Effect of the GABA derivative succicard on the lipid and carbohydrate metabolism in the offspring of rats with experimental preeclampsia in early and late ontogeny
- Authors: Muzyko E.A.1, Perfilova V.N.1, Nesterova A.A.2, Suvorin K.V.1, Tyurenkov I.N.1
-
Affiliations:
- Volgograd State Medical University
- Pyatigorsk Medical and Pharmaceutical Institute – branch of Volgograd State Medical University
- Issue: Vol 8, No 5 (2020)
- Pages: 325-335
- Section: Articles
- URL: https://journals.eco-vector.com/2307-9266/article/view/111653
- DOI: https://doi.org/10.19163/2307-9266-2020-8-5-325-335
- ID: 111653
Cite item
Abstract
Maternal preeclampsia can bring about metabolic disorders in the offspring at different stages of ontogeny. Up to date, no ways of preventive pharmacological correction of lipid and carbohydrate metabolism disorders developing in different periods of ontogeny in the children born to mothers with this pregnancy complication, have been developed.
The aim of the experiment was to study the effect of the gamma-aminobutyric acid derivative succicard (22 mg/kg) and its reference drug pantogam (50 mg) administered per os in the course of treatment in puberty (from 40 to 70 days after birth), on the parameters of lipid and carbohydrate metabolism in the offspring of the rats with experimental preeclampsia, in different periods of ontogeny.
Materials and methods. To assess the activity of lipid and carbohydrate metabolism in the offspring, an oral glucose tolerance test was performed at 40 days, 3, 6, 12 and 18 months of age. The level of glycosylated hemoglobin was measured at the age of 6, 12, and 18 months, and the concentrations of total cholesterol, high-density lipoprotein cholesterol and triglycerides were tested at 40 days, 3, 6, 12, and 18 months of age.
Results. The offspring of the rats with experimental preeclampsia, were found out to have lipid and carbohydrate metabolism disturbances during early (40 days and 3 months of age) and late (6, 12, and 18 months of age) ontogeny. In comparison with the offspring of healthy females, these disturbances were manifested by significantly higher levels of glucose revealed during the oral glucose tolerance test, by high glycosylated hemoglobin in males, and with elevated concentration of total cholesterol and triglycerides and a low level of high-density lipoprotein cholesterol in the negative control rats. Both the gamma-aminobutyric acid derivative succicard and its reference drug pantogam, reduced the negative effect of experimental preeclampsia on lipid and carbohydrate metabolism in the offspring in late ontogeny (6, 12 and 18 months of age). The effectiveness of succicard was either higher or comparable with pantogam.
Conclusion. Thus, the negative impact manifestations of experimental preeclampsia on lipid and carbohydrate metabolism, are revealed in the offspring in early (40 days and 3 months) and late (6, 12 and 18 months of age) ontogeny. The gamma-aminobutyric acid derivative succicard reduces the negative effect of experimental preeclampsia. Based on this finding, the drug implies the possibility of the development of a safe and highly effective medicine for preventive correction of lipid and carbohydrate metabolism disorders in the children born to mothers with preeclampsia.
Full Text
Abbreviations. AP – arterial pressure; ATP – adenosine triphosphate; GABA – gamma-aminobutyric acid; IUGR – intrauterine growth restriction; TC – total cholesterol; OGTT – oral glucose tolerance test; PE – preeclampsia; TG – triglycerides; HDL-С – high-density lipoprotein cholesterol; EP – experimental preeclampsia.
INTRODUCTION
Preeclampsia is (PE) is a severe pregnancy complication causing adverse sequelae for both mother and child at different stages of postnatal ontogeny. In children, early complications of PE include premature birth and intrauterine growth retardations (IUGR), whereas it’s long-term effects are manifested by a higher risk of developing cardiovascular, neurological, endocrine and metabolic disorders [1].
The damaging action of this pregnancy complication is associated with impaired cytotrophoblast invasion and deficient spiral arterial conversion, endothelial dysfunction, changes in the correlation between pro- and anticoagulant factors, an enhanced production of vasoconstrictors, which finally lead to circulatory disturbances in the “mother-placenta-fetus” system and hypoxy [2, 3]. The latter may cause changes in the organs and tissues in the critical periods of the fetus development, which result in their dysfunction in late ontogeny [4].
A prenatal exposure to preeclampsia increases the risk of metaboliс disorders in children at different stages of their individual development [5, 6]. It has been demonstrated that the children with a past history of cerebral ischemia, have a higher level of blood glucose [7], those with IUGR show elevated concentrations of total cholesterol (TC), triglycerides (TGs) and low-density lipoprotein cholesterol with a simultaneous decrease in high-density lipoprotein cholesterol (HDL) as compared to healthy children [8]. Furthermore, prematurely-born infants and those with IUGR born to mothers with preeclampsia, tend to show insulin resistance and obesity, respectively [9], which may contribute to the development of hypertension and type II diabetes mellitus at a more mature age.
