Validation of the mathematical model of the front drive axle suspension according to frequency response
- Authors: Kulagin V.A.1,2, Rakhmatov R.I.1,2, Likeev A.P.1
-
Affiliations:
- Central Research Automobile and Automotive Engines Institute “NAMI”
- Moscow Polytechnic University
- Issue: Vol 18, No 4 (2024)
- Pages: 324-337
- Section: Transport and transport-technological facilities
- URL: https://journals.eco-vector.com/2074-0530/article/view/634676
- DOI: https://doi.org/10.17816/2074-0530-634676
- ID: 634676
Cite item
Abstract
Background: Power units and drivetrain units including front axle drive are highly vibration active having a sufficient influence on passengers’ comfort during the vehicle motion. Necessary noise and vibration isolation are ensured with proper dynamic behavior of bushings and local dynamic stiffness of a supporting structure where the unit is mounted. Development of target stiffness properties of bushings and supporting structures as well as analysis of the NVH issues are conducted using multibody simulation. Ensuring the adequacy of the mathematical models for solving the given tasks is necessary.
Objective: Development and validation of the multibody mathematical models of the front axle drive (FAD) suspension with different content according to criteria of correlation of frequency response at the front axle drive bushings. Formulation of requirements to the multibody mathematical model for solving the NVH tasks for units with a single stage suspension as part of a vehicle.
Methods: Mathematical modeling of the front axle drive suspension is made in the MSC Adams multibody simulation software. Different approaches of modeling of dynamic properties of rubber-metal bushings and the local dynamic stiffness of a supporting structure are considered. In simulation, frequency response is determined as a result of a swept sine unit force. Measurements of frequency response at the mounts after the hammer impact at the axle drive body in chosen directions are used as a validation basis.
Results: The best correlation of the simulation results and the validation basis was achieved using description of rubber-metal bushings based on the Pfeffer model with scaling of properties as well as considering the front subframe flexibility using the reduced finite element model. Using of more sophisticated models of rubber-metal bushings does not contribute to better model adequacy. Considering the supporting structure flexibility as values of local dynamic stiffness has both positive and negative effects.
Conclusions: In order to solve the NVH tasks of units with a single stage suspension as part of a vehicle, like a front axle drive, it is necessary to use proper inertia data, description of dynamic behavior of bushing based in the Pfeffer model and considering supporting structure flexibility in the unit mount points.
Full Text
Введение
Виброактивность силовых установок, коробок передач, главных передач и других агрегатов трансмиссии и привода автомобиля является негативным побочным эффектом, возникающим в ходе их работы. Она вызвана неравномерностью работы агрегатов, работой зубчатых зацеплений, а также внешними факторами, такими как воздействие от неровностей опорной поверхности. Виброактивность агрегатов, характеристики их подрессоривания и жёсткость несущей системы в местах установки агрегатов определяют виброактивность несущей системы, которая может восприниматься пассажирами и оказывать существенное негативное влияние на комфорт. Поэтому необходимо минимизировать передачу вибронагрузок от агрегатов на несущую систему, что является частью мер по обеспечению требуемого шумо- и виброкомфорта, который является одной из целей при проектировании автомобилей.
Характер передачи вибронагрузок от агрегатов на кузов определяется характеристиками динамической жёсткости опор агрегатов и несущей системы в местах установки опор. При этом жёсткость опор наряду с инерционными характеристиками агрегатов также определяет формы твёрдотельных колебаний агрегата, которые не должны совпадать ни с формами колебаний других узлов и агрегатов, ни с частотой и направлением колебаний, вызванных неравномерной работой компонентов самого агрегата. Это необходимое условие позволяет избежать возбуждения колебаний других узлов и агрегатов и усиления общей виброактивности.
Для решения задач по шумо- и виброизоляции агрегатов как на этапе проектирования, так и на этапе валидации (испытаний) автомобиля активно используются средства математического моделирования, а именно многозвенного (MBS, Multibody Simulation) и конечноэлементного (FEM, Finite Element Method) моделирования. MBS-моделирование используется преимущественно для работы с твёрдотельными формами колебаний агрегатов и с динамическими характеристиками опор агрегатов, FEM-моделирование — для исследования форм колебаний несущей системы, определения локальной динамической жёсткости несущей системы, анализа функций передачи вибраций и шума от мест крепления агрегата на несущей системе и собственных форм колебаний исследуемого агрегата. Использование данных средств моделирования часто является взаимосвязанным: агрегаты могут быть включены в состав FEM-модели в виде абсолютно жёстких звеньев, а учёт податливости звеньев MBS-модели может быть выполнен с помощью инструментов FEM-моделирования.
Как правило, определение частот и форм твёрдотельных колебаний в среде многозвенного моделирования не является сложной задачей, однако знание только о твёрдотельных формах колебаний не даёт полного понимания о характере вибропередачи. Поэтому необходимо определить частотный отклик агрегата и несущей системы в местах установки опор. Частотный отклик в виде амплитудно-частотных характеристик зависит от динамической жёсткости опор и локальной динамической жёсткости несущей системы. Существует множество способов описания данных характеристик в MBS-модели, поэтому необходимо определить, какой способ математического описания подвеса агрегатов обеспечивает наилучшую адекватность модели. Для оценки адекватности модели проводятся валидационные испытания.
