Study of physiological reactions in healthy individuals in different microclimate: a pilot study
- Authors: Grishechkina I.А.1, Yakovlev M.Y.1,2, Fesyun A.D.1, Nikitin M.V.1, Parfenov A.A.1, Usova I.A.1
-
Affiliations:
- National Medical Research Center for Rehabilitation and Balneology
- First Moscow State Medical University named after. I.M. Sechenov
- Issue: Vol 23, No 5 (2024)
- Pages: 22-30
- Section: Articles
- Published: 26.11.2024
- URL: https://journals.eco-vector.com/2078-1962/article/view/642128
- DOI: https://doi.org/10.38025/2078-1962-2024-23-5-22-30
- ID: 642128
Cite item
Full Text
Abstract
Introduction. Studying the influence of meteorological and heliophysical factors on the human body is an urgent problem in restorative medicine.
Aim. To study the characteristics of the microclimatic zones of the territory of the village of Arkhipo-Osipovka, the Black Sea coast of the Krasnodar Territory and the physiological parameters of healthy volunteers before and after the terrainkur in order to assess the effectiveness of its individual routes.
Materials and methods. Bioclimatic zoning of the territory of the SKK “Vulan” was carried out, the village of Arkhipo-Osipovka, the Black Sea coast of the Krasnodar Territory, according to standard methods in October 2023. In October 2023, a clinical study was conducted with the participation of 12 healthy volunteers, using a cross-sectional study design. All study participants went through a standard health path route every day in different microclimatic zones, before and after which a psychophysiological study was carried out, heart rate variability (HRV) was assessed, microcirculation and composition body weight using the bioimpedance method.
Results and discussion. It was revealed that the psychophysiological state of the volunteers was characterized by overstrain of regulatory systems (the median indicator of activity of regulatory systems in all zones was 7.0); after the health path, statistically significant changes in HRV, hemodynamic parameters, microcirculation and body composition were noted (p < 0.05). However, the rate of increase or decrease in indicators was heterogeneous in different microclimates (p < 0.05). According to the results of the cluster analysis, the circulation regime was associated with indicators of HRV and microcirculation, and ambient temperature with HRV and body composition. When analyzing the body’s adaptive response to the influence of climatic factors and identified microclimatic zones, the same type of nonspecific response of the body of healthy volunteers to physical activity was recorded, but the degree of severity of this response was different.
Conclusion. The introduction of bioclimatic zoning in sanatorium-resort organizations will allow optimizing health path techniques, due to the possibility of dosing the climatic load, by determining the optimal location, time of year and microclimate for conducting sanatorium-resort treatment.
Full Text
Введение
В современной мировой экономике здоровье нации признается ключевым элементом стабильности ее экономического потенциала [1, 2]. Увеличение продолжительности жизни, увеличение производительности труда за счет сокращения периода восстановления трудоспособности работающих, сокращение периода реабилитации хронических больных и увеличение срока ремиссии, экономическое развитие регионов и экологическая безопасность определяют высокие темпы развития санаторно-курортной отрасли [3].
Туризм, рекреационная деятельность, санаторно-курортное лечение с применением оздоровительных, спортивных и климатолечебных процедур находятся в сильной зависимости от метеорологических условий [3, 4]. Участки местностей с неоднородным рельефом на территории санаторно-курортной организации могут маскировать пространственную изменчивость климата, и в конечном итоге не отражать реальные условия нахождения пациента [5]. Микроклиматические характеристики отдельных участков могут оказывать как благоприятное, так и негативное влияние на организм пациента [6, 7]. Проведение микроклиматического зонирования территорий санаторно-курортных организаций совместно с изучением физиологических реакций организма поможет оптимизировать дозирование климатической нагрузки на организм пациента и здорового человека при проведении терренкура, а также расширить наши возможности в выборе отдельных участков в различные сезоны года, подходящих для тех или иных климатотерапевтических процедур.
Цель
Изучить характеристики микроклиматических зон территории расположения села Архипо-Осиповка Черноморского побережья Краснодарского края и физиологические параметры здоровых добровольцев до и после проведения терренкура с целью оценки эффективности его отдельных маршрутов.
Материалы и методы
Дизайн исследования
На территории расположения села Архипо-Осиповка Черноморского побережья Краснодарского края в октябре 2023 г. было проведено клиническое исследование с участием 12 здоровых добровольцев (из них 2 мужчин и 10 женщин, 17 % и 83 % соответственно, в возрасте от 35 до 64 лет, средний возраст которых составил 42,5 [35; 64] лет (Ме [UQ, LQ]) по дизайну поперечного исследования.
