The method of virtual bench tests conducting to analyze the vehicle technical characteristics compatibility to detect and prevent the risk of resonant phenomena in the sprung cab
- Authors: Maximov R.O.1,2
-
Affiliations:
- Moscow Polytechnic University
- KAMAZ Innovation Center
- Issue: Vol 17, No 4 (2023)
- Pages: 387-400
- Section: Transport and transport-technological facilities
- URL: https://journals.eco-vector.com/2074-0530/article/view/456459
- DOI: https://doi.org/10.17816/2074-0530-456459
- ID: 456459
Cite item
Abstract
BACKGROUND: A relevant issue when designing vehicles with multiple levels of suspension systems is collaborative operation of these systems, which ensures the required vehicle dynamics and smoothness parameters, as well as the absence of risk for the occurrence of resonance phenomena. The vehicle cab is a dynamic system with 6 degrees of freedom, so its oscillatory motions have a complex spatial character with the oscillation energies overflow from one direction to another. The solving of problems of the sprung cab dynamics should be conducted in a spatial nonlinear formulation, which makes it possible to take into account the phenomena of redistribution of oscillation energy between the directions of space. This approach can be put into operation with simulation modeling methods through creating a spatial virtual rig of the cab with a suspension system and modeling its dynamics with the application of appropriate external inputs.
AIM: Development of the method of using virtual tests to analyze the compatibility of technical characteristics of the cab suspension system, the frame system and the primary vehicle suspension systems to detect and prevent the risk of resonant phenomena in the cab.
METHODS: Building a virtual test rig of a vehicle cab as a multibody dynamics system of connected bodies in space, mounted at the movable vehicle frame with spring-dampers. Virtual tests are conducted by simulation modeling methods according to the method for analyzing nonlinear phenomena when spatial resonances occur in the secondary suspension system of a vehicle cab.
RESULTS: The method of vehicle cab virtual tests conducting for analyzing oscillatory processes occurring in the cab, including resonances, using a virtual test rig in a multibody dyamics software package.
CONCLUSION: The developed method ensures an ability to take measures to detect and prevent the risk of spatial resonance phenomena in the vehicle cab at all stages of the components design and the cab suspension systems study.
Keywords
Full Text
ВВЕДЕНИЕ
Актуальной проблемой при создании транспортных средств с несколькими уровнями систем подрессоривания является организация совместной работы систем подрессоривания, обеспечивающих требуемые показатели динамики и плавности хода автомобиля, а также отсутствие явлений резонансов.
Кабина транспортного средства является динамической системой с 6-ю степенями свободы и перемещающейся при движении автомобиля во всех направлениях пространства. Поэтому колебательные движения кабины имеют сложный пространственный характер с перетеканием энергий колебаний одного направления в другие.
Объективные результаты исследований колебательных процессов, протекающих в подрессоренной кабине, можно получить при решении задач динамики кабины с подвеской в пространственной нелинейной постановке, которая позволяет учитывать явления перераспределения энергии колебаний между направлениями пространства.
Поэтому проведение исследований колебательных процессов в подрессоренной кабине необходимо проводить методами имитационного моделирования динамики с помощью построения виртуальных пространственных стендов кабины на подвеске и моделирования их динамики при приложении соответствующих внешних возмущающих воздействий.
Целью работы является создание методики проведения виртуальных испытаний для организации возможностей анализа совместимости технических характеристик системы подрессоривания кабины, несущей системы и систем первичного подрессоривания транспортного средства для выявления и предотвращения резонансных явлений в кабине при их возникновении.
Для проведения анализа совместимости характеристик системы вторичного подрессоривания кабины транспортного средства и других его систем на предмет возникновения резонансных явлений необходимо разработать виртуальный имитационный стенд в среде по расчёту динамики связных тел, способный отражать пространственные колебания кабины на подвеске, математическая модель которого представлена в работе [1] и представляет собой модель тела кабины, закреплённого в 4-х точках на модели подвижного основания рамы транспортного средства с помощью упругих и демпфирующих связей. С помощью разработанного стенда необходимо последовательно проводить исследования колебаний кабины в соответствие с методикой, изложенной в [1], путем проведения виртуальных испытаний.
ТРЕБОВАНИЯ К ПОСТРОЕНИЮ ВИРТУАЛЬНОГО СТЕНДА
В программном комплексе по расчёту динамики связных тел необходимо выполнить ряд действий.
- Задать неподвижную систему координат (НСК) модели (рис. 1), которая в ряде случаев может быть автоматически сформирована программным комплексом. Задать направление и величину ускорения свободного падения g, что так же может быть автоматически создано программным комплексом. Как привило, за направление g принимается направление, противоположное вертикальной оси Z2 НСК.
