Использование квантово-химических параметров для прогнозирования антирадикальной (HO·) активности родственных структур, содержащих циннамоильный фрагмент. II. производные 2’,4’-дигидроксихалкона, а также флаванона и флавона, содержащие гидроксигруппу в положении 7
- Авторы: Оганесян Э.Т.1, Шатохин С.С.1
-
Учреждения:
- Пятигорский медико-фармацевтический институт – филиал федерального государственного бюджетного учреждения высшего образования «Волгоградский государственный медицинский университет» Министерства здравоохранения Российской Федерации
- Выпуск: Том 8, № 2 (2020)
- Страницы: 112-123
- Раздел: Статьи
- URL: https://journals.eco-vector.com/2307-9266/article/view/111634
- DOI: https://doi.org/10.19163/2307-9266-2020-8-2-112-123
- ID: 111634
Цитировать
Полный текст
Аннотация
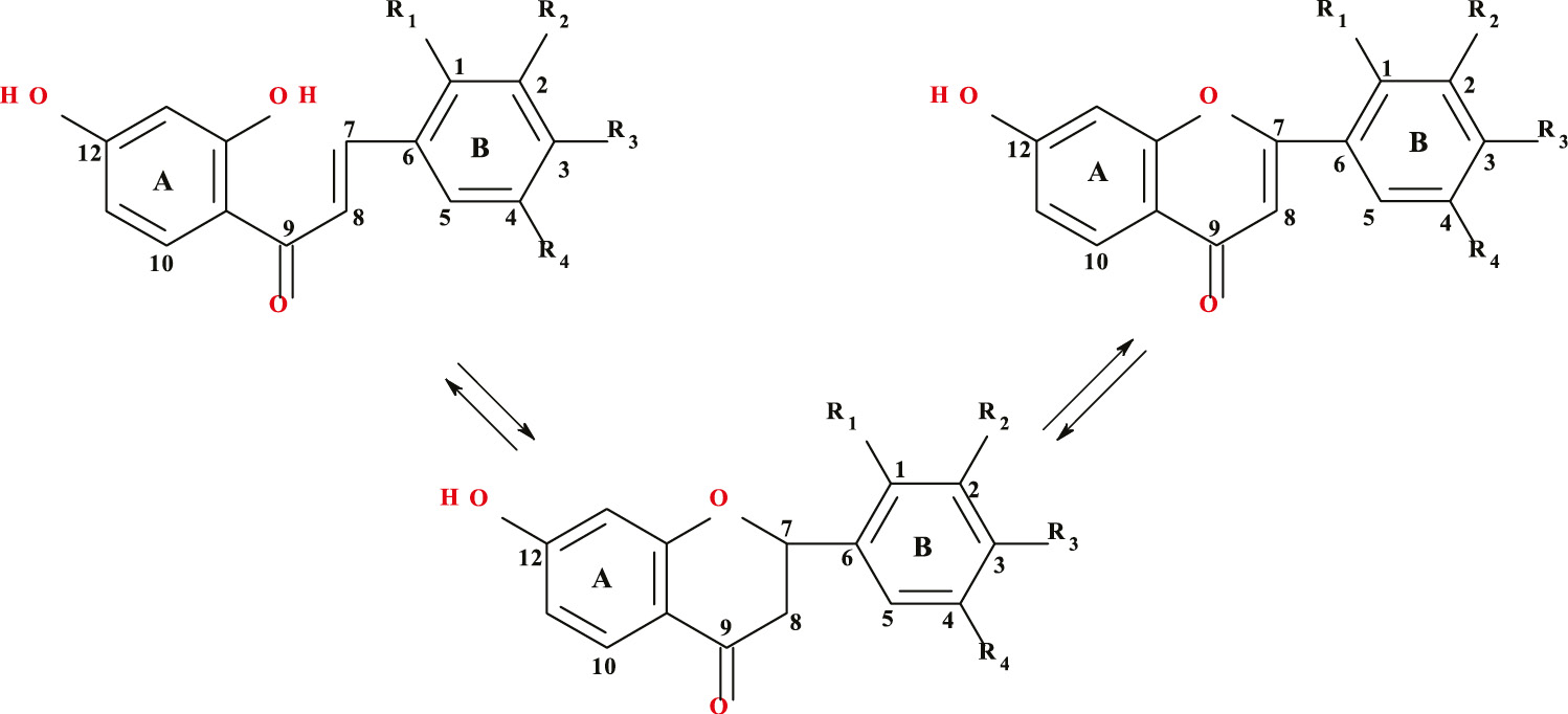
Изучено 42 производных 2’,4-дигидроксихалкона, флаванона и флавона, содержащих гидроксигруппу в положении 7 (кольцо «А»), а также заместители в кольце «В».
Цель работы: изучение квантово-химических параметров производных 2’,4’-дигидроксихалкона, флаванона и флавона, содержащих гидроксигруппу в положении 7, с целью выявления влияния заместителей в ароматическом ядре «А» на малликеновские заряды (а.е), связевые числа (Nµ), индекс ненасыщенности (IUA) и электронную плотность атомов углерода циннамоильного фрагмента.
Материалы и методы. Полуэмпирическим методом PM7 (программа WinMopac 2016) на рабочей станции с процессором IntelXeonE5-1620 3,5 ГГц, 20 Гб оперативной памяти рассчитаны перечисленные выше квантово-химические параметры анализируемых соединений.