To date, no ways of preventive pharmacological correction of lipid and carbohydrate metabolism disorders occurring at different stages of postnatal development in the children born to mothers with preeclampsia, have been discovered. Gamma-aminobutyric acid (GABA) derivatives are of special interest, as earlier studies have demonstrated their endothelium-protective, antihypoxic, antioxidant, vasodilating and antithrombotic action [10, 11]. Moreover, they promote the activation of both tissue respiration and oxidative phosphorylation, and enhance glucose utilization by cells [12], which implies their potential use for correcting lipid and carbohydrate metabolism in the offspring exposed to PE.
THE AIM of the present research was to study the effect of the course administration of the GABA derivative succicard and its reference drug pantogam in the puberty period (from the 40th to the 70th days of life) on the parameters of lipid and carbohydrate metabolism in the offspring of the rats with experimental preeclampsia (EP) at different stages of ontogeny.
MATERIALS AND METHODS
Experimental animals
The study was conducted on the offspring of white outbred rats – females weighing 230-250 g – with a physiological pregnancy and PE: males and females at the age of 40 days, 3, 6, 12 and 18 months (n=121). The animals were delivered from “Rappolovo breeding ground for laboratory animals” (Leningrad region). The females and their offspring were kept and cared for in the Volgograd State Medical University vivarium settings according to the recommendations of the national standard of the Russian Federation GOST R-33044-2014 Principles of Good Laboratory Practice. The study was conducted in compliance with the requirements of the Decree of MH RF No. 199n dated 01.04.2016 “On the Approval of the Guidelines for Laboratory Practice and the Directives of the European Parliament dated 2010/63/EU and the European Union Council dated 22.09. 2010 on the protection of animals used for scientific purposes”. The experimental study protocol was approved by the Regional Independent Review Board (SU “Volgograd Medical Research Centre”): No.2044-2017 dated 25 December, 2017.
Modeling experimental preeclampsia
To be mated, the rats were placed in separate cages for 12 hours at the ratio of 2 females and 1 male. The pregnancy was detected when vaginal smears showed the presence of sperm. After that, each pregnant female was put in a separate cage. To model PE, the rats received a 1.8% sodium chloride solution instead of drinking water from the 1st to 21st day of pregnancy [13]. Increased arterial pressure (AP) and elevated urine protein on the 20th day of pregnancy as compared to the 1st day, were the signs indicating the development of PE. AP was measured in the females on the 1st and 20th days of gestation using a non-invasive blood pressure monitoring system CODA’TM Non-Invasive Blood Pressure System (Kent Scientific Corporation, USA). For a 24-hour urine collection, the female rats were placed in a metabolic cage (Nalgene, Italy). To assess total urine protein, a CliniTest-BM PGK panel (ECO-SERVIS, Russia) was used.
On the 1st day of pregnancy, AP readings in rats with physiological pregnancy and simulated EP were 121.95±6.62 and 119.54±8.31 mmHg, respectively. On the 20th day they were 109.74±5.16 and 133.61±9.64 mmHg, with an increase of 17.9% (p<0.05).
The level of 24-hour urine protein showed no significant differences in both groups at the beginning of pregnancy. However, on the 20th day of gestation, it was 4.91±0.40 mg per 24 hours in the females with PE, whereas in the healthy females it amounted to 2.38±0.26 mg per 24 hours.
The obtained findings were considered as the evidence that the females receiving saline solution, developed EP.
Study design
On the 39th day after birth, the offspring were moved away from the females. The experiment was conducted in two stages. The first stage involved the division into groups: 1, 2 – positive control – offspring (males n=10, and females n=10) born to the females without PE; 3, 4 – negative control – offspring (males n=11 and females n=10) born to the females with EP.
At the second stage, the groups were arranged in such a way that each group was made up of 10 animals: 1, 2 – positive control – offspring (males and females) born to the females without EP and receiving distilled water; 3,4 – negative control – offspring (males and females) born to the females with PE and receiving distilled water; 5, 6, 7, 8 – offspring (males and females) born to the females with EP and receiving the GABA derivative succicard (composition of 4-phenylpiracetam and succinic acid in the ratio of 2:1) (Fig. 1) at the dose of 22 mg/kg and the reference drug pantogam (hopantenic acid, PIK-PHARMA PRO Ltd, Russia; syrup 100 mg/ml), at the dose of 50 mg, respectively. The offspring received a half of the effective dose of succicard for adult animals, which had been detected while studying neuro- and cardioprotective, antihypoxic and antioxidant activities [15]. Pantogam was chosen as a reference drug since it is used in clinical practice to treat children with posthypoxic disorders caused by various conditions including preeclampsia. Hopantenic acid was applied in effective doses on the basis of literature findings [16]. Succicard and the reference drug, were administered per os at the same time once every 24 hours, from the 40th to 70th days of postnatal ontogeny. The positive and negative control animals received a similar regimen of distilled water.
Figure 1 – Structural formula of succicard
Identifiable parameters of lipid and carbohydrate metabolism
The oral glucose tolerance test (OGTT) was performed at the age of 40 days, 3, 6, 12, and 18 months. The level of glycosylated hemoglobin was measured at the age of 6, 12, and 18 months, and the concentrations of TC, HDL and TG were tested at the age of 40 days, 3, 6, 12, and 18 months.
