Analysis of composite leaf spring’s elastic properties for truck suspension system
- Authors: Evseev K.B.1, Lidzheev D.V.1
-
Affiliations:
- Bauman Moscow State Technical University
- Issue: Vol 19, No 2 (2025)
- Pages: 75-86
- Section: Transport and transport-technological facilities
- URL: https://journals.eco-vector.com/2074-0530/article/view/677011
- DOI: https://doi.org/10.17816/2074-0530-677011
- EDN: https://elibrary.ru/HZFOYM
- ID: 677011
Cite item
Abstract
BACKGROUND: Currently, the issue of reasonable use of energy resources, dictated by the increase in environmental standards and production capacity, as well as the reduction of consumer costs, often arises. This issue is especially acute in the automotive industry. The fundamental factor in the issue of increasing the energy efficiency of a vehicle is its weight, reduction of which causes many design and layout contradictions. One of the possible solutions to this problem is the use of composite materials in the vehicles design. Currently, composite materials are widely used in aircraft manufacturing and the aerospace sector, where their use is a generally accepted approach. In the conditions of constant competition in the automotive industry, products made of polymer composite materials have also recently begun to be widely used. The main areas of application of composite materials are large-sized body structures (cabins, hoods, bumpers, doors), components of transmission, chassis and brake systems (friction linings of clutch discs, elastic elements of the suspension system, friction elements of brakes). The paper presents the main approaches and intermediate results of calculating fiberglass springs for the rear suspension system of a vehicle with a gross weight of 3500 kg.
AIM: Reducing the weight of the truck’s rear suspension with a gross vehicle weight of 3500 kg.
METHODS: To reduce weight and to determine the required mechanical characteristics of the suspension system, a search for reasonable parameters of a leaf spring made of fiberglass, taking into account the manufacturing features, is carried out using the finite element analysis method.
RESULTS: A reasonable design of a composite leaf spring with minimum mass has been obtained. The optimal distribution of composite layers and angles of its reinforcement along the thickness of the leaf spring has been determined. The load characteristic of the obtained spring, made using a polymer composite, has been built.
CONCLUSION: The optimization of the composite leaf spring made of fiberglass was carried out. The obtained leaf spring has a nonlinear stiffness characteristic. When subjected to dynamic force, the spring failure criterion does not exceed 1, which indicates its operability.
Full Text
ОБОСНОВАНИЕ
Несмотря на высокую технологичность относительно других металлических упругих элементов (пружины, торсионы), рессоры имеют малую энергоёмкость и значительную массу (в особенности, это касается многолистовых рессор) [1]. На некоторых автомобилях с целью снижения массы, обеспечения требуемых ходов системы подрессоривания и получения необходимой плавности хода вместо рессор устанавливаются металлические пружины, однако из компоновочных соображений такое решение является не всегда возможным. В таком случае заменой может служить рессора с теми же габаритами и упругой характеристикой, выполненная с применением полимерных композиционных материалов (ПКМ). Кроме того, изделия, выполненные из ПКМ, и, в частности, рессоры обладают демпфирующими свойствами, что было рассмотрено в работах [2–6].
Цель — снижение массы задней системы подрессоривания грузового автомобиля полной массой 3500 кг.
МЕТОДЫ
Описание модели и общая постановка задачи
Предварительно в работе [7] был выполнен проектировочный расчёт и получены основные размеры и характеристики аналогичной металлической рессоры. В табл. 1 представлены параметры, взятые за основу при расчёте рессоры из ПКМ.
Таблица 1. Параметры рессоры
Table 1. Parameters of the leaf spring
Приведенная | Статический | Длина, | Суммарная толщина |
107,5 | 90,5 | 1205 | 39 |
На рис. 1 представлен эскиз исследуемой рессоры-аналога, выполненной из ПКМ.
Рис. 1. Эскиз рессоры, выполненной из полимерного композиционного материала.
Fig. 1. Sketch of the leaf spring made of polymer composite.
Далее рассмотрим общий подход к проектированию композитной рессоры. В данной работе в качестве материала рессоры используется стеклопластик. Выбор стеклопластика обусловлен меньшим модулем упругости по сравнению с углепластиком, который применяется в изготовлении преимущественно силовых конструкций, где требуется повышенная жёсткость и прочность (кузова, кабины, направляющие аппараты, рычаги), а также низкой стоимостью, что особенно важно для массового производства.