Критерии включения:
- здоровые добровольцы, не имеющие острых и обострений хронических заболеваний на момент исследований в возрасте от 18 до 65 лет;
- здоровые добровольцы, проживающем в селе Архипо-Осиповка Геленджикского района Краснодарского края не менее 3 лет;
- подписанное информированное согласие.
Критерии невключения:
- добровольцы, перенесшие в прошлом инфаркт миокарда, инсульт, острый коронарный синдром, операции на клапанах и сосудах сердца;
- наличие прогностически неблагоприятных нарушений ритма;
- наличие пороков сердца в анамнезе с недостаточностью кровообращения выше II стадии;
- наличие электрокардиостимулятора;
- наличие гемодинамически значимого атеросклероза нижних конечностей.
Критерии исключения:
- возникновение острого и обострение хронического заболевания при выполнении процедур исследования;
- отзыв согласия на участие в клиническом исследовании.
Были выделены шесть маршрутов терренкура в каждой из описанных ниже зон. Исследование на одном маршруте терренкура проводилось в течение одного дня и включало: регистрацию метеорологических параметров на одной из точек (станций), исследование здоровых добровольцев до и после прохождения маршрута. Шесть маршрутов терренкура проходили в течение шести дней последовательно в одно и тоже время с 10 до 11 часов утра (в первый день — маршрут в первой микроклиматической зоне, второй день — маршрут во второй микроклиматической зоне и так далее).
Все участники исследования выполняли стандартизованную физическую нагрузку, проходили 1 раз в день маршрут терренкура длинной 1400 метров в каждой из 6 описанных ниже микроклиматических зон последовательно в темпе ходьбы 80–85 шагов в минуту: открытые равнинные участки, отличающиеся высокой инсоляцией — щадящий (щадяще-тренирующий) микроклиматический режим; морское побережье — щадящий микроклиматический режим; открытые участки с уклоном 10–20 градусов — тренирующий (тренирующе-щадящий) режим; затененные участки с уклоном 10–20 градусов — тренирующий режим; участки с преимущественно хвойной растительностью — щадящий микроклиматический режим; участки с преимущественно лиственной растительностью — щадящий микроклиматический режим (рис. 1).
Рис. 1. Микроклиматические зоны санаторно-курортного комплекса «Вулан» и прилегающей территории, село Архипо-Осиповка, Черноморское побережье Краснодарского края
Fig. 1. Microclimatic zones of the “Vulan” sports complex and the adjacent territory, the village of Arkhipo-Osipovka, the Black Sea coast of the Krasnodar Territory
Примечание: участки микроклиматического зонирования: 1 — участки с преимущественно хвойной растительностью, 2 — участки с преимущественно лиственной растительностью, 3 — открытые равнинные участки, отличающиеся высокой инсоляцией, 4 — морское побережье, 5 — затененные участки с уклоном, 6 — открытые участки с уклоном, «т1», «т2» — каждые 2 точки замера в 6 зонах.
Note: areas of microclimatic zoning: 1 — areas with predominantly coniferous vegetation, 2 — areas with predominantly deciduous vegetation, 3 — open flat areas, characterized by high insolation, 4 — sea coast, 5 — shaded areas with a slope, 6 — open areas with a slope, “т1”, “т2” — every 2 measurement points in 6 zones.
До и после прохождения каждого из шести маршрутов терренкура у здоровых добровольцев оценивались состояние сердечно-сосудистой системы, вариабельность сердечного ритма (ВСР) (АПК «Здоровье-Экспресс», Россия) [8], микроциркуляция с помощью лазерной допплеровской флоуметрии и флуоресцентной спектроскопии (ЛДФиФС) («ЛАЗМА — ПФ», Россия) [9] и состав массы тела с помощью биоимпедансного метода (НТЦ «Медасс», Россия) [10].
Все участники подписали информированное согласие до включения в исследование. Проведение исследования было запланировано в соответствии с Хельсинкской декларацией, протокол одобрен Локальным этическим комитетом ФГБУ «Национальный медицинский исследовательский центр реабилитации и курортологии» Минздрава России (протокол от 15.04.2021 № 4).
Микроклиматические исследования и микроклиматическое зонирование
Проводились в соответствии с общепринятой методикой [11]. Замеры выполнялись с помощью специализированного прибора класса «Метеоскоп», точность, средняя квадратическая погрешность которого не превышала по показателям: температура 0,10 °С; влажность 0,2 %; атмосферное давление 0,2 мм рт. ст., скорость ветра 0,01 мм/сек. Прибор располагался на высоте не менее 0,5 и не более 2,5 м от поверхности земли (оптимально 0,8–1,0 м).
