Антибактериальные и иммунотропные свойства изоликвиритигенина при генерализованной стафилококковой инфекции у мышей
- Авторы: Солёнова Е.А.1, Павлова С.И.1
-
Учреждения:
- Федеральное государственное бюджетное образовательное учреждение высшего образования «Чувашский государственный университет им. И.Н. Ульянова»
- Выпуск: Том 8, № 3 (2020)
- Страницы: 181-194
- Раздел: Статьи
- URL: https://journals.eco-vector.com/2307-9266/article/view/111641
- DOI: https://doi.org/10.19163/2307-9266-2020-8-3-181-194
- ID: 111641
Цитировать
Аннотация
Статья посвящена изучению эффектов изоликвиритигенина при генерализованной бактериальной инфекции.
Цель: изучение антибактериальных и иммунотропных механизмов и эффектов изоликвиритигенина при генерализованной стафилококковой инфекции в мышиной модели.
Материалы и методы. Для оценки выживаемости мышей линии Balb/C использовали модель генерализованной инфекции, вызванной Staphylococcus aureus J49 ATCC 25923 с построением кривых Каплан-Мейера. Степень бактериемии при развитии инфекции определяли методом секторных посевов. Минимальную подавляющую концентрацию изоликвиритигенина в отношении Staphylococcus aureus J49 ATCC 25923 определяли методом серийных разведений. Для исследования антибиопленочной активности использовали МТТ-тест и атомно-силовую микроскопию. Иммунотропные эффекты изучали, оценивая пептон-индуцированную миграцию фагоцитов в брюшную полость, пролиферацию митоген-активированных лимфоцитов в МТТ-тесте и секрецию ими цитокинов с помощью набора MILLIPLEX MAP на мультиплексном анализаторе Magpix.
Результаты. Установлено, что предварительное внутрибрюшинное введение изоликвиритигенина (30 мг/кг) увеличивает выживаемость мышей Balb/C при генерализованной стафилококковой инфекции. Изоликвиритигенин обладает антибактериальной (MПК = 64 мкг/мл) и антибиопленочной (4–32 мкг/мл) активностью в отношении S. aureus J49 ATCC 25923, не ингибирует миграцию фагоцитов брюшную полость, дозозависимо подавляет пролиферацию и секрецию цитокинов митоген-активированными Т-лимфоцитами и модулирует выработку цитокинов (IL-2, IL-12p70, IFNg, TNFα, IL-6, IL-22, IL-23, IL-17A, IL-17F, IL-17E/IL- 25, GM-CSF, MIP-3a/CCL20, IL-10) клетками паховых лимфатических узлов и спленоцитов на ранних стадиях генерализованной стафилококковой инфекции.
Заключение. Предварительное введение изоликвиритигенина повышает выживаемость мышей при генерализованной стафилококковой инфекции, что может быть связано как с антимикробными (антистафилококковым, антибиопленочным действием), так и иммунотропными механизмами. Полученные данные о фармакодинамике изоликвиритигенина заслуживают внимания с точки зрения перспективы создания новых лекарственных препаратов, снижающих летальность при стафилококковом сепсисе.
Ключевые слова
Полный текст
Сокращения: БМХ – бульон Мюллера-Хинтона; ДМСО – диметилсульфоксид; ИЛГ – изоликвиритигенин; ИС – индекс стимуляции; КОЕ – колониеобразующие единицы; КонА – конканавалин А; МПК – минимальная подавляющая концентрация; ФСБ – фосфатно-солевой буфер; GM-CSF – гранулоцитарно-макрофагальный колониестимулирующий фактор; IFNg – интерферон-гамма; IL – интерлейкин; MIP-3a/CCL20 – макрофагальный белок воспаления-3а/хемокиновый лиганд (СС) 20; MTT – 3-(4,5-диметилтиазол-2-ил)-2,5-дифенил-тетразолиум бромид; OD – оптическая плотность; S. aureus – Staphylococcus aureus; SD – стандартное отклонение; Th – T-хелперы; TNFα – фактор невроза опухоли альфа.
ВВЕДЕНИЕ
Staphylococcus aureus (S. aureus) относится к патогенам, вызывающим тяжелые генерализованные инфекции у человека. Среди инфекций, вызванных грамположительными бактериями, S. aureus-инфекция характеризуется высокой смертностью вследствие развития сепсиса и септического шока [1]. Как известно, септический процесс может сопровождаться «цитокиновым штормом», приводящим к полиорганной недостаточности. При этом не всегда раннее назначение антибактериальных препаратов эффективно из-за развития неконтролируемого системного воспаления, а также устойчивости S. aureus к антибиотикам [2]. В настоящее время для снижения смертности при септическом шоке рекомендуются низкие дозы кортикостероидов [3], которые обладают в данной ситуации нежелательными иммуносупрессивными эффектами. Таким образом, многие аспекты лечения сепсиса остаются противоречивыми и требуют углубленного фундаментального изучения.
Известно, что в случае массивной генерализации инфекции реакция иммунной системы приобретает черты системного воспаления с полиорганной недостаточностью, главным патогенетическим фактором которого является продукция провоспалительных цитокинов, запускающих генерацию свободных радикалов [4]. S. aureus способен вырабатывать токсин синдрома токсического шока [5], выполняющего роль суперантигена, способного в низких концентрациях индуцировать цитокиновый выброс, запуская развитие «цитокинового шторма».
Исследования последних лет демонстрируют, что флавоноиды корней солодки увеличивают секрецию IL-17 активированными T-клетками in vitro [6], а также приводят к переключению иммунного ответа с дифференцировкой клеток, продуцирующих IL-17 в модели контактной чувствительности [7]. Более того, в модели генерализованной стафилококковой инфекции предварительное введение суммы флавоноидов солодки увеличивало выживаемость лабораторных животных [8].
Изоликвиритигенин (ИЛГ) – один из основных флавоноидов корней солодки, обладающий различными видами фармакологической активности: противоопухолевой [9], антимикробной [6], а также противовоспалительной и иммуномодулирующей [9–11], что обуславливает актуальность исследования его в качестве агента при генерализованном инфекционно-воспалительном процессе. В настоящем исследовании нами предпринята попытка экспериментального обоснования применения халкона изоликвиритигенина (ИЛГ) при генерализованной инфекции мышей, вызванной S. aureus.
ЦЕЛЬ работы – изучение антибактериальных и иммунных механизмов ИЛГ при сепсисе мышей, вызванном внутрибрюшинным введением штамма S. aureus J49 ATCC25923.
МАТЕРИАЛЫ И МЕТОДЫ
Бактериальный штамм и условия его культивирования
Штамм S. aureus J49 ATCC25923, полученный из ФГБУ «Научный центр экспертизы средств медицинского применения» Минздрава России (г. Москва, Россия), растили в бульоне Мюллера-Хинтон (БМХ, Medica plus LLS, Россия) при 37 °C в стеклянных флаконах с аэрацией. Для экспериментальных целей использовали бактериальную культуру в средней log-фазе, которую культивировали в 96-луночных плоскодонных планшетах (Corning Costar, США). Расчет колониеобразующих единиц (КОЕ) осуществляли путем измерения оптической плотности (OD) бактериальной суспензии при 630 нм с использованием микропланшетного фотометра (ImmunoChem 2100, США), исходя из соотношения: 1 оптическая единица OD630 = 8,5×108 КОЕ/мл.
Выделение мононуклеаров мышей и условия их культивирования
Выделение мононуклеаров из паховых лимфатических узлов или селезенки мышей осуществляли путем щадящей гомогенизации в RPMI-1640 (Thermo Fisher Scientific, США) с осмотическим лизисом эритроцитов в растворе 0,15 М хлорида аммония. Выделенные лимфоидные клетки культивировали при 37 °С, 100% влажности и 5% СО2 в RPMI-1640 с добавлением 10% инактивированной фетальной телячьей сыворотки (Thermo Fisher Scientific, США), пенициллина (100 ЕД/мл), стрептомицина (100 мкг/мл) («полная среда») в 96-луночных круглодонных планшетах для культур клеток (Corning Costar, США). Для активации Т-клеток использовали конканавалин А (КонА, PanEco LLC, Россия) в конечной концентрации 15 мкг/мл.