- Сформировать модель абсолютно жёсткого тела кабины, центр масс (ЦМ) которого совпадает с подвижной системой координат (ПСК), при этом модель должна обладать массово-инерционными свойствами. В положении статического равновесия модели кабины ПСК и НСК должны совпадать (рис. 1).
- Организовать возможность геометрического задания координат точек крепления модели кабины к модели подвижного основания, имитирующего раму транспортного средства (ТС), в ПСК в трёхмерном пространстве (X — продольное направление; Y — поперечное направление; Z — вертикальное направление).
- Организовать возможность геометрического задания координат точек модели подвижного основания, имитирующих точки крепления на раме ТС, в начальном положении в НСК, а также дополнить возможностью кинематического формирования с помощью данных точек гармонического внешнего возмущающего воздействия (ВВВ) в необходимых для исследования направлениях пространства относительно начального геометрического положения точек модели подвижного основания в НСК. В системе (1) представлен принцип формирования сигналов синусоидального ВВВ (т.е. перемещения, скорости и ускорения) [2].
(1)
где s — координата перемещения точки в заданном направлении пространства, м; s0 — начальное положение координаты точки в заданном направлении пространства, м; A — амплитуда задаваемого ВВВ, м; ω — частота задаваемого ВВВ, рад/с; t — время моделирования, с; φ — фаза задаваемого ВВВ, необходимая для организации возможности задания колебаний различных точек крепления в противофазе, а, следовательно, задания угловых колебаний модели кабины в пространстве, рад; ϑ — скорость перемещения точки в заданном направлении пространства, м/с; a — ускорение перемещения точки в заданном направлении пространства, м/с2.
Рис. 1. Расчетная схема для определения параметров модели подрессоренной кабины: O2X2Y2Z2 — неподвижная система координат; OXYZ — подвижная система координат; M — масса кабины; Fstat_front и Fstat_rear — статические силы, создаваемые передним и задним упругими элементами соответственно и являющиеся составляющими суммарной силы Fstat, которая уравновешивает силу тяжести тела кабины M∙g; αfront и αrear — углы наклона осей передних и задних упругих элементов соответственно к вертикальной оси Z; xfront и xrear — расстояния между центром масс кабины (начало подвижной системы координат) и передними и задними точками крепления кабины соответственно в продольном направлении X; L — расстояние между передними и задними точками крепления кабины в продольном направлении X; yfront и yrear — расстояния между центром масс кабины и передними и задними точками крепления кабины соответственно в поперечном направлении Y; zfront и zrear — расстояния между центром масс кабины и передними и задними точками крепления кабины соответственно в вертикальном направлении Z.
Fig. 1. The analytical scheme for determining the parameters of a sprung cab model: O2X2Y2Z2 — a fixed coordinate system; OXYZ — a movable coordinate system; M — mass of a cab; Fstat_front and Fstat_rear — static forces generated by the front and rear springs respectively and which are the components of the total force Fstat, which balances the gravity of the cab body M∙g; αfront and αrear — the inclination angles of axes of the front and rear springs respectively to the vertical axis Z; xfront and xrear — distances between the cab’s center of mass (the origin of the movable coordinate system) and front and rear attachment points of the cab respectively in the longitudinal direction X; L — the distance between front and rear attachment points of the cab in the longitudinal direction X; yfront and yrear — the distances between the cab’s center of mass and front and rear attachment points of the cab respectively in the lateral direction Y; zfront and zrear — the distances between the cab’s center of mass and the cab front and rear attachment points of the cab respectively in the vertical direction Z.
В положении статического равновесия модели кабины точки крепления кабины в ПСК и точки, имитирующие точки крепления на раме ТС в НСК, должны совпадать в пространстве.
- Организовать модель формирования упругих и демпфирующих сил связи [2] между точками крепления модели кабины в ПСК и точками, имитирующими крепление к раме ТС, в НСК по всем трем линейным направлениям пространства. Как представлено в формулах (2), упругая сила связи пропорциональна расстоянию между точками, а демпфирующая сила — скорости изменения расстояния между точками, организуя таким образом математическую модель вязкого трения, которое и наблюдается в натурных образцах упругодемпфирующих элементов (УДЭ) и резинометаллических шарниров (РМШ) подвесок ТС.
(2)
где Fupr — упругая сила связи в заданном направлении пространства, Н; c — жёсткость соединения в заданном направлении пространства, Н/м; Δ — проекция расстояния между точками в заданном направлении пространства, м; Fdemp — демпфирующая сила связи в заданном направлении пространства, Н; k — коэффициент демпфирования в заданном направлении пространства, Н∙с/м.
Необходимо учитывать, что для обеспечения положения статического равновесия модели кабины в пространстве, в вертикальном направлении должна быть сформирована сила Fstat, уравновешивающая силу тяжести тела кабины, и распределена между всеми заданными 4-мя точками крепления кабины в пространстве.