Особенностью решения задачи является выбор схемы подрессоривания агрегатов, а именно количество и размещение опор в зависимости от инерционных характеристик агрегата, а также количество контуров подрессоривания: агрегат может быть связан с несущей системой только через податливые опоры (одиночный контур), либо через два ряда опор, установленных на промежуточном элементе, например, подрамнике (двойной контур). С этой точки зрения, легковой полноприводный автомобиль классической компоновки с подвесом передней главной передачи (ПГП) на трёх опорах является подходящим объектом для исследования способов математического описания подрессоривания агрегата, так как этот агрегат имеет один контур подрессоривания из трёх опор, расположенных в соответствии с инерционными свойствами агрегата и установленных на подрамнике, жёстко связанном с несущим кузовом автомобиля.
Таким образом, цель данного исследования состоит в разработке и валидации MBS-моделей подвеса передней главной передачи различного состава по критериям соответствия частотного отклика на опорах передней главной передачи, а также в формировании требований к многозвенной математической модели для решения задач виброактивности агрегатов в составе автомобиля.
Подготовка математической модели
Исследуемая математическая модель автомобиля, в состав которой входит подвес передней главной передачи, разработана в среде многозвенного моделирования MSC Adams с использованием модуля Car (рис. 1). Необходимость разработки модели всего автомобиля обусловлена, прежде всего, тем, что испытания, формирующие валидационный базис, проводятся на автомобиле в сборе. При этом основное внимание уделяется именно описанию подвеса передней главной передачи.
Рис. 1. Графическое изображение многозвенной математической модели автомобиля: а — общий вид; b — увеличенное изображение передней главной передачи (ПГП).
Fig. 1. Image of the multibody mathematical model of the vehicle: а — the general view; b — the scaled image of the front axle drive (FAD).
Для описания динамических характеристик опор в MSC Adams предусмотрены следующие способы:
- задание условно динамической характеристики жёсткости по модели Кельвина-Фойта, где характеристика статической жёсткости масштабируется в соответствии с динамическим фактором опоры для выбранной частоты. Как показано на рис. 2, данный способ не является корректным для определения передаточных функций ввиду практически линейного роста динамической жёсткости с увеличением частоты возмущения [1]);
- линеаризованная частотнозависимая модель на базе модели Пфеффера, где задаются кривые статической жёсткости, значения угла потерь для частоты 15 Гц и масштабные коэффициенты по силам/моментам и деформациям для корректировки динамической жёсткости. Пример результирующих динамических характеристик для данного метода представлен также на рис. 2. Данный метод рассмотрен подробно в литературе [2];
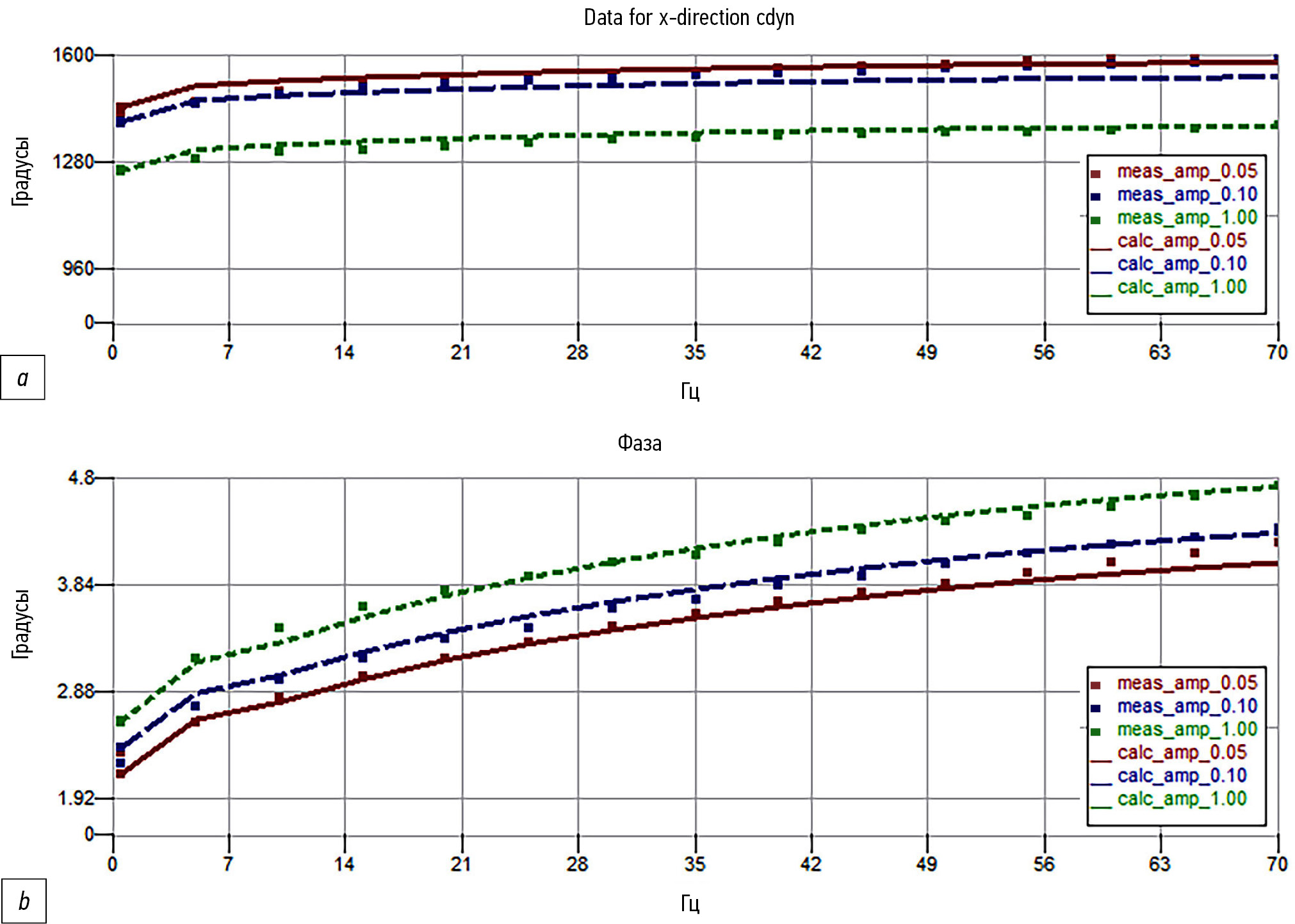
- многофакторная частотнозависимая модель, которая строится на базе кривых динамических характеристик опоры (жёсткости и угла потерь) для заданного диапазона амплитуд и частот и включает в себя статическую жёсткость, описание гистерезиса по модели Бука-Вена для описания зависимости от амплитуды возмущения и передаточной функции для описания зависимости от частоты возмущения. Подробное описание данной модели приведено в литературе [3]. На рис. 3 показано сравнение исходных динамических характеристик (meas), полученных путём испытаний реальной опоры передней главной передачи, с расчётными динамическими характеристиками (calc) для амплитуд 0,05, 0,1 и 1 мм.