Тестируемый агент
ИЛГ (чистота 98%, Xi’An Yiyang Bio-Tech Co., Китай) растворяли в диметилсульфоксиде (ДМСО, Panreac, Испания). В опытах in vitro ИЛГ тестировали в диапазоне концентраций так, чтобы конечная концентрация ДМСО в опытных образцах не превышала 1%. В контрольные образцы вместо ИЛГ добавляли соответствующие объемы ДМСО. В экспериментах на животных ИЛГ вводили внутрибрюшино трехкратно с интервалом 4 ч в разовой дозе 10 мг/кг в 0,5 мл фосфатно-солевого буфера при pH=7,4 (ФСБ, PanEco LLC, Россия).
Экспериментальные животные
Мыши Balb/С (самцы, 20–22 г, 6–8 недель) были получены от научно-производственного предприятия «Питомник лабораторных животных» Института биологии РАН (г. Пущино, Россия). Уход за животными и обращение с ними осуществляли в соответствии с принципами ARRIVE [12]. Животные содержались при свободном доступе к воде и пище. Для экспериментов мыши случайным образом распределялись на группы по 8 животных. Выведение из эксперимента осуществляли путем декапитации или цервикальной дислокации. При выполнении экспериментов были соблюдены положения Хельсинкской декларации (Бразилия, 2013 г.), протокол данных экспериментов был одобрен этическим комитетом ФГБОУ ВО «Чувашский государственный университет им. И.Н. Ульянова» (протокол № 20-04 от 17.04.2020 г.).
Определение антимикробной активности
Антимикробную активность определяли методом разведений в бульоне Мюллера-Хинтона в 96-луночных плоскодонных планшетах [13]. Последовательные двукратные разведения ИЛГ (диапазон конечных концентраций 0,1–128 мкг/мл) добавляли в бактериальную суспензию S. aureus (5×105 КОЕ/мл) и инкубировали при 37 °С в течение 24 ч. Минимальной подавляющей концентрацией (MПК) ИЛГ считали самую низкую концентрацию без видимого бактериального роста по истечению времени инкубации.
Оценка динамики бактериального роста
Для оценки бактериального роста использовали метод, описанный Wang [14], с небольшими изменениями. ИЛГ добавляли к бактериальной суспензии (5×105 КОЕ/мл) так, чтобы конечные концентрации ИЛГ в образцах составляли 1/8 MПК, 1/4 MПК, 1/2 MПК, MПК. Для оценки бактериального роста в образцах OD измеряли через 4, 8, 12, 24 ч при 630 нм с использованием микропланшетного фотометра.
МТТ-тест формирования бактериальных биопленок
Для изучения формирования бактериальных биопленок использовали методику, описанную Grela [15]. Бактерии (5×105 КОЕ/мл) засевали в 96-луночные плоскодонные планшеты для культур клеток и культивировали в течение 24 ч. За 2 ч до окончания культивирования бактериальную суспензию удаляли, лунки трижды промывали ФСБ и добавляли 1% раствор 3-(4,5-диметилтиазол-2-ил)-2,5-дифенилтетразолийбромида (МТТ, eBioscience, США) в ФСБ и инкубировали в течение 2 ч при 37 °С. После этого для растворения частиц формазана раствор МТТ заменяли на ДМСО и инкубировали в течение 15 мин при 20 °C, затем измеряли OD при 492 нм с использованием микропланшетного фотометра.
МТТ-тест оценки пролиферации лимфоцитов
Суспензию спленоцитов (5×106 клеток/мл) в «полной среде» культивировали в 96-луночных круглодонных планшетах для культур клеток с добавлением КонА при 37 °С, 100% влажности и 5% СО2. Через 24 ч добавляли ИЛГ (4–64 мкг/мл) и дополнительно культивировали в течение 24 ч. За 4 ч до окончания инкубации в каждую лунку добавляли 20 мкл 0,5% раствора МТТ. Затем среду удаляли и в каждую лунку добавляли 100 мкл ДМСО для растворения частиц формазана. OD измеряли при 492 нм с использованием микропланшетного фотометра.
Модель системной инфекции S. aureus у мышей
Суспензию S. aureus в ФСБ вводили внутрибрюшинно: 5×108 КОЕ/мышь, 1,5×109 КОЕ/мышь. День заражения считался нулевым. Выживание оценивали каждые 6 ч в первый день, затем ежедневно в течение 24 дней. Экспериментальным животным перед заражением вводили ИЛГ (общая доза 30 мг/кг, трехкратно через 4 ч, внутрибрюшинно). Животные контрольной группы получали 5% ДМСО.
Мышей, зараженных сублетальной дозой S. aureus (5×108 КОЕ/мышь), ежедневно выводили из эксперимента в течение 7 дней для забора крови из крупных сосудов (определение бактериемии), выделения селезенки и паховых лимфатических узлов.
Определение бактериемии
Бактериемию определяли методом секторных посевов на чашки Петри [16] с кровяным агаром. Чашки инкубировали при 37 °С в течение 24 ч, затем рассчитывали КОЕ на мл.
Пептон-индуцированная миграция фагоцитов
Миграцию фагоцитов в брюшную полость оценивали согласно методике, предложенной Miyazaki [17], с небольшими изменениями. Для этого группе 1 отрицательного контроля трехкратно вводили стерильный ФСБ (0,5 мл, внутрибрюшинно); группе 2 – стерильный раствор пептона в ФСБ (3% – 3 мл, внутрибрюшинно); группе 3 – трехкратно ДМСО (5% – 0,5 мл, внутрибрюшинно), затем – стерильный раствор пептона в ФСБ (3% – 3 мл, внутрибрюшинно). Мышам группы 4 трехкратно вводили ИЛГ, после чего стерильный раствор пептона в ФСБ (3% – 3 мл, внутрибрюшинно). Через 24 ч и 72 ч животным, выведенным из эксперимента, внутрибрюшинно вводили последовательно 20 мл ФСБ. После пальпаторного массирования брюшка полученные промывные воды отбирали в пластиковые пробирки и центрифугировали. Количество клеток подсчитывали с помощью световой микроскопии с использованием камеры Горяева. Индекс стимуляции (ИС) рассчитывали по формуле: ИС = A/B, где A – количество клеток в группах, получавших пептон, B – количество клеток в группе отрицательного контроля.
Определение цитокинов
На 4-й и 5-й дни после заражения клетки селезенки и паховых лимфатических узлов (5×106 клеток/мл) зараженных (5×108 КОЕ/мышь) или интактных мышей культивировали 24 или 48 ч при 37 °С в 100% влажности и 5% CO2 в «полной среде» с добавлением КонA. Супернатанты собирали и хранили при –70 °C до анализа с использованием набора реактивов для определения мышиных цитокинов группы Th17 – MILLIPLEX MAP, Mouse Th17 MAGNETIC BEAD PANEL KIT 96-Well Plate Assay (USA), затем анализировали с помощью мультиплексного анализатора (Magpix, США) с определением концентрации цитокинов IL-2, IL-12p70, гамма-интерферона (IFNg), фактора некроза опухоли альфа (TNFα), IL-6, IL-22, IL-23, IL-17A, IL-17F, IL-17E/IL-25, гранулоцитарно-макрофагального колониестимулирующего фактора (GM-CSF), воспалительного белка-3 макрофагов (MIP-3a/CCL20), IL-10.
Статистический анализ
Все эксперименты были выполнены не менее, чем в трех сериях. Полученные в ходе них данные были статистически обработаны с помощью программного обеспечения GraphPadPrism 8.4.0. Для оценки динамики гибели мышей строили кривые Кап- лан-Мейера. Полученные результаты подчинялись закону нормального распределения, обрабатывались методами вариационной статистики и представлялись в виде среднего арифметического значения (M) ± стандартной ошибки среднего (SEM). Достоверность различий между группами в экспериментах определяли по критерию Стьюдента. Различия считались достоверными при р<0,05, где р – уровень значимости.
РЕЗУЛЬТАТЫ
Влияние ИЛГ на выживаемость мышей Balb/C при заражении S. aureus J49 ATCC 25923
Заражение 5x108 КОЕ/мышь не приводило к смерти в контрольной группе, хотя у животных наблюдались такие симптомы, как снижение активности, аппетита, взъерошенность шерсти, диарея. Выживаемость здоровых животных, которым вводили трехкратно внутрибрюшинно 5% ДМСО, составила 100%.
Внутрибрюшинное введение 1,5×109 КОЕ/мышь вызывало гибель 100% животных контрольной группы в течение 48-72 ч. Предварительное введение ИЛГ значимо снижало смертность: через 2 дня погибало 62,5±12,5% мышей, к 24-му дню выживали 12,5±6,3% мышей (рис. 1).