- Организовать возможность временного включения и отключения процессов формирования виртуальным стендом демпфирующих сил, чтобы осуществить возможность проведения испытаний в 2 этапа: 1 этап — моделирование динамики виртуального стенда кабины с учетом работы только упругих сил, для определения частот, склонностей и типов резонансных режимов, в которых может работать подрессоренная кабина; 2 этап — моделирование динамики кабины с учетом и упругих и демпфирующих сил для оценки режимов колебаний модели кабины, соответствующих действительности.
- Организовать возможности считывания со стенда и демонстрации графиков изменения положения ЦМ и углов поворотов тела кабины в НСК для наглядного определения режима колебаний модели кабины (резонансный или нерезонансный).
МАССОВО-ИНЕРЦИОННЫЕ ПАРАМЕТРЫ КАБИНЫ И ГЕОМЕТРИЧЕСКИЕ ПАРАМЕТРЫ РАСПОЛОЖЕНИЯ ТОЧЕК КРЕПЛЕНИЯ К ОСНОВАНИЮ СТЕНДА
Для задания массово-инерционных параметров кабины в имитационный виртуальный испытательный стенд необходимо определить массу M кабины, расположение ЦМ кабины, моменты инерции кабины Jx, Jy, Jz относительно главных осей инерции X, Y и Z (см. рис. 1). Нахождение указанных параметров тесно связано с определением геометрических параметров расположения точек крепления кабины.
Практически всегда синтез процессов проектирования кабины ТС и её системы подрессоривания с подбором характеристик УДЭ производят так, чтобы в положении статического равновесия установленная на ТС подрессоренная кабина удерживалась статическими упругими силами, создаваемыми всеми четырьмя УДЭ подвески, и не имела кренов. Для обеспечения этих условий принимают в качестве допущений:
- ЦМ кабины расположен в продольной плоскости XOZ кабины;
- кабина и её точки крепления симметричны относительно продольной плоскости симметрии XOZ кабины;
- продольное расположение ЦМ кабины и соответствующие продольные координаты точек крепления кабины определяются так, чтобы в статическом положении кабины прогибы УДЭ соответствовали заявленным по характеристикам статическим прогибам УДЭ;
- оси УДЭ подвески кабины ориентированы в пространстве так, чтобы обеспечить симметрию их расположения относительно продольной плоскости XOZ;
- положение ЦМ кабины в вертикальном направлении определяется конфигурацией конкретного ТС с установленной на нем кабиной, но, как правило, ЦМ кабины находится приблизительно на уровне немного выше пола кабины.
Самым надежным способом определения искомых параметров является их определение по 3D-модели полноценной сборки кабины в программном комплексе для трехмерного проектирования с помощью встроенных процедур расчета массово-инерционных параметров 3D-тел при условии точного задания плотностей материалов, из которых изготавливаются детали кабины в 3D-модели сборки, и их взаимного расположения.
В соответствие с расчетной схемой (см. рис. 1) для определения параметров модели подрессоренной кабины [2] необходимо использовать следующую систему уравнений:
(3)
Значения величин моментов инерции кабины Jx, Jy, Jz объективно можно рассчитать только по геометрической 3D-модели сборочной единицы кабины. Если таковой модели не имеется, то в некотором первичном приближении можно рассчитать значения данных параметров по общеизвестным формулам моментов инерции параллелепипеда [2], которые справедливы в том случае, если предполагаемый ЦМ кабины расположен на соответственно равных расстояниях от взаимно параллельных граней параллелепипеда, принимающегося в качестве упрощенной геометрической модели кабины. Если ЦМ смещен в любую сторону к каким-либо граням, то необходимо производить пересчет значений по теореме Гюйгенса-Штейнера [2].
Наиболее простым и быстрым способом определения значений параметров моментов инерции геометрической модели кабины в виде параллелепипеда является подход по построению 3D-модели данного тела в среде для геометрического проектирования (NX, Solid Works и т.п.) с заданием его расположения относительно ПСК, принимаемой за положение ЦМ тела, и плотности материала таким образом, чтобы обеспечить совпадение параметра массы 3D-модели и массы кабины M. Далее с помощью встроенной процедуры определения массово-инерционных свойств 3D-модели определить значения моментов инерции кабины Jx, Jy, Jz.
ПАРАМЕТРЫ ЖЕСТКОСТИ И ДЕМПФИРОВАНИЯ, ПРИВЕДЕННЫЕ К ТОЧКАМ КРЕПЛЕНИЯ ПО НАПРАВЛЕНИЯМ В ПРОСТРАНСТВЕ
Подвески кабин ТС могут представлять собой как тривиальные конструкции, где сразу известны приведенные параметры жесткости и демпфирования по всем трем направлениям в пространстве, исходя из характеристик УДЭ крепления, так и сложные системы, включающие в себя собственный направляющий аппарат, комплексные системы УДЭ и, как следствие, большое количество РМШ и упругих втулок.