Результаты и их обсуждение. Анализ величин квантово-химических параметров, а также их сравнение с соответствующими показателями, представленными в нашем сообщении I, позволил выявить ряд важных особенностей, связанных с влиянием гидроксигруппы в положении 7 (кольцо «А») на изучаемые параметры молекул. Установлено, что гидроксигруппа в кольце «А» не оказывает существенного влияния на малликеновский заряд и электронную плотность атомов углерода пропенонового звена С-7→С-8→С-9. На атоме С-9 (карбонильный углерод) малликеновский заряд всегда имеет положительное значение, а электронная плотность равна примерно 3,4670–3,4840 у всех трех групп соединений. Переход от 2’,4’-дигидроксихалкона к флаванону и флавону путем формирования пиронового гетероцикла сопровождается повышением отрицательного заряда на С-8, что можно объяснить вовлечением гетероатома кислорода в процесс передачи электронных эффектов. Гидроксигруппа в кольце «А» практически не влияет на заряд и электронную плотность атомов. Анализ значений связевых чисел и индексов ненасыщенности свидетельствует о том, что наименьшим значением Nµ характеризуются атомы С-1 производных 2’,4’-дигидроксихалкона и 7-гидроксифлаванона; наименьшие связевые числа характерны для атома С-8 производных 7-гидроксифлавона. Из этого следует, что первичная атака электрофильного по характеру радикала НО будет направлена на С-1 (у халконов и флаванонов) и С-8 у флавонов.
Заключение. Проведенные расчеты позволяют проанализировать влияние гидроксигруппы в кольце «А» на важнейшие квантово-химические параметры молекул, что может быть полезно при прогнозировании биологической активности флавоноидных соединений за счет их антирадикального влияния на активные формы кислорода (АФК).
Полный текст
ВВЕДЕНИЕ
Известные факты о взаимосвязи процессов свободнорадикального окисления с формированием патохимических процессов и возникающими при этом заболеваниями актуализирует проблему дальнейшего поиска новых производных флавоноидных соединений, проявляющих антирадикальные свойства [1–3]. В этой связи значительный интерес представляют структуры, содержащие три заместителя в положениях 2,3,4 ароматического ядра главной цепи сопряжения [4] (циннамоильный фрагмент): 2,3,4-тригидрокси-, 2,4-диметокси-3-гидрокси- и 2,4-дитретбутил-3-гидроксипроизводные [5]. При таком типе замещения фенольный гидроксил у С-3 находится в окружении двух орто-заместителей, благодаря экранирующему эффекту которых образующийся пространственно затрудненный феноксильный радикал характеризуется достаточной устойчивостью. Важно отметить, что свободная энергия Гиббса гомолитического разрыва связи Н-О достаточно низкая и составляет в среднем –163,61 кДж/моль. Моделирование молекулярной динамики изменения потенциальной энергии связи Н-О позволило определить энергию активации, равной 34.918 кДж/моль, а это говорит о легком протекании этой реакции при температурах ~36–37 °С (~310 К).
В продолжение наших исследований нами изучено 42 соединения – производных халкона, флаванона и флавона, содержащих заместители в кольце «В» и гидроксильную группу в положении 7 кольца «А».
ЦЕЛЬ РАБОТЫ – изучение квантово-химических параметров производных 2’,4’-дигидроксихалкона, флаванона и флавона, содержащих гидроксигруппу в положении 7, с целью выявления влияния заместителей в ароматическом ядре «А» на малликеновские заряды (а.е), связевые числа (Nµ), индекс ненасыщенности (IUA) и электронную плотность атомов углерода циннамоильного фрагмента.
МАТЕРИАЛЫ И МЕТОДЫ
Квантово-химические параметры анализируемых структур рассчитывались на рабочей станции с процессором Intel Xeon E5-1620 3,5 ГГц, 20 Гб оперативной памяти.
РЕЗУЛЬТАТЫ И ИХ ОБСУЖДЕНИЕ
В настоящей работе нами проанализированы квантово-химические параметры соединений, структуры и условные обозначения которых представлены в таблице 1.
Таблица 1 – Производные халкона, флаванона и флавона, содержащие гидроксигруппу в положении 12* кольца «А»**
Соединения, № п/п | Положение заместителей в кольце «В» | |||||
халкон | флаванон | флавон | 1 | 2 | 3 | 4 |
1х | 1анон | 1он | H | H | H | H |
2х | 2анон | 2он | OH | H | H | H |
3х | 3анон | 3он | CH3O | H | H | H |
4х | 4анон | 4он | H | OH | H | H |
5х | 5анон | 5он | H | CH3O | H | H |
6х | 6анон | 6он | H | H | OH | H |
7х | 7анон | 7он | H | H | CH3O | H |
8х | 8анон | 8он | H | OH | OH | HH |
9х | 9анон | 9он | H | CH3O | OH | H |
10х | 10анон | 10он | H | OH | CH3O | H |
11х | 11анон | 11он | H | CH3O | CH3O | H |
12х | 12анон | 12он | H | OH | OH | OH |
13х | 13анон | 13он | H | CH3O | CH3O | CH3O |
14х | 14анон | 14он | H | (CH3)3C | OH | (CH3)3C |
Малликеновские заряды (а.е.)
В нашем предыдущем сообщении [5] помимо коричной кислоты анализу были подвергнуты производные 2’-гидроксихалкона, не содержащие заместителей в кольце «А», и соответствующие им флаваноны.
У 2’-гидроксихалкона и соответствующего ему флаванона [4] на атоме С-9 положительный малликеновский заряд соответственно равен примерно +0,4657 и +0,5222, а на атоме С-8 у всех проанализированных соединений без исключения он имеет отрицательное значение, равное, примерно, –0,300. Это дало нам основание сделать вывод о том, что первичная атака радикала НО· происходит именно по положению С-8 как коричной кислоты, так и 2’-гидроксихалкона, а также соответствующего флаванона [5, 6].