Статистическая обработка данных
Была проведена с помощью методов описательной статистики, для оценки межгрупповых различий и внутригрупповой динамики были использованы критерий Вилкоксона и критерий Фридмана. Для оценки ассоциативности между погодными факторами и физиологическими параметрами пациентов был проведен древовидный кластерный анализ с использованием метода Варда и критерия 1-r Пирсона. Обработка всех полученных результатов исследований выполнена с помощью пакета программ Statistica for Windows, v. 8.0 (Stat Soft Inc., США). Достоверность различий считалась установленной при p < 0,05.
Результаты и обсуждение
Климат территории расположения СКК «Вулан» (село Архипо-Осиповка Черноморского побережья Краснодарского края) определяется как субтропический морской (средиземноморский) [11].
Биоклиматическое зонирование
Для изучения микроклиматических особенностей территории СКК «Вулан» и прилегающих территорий были проведены маршрутные трехдневные микроклиматические съемки в январе–октябре 2023 г. при комфортной солнечной погоде (рис. 1).
В таблице 1 приведен фрагмент данных за период исследования здоровых добровольцев1. Как видно из таблицы 1 микроклимат выделенных зон в межсезонье представлен следующими режимами: раздражающим — зона 6, тренирующим — зоны 2, 4, 5, щадящим — зоны 1 и 3.
Физиологические параметры
C целью изучения физиологического ответа организма здоровых добровольцев на воздействие погодных факторов выделенных микроклиматических зон до и после терренкура оценивались ВСР, показатели гемодинамики, микроциркуляция и состав массы тела биоимпедансным методом.
Исходное физиологическое состояние добровольцев характеризовалось перенапряжением регуляторных систем: медиана показателя активности регуляторных систем (ПАРС) составила 7,0 во всех зонах. После проведения терренкура в динамике отмечено увеличение ПАРС, рост частоты пульса (табл. 2 и 32).
Анализ частотных показателей ВСР выявил, что исходное состояние характеризовалось повышенной активностью механизмов симпатической регуляции, активация которых еще более нарастала после физической нагрузки. Исходно и в динамике отмечались превышающие норму значения индекса централизации, что отражает включение в регуляцию сердечного ритма центральных механизмов — надсегментарных отделов вегетативной нервной системы.
В динамике статистически достоверная разница была отмечена по показателю частоты сердечных сокращений в щадящей, тренирующей и раздражающей зонах — увеличение в среднем от 1,5 до 10 уд./мин; ПАРС — в тренирующей и раздражающей зонах, при этом темп прироста показателя в этих зонах составил 14,3–21,4 %.
В динамике многие спектральные показатели ВСР уменьшались. Наблюдалось статистически достоверное уменьшение суммарного уровня активности регуляторных систем (TP) и мощности низкочастотного компонента ВСР (TPLF) в щадящей и раздражающей зонах. Выявлено снижение мощности очень низкочастотного компонента ВСР (показатель TPVLF) и отношения средних значений низкочастотного и высокочастотного компонента ВСР (LF/HF) в тренирующей и раздражающей зонах. Показано снижение мощности высокочастотного компонента ВСР (TPHF) в следующих зонах: щадящей, тренирующей и раздражающей. Зафиксировано ослабление мощности спектра ультранизкочастотного компонента вариабельности (TPULF) в тренирующей и раздражающей зонах. Отмечался рост высокочастотного компонента ВСР (HF%) в процентах от суммарной мощности колебаний в зоне с тренирующим микроклиматическим режимом и повышение процента низкочастотного компонента ВСР (LF%) от суммарной мощности колебаний в раздражающей зоне, что отражает, с одной стороны, ослабление уровня активности регуляторных систем организма здоровых добровольцев как со стороны симпатического, так и парасимпатического звена вегетативной нервной системы, а с другой стороны, в тренирующей зоне — повышение относительного уровня активности парасимпатического звена вегетативной нервной системы в суммарном уровне активности регуляторных систем, а в раздражающей зоне — наоборот, активности вазомоторного центра.
При анализе динамики временных показателей ВСР отмечены разнонаправленные изменения. Показатель активности парасимпатического звена вегетативной регуляции (RMSSD) статистически достоверно снижался в раздражающей зоне. Амплитуда моды статистически достоверно повышалась в тренирующей второй зоне и снижалась в тренирующей пятой и шестой, раздражающей микроклиматических зонах. Показатель индекса централизации повышался в тренирующих зонах. Стресс-индекс повышался у здоровых добровольцев после терренкура в раздражающей зоне.
При оценке межгрупповых различий физиологических параметров 6 групп пациентов статистически значимые изменения были выявлены по показателям ВСР спектральным (TP, TPLF, TPVLF, TPHF, HF, LF/HF) и временным (ПАРС, RMSSD, амплитуда моды, стресс-индекс).