В каждом конкретном случае система подрессоривания кабины должна анализироваться индивидуально. Для нахождения значений параметров жесткости и демпфирования по направлениям пространства, приведенных к точкам крепления кабины, (рис. 2) необходимо определить, какое количество УДЭ и РМШ определяет поведение системы кабины в конкретной точке крепления. Необходимо проанализировать, работают ли данные узлы и шарниры параллельно для данной точки крепления или последовательно. Необходимо установить, в каких направлениях пространства оказывают влияние конкретные УДЭ.
Рис. 2. Схема влияния параметров жёсткости и демпфирования, приведённых к точкам крепления кабины, упругодемпфирующих элементов подвески по направлениям в пространстве: cx_front, kx_front и cx_rear, kx_rear — соответственно жёсткости и коэффициенты демпфирования упругодемпфирующих элементов крепления в продольном направлении X, приведённые к одной соответственно передней и задней точке крепления кабины; cy_front, ky_front и cy_rear, ky_rear — соответственно жёсткости и коэффициенты демпфирования упругодемпфирующих элементов крепления в поперечном направлении Y, приведённые к одной соответственно передней и задней точке крепления кабины; cz_front, kz_front и cz_rear, kz_rear — соответственно жёсткости и коэффициенты демпфирования упругодемпфирующих элементов крепления в вертикальном направлении Z, приведённые к одной соответственно передней и задней точке крепления кабины.
Fig. 2. The scheme of the influence of stiffness and damping parameters of spring-dampers in space directions, recalculated to the cab attachment points: cx_front, kx_front and cx_rear, kx_rear — the stiffness and damping coefficients of the spring-damping mounts in the longitudinal direction X, recalculated to front and rear cab mounting points; cy_front, ky_front and cy_rear, ky_rear —the stiffness and damping coefficients of the spring-damping mounts in the lateral direction Y, recalculated to front and rear cab mounting points; cz_front, kz_front and cz_rear, kz_rear — the stiffness and damping coefficients of the spring-damping mounts in the vertical direction Z, recalculated to front and rear cab mounting points.
В случае с РМШ известно, что их жесткость и демпфирование оказывают влияние в радиальном и осевом направлениях РМШ в зависимости от их ориентации в ПСК кабины. Основные УДЭ (пружины, амортизаторы и т.п.) подвески кабины оказывают влияние только вдоль собственной оси, но могут быть ориентированы в ПСК кабины произвольным образом, т.е. образовывать углы между собственными осями и осями ПСК. В таком случае необходимо проанализировать их расположение в ПСК кабины и учитывать их параметры жесткости и демпфирования в тех направлениях, в которых они действительно оказывают влияние.
При действии влияния нескольких (n) УДЭ в каком-либо направлении ПСК в точке крепления кабины необходимо приводить параметры всех УДЭ к одному эквивалентному, действующему в точке крепления, по формулам (4)–(7).
При параллельном действии n УДЭ приведённую жёсткость ce необходимо рассчитывать в соответствие со следующей формулой:
(4)
а приведённый коэффициент демпфирования ke — согласно формуле:
(5)
При последовательном функционировании n УДЭ приведенную жесткость ce необходимо рассчитывать в соответствие с формулой (6), а приведенный коэффициент демпфирования ke — в соответствие с формулой (7):
(6)
(7)
ВЫЧИСЛЕНИЕ СОБСТВЕННЫХ ЧАСТОТ КОЛЕБАНИЙ КАБИНЫ
Общепринятый подход [2] к вычислению собственной частоты колебаний динамической системы недостаточен для данной методики, так как модель кабины на подвеске имитирует динамику подрессоренной системы в пространстве, а, следовательно, вычислению должны подлежать 6 значений собственных частот колебаний кабины, соответствующих трем линейным направлениям пространства и трем угловым. В соответствие с теорией пространственных колебаний твердых тел [3–8], собственные частоты колебаний кабины вычисляются по приведенным ниже формулам (8)–(13).
Собственная частота колебаний кабины λ1 в продольном направлении X:
(8)
Собственная частота колебаний кабины λ2 в поперечном направлении Y:
(9)
Собственная частота колебаний кабины λ3 в вертикальном направлении Z:
(10)
Собственная частота колебаний λ4 в поперечно-угловом направлении (вокруг оси X):
(11)
Собственная частота колебаний λ5 в продольно-угловом направлении (вокруг оси Y):
(12)
Собственная частота колебаний λ6 в вертикально-угловом направлении (вокруг оси Z):
(13)
При создании виртуального стенда подрессоренной кабины в программном комплексе необходимо закладывать вычисление собственных частот колебаний, чтобы обеспечивать удобный автоматический перерасчет значений данных величин в случаях изменений массово-инерционных, геометрических и/или жесткостных параметров модели кабины с подвеской.
