Study of the stability of the substance 3-[2-(4-phenyl-1- piperazino)-2-oxoethyl]quinazoline-4(3н)-one under stressful conditions
- Authors: Gendugov T.A.1, Glushko A.A.1, Ozerov A.A.2, Shcherbakova L.I.1
-
Affiliations:
- Pyatigorsk Medical and Pharmaceutical Institute – branch of Volgograd State Medical University
- Volgograd State Medical University
- Issue: Vol 8, No 4 (2020)
- Pages: 242-254
- Section: Articles
- URL: https://journals.eco-vector.com/2307-9266/article/view/111645
- DOI: https://doi.org/10.19163/2307-9266-2020-8-4-242-254
- ID: 111645
Cite item
Abstract
The aim of the research was to study the stability of a new pharmaceutical substance 3-[2-(4-phenyl-1-piperazino)-2-oxoethyl]quinazoline-4(3Н)-one under stress conditions.
Materials and methods. The study was conducted in accordance with the recommendations of the ICH guidelines. The object of the study was a previously unknown derivative of quinazoline-4(3H)-one: 3-[2-(4-phenyl-1-piperazino)-2-oxoethyl]quinazoline-4(3Н)-one synthesized in Volgograd state medical university. The following laboratory equipment was used: HPLC chromatograph, HPLC-MS, centrifuge, electronic scales, pH meter, thermostat, laboratory filters.
The computational experiment was conducted on a computer with an Intel Xeon E3-1230 processor using the programs ORCA 4.1. and GROMACS 2019.
Results. The influence of the most unfavorable environmental factors, such as high temperature, light, oxidants, hydrolysis in acidic and alkaline environments, affect the stability of the test substance. The results of the computer-based stability prediction were confirmed by HPLC and HPLC-MS, and the degradation products of the substance under stressful conditions were determined. The conducted studies showed that the test substance is stable to UV radiation at the wavelength of 365 nm, at the elevated temperature (80°C), to the action of oxidants. But it is unstable to hydrolysis: in an alkaline medium of sodium hydroxide 1M, a break in the amide group occurs with the formation of 2-(4-oxoquinazoline-3-yl)acetic acid and 1-phenylpiperazine. And in an acidic environment, hydrochloric acid 1M is also destroyed, but it is significantly reduced, presumably due to the protonation and stabilization of tertiary nitrogen atoms in the molecule.
Conclusion. The conducted research makes it possible to conclude that the test substance 3-[2-(4-phenyl-1-of piperazino)-2-oxoethyl]quinazoline-4(3Н)-one is stable to aggressive environmental factors, with the exception of hydrolysis in an alkaline environment that will be further considered in the preparation of regulatory documents for this pharmaceutical substance.
Full Text
Abbreviations: State Pharmacopoeia (SF), high performance liquid chromatography (HPLC), high performance liquid chromatography with mass spectrometry (HPLC-MS), ultraviolet radiation (UV radiation).
INTRODUCTION
Stress tests of drugs are artificially recreated unfavorable environmental conditions in order to establish degradation products of medicinal substances.
Various factors that accelerate the rate of chemical reactions are used: high temperatures, light (in the ultraviolet and visible regions of the spectrum), high humidity, changes in the acidity/alkalinity of the medium, exposure to various oxidizing agents and other air components. The study and analysis of the degradation products and half-life of drugs during stress testing should be taken into account when developing methods for determining foreign impurities, quantitative determination, production, storage, transportation, and other regulatory documents being developed for a particular drug [1].
The results of stress tests also allow us to assess the impact of short-term deviations from the declared storage conditions and various ways of destruction of the studied substances, to determine the most unfavorable environmental factor, to which the test substance is more sensitive. Stability data for the resistance of drug substances to air components, also allow a more rational approach to the choice of its primary packaging [2–4].
In particular, the GPM.1.1.0009.18 “Stability and shelf lives of medicinal products” of the State Pharmacopoeia of the Russian Federation (XIVth edition) indicates that the study of drug stability should include stress, accelerated and long-term trials; special attention should be also paid to the development of a program for studying the stability of new drugs. For new pharmaceutical substances, the SP of the XIVth edition recommends conducting stress tests on a compulsory basis [1].
THE AIM of the research was to study the stability of a new pharmaceutical substance 3-[2-(4-phenyl-1-piperazino)-2-oxoethyl]quinazoline-4(3Н)-one under stress conditions.
MATERIALS AND METHODS
The work was performed in accordance with the recommendations of the ICH manual and the SP (XIVth edition) [1, 5].