Рисунок 1 – Выживаемость мышей Balb/C (самцы), зараженных S. aureus J49 ATCC 25923
Примечание: Группа А – контроль, 1,5×109 КОЕ/мышь. Группа B – предварительное введение ИЛГ (30 мг/кг), 1,5×109 КОЕ/мышь
При аутопсии установлено, что через 48–72 ч после заражения у мышей, получавших ИЛГ, была менее выраженная инъекция брыжеечных сосудов и вздутие кишечника. Через 14 дней в группе ИЛГ наблюдался выраженный спаечный процесс, а через 24 дня отмечались забрюшинные абсцессы с плотной капсулой и спайками.
Антимикробная активность ИЛГ
Для определения MПК в отношении S. aureus J49 ATCC 25923 ИЛГ был протестирован в диапазоне концентраций 0,1–128 мкг/мл. Через 24 ч образцы с ИЛГ в концентрациях 128 мкг/мл и 64 мкг/мл были полностью прозрачными подобно отрицательному контролю (стерильный БМХ). Бактериальная суспензия с ИЛГ в концентрации 32 мкг/мл была опалесцирующей. В остальных пробах с ИЛГ (0,1–16 мкг/мл) наблюдался интенсивный рост бактерий, как в положительном контроле (суспензия бактерий без ИЛГ). Таким образом, MПК ИЛГ против S. aureus J49 ATCC 25923 составила 64 мкг/мл.
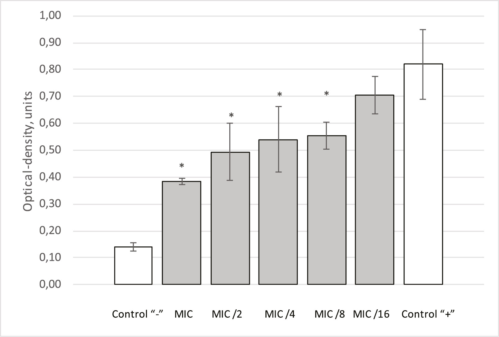
Как показано на рис. 2, ИЛГ дозозависимо подавлял рост исследуемого штамма S. aureus в концентрациях MПК – MПК/8. В первые 4 ч наблюдений оптическая плотность образцов существенно не отличалась, тогда как через 8 ч различия OD630 между положительным контролем и образцами с ИЛГ нарастали. К концу инкубации (24 ч) OD630 для ИЛГ в МПК составляли 0,1±0,0 (р<0,05), MПК/2 – 0,3±0,1 (р<0,05), MПК/4 – 0,4±0,1 (р<0,05), MПК/8 – 0,5±0,3 (р<0,05).
Рисунок 2 – Влияние ИЛГ на рост S. aureus J49 ATCC 25923
Влияние ИЛГ на формирование биопленок S. aureus J49 ATCC 25923
Используя МТТ-тест, установлено, что ИЛГ дозозависимо снижает способность S. aureus J49 ATCC 25923 к адгезии к пластику (рис. 3). Удаление бактериальной суспензии с многократным промыванием лунок культурального планшета после 24 ч инкубации показало, что оптическая плотность смыва с поверхности пластика в контрольных образцах была значительно выше, чем в лунках с ИЛГ: 0,8±0,1 vs. 0,4±0,0 (MПК, р<0,05), 0,8±0,1 vs. 0,5±0,1 (MПК/2, р<0,05), 0,8±0,1 vs. 0,5±0,2 (MПК/4, р<0,05), 0,8±0,1 vs. 0,5±0,1 (MПК/8, р<0,05). Значение OD492 в лунках с ИЛГ МПК/16 также имело тенденцию к снижению: 0,7±0,1 (р>0,05).
Рисунок 3 – Влияние ИЛГ на формирование биопленки S. aureus J49 ATCC 25923
С помощью атомно-силовой микроскопии обнаружено, что количество бактерий в поле зрения в образцах с МПК ИЛГ (8,0±2,0 бактерий в поле зрения, 300×, p<0,05), MПК/2 (30,0±7,0 бактерий в поле зрения, 300×, р<0,05) было меньше, чем в контрольных образцах, имевших массивные бактериальные конгломераты (83,0±13,0 бактерий в поле зрения, 300×) (рис. 3).
Влияние ИЛГ на пептон-индуцированную миграцию фагоцитов у мышей
Миграцию фагоцитов в брюшную полость оценивали, рассчитывая индекс стимуляции (ИС) – количество клеток, стимулированных внутрибрюшинной инъекцией пептона, относительно ФСБ. ИС у мышей, получавших ИЛГ, и контрольных животных стимулированных пептоном, достоверно не отличались друг от друга. Через 24 ч ИС в контрольной группе составлял 2,4±0,1 vs. 2,0±0,1 группы, получавшей ИЛГ; через 72 ч значения ИС характеризовались значениями 1,6±0,1 (контрольная группа) по сравнению с 1,8±0,1 (группа, получавшая ИЛГ).
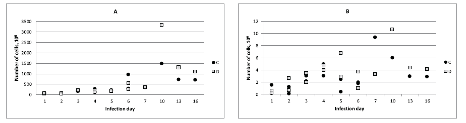
Динамика спленоцитов и клеток паховых лимфатических узлов при генерализованной стафилококковой инфекции у мышей Balb/C
Количество клеток подсчитывалось ежедневно после внутрибрюшинного инфицирования сублетальной концентрацией бактерий (5×108 КОЕ/мышь) в течение 2 недель. Динамика числа клеток представлена на рис.4. В 1-е сутки после заражения количество клеток в паховых лимфатических узлах у мышей, получавших ИЛГ, (0,4±0,2×106 клеток/мышь) и контрольных мышей (0,9±0,4×106 клеток/мышь) уменьшилось по сравнению с интактными мышами (2,3±1,1×106 клеток/мышь), и только после 3-го дня оно постепенно увеличивалось в обеих группах, достигая максимальных значений на 7-й день (9,3±0,5×106 клеток/мышь) или на 10-й день (10,6±0,5×106 клеток/мышь, группа, получавшая ИЛГ). После достижения пика на 9–10 дни развития инфекции, число клеток лимфатических узлов постепенно уменьшалось, достигая нормальных значений (у интактных животных) к 16-му дню в обеих группах.
Рисунок 4 – Динамика спленоцитов (A) и клеток паховых лимфатических узлов (B) в модели стафилококковой инфекции мышей Balb/C
Примечание: (С) Контрольная группа, 5×108 КОЕ/мышь. (D) Предварительное введение ИЛГ (30 мг/кг), 5×108 КОЕ/мышь. Интактные мыши: количество спленоцитов = 363,0±125,4×106 клеток/мышь, количество клеток паховых лимфатических узлов = 2,3±1,1×106 клеток/мышь
В первые дни после инфицирования количество спленоцитов в обеих группах было сопоставимым и меньше, чем у неинфицированных мышей (363,0±125,4×106 клеток/мышь), вплоть до 6-го дня. С 3-го до 9-го дня число спленоцитов постепенно нарастало в обеих группах. Количество спленоцитов мышей, получавших ИЛГ, достигало максимума к 10-му дню (3328,0±166,4×106 клеток/мышь). Контрольная группа имела сходную динамику с максимумом к 10-му дню, но с меньшим пиковым значением (1488,0±74,4×106 клеток/мышь).
Влияние ИЛГ на пролиферацию спленоцитов и секрецию ими цитокинов in vitro
По результатам МТТ-теста с применением Т-клеточного митогена КонА установлено, что ИЛГ в концентрациях 4–64 мкг/мл дозозависимо подавляет пролиферацию активированных лимфоцитов. Так, ИЛГ в концентрациях 16–64 мкг/мл практически полностью подавлял пролиферацию клеток. В присутствии 8 мкг/мл ИЛГ жизнеспособность клеток снижалась более чем в два раза (50,0±7,5%, p<0,05) в сравнении с контролем и имела тенденцию к снижению при экспозиции с ИЛГ в концентрации 4 мкг/мл (88,0±22,0%).
В образцах с ИЛГ, даже в концентрации 4 мкг/мл (табл. 1), через 24–48 ч инкубации уровень практически всех исследованных цитокинов был ниже, чем в контрольных образцах.