НЕБЛАГОПРИЯТНЫЕ СООТНОШЕНИЯ СОБСТВЕННЫХ ЧАСТОТ КОЛЕБАНИЙ КАБИНЫ И ЧАСТОТ ВНЕШНИХ ВОЗМУЩЕНИЙ
В первом приближении для оценки совместимости технических характеристик подрессоренной кабины необходимо проводить анализ неблагоприятных соотношений собственных частот на предмет наличия склонности к внутреннему резонансу. В соответствие с особенностями [3, 4] динамики подрессоренных кабин ТС, внутренний резонанс может возникать при соотношениях собственных частот колебаний, представленных в таблице 1.
Таблица 1. Неблагоприятные соотношения собственных частот для возникновения внутренних резонансов в динамической системе кабины на подвеске
Table 1. Unfavorable natural frequency ratios for the internal resonances occurrence in the dynamic system of a cab with suspension
Неблагоприятные соотношения | Описание совпадающих частот |
Кратное совпадение продольной и продольно-угловой собственных частот колебаний подрессоренной кабины | |
Кратное совпадение поперечной и поперечно-угловой собственных частот колебаний подрессоренной кабины |
При наличии в динамической системе кабины указанных в таблице 1 совпадений собственных частот можно сделать вывод, что в ней может проявляться склонность к возникновению внутренних резонансов. Наблюдать и прогнозировать явление внутреннего резонанса на практике достаточно трудно. Он может возникнуть при резком случайном воздействии на кабину (возможно — ударном), что зачастую может случаться при движении ТС по неровностям случайного профиля дорожного основания. Поэтому наличие данных соотношений является нежелательным в динамической системе подрессоренной кабины [3, 4].
Дальнейший анализ позволяет определить частоты и направления ВВВ, при действии которых могут возникать резонансные явления в кабине ТС. Для полной комплексной оценки совместимости технических характеристик подрессоренной кабины с другими системами ТС необходимо проводить анализ неблагоприятных соотношений собственных частот колебаний кабины и ВВВ на предмет возникновения в динамической системе кабины внешних резонансов путем проведения виртуальных испытаний на имитационном стенде кабины.
Неблагоприятные соотношения собственных частот кабины и частот ωs ВВВ представлены в таблице 2. Кроме указанных в таблице 2 вычисленных в соответствие с [3, 4] соотношений частот, предъявляемых к проверке методами имитационного моделирования, в качестве частот ВВВ ωs должны приниматься известные значения собственных частот упругих колебаний рамы ТС, колебаний подрессоренной массы ТС на первичной СП, колебаний ТС на шинах и т.д. Чем более обширен список известных данных о собственных частотах колебаний систем ТС, тем более полноценным и комплексным окажется анализ совместимости технических характеристик систем ТС, а именно несущей системы, систем первичного и вторичного подрессоривания и т.д.
Таблица 2. Неблагоприятные соотношения частот для возникновения внешних резонансов в динамической системе подрессоренной кабины
Table 2. Unfavorable frequency ratios for the external resonances occurrence in the dynamic system of a cab with suspension
№ | Неблагоприятные соотношения | В качестве ωs могут выступать: |
1 | Собственные частоты вертикальных колебаний подрессоренной массы ТС на первичной СП и/или на шинах ТС | |
2 | Собственная частота продольно-угловых колебаний подрессоренной массы ТС на первичной подвеске собственная частота поперечно-угловых колебаний подрессоренной массы ТС на первичной подвеске собственные частоты колебаний несущей системы ТС — рамы ТС | |
3 | ||
4 | ||
5 | ||
6 | ||
7 | ||
8 | ||
9 | ||
10 | ||
11 | ||
12 | ||
13 |
ПРОВЕДЕНИЕ ИМИТАЦИОННОГО МОДЕЛИРОВАНИЯ И АНАЛИЗ ВОЗНИКНОВЕНИЯ РЕЗОНАНСНЫХ ЯВЛЕНИЙ В КАБИНЕ
После построения в программном комплексе виртуального испытательного стенда кабины на подвеске, отвечающего всем предъявленным требованиям, определения параметров данного стенда, вычисления собственных частот и частот ВВВ, и формирования первичных выводов о склонностях к резонансным явлениям исследуемой системы подрессоренной кабины, необходимо последовательно проводить моделирование динамики кабины с помощью виртуального испытательного стенда в программном комплексе в 2 этапа.
На первом этапе необходимо моделировать динамику модели кабины с учетом только упругих сил связи, т.е. воспользоваться возможностью отключения формирования демпфирующих сил в системе подрессоривания. Для каждого моделируемого режима в соответствие с представленной методикой необходимо задавать для виртуального стенда ВВВ с минимальной амплитудой A и частотами, представленными в таблице 2, последовательно в различных направлениях пространства. Для кабины ТС объективно возможными являются ВВВ в вертикальном, продольно-угловом и поперечно-угловом направлениях НСК, исходя их логических соображений о действующих на подрессоренную кабину ВВВ.