Рис. 2. Сравнение динамических характеристик моделей шарниров, обладающих линейным демпфированием (красная линия) и частотнозависимым демпфированием (синяя линяя): а — динамический фактор в зависимости от частоты возбуждения; b — угол потерь в зависимости от частоты возбуждения [1].
Fig. 2. Comparison of dynamic curves of bushings with linear damping (red line) and frequency dependent damping (blue line): a —dynamic factor depending on excitation frequency; b — loss angle depending on excitation frequency [1].
Рис. 3. Измеренные (точки, meas_amp) и расчётные (сплошные линии, calc_amp) характеристики динамической жёсткости и углов потерь опоры ПГП для амплитуд 0,05, 0,1 и 1 мм: а — динамический фактор в зависимости от частоты возбуждения; b — угол потерь в зависимости от частоты возбуждения.
Fig. 3. Measured (points, meas_amp) and calculated (solid lines, calc_amp) data of dynamic stiffness and loss angle of the FAD bushing for the amplitudes of 0.05, 0.1 and 1 mm: а — dynamic factor depending on excitation frequency; b — loss angle depending on excitation frequency.
Описание несущей системы в местах размещения опор главной передачи также может быть выполнено в виде нескольких способов:
- как абсолютно жёсткое тело;
- в виде промежуточных упругих связей, описывающих локальную динамическую жёсткость, значения которой соответствуют исследуемому диапазону частот и которые могут быть определены как расчётно с помощью FEM-моделирования, так и экспериментально [4];
- в виде податливого тела, а именно конечноэлементной модели, редуцированной по методу Крейга-Бэмптона. Суть применения данного метода рассматривается в литературе [5].
Состав базовой математической модели автомобиля в сборе по инерционным характеристикам звеньев, в том числе передней главной передачи (исследуемого объекта), характеристикам упругих и демпфирующих элементов соответствует автомобилю, который использовался для проведения валидационных испытаний. Переменными компонентами данной модели были динамические характеристики опор передней главной передачи (использовались только частотнозависимые модели опор) и звено подрамника (абсолютно жёсткое, с промежуточными упругими связями и податливое). Для всех способов описания опор главной передачи использовались измеренные статические и динамические характеристики опор. Редуцированная конечно-элементная модель подрамника была подготовлена в среде моделирования ANSYS. Значения локальной динамической жёсткости точек крепления подрамника определялись расчётно в среде моделирования MSC Nastran на основе валидированной модели, представленной в работе [6]. Пример исследования локальной динамической жёсткости задней левой точки крепления подрамника к кузову через определение ускоряемости в данной точке приведён на рис. 4, где график Simulation_B — исходное состояние расчётной конечно-элементной модели, график Simulation_V — модель приведена в соответствии с результатами экспериментальных исследований и график Test — результаты экспериментальных исследований.
Рис. 4. Исследования ускоряемости задней левой точки крепления переднего подрамника к кузову автомобиля а — вдоль продольной оси автомобиля; b — вдоль поперечной оси автомобиля; c — вдоль вертикальной оси автомобиля; линии «Целевое» — кривые целевых значений ускоряемости по частоте; линии «Test» — кривые результатов экспериментальных исследований; линии «Simulation_B» — кривые результатов моделирования для исходной расчётной конечно-элементной модели; линии «Simulation_V» — кривые результатов моделирования для модели, приведённой в соответствие с результатами экспериментальных исследований; линии с приставкой ISO — изолинии соответствующих экспериментальных и расчётных результатов.
Fig. 4. Study of accelerance of the rear left mount of the front subframe to the vehicle body a — along the longitudinal axis of a vehicle; b — along the lateral axis of a vehicle; c — along the vertical axis of a vehicle; the Целевое lines — curves of target values of accelerance versus frequency; the Test lines — curves of the results of the experimental studies; the Simulation_B lines — curves of the simulation results of the initial simulation finite-element model; the Simulation_V lines — curves of the simulation results for the model validated according to the results of the experimental studies; the lines with the ISO suffix — isolines of the corresponding experimental and simulation results.