The object of the study was one series of the substance 3-[2-(4-phenyl-1-piperazino)-2-oxoethyl]quinazoline-4(3Н)-one (laboratory code: VA-10-21) synthesized in Volgograd State Medical University. The structural formula is shown in Fig. 1.
Figure 1 – Structural formula of substance VMA-10-21
HPLC studies were performed using the UltiMate 3000 system (“Dionex”, CCA) with a special spectrophotometric detector with an operating wavelength range from 190 to 900 nm. The data collection and processing were performed using a chromatographic data collection and processing system Chromeleon, version 7 (“Dionex”, USA).
It is shown that when using acetonitrile and 0.05 M phosphoric acid as the mobile phase, pH=3.5 in the ratio of 25:750, it is possible to provide optimal chromatography conditions. The experimental parameters were as follows: a stainless steel chromatographic column 150×4.6 mm size LunaC 18 with a particle size of 5 microns, a flow rate of 1 ml/min, a column temperature of 25°C, detection at 226 nm, a sample volume of 20 µl, and an analysis time of 40 minutes. HPLC-MS analysis was performed on a Bruker mass spectrometer (Germany) by electrospray ionization in the “Positive” mode. The temperature control of the samples was carried out in the TS-1/20 SPU thermostat (Russia).
As a mobile phase, acetonitrile and a 0.05 M phosphoric acid solution in the ratio of 25:75, with a pH value of 3.5±0.05, were selected. An aqueous solution of phosphoric acid was adjusted to the specified pH value by adding a triethylamine solution. The pH was controlled potentiometrically. The samples were centrifuged before the HPLC analysis using a laboratory centrifuge with Sigma 2–16P accessories (Germany). All the sample solutions had been centrifuged at 8000 min-1 for 3 minutes before being placed in the device. The tested solutions had been pre-filtered through Nylon Membrane, 0.2 µm 25 mm Syringe Filters (USA). The samples were weighed on laboratory electronic scales LV 210-A (Russia). The pH value of the solutions was measured on the C axis and using the pH meter pH-150MI (Russia). All the solvents and reagents used in the study, met the requirements of the GPM.1.3.0001.15 GP (XIVth ed.)
Computer modeling of stress tests, was performed on a workstation with an Intel Xeon E3-1230 processor and 16 GB of RAM. The optimization of the VMA-10-21 substance geometry was performed in the ORCA 4.1 program by the density functional theory (UB3LYP) method using the 3–21G* basis. To study the structure of the solid aggregate state of the substance under study, molecular dynamics was modeled by the method of molecular mechanics in the CHARMM36 force field using the GROMACS 2019 program [6, 7]. The Internet service SwissParam was used for parameterization of the molecule and the studied substance [8]. 10 randomized molecules of the test substance were included in the simulated system. Next, the geometry was optimized using the gradient method.
To study the effect of temperature on the stability of the VMA-10-21 substance, a precisely weighed quantity (about 50 mg) was placed in a conical flask with a capacity of 100 ml, 50 ml of 95% ethyl alcohol was added, and placed on an ultrasonic bath for 15 minutes until the substance was completely dissolved. The resulting solution was boiled in the flask with a return refrigerator in a thermostatically controlled water bath (the temperature of 800C) for 3 hours, taking the samples every 45 minutes. In order to search for the solid state structure, molecular dynamics was simulated using simulated annealing with a temperature decrease from 1000 K to 273 K for 200 ns with the use of a thermostat at Nose-Hoover [9]. Further on, in order to study the stability of the studied substance to thermolysis, the molecular dynamics of a system of four molecules was modeled using the unlimited Hartree-Fock method with a base set of 3–21G* for 5000 fs with 1 fs step in the ORCA 4.1 program [10]. The temperature control was performed by scaling velocities with a temperature of 400 K and spherical boundary conditions of constant volume.
The effect of UV light on the stability of the VMA-10-21 substance was studied by the following method: a precisely weighed quantity (about 50 mg) was placed in a conical quartz glass flask with a capacity of 100 ml, 50 ml of 95% ethyl alcohol was added, and placed on the ultrasound bath for 15 minutes until the substance was completely dissolved. The resulting solution was exposed to UV light at a wavelength of 365 nm, and the radiation source fully met the ICH requirements. The sampling was performed every 3 hours. Computer modeling of the effect of light was performed using the unlimited Hartree-Fock method, a set of basic functions 3–21G*, a temperature of 400 K, a simulation step of 1 fs, a simulation duration of 5 ps, and a molecule multiplicity of 3.
