Подходы к выбору вспомогательных веществ для геля стоматологического с цетилпиридиния хлоридом
- Авторы: Загорулько Е.Ю.1, Караваева А.С.1
-
Учреждения:
- Федеральное государственное бюджетное образовательное учреждение высшего образования «Санкт-Петербургский государственный химико-фармацевтический университет» Министерства здравоохранения Российской Федерации
- Выпуск: Том 9, № 1 (2021)
- Страницы: 54-63
- Раздел: Статьи
- URL: https://journals.eco-vector.com/2307-9266/article/view/111668
- DOI: https://doi.org/10.19163/2307-9266-2021-9-1-54-63
- ID: 111668
Цитировать
Аннотация
Цель. Изучение влияния вспомогательных веществ на свойства гелей с цетилпиридиния хлоридом и выбор гелеобразователей, перспективных для разработки состава геля стоматологического. При этом учитывали свойства действующего вещества, особенности конкретных гелеобразователей, а также их влияние на устойчивость, биофармацевтические и потребительские свойства гелей.
Материалы и методы. В исследовании рассматривали полимеры с различными механизмами гелеобразования. Изучали их совместимость с цетилпиридиния хлоридом, устойчивость гелей при хранении, кинетическую устойчивость и коллоидную стабильность, pH водных извлечений, намазываемость и текстурные свойства, проникающую способность методом диффузии в агар, осмотическую активность и реологические свойства гелей. Для комплексного анализа результатов исследований гелевых композиций использовали обобщённую функцию желательности.
Результаты. Устойчивые однородные гели стоматологические с цетилпиридиния хлоридом могут быть получены при использовании в качестве основы 25% полоксамера 407 и 5,0% хитозана высокомолекулярного. Введение в гели хитозана высокомолекулярного полоксамера 188 позволяет получать стабильные системы c улучшенными текстурными характеристиками, а также значительно увеличивает их осмотическую активность. Добавление агара, а также хитозана низкомолекулярного значительно уменьшает, а полоксамера 188 и полиэтиленгликолей разных молекулярных масс – увеличивает осмотическую активность гелей 25% полоксамера 407, которые характеризуются также и высокой проникающей способностью.
Заключение. По итогам комплексной оценки биофармацевтических, физико-химических и потребительских свойств гелей установлено, что в качестве основы для геля стоматологического с цетилпиридиния хлоридом могут быть рекомендованы комбинации полоксамера 407 с поливинилпирролидоном, агаром и хитозаном низкомолекулярным.
Полный текст
Список сокращений: ЛП – лекарственный препарат; ЛФ – лекарственная форма; КМЦ – карбоксиметилцеллюлоза; ПВП – поливинилпирролидон; ПЭГ – полиэтиленгликоль; FDA – Управление по санитарному надзору за качеством пищевых продуктов и медикаментов США / U.S. Food and Drug Administration
ВВЕДЕНИЕ
В настоящее время заболевания ротовой полости являются одними из наиболее распространённых. Среди них можно выделить болезни пародонта – комплекса тканей, формирующих опорный аппарат зуба, частым симптомов которых является воспаление, первично или вторично ассоциированное с развитием инфекционных микроорганизмов [1, 2].
Одной из лекарственных форм (ЛФ), применяемых для местного лечения заболеваний пародонта, являются гели стоматологические.
Зарегистрированные в России лекарственные препараты (ЛП) в данной форме относятся к местноанестезирующим и антисептическим, противомикробным, нестероидным противовоспалительным средствам. В их состав в качестве антимикробных компонентов входят метронидазол, хлоргексидина биглюконат, цетипиридиния хлорид, цеталкония хлорид, бензалкония хлорид и их комбинации [3].
Цетилпиридиния хлорид является одним из наиболее распространённых среди антимикробных средств, назначаемых при инфекционно-воспалительных заболеваниях ротовой полости [4]. Безопасность использования данного антисептика в терапевтических концентрациях доказана данными клинических исследований и подтверждена FDA [5–7].
Среди ЛФ с цетилпиридиния хлоридом, применяемых в полости рта, преобладают спреи и таблетки для рассасывания [3, 8, 9]. В составе гелей стоматологических, цетипиридиния хлорид (0,1%) представлен только в комбинации с лидокаина гидрохлоридом в составе местноанестезирующих средств, назначаемых детям при прорезывании зубов [3, 9].
В настоящее время известно большое число исследований, посвященных разработке гелей стоматологических с субстанциями синтетического и природного происхождения, в том числе с антимикробными свойствами [10–20]. Существуют и работы по изучению местных адгезивных ЛФ с цетилпиридиния хлоридом [9, 21–25]. Однако к настоящему моменту не представлено исследований, посвященных созданию монокомпонентных гелей стоматологических с цетилпиридиния хлоридом. Поэтому разработка такого препарата является актуальной [9].
ЛФ для местного применения в полости рта содержат от 0,05 до 0,50% цетилпиридиния хлорида [3]. Учитывая, что разрабатываемый гель будет содержать одно действующее вещество, целесообразно использовать достаточно большую его концентрацию – 0,50%.
При разработке состава геля важную роль играет выбор основы, которая будет влиять на биофармацевтические свойства ЛФ, в том числе на его проникающую способность и осмотическую активность. Увеличение времени нахождения геля на слизистой может быть достигнуто путём введения в состав полимеров с мукоадгезивными свойствами и их комбинаций, что важно учитывать при фармацевтической разработке данной ЛФ [26–29].
Известно, что свойства действующего вещества могут оказывать влияние на физико-химические и технологические свойства гелевой основы, что особенно важно для цетилпиридиния хлорида, который представляет собой катионное соединение, способен влиять на конформацию молекул гелеобразователей, чувствительных к наличию ионов в системе [9, 27, 30].
Следует учитывать также и возможность химического взаимодействия цетилпиридиния хлорида с кислотами. Вопрос сочетания в одной ЛФ цетилпиридиния с веществами кислотной природы сложен и зависит от вида ЛФ, её агрегатного состояния, наличия стабилизаторов в системе, способа введения веществ и, в частности, степени замещения кислотных групп у гелеобразователей – производных целлюлозы [9, 23, 25, 31].
Таким образом, выбор вспомогательных веществ для основы геля стоматологического представляет собой комплексную задачу, которая должна быть решена путём определения биофармацевтических, технологических, физико-химических характеристик гелевых основ с учётом особенностей применения данной ЛФ.