Валидационные испытания
В качестве валидационного базиса используются результаты модальных испытаний передней главной передачи в составе автомобиля в сборе. Суть модальных испытаний заключается в замере ускорений объекта испытаний при создании внешнего возмущения путём удара модальным молотком с последующим преобразованием в частотный отклик [7]. В ходе испытаний автомобиль находился на ровной опорной поверхности. Удары наносились в продольном и вертикальном направлениях в зоне крепления передней правой опоры к переднему подрамнику (рис. 5). Датчики ускорений были установлены на каждой опоре со стороны картера главной передачи и со стороны подрамника на головках болтов (рис. 6). Полученные записи ускорений в дальнейшем преобразованы в частотный спектр в программном комплексе Simcenter Testlab.
Рис. 5. Удар модальным молотком по корпусу передней главной передачи.
Fig. 5. Impact with the modal hammer on the body of the front axle drive.
Рис. 6. Датчики ускорений, установленные на опорах передней главной передачи.
Fig. 6. Acceleration sensors installed at the mounts of the front axle drive.
Проведение расчётов и валидации моделей
Так как целью расчёта является получение частотного отклика объекта исследования на внешнее воздействие, то задача в среде MSC Adams решается в частотной постановке с использованием модуля Vibration. Данный модуль используется для описания внешнего воздействия, датчиков отклика и других граничных условий расчёта. Нагружение математической модели и замер ускорений осуществляются в тех же точках, что и в ходе валидационных испытаний. При этом само нагружение реализовано в виде синусоидального единичного силового фактора с перебором частоты возбуждения в заданном диапазоне с фиксированным шагом. Амплитудно-частотные характеристики отклика объекта испытаний строятся в постпроцессоре. Результаты расчётов сравниваются с результатами замеров, после чего некоторые характеристики модели корректируются и выполняется повторный расчёт для достижения лучшего соответствия результатам замеров.
В ходе работы были получены амплитудно-частотные характеристики для следующих случаев:
- I — исходное описание опор на базе модели Пфеффера, жёсткий кузов;
- II — скорректированное описание опор на базе модели Пфеффера, жёсткий кузов;
- III — скорректированное описание опор на базе модели Пфеффера, учёт локальной динамической жёсткости подрамника посредством промежуточных упругих связей;
- IV — скорректированное описание опор на базе модели Пфеффера, подрамник задан в виде редуцированной КЭ-модели;
- V — многофакторная частотнозависимая модель опор, подрамник задан в виде редуцированной КЭ-модели.
Далее представлены графики некоторых передаточных функций отклика в виде ускорений со стороны передней главной передачи и со стороны подрамника на воздействие в виде силы в местах установки передней левой (ПЛ), передней правой (ПП) и задней (З) опор (см. рис. 7–14).
Рис. 7. Частотная характеристика отклика ПГП на ПЛ опоре в продольном направлении при продольном воздействии: линия «Замер» — кривая результатов экспериментальных исследований; линия I — кривая результатов расчёта для многозвенной модели с исходным описанием опор на базе модели Пфеффера и жёстким кузовом; линия II — кривая результатов расчёта для многозвенной модели со скорректированным описанием опор на базе модели Пфеффера и жёстким кузовом; линия III — кривая результатов расчёта для многозвенной модели со скорректированным описанием опор на базе модели Пфеффера и учётом локальной динамической жёсткости подрамника посредством промежуточных упругих связей; линия IV — кривая результатов расчёта для многозвенной модели со скорректированным описанием опор на базе модели Пфеффера и описанием подрамника в виде редуцированной КЭ-модели; линия V — кривая результатов расчёта для многозвенной модели с многофакторной частотнозависимой моделью опор и описанием подрамника в виде редуцированной КЭ-модели.
Fig. 7. Frequency response of the FAD at the front left mount in longitudinal direction after longitudinal impact: the Замер line — the curve of the results of the experimental studies; the I line — the curve of simulation results for the multibody model with the initial Pfeffer model-based description of the mounts and with the rigid body; the II line — the curve of simulation results for the multibody model with the corrected Pfeffer model-based description of the mounts and with the rigid body; the III line — the curve of simulation results for the multibody model with the corrected Pfeffer model-based description of the mounts and considering of local dynamic stiffness of the subframe via additional stiffness linkages; the IV line — the curve of simulation results for the multibody model with the corrected Pfeffer model-based description of the mounts and with the description of the subframe as the substructured FE-model; the V line — the curve of simulation results for the multibody model with the multivariable frequency-dependent model of the mounts and with the description of the subframe as the substructured FE-model.
Рис. 8. Частотная характеристика отклика подрамника на ПЛ опоре в продольном направлении при продольном воздействии: линия «Замер» — кривая результатов экспериментальных исследований; линия I — кривая результатов расчёта для многозвенной модели с исходным описанием опор на базе модели Пфеффера и жёстким кузовом; линия II — кривая результатов расчёта для многозвенной модели со скорректированным описанием опор на базе модели Пфеффера и жёстким кузовом; линия III — кривая результатов расчёта для многозвенной модели со скорректированным описанием опор на базе модели Пфеффера и с учётом локальной динамической жёсткости подрамника посредством промежуточных упругих связей; линия IV — кривая результатов расчёта для многозвенной модели со скорректированным описанием опор на базе модели Пфеффера и описанием подрамника в виде редуцированной КЭ-модели; линия V — кривая результатов расчёта для многозвенной модели с многофакторной частотнозависимой моделью опор и описанием подрамника в виде редуцированной КЭ-модели.