С учётом технологии изготовления рессоры из стеклопластика, предложенной в работе [7], для изготовления используются слои стекловолокна с однонаправленной укладкой, т. е. композитный материал является монотропным, поэтому для оценки его механических свойств задаются пять независимых коэффициентов, характеризующих упругие свойства материала. В работе [8] исследуется аналогичная рессора, выполненная из стеклопластика, поэтому при проведении работы будем использовать те же характеристики (табл. 2).
Таблица 2. Механические характеристики однонаправленного стеклопластика
Table 2. Mechanical properties of unidirectional fiberglass
Модуль упругости, | Коэффициент | Модуль сдвига, | Плотность, |
E1 = 42 470 E2 = E3 = 8360 | ν12 = 0,298 | G12 = G13 = 3110 G23 = 2720 | 2500 |
На первом этапе математическая модель композитной рессоры содержит пять слоёв. В табл. 3 представлены характеристики этих слоёв рессоры, выбор ориентации которых сформирован с учётом работ [3], [9–12] (соблюдение симметрии укладки слоёв, а также реализация квазиизотропной модели), а суммарная толщина рессоры — исходя из рассчитанной толщины аналогичной металлической.
Таблица 3. Параметры слоёв композитной рессоры
Table 3. Parameters of layers of the composite leaf spring
Параметры слоёв | Значение | ||||
Номер слоя | 1 | 2 | 3 | 4 | 5 |
Толщина, мм | 8 | 8 | 8 | 8 | 8 |
Направление волокон по направлению | 0° | 45° | 90° | -45° | 0° |
Внешний вид разработанной конечно-элементной (КЭ) модели рессоры представлен на рис. 2. В используемом программном комплексе КЭ-анализа рессора моделируется оболочечными двухмерными КЭ, при этом задаются количество слоёв композита, их толщина и направление армирования.
Рис. 2. Общий вид конечно-элементной модели рессоры.
Fig. 2. Main view of the finite element model of the leaf spring.
Резинометаллические шарниры (сайлентблоки) моделируются с использованием трёхмерных КЭ типа СHEXA, полость возле проушины заполнена полимерной матрицей (эпоксидно-винилэфирная смола) и моделируется с помощью трёхмерных КЭ типов СHEXA и СPENTA. Слои композитного материала выкладываются в направлении нормалей КЭ. На рис. 3 представлена КЭ-модель рессоры в районе проушины. В табл. 4 приведены механические характеристики материалов сайлентблоков и полимерной матрицы [8].
Рис. 3. Конечно-элементная модель рессоры в районе проушины: 1 — двухмерные оболочечные конечные элементы; 2 — трёхмерные конечные элементы типа HEXA; 3 — трёхмерные конечные элементы типов HEXA и TETRA.
Fig. 3. Finite element model of the leaf spring (the eye part): 1, two-dimensional surface finite elements; 2, three-dimensional HEXA finite elements; 3, three-dimensional HEXA and TETRA finite elements.
Таблица 4. Механические характеристики вспомогательных материалов
Table 4. Mechanical properties of additional materials
Компонент | Материал | Модуль | Коэффициент | Модуль | Плотность, |
Сайлентблок (2) | Резина | 50 | 0,495 | 16,7 | 920 |
Полимерная матрица (3) | Эпоксидно-винилэфирная смола | 3210 | 0,36 | 1180 | 1140 |
Описание исследования
Предлагается при проведении расчёта выделить 4 последовательных этапа. На 1 этапе осуществляется разработка топологии детали, при которой формируется внешний облик композитного изделия посредством варьирования толщины каждого слоя. На данном этапе принимается концепция макрослоя, в котором каждому исходному слою назначается по четыре «подслоя», суммарная толщина которых имеет произвольное значение. На 2 этапе оптимизация проводится с учётом ограничений дискретности элементарных слоёв материала. Для этого каждому слою задаётся технологически реализуемое значение. На данном этапе определяется финальное количество слоёв, удовлетворяющее заданным ограничениям оптимизации. На 3 этапе определяется оптимальное направление армирования каждого из слоёв композита. На текущем этапе каждому слою задаётся диапазон варьирования углов армирования, учитывающий технологические особенности изготовления, а также учитывается дискретность шага изменения углов армирования. На финальном 4 этапе происходит перестановка слоёв композитного изделия вдоль нормалей КЭ таким образом, чтобы соблюдались ограничения оптимизации. Этот этап также учитывает технологию изготовления композитов. Так, можно объединить симметричные слои с противоположными по знаку углами армирования в пары таким образом, чтобы они располагались по крайней мере под одним слоем одинаковой ориентации с обеих сторон.