ЦЕЛЬ. Изучение влияния вспомогательных веществ на свойства гелей с цетилпиридиния хлоридом и выбор гелеобразователей, перспективных для разработки состава геля стоматологического.
В задачи исследования входили: выбор совместимых с действующим веществом гелеобразователей и модификаторов вязкости, выбор их рабочих концентраций, исследование физико-химических и биофармацевтических свойств гелевых композиций, их комплексная оценка и выбор на её основе вспомогательных веществ для включения в состав геля стоматологического.
МАТЕРИАЛЫ И МЕТОДЫ
В исследовании использовали субстанцию цетилпиридиния хлорид («Диаэм», Россия) и вспомогательные вещества: хитозан кислоторастворимый – высокомолекулярный (ЗАО «Биопрогресс», Россия), хитозан водорастворимый – низкомолекулярный (ЗАО «Биопрогресс», Россия), поливинилпирролидон (ПВП) (Пласдон К 29/32, ISP Pharmaceuticals, Швейцария), агар-агар (Агар 900, Qixiang, Китай), полоксамер 407 (Kolliphor P 407, BASF, Германия), полоксамер 188 (Kolliphor P 188, BASF, Германия), полиэтиленгликоль 300 (ПЭГ 300) (Polyethylenglycol 300, Merck, США), полиэтиленгликоль 6000 (ПЭГ 6000) (NORCHEM-008, Россия), глицерин (НеваРеактив®, Россия), карбомер (Carbopol™ 974 P NF, IMCD, Нидерланды), натрия альгинат (FOODALRA®, марка 500, FOODCHEM, Китай), йотта-каррагинан (Benvisco, США), камедь ксантановую (NOW® FOODS, США), метилцеллюлозу (Methocel™A15, DOV cemical company limited, США), карбоксиметилцеллюлозу (КМЦ) (Akucell® AF 2785, Akzo Nobel, Нидерланды), гуммиарабик (Instantgum™ BA, CNI, Франция). Для получения гелей карбомера использовали трис(гидроксиметил)аминометан (трометамол) (НеваРеактив®, Россия), хитозана – кислоту хлористоводородную (Ленреактив, Россия). Цетилпиридиния хлорид в гели вводили в виде 10% раствора.
Устойчивость гелей при хранении определяли путём экспозиции образцов при комнатной температуре в заполненных доверху банках оранжевого стекла типа БТС-20-27,5-ОС-1 в течение 6 месяцев. Определяли внешний вид, однородность и консистенцию гелей.
Кинетическую устойчивость определяли при центрифугировании образцов гелей течение 15 мин при 6000 об/мин. Коэффициент кинетической устойчивости (Нk) рассчитывали по формуле (1):
, (1)
где: Н1 – высота слоя выделившейся жидкости, Нобщ – общая высота слоя геля [32].
Гель считался кинетически устойчивым при Нk=0,0.
Коллоидную стабильность гелей определяли путём центрифугирования образцов гелей при 6000 об/мин в течение 5 мин после их замораживания и последующего размораживания [33]. Коэффициент коллоидной стабильности (Kс) рассчитывали как отношение выделившейся после центрифугирования фазы к общей высоте образца, помещённого в пробирку для центрифугирования. Для коллоидно стабильных гелей значение Kс должно быть равным 0,0.
Намазываемость и текстурные свойства определяли путём оценки распределения образца геля массой 0,5 г между стеклянными пластинками при приложении усилия в 0,5 кг [34].
Проникающую способность гелей определяли методом диффузии в агар по разработанной методике [20], основанной на классическом подходе к оценке биофармацевтических свойств мягких лекарственных форм [33].
Определение осмотической активности проводили методом равновесного диализа по Крувчинскому через полупроницаемую мембрану с диаметром пор 12–14 кДа («Orange Scietific», Бельгия) [35]. В качестве диализной среды использовали водный раствор натрия хлорида 0,9%.
Определение pH 5,0% водных извлечений гелей определяли потенциометрическим методом на рН-метре–милливольтметре рН-410 («Аквилон», Россия) с учётом требований ОФС.1.2.1.0004.15 «Ионометрия» [36].
Динамическую вязкость определяли на программируемом вискозиметре Brookfield DV-II+PRO (Brookfield Engineering Laboratories, Inc., США) с учётом требований ОФС.1.2.1.0015.15 «Вязкость» [36]. Исследовали изменение вязкости образцов в диапазоне скоростей сдвига от 10 до 200 с–1 и от 200 до 10 с–1. Значения крутящего момента находились в диапазоне от 30 до 80 %.
Для комплексного анализа результатов исследований гелевых композиций использовали обобщённую функцию желательности [37].
Результаты параллельных измерений обработаны в соответствии с ОФС 1.1.0013.15 «Статистическая обработка результатов химического эксперимента» [36].
РЕЗУЛЬТАТЫ И ОБСУЖДЕНИЕ
Выбор совместимых вспомогательных веществ
На первом этапе изучали совместимость цетилпиридиния хлорида со вспомогательными веществами, широко используемыми в составе гелей стоматологических [3, 10, 12–15, 17–19, 27]. К гелям или водным растворам вспомогательных веществ добавляли рассчитанное количество 10% раствора цетилпиридиния хлорида до получения его 0,5% концентрации в исследуемом образце и описывали полученные системы сразу и после 30 суток хранения. Были изучены смеси цетилпиридиния хлоридом с 1,0% карбомером, 2,0% йотта-каррагинаном, 8,0% гуммиарабиком, 2,0% метилцеллюлозой, 4,0% карбоксиметилцеллюлозой, 4,0% хитозаном высокомолекуляным, 6,0% хитозаном низкомолекулярным, 20% полоксамером 407, 15,0% полоксамером 188, 1,0% агар-агаром, 3,0% камедью ксантановой, 1,0% натрия альгинатом, 20,0% поливинилпирролидоном, 10,0% ПЭГ 300, 5,0% ПЭГ 6000, а также 40,0% раствором глицерина.
Установлено, что при добавлении раствора цетилпиридиния хлорида к гелям карбомера, йотта-каррагинана, натрия альгината, производных целлюлозы, ксантановой камеди и раствору гуммиарабика образуются гетерогенные системы с осадком разной структуры – от клейкой массы белого цвета для гелей каррагинана до мелкодисперсного осадка в гелях метилцеллюлозы.
