The electromechanical device for energy accumulation
- Authors: Pavlov V.D.1
-
Affiliations:
- Vladimir State University named after A.G. and N.G. Stoletovs
- Issue: Vol 18, No 1 (2024)
- Pages: 13-18
- Section: Combined power plants
- URL: https://journals.eco-vector.com/2074-0530/article/view/623775
- DOI: https://doi.org/10.17816/2074-0530-623775
- ID: 623775
Cite item
Abstract
BACKGROUND: Short-term peak loads of machines and mechanisms arise necessity in mechanical energy accumulation for its consequential impulse use. For instance, it is quite relevant for trucks at the initial stage of dragging heavy trailers. Use of mechanical energy accumulator will help to decrease truck engine power and to enlarge its functional capabilities.
AIM: Development of the mathematical model of the mechanical energy accumulator.
METHODS: The mechanical energy accumulator can be made either as a permanent magnet synchronous machine or as a converter-fed electric motor with the super flywheel mounted at the motor shaft. When the machine is connected to the supply source, the non-stationary process described with two differential equations, mechanical and electric, occurs. Solutions of the differential equations replicate ratios for charging and discharging of an electric capacitor.
RESULTS: According to the obtained formulae, the mechanical energy accumulator seems identical to an electric capacitor for an electric circuit. Therefore, artificial electric capacity can be discussed. Moreover, artificial electric resistance not related to conductor’s specific resistance, length and cross-area, occurs. In view of the aforesaid, the mechanical energy accumulator can be considered as an artificial electric capacitor accumulating not electric field energy but kinematic energy of super-flywheel’s rotation.
CONCLUSIONS: There are designs of super-flywheels capable of accumulating sufficient amount of kinetic energy. The ability of implementing them into passenger vehicles was studied as well. In this context, massive trucks have an undeniable advantage because weight increase is not only non-problematic but preferable in some cases.
Keywords
Full Text
ВВЕДЕНИЕ
Кратковременные пиковые нагрузки машин и механизмов порождают необходимость в аккумулировании механической энергии для её последующего импульсного использования. Это вполне актуально, например, для тягачей на стартовом этапе буксировки тяжёлых прицепов [1–3]. Применение аккумулятора механической энергии позволит уменьшить мощность двигателя тягача.
МАТЕРИАЛЫ, МОДЕЛИ, ЭКСПЕРИМЕНТЫ И МЕТОДЫ
Аккумулятор механической энергии может быть выполнен в виде электрической машины постоянного тока или вентильной, на валу которой закреплён супермаховик.
При подключении машины к источнику питания возникает нестационарный процесс, описываемый следующими выражениями [4–7].
,
где J — момент инерции супермаховика в совокупности с собственным моментом инерции электрической машины, φ — угловое положение ротора [8, 9], k — коэффициент вязкого трения, B — значение магнитной индукции [10], 2l — рабочая длина витка якорной обмотки, w — число витков якорной обмотки, D — диаметр якоря, R — активное сопротивление электрической цепи, U — напряжение источника питания.
РЕЗУЛЬТАТЫ
Для компактности вводится обозначение:
. (1)
Очевидные начальные условия:
, . (2)
Из второго выражения системы уравнений вытекает
, (3)
.
При подстановке в первое выражение системы уравнений получается:
,
.
Для компактности вводятся обозначения:
, .
В соответствии с этим:
. (4)
Общее решение этого уравнения имеет вид:
.
Частное решение —i2= C2.
Из этого в сочетании с (4) следует: , .
Ток в цепи имеет вид:
. (5)
Имея в виду (2) и (3),
.
Из этого в сочетании с (5) следует:
,
. (6)
Здесь . Тогда:
. (7)
Если k =0, то
, (8)
. (9)
Выражения (8), (9) повторяют соотношения для зарядки электрического конденсатора.
Если соединить между собой концы якорной обмотки, то
.
Это выражение повторяет соотношение для разрядки электрического конденсатора.
Из формул (6) — (9) следует, что для электрической цепи рассматриваемый аккумулятор механической энергии неотличим от электрического конденсатора.
Из этого следует, что в данном случае можно вести речь об искусственной электрическая ёмкости, которая равна:
.
Кроме того, возникает искусственное электрическое сопротивление (которое не связано с удельным сопротивлением, длиной и площадью сечения проводников):
.
Аккумулятор механической энергии накапливает энергию
.
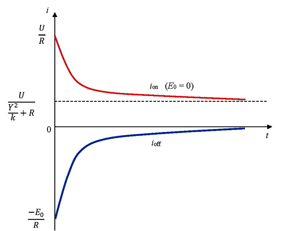
Эквивалентная электрическая схема аккумулятора механической энергии представлена на рис. 1.