To study the effect of acids on the stability of the substance, a precisely weighed quantity (about 50 mg) was placed in a conical flask with a capacity of 100 ml, 40 ml of 95% ethyl alcohol was added, and placed on an ultrasonic bath for 15 minutes until the substance was completely dissolved. After that, 5 ml of a 1 M hydrochloric acid solution was added. The resulting solution was boiled in the flask with a return refrigerator in a thermostatically controlled water bath (the temperature of 80°C) within 45 minutes. On completion the time, the solution was cooled down and 5 ml of a 1 M sodium hydroxide solution was added.
The influence of alkalies on the stability of the substance was studied by the following method: a precisely weighed quantity (about 50 mg) was placed in a conical flask with a capacity of 100 ml, 40 ml of 95% ethyl alcohol was added, and placed on an ultrasonic bath for 15 minutes until the substance was completely dissolved. After that, 5 ml of a 1 M sodium hydroxide solution was added. The resulting solution was boiled in the flask with a return refrigerator in a thermostatically controlled water bath (the temperature of 80°C) within 45 minutes. On completion the time, the solution was cooled down and 5 ml of a 1 M hydrochloric acid solution was added.
In order to calculate the most probable hydrolysis products in acid and alkaline media, vibration analysis was performed, and thermodynamic characteristics using the density functional theory (UB3LYP) method and the 6-311G** basis set in the ORCA 4.1 program, were calculated. During acid hydrolysis, the reaction products calculated with protonated tertiary nitrogens. Since the equivalence factor of 0.5 by titrimetric methods had been determined before, for the molecule VMA-10-21, the Gibbs energies of two simultaneously protonated nitrogen atoms of the VMA-10-21 molecule were calculated for the VMA-10-21 molecule in all possible combinations. During alkaline hydrolysis, the reaction products were presented in the form of carboxylic acid salts – COONa. The Gibbs energy of hydrolysis reactions (ΔGr) was calculated from the difference between the sum of the Gibbs energies of the reaction products (ΔGprod) and the initial compounds (ΔGreac) in accordance with the Hess’ law: ΔGr = ∑ΔGprod – ∑ ΔGreac.
The thermodynamic characteristics of water, OH- ions and the analyzed substance VMA-10-21 without protonation, were also determined. The calculation was performed at a temperature of 310K.
To study the effect of the oxidation process on the stability of the substance, a precisely weighed quantity (about 50 mg) was placed in a conical flask with a capacity of 100 ml, 45 ml of 95% ethyl alcohol was added, and placed on an ultrasonic bath for 15 minutes until the substance was completely dissolved. Then 5 ml of 3% hydrogen peroxide solution was added. The resulting solution was boiled in the flask with a return refrigerator in a thermostatically controlled water bath (the temperature of 80°C) within 45 minutes. On completion the time, the solution was cooled down and analyzed.
RESULTS AND DISCUSSION
The chemical stability of pharmaceutical molecules is of a serious concern, as it affects the safety and effectiveness of the drug. The FDA and ICH guidelines establish requirements to these tests to determine the effect of various environmental factors on the quality of a pharmaceutical substance due to the passage of time. Knowing the stability of the molecule, helps in choosing the right composition and packaging, as well as ensuring proper storage conditions and shelf life, which is important for regulatory documentation. Artificial degradation involves the destruction of drugs and their semi products under more stringent conditions than accelerated tests, which makes it possible to study the stability of the molecule more fully, and determine the most probable degradation ways [11].
Information on the stability of molecules, helps in the manufacture of dosage forms and determination of storage conditions, so it is rational to start degradation studies at an early stage of drug development [12].
The question of whether the degree of degradation of a substance is sufficient, has been a topic of a lot of discussions among pharmaceutical scientists. Decomposition of a drug substance between 5% and 20%, was considered reasonable for chromatographic analyses [13, 14]. Some pharmaceutical scientists believe that 10% decomposition is optimal for the substances with a low molecular weight [15]. It is not necessary that a forced decomposition should lead to a complete decomposition of a substance. The study can be discontinued if a pharmaceutical substance or a drug form is not decomposed after the exposure to stressful conditions [16]. This indicates the stability of the tested molecule. An excessive exposure to stress tests on the sample, may lead to the formation of secondary decomposition products that will not be identified in storage stability studies, and insufficient exposure may not produce decomposition products [17].
Stability study of VMA-10-21 when exposed to high temperatures (thermolysis)
When modeling molecular dynamics in order to search for the structure of the solid state of the substance under study, the VMA-10-21 substance molecules were arranged systematically, forming elements of the crystal lattice (Table 1).
Table 1 – State of the system in the process of molecular dynamics simulation of 10 moleculesby the method of molecular mechanics
Time, ns | System image |
0 | |
50 | |
100 | |
150 | |
200 |
These data were used as the initial location of the molecules for further calculations by the molecular dynamics method for a system of 4 molecules of the substance under study.