После каждого режима моделирования необходимо анализировать графики изменения положения ЦМ и углов поворотов тела кабины в НСК, чтобы определить режим колебаний кабины (резонансный или нерезонансный). Таким образом, можно последовательно зафиксировать все режимы, в которых кабина склонна к функционированию в условиях резонанса, с указанием частоты и направлений конкретного резонансного режима колебаний.
На втором этапе виртуального моделирования необходимо включить формирование стендом демпфирующих сил для полноценного имитирования работы подвески кабины. Для каждого моделируемого режима на втором этапе необходимо задавать для виртуального стенда ВВВ с минимальной амплитудой A и частотами, зафиксированными на первом этапе моделирования, в соответствующих направлениях пространства.
По факту наличия или отсутствия зафиксированных на втором этапе резонансных режимов функционирования кабины необходимо сделать вывод о целесообразности применения характеристик компонентов системы подрессоривания, установленных в подвеске кабины. При обнаружении возникновения резонансных режимов колебаний кабины необходимо подобрать иные характеристики каких-либо из УДЭ и/или РМШ подвески кабины, либо изменить массово-инерционные характеристики кабины.
Последовательным изменением характеристик компонентов подвески кабины в несколько итераций с помощью проведения виртуальных испытаний на созданном имитационном стенде удается добиться минимизации количества возможностей возникновения резонансных режимов колебаний кабины, в том числе связанных с совместным функционированием системы подрессоривания кабины и первичной системы подрессоривания ТС, а также несущей системы автомобиля, входящих в состав ТС.
Невозможно полностью избежать резонансных явлений в кабине ТС, так как в процессе движения ТС возможны возникновения различных абсолютно случайных ВВВ, но с помощью данного метода получается снизить вероятность их проявления в процессе движения ТС за счет корректного подбора характеристик компонентов системы подрессоривания кабины с учетом их совместимости с характеристиками других систем узлов и агрегатов ТС.
ВИРТУАЛЬНЫЙ ИСПЫТАТЕЛЬНЫЙ СТЕНД
Пример (рис. 3) виртуального испытательного стенда для моделирования динамики кабины на подвеске, приведенной к 4-м точкам крепления, в соответствие с методикой, создан в программном комплексе для расчета динамики связных тел Simcenter Amesim [9].
Рис. 3. Структурная схема виртуального испытательного стенда кабины с системой подрессоривания в Simcenter Amesim.
Fig. 3. The block diagram of a virtual test bench of a cab with suspension in the Simcenter Amesim.
В начальный момент времени моделирования t расположения точек крепления на теле кабины и основания стенда совпадают в пространстве НСК. Кроме того, в подсистемах организуется независимое друг от друга формирование в НСК кинематики точек, имитирующих крепления к раме ТС, в соответствие с (1). Представленное формирование кинематических ВВВ для каждой из 4-х точек осуществляется в вертикальном направлении оси Z в НСК, организуя таким образом ВВВ на подрессоренную кабину в вертикальном направлении. Формирование продольно-угловых и поперечно-угловых кинематических ВВВ осуществляется соответствующим включением сдвига фазы φ на величину π.
Система блоков, формирующих упругие и демпфирующие силы связей приведенной к 4-м точкам подвески кабины, для каждой пары точек осуществляет работу во всех трех линейных направлениях пространства НСК независимо при задании в них параметров жесткости c и демпфирования k в соответствующих направлениях пространства, приведенные по формулам (4)–(7) в зависимости от конструкции и типов комплектующих конкретной подвески кабины.
Особенностью параметров жесткости c является постоянство их значений в процессах моделирования. В независимости от действительных упругих нагрузочных характеристик УДЭ или РМШ, которые в общем случае могут быть нелинейными, параметры жесткости c по данной методике принимаются константами, отражающими жесткость УДЭ или РМШ в положении, около положения статического равновесия данного конкретного элемента. Данный прием осуществляется именно для проверки условий склонностей системы к возникновению резонансных явлений, а подобного рода явления, как правило, возникают от положения статического равновесия. Любые нелинейности характеристик УДЭ или РМШ в зависимости от их прогибов направлены на избежание склонностей к резонансам в данных устройствах. С помощью данной методики исследуются именно склонности к тем или иным резонансам. Кроме того, только количественные параметры жесткости c (в виде конкретных значений) используются для вычисления собственных частот колебаний системы кабины.