Таблица 1 – Влияние ИЛГ на секрецию цитокинов спленоцитами in vitro
А, пг/мл | В, пг/мл | |
IL-2 | <4,0 | 2020,0±115,7 |
IL-12p70 | <7,9 | 23,8±2,6 |
IFNg | <4,5 | 6253,0±157 |
TNFa * | 25,0±0,2 | 213,2± 16,1 |
IL-6 * | 27,6±1,4 | 2249,0±132,0 |
IL-22* | 13,2±0,4 | 1276,0±71,2 |
IL-23 | <123,7 | 223,3±1,4 |
IL-17A | <20,4 | 724,5±76,9 |
IL-17F | <6,2 | 968,4±107,4 |
IL-17E/IL-25 | <377,5 | 527,6±25,4 |
GM-CSF | <22,5 | 310,8±32,6 |
MIP-3A/CСl20 | <35,6 | 355,8±3,1 |
IL-10 * | 32,8±0,1 | 424,3±24,3 |
Примечание: А – уровень цитокинов в образцах, инкубированных с ИЛГ (4 мкг/мл); В – уровень цитокинов в контрольных образцах. * – р<0,05
Влияние ИЛГ на бактериемию
Для выявления бактериемии кровь зараженных мышей (5×108 КОЕ/мышь) засевали на кровяной агар. Значительный рост бактерий наблюдался через сутки после заражения у контрольных мышей (105 КОЕ/мл) по сравнению с мышами, получавшими ИЛГ (роста не наблюдали). На 4–5 сутки инфекции в группе, получавшей ИЛГ, не отмечено выраженного бактериального роста в образцах крови (<103 КОЕ/мл). В других образцах контрольных и опытных групп роста не наблюдалось.
Влияние ИЛГ на продукцию цитокинов клетками паховых лимфатических узлов при генерализованной стафилококковой инфекции мышей Balb/C
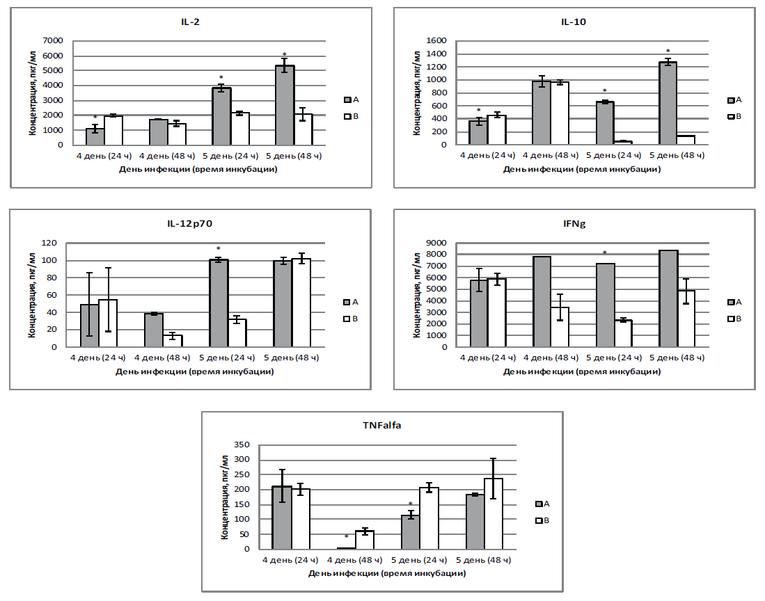
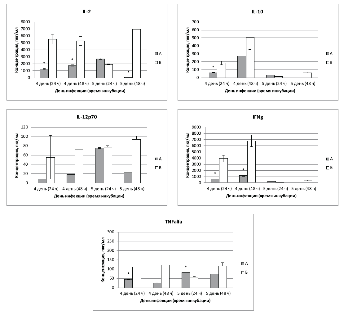
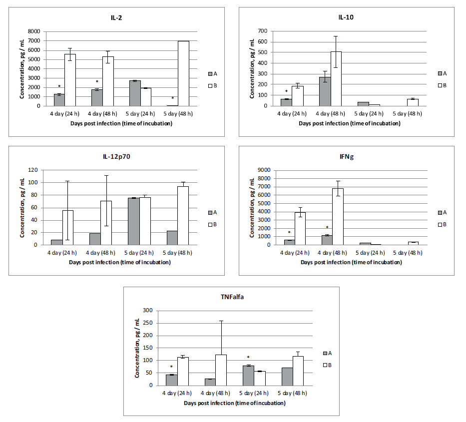
Секрецию цитокинов клетками паховых лимфатических узлов определяли на 4-е и 5-е сутки после заражения (5×108 КОЕ/мышь), инкубируя клетки в течение 24–48 ч in vitro. Как показано на рис. 5 и 6, продукция многих обнаруживаемых на 4-й день инфекции цитокинов была выше по сравнению с 5-м днем после заражения. К 48 ч инкубации уровни IL-2, IFNg, IL-6, GM-CSF и, в частности, IL-17A, характеризовались довольно высокими значениями у контрольных инфицированных мышей. Внутрибрюшинное введение ИЛГ до заражения мышей значительно снижало продукцию таких цитокинов, как IL-2 (5524,3±669,8 пг/мл vs. 1265,0±94,8 пг/мл, p<0,05), IFNg (3936,3±567,8 пг/мл vs. 587,6±20,9 пг/мл, p<0,05), IL-6 (4861,3±361,8 пг/мл vs. 412,3±11,8 пг/мл, p<0,05), GM-CSF (553,3±64,6 пг/мл vs. 80,3±6,3 пг/мл, p<0,05), и IL-17A (6804,0±754,9 пг/мл vs. 1129,0±31,1 пг/мл, p<0,05).
Рисунок 5 – Влияние предварительного введения ИЛГ на уровни цитокинов (группа Th-1 и IL-10), продуцируемых клетками паховых лимфатических узлов мышей Balb/C, инфицированных S. aureus J49 ATCC 25923 (5×108 КОЕ/мышь) (* р<0,05)
Примечание: (A) Предварительное введение ИЛГ (30 мг/кг). (B) контрольная группа (* р<0,05)
Рисунок 6 – Влияние предварительного введение ИЛГ на уровни цитокинов (группа Th-17), продуцируемых клетками паховых лимфатических узлов мышей Balb/C, инфицированных S. aureus J49 ATCC 25923 (5×108 КОЕ/мышь) (* р<0,05)