Fig. 8. Frequency response of the subframe at the front left mount in longitudinal direction after longitudinal impact: the Замер line — the curve of the results of the experimental studies; the I line — the curve of simulation results for the multibody model with the initial Pfeffer model-based description of the mounts and with the rigid body; the II line — the curve of simulation results for the multibody model with the corrected Pfeffer model-based description of the mounts and with the rigid body; the III line — the curve of simulation results for the multibody model with the corrected Pfeffer model-based description of the mounts and considering of local dynamic stiffness of the subframe via additional stiffness linkages; the IV line — the curve of simulation results for the multibody model with the corrected Pfeffer model-based description of the mounts and with the description of the subframe as the substructured FE-model; the V line — the curve of simulation results for the multibody model with the multivariable frequency-dependent model of the mounts and with the description of the subframe as the substructured FE-model.
Рис. 9. Частотная характеристика отклика ПГП на ПП опоре в продольном направлении при продольном воздействии: линия «Замер» — кривая результатов экспериментальных исследований; линия I — кривая результатов расчёта для многозвенной модели с исходным описанием опор на базе модели Пфеффера и жёстким кузовом; линия II — кривая результатов расчёта для многозвенной модели со скорректированным описанием опор на базе модели Пфеффера и жёстким кузовом; линия III — кривая результатов расчёта для многозвенной модели со скорректированным описанием опор на базе модели Пфеффера и с учётом локальной динамической жёсткости подрамника посредством промежуточных упругих связей; линия IV — кривая результатов расчёта для многозвенной модели со скорректированным описанием опор на базе модели Пфеффера и описанием подрамника в виде редуцированной КЭ-модели; линия V — кривая результатов расчёта для многозвенной модели с многофакторной частотнозависимой моделью опор и описанием подрамника в виде редуцированной КЭ-модели.
Fig. 9. Frequency response of the FAD at the front right mount in longitudinal direction after longitudinal impact: the Замер line — the curve of the results of the experimental studies; the I line — the curve of simulation results for the multibody model with the initial Pfeffer model-based description of the mounts and with the rigid body; the II line — the curve of simulation results for the multibody model with the corrected Pfeffer model-based description of the mounts and with the rigid body; the III line — the curve of simulation results for the multibody model with the corrected Pfeffer model-based description of the mounts and considering of local dynamic stiffness of the subframe via additional stiffness linkages; the IV line — the curve of simulation results for the multibody model with the corrected Pfeffer model-based description of the mounts and with the description of the subframe as the substructured FE-model; the V line — the curve of simulation results for the multibody model with the multivariable frequency-dependent model of the mounts and with the description of the subframe as the substructured FE-model.
Рис. 10. Частотная характеристика отклика подрамника на ПП опоре в продольном направлении при продольном воздействии: линия «Замер» — кривая результатов экспериментальных исследований; линия I — кривая результатов расчёта для многозвенной модели с исходным описанием опор на базе модели Пфеффера и жёстким кузовом; линия II — кривая результатов расчёта для многозвенной модели со скорректированным описанием опор на базе модели Пфеффера и жёстким кузовом; линия III — кривая результатов расчёта для многозвенной модели со скорректированным описанием опор на базе модели Пфеффера и с учётом локальной динамической жёсткости подрамника посредством промежуточных упругих связей; линия IV — кривая результатов расчёта для многозвенной модели со скорректированным описанием опор на базе модели Пфеффера и описанием подрамника в виде редуцированной КЭ-модели; линия V — кривая результатов расчёта для многозвенной модели с многофакторной частотнозависимой моделью опор и описанием подрамника в виде редуцированной КЭ-модели.
Fig. 10. Frequency response of the subframe at the front right mount in longitudinal direction after longitudinal impact: the Замер line — the curve of the results of the experimental studies; the I line — the curve of simulation results for the multibody model with the initial Pfeffer model-based description of the mounts and with the rigid body; the II line — the curve of simulation results for the multibody model with the corrected Pfeffer model-based description of the mounts and with the rigid body; the III line — the curve of simulation results for the multibody model with the corrected Pfeffer model-based description of the mounts and considering of local dynamic stiffness of the subframe via additional stiffness linkages; the IV line — the curve of simulation results for the multibody model with the corrected Pfeffer model-based description of the mounts and with the description of the subframe as the substructured FE-model; the V line — the curve of simulation results for the multibody model with the multivariable frequency-dependent model of the mounts and with the description of the subframe as the substructured FE-model.
Рис. 11. Частотная характеристика отклика ПГП на ПЛ опоре в вертикальном направлении при вертикальном воздействии: линия «Замер» — кривая результатов экспериментальных исследований; линия I — кривая результатов расчёта для многозвенной модели с исходным описанием опор на базе модели Пфеффера и жёстким кузовом; линия II — кривая результатов расчёта для многозвенной модели со скорректированным описанием опор на базе модели Пфеффера и жёстким кузовом; линия III — кривая результатов расчёта для многозвенной модели со скорректированным описанием опор на базе модели Пфеффера и с учётом локальной динамической жёсткости подрамника посредством промежуточных упругих связей; линия IV — кривая результатов расчёта для многозвенной модели со скорректированным описанием опор на базе модели Пфеффера и описанием подрамника в виде редуцированной КЭ-модели; линия V — кривая результатов расчёта для многозвенной модели с многофакторной частотнозависимой моделью опор и описанием подрамника в виде редуцированной КЭ-модели.