Однородные системы без изменения внешнего вида образуются с хитозанами, полоксамерами, ПВП, агаром, ПЭО 300 и 6000 и глицерином. С учётом свойств образуемых водных систем в качестве основных гелеобразователей выбраны хитозан высокомолекулярный и полоксамер 407.
Полоксамер 407 представляет собой неионогенный гелеобразователь синтетического происхождения. В технологии мягких и жидких лекарственных форм используется в качестве гелеобразователя, загустителя, эмульгатора и солюбилизатора (значение гидрофильно-липофильного баланса находится в диапазоне от 18 до 23). Особенностью технологии являются термообратимые свойства. Механизм гелеобразования связан с образованием и ассоциацией мицелл при увеличении температуры [38, 39].
Хитозан – положительно заряженный гелеобразователь природного происхождения (химически модифицированный), для него известны антимикробное и ранозаживляющее действие. Свойства молекул хитозана зависят от его молекулярной массы. Механизм гелеобразования связан с ионизацией и изменением конформации молекул при взаимодействии с растворами кислот [29, 40, 41].
Хитозаны, полоксамеры, агар-агар, ПВП и ПЭГ разных молекулярных масс обладают мукоадгезивными свойствами, которые развиваются по разным механизмам [26, 28, 29, 39]. Мукоадгезивные свойства разработанных гелей являются предметом отдельного изучения в рамках фармацевтической разработки геля стоматологического с цетилпиридиния хлоридом и не рассматриваются в данной статье.
Влияние вспомогательных веществ на свойства гелей с цетилпиридиния хлоридом
На следующем этапе выбирали рабочие концентрации гелеобразователей. Для этого исследовали текстурные, биофармацевтические и физико-химические свойства 20,0–30,0% гелей полоксамера 407 и 2,0–6,0% гелей хитозана высокомолекулярного [20]. По итогам комплексной оценки их свойств для дальнейших исследований выбраны гели, содержащие 25% полоксамера 407 и 5,0% хитозана.
Для разработки состава, удовлетворяющего требованиям к гелям стоматологическим с учётом особенностей их применения и свойств действующего вещества, составляли комбинации основных гелеобразователей с совместимыми вспомогательными веществами, и исследовали их устойчивость, pH водного извлечения, проникающую способность и осмотическую активность, намазываемость и текстурные свойства, а также органолептические свойства. Для изучения выбрано 15 составов гелей стоматологических (табл. 1).
Таблица 1 – Составы гелей с цетилпиридиния хлоридом
Номер состава | Содержание, ٪ | |||||||||||
ЦПХ | Хитозан в. | P 407 | Хитозан н. | ПВП | Агар 900 | P 188 | ПЭГ 300 | ПЭГ 6000 | Глицерин | HCl 10% | Вода очищенная | |
1 | 0,5 | 5,0 | – | – | – | – | – | – | – | – | 5,0 | до 100,0 |
2 | 0,5 | 3,0 | – | 4,0 | – | – | – | – | – | – | 3,0 | до 100,0 |
3 | 0,5 | 5,0 | – | – | – | – | – | 3,0 | – | 7,0 | 5,0 | до 100,0 |
4 | 0,5 | 5,0 | – | – | – | – | 10,0 | – | – | – | 5,0 | до 100,0 |
5 | 0,5 | 5,0 | – | – | – | – | – | – | 10,0 | – | 5,0 | до 100,0 |
6 | 0,5 | 5,0 | – | – | 1,5 | – | – | – | – | – | 5,0 | до 100,0 |
7 | 0,5 | – | 25,0 | – | – | – | – | – | – | – | – | до 100,0 |
8 | 0,5 | – | 25,0 | – | – | – | 10,0 | – | – | – | – | до 100,0 |
9 | 0,5 | – | 25,0 | – | – | – | – | 10,0 | – | – | – | до 100,0 |
10 | 0,5 | – | 25,0 | – | – | – | – | 3,0 | 7,0 | – | – | до 100,0 |
11 | 0,5 | – | 25,0 | – | – | 0,1 | – | – | – | – | – | до 100,0 |
12 | 0,5 | – | 25,0 | – | 1,5 | – | – | – | – | – | – | до 100,0 |
13 | 0,5 | – | 30,0 | 0,1 | – | – | – | – | – | – | – | до 100,0 |
14 | 0,5 | – | 25,0 | 0,4 | – | – | – | – | – | – | – | до 100,0 |
15 | 0,5 | 4,0 | – | 0,2 | – | – | 20,0 | – | – | – | 4,0 | до 100,0 |
Примечание. ЦПХ – цетилпиридиния хлорид; хитозан в. – хитозан высокомолекулярный; P 407 – полоксамер 407; хитозан н. – хитозан низкомолекулярный; P 188 – полоксамер 188; HCl 10% – раствор кислоты хлористоводородной 10%
Для составов определяли описание, устойчивость при хранении, кинетическую устойчивость и коллоидную стабильность (табл. 2).