Таблица 2 – Значения малликеновских зарядов (а.е.) на атоме С-8 циннамоильного фрагмента производных 2’,4’-дигидроксихалкона (I), 7-гидроксифлаванона (II), 7-гидроксифлавона (III), содержащих одинаковые заместители в кольце «В»
Структуры анализируемых соединений | |||||
№ п/п* | Положение заместителей в кольце «В» | ||||
1 | R1=R2=R3=R4=H | –0,3194 | –0,3190 | –0,4406 | –0,4248 |
2 | R1=OH, R2=R3=R4=H | –0,3647 | –0,3640 | –0,4486 | –0,4265 |
3 | R1=OCH3, R2=R3=R4=H | –0,3680 | –0,3674 | –0,4415 | –0,4342 |
4 | R2=OH, R1=R3=R4=H | –0,2996 | –0,2996 | –0,4359 | –0,4113 |
5 | R2=OCH3, R1=R3=R4=H | –0,3037 | –0,3032 | –0,4355 | –0,4141 |
6 | R3=OH, R1=R2=R4=H | –0,3373 | –0,3370 | –0.4424 | –0,4423 |
7 | R3=OCH3, R1=R2=R4=H | –0,3427 | –0,3425 | –0,4414 | –0,4466 |
8 | R2=R3=OH, R1=R4=H | –0,3243 | –0,3239 | –0,4396 | –0,4282 |
9 | R2=OCH3, R3=OH, R1=R4=H | –0,3288 | –0,3284 | –0,4370 | –0,4304 |
10 | R2=OH, R3=OCH3, R1=R4=H | –0,3276 | –0,3274 | –0,4387 | –0,4315 |
11 | R2=R3=OCH3, R1=R4=H | –0,3329 | –0,3327 | –0,4380 | –0,4341 |
12 | R2=R3=R4=OH, R1=H | –0,3016 | –0,3012 | –0,4342 | –0,4158 |
13 | R2=R3=R4=OCH3, R1=H | –0,3190 | –0,3130 | –0,4378 | -0,4495 |
14 | R2=R4=(CH3)3C, R3=OH, R4=H | –0,3467 | –0,3454 | –0,4379 | –0,4179 |
* Нумерация соединений дается в соответствии с таблицей 1
В настоящем сообщении рассматриваются производные 2’,4’-дигидроксихалкона, которые при гетероциклизации переходят соответственно в 7 (12)-гидроксифлаваноны.*
Переход 2’,4’-дигидроксихалкона в соответствующий 7-гидроксифлаванон и далее в 7-гидроксифлавон вызывает изменения в значениях малликеновских зарядов на атомах С-1 – С-8. В отсутствие заместителей в кольце «В» у всех трех типов структур на атомах С-1 – С-6 и С-8 малликеновский заряд имеет отрицательное значение. При наличии заместителя (ОН или ОСН3) в положениях С-1 и/или С-3 кольца «В» (соединения 2х – 7х; 2анон – 7анон; 2он – 7он) на атоме С-8 отрицательный малликеновский заряд существенно возрастает, достигая максимума -0,4420 (в среднем) у флаванона (соединения 2анон, 3анон, 6анон, 7анон) и -0,4374 (в среднем) у флавона (соединения 2он, 3он, 6он, 7он). У соответствующих халконов малликеновский заряд на С-8 составляет в среднем -0,3527 (соединения 2х, 3х, 6х, 7х). На атомах С-1 (соединения 2х, 3х, 2анон, 3анон, 2он, 3он) заряд положительный и равен в среднем +0,3244 (соединения 2х и 3х), +0,2700 (соединения 2анон и 3анон) и +0,3191 (соединения 2он, 3он). Аналогичная картина наблюдается и для соединений 4х, 5х, 4анон, 5анон, 8анон – 13анон, 5он – 12он и 14он. На атомах С-3 (соединения 6х – 14х, 6анон – 13анон, 8он – 12он) и практически на всех атомах С-7 (за исключением соединений 4х, 8х – 10х, 12х, 13х) заряд также имеет положительное значение.
Изменения величин малликеновских зарядов на С-8 у производных халкона (соединения 1х – 14х), флаванона (соединения 1анон – 14анон) и флавона (соединения 1он – 14он) подчиняются одной и той же закономерности: у соединений, содержащих гидрокси- и метоксигруппы в положении С-1 кольца «В» (орто-положение к главной цепи сопряжения) величина заряда равна в среднем –0,3657 (соединения 2х, 3х), –0,4450 (соединения 2анон, 3анон) и –0,4304 (соединения 2он, 3он) (табл. 2).
На атомах углерода, с которыми связаны электронодонорные ОН и ОСН3-группы, малликеновский заряд имеет положительное значение +0,3406 (соединение 2х), +0,2845 (соединение 6анон) и +0,3476 (соединение 2он).
Аналогичная картина наблюдается и в том случае, если ОН и ОСН3-группы расположены в положении С-3 кольца «В» (пара-положение к главной цепи сопряжения): у халконов 6х и 7х малликеновский заряд на С-8 соответственно равен -0,3370 и -0,3425, у флаванонов 6анон и 7анон –0,4424 и –0,4414, у флавонов 6он и 7он -0,4423 и -0,4466 соответственно. Производные халкона 8х – 11х, флаванона 8анон – 11анон и флавона 8он – 11он в положениях 2 и 3 кольца «В» одновременно содержат по два заместителя: 2,3-дигидрокси, 2-метокси-3-гидрокси, 2-гидрокси-3-метокси и 2,3-диметокси. У перечисленных соединений малликеновский заряд на С-8 изменяется незначительно: у халконов 8х – 11хон в среднем равен -0,3281, у флаванонов 8анон – 11анон он составляет в среднем –0,4385, у флавонов 8он – 11он а.е -0,4310.