When OGTT was performed, the blood was collected from the caudal vein after a 12-hour food deprivation. Glucose solution was intraorally administered to the rats at the rate of 4g of the substance per 1 kg of the animal weight, then, its concentration in the blood was measured 30, 60, 90, and 120 min after loading to assess an endogenous insulin activity [17]. Oxochrom Glucosa S panel for enzymatic detection of glucose by GOD-POD method (Erba Lachema, Czech Republic), was used. The optical density of the specimens was measured using a PE-5400V spectrophotometer (Ekros, Russia) (the wavelength 498 nm).
Glycosylated hemoglobin indicates the total level of glucose interacting with hemoglobin within the period of 3-4 months. Its amount in the blood collected from the sublingual vein, was quantified using a Glycohemoglobin reagent panel (High Technology, Inc., USA). A hemolyzed sample was mixed up with weak cation exchange resin. After a 5-minute incubation, filters were used to separate the supernatant containing glycosylated hemoglobin from the resin. To determine the content of glycosylated hemoglobin, the optical density of glycosylated hemoglobin fraction and that of total hemoglobin, were evaluated. The amount of glycosylated hemoglobin in the sample, was calculated as a ratio of these two optical density types. The measurements were made with a PE-5400V spectrophotometer (Ekros, Russia) with a wavelength of 415 nm.
The content of TC, HDL and TG in blood serum was determined using the following reagent panels – Total Cholesterol (Olvex Diagnosticum, Russia), High-density lipoprotein cholesterol (Olvex Diagnosticum, Russia) and Triglycerides (Olvex Diagnosticum, Russia). The blood was collected from the sublingual vein. The optical density was assessed by a PE-5400V spectrophotometer (Ekros, Russia).
Methods of statistical analysis of data
The study findings were statistically processed with STATISTICA v.12.5 software (StatSoft Inc., USA), which involved the Mann-Whitney U test, the Student’s t-test to compare paired samples, the Newman-Keuls test for multiple comparisons with a prior assessment of the distribution normality based on the Shapiro-Wilk test. The differences were statistically significant when p<0.05.
RESULTS
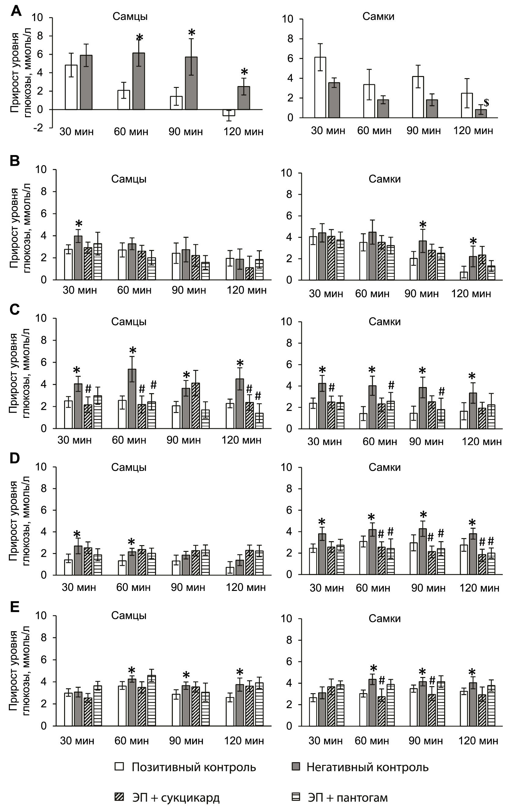
OGTT findings revealed that the offspring born to the females with PE, showed a higher increase in the glucose level as compared to the positive control rates, which may be suggestive of carbohydrate metabolism disturbances.
In 40-day-old males born to the females with EP compared with the males born to the healthy females, the increase in the glucose level with reference to the original values (before loading) 60 min after its administration, was 3 times higher (p<0.05), after 90 min it was 4 times higher (p<0.05) and after 120 min this indicator was negative in the positive control group. However, 40-day-old females demonstrated the opposite tendency (Fig. 2A). In 3-month-old negative control males, significant differences were observed 30 minutes after the glucose administration – the increase was 1.4 times as high (p<0.05) as in the animals born to the rats with physiological pregnancy, whereas 90 and 120 min after the introduction, in the females, the increase was 1.8 and 2.9 times higher (p<0.05), respectively (Fig. 2B). In 6- month-old males born to the rats with a complicated pregnancy, the gain in the glucose level was significantly higher – 1.6, 2.1, 1.8, and 2 times higher (p<0.05) 30, 60, 90 and 120 min after the administration, respectively, as compared to the offspring of healthy females; in the female offspring it was 1.8, 2.8, 2.7 and 2 times higher (p<0.05) (Fig. 2C). At the age of 12 months, the negative control males showed an increase, which was significantly higher 30 and 60 min after the introduction (1.9 and 1.6 times (p<0.05)), the females demonstrated a high increase throughout the test (1.6 times (p<0.05) 30 min after, 1.4 times (p<0.05) in 60, 90, and 120 min (fig. 2D). The same trend retained in 18-month-old offspring. 60, 90 and 120 minutes after the glucose introduction, the negative control males showed a higher increase (1.2, 1.3 and 1.5 times (p<0.05)) as compared to the positive control group, in the females it was 1.4, 1.2 and 1.2 times higher (p<0.05) (Fig. 2E).