Примечание: (A) Группа, получавшая ИЛГ (30 мг/кг). (B) Контрольная группа (* р<0,05)
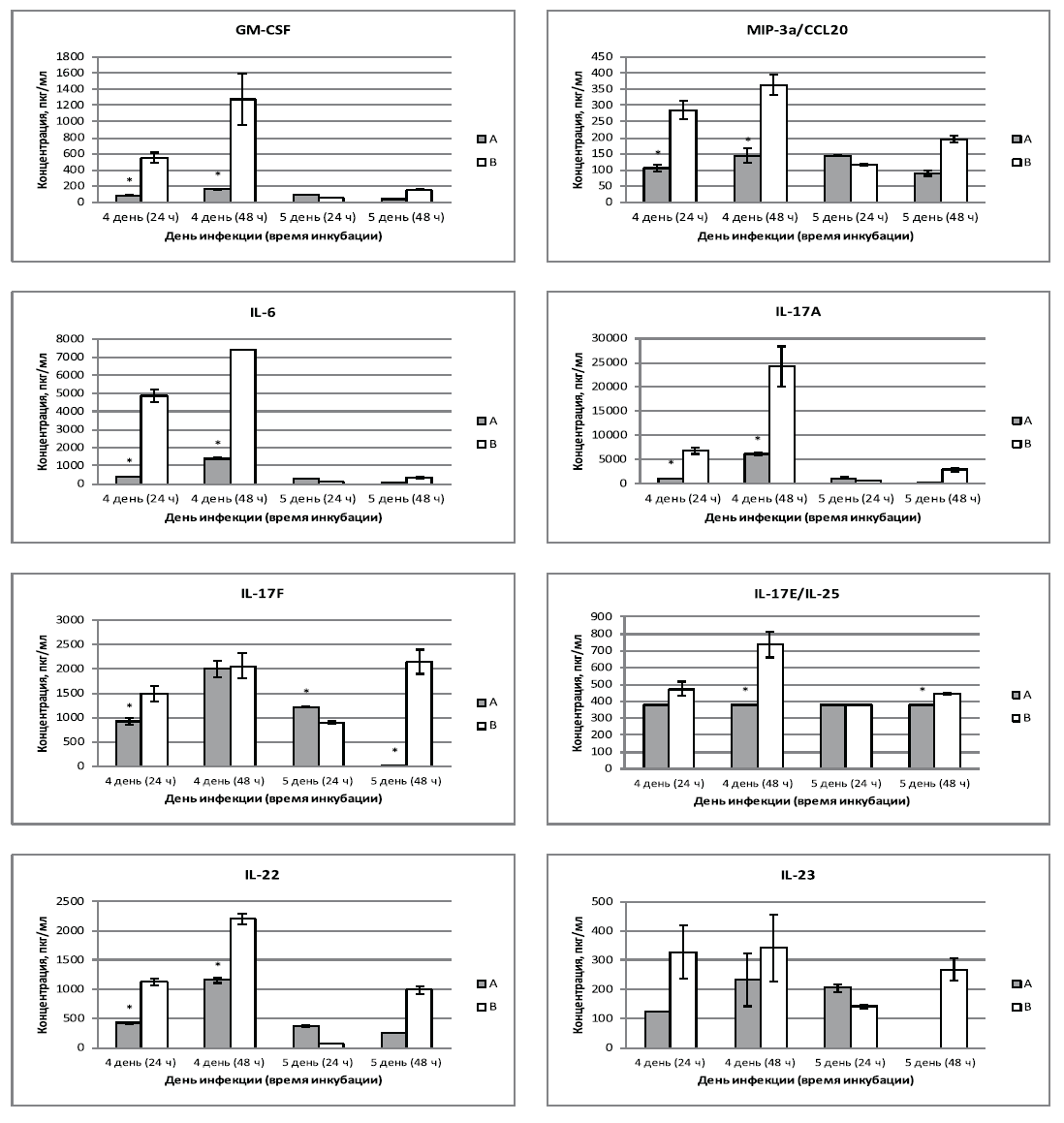
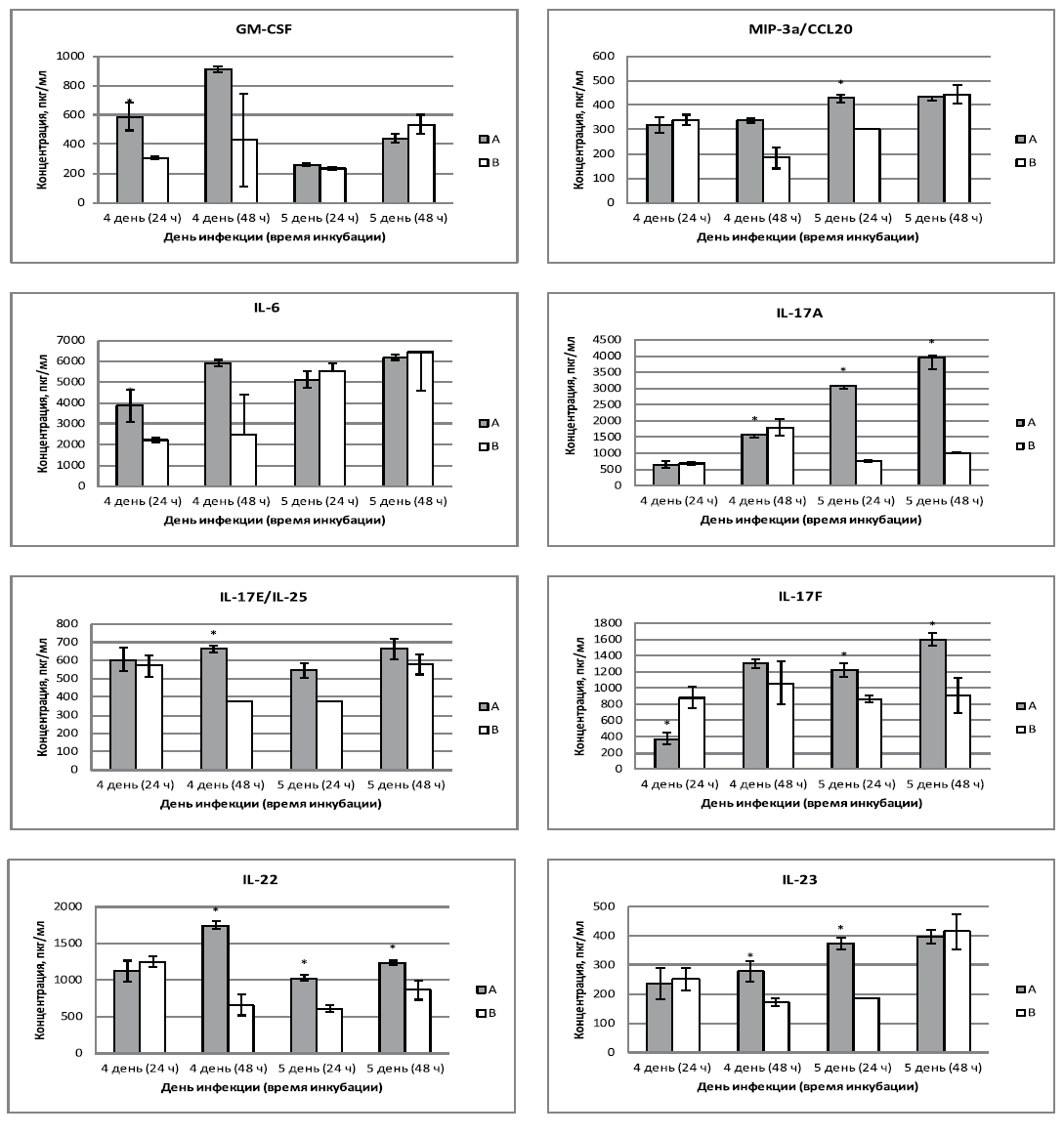
Влияние ИЛГ на цитокины, продуцируемые спленоцитами при стафилококковой инфекции мышей Balb/C
Секрецию цитокинов спленоцитами определяли на 4-й и 5-й день после заражения (5×108 КОЕ/мышь), инкубируя клетки в течение 24–48 ч in vitro. Введение ИЛГ мышам приводило к постепенному увеличению секреции цитокинов от 4-го к 5-му дню после заражения. Как показано на рис. 7 и 8, на 4-й день после заражения значения GM-CSF (586,7±95,5 пг/мл vs. 306,5±11,4 пг/мл, р<0,05) были значительно выше у мышей, получавших ИЛГ, чем в контроле. На 5-й день после заражения в группе, получавшей ИЛГ, уровень секреции многих исследуемых цитокинов (в момент инкубации 24 ч и/или 48 ч) был значительно выше по сравнению с контрольными мышами (табл. 2):
Таблица 2 – Влияние ИЛГ на цитокины, продуцируемые спленоцитами при стафилококковой инфекции мышей Balb/C, на 5-й день инкубации
А, пг/мл | В, пг/мл | |
IL-2* | 3818,0±265,9 | 2158,5±140,7 |
IL-12p70* | 100,6±2,6 | 31,8±4,6 |
IFNg* | 7191,0±0,0 | 2356,0±179,6 |
IL-22* | 1028,5±33,2 | 604,4±45,4 |
IL-23* | 374,0±17,8 | 186,3±0,0 |
IL-17A* | 3094,5±95,5 | 756,9±20,3 |
L-17F* | 1223,5±79,9 | 865,45±39,4 |
MIP-3a/CCL20* | 428,8±16,7 | 302,0±0,8 |
IL-10* | 664,0±23,7 | 56,0±2,7 |
Примечание: А – группа, получавшая ИЛГ (предварительное внутрибрюшинное введение, 10 мг/кг, трехкратно); В – контрольная группа. * – р<0,05
Рисунок 7 – Влияние предварительного введения ИЛГ на уровни цитокинов (группа Th-1 и IL-10), продуцируемых спленоцитами мышей Balb /C, инфицированных S. aureus J49 ATCC 25923 (5×108 КОЕ/мышь, внутрибрюшинно) (*р<0,05)
Примечание: (A) Группа, получавшая ИЛГ (30 мг/кг). (B) Контрольная группа (* р<0,05)
Рисунок 8 – Влияние предварительного введения ИЛГ на уровни цитокинов (группа Th-17), продуцируемых спленоцитами мышей Balb/C, инфицированных S. aureus J49 ATCC 25923 (5×108 КОЕ/мышь, внутрибрюшинно) (* р<0,05)
Примечание: (A) Предварительное введение ИЛГ (30 мг/кг); (B) Контрольная группа. (* р<0,05).
ОБСУЖДЕНИЕ
Настоящее исследование посвящено изучению эффектов халконового флавоноида ИЛГ в модели генерализованной стафилококковой инфекции. Целью исследования стало изучение антибактериальных и иммунотропных механизмов ИЛГ.
Несмотря на то, что мышиные модели S. aureus-инфекции слабо коррелируют со стафилококковой инфекцией у человека [18], они широко используются в экспериментальной медицине и фармакологии.