Fig. 11. Frequency response of the FAD at the front left mount in vertical direction after vertical impact: the Замер line — the curve of the results of the experimental studies; the I line — the curve of simulation results for the multibody model with the initial Pfeffer model-based description of the mounts and with the rigid body; the II line — the curve of simulation results for the multibody model with the corrected Pfeffer model-based description of the mounts and with the rigid body; the III line — the curve of simulation results for the multibody model with the corrected Pfeffer model-based description of the mounts and considering of local dynamic stiffness of the subframe via additional stiffness linkages; the IV line — the curve of simulation results for the multibody model with the corrected Pfeffer model-based description of the mounts and with the description of the subframe as the substructured FE-model; the V line — the curve of simulation results for the multibody model with the multivariable frequency-dependent model of the mounts and with the description of the subframe as the substructured FE-model.
Рис. 12. Частотная характеристика отклика подрамника на ПЛ опоре в вертикальном направлении при вертикальном воздействии: линия «Замер» — кривая результатов экспериментальных исследований; линия I — кривая результатов расчёта для многозвенной модели с исходным описанием опор на базе модели Пфеффера и жёстким кузовом; линия II — кривая результатов расчёта для многозвенной модели со скорректированным описанием опор на базе модели Пфеффера и жёстким кузовом; линия III — кривая результатов расчёта для многозвенной модели со скорректированным описанием опор на базе модели Пфеффера и с учётом локальной динамической жёсткости подрамника посредством промежуточных упругих связей; линия IV — кривая результатов расчёта для многозвенной модели со скорректированным описанием опор на базе модели Пфеффера и описанием подрамника в виде редуцированной КЭ-модели; линия V — кривая результатов расчёта для многозвенной модели с многофакторной частотнозависимой моделью опор и описанием подрамника в виде редуцированной КЭ-модели.
Fig. 12. Frequency response of the subframe at the front left mount in vertical direction after vertical impact: the Замер line — the curve of the results of the experimental studies; the I line — the curve of simulation results for the multibody model with the initial Pfeffer model-based description of the mounts and with the rigid body; the II line — the curve of simulation results for the multibody model with the corrected Pfeffer model-based description of the mounts and with the rigid body; the III line — the curve of simulation results for the multibody model with the corrected Pfeffer model-based description of the mounts and considering of local dynamic stiffness of the subframe via additional stiffness linkages; the IV line — the curve of simulation results for the multibody model with the corrected Pfeffer model-based description of the mounts and with the description of the subframe as the substructured FE-model; the V line — the curve of simulation results for the multibody model with the multivariable frequency-dependent model of the mounts and with the description of the subframe as the substructured FE-model.
Рис. 13. Частотная характеристика отклика ПГП на задней опоре в вертикальном направлении при вертикальном воздействии: линия «Замер» — кривая результатов экспериментальных исследований; линия I — кривая результатов расчёта для многозвенной модели с исходным описанием опор на базе модели Пфеффера и жёстким кузовом; линия II — кривая результатов расчёта для многозвенной модели со скорректированным описанием опор на базе модели Пфеффера и жёстким кузовом; линия III — кривая результатов расчёта для многозвенной модели со скорректированным описанием опор на базе модели Пфеффера и с учётом локальной динамической жёсткости подрамника посредством промежуточных упругих связей; линия IV — кривая результатов расчёта для многозвенной модели со скорректированным описанием опор на базе модели Пфеффера и описанием подрамника в виде редуцированной КЭ-модели; линия V — кривая результатов расчёта для многозвенной модели с многофакторной частотнозависимой моделью опор и описанием подрамника в виде редуцированной КЭ-модели.
Fig. 13. Frequency response of the FAD at the rear mount in vertical direction after vertical impact: the Замер line — the curve of the results of the experimental studies; the I line — the curve of simulation results for the multibody model with the initial Pfeffer model-based description of the mounts and with the rigid body; the II line — the curve of simulation results for the multibody model with the corrected Pfeffer model-based description of the mounts and with the rigid body; the III line — the curve of simulation results for the multibody model with the corrected Pfeffer model-based description of the mounts and considering of local dynamic stiffness of the subframe via additional stiffness linkages; the IV line — the curve of simulation results for the multibody model with the corrected Pfeffer model-based description of the mounts and with the description of the subframe as the substructured FE-model; the V line — the curve of simulation results for the multibody model with the multivariable frequency-dependent model of the mounts and with the description of the subframe as the substructured FE-model.
Рис. 14. Частотная характеристика отклика подрамника на задней опоре в вертикальном направлении при вертикальном воздействии: линия «Замер» — кривая результатов экспериментальных исследований; линия I — кривая результатов расчёта для многозвенной модели с исходным описанием опор на базе модели Пфеффера и жёстким кузовом; линия II — кривая результатов расчёта для многозвенной модели со скорректированным описанием опор на базе модели Пфеффера и жёстким кузовом; линия III — кривая результатов расчёта для многозвенной модели со скорректированным описанием опор на базе модели Пфеффера и с учётом локальной динамической жёсткости подрамника посредством промежуточных упругих связей; линия IV — кривая результатов расчёта для многозвенной модели со скорректированным описанием опор на базе модели Пфеффера и описанием подрамника в виде редуцированной КЭ-модели; линия V — кривая результатов расчёта для многозвенной модели с многофакторной частотнозависимой моделью опор и описанием подрамника в виде редуцированной КЭ-модели..
Fig. 14. Frequency response of the subframe at the rear mount in vertical direction after vertical impact: the Замер line — the curve of the results of the experimental studies; the I line — the curve of simulation results for the multibody model with the initial Pfeffer model-based description of the mounts and with the rigid body; the II line — the curve of simulation results for the multibody model with the corrected Pfeffer model-based description of the mounts and with the rigid body; the III line — the curve of simulation results for the multibody model with the corrected Pfeffer model-based description of the mounts and considering of local dynamic stiffness of the subframe via additional stiffness linkages; the IV line — the curve of simulation results for the multibody model with the corrected Pfeffer model-based description of the mounts and with the description of the subframe as the substructured FE-model; the V line — the curve of simulation results for the multibody model with the multivariable frequency-dependent model of the mounts and with the description of the subframe as the substructured FE-model.