Малликеновский заряд на С-8 у соединений 6х, 7х (халконы), 6анон, 7анон (флаваноны), 6он, 7он (флавоны), содержащих один заместитель (ОН или ОСН3) в положении 3 кольца «В», значительно выше, чем у соединений 8х – 11х (халконы), 8анон – 11анон (флаваноны) и 8он – 11он (флавоны), которые в положениях 2,3 содержат ОН и ОСН3 группы. Понятно, что при наличии одного заместителя у С-3 полярное сопряжение с пропеноновым фрагментом гораздо выше, чем с двумя заместителями в положениях С-2 и С-3 одновременно. Данный факт объясняется конкурирующим вкладом заместителя у С-2 с таковым у С-3, что видно при сравнении вклада констант Тафта: ОН мета +0,127; ОН пара -0,370; ОСН3 мета +0,115; ОСН3 пара –0,268 [7, 8].
Соединения 13х, 14х, 13анон, 14анон, 13он, 14он содержат по три заместителя в положениях 2, 3, 4 и, несмотря на конкурентный вклад констант Тафта, характеризуются примерно одинаковыми величинами малликеновского заряда на С-8.
Следует отметить, что на карбонильным углероде С-9 малликеновский заряд характеризуется высоким положительным значением для всех анализируемых соединений и находится в пределах от 0,5200 до 0,5335. На основании данных таблицы 2 можно постулировать следующее:
- значения малликеновских зарядов на С-8 циннамоильного фрагмента у халконов попарно (соединения Iи IV) практически одинаковые (различия по четвертому знаку после запятой), из чего следует, что ОН-группа в положении 4’ (соединение IV) практически не оказывает влияния на заряд атома С-8;
- у производных 2’,4’-дигидроксихалконов (соединения 1х, 4х, 5х, 10х, 12х, 13х) на атоме С-7 наблюдается очень незначительный отрицательный заряд (в среднем –0,0180); здесь электронодонорные заместители ОН и ОСН3 находятся в положениях С-1 или С-3 кольца «В»;
- гетероциклизация халконов до соответствующих флаванонов и флавонов способствует повышению отрицательного заряда на С-8, что связано с вовлечением гетероатома кислорода в процесс передачи электронных эффектов;
- отрицательный заряд на С-8 у флаванонов (структуры II и IV) значительно выше, чем у соответствующих флавонов (структуры III и VI): у флаванонов отсутствует виниленовая группа С-7 – С-8;
- если сравнить положительный заряд на атомах С-7 анализируемых соединений, то легко заметить, что этот заряд у флаванонов практически в 2 раза ниже, чем у флавонов;
- перечисленные особенности распределения малликеновских зарядов свидетельствуют о том, что электрофильный гидроксильный радикал в первую очередь присоединится по положению С-8.
Электронная плотность
Обсуждая химические свойства органических соединений, содержащих фрагменты с сопряженными связями, полезными оказываются не только зарядовое распределение на реакционных участках, но и электронная плотность на атомах углерода.
Анализируя полученные нами данные о величинах электронной плотности на атомах углерода циннамоильного фрагмента, можно понять, что, используя зависимость между малликеновским зарядом (qµ) данного атома, его электронной плотностью (Рµµ) и числом электронов, вносимых этим атомом в общую π-систему (ɳµ), можно определить любой из этих параметров, используя выражение [9–11]:
qµ= ɳµ – Рµµ.
Сопоставляя данные таблиц 2, 3 и 4, а также таковые, приведенные в сообщении I, нами установлено, что все атомы пропенонового звена С-7–С-8–С-9 для формирования π-системы привносят 4 электрона. Отметим, что величина электронной плотности для всех соединений равна 4 – (а.е.), в чем легко убедиться из данных таблицы 3. Например, если а.е. = – 0,26842, то эл. плотность = 4 – (–0,26842) = 4,2684; если же а.е. = + 0,34766, то эл. плотность = 4 – 0,34766 = 3,6523. У всех анализируемых групп соединений (в том числе представленных в сообщении I) наибольшая электронная плотность в системе связей кольцо «В»→С-7→С-8→С-9 сосредоточена на С-8.
Анализируя значения электронных плотностей на С-8 соединений, рассматриваемых в данной статье, и ранее приведенных в нашем сообщении I, можно заметить, что наличие гидроксигруппы в кольце «А» (положение 4’у халконов и 7 у флаванонов и флавонов) практически не влияет на величину данного параметра. Для сравнения в таблице 4 представлены значения электронных плотностей на С-8 соединений, содержащих электронодонорные заместители в положении 1-4 кольца «В».*
Из данных таблицы 3 следует, что значения электронных плотностей на С-8 у 2’-гидрокси- и 2’,4’-дигидроксихалконов практически одинаковые, что наблюдалось и с малликеновскими зарядами (табл. 2). Такая же зависимость отмечается как для производных флаванона, не содержащих гидроксигруппу в кольце «А», так и 7-гидроксифлаванонов; у этих соединений отсутствует виниленовая группа С-7→С-8. Отсутствие последней формально исключает влияние +М-эффекта со стороны электронодонорных заместителей кольца «В» по цепи углеродных атомов С-6→С-7→С-8, однако, учитывая наличие гетероатома кислорода, можно предположить его участие в передаче электронных эффектов по цепи С-6→С-7→Ö→кольцо «А». Такое допущение справедливо, поскольку электронные плотности на С-8 у флаванонов и флавонов очень близки (табл. 3).