Иная ситуация обстоит с параметром коэффициент демпфирования k. Дело в том, что коэффициент демпфирования РМШ или какого-либо схожего УДЭ, созданного из резин или эластомеров, можно принять в виде константы, но невозможно принять константой коэффициент демпфирования устройства типа амортизатор, который, как правило, является основным устройством диссипации в подвеске. Характеристики амортизаторов практически всегда нелинейны и задавать их в виде константы нецелесообразно в силу потери точности результатов моделирования. Коэффициент демпфирования амортизатора изменяется в зависимости от скорости перемещения. Таким образом, при приведении параметров демпфирования по формулам (5) и (7) коэффициенты демпфирования амортизаторов должны приниматься переменными величинами в соответствие с их нелинейными характеристиками.
Возможность считывания данных об изменениях положения ЦМ и углов поворотов тела кабины относительно НСК осуществляется с помощью установленных в стенде датчиков.
Отдельной подсистемой в модели виртуального стенда является определение в автоматическом режиме склонности к возникновению внутренних резонансов в подрессоренной кабине. В блоки подсистемы подаются значения вычисленных собственных частот λi, где i = 1, 2 … 6, и вычисляются разницы кратных (до 5-й степени кратности) соотношений собственных частот по формулам (14), в соответствие с таблицей 1.
(14)
где p = 1, 2, …, 5 – степень кратности.
Если результаты вычислений (14) всех соотношений больше 5 (т.е. неблагоприятные соотношения из таблицы 1 не выполняются в диапазоне ± 5%), то на выходном блоке наблюдается сигнал отсутствия склонностей к внутренним резонансам. Если хотя бы один из результатов вычислений (14) меньше 5 (т.е. какое-либо из неблагоприятных соотношений из таблицы 1 выполняется в диапазоне ± 5%), то на соответствующем выходном блоке наблюдается сигнал наличия в системе склонностей к внутреннему резонансу.
Внутри программного комплекса Simcenter Amesim встроена процедура автоматического определения собственных частот модели, собранной в рабочем поле Amesim. После любого запуска процесса моделирования значения собственных частот динамической системы можно наблюдать в разделе «Eigenvalues». Их также необходимо учитывать при проведении виртуальных испытаний и задавать в качестве частот ВВВ ωs имитационного стенда кабины.
Обязательным шагом перед проведением моделирования в 2 этапа в соответствие с методикой является проверка обеспечения положения статического равновесия кабины. Для этого необходимо задать параметры, обеспечивающие отсутствие ВВВ виртуального стенда, заданная частота ВВВ ω в данном случае не имеет значения. Обеспечение положения статического равновесия виртуального стенда нужно контролировать по графикам с датчиков, демонстрирующим изменение положения ЦМ кабины. Если нулевые значения параметров положения на каждом из графиков не обеспечиваются, то не обеспечивается положение статического равновесия модели подрессоренной кабины, что означает неуравновешенность стенда, необходимость уточнения заданных параметров и устранения некорректности.
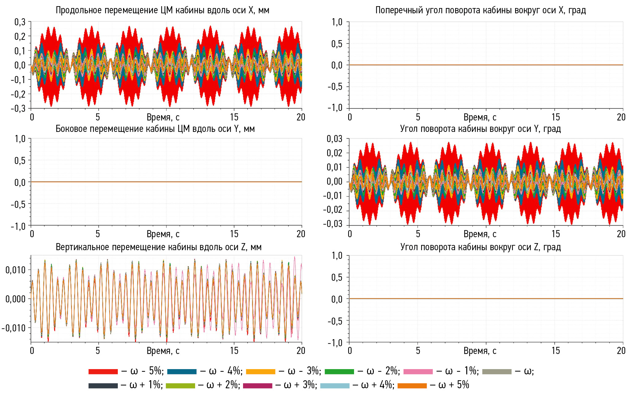
В данном стенде в Simcenter Amesim при каждом запуске процесса моделирования осуществляются 11 параллельно идущих расчетов. Дело в том, что в таблице 2 указаны соотношения со знаком «≈» (приблизительно равно). Чтобы обеспечивать выполнение данного условия программный комплекс автоматически формирует 11 значений частот ВВВ в диапазоне ω ± 5% от заданной ω в конкретном процессе моделирования с равным шагом в обе стороны от ω. Таким образом, при задании любого значения глобального параметра ω в результате моделирования получаются 11 решений, демонстрирующих поведение виртуального стенда при задании ВВВ с частотой ω ± 5%. В результате на графиках, демонстрирующих изменение во времени моделирования положения ЦМ кабины, пользователь видит по 11 временных реализаций, наложенных друг на друга. По данным наложенным друг на друга графикам исследователь может сделать вывод о наличии либо отсутствии резонансных явлений в подрессоренной кабины при частоте ВВВ, приблизительно равной заданной по данной методике в диапазоне приближения ω ± 5%.