Известно, что для воспроизведения инфекции S. aureus у животных требуются очень высокие инокулянты. Так, в настоящей работе генерализованную инфекцию воспроизводили у мышей линии Balb/c внутрибрюшинным введением суспензии штамма S. aureus J49 ATCC 25923 в количестве 5×108 – 1,5×109 КОЕ/мышь. Генерализация инфекции (сепсис) была подтверждена (наличие бактериемии, абсцессов во внутренних органах) даже в случае бактериальной нагрузки 5×108 КОЕ/мышь, которая практически не вызывала гибели мышей. Массивная гибель экспериментальных животных наблюдалась только при заражении 1,5×109 КОЕ/мышь и более. При этом большая часть мышей погибала в ранние сроки инфекции (на 2–3 сутки), что могло свидетельствовать о развитии септического шока [19].
Было выявлено, что введение ИЛГ за 1 час до бактериального заражения значимо увеличивало выживаемость мышей. В данном случае протективный эффект ИЛГ при стафилококковом сепсисе мог быть реализован путем сдерживания симптомов токсического шока, которые в значительной степени являются результатом гиперпродукции цитокинов (IL-2, INF-γ и TNF-α) [20] Т-лимфоцитами, активированным суперантигеном [21]. ИЛГ в культуре КонА-активированных спленоцитов дозозависимо ингибировал продукцию цитокинов даже в концентрациях, в которых не вызывал снижения пролиферации. Так, в присутствии ИЛГ (4 мкг/мл) секреция всего изучаемого спектра цитокинов IL-2, IL-12p70, IFNg, TNFα, IL-6, IL-22, IL-23, IL-17A, IL-17F, IL-17E/IL-25, GM-CSF, MIP-3a/CCL20, IL-10 была ниже контрольных показателей, при добавлении в культуру лимфоидных клеток ИЛГ в концентрациях 16-64 мкг/мл большинство цитокинов (IL-2, IL-12p70, IFNg, TNFα, IL-23, IL-17A, IL-17F, IL-17E/IL-25, GM-CSF, MIP-3a/CCL20) не определялись.
Другие исследователи также показали эффективность ИЛГ при сепсисе, вызванными иными механизмами. Так, в модели сепсиса, вызванного перевязкой и пункцией слепой кишки, ИЛГ снижал концентрации провоспалительных цитокинов в сыворотке крови, активность NО-синтазы, циклооксигеназы-2 [22], а также обладал антиоксидантными и противовоспалительными эффектами [23].
На ранних сроках инфекции воспалительная реакция опосредована вовлечением факторов врожденного, но не адаптивного иммунитета. Именно врожденные иммунные реакции наиболее значимы для предотвращения генерализации и ограничения гнойно-воспалительного процесса.
Положительным, на наш взгляд, является отсутствие подавляющего влияния ИЛГ на миграцию фагоцитов в очаг внедрения патогена. В настоящем исследовании ИЛГ не снижал количество клеток через 24 ч (хемотаксис нейтрофилов) и 72 ч (хемотаксис макрофагов) в ответ на введение индуктора миграции – пептона. При этом визуальная оценка при аутопсии мышей, получавших ИЛГ, показала, что в сравнении с контрольной группой наблюдался более выраженный спаечный процесс с формированием абсцессов с плотной капсулой.
Опираясь на выявленные результаты, а также учитывая достаточно короткий период полувыведения ИЛГ [24], подобные вещества могут потенциально представлять интерес в качестве альтернативы кортикостероидам, предотвращающей летальность при системном воспалении. Кроме того, положительным в сравнении с кортикостероидами является то, что ИЛГ обладает прямым антистафилококковым действием. В условиях нашего эксперимента МПК ИЛГ в отношении S. aureus J49 ATCC 25923 составила 64 мкг/мл, что было сопоставимо с данными некоторых авторов, которые изучали действие ИЛГ на другие бактерии рода Staphylococcus [6]. Несмотря на то, что антистафилококковая активность была не высокая, ИЛГ дозозависимо ингибировал суспензионный рост S. aureus J49 ATCC 25923 в концентрациях меньше, чем МПК (8-32 мкг/мл), что позволяет предположить, что антибактериальная активность ИЛГ также имела значение в повышении выживаемости животных.
Бактерии рода Staphylococcus способны формировать биопленки на различных поверхностях. Такая способность выявлена у S. aureus как у коллекционных штаммов [25], так и клинических изолятов MSSA и MRSA [26]. Используя атомно-силовую микроскопию и МТТ-тест, мы выявили, что штамм S. aureus J49 ATCC 25923 формирует биопленки на пластиковой поверхности, а внесение ИЛГ в концентрациях меньше МПК ингибирует формирование бактериальной биопленки. Антибиопленочный эффект ИЛГ был дозозависимым (4–32 мкг/мл) и коррелировал с выраженностью ингибирования суспензионного роста бактерий, что косвенно может свидетельствовать о том, что данный эффект явился следствием прямого антибактериального эффекта ИЛГ. Антибиопленочная активность ИЛГ продемонстрирована другими исследователями в отношении S. xylosus [7], однако механизмы влияния ИЛГ на биопленки бактерий рода Staphylococcus глубоко не изучены, хотя есть сведения о других флавоноидах, влияющих на систему quorum sensing S. aureus.
В последние годы появились публикации о том, что S. aureus активно избегает иммунного надзора, «выключая» различные механизмы адаптивного иммунного ответа в организме хозяина [27], что позволяет бактериям персистировать даже при развитии антигенспецифического ответа.
Для изучения влияния ИЛГ на иммунный ответ мы использовали мышиную модель генерализованной инфекции, в которой не наблюдалось гибели животных при заражении (5х108 КОЕ/мышь). Проведена оценка динамики количества клеток паховых лимфатических узлов и селезенки, а также выработки ими цитокинов после заражения.
Обратил на себя внимание тот факт, что в первые дни после заражения животных количество клеток в регионарных лимфатических узлах и селезенке было значительно меньше, чем у интактных животных. По-видимому, массированная бактериальная инвазия послужила развитию неспецифического ответа – стресс-реакции, вследствие чего причиной лимфолитического эффекта могла быть повышенная секреция кортикостероидов в первые дни септического процесса [28]. Только после 3-го дня инфекции наблюдалось постепенное нарастание количества лимфоцитов в регионарных лимфатических узлах с достижением максимальных значений на 7-й день (в контрольной группе) и на 10-й день (в группе, получавшей ИЛГ). Для исследования секреции цитокинов регионарные лимфатические узлы и селезенку у мышей извлекали на 4-е и 5-е сутки после заражения (период нарастания «клеточности»).
При активации лимфоцитов сначала продуцируется IL-2, а потом и другие цитокины, необходимые для дифференцировки различных Th-субпопуляций. О функциональном состоянии Th-субпопуляций принято судить по продукции иммунокомпетентными клетками характерного спектра цитокинов: IFNg служит маркером Th1, IL-4 – маркером Th2, а IL-17A – основной цитокин Th17.
С точки зрения современных представлений, Th17-клетки участвуют в антистафилококковом иммунитете, усиливая эффекторную функцию нейтрофилов [29] и, таким образом, выступая наиболее важной протективной популяцией. Однако учитывая пластичность Th-субпопуляций в условиях динамично изменяющегося микроокружения in vivo, также оценивают цитокины Th17-зависимых эффекторов, таких как GM-CSF, MIP-3a/CCL20.
Исследование супернатантов клеток паховых лимфатических узлов инфицированных мышей контрольной группы выявило преобладание таких цитокинов, как IL-12p70, IFNg, IL-6, IL-22, IL-23, IL-17А. IL-17F, IL-17E/IL-25. Это могло свидетельствовать о дифференцировке активированных CD4+-клеток в Th1 и Th17. В поддержку гипотезы дифференцировки также свидетельствует увеличение сывороточных концентраций GM-CSF, а также антибактериального хемокина MIP-3a/CCL20. Растворимые компоненты S. aureus способствуют индукции Foxp3+Treg и помимо нарастания секреции провоспалительных цитокинов в контрольной группе нами отмечено повышение секреции IL-10, который, вероятно, вырабатывался Т-регуляторными клетками, сдерживающими чрезмерное воспаление, супрессируя Th1 и Th17. В группе мышей, получавших ИЛГ, выявлено подавление секреции как провоспалительных (IL-2, IFNg, IL-6, IL-17A, GM-CSF) цитокинов, так и IL-10 клетками паховых лимфатических узлов, концентрация которых была меньше контрольных значений более чем в 2 раза.