Таблица 2 – Устойчивость образцов гелей с цетилпиридиния хлоридом
Номер состава | Описание образцов после получения | Описание образцов после 6 месяцев хранения | ||||
Описание | Нk | Kс | Описание | Нk | Kс | |
1 | слегка опалесцирующая однородная плотная нетекучая масса желтоватого цвета | 0,0 | 0,0 | без изменений | 0,0 | 0,0 |
2 | опалесцирующая однородная плотная нетекучая масса светло-коричневого цвета | 0,0 | 0,0 | расслоение на прозрачную жидкую и сильно опалесцирующую гелевую фазы, примерно равные по объёму | 0,4 | 0,6 |
3 | опалесцирующая однородная плотная текучая масса беловатого цвета | 0,0 | 0,0 | расслоение на прозрачную жидкую (около 30% объёма) и сильно опалесцирующую гелевую фазы | 0,3 | 0,5 |
4 | сильно опалесцирующая текучая масса желтоватого цвета | 0,0 | 0,0 | без изменений | 0,0 | 0,0 |
5 | сильно опалесцирующая плотная текучая масса желтоватого цвета | 0,0 | 0,0 | расслоение на прозрачную жидкую и сильно опалесцирующую гелевую фазы, примерно равные по объёму | 0,3 | 0,4 |
6 | сильно опалесцирующая плотная нетекучая масса желтоватого цвета | 0,0 | 0,0 | сильно опалесцирующая масса желеобразной консистенции | 0,0 | 0,0 |
7 | прозрачная однородная бесцветная нетекучая плотная масса | 0,0 | 0,0 | без изменений | 0,0 | 0,0 |
8 | прозрачная однородная бесцветная нетекучая плотная масса | 0,0 | 0,0 | без изменений | 0,0 | 0,0 |
9 | прозрачная однородная бесцветная нетекучая плотная масса с пеной на поверхности | 0,0 | 0,0 | прозрачная однородная бесцветная нетекучая плотная масса | 0,0 | 0,0 |
10 | прозрачная однородная бесцветная нетекучая плотная масса* | 0,0 | 0,0 | без изменений | 0,0 | 0,0 |
11 | слегка опалесцирующая однородная бесцветная нетекучая плотная масса | 0,0 | 0,0 | без изменений | 0,0 | 0,0 |
12 | слегка опалесцирующая однородная бесцветная нетекучая плотная масса* | 0,0 | 0,0 | без изменений | 0,0 | 0,0 |
13 | сильно опалесцирующая однородная плотная нетекучая масса светло-коричневого цвета | 0,0 | 0,0 | без изменений | 0,0 | 0,0 |
14 | опалесцирующая однородная нетекучая масса светло-коричневого цвета с лёгкой текстурой | 0,0 | 0,0 | без изменений | 0,0 | 0,0 |
15 | сильно опалесцирующая однородная плотная нетекучая масса желтоватого цвета с пузырьками воздуха в объёме и пеной на поверхности | 0,0 | 0,0 | без изменений | 0,0 | 0,0 |
Примечание: *При охлаждении гель приобретает жидкую консистенцию
Установлено, что после 6 месяцев хранения составы 2, 3 и 5, содержащие в качестве основного гелеобразователя высокомолекулярный хитозан, расслоились на две фазы. Расслоение гелей можно объяснить значительной разницей молекулярных масс основного гелеобразователя – хитозана высокомолекулярного (200 кДа) и модификаторов вязкости – хитозана низкомолекуляного (1–30 кДа), ПЭГ 300 и 6000, а также отсутствием синергизма при гелеобразовании. Образование гелей происходило вследствие простого физического переплетения молекул хитозана высокомолекулярного и вспомогательных веществ, что не обеспечивало стабильности полученных систем, и с течением времени гели расслаивались на две фазы – нижняя содержала преимущественно высокомолекулярный хитозан, верхняя, более легкая фаза – модификаторы вязкости.
В то же время, при комбинации высокомолекулярного хитозана с полоксамером 188 (соотношения 5:10 и 4:20) и ПВП (5,0:1,5) удалось получить устойчивые однородные системы. Однако у состава 6 наблюдалось изменение консистенции в сторону её уплотнения. Поэтому гели 2, 3, 5 и 6 исключены из дальнейшего изучения.
У гелей на основе полоксамера 407 не наблюдалось изменения свойств.
Для устойчивых составов определяли рН, намазываемость и проникающую способность (табл. 3).
Таблица 3 – Характеристика образцов гелей с цетилпиридиния хлоридом
Показатель | Номер состава | ||||||||||
1 | 4 | 7 | 8 | 9 | 10 | 11 | 12 | 13 | 14 | 15 | |
pH 5% водного извлечения | 5,45±0,05 | 5,30±0,04 | 6,46±0,05 | 6,22±0,05 | 6,14±0,04 | 6,26±0,05 | 6,36±0,04 | 6,16±0,05 | 5,20±0,05 | 5,54±0,05 | 5,34±0,05 |
Глубина диффузии в агар, мм | – | – | 13,9±0,4 | 14,1±0,7 | 14,6±0,5 | 12,6±0,5 | 15,0±0,9 | 12,6±0,5 | 14,8±0,9 | 15,0±0,6 | – |
Намазываемость, см | 3,3±0,3 | 3,8±0,4 | 2,7±0,3 | 2,6±0,2 | 3,1±0,3 | 2,6±0,4 | 3,1±0,2 | 3,0±0,3 | 2,9±0,3 | 3,0±0,4 | 5,0±0,3 |
На основании анализа полученных данных установлено, что составы 1 и 7, содержащие хитозан высокомолекулярный и полоксамер 407 без добавления модификаторов вязкости, имели одинаково низкие значения намазываемости. При этом добавление неоионогенного поверхностно-активного вещества, образующего мицеллы разной конформации (полоксамера 188) к гелям положительно заряженного хитозана высокомолекулярного (составы 4 и 15) улучшало их текстурные свойства, и состав 15 имел наибольшее значение намазываемости из всех изученных гелей. Дополнительно отмечено, что данный состав при распределении по поверхности образовывал пену. В то же время, введение полоксамера 188, ПВП, агара, ПЭГ 300 и 6000, а также хитозана низкомолекулярного в гели полоксамера 407 незначительно влияло на их намазываемость. Таким образом, для большинства составов необходимо дополнительное введение веществ, улучшающих их текстурные свойства.
Гели на основе полоксамера 407 характеризовались высокой проникающей способностью. Известно, что полоксамер 407 используют в качестве пенетранта в составе мягких ЛФ [38, 39]. Для приближения модели к физиологическим условиям определение проникающей способности проводили при термостатировании образцов при 37°С. При выборе условий эксперимента отмечено, что глубина диффузии в агар для гелей полоксамера при комнатной температуре выше, чем при 37°С. Данный факт можно объяснить увеличением вязкости гелей полоксамера 407 при увеличении температуры, что затрудняло их диффузию в агар.
При исследовании проникающей способности гелей на основе хитозана установлено, что образцы вбирали в себя воду и разливались по поверхности среды (составы 1, 4 и 15). Отсутствие диффузии в агар можно объяснить высокой молекулярной массой основного гелеобразователя.
Значения рН исследуемых составов близки к физиологическим значениям смешанной слюны [42].