Таблица 3 – Электронная плотность на атоме С-8 циннамоильного фрагмента производных 2’-гидроксихалкона (I), флаванона (II), флавона (III), 2’,4’-дигидроксихалкона (IV), 7-гидроксифлаванона (V), 7-гидроксифлавона (VI), содержащих одинаковые заместители в кольце «В»
Структуры анализируемых соединений | |||||||
№ п/п | |||||||
1 | R1=R2=R3=R4=H | 4,3195 | 4,4400 | 4,4320 | 4,3190 | 4,4406 | 4,4249 |
2 | R1=OH, R2=R3=R4=H | 4,3648 | 4,4468 | 4,4326 | 4,3640 | 4,4487 | 4,4266 |
3 | R1=OCH3, R2=R3=R4=H | 4,3681 | 4,4394 | 4,4412 | 4,3675 | 4,4416 | 4,4343 |
4 | R2=OH, R1=R3=R4=H | 4,2997 | 4,4374 | 4,4186 | 4,2994 | 4,4359 | 4,4113 |
5 | R2=OCH3, R1=R3=R4=H | 4,3037 | 4,4365 | 4,4214 | 4,3033 | 4,4355 | 4,4142 |
6 | R3=OH, R1=R2=R4=H | 4,3373 | 4,4413 | 4,4491 | 4,3370 | 4,4425 | 4,4423 |
7 | R3=OCH3, R1=R2=R4=H | 4,3428 | 4,4406 | 4,4532 | 4,3425 | 4,4414 | 4,4466 |
8 | R2=R3=OH, R1=R4=H | 4,3244 | 4,4373 | 4,4347 | 4,3239 | 4,4397 | 4,4282 |
9 | R2=OCH3, R3=OH, R1=R4=H | 4,3288 | 4,4357 | 4,4373 | 4,3284 | 4,4371 | 4,4304 |
10 | R2=OH, R3=OCH3, R1=R4=H | 4,3277 | 4,4383 | 4,4386 | 4,3275 | 4,4387 | 4,4316 |
11 | R2=R3=OCH3, R1=R4=H | 4,3329 | 4,4376 | 4,4412 | 4,3327 | 4,4382 | 4,4342 |
12 | R2=R3=R4=OH, R1=H | 4,3017 | 4,4337 | 4,4233 | 4,3013 | 4,4343 | 4,4158 |
13 | R2=R3=R4=OCH3, R1=H | 4,3136 | 4,4370 | 4,4355 | 4,3130 | 4,4378 | 4,4495 |
14 | R2=R4=(CH3)3C, R3=OH, R4=H | 4,3468 | 4,4401 | 4,4558 | 4,3455 | 4,4380 | 4,4179 |
Таким образом, учитывая электрофильные свойства гидроксильного радикала, а также величины малликеновских зарядов и электронных плотностей, можно с высокой долей вероятности утверждать, что присоединение радикала ·ОН, возможно в первую очередь по положению С-8, что можно представить в виде схемы:
Данная схема согласуется с выводами в работе [13, 14], полученными на основе расчетов энтальпий образования радикальных аддуктов.
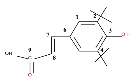
Ранее нами, в соответствии с прогнозом, было получено производное коричной кислоты, которое в арильном остатке главной цепи сопряжения (кольцо «В») содержало трет-бутильные радикалы в положениях С-2 и С-4 и гидроксигруппу у С-3 [12]. Оно проявило высокую церебропротекторную, антиоксидантную, эндотелиопротекторную и актопротекторную активности [15–18]:
Данное производное коричной кислоты по антиоксидантной активности достоверно превосходит аскорбиновую кислоту в 2,8 раза, рутин – в 5 раз, кверцетин – в 6 раз, дигидрокверцетин – в 4,6 раза [12].
Столь высокую активность можно объяснить как наличием стерически затрудненной гидроксигруппы у С-3, так и высокой электронной плотностью (–4,3252) на С-8. Энергия Гиббса гомолитического расщепления связи О-Н по нашим уточненным данным составляет 181,29 кДж/моль.
Методом молекулярной динамики нами была смоделирована реакция, согласно которой реализуется процесс, приводящий к формированию высокоактивного и пространственно затрудненного феноксильного радикала:
Становится очевидным и неоспоримым тот факт, что циннамоильный фрагмент в качестве главной цепи сопряжения привносит наибольший вклад в реакционную способность по отношению к активным формам кислорода (АФК) и, следовательно, в фармакологическую активность. Данный вывод подтверждает ранее изложенные результаты [13, 14].
Перечисленные выше выводы явились обоснованием для прогнозирования производных халкона, флаванона и флавона, содержащих в арильном остатке «В» двух трет-бутильных радикалов в положениях 2,4 и гидроксигруппы при С-3 (табл. 1). Эти соединения являются пока виртуальными и со временем будут синтезированы, однако мы сочли необходимым проанализировать их квантово-химические характеристики, которые приведены в таблицах 2–4.
В предыдущем сообщении мы указывали, что от величины индекса ненасыщенности (IUA) атома углерода, с которым связана гидрокcигруппа зависит энергия Гиббса гомолитического разрыва связи Н-О: чем больше значение IUA, тем ниже энергия разрыва связи.
Учитывая близость квантово-химических характеристик прогнозированных структур -14халкон, 14флаванон и 14флавон (табл. 1) с таковыми ранее полученного производного коричной кислоты, можно говорить об их высокой фармакологической активности, доказательством чему могут служить энергии Гиббса расщепления связи Н-О (табл. 4).
Таблица 4 – Свободная энергия Гиббса гомолитического разрыва связи О-Н
Структура | Индекс ненасыщенности IUA(С-3) | Энергия гомолитического разрыва связи О-Н |
0,167 | –0181,29 | |
0,166 | –178,31 | |
0,160 | –163,08 | |
0,253 | 250 |
Следует отметить, что производные флавона относятся к системам с замкнутой цепью сопряжения. Хотя флаваноны тоже являются замкнутой системой, но в них отсутствует сопряжение Ar-C=C-C=O и по этой причине они способны при незначительном отклонении PH˃7 трансформироваться в соответствующие халконы:
Для халконов, как соединений с открытой цепью сопряжения, благодаря кросс-конъюгированной системе возможны различные геометрические изомеры, из которых наиболее устойчивы производные с trans-конфигурацией виниленового фрагмента [19, 20]:
Такие структурные особенности халконов в отличие от флавонов свидетельствуют о дополнительных центрах комплементарности к биологическому субстрату, чем можно объяснить наличие более широкого спектра фармакологической активности, а также отсутствие прооксидантных свойств [21].