В настоящем эксперименте ИЛГ, как и многие другие флавоноиды [30], проявлял иммуносупрессивные свойства. В культуре мононуклеаров, активированных T-клеточным митогеном КонА, ИЛГ дозозависимо ингибировал пролиферацию: в концентрации 8 мкг/мл пролиферация подавлялась примерно вдвое, тогда как в концентрациях более 16 мкг/мл практически полностью отсутствовал пролиферативный ответ, снижал продукцию цитокинов не только in vitro, но и клетками паховых лимфатических узлов у инфицированных мышей. Таким образом, несмотря на наличие антибактериальных механизмов, ИЛГ потенциально мог провоцировать генерализацию инфекции. Однако при посеве крови в первые сутки инфекции бактериемия в группе контрольных мышей была значительно выше и достигала 105 КОЕ/мл, тогда как на фоне введения ИЛГ на плотной среде вырастали единичные колонии, свидетельствующие о бактериемии <103 КОЕ/мл, в последующие дни в течение недели, как показывал посев крови, бактериемия определялась не у всех животных в обеих группах на низких уровнях (<103 КОЕ/мл).
Учитывая, что селезенка играет важную роль в сдерживании гематогенного распространения инфекции [31], была исследована продукция цитокинов спленоцитами на 4–5 сутки после заражения, где были получены неожиданные результаты. В селезенках обеих групп максимальная «клеточность» наблюдалась на 10-ый день инфекции, но в группе, получавшей ИЛГ, их количество было в 2 раза больше контрольных значений. Спленоциты мышей, которым вводили ИЛГ до заражения, достоверно увеличивали продукцию цитокинов, активирующих иммунный ответ в по типу Th-1 (IL12p70, TNFα, IFNg) и Th-17 (IL22, IL23, IL6, IL17). Было высказано предположение, что экспансия большого количества Т-клеток после стимуляции суперантигеном может вызывать истощение IL-2, тем самым ограничивая развитие защитного T-клеточного ответа [32]. Возможно, сдерживание секреции цитокинов (в частности, IL-2) и меньшая бактериальная нагрузка на фоне введения ИЛГ способствовали более эффективному участию спленоцитов в иммунном ответе.
На фоне введения ИЛГ обращает на себя внимание более эффективный Th-17 ответ с повышением цитокинов эффекторов врожденного иммунитета (GM-CSF, MIP-3a/CCL20). Установлено, что такие хемокины как MIP-3a/CCL20, обладают выраженной антибактериальной активностью в отношении как грамположительных, так и грамотрицательных бактерий [33]. Предполагают, что провоспалительные Th17-клетки первой волны активно секретируют в тканях-мишенях IL-17, который индуцирует секрецию антибактериального пептида MIP-3a/CCL20 разнообразными клетками. Вероятно, что недостаточная активность MIP-3a/CCL20 может приводить к снижению опосредованного Т-клетками контроля эрадикации бактериального возбудителя.
ЗАКЛЮЧЕНИЕ
Таким образом, в ходе нашего исследования выявлено, что предварительное введение ИЛГ повышает выживаемость мышей при генерализованной инфекции, вызванной S. aureus J49 ATCC 25923. В основе данного протективного эффекта ИЛГ лежат как антимикробные (умеренный прямой антистафилококковый с МПК=64 мкг/мл, антибиопленочный в концентрациях ниже МПК), так и иммуномодулирующие механизмы защиты, что заслуживает внимания с целью создания новых лекарственных препаратов, снижающих летальность при сепсисе.
БЛАГОДАРНОСТИ
Выражаем благодарность профессору Сидоренко С.В. (ФГБУ «Детский научно-клинический центр инфекционных болезней» ФМБА России) и Шкопорову А.Н. (MD, PhD, University College Cork, Ireland) за консультации и ценные советы при написании рукописи.
ФИНАНСОВАЯ ПОДДЕРЖКА
Исследование выполнено при финансовой поддержке РФФИ в рамках научного проекта № 19-315-90085.
АВТОРСКИЙ ВКЛАД
Все авторы в равной степени внесли свой вклад в исследовательскую работу.
КОНФЛИКТ ИНТЕРЕСОВ
Авторы заявляют об отсутствии конфликта интересов.
Об авторах
Елена Александровна Солёнова
Федеральное государственное бюджетное образовательное учреждение высшего образования «Чувашский государственный университет им. И.Н. Ульянова»
Автор, ответственный за переписку.
Email: elensoul@mail.ru
ORCID iD: 0000-0001-6104-0864
младший научный сотрудник кафедры фармакологии, клинической фармакологии и биохимии
Россия, 428015, Чувашская Республика, г. Чебоксары, пр. Московский, д. 15.Светлана Ивановна Павлова
Федеральное государственное бюджетное образовательное учреждение высшего образования «Чувашский государственный университет им. И.Н. Ульянова»
Email: flavonoid@yandex.ru
ORCID iD: 0000-0001-9976-7866
доктор медицинских наук, заведующая кафедрой фармакологии, клинической фармакологии и биохимии
Россия, 428015, Чувашская Республика, г. Чебоксары, пр. Московский, д. 15Список литературы
- Ani C., Farshidpanah S., Stewart A.B., Nguyen H.B. Variations in organism-specific severe sepsis mortality in the United States: 1999–2008 // Critical Care Medicine. 2015. Vol. 43. No 1. P. 65–77. doi: 10.1097/CCM.0000000000000555.
- Narita K., Hu D.L., Mori F., Wakabayashi K., Iwakura Y., Nakane A. Role of Interleukin-17A in Cell-Mediated Protection against Staphylococcus aureus Infection in Mice Immunized with the Fibrinogen-Binding Domain of Clumping Factor A // Infection and Immunity. 2010. Vol. 78. No10. P. 4234–4242. doi: 10.1128/IAI.00447-10.
- Rhodes A., Evans L.E., Alhazzani W., Levy M.M., Antonelli M., Ferrer R., Kumar A., Sevransky J.E., Sprung C.L., Nunnally M.E., Rochwerg B., Rubenfeld G.D., Angus D.C., Annane D., Beale R.J., Bellinghan G.J., Bernard G.R., Chiche J.D., Coopersmith C., De Backer D.P., French C.J., Fujishima S., Gerlach H., Hidalgo J.L., Hollenberg S.M., Jones A.E., Karnad D.R., Kleinpell R.M., Koh Y., Lisboa T.C., Machado F.R., Marini J.J., Marshall J.C., Mazuski J.E., McIntyre L.A., McLean A.S., Mehta S., Moreno R.P., Myburgh J., Navalesi P., Nishida O., Osborn T.M., Perner A., Plunkett C.M., Ranieri M., Schorr C.A., Seckel M.A., Seymour C.W., Shieh L., Shukri K.A., Simpson S.Q., Singer M., Thompson B.T., Townsend S.R., Van der Poll T., Vincent J.L., Wiersinga W.J., Zimmerman J.L., Dellinger R.P. Surviving Sepsis Campaign: International Guidelines for Management of Sepsis and Septic Shock: 2016 // Intensive Care Medicine. 2017. Vol. 43. No 3. P. 304–377. doi: 10.1007/s00134-017-4683-6.
- Kumar S., Gupta E., Kaushik S., Kumar Srivastava V., Mehta S.K., Jyoti A. Evaluation of Oxidative Stress and Antioxidant Status: Correlation With the Severity of Sepsis // Scandinavian Journal of Immunology. 2018. Vol. 87. No4. e12653. doi: 10.1111/sji.12653.
- Fraser J.D. Clarifying the Mechanism of Superantigen Toxicity // PLoS Biology. 2011. Vol. 9. No 9. e1001145. doi: 10.1371/journal.pbio.1001145.
- Qu Q., Wang J., Cui W. In vitro activity and in vivo efficacy of Isoliquiritigenin against Staphylococcus xylosus ATCC 700404 by IGPD target // PLoS One. 2019. Vol. 14. No12. P:e0226260. doi: 10.1371/journal.pone.0226260.
- Park S.J., Song H.Y., Youn H.S. Suppression of the TRIF-dependent signaling pathway of toll-like receptors by isoliquiritigenin in RAW264.7 macrophages // Molecules and Cells. 2009. Vol. 28. No 4. P. 365–368. doi: 10.1007/s10059-009-0130-z.
- Chen X., Cai X., Le R., Zhang M., Gu X., Shen F., Hong G., Chen Z. Isoliquiritigenin Protects Against Sepsis-Induced Lung and Liver Injury by Reducing Inflammatory Responses // Biochemical and Biophysical Research Communications. 2018. Vol. 496. No 2. P. 245–252. doi: 10.1016/j.bbrc.2017.11.159.