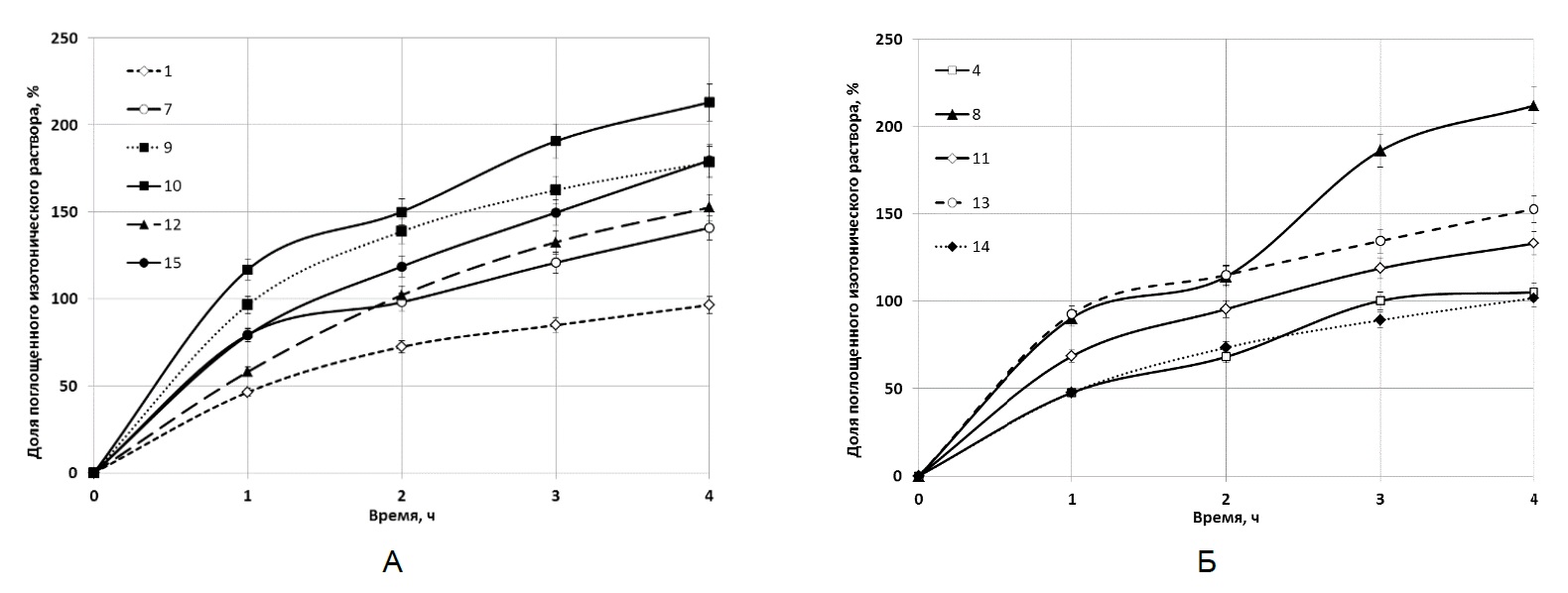
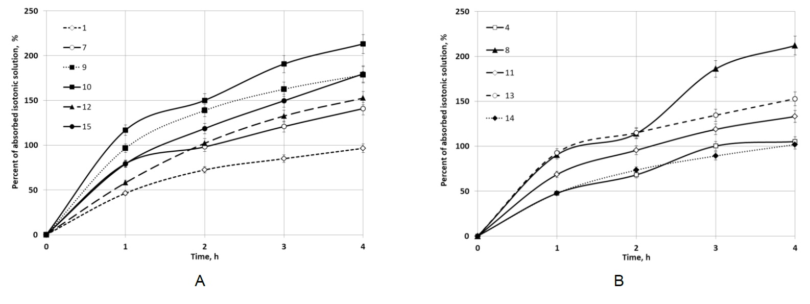
Результаты определения осмотической активности гелей представлены на рисунке 1.
Рисунок 1 – Зависимость массовой доли поглощенного изотонического раствора от времени диализа гелей. Примечание: А – составы 1, 7, 8, 9, 10, 12 и 15; Б – составы 4, 8, 11, 13 и 14
Установлено, что наименьшими значениями осмотической активности (менее 50% за первый час экспозиции) обладают составы 1, 4 и 14, содержащие хитозан высокомолекулярный, его комбинацию с полоксамером 188 (5:10) и сочетание полоксамера 407 и хитозана низкомолекулярного (25:0,4). При этом введение 20% полоксамера 188 значительно увеличивает осмотическую активность геля хитозана.
Добавление агара (состав 11), а также хитозана низкомолекулярного (состав 14) значительно уменьшает осмотическую активность гелей 25% полоксамера 407.
Осмотическая активность увеличивается с увеличением концентрации полоксамеров 188 и 407 в составе гелей (составы 8 и 13). Введение ПЭГ 300 и 6000 (составы 10 и 9) также значительно увеличивает осмотическую активность гелей полоксамера 407.
Наибольшим значением осмотической активности обладает состав 10: его масса за первый час экспозиции увеличивается более, чем в два раза.
Комплексная оценка составов для выбора основы геля стоматологического с цетилпиридиния хлоридом
При выборе вспомогательных веществ учитывали следующие требования к гелям стоматологическим: гелевая основа должна легко намазываться и обладать хорошими текстурными свойствами, иметь близкое к физиологическому для ротовой полости значение pH, обладать невысокой осмотической активностью во избежание потери влаги слизистыми, иметь невысокие значения проникновения (антисептики, оказывающие местное действие, не должны попадать в системный кровоток), а также обладать нейтральным вкусом [12–14, 27].
Комплексно оценить свойства гелевых составов можно с помощью обобщенной функции желательности Харрингтона [37]. С учетом перечисленных требований к гелям стоматологическим выбраны следующие отклики функции желательности:
- d1 – значение pH 5,0% водного извлечения;
- d2 – глубина диффузии в агар, мм;
- d3 – осмотическая активность после первого часа экспозиции, %;
- d4 – намазываемость, см;
- d5 – текстурные свойства;
- d6 – вкус.
Характеристика откликов функции желательности представлена в таблице 4.
Таблица 4 – Отклики функции желательности
Желательность | Частная функция желательности | Отклики функции желательности | |||||
d1 | d2 | d3 | d4 | d5 | d6 | ||
«очень хорошо» | 6,80–7,40 | 0–5,0 | 20–40 | 4,0–5,0 | гель имеет легкую текстуру, равномерно распределяется при небольшом усилии, полностью остается на поверхности распределения | нейтральный | |
«хорошо» | 6,20–6,79 | 5,1–10,0 | 41–60 | 3,0–3,9 | гель имеет легкую текстуру, распределение незначительно затруднено, небольшая часть геля остается на распределяющей поверхности | слабо выраженный, легко поддается коррекции | |
«удовлетворительно» | 5,60–6,19 | 10,1–15,0 | 61–80 | 2,0–2,9 | плотный гель, равномерно распределяется с усилием, большая часть геля остается на поверхности распределения | выраженный, коррекция возможна | |
«плохо» | 5,00–5,59 | 15,1–20,0 | 81–100 | 1,0–1,9 | плотный гель, распределяется неравномерно, при этом может пениться или образовывать неэластичную пленку, которая в равной степени остается как на поверхности распределения, так и на распределяющей поверхности | очень выраженный, коррекция затруднена | |
«очень плохо» | 4,20–4,99 | более 20,0 | более 100 | менее 1,0 | плотный гель, распределение по поверхности затруднено, большая часть геля остается на распределяющей поверхности | очень выраженный, коррекция невозможна | |
Обобщённый коэффициент желательности (D) рассчитывали по формуле (2):
, (2)
Результаты определения представлены в таблице 5.