Table 2 shows the state of the system in the process of molecular dynamics simulation by the Hartree-Fock method with a basis set of 3-21G**.
Table 2 – State of the system in the processof molecular dynamicssimulation 0–5000 fs
Time, ns | System image |
0 | |
1000 | |
2000 | |
3000 | |
4000 | |
5000 |
As Table 2 shows, according to the results of computer modeling, the chemical structure of the VMA-10-21 molecule did not change, which makes it possible to assume the stability of the molecule when exposed to elevated temperatures.
ICH recommends performing thermal treatment at temperatures of 60–80°C, i.e. at higher temperatures than in the accelerated tests [18]. The maximum recommended temperature was selected.
Fig. 2 shows a chromatogram of the VMA-10-21 alcohol solution before stress testing.
Figure 2 – Chromatogram of VMA-10-21 alcohol solution before stress testing
Fig. 3 shows a chromatogram of the VMA-10-21 alcohol solution after stress testing.
Figure 3 – Chromatogram of VMA-10-21 alcohol solution after heating at 80°C for 180 minutes
The data on the stability of VMA-10-21 for a time of 0–180 minutes, are presented in Table 3.
Table 3 – Results of the influence of the stress test (elevated temperature)on the VMA-10-21 stability
Stress test(heating at 80°C) | Contents of VMA-10-21 | Degradation percentage |
VMA-10-21 without heating | 99.68% | – |
VMA-10-21 after 45 minutes | 99.60% | 0.08% |
VMA-10-21 after 90 minutes | 99.58% | 0.1% |
VMA-10-21 after 135 minutes | 99.54% | 0.14% |
VMA-10-21 after 180 minutes | 99.50% | 0.18% |
As follows from the presented data, the substance VMA-10-21 is almost completely resistant to high temperatures. The results of computer modeling coincided with the practical data.
Study of the VMA-10-21 stability under UV light (photolysis)
Photolytic degradation is believed to be caused by wavelengths in the range of 300–800 nm [19]. Photostability studies are an important aspect of drug studies on substance stability, since photolysis can cause photo-oxidation by a free-radical mechanism, so we chose the most “hard” UV at a wavelength of 365 nm. Fig. 4 shows the obtained chromatogram after 24 hours of UV exposure.
Figure 4 – Alcohol solution VMA-10-21 exposed to UV light after 24 hours
The data on the stability of the VMA-10-21 when exposed to UV for 0–24 hours, are presented in Table 4.
Table 4 – Results of the impact of the stress test (UV light) on the VMA-10-21 stability
Stress test (UV light 365 nm) | Contents of VMA-10-21 | Percentage of degradation |
VMA-10-21 without UV irradiation | 99.68% | – |
VMA-10-21 after 3 hours | 99.66% | – |
VMA-10-21 after 6 hours | 99.65% | – |
VMA-10-21 after 9 hours | 99.61% | – |
VMA-10-21 after 12 hours | 99.60% | – |
VMA-10-21 after 15 hours | 99.60% | – |
VMA-10-21 after 18 hours | 99.59% | – |
VMA-10-21 after 21 hours | 99.58% | – |
VMA-10-21 after 24 hours | 99.56% | – |
As follows from the presented data, the substance VMA-10-21 is resistant to UV light, which corresponds to the results of modeling.
Study of VMA-10-21 stability under the influence of acids and bases (hydrolysis)
Hydrolysis is one of the most common chemical decomposition reactions over a wide pH range. It is assumed that high humidity, as one of the parameters of the water content in the ambient air, is a potential threat to the implementation of hydrolytic cleavage reactions. In the study of hydrolysis reactions, the influence of acidic and basic conditions on it is considered as a stress factor for the primary destruction of drugs.
For acid hydrolysis, hydrochloric or sulfuric acids with concentrations of 0.1–1M are used, and for alkaline hydrolysis – sodium or potassium hydroxides with concentrations of 0.1–1M are used [17, 20]. In our study, we selected hydrochloric acid and sodium hydroxide in the maximum allowable concentrations of 1M.
