Мультисенсорный цветометрический анализ препаратов дидрогестерона, троксерутина и адеметионина с использованием штрих-кодов
- Авторы: Моногарова О.В.1, Чапленко А.А.2, Осколок К.В.1
-
Учреждения:
- Федеральное государственное бюджетное образовательное учреждение высшего образования «Московский государственный университет имени М.В. Ломоносова»
- Федеральное государственное автономное образовательное учреждение высшего образования Первый Московский государственный медицинский университет имени И.М. Сеченова Министерства здравоохранения Российской Федерации (Сеченовский Университет)
- Выпуск: Том 9, № 1 (2021)
- Страницы: 64-72
- Раздел: Статьи
- URL: https://journals.eco-vector.com/2307-9266/article/view/111670
- DOI: https://doi.org/10.19163/2307-9266-2021-9-1-64-72
- ID: 111670
Цитировать
Аннотация
Цель. Разработка универсального экспрессного и доступного способа определения дидрогестерона, троксерутина и адеметионина в лекарственных препаратах методом мультисенсорной цифровой цветометрии с использованием уникального двумерного кода. Разработанный подход может быть применен для быстрого выявления фальсификатов лекарственных средств на предварительном этапе анализа (до использования более дорогого специализированного оборудования).
Материалы и методы. Для реализации предложенного подхода использованы субстанции дидрогестерона («Эбботт Биолоджикалз Б.В.», Нидерланды), троксерутина (АО «Интерфарма», Прага, Чехия), адеметионина (ООО «Фармамед», Москва, Россия), капсулы троксерутина 300 мг (ООО «Пранафарм», Самара, Россия), лиофилизат для приготовления раствора для внутривенного и внутримышечного введения «Гептрал»® (адеметионин) 400 мг («Эбботт Лэбораториз», ГмБХ, Германия), таблетки «Дюфастон»® (дидрогестерон) 10 мг («Эбботт Хелскеа Продактс Б.В.», Нидерланды). Метод мультисенсорной цветометрии реализован с использованием следующего набора из 8 сенсоров (C1–C8): интактный раствор – 96% (v/v) водный раствор этанола – C1; 1 мМ спиртовой раствор антрахинонового зеленого (CAS#4403-90-1) – C2; 0,2% водный раствор 3-метилбензотиазолинон-гидразона (CAS#1128-67-2) – C3; 0,2% водный раствор метилоранжа (CAS#547-58-0) – C4; 1 мМ спиртовой раствор сульфородамина B (CAS#3520-42-1) – C5; 1 мМ спиртовой раствор 1-гидроксипирена (CAS#5315-79-7) – C6; 1 мМ спиртовой раствор красного очаровательного AC (CAS# 25956-17-6) – C7; 1 мМ водный раствор железа (III) хлорида – C8. В качестве основы для чипа использовали прозрачные планшеты из полипропилена с плоским дном на 96 ячеек, объем ячейки – 350 мкл (Thermo Fischer Scientific, США, кат. № 430341). Для получения растровых изображений применяли офисный планшетный сканер Epson Perfection 1670 (CCD-матрица) со съемной крышкой. Полученные цифровые изображения ячеек обрабатывали в программе ImageJ (Wayne Rasband, National Institutes of Health, USA; http://imagej.nih.gov/ij) с использованием цветовой модели RGB 24 бит (8 бит на канал).
Результаты. Адекватность разработанного подхода подтверждена при анализе вышеперечисленных лекарственных препаратов. Показано, что полученные результаты не имеют статистически значимых отличий от величин, определённых спектрофотометрическим методом.
Заключение. Показана возможность использования мультисенсорной цифровой цветометрии для фармацевтического анализа. Разработанные способы определения действующих веществ могут служить хорошим дополнением к более дорогостоящим традиционным методам.
Ключевые слова
Полный текст
Список сокращений: RGB (КЗС) – красный, зеленый, синий; МБТГ – метилбензотиазолинон-гидразон; PC1 – главная компонента 1 / Principal Component 1; PCA – метод главных компонент / principal component analysis.
ВВЕДЕНИЕ
Для предварительного экспрессного выявления фальсификатов (ещё до использования более дорогого аналитического оборудования) целесообразно применять простые, доступные и экспрессные методы. К одним из таких методов относится цифровая цветометрия, основанная на регистрации электромагнитного излучения в видимом диапазоне длин волн для получения цветных растровых изображений с помощью цифровых устройств [1–6]. Цифровая цветометрия получила широкое распространение в фармацевтическом анализе. В данной области этот метод используют для: анализа лекарственных растений [7, 8]; оценки качества сборов, в состав которых входят порошки лекарственных трав [9–11]; определения белизны порошкообразных и таблетированных лекарственных средств [12]; определения биологически активных веществ и лекарственных средств как по их собственной окраске, так и по окраске продуктов цветных реакций, используемых в фармакопейных тестах [12]; определения наркотических средств и запрещённых препаратов [13, 14].