Figure 2 – Effect of GABA derivatives on the increase in glucose level in the offspring of the females with EP at the age of 40 days (A), 3 months (B), 6 months (C), 12 months (D), and 18 months (E) (M±m) on the basis of OGTT findingsNote: $ – based on the Mann-Whitney test as compared to the positive control group; * – based on the Student’s t-test as compared to the positive control group; # – based on the Newman-Keuls test as compared to the negative control group (p<0.05)
In 3-month-old males and females receiving succicard and its reference drug, the increase was lower than in the negative control group, however, no significant differences were revealed (Fig. 2B). 6-month-old males receiving succicard, demonstrated a glucose increase which was 1.9, 2.5 and 1.9 times lower (p<0.05) 30, 60 and 120 minutes after the administration; in the rats receiving hopantenic acid, it was 2.2, 3.2 lower (p<0.05) after 60 and 120 minutes. In the females to which succicard had been administered, the increase was 1.7 times lower (p<0.05) 30 minutes after the introduction, in those receiving hopantenic acid it was 1.6 and 2.1 times (p<0.05) lower after 60 and 90 min (Fig. 2C). At the age of 12 months, significant differences were revealed only in the females to which GABA derivatives and the reference drug had been administered. Those receiving succicard, showed an increase which was 1.6 times (p<0.05) lower 60 min after the glucose introduction and 2 times lower after 90 and 120 min; in the rats receiving hopantenic acid it was 1.7, 1.8 and 1.9 times lower (p<0.05) after 60, 90 and 120 min (Fig. 2D). 18-month-old females, to which succicard had been administered, demonstrated significantly lower values of the increase 60 and 90 min after the glucose introduction (1.6 and 1.4 times (p<0.05)). No significant differences were revealed in the females receiving hopantenic acid as well as in the males receiving succicard and the reference drug as compared to the negative control group (Fig. 2E).
When estimating the level of glycosylated hemoglobin it was found out that in the males born to the rats with EP, this indicator was 1.5 times higher (p<0.05) at the age of 6 months, and 1.3 times higher (p<0.05) at the ages of 12 and 18 months as compared to the positive control group. Among the males, to which the studied GABA derivative and its reference drug had been administered, significant differences from the animals born to the females with the studied pregnancy complication were revealed only in the rats receiving succicard: at the age of 6 months their level of glycosylated hemoglobin was 1.7 times lower (p<0.05), and at the age of 18 months – 1.2 times lower (p<0.05). No significant differences between the females from the positive and negative control groups as well as those receiving succicard and hopantenic acid, were found out (Table 1).
Table 1 – Effect of GABA derivatives on the level of glycosylated hemoglobin in the offspring of the females with EP at the age of 6, 12 and 18 months (M±m)
Age | Animal groups | Rat gender | Level of glycosylated hemoglobin |
6 months | Offspring of the females with physiological pregnancy receiving distilled water – positive control | Males | 8.43±0.65 |
Females | 8.87±0.31 | ||
Offspring of the females with EP receiving distilled water – negative control | Males | 12.56±0.84$ | |
Females | 9.01±0.61 | ||
Offspring of the females with EP receiving succicard 22 mg/kg | Males | 7.45±0.74# | |
Females | 8.94±0.74 | ||
Offspring of the rats with EP receiving pantogam 50 mg | Males | 10.69±0.73 | |
Females | 10.71±0.78 | ||
12 months | Offspring of the females with physiological pregnancy receiving distilled water – positive control | Males | 8.27±0.58 |
Females | 7.56±0.81 | ||
Offspring of the females with EP receiving distilled water – negative control | Males | 10.44±0.61* | |
Females | 7.49±0.83 | ||
Offspring of the females with EP receiving succicard 22 mg/kg | Males | 11.34±0.90 | |
Females | 6.53±0.33 | ||
Offspring of the rats with EP receiving pantogam 50 mg | Males | 10.39±1.29 | |
Females | 7.63±0.83 | ||
18 months | Offspring of the females with physiological pregnancy receiving distilled water – positive control | Males | 9.6±1.00 |
Females | 10.55±0.94 | ||
Offspring of the females with EP receiving distilled water – negative control | Males | 12.26±0.87* | |
Females | 10.27±0.75 | ||
Offspring of the females with EP receiving succicard 22 mg/kg | Males | 9.85±0.76# | |
Females | 9.24±0.93 | ||
Offspring of the rats with EP receiving pantogam 50 mg | Males | 10.97±1.06 | |
Females | 10.52±1.33 |
Note: $ – based on the Mann-Whitney test as compared to the positive control group; * – based on the Student’s t-test as compared to the positive control group; # – based on the Newman-Keuls test as compared to the negative control group (p<0.05)
No significant changes in the lipid metabolism indices were registered in the negative control animals aged 40 days as compared to the offspring born to the rats with physiological pregnancy (Fig. 3A).