Таблица 5 – Значения обобщённого коэффициента желательности для гелей стоматологических
Номер состава | 1 | 4 | 7 | 8 | 9 | 10 | 11 | 12 | 13 | 14 | 15 |
Значение D | 0,34 | 0,36 | 0,60 | 0,53 | 0,35 | 0,35 | 0,62 | 0,68 | 0,43 | 0,55 | 0,44 |
На основании проведенного анализа установлено, что наибольшее значение обобщенного коэффициента желательности имеет состав 12, содержащий в основе полоксамер 407 и ПВП.
Также достаточно высокие удовлетворительные значения D имеют составы 7, 11 и 14. Их основы содержат 25% полоксамер и его комбинации с агаром и водорастворимым хитозаном. Они могут быть использованы в качестве основы при введении вспомогательных веществ, корректирующих свойства основы.
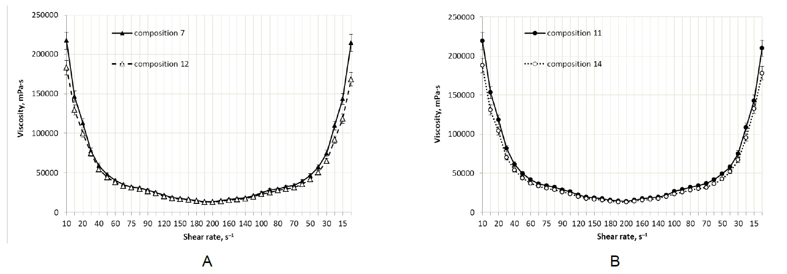
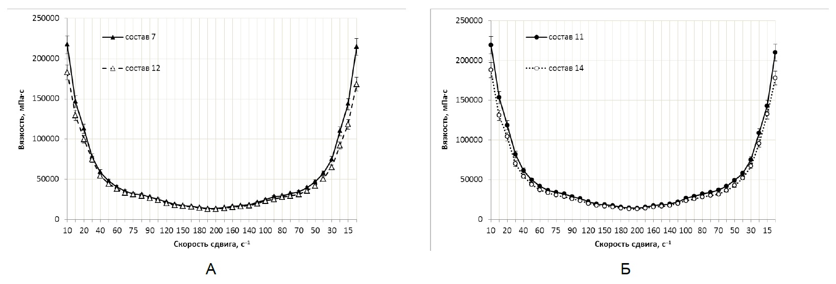
При выборе вспомогательных веществ большое значение имеет их влияние на структурно-механические свойства гелей, поэтому на следующем этапе определяли реологические свойства составов 7, 11, 12 и 14. Кривые вязкости гелей представлены на рисунке 2.
Рисунок 2 – Кривые вязкости для составов 7, 12 (А) и 11, 14 (Б) при 20°С
Установлено, что все исследуемые образцы гелей имели близкие значения динамической вязкости во диапазоне скоростей сдвига от 30 до 200 с–1. С увеличением скорости сдвига динамическая вязкость всех изученных составов снижалась, что позволяет отнести их к системам с псевдопластическим типом течения. Следует отметить, что все исследуемые образцы восстанавливали вязкость после снятия нагрузки, что позволяет прогнозировать сохранение структурно-механических свойств этих систем при их производстве и фасовке.
ЗАКЛЮЧЕНИЕ
Цетилпиридиния хлорид образует устойчивые однородные системы с хитозанами, полоксамерами, ПВП, агаром, ПЭГ 300 и 6000. При исследовании свойств гелей, содержащих указанные вещества в разных комбинациях, определено их влияние на свойства полученных составов. Так, установлено, что добавление полоксамера 188 к гелям хитозана высокомолекулярного (20:4) позволяло получать стабильные системы и улучшало их намазываемость и текстурные свойства, а также значительно увеличивало их осмотическую активность. В то же время, составы хитозана высокомолекулярного с ПЭГ 300 и 6000, хитозаном низкомолекулярным (в соотношениях 5:3, 5:10 и 3:4 соответственно) требуют дополнительной стабилизации во избежание их расслаивания.
Гели на основе полоксамера 407 характеризовались высокой проникающей способностью, на которую не оказывали значительного влияния выбранные вспомогательные вещества (полоксамер 188, агар, хитозан низкомолекулярный, ПВП, ПЭГ 300 и 6000). Добавление агар-агара, а также хитозана низкомолекулярного значительно уменьшает, а полоксамера 188 и ПЭГ разных молекулярных масс – увеличивает осмотическую активность гелей 25% полоксамера 407. Следует отметить, что гели полоксамера 407 требуют введения веществ, улучшающих и текстурные свойства.
По результатам комплексной оценки биофармацевтических, физико-химических и потребительских свойств изученных составов установлено, что в качестве основы для геля стоматологического с цетилпиридиния хлоридом могут быть использованы комбинации 25% полоксамера 407 с ПВП, агаром и хитозаном низкомолекулярным. Данные системы характеризовались псевдопластическим типом течения и восстанавливали вязкость после приложенной нагрузки в изученном диапазоне скоростей сдвига.
Выбор итогового состава может быть сделан после исследования мукоадгезивных и антимикробных свойств разработанных гелей стоматологических, чему будут посвящены дальнейшие исследования.
ФИНАНСОВАЯ ПОДДЕРЖКА
Данное исследование не имело финансовой поддержки от сторонних организаций.
КОНФЛИКТ ИНТЕРЕСОВ
Авторы заявляют об отсутствии конфликта интересов.
ВКЛАД АВТОРОВ
Е.Ю. Загорулько – определение цели и задач исследования, планирование экспериментов и интерпретация и их результатов, выбор откликов функции желательности и расчет значений обобщенного коэффициента, подготовка рукописи статьи; А.С. Караваева – выполнение экспериментальной работы, статистическая обработка первичных данных, обсуждение результатов исследования.