Исходное состояние показателей функционирования сердечно-сосудистой системы было в пределах нормы (табл. 3).
При оценке динамики показателей функционирования сердечно-сосудистой системы были отмечены статистически достоверные различия по показателям ритма в тренирующих и раздражающей зонах; функционального резерва — в тренирующих зонах; частоты пульса — в щадящей третьей, тренирующих и раздражающей зонах; АД систолического — в тренирующей зоне, в то время как в остальных зонах статистически достоверных различий обнаружено не было.
Анализ межгрупповых различий показал статистически значимые различия между группами по показателям ритма (%), функционального резерва (%), пульса (уд./мин).
В таблице 43 отражены результаты исследования микроциркуляции у здоровых добровольцев методом ЛДФиФС до и после терренкура в 6 микроклиматических зонах.
Исходно было зарегистрировано нормальное состояние микроциркуляции, которое изменялось в динамике после терренкура в пределах нормальных значений (табл. 4).
Динамика данных ЛДФиФС (табл. 4) статистически значимо различалась по показателям микроциркуляции М1 в тренирующей зоне, M2 — в щадящей зоне, М Ассим, М нутр.1, М нутр. — в тренирующей зоне и за счет показателей, отражающих пассивный компонент микроциркуляции: Kv1 — в щадящей и тренирующей зоне, Kv2 — в щадящей зоне, Ассим Кv и активный эндотелиальный компонент — в щадящей зоне, Аэ 2 — в щадящей и тренирующей зонах и сосудистый компонент Ас2 — также в щадящей и тренирующей зонах.
При анализе межгрупповых различий статистически достоверная разница была отмечена по показателям микроциркуляции Kv2, Ассим Kv, Аэ1, Аэ2, Ассим Аэ, Ан 2, Ассим Ан, Ам2, Ассим Ам, Ас2, Ассим Ас., что также отражает влияние активации центральных механизмов регуляции микроциркуляторного русла при воздействии комплексов погодных факторов.
Метод ЛДФиФС обладает высокой чувствительностью в оценке состояния функционирования механизмов управления кровотоком. Зарегистрированные параметры и их динамика свидетельствуют о вовлечении в процесс регуляции микроциркуляции при прохождении маршрутов терренкура активного сосудистого и эндотелиального компонента регуляции, вызванного изменением просвета сосудов и выделением вазодилататоров сосудистым эндотелием, и пассивного, связанного с дыханием и пульсовой волной артерий и вен. При этом роль активной регуляции микрокровотока регистрируется в зонах с тренирующим режимом микроклиматического воздействия, что может свидетельствовать о возрастающей нагрузке на сердечно-сосудистую систему и может быть связана как с самим процессом тренировок, так и с риском возникновения острых сосудистых реакций или декомпенсации сердечно-сосудистых заболеваний при тренировках в тренирующем микроклиматическом режиме.
В таблице 54 отражены результаты исследования состава тела здоровых добровольцев с помощью биоимпедансного метода до и после терренкура в 6 микроклиматических зонах. В динамике данные о составе тела были информативны только по показателям «Индекс массы тела» и «Фазовый угол» (табл. 5). При этом при отсутствии отличий по индексу массы тела были отмечены статистически значимые межгрупповые различия по показателю «Фазовый угол». Эти изменения были выражены в зонах с тренирующим, щадящим и раздражающим микроклиматическим воздействием, что позволяет предварительно предположить разную эффективность маршрутов терренкура, проложенных в различных микроклиматических зонах.