На рис. 2 показан график тока зарядки/разрядки искусственной электрическая ёмкости.
Рис. 1. Электрическая схема аккумулятора механической энергии.
Fig. 1. An electric diagram of the mechanical energy accumulator.
Рис. 2. Характер тока при зарядке и разрядке искусственной электрической ёмкости.
Fig. 2. Current behavior at charging and discharging of an artificial electric capacitor.
В связи с изложенным аккумулятор механической энергии можно трактовать как искусственный электрический конденсатор, который запасает не энергию электрического поля, а кинетическую энергию вращения супермаховика.
ЗАКЛЮЧЕНИЕ
Существуют конструкции супермаховиков, способные запасать существенную кинетическую энергию. Изучалась даже возможность установки их на легковом транспорте. В этом смысле массивные тягачи имеют бесспорное преимущество, поскольку увеличение веса для них не только не проблематично, но в некоторых случаях желательно.
ДОПОЛНИТЕЛЬНАЯ ИНФОРМАЦИЯ
Вклад автора. Автор подтверждает соответствие своего авторства международным критериям ICMJE (автор внёс существенный вклад в разработку концепции, проведение исследования и подготовку статьи, прочёл и одобрил финальную версию перед публикацией).
Конфликт интересов. Автор декларирует отсутствие явных и потенциальных конфликтов интересов, связанных с публикацией настоящей статьи.
Источник финансирования. Автор заявляет об отсутствии внешнего финансирования при проведении исследования.
ADDITIONAL INFORMATION
Author`s contribution. The author confirms that his authorship complies with the international ICMJE criteria (the author made a significant contribution to the development of the concept, research and preparation of the article, read and approved the final version before publication).
Competing interests. The author declares that they have no competing interests.
Funding source. This study was not supported by any external sources of funding.
About the authors
Valentin D. Pavlov
Vladimir State University named after A.G. and N.G. Stoletovs
Author for correspondence.
Email: pavlov.val.75@mail.ru
ORCID iD: 0000-0003-2125-4897
SPIN-code: 1046-4505
Cand. Sci. (Engineering), Associate Professor of the Automation, Mechatronics and Robotics Department
Russian Federation, 87 Gorky street, 600000 VladimirReferences
- Pavlov VD. Initial dynamics of a tractor with massive towed objects. Spravochnik. Inzhenernyy zhurnal s prilozheniem. 2023;4:31–37. (In Russ). doi: 10.14489/hb.2023.04.pp.031-037
- Pavlov VD. Solving the problem of starting a multi-link vehicle using theoretical mechanics methods. Vestnik NF BGTU: MekhMat. 2022;2(04(08)):4–14. doi: 10.51639/2713-0657_2022_2_4_4
- Pavlov VD. Towing device to overcome static friction force. Sborka v mashinostroenii, priborostroenii. 2023;2:51–57. (In Russ). doi: 10.36652/0202-3350-2023-24-2-51-57
- Pavlov VD. Non-mechanical moment of inertia in the spacecraft orientation system. Prikladnaya fizika i matematika. 2022;3:3–5. (In Russ). doi: 10.25791/pfim.03.2022.1227
- Pavlov VD. Flywheel with electromagnetic moment of inertia. Spravochnik. Inzhenernyy zhurnal s prilozheniem. 2022;9(306):53–55. (In Russ). doi: 10.14489/hb.2022.09.pp.053-055
- Pavlov VD. Controlled artificial elasticity in mechatronic systems. Avtomatizirovannye tekhnologii i proizvodstva. 2022;1(25):20–22. (In Russ). EDN: AZCJHH
- Pavlov VD. Transient process in a piezoelectric transducer with an elastic load as part of a mechatronic complex. Avtomatizirovannye tekhnologii i proizvodstva. 2022;2(26):11–12. (In Russ). EDN: GZJTXK
- Pavlov VD. Trajectories of combined circular motions in mechanical systems. Spravochnik. Inzhenernyy zhurnal s prilozheniem. 2022;3(300):23–28. (In Russ). doi: 10.14489/hb.2022.03
- Pavlov VD. Generalization of the principle of combination of movements to circular movements. Fundamentalnye i prikladnye problemy tekhniki i tekhnologii. 2021;6(350):4–9. (In Russ). doi: 10.33979/2073-7408-2021-350-6-4-9
- Pavlov VD. Magnetic flux and its quantization. Izvestiya Ufimskogo nauchnogo tsentra RAN. 2020;4:25–28. (In Russ). doi: 10.31040/2222-8349-2020-0-4-25-28