Об авторах
Елена Юрьевна Загорулько
Федеральное государственное бюджетное образовательное учреждение высшего образования «Санкт-Петербургский государственный химико-фармацевтический университет» Министерства здравоохранения Российской Федерации
Автор, ответственный за переписку.
Email: elena.zagorulko@pharminnotech.com
ORCID iD: 0000-0003-0103-3560
кандидат фармацевтических наук, научный сотрудник департамента науки и подготовки научно-педагогических кадров, старший преподаватель кафедры промышленной технологии лекарственных препаратов
Россия, 197376, Санкт-Петербург, ул. Проф. Попова, д. 14, лит. ААлександра Сергеевна Караваева
Федеральное государственное бюджетное образовательное учреждение высшего образования «Санкт-Петербургский государственный химико-фармацевтический университет» Министерства здравоохранения Российской Федерации
Email: alessandra.karavaeva.96.5@mail.ru
студентка фармацевтического факультета
Россия, 197376, Санкт-Петербург, ул. Проф. Попова, д. 14, лит. АСписок литературы
- Всемирная организация здравоохранения. Здоровье полости рта. 2018. URL: https://www.who.int/ru/news-room/fact-sheets/detail/oral-health (Дата обращения 09.07.2019).
- Petersen P.E., Bourgeois D., Ogawa H. The global burden of oral diseases and risks to oral health // Bull World Health Organ. – 2005. – Vol. 83, No.9. – P. 661–669. DOI: /S0042-96862005000900011.
- Государственный реестр лекарственных средств. URL: https://grls.rosminzdrav.ru/Default.aspx (дата обращения – 09.07.2019).
- Рязанова Т.К., Варина Н.Р., Куркин В.А., Петрухина И.К., Авдеева Е.В., Климова Л.Д., Лапина А.С. Исследование номенклатуры лекарственных средств для местного лечения инфекционно-воспалительных заболеваний полости рта и горла, представленных на фармацевтическом рынке Российской Федерации // Медицинский альманах. – 2016. – Т. 5, №45. – С. 207–210.
- Лебединская Е. А., Уткина Н. П., Мерзлова Н. Б. Оценка эффективности препаратов, содержащих цетилпиридиния хлорид, в местной терапии острых фарингитов, ларингитов и катаральной ангины у детей // Вопросы современной педиатрии. – 2013. – Т. 12, №1. – С. 177–180. doi: 10.15690/vsp.v12i1.577
- FDA (Food and Drug Administration). Department of Health and Human Service (US).. 21 CFR Part 356. Oral health care drug products for over-the-counter human use; anti-gingivitis/anti-plaque drug products; establishment of a monograph; proposed rules. Federal Register. 2003. URL: https://federalregister.gov/a/03-12783
- Cetylpyridinium chloride. – URL: https://pubchem.ncbi.nlm.nih.gov/compound/cetylpyridinium_chloride#section=Pharmacology-and-Biochemistry (Дата обращения – 09.07. 2019).
- Караваева А.С., Загорулько Е.Ю. Лекарственные препараты с цетилпиридиния хлоридом, применяемые для лечения инфекционно-воспалительных заболеваний полости рта и глотки // Сб. мат. VI Всероссийской науч.-практ. конф. с межд. уч. «Инновации в здоровье нации», Санкт-Петербург, 2018. СПб.: Изд-во СПХФУ. – С. 131–135.
- Rösing CK, Cavagni J, Gaio EJ, Muniz FWMG, Ranzan N, Oballe HJR, Friedrich SA, Severo RM, Stewart B, Zhang YP. Efficacy of two mouthwashes with cetylpyridinium chloride: a controlled randomized clinical trial // Braz Oral Res. – 2017. – Vol. 31, No.47. – e47. doi: 10.1590/1807-3107BOR-2017.
- Fini A., Bergamante V., Ceschel G. C. Mucoadhesive Gels Designed for the Controlled Release of Chlorhexidine in the Oral Cavity // Pharmaceutics. – 2011. – No.3. – P. 665–679. doi: 10.3390/pharmaceutics3040665.
- Elmowafy E., Cespi M., Bonacucina G., Soliman M.E. In situ composite ion-triggered gellan gum gel incorporating amino methacrylate copolymer microparticles: a therapeutic modality for buccal applicability // Pharm Dev Technol. – 2019. – Vol. 24, No.10. – P. 1258–1271. doi: 10.1080/10837450.2019.1659314.
- Jain H.K., Swami P.N., Gujar K.N. Formulation and evaluation of an antimicrobial mucoadhesive dental gel of Azadirachta indica and Glycyrrhiza glabra // Int J App Pharm. – 2019. – Vol. 11, No.2. – P. 176–184. doi: 10.22159/ijap.2019v11i2.29723.
- Kassab H.J., Thomas L.M., Jabir S.A. Development and physical characterization of a periodontal bioadhesive gel of gatifloxacin // Int J App Pharm. – 2017. – Vol. 9, No.3. – P. 31–36. doi: 10.22159/ijap.2017v9i3.17056.
- Raszewski Z., Nowakowska-Toporowska A., Wezgowiec J., Nowakowska D. Design and characteristics of new experimental chlorhexidine dental gels with anti-staining properties // Adv Clin Exp Med. – 2019. – Vol. 28, No.7. – P. 885–890. doi: 10.17219/acem/94152.
- Michał T., Katarzyna S., Małgorzata P., Jakub S., Adrian W., Daniel M. G., Monika T., Katarzyna W. Hydrogel Containing an Extract of Tormentillae rhizoma for the Treatment of Bioflim-Related Oral Diseases // Nat Prod Commun. – 2017. – Vol. 12. – No.3. – P. 417–421. doi: 10.1177/1934578X1701200328.
- Babickaite L., Ramanauskiene K., Grigonis A., Ivaškiene M., Daunoras G., Klimiene I., Virgailis M., Zamokas G., Inkeniene A.M., Matusevičius A.P. Determination of antimicrobial activity of chlorhexidine gel // Acta Pol Pharm. – 2016. – Vol. 73, No.6. – P. 1623–1630.
- Ashrafi B., Rashidipour M., Marzban A., Soroush S., Azadpour M., Delfani S., Ramak P. Mentha piperita essential oils loaded in a chitosan nanogel with inhibitory effect on biofilm formation against S. mutans on the dental surface // Carbohydrate Polymers. – 2019. – No. 212. – P. 142–149. doi: 10.1016/j.carbpol.2019.02.018.