Для обобщения сравнения полученных расчётных и экспериментальных амплитудно-частотных характеристик выполнен расчёт критерия достоверности частотного отклика (frequency response assurance criterion, FRAC), результаты которого представлены в табл. 1. В работе [8] данный критерий определяется согласно следующей формуле:
.
Таблица 1. Результаты расчёта критерия достоверности частотного отклика
Table 1. Results of the FRAC calculation
Направление | Опора | Сторона | I | II | III | IV | V |
Продольное | ПЛ | ГП | 0.817 | 0.969 | 0.200 | 0.966 | 0.504 |
подрамник | 0.752 | 0.957 | 0.971 | 0.981 | 0.455 | ||
ПП | ГП | 0.726 | 0.915 | 0.060 | 0.936 | 0.417 | |
подрамник | 0.743 | 0.956 | 0.948 | 0.961 | 0.399 | ||
Вертикальное | ПЛ | ГП | 0.832 | 0.925 | 0.869 | 0.899 | 0.558 |
подрамник | 0.758 | 0.888 | 0.821 | 0.917 | 0.470 | ||
З | ГП | 0.614 | 0.857 | 0.928 | 0.899 | 0.342 | |
подрамник | 0.685 | 0.798 | 0.869 | 0.920 | 0.528 |
Обозначения в таблице: I — многозвенная модель с исходным описанием опор на базе модели Пфеффера и жёстким кузовом; II — многозвенная модель со скорректированным описанием опор на базе модели Пфеффера и жёстким кузовом; III — многозвенная модель со скорректированным описанием опор на базе модели Пфеффера и учётом локальной динамической жёсткости подрамника посредством промежуточных упругих связей; IV — многозвенная модель со скорректированным описанием опор на базе модели Пфеффера и описанием подрамника в виде редуцированной КЭ-модели; V — многозвенная модель с многофакторной частотнозависимой моделью опор и описанием подрамника в виде редуцированной КЭ-модели.
Значения FRAC более 0,9 соответствуют хорошей сходимости результатов расчёта и эксперимента: от 0,8 до 0,9 — удовлетворительными, менее 0,8 — неудовлетворительными. Расчёт значений FRAC выполнялся для всего частотного диапазона 0–120 Гц.
При рассмотрении графиков АЧХ отклика ПГП видно, что амплитуды резонансов передаточных функций исходного варианта (вариант I) смещены по оси частот вправо. Для соответствия резонансов передаточных функций в результатах замера и расчёта понадобилось несколько снизить динамическую жёсткость опор путём масштабирования, а также скорректировать углы потерь для достижения лучшего совпадения форм спектров (вариант II). Таким образом, удалось добиться существенных улучшений (что также подтверждается результатами расчёта FRAC), но не идеального соответствия спектров функций отклика на передней главной передаче. Есть недостатки, которые в ходе работы устранить не удалось и требуют дальнейших исследований, например, расхождение в диапазоне частот 40–70 Гц для вертикального отклика на передней левой опоре главной передачи при вертикальном воздействии.
Учёт податливости подрамника в виде задания локальной динамической жёсткости (вариант III) или в виде задания редуцированной конечноэлементной модели (вариант IV) позволяет существенно снизить разницу амплитуд между спектрами замеров и расчёта отклика подрамника, составляющую до 20 дБ или до одного порядка. При этом задание локальной динамической жёсткости в виде отдельных упругих элементов искажает спектры отклика главной передачи, особенно при продольном воздействии на ГП в виде резкого возрастания амплитуд при частотах до 30–40 Гц. Значения FRAC для варианта III в данном случае падает до 0,1–0,2 в то время, как для варианта IV получены наилучшие результаты FRAC. Таким образом, использование редуцированных конечноэлементных моделей для решения задач является предпочтительным, а задание локальной динамической жёсткости — допустимым при устранении описанной выше проблемы.
При использовании многофакторной частотнозависимой модели опор главной передачи как наиболее точной ожидалось получение наилучшего совпадения спектров. На практике оказалось, что расхождения спектров оказались значительнее (в частности, по форме и количеству резонансов), чем при использовании более простой модели Пфеффера. Подобное поведение можно объяснить тем, что для резинометаллических шарниров и опор допускается разброс величины жёсткости в пределах +/- 15% от целевого значения, и жёсткость измеренных опор оказалась выше, чем у использованных в составе автомобиля. Это же объясняет необходимость корректирования динамической жёсткости опор в сторону снижения для варианта II. Вдобавок, данная модель в силу своей сложности обладает меньшей гибкостью для оперативного корректирования характеристики жёсткости. Таким образом, многофакторная частотнозависимая модель опор агрегатов не рекомендуется к использованию для решения задач.
Заключение
Результаты валидации показывают, что разработанная многозвенная математическая модель автомобиля с рассмотренными уровнями проработки не достигает полного совпадения с реальным автомобилем в контексте реализации отклика на возмущение передней главной передачи. Но при этом наилучший достижимый результат может быть достигнут при следующих условиях:
- корректно определённые и заданные инерционные характеристики объекта моделирования;
- использование линеаризованной частотнозависимой модели резинометаллических опор на базе модели Пфеффера;
- использование редуцированной конечноэлементной модели несущей системы (предпочтительно) или задание локальной динамической жёсткости несущей системы в местах установки опор (допускается).