- Павлова С.И. Иммуносупрессивные и противоопухолевые фармакодинамические эффекты флавоноидов корней солодки [диссертация на соискание ученой степени доктора медицинских наук]. Российский национальный исследовательский медицинский университет имени Н.И. Пирогова. Москва. 2012.
- Павлова С.И., Албегова Д.З., Дмитриева Н.В., Дибирова Г.О., Козлов И.Г. Флавоноиды корня солодки влияют на функции активированных Т-лимфоцитов мыши и человека // Российский иммунологический журнал. 2011. Т. 5. № 14. С. 62–68.
- Павлова С.И., Албегова Д.З., Кягова А.А., Козлов И.Г. Механизмы иммуносупрессивной активности флавоноидов корня солодки при контактной чувствительности у мышей: угнетение функций Т-лимфоцитов-эффекторов опосредуется неэффекторными клетками // Медицинская иммунология. 2010. Т. 12. № 6. С. 503–510. doi: 10.15789/1563-0625-2010-6-503-510.
- Kilkenny C., Browne W.J., Cuthill I.C., Emerson M., Altman D.G. Improving bioscience research reporting: the ARRIVE guidelines for reporting animal research // PLoS Biology. 2010. Vol. 8. No 6. P.e1000412. doi: 10.1371/journal.pbio.1000412.
- CLSI. Method for Antifungal Disk Diffusion Susceptibility Testing of Yeasts, Approved Guideline. 2004. URL: https://www.semanticscholar.org/paper/Method-for-antifungal-disk-diffusionsusceptibility-Rex-Clinical/65de3bf5c2b026c9e3b0995780e7fa790e7c0295 (дата обращения 06.08.2020).
- Wang C., Chang T., Yang H., Cui M. Antibacterial mechanism of lactic acid on physiological and morphological properties of Salmonella Enteritidis, Escherichia coli and Listeria monocytogenes // Food Control. 2015. No47. P. 231–236. doi: 10.1016/j.foodcont.2014.06.034.
- Grela E., Kozłowska J., Grabowiecka A. Current methodology of MTT assay in bacteria – A review // Acta Histochemica. Vol. 120. No4. P. 303–311. doi: 10.1016/j.acthis.2018.03.007.
- Sharma-Chawla N., Stegemann-Koniszewski S., Christen H. In vivo Neutralization of Proinflammatory Cytokines During Secondary Streptococcus pneumoniae Infection Post Influenza A Virus Infection // Frontiers in immunology. 2019. No10. P. 1864. doi: 10.3389/fimmu.2019.01864.
- Miyazaki S., Ishikawa F., Fujikawa T., Nagata S., Yamaguchi K. Intraperitoneal Injection of Lipopolysaccharide Induces Dynamic Migration of Gr-1high Polymorphonuclear Neutrophils in the Murine Abdominal Cavity // Clinical Diagn Lab Immunol. 2004. Vol. 11. No3. P. 452–457. doi: 10.1128/CDLI.11.3.452-457.2004.
- Thomsen I.P., Liu J.Y. Targeting Fundamental Pathways to Disrupt Staphylococcus Aureus Survival: Clinical Implications of Recent Discoveries // JCI Insight. 2018. Vol. 3. No5. P.e98216. doi: 10.1172/jci.insight.98216.
- Magrone T., Jirillo E. Sepsis: From Historical Aspects to Novel Vistas. Pathogenic and Therapeutic Considerations // Endocrine, Metabolic & Immune Disorders – Drug Targets. 2019. Vol. 19. No4. P. 490–502. doi: 10.2174/1871530319666181129112708.
- Chen P., Stanojcic M., Jeschke M.G. Differences Between Murine and Human Sepsis // Surgical Clinics of North America. 2014. Vol. 94. No6. P. 1135–1149. doi: 10.1016/j.suc.2014.08.00.
- Chesney P.J., Bergdoll M.S., Davis J.P., Vergeront J.M. The disease spectrum, epidemiology, and etiology of toxic-shock syndrome // Annual Review of Microbiology. 1984. No38. P. 315–338. doi: 10.1146/annurev.mi.38.100184.001531.
- Zou P., Ji H.M., Zhao J.W., Ding X., Zhen Z., Zhang X, Nie X.-Q., Xue L.-X. Protective effect of isoliquiritigenin against cerebral injury in septic mice via attenuation of NF-κB // Inflammopharmacology. 2019. Vol. 27. No4. P. 809–816. doi: 10.1007/s10787-018-0503-z.
- Kumar S., Sharma A., Madan B., Singhal V., Ghosh B. Isoliquiritigenin inhibits IkappaB kinase activity and ROS generation to block TNF-alpha induced expression of cell adhesion molecules on human endothelial cells // Biochemical Pharmacology. 2007. Vol. 73. No10. P. 1602–1612. doi: 10.1016/j.bcp.2007.01.015.
- Qiao H., Zhang X., Wang T., Liang L., Chang W., Xia H. Pharmacokinetics, Biodistribution and Bioavailability of Isoliquiritigenin After Intravenous and Oral Administration // Pharmaceutical Biology. 2014. Vol. 52. No2. P. 228–236. doi: 10.3109/13880209.2013.832334.
- Hiltunen A.K., Savijoki K., Nyman T.A., Miettinen I., Ihalainen P., Peltonen J., Fallarero A. Structural and Functional Dynamics of Staphylococcus aureus Biofilms and Biofilm Matrix Proteins on Different Clinical Materials // Microorganisms. 2019. Vol. 7. No12. P. 584. doi: 10.3390/microorganisms7120584.
- McCarthy H., Rudkin J.K., Black N.S., Gallagher L., O’Neill E., O’Gara J.P. Methicillin resistance and the biofilm phenotype in Staphylococcus aureus // Fronties in Cellular and Infection Microbiology. 2015. Vol. 5. No1. doi: 10.3389/fcimb.2015.00001.
- Goldmann O., Medina E. Staphylococcus Aureus Strategies to Evade the Host Acquired Immune Response // International Journal of Medical Microbiology. 2017. Vol. 308. No6. P. 625–630. doi: 10.1016/j.ijmm.2017.09.013.
- Cortes-Puch I., Hicks C.W., Sun J., Solomon S.B., Eichacker P.Q., Sweeney D.A., Nieman L.K., Whitley E.M., Behrend E.N., Natanson C., Danner R.L. Hypothalamic-pituitary-adrenal axis in lethal canine Staphylococcus aureus pneumonia // Am J Physiol Endocrinol Metab. 2014. Vol. 307. No11. P. E994–E1008. doi: 10.1152/ajpendo.00345.2014.
- Kojima H., Takeda Y., Muromoto R., Takahashi M., Hirao T., Takeuchi S. Jetten A.M., Matsuda T. Isoflavones Enhance interleukin-17 Gene Expression via Retinoic Acid Receptor-Related Orphan Receptors α and γ // Toxicology. 2015. № 329. P. 32–39. doi: 10.1016/j.tox.2015.01.007.
- Павлова С.И., Албегова Д.З., Воробьева Ю.С., Лаптев О.С., Козлов И.Г. Флавоноиды как потенциальные иммуносупрессанты, воздействующие на внутриклеточные сигнальные пути (обзор) // Химико-фармацевтический журнал. 2015. Т. 49, № 10. С. 3–10. doi: 10.30906/0023-1134-2015-49-10-3-10.
- Wang L., Yang R., Yuan B., Liu Y., Liu C. Antiviral and Antimicrobial Activities of Licorice, a Widely-Used Chinese Herb // Acta Pharmaceutica Sinica B. 2015. Vol. 5. No 4. P. 310–315. doi: 10.1016/j.apsb.2015.05.005.
- Llewelyn M., Cohen J. Superantigens: microbial agents that corrupt immunity // The Lancet Infectious Diseases. 2002. Vol. 2. No3. P. 156–162. doi: 10.1016/s1473-3099(02)00222-0.
- Sadowska B., Więckowska-Szakiel M., Paszkiewicz M., Różalska B. The Immunomodulatory Activity of Staphylococcus Aureus Products Derived From Biofilm and Planktonic Cultures // Archivum Immunologiae et Therapiae Experimentalis (Warsz). 2013. Vol. 61. Nо5. P. 413–420. doi: 10.1007/s00005-013-0240-3.
Дополнительные файлы