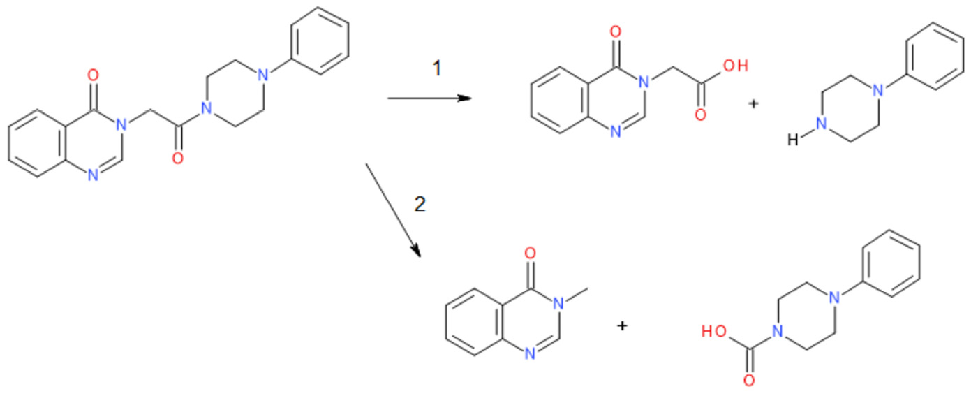
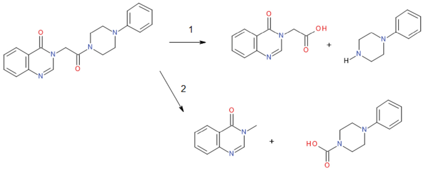
Theoretically, several hydrolysis ways are possible for the VMA-10-21 substance under study. They are shown in Fig. 5.
Figure 5 – Suggested ways of hydrolysis of VMA-10-21 substance
By the first hydrolysis way, 2-(4-oxoquinazoline-3-yl) acetic acid (product 1) and 1-phenylpiperazine (product 2) are produced, and by the second way, these are 3-methylquinazoline-4-one (product 3) and 4-phenylpiperazine-1-carboxylic acid (product 4).
The results of the vibrational analysis on the search for the most possible tertiary nitrogen atoms involved in protonation, are presented in Table 5.
Table 5 – Results of vibrational analysis of all possible combinationsfor the doubly protonated VMA-10-21 molecule
Molecule | Enthalpy, a.u. | Entropy, cal/mol*K | Enthalpy, kJ/mol | Entropy, kJ/mol*K | Gibbs energy,kJ/mol |
VMA-10-21 | –1143.540907 | 35.914 | –3002366.237 | 0.150364735 | –3002366.237 |
I + III | –1144.153274 | 35.731 | –3003974.007 | 0.149598551 | –3003974.007 |
I + IV | –1144.189237 | 35.721 | –3004068.428 | 0.149556683 | –3004068.428 |
II+ III | –1144.061293 | 35.952 | –3003300.432 | 0.150272626 | –3003300.432 |
II + IV | –1144.12641 | 35.742 | –3003732.511 | 0.150523834 | –3003732.511 |
III + IV | –1144.119529 | 35.663 | –3003903.475 | 0.149644606 | –3003903.475 |
The protonated nitrogen atom in position 1 of the quinazoline nucleus was denoted as I, in position 3 of the quinazoline nucleus – as II, 1-piperazino – as III, 4-phenyl – as IV. As the results of Table 5 show, protonation of nitrogen atoms in the VMA-10-21 molecule is most probable in positions I and IV. This Gibbs energy was used by the authors in the vibrational analysis for VMA-10-21 in acid hydrolysis reactions.
Table 6 shows the obtained vibrational analysis data for hydrolysis products.
Table 6 – Results of the conducted vibrational analysis and calculated thermodynamic characteristicsand hydrolysis products
The molecule | Enthalpy, a.u. | Entropy,cal/mol*K | Enthalpy, kJ/mol | Entropy,kJ/mol*K | Gibbs energy,kJ/mol |
Product 1 | –687.469271 | 106.648 | –1805019.32 | 0.44651 | –1805157.74 |
Product 1 (– COONa) | –686.943269 | 114.886 | –1803638.25 | 0.48100 | –1803787.36 |
Product 2 | –532.492603 | 93.828 | –1398112.58 | 0.39284 | –1398234.36 |
Product 3 | –498.863275 | 92.872 | –1309815.41 | 0.38884 | –1309935.95 |
Product 4 | –721.096936 | 99.055 | –1893312.12 | 0.41472 | –1893440.68 |
Product 4 (– COONa) | –720.566026 | 96.379 | –1891918.16 | 0.40352 | –1892043.25 |
OH- | –75.751778 | 41.417 | –198893.87 | 0.1734 | –198947.62 |
Water | –76.422293 | 46.469 | –200654.37 | 0.19456 | –200714.68 |
The calculated Gibbs energies of the reactions are presented in Table 7.
Table 7 – Calculated Gibbs energies of hydrolysis reactions.