Граничные условия и нагрузки остаются неизменными на протяжении всех четырёх этапов. С помощью элемента RBE2 (жёсткое соединение выбранных узлов в одной точке) связывается центр проушины с элементами сайлентблока. Для левой проушины заданы ограничения по всем степеням свободы, за исключением вращения вокруг оси сайлентблока. Серьга рессоры моделируется элементом типа CROD, имеющим длину 120 мм. Верхняя часть серьги ограничивается по всем степеням свободы, кроме поворота вокруг линии параллельной оси вращения сайлентблока. В проушине ограничиваются следующие степени свободы: перемещение вдоль оси z и поворот вокруг осей x и y.
Введём допущение для отработки методики оптимизации о том, что в качестве нагрузочных режимов будут использоваться исключительно вертикальные силы, так как конструктивно предусмотрено перераспределение продольных и боковых нагрузок посредством установки продольных и поперечных тяг. С помощью элемента RBE3 (передаёт нагрузки от одной точки к выбранным узлам) прикладывается распределённая нагрузка к элементам, расположенным в той зоне рессоры, которая крепится к площадке на мосту автомобиля. Статическая сила, приходящаяся на один упругий элемент задней оси автомобиля полной массой 3500 кг, составляет 9812 Н (при максимальной нагрузке на ось 2100 кг), а динамическая в соответствии с выбранным коэффициентом динамичности для грузовых автомобилей равным 2,5 [1] — 24 530 Н.
На рис. 4 представлена модель рессоры для оптимизации.
Рис. 4. Конечно-элементная модель рессоры: a — элемент RBE2; b — граничные условия левой проушины; c — граничные условия левой проушины с серьгой; d — приложение динамической нагрузки с помощью элемента RBE3.
Fig. 4. Finite element model of the leaf spring: a, the RBE2 element; b, boundary conditions of the left eye; c, boundary conditions of the left eye with a shackle; d, attachment of dynamic load using the RBE3 element.
Целевой функцией оптимизации является минимизация массы композитной части модели рессоры. Ограничения накладываются на статический ход рессоры в диапазоне от 90 до 100 мм, что соответствует диапазону собственных частот колебаний подрессоренной части автомобиля 1,66…1,58 Гц, а также ограничение на её максимальную толщину — 80 мм. Выбор такого значения связан с обеспечением запаса максимальной толщины композитной рессоры, т. к. ранее в работе [7] при проведении проектировочного расчёта аналогичной металлической рессоры было получено, что её толщина составляет 39 мм.
РЕЗУЛЬТАТЫ И ОБСУЖДЕНИЕ
По результатам первого этапа оптимизации максимальная толщина рессоры составила 35,6 мм, а статический прогиб получился равным 86 мм. Полученный ход рессоры при действии статической нагрузки не удовлетворяет заданному диапазону. Такой результат связан с тем, что при оптимизации не были введены дополнительные ограничения, а также с тем, что на текущем этапе формируется лишь внешний вид композитной рессоры. Далее на втором этапе будет продемонстрировано, что при задании прочностных и технологических ограничений достигается требуемый статический прогиб.
Наибольшее количество слоёв сосредоточено в месте приложения нагрузки (рис. 5) и постепенно уменьшается по направлению к проушинам. На рис. 6 представлена структура распределения слоёв после первого этапа оптимизации в центральной части рессоры.
Рис. 5. Распределение толщин слоёв после первого этапа оптимизации.
Fig. 5. Distribution of layers’ thickness after the first stage of optimization.