Связевые числа (Nµ) и индексы ненасыщенности (IUA)
В методе молекулярных орбиталей Хюккеля (МОХ) для характеристики молекул используются значения порядков связи [9], которые характеризуют относительную прочность ковалентной связи, ее длину и реакционную способность. Сумма порядков всех связей, принадлежащих данному атому, определяет связевое число (Nµ), которое характеризует степень насыщенности конкретного атома. Чем больше значение Nµ, тем выше степень насыщенности, и, наоборот, чем меньше величина Nµ, тем больше способность данного атома к образованию новых связей. Данное свойство находится в тесной связи с индексом ненасыщенности (IUA) и теоретической валентностью (Vµ), между которыми существует зависимость:
IUA = Vµ – Nµ
Ниже в таблице 5 в качестве примера представлены матрицы квантово-химических параметров, полученных при анализе рассматриваемых в данном сообщении соединений.
Таблица 5 – Квантово-химические параметры соединений 2-х, 2ф-анон и 2-он
Вещество 2х | |||||||||
Атом (СV) | 1 | 2 | 3 | 4 | 5 | 6 | 7 | 8 | 9 |
Заряды, а.е. | 0,34062 | –0,26842 | –0,04754 | –0,23754 | –0,04850 | –0,23270 | 0,00332 | –0,36401 | 0,54435 |
Связевые числа (Nµ) | 3.747 | 3.787 | 3.831 | 3.841 | 3.808 | 3.768 | 3.841 | 3.764 | 3.737 |
Теорет. валентность (Vµ) | 3.900 | 3.957 | 3.966 | 3.967 | 3.965 | 3.961 | 3.930 | 3.947 | 3.811 |
Индекс ненасыщенности (IUA) | 0,153 | 0,170 | 0,135 | 0,126 | 0,157 | 0,193 | 0,089 | 0,183 | 0,074 |
Электронная плотность | 36594 | 42684 | 40475 | 42375 | 40485 | 42327 | 39667 | 43640 | 34556 |
Вещество 2ф-анон | |||||||||
Атом (СV) | 1 | 2 | 3 | 4 | 5 | 6 | 7 | 8 | 9 |
Заряды, а.е. | 0,28456 | –0,23074 | –0,91736 | 0,19793 | –0,08918 | –0,18985 | 0,15385 | –0,44670 | 0,52210 |
Связевые числа (Nµ) | 3.777 | 3.803 | 3.842 | 3.844 | 3.823 | 3.788 | 3.829 | 3.811 | 3.761 |
Теорет. валентность (Vµ) | 3.922 | 3.966 | 3.973 | 3.973 | 3.968 | 3.979 | 3.895 | 3.928 | 3.820 |
Индекс ненасыщенности (IUA) | 0,145 | 0,163 | 0,131 | 0,129 | 0,145 | 0,191 | 0,066 | 0,117 | 0,059 |
Электронная плотность | 3.7154 | 4.2307 | 4.0917 | 4.1979 | 4.0892 | 4.1899 | 3.8461 | 4.4487 | 3.4779 |
Вещество 2ф-он | |||||||||
Атом (СV) | 1 | 2 | 3 | 4 | 5 | 6 | 7 | 8 | 9 |
Заряды, а.е. | 0,34766 | –0,26636 | –0,04467 | –0,23832 | –0,03339 | –0,25089 | 0,31826 | –0,42655 | 0,51493 |
Связевые числа (Nµ) | 3.759 | 3.784 | 3.833 | 3.838 | 3.808 | 3.727 | 3.792 | 3.709 | 3.792 |
Теорет. валентность (Vµ) | 3.904 | 3.956 | 3.966 | 3.967 | 3.962 | 3.947 | 3.901 | 3.922 | 3.851 |
Индекс ненасыщенности (IUA) | 0,145 | 0,172 | 0,133 | 0,129 | 0,154 | 0,220 | 0,109 | 0,213 | 0,059 |
Электронная плотность | 3.6523 | 4.2664 | 4.0447 | 4.2383 | 4.0334 | 4.2509 | 3.6817 | 4.4266 | 3.4851 |
Сопоставляя между собой значения Nµ на участке С-1→С-6→С-7→С-8 циннамоильного фрагмента анализируемых соединений (табл. 6), можно сделать ряд выводов:
- у производных 2’,4’-дигидроксихалкона наблюдается увеличение значения Nµ от С-1 к С-7, которое затем несколько уменьшается у С-8;
- аналогичная картина наблюдается у производных 7-гидроксифлаванонов;
- у 7-гидроксифлавона значения Nµ у атомов С-1 и С-6 практически одинаковые и составляют в среднем 3,769, но у С-7 наблюдается увеличение данного параметра, который в среднем достигает значения 3,803;
- на С-8 производных 7-гидроксифлавона очень резко уменьшается величина Nµ и составляет в среднем 3,696, что свидетельствует о повышении ненасыщенности данного атома;
- на основании полученных данных можно сделать достоверный вывод о том, что активные формы кислорода (АФК) в первую очередь будут связываться флавоноидами по положению С-8 пропенонового фрагмента.