The concentration of TС in blood in 3-month-old males and females born to the rats with EP did not change, their level of HDL was 2 and 1.3 times as low (p<0.05) as in the positive control group. The changes in TG concentration were observed only in the males of the negative control group – it was 1.4 higher (p<0.05) compared to the offspring of the healthy females (Fig. 3B). This tendency was retained at the age of 6 months: the males born to the rats with complicated pregnancy, showed a 1.6 times lower level of HDL (p<0.05), their TG level was 1.3 times higher (p<0.05); in the females the HDL, the concentration was 1.9 times lower (p<0.05) (Fig. 3C). 12-month-old males and females of the negative control group tended to demonstrate a lower level of HDL (1.2 times, p<0.05) and an increased concentration of TG in blood serum (1.3 and 1.6 times, p<0.05); the females also showed a higher level of ЕС (1.3 times, p<0.05) compared to the positive control group (Fig. 3D). The level of HDL in the males and females born to the rats with EP aged 18 months, was 2.2 and 1.4 times as low (p<0.05) as in the offspring of the healthy animals, respectively. At the same age, the TС and TG levels were 1.3 times higher (p<0.05) (Fig. 3E).
Figure 3 – Effect of the GABA derivatives on the lipid metabolism indices in the offspring of the females with EP aged 40 days (A), 3 months (B), 6 months (C), 12 months (D) and 18 months (E) (M±m)Note: $ – based on the Mann-Whitney test as compared to the positive control group; * – based on the Student’s t-test as compared to the positive control group; # – based on the Newman-Keuls test as compared to the negative control group (p<0.05)
No significant differences were revealed in 3-month-old males and females receiving succicard and the reference drug compared to the negative control group (Fig. 3B). However, by the age of 6 months, the females which had been receiving succicard and hopantenic acid, showed a lower level of ЕС (1.2 and 1.3 times, p<0.05), respectively, in contrast to the offspring of the rats with EP. The concentration of HDL in the females, to which succicard had been administered, was 1.5 times higher (p<0.05). The offspring receiving hopantenic acid, showed lower levels of TG (1.9 and 1.8 times, p<0.05 in the males and females, respectively) compared to the negative control group (Fig. 3C). In 12-month-old males, to which succicard had been administered, a 1.3 times lower concentration of TC (p<0.05) was observed. The females, which had been receiving succicard and hopantenic acid, demonstrated a lower level of TG that was 1.3 times as low as in the offspring born to the rats with the complicated pregnancy (Fig. 3В). At the age of 18 months, statistically significant differences from the negative control group were registered only in the offspring receiving succicard: in the males, the HDL concentration was 1.8 times as high (p<0.05) and in the females the TG level was 1.6 times as low (p<0.05) (Fig. 3E).
DISCUSSION
To date, a number of studies have demonstrated that the impact of PE during the intrauterine period is associated with a higher risk of endocrine and metabolic disturbances both at early stages of postnatal development and in the late periods of life [5, 6, 18, 19]. According to the Weibull parametric survival model, hypertensive disorders of pregnancy including chronic hypertension, gestation hypertension and PE, significantly increase the risks of developing endocrine and metabolic disturbances in children up to the age of 18 and may be manifested as obesity, hyperlipidemia, and diabetes mellitus [9, 18]. In neonates, who suffered perinatal hypoxia, the level of ЕС and TG in blood serum, exceeds the age-specific normal values [20]. The study of lipid and carbohydrate metabolism in 3- and 6-month-old offspring born to the mice with EP, demonstrated an elevated concentration of blood glucose and its higher increase compared to the control group of the animals registered by OGTT, with a simultaneous trend towards an insulin level decrease [21]. The male rats, which were on a high-fat diet and were subjected to perinatal hypoxia, showed a considerably elevated level of fasting glucose and impaired glucose tolerance [22].
The carried out experiments have revealed lipid and carbohydrate metabolism disturbances observed in the offspring of rats with EP both at early (40 days and 3 months) and late (6, 12, 18 months) stages of ontogeny. Compared to the offspring of healthy females, they were manifested by significantly higher increases in glucose levels, revealed during the oral glucose tolerance test; by the elevated glycosylated hemoglobin values in males, a high concentration of TC and TG, and low HDL in the negative control rats.
Hypoxic damage typical of this type of pregnancy complication, is likely to account for this effect of PE. The exposure to hypoxia during the critical periods of the fetal development, has an adverse impact on organs and tissues, and induces their functional impairments in the postnatal ontogeny [4].
B. Akhaphong et al. [2] demonstrated that the increased ß-cell death, a decrease in their area in the pancreas and changes in the mTOR protein level (mammalian target of rapamycin) regulating the growth and survival of cells, are observed in the offspring of rats born to the females with experimental gestation hypertension.