- Rashid M., Hossain M.F., Nounou M., Rahman M., Sarkar S., Adeyemo A., Mullins R. Compounding and Comparative Study of a Superior, Faster, and More Adaptable Lidocaine Dental Gel Formulation // Int J Pharm Compd. – 2019. – Vol. 23, No.3. – P.250–257.
- Aslani A., Malekpour N. Design, formulation, and physicochemical evaluation of periodontal propolis mucoadhesive gel // Dental Research Journal. – 2016. – Vol. 13. No.6. – P. 484–493. doi: 10.4103/1735-3327.197037.
- Караваева, А.С. Выбор концентрации полоксамера как основы стоматологического геля с цетилпиридиния хлоридом // Сборник материалов IX Всероссийской научной конференции студентов и аспирантов с международным участием «Молодая фармация – потенциал будущего», Санкт-Петербург, 2019. СПб.: Изд-во СПХФУ. – С. 259–263.
- Mirtič J., Kogej K., Baumgartner S., Smistad G., Kristl J., Hiorth M. Development of Cetylpyridinium-Alginate Nanoparticles: A Binding and Formulation Study // International Journal of Pharmaceutics. - 2016. - Vol. 511. No. 2. – P. 774–784. doi: 10.1016/j.ijpharm.2016.07.065.
- Matsuo K., Yoshihara K., Nagaoka N., Makita Y., Obika H., Okihara T., Matsukawa A., Yoshida Y., Van Meerbeek B. Rechargeable anti-microbial adhesive formulation containing cetylpyridinium chloride montmorillonite // Acta Biomaterialia. – 2019. – No.100. – P. 388–397. doi: 10.1016/j.actbio.2019.09.045.
- Ali J., Khar R., Ahuja A. Buccoadhesive erodible disk for treatment of oro-dental infections: design and characterization // International Journal of Pharmaceutics. – 2002. – No.283. – P. 93–103. DOI: https://doi.org/10.1016/S0378-5173(02)00059-5.
- Collins A.E., Deasy P.B. Bioadhesive lozenge for the improved delivery of cetylpyridinium chloride // J. Pharm. Sci. – 1990. – No.79. – P. 116–119. doi: 10.1002/jps.2600790208
- Nafee N.A., Boraie N.A., Ismail F.A., Mortada L.M. Design and characterization of mucoadhesive buccal patches containing cetylpyridinium chloride // Acta Pharmaceutica. – 2003. – Vol. 53, No.3. – P. 199–212.
- Mittal K.L. Progress in Adhesion and Adhesives. New Jersey: John Wiley & Sons, Inc, 2015. - 496 p. doi: 10.1002/9781119162346
- Gad S.C. Pharmaceutical Manufacturing Handbook. Production and Processes. New Jersey: John Wiley & Sons, Inc, 2008. – 1370 p. doi: 10.1002/9780470259818.
- Russo E., Selmin F., Baldassari S. A focus on mucoadhesive polymers and their application in buccal dosage forms // Journal of Drug Delivery Science and Technology. – 2016. – No.32 – P. 113–125. doi: 10.1016/j.jddst.2015.06.016
- Chatterjee B., Amalina N., Sengupta P., Mandal U.K. Mucoadhesive Polymers and Their Mode of Action: A Recent Update. Journal of Applied Pharmaceutical Science. – 2017. – Vol. 7, No.05. – P. 195–203. doi: 10.7324/JAPS.2017.70533.
- Thakur V.K., Thakur M.K. Handbook of Polymers for Pharmaceutical Technologies: Structure and Chemistry; Vol. 1. New Jersey: John Wiley & Sons, Inc., 2015. – 529 p. doi: 10.1002/9781119041375.
- Тенцова А.И., Алюшин М.Т. Полимеры в фармации. М.: Медицина, 1985. – 256 с.
- Загорулько Е.Ю., Теслев А.А. Выбор вспомогательных веществ и определение характеристик геля для приёма внутрь «Ралитин» // Разработка и регистрация лекарственных средств. - 2018. - № 3. - С. 20–28.
- Тенцова А.И., Грецкий В.М. Современные аспекты исследования и производства мазей. М.: Медицина, 1980. 192 с.
- Кузнецова, Л.С. Разработка состава, технологии и анализ карандашей медицинских с камфорой / Л.С. Кузнецова, Т.Т. Лихота // Фундаментальные исследования. – 2011. – №11. – С. 522–525.
- Илиев К.И., Бачева Н.Н., Ларионов Л.П. Биофармацевтические и фармакологические исследования мази «Лидодиклозоль» // Медицинская наука и образование Урала. – 2016. – № 2. – С. 127–131.
- Государственная фармакопея Российской Федерации, XIV издание. Том 1. М., 2018. – 1814 с. URL: http://resource.rucml.ru/feml/pharmacopia/14_1/ HTML/index.html (Дата обращения 09.01.2019).
- Harrington E.C. The desirability function // Industrial Quality Control. – 1965. – Vol. 21, No.10. Р. 494–498.
- Fakhari А., Corcoran M., Schwarz A. Thermogelling properties of purified poloxamer 407 // Heliyon. - 2017. – No.3. – e00390. doi: 10.1016/j.heliyon.2017.e00390.
- Dumortier G., Grossiord J.L., Agnely F., Chaumeil J.C. A review of poloxamer 407 pharmaceutical and pharmacological characteristics. Pharm Res. – 2006. – Pharm Res. 2006 Dec;23(12):2709–28. doi: 10.1007/s11095-006-9104-4. Vol. 23, No.12. – P. 2709–2728. doi: 10.1007/s11095-006-9104-4.
- Akca G., Özdemir A., Öner Z.G., Şenel S. Comparison of different types and sources of chitosan for the treatment of infections in the oral cavity // Research on Chemical Intermediates. – 2018. – Vol. 44, No.8. – P. 4811–4825. doi: 10.1007/s11164-018-3338-8.
- Pella M.C.G., Lima-Tenorio M.K., Tenorio-Neto E.T., Guilherme M.R., Muniz E.C., Rubira A.F. Chitosan-based hydrogels: From preparation to biomedical applications // Carbohydrate Polymers. – 2018. – No.196. – P. 233–245. doi: 10.1016/j.carbpol.2018.05.033.
- Денисов А.Б. Слюна и слюнные железы. М.: РАМН, 2009. – 472 с.
Дополнительные файлы