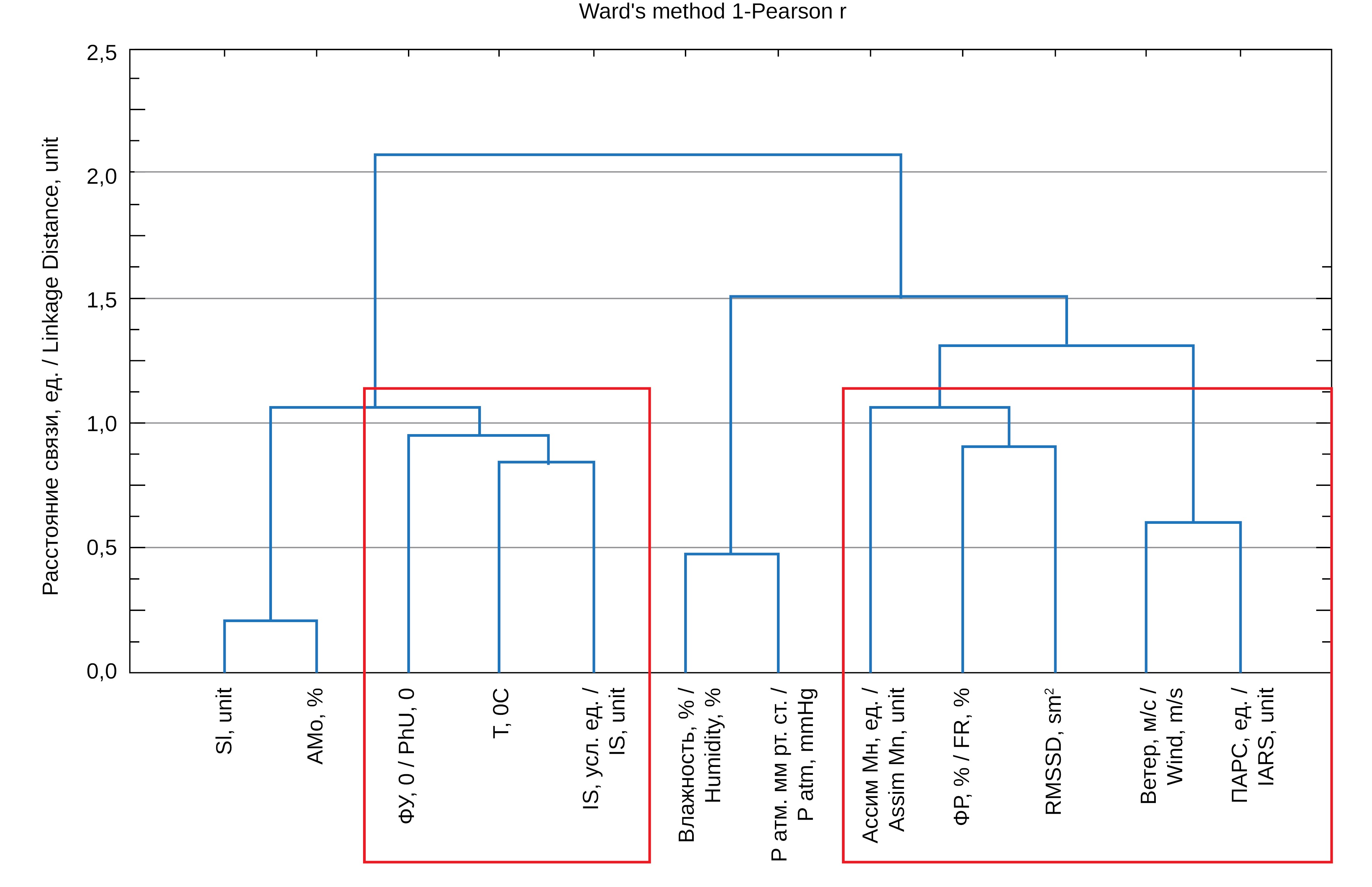
Для анализа общности исследуемых факторов нами был проведен древовидный кластерный анализ (рис. 2). Как видно из рисунка 2, объединенность (схожесть) погодных факторов и физиологических параметров была выявлена между повышением температуры окружающей среды, индексом централизации (показатель ВСР) и фазовым углом (показатель состава массы тела), что показывает связь между повышением температуры окружающей среды и изменением состава тела, а также регуляцией системы кровообращения за счет активации процессов централизации.
Рис. 2. Ассоциированность физиологических параметров здоровых добровольцев и погодных факторов
Fig. 2. Association of physiological parameters of healthy volunteers and weather factors
Примечание: SI — стресс-индекс; АМо — амплитуда моды; ФУ — фазовый угол; Т-температура; IS — индекс централизации.; Pатм. — атмосферное давление; Ассим Мн нутр — асимметрия М нутритивного; ФР — функциональный резерв; ПАРС — показатель активности регуляторных систем; RMSSD — квадратный корень суммы разностей последовательного ряда кардиоинтервалов.
Note: SI — stress-index; AMo — amplitude mode; PhU — phase angle; T-temperature; IS — centralization indexcentralization index; P atm — аtmosphere pressure; Assim Mn — Аsymmetry of nutritional M; FR — Functional Reserve; IARS — Index of Activity of Regulatory Systems; RMSSD — Root mean square of successive differences.
Существуют большие пространственные и временные вариации микроклиматических условий (температура воздуха, атмосферное давление, солнечное и тепловое излучение, скорость ветра и прочее), воздействующие на человека и оказывающие влияние на возникновение физиологических и патологических реакций организма [12]. При этом также нужно учитывать роль физиологических процессов, связанных с физической нагрузкой [12].