Another mechanism of PE adverse effect on children’s metabolism is hypomethylation of imprinted genes. There is some evidence that children born to the mothers with PE, show alkylation-induced aberrations of differentially methylated gene regions IGF2, DLKI and MEST, which influence postnatal ontogeny. This process contributes to the development of obesity, diabetes, hypertension and other metabolic disorders in adulthood [24–26].
Impaired lipid and carbohydrate metabolism in the offspring caused by PE suffered by mothers, has a negative effect on their healths, decreases the quality of their lives, and reduces their lifespans. Therefore, a search for agents for correcting such PE complications, is of crucial importance.
The study carried out by the authors, has demonstrated that the cycle administration of the GABA derivative succicard and its reference drug in the puberty period, yielded a lesser increase in the glucose level registered by OGTT in the 6-month-old offspring. The administration of these agents at the age of 12 months, caused a significant decrease in this indicator only in the females, whereas at the age of 18 months the increase was significantly lower in the females, which had been receiving succicard, than in the negative control group. The assessment of glycosylated hemoglobin level has revealed that it was significantly lower only in 6- and 8-month-old males, to which succicard had been administered, as compared to the negative control group.
When the lipid profile was estimated in the males, which had been receiving the GABA derivative and the reference drug, a decrease in the TG level was observed at the age of 6 months in the rats receiving hopantenic acid; a reduced concentration of TС was registered at the age of 12 months and increased HDL was reported in 18-month-olds receiving succicard. 6-month-old females, which had been administered with succiard and the reference drug, showed a lower level of TС and TG, but higher HDL, whereas in 12-month-olds the concentration of TG in the blood serum was decreased. At the age of 18 months, significant differences from the negative control group were revealed only in the females receiving succicard: their TG level was lower.
These facts suggest that the GABA derivative succicard and hopantenic acid, promote improvement in lipid and carbohydrate metabolism indices at late stages of ontogeny (6, 12, 18 months) in the offspring of rats with EP. The efficacy of succicard either exceeded or was comparable with that of its reference drug.
The pharmacological properties of the succicard compounds (a composition of 4-phenylpiracetam and succinic acid), are likely to account for the obtained findings. S and R enantiomers of phenylpiracetam are selective inhibitors of dopamine reuptake and show affinity for the dopamine transporter, DAT [27]. Moreover, it is well-known that catecholamines and therapeutic agents, which stimulate the release or block the uptake of endogenous catecholamines, suppress appetite. In the experimental study, the oral administration of S-phenylpiracetam in the mice kept on a “western diet”, and Zucker line obese rats for 8 and 12 weeks, resulted, respectively, in a considerable weight and body fat mass losses. Furthermore, they showed a significant decrease in the glucose level when OGTT was conducted [28].
Another assumptive mechanism of the favourable effect of succicard on the indices of lipid and carbohydrate metabolism in the offspring, can be associated with the fact that phenylpiracetam and succinic acid, which it is composed of, are capable of eliminating the hypoenergetic condition of pancreatic cells. The former has a pronounced antihypoxic action, stimulates oxidation-reduction processes, enhances glucose utilization by cells. Succinic acid is a Krebs cycle metabolite and can promote an increased production of NADH+H+, FADH+, which results in ATP production in mitochondria. The earlier studies have demonstrated that introduction of succicard after a chronic alcohol intoxication, leads to a decrease in the amount of primary and secondary products of lipid peroxidation, an increased activity of superoxide dismutase and glutathione peroxidase in cardiac and cerebral mitochondrial cells, and inhibits mitochondrial dysfunction [14].
CONCLUSION
Consequently, EP has a negative impact on the indices of lipid and carbohydrate metabolism in the offspring both at early (40 days and 3 months) and later (6, 12, 18 months) stages of individual development. The GABA derivative succicard decreases the negative effect of EP, which can suggest the likelihood of developing a safe and highly effective agent for a preventive correction of lipid and carbohydrate metabolism disturbances in children, born to mothers with EP on its basis.
FUNDING
The present study was not funded by any third-party organizations.
AUTHOR CONTRIBUTION
E.A. Muzyko – implementation of the main stages of the experiment, analysis and interpretation of the findings, article writing.
V.N. Perfilova – analysis and interpretation of the data, verification of the crucial intellectual content, approval of the manuscript for publication.
A.A. Nesterova – analysis and interpretation of the data.
K.V. Suvorin – implementation of the main stages of the experiment.
I.N. Tyurenkov – development of the concept and design, verification of the crucial intellectual content, a final approval of the manuscript for publication.
CONFLICT OF INTEREST
The authors declare no conflict of interest.
About the authors
Elena A. Muzyko
Volgograd State Medical University
Author for correspondence.
