗ, с частичной закруткой для переориентации (маховики), а также для расчетов и моделирования движения существующих спутников-гиростатов.
Работа выполнена при финансовой поддержке Российского научного фонда (Проект № 19-19-00085).
About the authors
Aleksey V. Alekseev
Samara National Research University
Author for correspondence.
Email: alekseev.av@ssau.ru
Associate Professor of Theoretical Mechanics Department, PhD in Technical Science
Russian Federation, SamaraAlena O. Golushkova
Samara National Research University
Email: alenagol15935745@gmail.com
Student of Theoretical Mechanics Department
Russian Federation, SamaraReferences
- Ryzhkov V.V., Sulinov A.V. Propulsion systems and low-thrust rocket engines based on various physical principles for control systems of small and micro-spacecraft. Vestnik Samarskogo universiteta. Aerokosmicheskaya tekhnika, tekhnologii i mashinostroenie, 2018, vol. 17, no. 4, pp. 115–128. (In Russ.)
- Characteristics of flywheel engines. URL: https://www.vniiem.ru/ru/index.php?view=article&id=288:2010-02-17-21-42-21 (accessed: 02.11.2023). (In Russ.)
- Rumyantsev V.V. On orientation control and stabilization of the satellite by rotors. Vestnik Moskovskogo universiteta. Seriya 1: Matematika, mekhanika, 1970, no. 2, pp. 83–96. (In Russ.)
- Rumyantsev V.V. On the stability of the rotation of heavy gyrostat on the horizontal plane. Izvestiya akademii nauk. Mekhanika tverdogo tela, 1980, no. 4, pp. 11–21. (In Russ.)
- Koshlyakov V.N. Problems of solid state dynamics and applied gyroscope theory. Moscow: Nauka, 1985, 286 p. (In Russ.)
- Neustadt A.I., Pivovarov M.L. Transition through separatrice in dual-spin satellite dynamics. Prikladnaya matematika i mekhanika, 2000, vol. 64, no. 5, pp. 741–746. (In Russ.)
- Wittenburg J. Dynamics of solid body systems. Moscow: Mir, 1980, 292 p. (In Russ.)
- Aslanov V.S., Doroshin A.V. On two cases of movement of an unbalanced gyrostat. Izvestiya Akademii nauk. Mekhanika tverdogo tela, 2006, no. 4, pp. 42–55. (In Russ.)
- Aslanov V.S., Doroshin A.V. Stabilization of a reentry vehicle by a partial spin-up during uncontrolled descent. Kosmicheskie issledovaniya, 2002, vol. 40, no. 2, pp. 193–200. (In Russ.)
- Polyakov M.V., Polyakova A.V. Flywheel engine based on the mechanical system «Electric gearbox-flywheel» for controlling the orientation of a small spacecraft. Studencheskij nauchnyj forum: materialy VI mezhdunarodnoj studencheskoj nauchnoj konferencii. URL: https://scienceforum.ru/2014/article/2014001910 (accessed: 04.11.2023).
Supplementary files