В нашем исследовании мы постарались изучить ВСР, микроциркуляцию и состав тела здоровых добровольцев при проведении терренкура в контексте воздействия на них различного сочетания микроклиматических условий. Нами было установлено, что на участках с тренирующим и раздражающим ландшафтно-климатическим типом, характеризующимся высокой скоростью ветра, превышающей комфортные значения, высокой инсоляцией или значительным уклоном рельефа местности, отмечались наибольшие изменения ВСР. По характеру воздействия на ВСР зоны с одинаковым ландшафтно-климатическим типом давали схожий физиологический ответ.
По результатам проведенного кластерного анализа циркуляционный режим (диапазон скорости ветра, м/сек) наиболее близко был объединен с показателями ПАРС, RMSSD, функциональным резервом и асимметрией М нутритивного, отражающих активность регуляторных систем организма и состояние микроциркуляции. Показатели температуры окружающей среды были объединены с индексом централизации (ВСР) и фазовым углом. Похожие данные были получены и другими исследователями при изучении физиологии «теплового комфорта» человека [12]. Согласно проведенным ранее исследованиям, помимо температурного фактора, на организм оказывают сильное влияние атмосферное давление и скорость ветра, которые очень тесно связаны со скоростью потоотделения, диаметром сосудов кожи и уровнем артериального давления [12].
Ограничением данной работы является пилотный характер исследования (12 здоровых добровольцев).
Результаты исследования позволяют оценить эффективность отдельных маршрутов терренкура и климатическую нагрузку на организм при проведении лечебного курса, а также выбрать наиболее подходящие дни, сезоны и микроклиматические зоны для проведения данных процедур [13].
Заключение
Проведенное исследование установило, что воздействие комплекса погодных факторов разных микроклиматических зон, характеризующихся преобладающим влиянием одного или нескольких погодных факторов, вызывает однотипный неспецифический ответ организма, однако степень выраженности этого ответа различна в разных микроклиматических зонах, что предполагает разную эффективность влияния маршрутов терренкура на показатели сердечно-сосудистой системы (ВСР, гемодинамические показатели, микроциркуляцию) и состав массы тела, а следовательно, разную климатическую нагрузку на организм здорового человека.
При проведении кластерного анализа между исследуемыми параметрами было установлено, что циркуляционный режим (диапазон скорости ветра, м/сек) наиболее близко был объединен с показателями ПАРС, RMSSD, функциональным резервом и асимметрией М нутритивного. Показатели температуры окружающей среды были объединены с индексом централизации и фазовым углом, что отражает ассоциированность описанных ранее погодных факторов с физиологическими реакциями организма.
В перспективе внедрение подобных методик обследования территорий в практику оказания санаторно-курортной помощи, реализуемой во время разработки специального медицинского заключения, позволит выделить на территории санаторно-курортной организации зоны для проведения методик терренкура. В дальнейших исследованиях немедикаментозных комплексных программ санаторно-курортного лечения, включающих терренкур, возможен подбор не только уровня интенсивности физической нагрузки, но и степени оказываемого климатического воздействия на организм при проведении процедур.
Дополнительная информация
Вклад авторов. Все авторы подтверждают свое авторство в соответствии с международными критериями ICMJE (все авторы внесли значительный вклад в концепцию, дизайн исследования и подготовку статьи, прочитали и одобрили окончательный вариант до публикации). Наибольший вклад распределен следующим образом: Гришечкина И.А. — программное обеспечение, верификация данных, анализ данных, курация данных, написание черновика рукописи, визуализация; Яковлев М.Ю. — проверка и редактирование рукописи, курирование проекта, руководство проектом; Фесюн А.Д. — научное обоснование, курирование проекта, финансирование проекта; Никитин М.В. — проведение исследования, обеспечение материалов для исследования; Парфенов А.А. — методология, написание черновика рукописи; Усова И.А. — проверка и редактирование текста статьи.
Источник финансирования. Данное исследование не было поддержано никакими внешними источниками финансирования.
Конфликт интересов. Фесюн А.Д. — главный редактор журнала «Вестник восстановительной медицины»; Усова И.А. — ответственный редактор журнала «Вестник восстановительной медицины». Остальные авторы заявляют об отсутствии конфликта интересов.
Этическое утверждение. Авторы заявляют, что все процедуры, использованные в данной статье, соответствуют этическим стандартам учреждений, проводивших исследование, и соответствуют Хельсинкской декларации в редакции 2013 г. Проведение исследования было одобрено Локальным этическим комитетом ФГБУ «Национальный медицинский исследовательский центр реабилитации и курортологии» Минздрава России (протокол № 4 от 15.04.2021).
Благодарности. Коллектив авторов выражает благодарность врачам и пациентам санаторно-курортного комплекса «Вулан» за помощь в организации исследования и участие в нем.
Доступ к данным. Данные, подтверждающие выводы этого исследования, можно получить по обоснованному запросу у корреспондирующего автора.