Email: muzyko.elena@mail.ru
ORCID iD: 0000-0003-0535-9787
postgraduate student of The Department of Pharmacology and Pharmacy of Institute of Continuing Medical and Pharmaceutical Education
Russian Federation, 1, Pavshikh Bortsov Sq., Volgograd, 400131Valentina N. Perfilova
Volgograd State Medical University
Email: vnperfilova@mail.ru
ORCID iD: 0000-0002-2457-8486
Doctor of Science (Biology), Professor, Professor of The Department of Pharmacology and Pharmacy of Institute of Continuing Medical and Pharmaceutical Education
Russian Federation, 1, Pavshikh Bortsov Sq., Volgograd, 400131Alla A. Nesterova
Pyatigorsk Medical and Pharmaceutical Institute – branch of Volgograd State Medical University
Email: aanesterova2013@gmail.com
ORCID iD: 0000-0003-3140-3016
Candidate of Science. (Medicine), Assistant Professor of The Department of Morphology
Russian Federation, 11, Kalinin Ave., Pyatigorsk, 357532Kirill V. Suvorin
Volgograd State Medical University
Email: kvsuvorin1@mail.ru
6th year student of The Pediatrics Faculty
Russian Federation, 1, Pavshikh Bortsov Sq., Volgograd, 400131Ivan N. Tyurenkov
Volgograd State Medical University
Email: fibfuv@mail.ru
ORCID iD: 0000-0001-7574-3923
Corresponding Fellow of the RAS, Professor, The Head of The Department of Pharmacology and Pharmacy of Institute of Continuing Medical and Pharmaceutical Education
Russian Federation, 1, Pavshikh Bortsov Sq., Volgograd, 400131References
- Lu HQ, Hu R. Lasting Effects of Intrauterine Exposure to Preeclampsia on Offspring and the Underlying Mechanism. AJP Rep. 2019;9(3):e275–e291. doi: 10.1055/s-0039-1695004.
- Galina ТV, Devyatova ЕА, Gagayev ChG. Preeclamspia: new aspects of pathogenesis, concept, screening and prevention. Obstetrics and Gynecology: news, opinions, training. 2017;3:67–77. Russian
- Phipps EA, Thadhani R, Benzing T, Karumanchi SA. Pre-eclampsia: pathogenesis, novel diagnostics and therapies. Nat Rev Nephrol. 2019;15(5):275–289. doi: 10.1038/s41581-019-0119-6.
- tojanovska V, Scherjon SA, Plösch T. Preeclampsia As Modulator of Offspring Health. Biol Reprod. 2016;94(3):53. doi: 10.1095/biolreprod.115.135780.
- Lin S, Leonard D, Co MA, Mukhopadhyay D, Giri B, Perger L, Beeram MR, Kuehl TJ, Uddin MN. Pre-eclampsia has an adverse impact on maternal and fetal health. Transl Res. 2015;165(4):449–63. doi: 10.1016/j.trsl.2014.10.006.
- Wu CS, Nohr EA, Bech BH, Vestergaard M, Catov JM, Olsen J. Health of children born to mothers who had preeclampsia: a population-based cohort study. Am J Obstet Gynecol. 2009;201(3):269.e1–269.e10. doi: 10.1016/j.ajog.2009.06.060.
- Tumaeva Т.S., Balykova L.А. Features of Metabolic Processes in Children Born by Caesarean Section in the Early Adaptation Period: the Role of Cerebral Ischemia. Current Pediatrics. 2015;14(3):374–379. doi: 10.15690/vsp.v14i3.1373. Russian
- Alkabasova AA, Yevstifeeva GYu, Veterkova ZA, Sumenko VV, Krasikov SI, Sharapova NV. Description of the lipid spectrum of blood serum in infants suffering from intrauterine growth retardation. Vestnik of OSU. 2012;137(1):189-192. Russian
- Washburn L, Nixon P, Russell G, Snively BM, O’Shea TM. Adiposity in adolescent offspring born prematurely to mothers with preeclampsia. J Pediatr. 2013;162(5):912–7.e1. doi: 10.1016/j.jpeds.2012.10.044.