Таблица 6 – Значения связевых чисел на атомах углерода С-1→С-6→С-7→С-8*
Соединение, № п/п | 2’,4’-дигидроксихалкон | 7-ОН флаванон | 7-ОН флавон | |||||||||
Nµ (С-1) | Nµ (С-6) | Nµ (С-7) | Nµ (С-8) | Nµ (С-1) | Nµ (С-6) | Nµ (С-7) | Nµ (С-8) | Nµ (С-1) | Nµ (С-6) | Nµ (С-7) | Nµ (С-8) | |
1 | 3,813 | 3,859 | 3,858 | 3,815 | 3,829 | 3,830 | 3,838 | 3,818 | 3,810 | 3,830 | 3,802 | 3,697 |
2 | 3,747 | 3,768 | 3,841 | 3,764 | 3,777 | 3,788 | 3,829 | 3,811 | 3,759 | 3,759 | 3,792 | 3,709 |
3 | 3,740 | 3,765 | 3.839 | 3,787 | 3,780 | 3,789 | 3,843 | 3,810 | 3,770 | 3,742 | 3,804 | 3,708 |
4 | 3,750 | 3,763 | 3,862 | 3,820 | 3,763 | 3,837 | 3,838 | 3,815 | 3,747 | 3,747 | 3,807 | 3,701 |
5 | 3,743 | 3,757 | 3,860 | 3,819 | 3,757 | 3,838 | 3,838 | 3,816 | 3,740 | 3,740 | 3,805 | 3,701 |
6 | 3,812 | 3,826 | 3,852 | 3,807 | 3,829 | 3,821 | 3,838 | 3,819 | 3,805 | 3,805 | 3,797 | 3,689 |
7 | 3,130 | 3,819 | 3,849 | 3,803 | 3,826 | 3,819 | 3,837 | 3,819 | 3,809 | 3,809 | 3,794 | 3,687 |
8 | 3,805 | 3,833 | 3,857 | 3,881 | 3,766 | 3,833 | 3,838 | 3,818 | 3,749 | 3,749 | 3,804 | 3,695 |
9 | 3,808 | 3,833 | 3,854 | 3,809 | 3,759 | 3,833 | 3,838 | 3,819 | 3,741 | 3,721 | 3,801 | 3,694 |
10 | 3,803 | 3,832 | 3,854 | 3,809 | 3,767 | 3,832 | 3,837 | 3,818 | 3,751 | 3,819 | 3,837 | 3,693 |
11 | 3,805 | 3,825 | 3,851 | 3,807 | 3,782 | 3,825 | 3,836 | 3,820 | 3,743 | 3,819 | 3,798 | 3,692 |
12 | 3,740 | 3,833 | 3,861 | 3,818 | 3,752 | 3,832 | 3,838 | 3,816 | 3,739 | 3,826 | 3,806 | 3,699 |
13 | 3,733 | 3,837 | 3,855 | 3,815 | 3,727 | 3,837 | 3,836 | 3,821 | 3,787 | 3,798 | 3,788 | 3,686 |
14 | 3,792 | 3,818 | 3,848 | 3,804 | 3,809 | 3,818 | 3,842 | 3,818 | 3,725 | 3,699 | 3,802 | 3,699 |
ЗАКЛЮЧЕНИЕ
В настоящем сообщении рассмотрены представители обширной группы природных соединений – флавоноидов: халконы, флаваноны и флавоны, содержащие электронодонорные заместители в кольце «B», т.е. в ароматическом ядре циннамоильного фрагмента. Все анализируемые структуры содержат гидроксигруппу в положении 4’-халконов и в положении 7-флаванонов и флавонов.*̽
Анализ и сопоставление таких параметров, как связевое число (Nµ), индекс ненасыщенности (IUA), электронная плотность свидетельствует об их незначительном различии между собой, однако общим для них является высокая электронная плотность на С-8. Характерно, что в циннамоильном фрагменте С-1→С-6→С-7→С-8→С-9 всех трех типов структур атомы С-7 характеризуются наибольшим значением Nµ и положительным малликеновским зарядом, а С-8 – наименьшим связевым числом и наибольшей электронной плотностью. Это свидетельствует о том, что первичная атака электрофильного радикала НО• наиболее вероятна по положению С-8.
ФИНАНСОВАЯ ПОДДЕРЖКА
Данное исследование не является спонсированным сторонними организациями.
АВТОРСКИЙ ВКЛАД
Все авторы в равной степени внесли вклад в исследовательскую работу.
КОНФЛИКТ ИНТЕРЕСОВ
Авторы заявляют об отсутствии конфликта интересов.
* Нумерация углеродных атомов приведена в соответствии с таковой, генерируемой расчетными программами
** Схема представлена в соответствии с [6]
* По общепринятой для флавоноидов номенклатуре рассматриваемые структуры должны обозначаться как 7-гидроксифлаваноны и 7-гидроксифлавоны. В скобках цифра 12 означает положение, которое генерирует расчетная программа.
* С целью сравнения в таблицу 3 включены значения электронных плотностей для 2’-ОН-халкона и незамещенного по кольцу «А» флаванона.
Об авторах
Эдуард Тоникович Оганесян
Пятигорский медико-фармацевтический институт – филиал федерального государственного бюджетного учреждения высшего образования «Волгоградский государственный медицинский университет» Министерства здравоохранения Российской Федерации
Автор, ответственный за переписку.
Email: edwardov@mail.ru
ORCID iD: 0000-0002-2756-9382
доктор фармацевтических наук, профессор, зав. кафедрой органической химии
Россия, 357532, Ставропольский край, Пятигорск, пр. Калинина, 11Станислав Сергеевич Шатохин
Пятигорский медико-фармацевтический институт – филиал федерального государственного бюджетного учреждения высшего образования «Волгоградский государственный медицинский университет» Министерства здравоохранения Российской Федерации
Email: Shatohin.stanislav95@yandex.ru
ORCID iD: 0000-0001-7891-8338
аспирант кафедры органической химии
Россия, 357532, Ставропольский край, Пятигорск, пр. Калинина, 11Список литературы
- Myhre O. Metal dyshomeostasis and inflammation in Alzheimer’s and Parkinson’s diseases: possible impact of environmental exposures / H. Utkilen, N. Duale, G. Brunborg, T. Hofer // Oxidative Medicine and Cellular Longevity. -2013. – V. 2013. – P. 1−19. doi: 10.1155/2013/726954.
- Snodderly D. M. Evidence for protection against age-relatedmacular degeneration by carotenoids and antioxidant vitamins / D.M. Snodderly // The American Journal of Clinical Nutrition. – 1995. – V. 62, №6. – P. 1448−1461. doi: 10.1093/ajcn/62.6.1448s.