Рис. 6. Распределение слоёв в центральной части рессоры (после первого этапа оптимизации).
Fig. 6. Distribution of layers in the central part of the leaf spring (after the first stage of optimization).
Из рис. 6 видно, что слои имеют разную толщину, т. е. не учитывается технология изготовления, что делает производство такой рессоры практически невыполнимой задачей. Для этого проводится второй этап оптимизации, на котором задаётся ограничение на толщину слоёв (каждый слой по 0,2 мм). При этом к ранее введённому ограничению оптимизации добавляется ограничение для критерия разрушения по максимальным напряжениям, который не должен превышать 1 (введённая пара ограничений останется неизменной на всех последующих этапах оптимизации). Критерий разрушения по максимальным напряжениям определяется по следующей зависимости:
, (1)
где σ1 — действующие продольные нормальные напряжения; σ2 и σ3 — действующие поперечные нормальные напряжения; τ12, τ13, τ23 — касательные напряжения; X — допускаемые напряжения в продольном направлении; Y и Z — допускаемые напряжения в поперечных направлениях; S, R, Q — допускаемые касательные напряжения в соответствующих плоскостях.
На рис. 7 представлена схема действия силовых факторов в элементарном слое рессоры.
Рис. 7. Напряжения, действующие в элементарном слое рессоры.
Fig. 7. Stress acting in an elementary layer of the leaf spring.
Так как слои рессоры однонаправленные и, как следствие, материал монотропный, то поперечные напряжения, при которых происходит разрушение композита в плоскости монотропии, будут равны. То же самое относится к касательным напряжениям.
Тогда критерий разрушения будет определяться следующим выражением:
, (2)
где σ2 — напряжения, действующие в направлении нагружения рессоры.
Для используемого стеклопластика с однонаправленными слоями допускаемые напряжения в продольном направлении при растяжении волокон лежат в диапазоне от 1600 до 2100 МПа [14], прочность в поперечном направлении будет в основном определяться прочностью наполнителя (матрицы) и для полиэфирных смол принимает значения от 80 до 150 МПа [14]. В то же время в работе [8] прочность в продольном и поперечном направлениях принимается равной 1200 и 223 МПа соответственно, а допускаемые касательные напряжения — 63 МПа. Учитывая рекомендации [14], а также работу [8], допускаемые напряжения принимаем следующими: X =1500 МПа, Y =160 МПа, S = 60 МПа.
После второго этапа характер распределения толщин рессоры остался прежним, однако, учитывая дискретность слоёв, изменились их значения, количество слоёв, а также направления армирования. На рис. 8 представлены значения толщин рессоры после второго этапа оптимизации.
Рис. 8. Толщина слоёв после второго этапа оптимизации.
Fig. 8. Layers’ thickness after the second stage of optimization.
После оптимизации максимальная толщина рессоры уменьшилась и стала равна 32,2 мм, при этом центральная часть содержит 161 слой толщиной 0,2 мм, а статический прогиб стал равен 91,5 мм, что удовлетворяет заданному диапазону ограничений.
На следующем этапе проводится определение оптимальных углов укладки слоёв композита. В работе [7] предлагается изготавливать рассматриваемую рессору методом намотки. В этом случае значения углов укладки волокон не имеют ограничений, поэтому при оптимизации углы армирования задаются могут принимать значения в диапазоне от –90 до 90°. Тем не менее, для обеспечения технологичности изготовления шаг изменения угла армирования принимается равным 0,5°. На рис. 9 представлены средние значения углов укладки вдоль длины рессоры.
Рис. 9. Средние значения углов укладки после третьего этапа оптимизации.
Fig. 9. Average values of orientation angles after the third stage of optimization.
Наибольшее количество слоёв с различными углами армирования сосредоточено в месте приложения нагрузки, т. е. в центральной части и далее к проушинам наиболее частыми являются слои с углом 0°. Кроме этого, присутствуют слои с углом укладки волокон 90° и ±67°, расположенные преимущественно в центральной части рессоры.