Декларация о наличии данных. Данные, подтверждающие выводы этого исследования, находятся в открытом доступе в репозитории Mendeley Data по адресу: https://doi.org/10.17632/vh7hx5m8th.1
Additional information
Author Contributions. All authors acknowledge authorship according to the ICMJE international criteria (all authors made significant contributions to the conception, study design and preparation of the article, read and approved the final version before publication). Special contributions: Grishechkina I.A. — software, validation, formal analysis, data curation, writing original draft, visualization; Yakovlev M.Yu. — writing review and editing, supervision, project administration; Fesyun A.D. — conceptualization, supervision, funding acquisition; Nikitin M.V. — resources, investigation; Parfenov A.A. — methodology, writing original draft; Usova I.A. — review and editing.
Funding. This study was not supported by any external funding sources.
Disclosure. Fesyun A.D. — Editor-in-Chief of the Journal “Bulletin of Rehabilitation Medicine”; Usova I.A. — Managing Editor of the Journal “Bulletin of Rehabilitation Medicine”. Other authors declare no apparent or potential conflicts of interest related to the publication of this article.
Ethics Approval. The authors declare that all procedures used in this article meet the ethical standards of the institutions that conducted the study and comply with the Declaration of Helsinki as revised in 2013.The study was approved by the Local Ethics Committee of the Federal State Budgetary Institution “National Medical Research Center for Rehabilitation and Balneology” of the Ministry of Health of the Russian Federation, Protocol No. 4 dated 15.04.2024
Acknowledgements. The authors would like to express their gratitude to the doctors and patients of the sanatorium-resort complex “Vulan” for their help in organizing the study and their participation in it.
Data Access Statement. The data that support the findings of this study are available on reasonable request from the corresponding author.
Data Availability Statement. The data that support the findings of this study are publicly available in the Mendeley Data repository at https://doi.org/10.17632/vh7hx5m8th.1
1 Grishechkina I. Adaptation of Healthy Volunteers to the Impact of Microclimatic Weather Factors: Cross-sectional Study. Mendeley Data. 2024; V1. https://doi.org/10.17632/vh7hx5m8th.1
2 Grishechkina I. Adaptation of Healthy Volunteers to the Impact of Microclimatic Weather Factors: Cross-sectional Study. Mendeley Data. 2024; V1. https://doi.org/10.17632/vh7hx5m8th.1
3 Grishechkina I. Adaptation of Healthy Volunteers to the Impact of Microclimatic Weather Factors: Cross-sectional Study. Mendeley Data. 2024; V1. https://doi.org/10.17632/vh7hx5m8th.1
4 Grishechkina I. Adaptation of Healthy Volunteers to the Impact of Microclimatic Weather Factors: Cross-sectional Study. Mendeley Data. 2024; V1. https://doi.org/10.17632/vh7hx5m8th.1
About the authors
Irina А. Grishechkina
National Medical Research Center for Rehabilitation and Balneology
Author for correspondence.
Email: grishechkinaia@nmicrk.ru
ORCID iD: 0000-0002-4384-2860
Ph.D. (Med.), Senior Researcher, Department for Studying the Mechanisms of Action of Physical Factors
Russian Federation, MoscowMaxim Yu. Yakovlev
National Medical Research Center for Rehabilitation and Balneology; First Moscow State Medical University named after. I.M. Sechenov
Email: grishechkinaia@nmicrk.ru
ORCID iD: 0000-0002-5260-8304
D.Sc. (Med.), Deputy Director for Strategic Development of Medical Activities
Russian Federation, Moscow; MoscowAnatoliy D. Fesyun
National Medical Research Center for Rehabilitation and Balneology
Email: grishechkinaia@nmicrk.ru
ORCID iD: 0000-0003-3097-8889
D.Sc. (((Mad.), Professor, Department of Healthcare Organizations and Health Resorts, Acting Director, President, National Association of Experts in Health-Resort Treatment
Russian Federation, MoscowMikhail V. Nikitin
National Medical Research Center for Rehabilitation and Balneology
Email: grishechkinaia@nmicrk.ru
ORCID iD: 0000-0001-9047-4311
D.Sc. (Med., Econ.), Director of "Vulan" sanatorium and Resort Complex — a Clinical and Research Branch
Russian Federation, MoscowAndrey A. Parfenov
National Medical Research Center for Rehabilitation and Balneology
Email: grishechkinaia@nmicrk.ru
ORCID iD: 0000-0002-5761-1780
Ph.D. (Med.), Surveyor, Head of the Department of Examination of Natural Medicinal Resources and Factors
Russian Federation, MoscowIrina A. Usova
National Medical Research Center for Rehabilitation and Balneology
Email: grishechkinaia@nmicrk.ru
ORCID iD: 0000-0003-4369-3241
Ph.D. (Hist.), Head of Scientific and Organizational Department
Russian Federation, MoscowReferences
- Самутин К.А. Здоровье нации как составной элемент экономической политики государства. Российское предпринимательство. 2012; 11 (209): 131–136. [Samutin K.A. The health of the nation as an integral element of the state’s economic policy. Russian Journal of Entrepreneurship. 2012; 11 (209): 131–136 (In Russ.).]