- Thome J. Evidence forincreased oxidative stress in alcohol-dependent patients provided byquantification of in vivo salicylate hydroxylation products / J. Thome, J.J. Zhang, E. Davids, P. Foley, H.G. Weijers, G.A. Wiesbeck, J. Boning, P. Riederer, M. Gerlach // Alcoholism, clinical and experimental research. – 1997. – V. 21. – P. 82−85. doi: 10.1111/J.1530-0277.1997.TB03732X.
- Агаджанян В.С. Применение квантово-химических методов анализа для интерпретации антирадикальной активности в ряду гидроксипроизводных коричной кислоты / В.С. Агаджанян, Э.Т. Оганесян // Химико-фармацевтический журнал. – 2008. – Т. 42. – № 11. – C. 12–17. doi: 10.30906/0023-1134-2008-42-11-12-17.
- Оганесян Э.Т. Использование квантово-химических параметров для прогнозирования антирадикальной (но∙) активности родственных структур, содержащих циннамоильный фрагмент. I. Производные коричной кислоты, халкона и флаванона / Э.Т. Оганесян, С.С. Шатохин, А.А. Глушко // Фармация и фармакология. – 2019 – Т. 7. – № 1. – С. 53–66. doi: 10.19163/2307-9266-2019-7-1-53-66.
- Литвиненко В.И. Природные флавоноиды. В книге «Технология и стандартизация лекарств». Ростов, ООО «Рирег». – 1996. – 784 с.
- Справочник химика в 6 томах. М.: Химия. – 1964. – Т. 3. – 1005 с.
- Neuvonen K. Taft equation in the light of NBO computations. Introduction of a novel polar computational substituent constant scale σ*q for alkyl groups / K. Neuvonen, H. Neuvonen, A. Koch, E. Kleinpeter // Computational and Theoretical Chemistry. – 2012. – V. 981. – P. 52–58. doi: 10.1016/j.comptc.2011.11.044.
- Минкин В. И., Симкин Б. Я., Миняев Р. М. Теория строения молекул. Ростов-на-Дону. – 1997. – 560 с.
- Краснов К.С. Молекулы и химическая связь. М. «Высшая школа». – 1977. – 280 с.
- Жданов Ю.А. Теория строения органических соединений. М. «Высшая школа». – 1971. – 288 с.
- Агаджанян В.С. Целенаправленный поиск соединения-лидера в ряду производных коричной кислоты, обладающих антирадикальной активностью / В.С. Агаджанян, Э.Т. Оганесян, В.Т. Абаев // Химико-фармацевтический журнал. – 2010. – Т. 44. – № 7. – C. 21–26. doi: 10.30906/0023-1134-2010-44-7-21-26.
- Оганесян Э.Т. Использование квантово-химических методов для обоснования антирадикального (ОН˙) действия полигидроксихалконов / Э.Т. Оганесян, Е.Г. Доркина, М.Р. Хочава, В.А. Тускаев, Ю.А. Мальцев // Химико-фармацевтический журнал. – 2002. – Т. 36. – № 12. – С. 21–25.
- Оганесян Э.Т. Исследование механизма реакции производных флавона с гидроксильным радикалом полуэмпирическими методами / Э.Т. Оганесян, Ю.А. Мальцев, Д.Е. Творовский // Журнал общей химии. – 2001. – Т. 71. – № 6. – С. 999–1005.
- Воронков А.В. Некоторые аспекты церебропротекторной активности 4-гидрокси-3,5-ди-третбутил коричной кислоты при ишемическом повреждении головного мозга в эксперименте / А.В. Воронков, В.Т. Абаев, Э.Т. Оганесян, Д.И. Поздняков // Медицинский вестник Северного Кавказа. – 2018. – Т. 13. № 1.1. – С. 90–93. doi: 10.14300/mnnc.2018.13025.
- Воронков А.В. Оценка антиоксидантной активности 4-гидрокси-3,5-дитретбутил коричной кислоты, мексидола и тиоктовой кислоты на модели фокальной ишемии головного мозга / А.В. Воронков, Д.И. Поздняков, Е.И. Хури, Ю.А. Кульбекова, А.А. Кобин // Вопросы биологической, медицинской и фармацевтической химии. – 2017. – Т. 20. – № 2. – С. 48–52.
- Воронков А.В. Изучение дозозависимого эндотелиотропного влияния соединения ATACL в условиях ишемического повреждения головного мозга у крыс в эксперименте / А.В. Воронков, Э.Т. Оганесян, Д.И. Поздняков, В.Т. Абаев // Вестник ВолгГМУ. – 2017. – №1(61). – С. 54–58.
- Воронков А.В. Аспекты актопротекторной активности некоторых природных соединений различной химической структуры / А.В. Воронков, Э.Т. Оганесян, А.Д. Геращенко // Спортивная медицина: наука и практика. – 2017. – Т. 7. – № 1. – С. 92–96. doi: 10.17238/ISSN2223-2524.2017.1.92.
- Иллиел Э. Основы стереохимии. – М: Бином; Лаборатория знаний. – 2014. – 120 с.
- Цукерман С.В. Дипольные моменты с ИК-спектрами 4 и 4 ʼ-монозамещенных халконов / С.В. Цукерман, Ю.Н. Суров, В.Г. Лаврушин // ЖОХ. – 1968. – Т. 38. – № 38. – С. 524–529.
- Тараховский Ю.С. Флавоноиды: биохимия, биофизика, медицина. Ю.С. Тараховский, Ю.А. Ким, Б.С. Абдрасилов, Е.Н. Музафаров. Synchrobook, Пущино. – 2013. – 310 с.
Дополнительные файлы

