Way of reaction | Hydrolysis product | Calculated Gibbs energies of reactions, kJ/mol |
First | No.1 + No.2 (acidic environment) | 1391.01 |
No.1 + No.2 (alkaline environment) | –707,86 | |
Second | No.3 + No.4 (acidic environment) | 1406.48 |
No.3 + No.4 (alkaline environment) | –665.343 |
As the results obtained show, hydrolysis in an alkaline environment is the most probable for the first hydrolysis way, since the Gibbs energy value is lower for this reaction. It can also be seen that in the acidic environment, due to the higher Gibbs energy of the protonated I + II molecule, the Gibbs energy of hydrolysis in the acidic reaction has increased, so hydrolysis in the acidic environment can be assumed to be less pronounced.
The chromatogram obtained as a result of the interaction of VMA-10-21 solution with hydrochloric acid, is shown in Fig. 6.
Figure 6 – Chromatogram of VMA-10-21 alcohol solution during hydrolysiswith 1M solution of hydrochloric acid after 45 minutes
The data on the VMA-10-21 stability under the influence of acids are presented in Table 8.
Table 8 – Results of the stress test influence (hydrolysis, acid) on the VMA-10-21 stability
Stress test(1M hydrochloric acid) | The contents of the VMA-10-21 | Percentage of degradation |
VMA-10-21 without hydrolysis | 99.68% | – |
VMA-10-21 after 45 minutes | 98.14% | 1.54 |
As the presented data show, under the action of a 1 M solution of hydrochloric acid, a partial decomposition of the VMA-10-21 molecule occurs.
The data obtained are shown in Fig. 7.
Figure 7 – Alcohol solution of VMA-10-21 during hydrolysis with 1M sodiumhydroxide solution after 45 minutes
VMA-10-21 stability data are presented in Table 9.
Table 9 – Results of the influence of stress test (hydrolysis, alkaline) on the VMA-10-21stability
Stress test (1M sodium hydroxide) | Contents of the VMA-10-21 | Percentage of degradation |
VMA-10-21 without hydrolysis | 99.68% | – |
VMA-10-21 after 45 minutes | 7.07% | 92.61% |
As the presented data show, under the action of 1 M sodium hydroxide solution, the VMA-10-21 molecule decomposes with a degradation percentage of 92.61%.
Under the action of an alkali solution, the VMA-10-21 molecule decomposes to form two predominant products with retention times of 2.12 min. (about 18%) and 2.98 min. (about 67%). HPLC-MS was used to determine the structural fragments formed as a result of hydrolysis of the products. Fig. 8 and 9 show the obtained mass spectra.
Figure 8 – Mass spectra of a structural fragment with a molecular weight of 162 g/mol
Figure 9 – Mass spectra of a structural fragment with a molecular weight of 186.9 g/mol
The peak, with a retention time of 2.12 min., corresponds to the molecular ion with a molar mass of162 g/mol, and the peak with a retention time of2.98 min., corresponds to the molecular ion with a mass of 186.9 g/mol. The most probable hydrolysis ways calculated as a result of a computational experiment, confirmed the mass detector data.
Based on the obtained data, it can be concluded that the decomposition of the VMA-10-21 molecule occurs at the amide group (way 1 in Fig. 5) with the formation of two main degradation products, which are separated from each other under the selected chromatographic conditions.
Hydrolysis of the VMA-10-21 molecule in the presence of 1M hydrochloric acid occurs with a significantly less decomposition of the molecule. This is probably due to the stabilization of the VMA-10-21 molecule in an acidic environment due to the formation of salts with hydrochloric acid. The main decomposition product in an acidic medium is a molecular ion with a mass of186.9 g/mol, which also coincides in the retention time (2.98 min.)
Study of VMA-10-21 stability under the influence of oxidizing agents
Hydrogen peroxide, metal ions, oxygen, initiators of radical reactions (azocompounds, N-nitrozoanilides, triazenes, dibenzyls, etc.) are widely used for the forced oxidation of drug substances. It was established that exposure to solutions of 0.1–3% hydrogen peroxide at pH=7 and a temperature of 20°C for seven days, can potentially lead to the appearance of corresponding degradation products [21]. In this study, the maximum allowable hydrogen peroxide solution of 3% was used, but with a shorter time interval.
First, a 3% hydrogen peroxide solution was analyzed without adding the analyzed substance. The resulting chromatogram is shown in Fig. 10.
Figure 10 – 3% hydrogen peroxide solution without VMA-10-21
Figure 11 – Alcohol solution of VMA-10-21 with the additionof 3% hydrogen peroxide solution after 45 minutes
The data on the stability of VMA-10-21 to oxidizing agents are presented in Table 10.