- Разумов А.Н. Медицина XXI века. Выбор нужной стратегии. Вопросы курортологии, физиотерапии и лечебной физической культуры. 2021; 100 (3–2): 22–30. https://doi.org/10.17116/kurort20231000323 [Razumov A.N. Medicine of the XXI century. Choosing the right strategy. Problems of balneology, physiotherapy and exercise therapy. 2021; 100 (3–2): 22–30. https://doi.org/10.17116/kurort20231000323 (In Russ.).]
- Anna B., Milica P., Oleh S., et al. Weather suitability for outdoor tourism in three European regions in first decades of the twenty-first century. Int J Biometeorol. 2021; (65): 1339–1356. https://doi.org/10.1007/s00484-020-01984-z
- Cariñanos P., Grilo F., Pinho P. et al. Estimation of the Allergenic Potential of Urban Trees and Urban Parks: Towards the Healthy Design of Urban Green Spaces of the Future. Int J Environ Res Public Health. 2019; 16(8): 1357 https://doi.org/10.3390/ijerph16081357
- Hemming D., Macneill K. Use of meteorological data in biosecurity. Emerg Top Life Sci. 2020; 4 (5): 497–511. https://doi.org/10.1042/ETLS20200078
- Laurino M., Lomonaco T., Bellagambi F.G., et al. Sport in Town: The Smart Healthy ENV Project, a Pilot Study of Physical Activity with Multiparametric Monitoring. Int J Environ Res Public Health. 2021; 18 (5): 2432. https://doi.org/10.3390/ijerph18052432
- Vanos J.K., Warland J.S., Gillespie T.J. et al. Review of the physiology of human thermal comfort while exercising in urban landscapes and implications for bioclimatic design. Int J Biometeorol. 2010; 54: 319–334. https://doi.org/10.1007/s00484-010-0301-9
- Баевский Р.М., Иванов Г.Г., Чирейкин Л.В. и др. Анализ вариабельности сердечного ритма при исследовании электрокардиографических систем (методические рекомендации). Вестник аритмологии. 2001; 24: 65–87. [Baevskij R.M., Ivanov G.G., Chirejkin L.V. et al. Analysis of heart rate variability in the study of electrocardiographic systems (methodological recommendations). Journal of Arrhythmology. 2001; 24: 65–87 (In Russ.).]
- Лазерная допплеровская флоуметрия микроциркуляции крови. Руководство для врачей. Под редакцией Сидорова В.М., Крупаткин А.И. Москва: Медицина. 2005; 256 с. [Lazernaya dopplerovskaya floumetriya mikrocirkulyacii krovi. Rukovodstvo dlya vrachej. Pod redakciej Sidorova V.M., Krupatkin A.I. Moskva: Medicina. 2005; 256 p. (In Russ.).]
- Аметов А.С. Ожирение. Современный взгляд на патогенез и терапию. Том. 2. Москва: ГЭОТАР-Медиа. 2021; 264 с. [Ametov A.S. Ozhirenie. Sovremennyj vzglyad na patogenez i terapiyu. Tom. 2. Moskva: GEOTAR-Media. 2021; 264 p. (In Russ.).]
- Общее землеведение: Учебное пособие для студентов вузов, обучающихся по специальности «География». Под редакцией Чернова А.В. Москва: Просвещение. 2004; 288 с. [Obshchee zemlevedenie: Uchebnoe posobie dlya studentov vuzov, obuchayushchihsya po special’nosti «Geografiya». Pod redakciej Chernova A.V. Moskva: Prosveshchenie. 2004; 288 p. (In Russ.).]
- Воронин Н.М. Основы биологической и медицинской климатологии. Москва: Медицина. 1981; 352 с. [Voronin N.M. Osnovy biologicheskoj i medicinskoj klimatologii. Moskva: Medicina. 1981; 352 p. (In Russ.).]
- Bao J., Guo Y., Wang Q. et al. Effects of heat on first-ever strokes and the effect modification of atmospheric pressure: A time-series study in Shenzhen, China. Sci Total Environ. 2019 1; 654: 1372–1378. https://doi.org/10.1016/j.scitotenv.2018.11.101
Supplementary files