После определения параметров каждого из слоёв на заключительном этапе проводится поиск оптимального порядка укладки слоёв. При проведении оптимизации для повышения технологичности и долговечности симметричные слои с углами армирования ±67° укладываются попарно и таким образом, чтобы с обеих сторон находились слои с углами армирования 0° вдоль рессоры [8].
На рис. 10 представлен общий вид рессоры после проведения всех этапов оптимизации.
Рис. 10. Геометрия рессоры после проведения оптимизации: a — фронтальная проекция; b — общий вид.
Fig. 10. Design of the leaf spring after optimization: a, frontal view; b, general view.
Таким образом, после проведения оптимизации характер распределения слоёв имеет следующий вид:
- – 119 слоёв с углом укладки 0°;
- – 24 слоя с углом укладки 90°;
- – по 9 слоёв для углов укладки ±67°.
АНАЛИЗ ПРОЧНОСТНЫХ И УПРУГИХ СВОЙСТВ РЕССОРЫ
После проведения оптимизации проводится расчёт, учитывающий возможные нелинейные свойства рессоры. При проведении расчёта также учитываются большие перемещения элементов, а нагрузка прикладывается по шагам. На рис. 11 и 12 представлены деформированные состояния рессоры при статической и динамической силах.
Рис. 11. Прогиб рессоры, мм (масштаб перемещений 1:1): a — при статической нагрузке; b — при динамической нагрузке.
Fig. 11. Leaf spring displacement, mm (displacement scale 1:1): a, at static load; b, at dynamic load.
На рис. 12 представлены значения критериев разрушения. Согласно рис. 12, критерий разрушения при действии динамической силы не превышает единицы, что свидетельствует о работоспособности рессоры.
После проведения всех этапов оптимизации в табл. 5 оцениваются массовые характеристики рассчитанной рессоры.
Рис. 12. Критерии разрушения рессоры: a — при статической нагрузке; b — при динамической нагрузке.
Fig. 12. Criteria of leaf spring failure: a, at static load; b, at dynamic load.
Таблица 5. Массовые характеристики различных типов рессоры
Table 5. Mass properties of various types of leaf springs
Тип рессоры | Масса, | Максимальный критерий |
Аналогичная металлическая рессора | 25,7 | – |
Исходная композитная рессора | 9,7 | 1,1 |
Финальный облик рессоры после оптимизации | 5,9 | 0,95 |
Стоит, тем не менее, отметить, что несмотря на установку реактивных тяг в конструкцию системы подрессоривания, благодаря которым происходит перераспределение продольных и поперечных нагрузок, увеличивается общая масса системы подрессоривания по сравнению с той, которая имеет в своём составе только две композитные рессоры. Общая масса таких тяг составляет 19 кг, тогда суммарная масса тяг и двух стеклопластиковых рессор будет в 1,67 раз (на 20,6 кг) меньше масс двух аналогичных металлических малолистовых рессор.
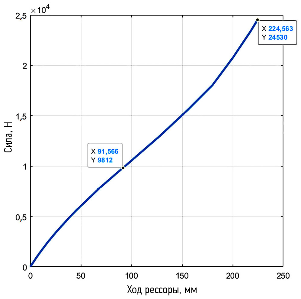
Далее, зная вертикальные перемещения для соответствующих значений нагрузки, построим упругую характеристику рессоры при действии статической и динамической сил. На рис. 13 представлена упругая характеристика рессоры.
Как видно из рис. 13, статический ход рессоры равен 91,5 мм, т. е. обеспечивается ограничение, заданное при оптимизации. Такой ход соответствует собственной частоте подвески 1,65 Гц, что является приемлемым для грузовых автомобилей [1]. Также можно сказать, что в зоне статического хода нагрузочная характеристика рессоры близка к линейной.
Рис. 13. Упругая характеристика рессоры.
Fig. 13. Stiffness characteristic of the leaf spring.
При динамической нагрузке прогиб рессоры составляет 224,5 мм, а динамический ход подвески — 133 мм. Анализируя график, представленный на рис. 13, можно сделать вывод о том, что упругая характеристика оптимизированной рессоры близка к требуемой [1], т. е. в зоне статического нагружения сохраняется линейность, а при динамической — ярко выраженная нелинейность, тем не менее, для ограничения хода подвески требуется установка резиновых элементов (отбойников).