Table 10 – Results of the stress test (oxidation) effect on the VMA-10-21stability
Stress test (3% hydrogenperoxide solution) | Contents of VMA-10-21 | Percentage of degradation |
VMA-10-21 without addition of hydrogen peroxide | 99.68% | – |
VMA-10-21 after 45 minutes | 98.56% | 1.12% |
As follows from the presented data, under the action of a 3% hydrogen peroxide solution, the VMA-10-21 molecule is partially decomposed with a degradation percentage of 1.12%.
CONCLUSION
The stability of the new pharmaceutical substance VMA-10-21 was studied in the course of stress tests. As a result of the experiment it was established, that the substance is stable under the action of high temperatures and UV radiation. When conducting the hydrolysis, the investigated substance hydrolyses in alkaline environment at the amide group with the formation of 2 main products, the structural fragments of which were established using the mass detector. In the acid medium, decomposition of the product is greatly reduced, which is likely associated with the increased stability of the molecule due to the formation of salts with hydrochloric acid and the protonation of the two tertiary nitrogen atoms. When the substance is exposed to oxidizing agents (a 3% hydrogen peroxide solution), there is a slight destruction of the molecule (about 1%), which shows the relative stability of the molecule under the action of oxidizing agents. The presented computer calculations have also made it possible to predict the stability and most likely hydrolysis ways of the studied substance, which correspond to practical results. These results will be taken into account in the future when developing regulatory documentation for the substance 3-[2-(4-phenyl-1-piperazino)-2-oxoethyl]quinazoline-4(3Н)-one.
FUNDING
This work did not have funding from outside organizations.
CONFLICT OF INTEREST
The authors declare no conflict of interest.
CONTRIBUTION OF AUTHORS
T.A. Gendugov – computer analysis and processing of the results obtained, carrying out the practical partof the work; A.A. Glushko – computer analysis and processing of the results;
A.A. Ozerov – research conception and strategy, text editing, synthesis and purificationof the VMA-10-21substance; L.I. Shcherbakova – research conception and strategy, text editing.
About the authors
Tembot A. Gendugov
Pyatigorsk Medical and Pharmaceutical Institute – branch of Volgograd State Medical University
Author for correspondence.
Email: timbirlei2008@rambler.ru
ORCID iD: 0000-0002-7447-8328
Post-graduate student of the Department of Inorganic, Physical and Colloidal Chemistry
Russian Federation, 11, Kalinin Ave., Pyatigorsk, 357532Aleksandr A. Glushko
Pyatigorsk Medical and Pharmaceutical Institute – branch of Volgograd State Medical University
Email: alexander.glushko@lcmmp.ru
ORCID iD: 0000-0002-1715-0350
Candidate of Sciences (Pharmacy), Associate Professor of the Department of Inorganic, Physical and Colloidal Chemistry
Russian Federation, 11, Kalinin Ave., Pyatigorsk, 357532Alexander A. Ozerov
Volgograd State Medical University
Email: prof_ozerov@yahoo.com
ORCID iD: 0000-0002-4721-0959
Doctor of Sciences (Chemistry), Professor, the Head of the Department of Pharmaceutical and Toxicological Chemistry
Russian Federation, 1, Pavshikh Bortsov Sq., Volgograd, 400131Larisa I. Shcherbakova
Pyatigorsk Medical and Pharmaceutical Institute – branch of Volgograd State Medical University
Email: shcherbakovali@mail.ru
ORCID iD: 0000-0002-7806-2805
Candidate of Sciences (Pharmacy), Associate Professor, the Head of the Department of Inorganic, Physical and Colloidal Chemistry
Russian Federation, 11, Kalinin Ave., Pyatigorsk, 357532References
- Gosudarstvennaya pharmakopeya Rossiiskoi Federatsii [State Pharmacopoeia of the Russian Federation]. In 14 Vol. [cited 2019 Dec 27]. Available from: http:// femb.ru/femb/pharmacopea.php.