- Tyurenkov IN, Perfilova VN, Reznikova LB, Smirnova LA, Ryabukha AF, Sutchkov YeA, Kuznetsov KA. GABA derivatives citrocard and salifen reduce the intensity of experimental gestosis. Bulletin of Experimental Biology and Medicine. 2014;157(1):49–52. Russian
- Tyurenkov IN, Perfilova VN, Karamysheva VI, Popova TA, Lebedeva SA, Mikailova LI, Zhakupova GA. Gravidoprotective effect of phenibut in experimental preeclampsia. Experimental and Clinical Pharmacology. 2014;77(11):6–10. Russian
- Burtchinsky S. GABA-ergic agents in pharmacological therapy of chronic cerebral ischemia. International Neurological Journal. 2015;1(71):101–105. Russian
- Tyurenkov IN, Popova TA, Perfilova VN, Zhakupova GA, Ostrovsky OV, Lebedeva SA. Effect of RSPU-189 compound and sulodexide on placental mitochondrial respiration in female rats with experimental preeclampsia. SOJ Gynecology, obstetrics and women’s health. 2016;2(2):7. doi: 10.15226/2381-2915/2/2/00112. Russian
- Popova TA, Khusainova GH, Prokofiev II, Perfilova VN, Tyurenkov IN, Bagmetova VV, Malyuzhenko IV, Ganzikova NS, Dudchenko GP, Ostrovsky OV. Correction of alcohol-induced damage of cardiac and cerebral mitochondria with the derivatives of neuroactive aminoacids. Bulletin of Experimentral Biology and Medicine. 2020;2:176–181. Russian
- Tyurenkov IN. Search for therapeutical agents for treating neurodegenerative lesions among GABA derivatives. Journal of Volgograd State Medical University. 2011;S:32–34. Russian
- Voronina TA. Pantogam and pantogam are active. Pharmacological effects and mechanism of action. In the book: Pantogam and pantogam active. Clinical application and basic research. Ed. Kopelevich VM. M.: Triada Pharm 2009;11–30. Russian
- Spasov AA, Voronkova MP, Snigur GL, Tibirkova YeV, Proskurina IA. Instructional guidelines for preclinical study of oral pharmaceutical drugs for treating diabetes mellitus. In.: Guidelines for conducting preclinical studies of pharmaceutical drugs. Part 1. М.: Grif and K. 2012:944. Russian
- Paz Levy D, Sheiner E, Wainstock T, Sergienko R, Landau D, Walfisch A. Evidence that children born at early term (37–38 6/7 weeks) are at increased risk for diabetes and obesity-related disorders. Am J Obstet Gynecol. 2017;217(5):588.e1–588.e11. doi: 10.1016/j.ajog.2017.07.015.
- Khalyfa A, Cortese R, Qiao Z, Ye H, Bao R, Andrade J, Gozal D. Late gestational intermittent hypoxia induces metabolic and epigenetic changes in male adult offspring mice. J Physiol. 2017;595(8):2551–2568. doi: 10.1113/JP273570.
- Tokbergenova SM, Kalmenova PE, Ospanova ShM, Kemelbekov KS. Serum lipid spectrum was performed in neonates with cerebral ischemia. Vestnik KazNMU. 2013;4(2):200–201. Russian
- McDonnold M, Tamayo E, Kechichian T, Gamble P, Longo M, Hankins GD, Saade GR, Costantine MM. The effect of prenatal pravastatin treatment on altered fetal programming of postnatal growth and metabolic function in a preeclampsia-like murine model. Am J Obstet Gynecol. 2014;210(6):542.e1–7. doi: 10.1016/j.ajog.2014.01.010.
- Shah A, Reyes LM, Morton JS, Fung D, Schneider J, Davidge ST. Effect of resveratrol on metabolic and cardiovascular function in male and female adult offspring exposed to prenatal hypoxia and a high-fat diet. J Physiol. 2016;594(5):1465–82. doi: 10.1113/JP271133.
- Akhaphong B, Lockridge A, Jo S, Mohan R, Wilcox JA, Wing CR, Regal JF, Alejandro EU. Reduced uterine perfusion pressure causes loss of pancreatic β-cell area but normal function in fetal rat offspring. Am J Physiol Regul Integr Comp Physiol. 2018;315(6):R1220–R1231. doi: 10.1152/ajpregu.00458.2017.
- He J, Zhang A, Fang M, Fang R, Ge J, Jiang Y, Zhang H, Han C, Ye X, Yu D, Huang H, Liu Y, Dong M. Methylation levels at IGF2 and GNAS DMRs in infants born to preeclamptic pregnancies. BMC Genomics. 2013;14:472. doi: 10.1186/1471-2164-14-472.
- von Ehr J, von Versen-Höynck F. Implications of maternal conditions and pregnancy course on offspring’s medical problems in adult life. Arch Gynecol Obstet. 2016;294(4):673-9. doi: 10.1007/s00404-016-4178-7.
- Wang X, Wan L, Weng X, Xie J, Zhang A, Liu Y, Dong M. Alteration in methylation level at differential methylated regions of MEST and DLK1 in fetus of preeclampsia. Hypertens Pregnancy. 2018;37(1):1–8. doi: 10.1080/10641955.2017.1397689.
- Zvejniece L, Svalbe B, Veinberg G, Grinberga S, Vorona M, Kalvinsh I, Dambrova M. Investigation into stereoselective pharmacological activity of phenotropil. Basic Clin Pharmacol Toxicol. 2011;109(5):407–12. doi: 10.1111/j.1742-7843.2011.00742.x.
- Zvejniece L, Svalbe B, Vavers E, Makrecka-Kuka M, Makarova E, Liepins V, Kalvinsh I, Liepinsh E, Dambrova M. S-phenylpiracetam, a selective DAT inhibitor, reduces body weight gain without influencing locomotor activity. Pharmacol Biochem Behav. 2017;160:21–29. doi: 10.1016/j.pbb.2017.07.009.
- Belousov YuB, Mukhina MA. Phenotropil – a new generation nootropic agent. Good Clinical Practice. 2005:3. Russian
Supplementary files