ЗАКЛЮЧЕНИЕ
В результате проведения оптимизации определено оптимальное распределение слоёв рессоры и углов её армирования. Полученная рессора состоит из 161 слоя толщиной 0,2 мм. Большая часть слоёв рессоры (74%) ориентирована вдоль длины рессоры, поскольку в конструкции системы подрессоривания предусмотрены реактивные тяги, перераспределяющие продольные и поперечные нагрузки от направляющего элемента.
Получена нагрузочная характеристика при действии статической и динамической сил. Выявлена сильная нелинейность рессоры при динамическом ходе и близость к линейной характеристике при статическом.
Статический ход составляет 91,5 мм, что соответствует собственной частоте 1,65 Гц. При нагрузке, превосходящей статическую в 2,5 раза, прогиб рессоры составляет 224,5 мм (динамический ход подвески равен 133 мм, что больше статического в 1,45 раз). При действии динамической силы максимальный критерий разрушения по максимальным напряжениям равен 0,949, что свидетельствует об отсутствии разрушения рессоры под заданной нагрузкой.
В результате оптимизации конструктивных параметров общая масса рессоры составляет 5,9 кг, что в 1,64 раза меньше по сравнению с изначальным вариантом до оптимизации и в 4,36 раз меньше по сравнению с металлической рессорой.
ДОПОЛНИТЕЛЬНАЯ ИНФОРМАЦИЯ
Вклад авторов. К.Б. Евсеев — редактирование текста рукописи, экспертная оценка, утверждение финальной версии; Д.В. Лиджеев — поиск публикаций по теме статьи, написание текста рукописи, создание изображений. Все авторы одобрили рукопись (версию для публикации), а также согласились нести ответственность за все аспекты работы, гарантируя надлежащее рассмотрение и решение вопросов, связанных с точностью и добросовестностью любой её части.
Этическая экспертиза. Неприменимо.
Источники финансирования. Отсутствуют.
Раскрытие интересов. Авторы декларируют отсутствие явных и потенциальных конфликтов интересов, связанных с проведённым исследованием и публикацией настоящей статьи.
Оригинальность. При создании настоящей работы авторы не использовали ранее опубликованные сведения (текст, иллюстрации, данные).
Доступ к данным. Редакционная политика в отношении совместного использования данных к настоящей работе не применима, новые данные не собирали и не создавали.
Генеративный искусственный интеллект. При создании настоящей статьи технологии генеративного искусственного интеллекта не использовали.
Рассмотрение и рецензирование. Настоящая работа подана в журнал в инициативном порядке и рассмотрена по обычной процедуре. В рецензировании участвовали два внешних рецензента, член редакционной коллегии и научный редактор издания.
ADDITIONAL INFORMATION
Author contributions: K.B. Evseev: editing the text, expert opinion, approval of the final version of the manuscript; D.V. Lidzheev: search for publications on the topic of the article, writing the text of the manuscript, creating images. All the authors approved the version of the manuscript to be published and agreed to be accountable for all aspects of the work, ensuring that issues related to the accuracy or integrity of any part of the work are appropriately investigated and resolved.
Ethics approval: Not applicable.
Funding sources: No funding.
Disclosure of interests: The authors have no relationships, activities, or interests for the last three years related to for-profit or not-for-profit third parties whose interests may be affected by the content of the article.
Statement of originality: No previously obtained or published material (text, images, or data) was used in this study or article.
Data availability statement: The editorial policy regarding data sharing does not apply to this work as no new data was collected or created.
Generative AI: No generative artificial intelligence technologies were used to prepare this article.
Provenance and peer review: This paper was submitted unsolicited and reviewed following the standard procedure. The peer review involved two external reviewers, a member of the editorial board, and the in-house scientific editor.
About the authors
Kirill B. Evseev
Bauman Moscow State Technical University
Email: kb_evseev@bmstu.ru
ORCID iD: 0000-0001-7193-487X
SPIN-code: 7753-2047
Dr. Sci. (Engineering), Professor of the Wheeled Vehicles Department
Russian Federation, MoscowDordzhi V. Lidzheev
Bauman Moscow State Technical University
Author for correspondence.