- ICH guidelines, Q1A (R2): Stability Testing of New Drug Substances and Products (Revision 2), International Conference on Harmonization [cited 2019 Dec 20]. Available from: https://www.ema.europa.eu/en/documents/ scientific–guideline/ich-q-1-r2-stability-testing-new-drugsubstances-products-step-5_en.pdf
- ICH Guidance, Q1C: Stability Testing for New Drug Dosage Forms, International Conference on Harmonization [cited 2019 Dec 12]. Available from: https://www.ema.europa.eu/en/ documents/scientific-guideline/ich-q-1-c-stability-testingrequirements-new-dosage-forms-step-5_en.pdf
- Existing Active Ingredients and Related Finished Products (CPMP/QWP/122/02 Rev. 1 corr) [cited 2019 Dec 25]. Available from: http://www.ema.europa.eu/docs/en_ GB/document_library/Scientific_guideline/2009/09/ WC500003466.pdf
- ICH Guidance, Q1B: Photostability Testing of New Drug Substances and Products, International Conference on Harmonization [cited 2019 Dec 27]. Available from: https://www.ema.europa.eu/en/documents/scientificguideline/ich-q-1-b-photostability-testing-new-activesubstances-medicinal-products-step-5_en.pdf
- Food and Drug Administration, FDA Guidance for Industry, INDs for Phase II and III Studies – Chemistry, Manufacturing and Controls Information [cited 2019 Dec 22]. Available from: https://www.fda.gov/media/70822/download
- Klauda JB, Venable RM, Freites JA, O’Connor JW, Tobias DJ, Mondragon-Ramirez C, et al. Update of the CHARMM All-Atom Additive Force Field for Lipids: Validation on Six Lipid Types. Journal of Physical Chemistry B. 2010;114(23):7830–43. doi: 10.1021/jp101759q
- Abraham MJ, Murtola T, Schulz R, Páll S, Smith JC, Hess B, et al. GROMACS: High performance molecular simulations through multi-level parallelism from laptops to supercomputers. SoftwareX. 2015;1–2:19–25. doi: 10.1016/j.softx.2015.06.001.
- Zoete V, Cuendet MA, Grosdidier A, Michielin O. SwissParam: a Fast Force Field Generation Tool For Small Organic Molecules. Journal of Computational Chemistry. 2011;32(11):2359–68. DOI:10.1002/ jcc.21816.
- Braga C., Travis K. P. A configurational temperature Nosé – Hoover thermostat. The Journal of Chemical Physics. 2005;123(11):123. doi: 10.1063/1.2013227.
- Neese F. Software update: The ORCA program system, version 4.0. Wiley Interdisciplinary Reviews: Computational Molecular Science. 2017;8(1):e1327. doi: 10.1002/wcms.1327.
- Bäcktorp C, Örnskov E, Ottosson J, Evertsson E, Remmelgas J, Broo A. Experimental and Quantum Chemical Evaluations of Pyridine Oxidation Under Drug Development Stress Test Conditions. Journal of Pharmaceutical Sciences. 2015;104(12):4355– 43. doi: 10.1002/jps.24685
- Szepesi G, Gazdag M, Mihályfi K. Selection of high – performance liquid chromatographic methods in pharmaceutical analysis. Journal of Chromatography A. 1991;464:265–278. doi: 10.1016/s0021- 9673(00)94245-6.
- Gazdag M, Szepesi G, Szeleczki E. Selection of high–performance liquid chromatographic methods in pharmaceutical analysis. Journal of Chromatography A. 1988;454:83–94. doi: 10.1016/s0021-9673(00)88604-5.
- Carr GP, Wahlich JC. A practical approach to method validation in pharmaceutical analysis. Journal of Pharmaceutical and Biomedical Analysis. 1990;8(8–12):613–618. doi: 10.1016/0731-7085(90)80090-c.
- Jenke D.R. Chromatographic method validation: a review of common practices and procedures. Journal of Liquid Chromatography & Related Technologies. 1996;19(5): 719–736. doi: 10.1080/10826079608005533.
- Iram F, Iram H, Iqbal A, Husain A. Forced Degradation Studies. Journal of Analytical & Pharmaceutical Research. 2016;3(6):73. DOI: 10.15406/ japlr.2016.03.00073.
- Blessy M, Patel RD, Prajapati PN, Agrawal YK. Development of forced degradation and stability indicating studies of drugs – A review. Journal of Pharmaceutical Analysis. 2014;4(3):159–165. DOI:10.1016/j. jpha.2013.09.003.
- Alsante KM, Ando A, Brown R, Ensing J, Hatajik T, Kong W, et al. The role of degradant profiling in active pharmaceutical ingredients and drug products. Advanced Drug Delivery Reviews. 2007;59(1):29–37. doi: 10.1016/j.addr.2006.10.006.
- Piechocki JT, Thoma K. Pharmaceutical Photostability and Stabilization Technology. 1th ed. Informa Healthcare. CRC Press, 2019.
- Singh R, Rehman Z. Current trends in forced degradation study for pharmaceutical product development. Journal of Pharmaceutical Education and Research. 2012;3(1):54–63.
Supplementary files

