В результате использования в рамках представленной методики разработанного виртуального стенда возможно обнаруживать различные типы и формы колебательных явлений, возникающих в подрессоренной кабине ТС. В том числе было выявлено 3 основных типа склонностей к возникновению внешних пространственных резонансных явлений в кабине:
- классический резонанс (рис. 4), проявляющийся в виде низкочастотных раскачиваний кабины с большими постоянно увеличивающимися значениями амплитуд;
- дребезг (рис. 5), проявляющийся в виде высокочастотных колебаний кабины с медленно нарастающими и медленно спадающими значениями амплитуд;
- биения (рис. 6), проявляющиеся в виде высокочастотных колебаний кабины с быстро нарастающими и быстро спадающими значениями амплитуд.
Рис. 4. Возникновение классического пространственного резонанса в виртуальном стенде кабины ТС на подвеске.
Fig. 4. The emergence of classical spatial resonance in the virtual test bench of the sprung vehicle cab.
Рис. 5. Возникновение пространственного дребезга в виртуальном стенде подрессоренной кабины ТС.
Fig. 5. The emergence of spatial rattling in the virtual test bench of the sprung vehicle cab.
Рис. 6. Возникновение биений в виртуальном стенде кабины ТС с подвеской.
Fig. 6. The emergence of wobbling in the virtual test bench of the sprung vehicle cab.
ВЫВОДЫ
В результате работы создана и подробно описана методика для проведения виртуальных испытаний кабины транспортного средства с целью проведения анализа колебательных процессов, возникающих в кабине, в том числе резонансных, с помощью имитационного стенда в программном комплексе для расчета динамики связных тел.
Особенностью созданной методики является её нелинейная постановка. С помощью описанного метода становится возможным анализ нелинейных пространственных колебательных явлений в кабине с учетом перетекания энергии колебаний из одного направления в пространстве в другие. При этом определение частот возмущений, приводящих к возникновениям пространственных резонансных явлений осуществляется не по всему возможному диапазону частот, а по конкретным определенным узким диапазонам частот, соответствующим приближенным к найденным значениям неблагоприятных частот и соотношений частот, вычисленных аналитически, программным путем и методами моделирования.
Методика позволяет получать и анализировать колебательные процессы в кабине по всем направлениям пространства с учетом установления типов возникающих резонансных режимов колебаний, а, следовательно, позволяет определять подходы и методы их предотвращения или, как минимум, снижения степени негативного влияния.
Созданная методика обеспечивает возможность на всех стадиях проектирования компонентов и исследования систем подрессоривания кабин проводить мероприятия по обнаружению и предотвращению возможностей возникновения пространственных резонансных явлений в кабине транспортного средства.
ДОПОЛНИТЕЛЬНО
Конфликт интересов. Автор декларирует отсутствие явных и потенциальных конфликтов интересов, связанных с проведенным исследованием и публикацией настоящей статьи.
Источник финансирования. Автор заявляет об отсутствии внешнего финансирования при проведении исследования и подготовке публикации.
ADDITIONAL INFORMATION
Competing interests. The author declares no any explicit and potential conflict of interests in relation to this article publication.
Funding source. This study was not supported by any external sources of funding.
About the authors
Roman O. Maximov
Moscow Polytechnic University; KAMAZ Innovation Center
Author for correspondence.
Email: romychmaximov@gmail.com
ORCID iD: 0009-0003-4947-790X
SPIN-code: 7384-6758
Postgraduate, Design Engineer of the Engineering Calculations and Modeling Department
Russian Federation, Moscow; MoscowReferences
- Maximov RO, Zhileykin MM. Study of nonlinear resonant phenomena in the secondary suspension system of the vehicle cab. Gruzovik. 2023; 2:6–13. (In Russ). doi: 10.36652/1684-1298-2023-2-6-13
- Drong VI, Dubinin VV, Ilyin MM et al. Course of theoretical mechanics: Textbook for higher education. 3th ed. Kolesnikov KS, editor. Moscow: BMSTU Publisher, 2005. (In Russ).
- Ganiev RF, Kononenko VO. Oscillations of solids. Moscow: Nauka; 1976. (In Russ).
- Chelomey VN, chief editor. Vibrations in machinery: Guide. In 6 vol. Blehman II, editor. Vol. 2. Oscillations of nonlinear mechanical systems. Moscow: Mashinostroenie; 1979. (In Russ).
- Nekorkin VI. Lectures on the basics of oscillation theory: study guide. Nizhniy Novgorod: Nizhegorodskiy universitet; 2011. (In Russ).
- Babakov IM. Oscillation theory: study guide. Moscow: Drofa; 2004. (In Russ).
- Strelkov SP. Introduction to the oscillations theory: textbook. Saint-Petersburg: Lan; 2005. (In Russ).
- Yablonskiy AA, Noreyko SS. Course of oscillation theory: study guide. Saint-Petersburg: Lan; 2003. (In Russ).
- Simcenter System Simulation. Simcenter Amesim software [Internet] Accessed: 15.03.2022. Available from: https://plm.sw.siemens.com/en-US/simcenter/systems-simulation/amesim/.
Supplementary files