Email: lidzheevdv@bmstu.ru
ORCID iD: 0009-0008-6317-8689
SPIN-code: 1289-7121
Student of the Wheeled Vehicles Department
Russian Federation, MoscowReferences
- Afanas’ev BA, Belousov BN, Zheglov LF, et al. (Eds. Polun’yan AA). (2008) Design of All-Wheel Drive Vehicles: Textbook for Universities: In 3 Vols. Vol. 3*. Moscow: BMSTU Publishing House. 432 pp., ill. (In Russ.) EDN: VCQGMR
- Staroverov OA. (2020) Deformation and Fracture of Polymer Composites under Complex Mechanical Loading Conditions [Dissertation of Cand. Sci. (Eng.): 01.02.04]. Perm. 140 pp. (In Russ.) EDN: WADOAJ
- Zou X, Zhang B, Yin G. Analysis of stiffness and damping performance of the composite leaf spring. Sci Rep 12, 6842 (2022). doi: 10.1038/s41598-022-11055-5
- Evseev KB, Kartashov AB, Dashtiev IZ, Pozdeev AV. Analysis viscoelastic properties of fiber-reinforced composite spring for the all-terrain vehicle. MATEC Web of Conferences 224, 02039 (2018) ICMTMTE 2018. https://www.matec-conferences.org/articles/matecconf/abs/2018/83/matecconf_icmtmte2018_02039/matecconf_icmtmte2018_02039.html
- Belyaeva AA, Evseev KB. Analysis viscoelastic properties of the composite leaf spring. IOP Conf. Series: Materials Science and Engineering 709 (2020) 033011 doi: 10.1088/1757-899X/709/3/033011
- Evseev KB, Kartashov AB. Relevance of Using Helical Springs Made of Polymer Composite Materials in Suspension Systems of Modern Vehicles. Journal of Automotive Engineers. 2016(4(99)):6–11. (In Russ.) EDN: XFWAVX
- Lidzheev DV. Formation of the Technical Concept for a Composite Leaf Spring in the Rear Suspension System of a Truck with a Gross Weight of 3500 kg. In All-Russian Student Conference «Student Scientific Spring», Dedicated to the 110th Anniversary of Academician V.N. Chelomey (Moscow, April 01-30, 2024): Collection of Abstracts* (p. [Specific Page Numbers Missing – Provide if Known]). Moscow: Scientific Library Publishing House LLC. 2024. 676 pp. (In Russ.)
- Gaylo R, Farahani S, Schmueser D. et al. Optimization of a mono-composite leaf spring using a hybrid fiber-layup approach. Int J Interact Des Manuf. 2020(14):407–421. doi: 10.1007/s12008-019-00636-w
- Talib ARA, Ali A, Goudah G, et al. Developing a composite based elliptic spring for automotive applications. Materials & Design. 2010;31(1):475–484. doi: 10.1016/j.matdes.2009.06.041
- Fahem AF, Alshamma OFA. An optimum design of a leaf spring from composite material. Al-Qadisiyah Journal for Engineering Sciences. 2009. №2(1):1–14. doi: 10.30772/qjes.2009.181683
- Kostenko A, Zuzov V. Application of optimization methods to reduce the mass of body parts of minibuses made of layered composite materials. 2020 IOP Conf. Ser.: Mater. Sci. Eng. 2020;963:012018.
- Kun LM, Zheng W, Wang SB, et al. Effect of Stacking Sequence and Misalignment Angle on the Mechanical Properties of Fiber-Reinforced Glass Plastics. Mechanics of Composite Materials. 2021;57(4):783–796. doi: 10.22364/mkm.57.4.12 (In Russ.) EDN: YTPKLW
- Muizemnek AY, Kartashova ED. Mechanics of Deformation and Fracture of Polymeric Laminated Composite Materials: Study Guide. Penza: Penza State University Publishing House. 2017. 77 pp. (In Russ.)
- Afanas’ev BA, Dashtiev IZ. (Eds. Afanas’ev BA). Design of Vehicle Components Made of Polymeric Composite Materials: Study Guide. Moscow: BMSTU Publishing House. 2006. (In Russ.)
Supplementary files