Дополнительная информация
Вклад автора. В.А. Кулагин ― разработка многозвенных математических моделей, проведение расчётов и валидации моделей, поиск публикаций по теме, написание и редактирование текста рукописи, создание изображений; Р. И. Рахматов ― расчёт локальной динамической жёсткости, экспертная оценка, редактирование текста рукописи; А.П. Ликеев ― проведение испытаний, обработка результатов испытаний, экспертная оценка, редактирование текста рукописи. Авторы подтверждают соответствие своего авторства международным критериям ICMJE (авторы внесли существенный вклад в разработку концепции, проведение исследования и подготовку статьи, прочли и одобрили финальную версию перед публикацией).
Конфликт интересов. Авторы декларируют отсутствие явных и потенциальных конфликтов интересов, связанных с публикацией настоящей статьи.
Источник финансирования. Авторы заявляют об отсутствии внешнего финансирования при проведении исследования.
Additional information
Authors’ contribution. V.A. Kulagin ― development of multibody mathematical models, performing simulations and models validation, search for publications on the topic of the article, writing and editing the text of the manuscript, creating figures; R.I. Rakhmatov ― calculation of local dynamic stiffness, expert opinion, editing the text of the manuscript; A.P. Likeev ― conducting the tests, processing of tests results, expert opinion, editing the text of the manuscript. The authors confirm that their authorship meets the international criteria of the ICMJE (the authors made a significant contribution to the development of the concept, research and preparation of the article, read and approved the final version before publication).
Competing interests. The authors declare that he has no competing interests.
Funding source. This study was not supported by any external sources of funding.
About the authors
Viktor A. Kulagin
Central Research Automobile and Automotive Engines Institute “NAMI”; Moscow Polytechnic University
Author for correspondence.
Email: viktor.kulagin@nami.ru
ORCID iD: 0000-0003-0158-1727
SPIN-code: 2488-6808
Cand. Sci. (Eng.), Leading Design Engineer of the Multibody Simulation Department of the Numerical Analysis and Virtual Validation Center, Engineer of the Virtual Testing Center of the Advanced Engineering School of Electric Transport
Russian Federation, 2 Avtomotornaya st, Moscow, 125438; 38 Bolshaya Semenovskaya st, Moscow, 107023Rakhmatdzhon I. Rakhmatov
Central Research Automobile and Automotive Engines Institute “NAMI”; Moscow Polytechnic University
Email: rakhmatjon.rakhmatov@nami.ru
ORCID iD: 0000-0001-5987-3170
SPIN-code: 4523-0863
Cand. Sci. (Eng.), Leading Chief Specialist of the Numerical Analysis of Vibroacoustics Department of the Numerical Analysis and Virtual Validation Center, Associate Professor of the Technical Mechanics and Computer Simulation Department
Russian Federation, 2 Avtomotornaya st, Moscow, 125438; 38 Bolshaya Semenovskaya st, Moscow, 107023Anton P. Likeev
Central Research Automobile and Automotive Engines Institute “NAMI”
Email: anton.likeev@nami.ru
ORCID iD: 0009-0002-6076-5999
SPIN-code: 5023-9134
Leading Design Engineer of the Consumer Attributes Department of the Transport Means and Systems Center
Russian Federation, 2 Avtomotornaya st, Moscow, 125438References
- Kulagin V. Development of fundamentals of the method of defining the life of supporting elements of vehicle suspension on the basis of technologies of virtual and laboratory experiments [dissertation] Moscow; 2022. (In Russ.)
- Scheiblegger Ch, Lin J, Karrer H. New Nonlinear Bushing Model for Ride Comfort and Handling Simulation: Focusing on Linearization and the Implementation into MBS Environment. In: Proc. FISITA 2012 Wor. Auto. Con. Vol. 10. Berlin: Springer; 2013:461–473. doi: 10.1007/978-3-642-33795-6_38
- Koppenaal J, Van Oosten J, Porsche I, et al. General Modeling of Nonlinear Isolators for Vehicle Ride Studies. SAE International Journal of Materials and Manufacturing. 2010;3(1):585–591.
- Rakhmatov RI, Krutolapov VE. Vehicle structural analysis calculation method development in order to improve noise-vibration-harshness characteristics. IOP Conf. Series: Earth Envir. Sci. 2021;867. doi: 10.1088/1755-1315/867/1/012105
- Yudakov AA. Principles of flexible body general dynamic equations derivation based on the Craig–Bampton model and of their practically significant approximations. Vestnik Udmurtskogo Universiteta. Matematika. Mekhanika. Komp’yuternye Nauki. 2012;3:126–140. (In Russ.)
- Rakhmatov RI, Tremyasov VV, Likeev AP, et al. Studies of modal characteristics aimed at comprehensive validation of a calculation model by the example of a modern vehicle body. Trudy NAMI. 2023;(3):6–32. (In Russ.) doi: 10.51187/0135-3152-2023-3-6-32
- The Fundamentals of Modal Testing. Application Note 243-3. Agilent Technologies [internet] Accessed: 27.05.2024. Available from: https://rotorlab.tamu.edu/me459/APP%20Note%20243-3%20The%20Fundamentals%20of%20Modal%20Testing.pdf
- Lammens S. Frequency response based validation of dynamic structural finite element models [dissertation] Leuven; 1995.
Supplementary files

