Цифровая цветометрия сочетает доступность химических тест-методов с визуальным детектированием и характеристики инструментальных методов, прежде всего, оптической молекулярной спектроскопии. Предельно низкая стоимость анализа обусловлена возможностью измерения аналитического сигнала с помощью бытовых цифровых оптических устройств, не сертифицированных в качестве средств измерения [1, 5, 15, 16]. Несмотря на очевидные преимущества, цветометрический метод не лишен ряда ограничений, к главным из которых следует отнести низкую селективность [4, 17]. Для повышения селективности метода предложено использование молекулярных сенсоров [18]. В качестве сенсоров целесообразно применять ячейку из нескольких хромогенных агентов, в которой одновременно можно провести серию аналитических реакций. Метод мультисенсорной цветометрии [19–29] основан на получении окрашенных продуктов взаимодействия аналита с молекулярными сенсорами, извлечении информации об их цветовых характеристиках и последующем преобразовании в дискретный «штрих-код» вещества, который можно использовать для химического анализа [17, 30]. Уникальный цветометрический двумерный код позволяет судить как о природе, так и о содержании активного вещества в препарате при минимальном уровне информационного шума [17, 30]. Для формирования «штрих-кодов» целесообразно выбирать такие сенсоры и цветовые каналы, значения светлот которых коррелируют с содержанием аналита. Под светлотой понимают координату цвета по одному из цветовых каналов в системе RGB (изменяется в диапазоне от 0 до 255).
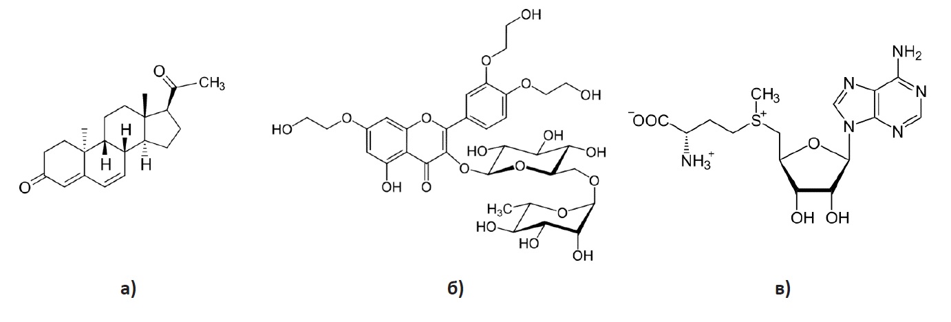
В качестве объектов анализа были выбраны препараты трёх различных фармакологических групп. Дидрогестерон представляет собой синтетический прогестаген, полностью обеспечивающий наступление фазы секреции в эндометрии при эндометриозе и дисменорее. Троксерутин – флавоноид, препарат-флебопротектор, оказывающий венотонизирующее, ангиопротективное, противовоспалительное, противоотёчное и антиоксидантное действие. Адеметионин – антиоксидантное, гепатопротективное, детоксирующее средство. Структурные формулы действующих веществ представлены на рисунке 1. Разработка альтернативных способов их определения, пригодных для предварительного скринингового анализа лекарственных препаратов, является важной и актуальной задачей фармацевтической и аналитической химии.
Рисунок 1 – Структурные формулы дидрогестерона (а), троксерутина (б), адеметионина (в)
ЦЕЛЬ. Разработка универсального способа мультисенсорного цифрового цветометрического анализа лекарственных препаратов различных фармакологических групп на примере дидрогестерона, троксерутина и адеметионина. Разработанный комплекс молекулярных сенсоров в сочетании с новыми подходами к обработке аналитического сигнала позволит проводить определение вышеуказанных действующих веществ в лекарственных препаратах.
МАТЕРИАЛЫ И МЕТОДЫ
Объекты исследования
Для реализации предложенного подхода использованы субстанции дидрогестерона («Эбботт Биолоджикалз Б.В.», Нидерланды), троксерутина (АО «Интерфарма», Прага, Чехия) и адеметионина (ООО «Фармамед», Москва, Россия), капсулы троксерутина 300 мг (ООО «Пранафарм», Самара, Россия), лиофилизат для приготовления раствора для внутривенного и внутримышечного введения «Гептрал»® (адеметионин) 400 мг («Эбботт Лэбораториз», ГмБХ, Германия), таблетки «Дюфастон»® (дидрогестерон) 10 мг («Эбботт Хелскеа Продактс Б.В.», Нидерланды).
Материалы
Для проведения количественного анализа была приготовлена серия градуировочных растворов субстанций троксерутина и адеметионина (4,0–20,0 мг/мл) с шагом 4 мг/мл, дидрогестерона (1,0–3,0 мг/мл) с шагом 0,5 мг/мл. Диапазон концентраций подобран таким образом, чтобы содержание действующего вещества в реальном лекарственном препарате находилось в середине градуировочной зависимости.
Градуировочные растворы проанализированы методом мультисенсорной цветометрии с использованием следующего набора сенсоров (C1-C8): интактный раствор – 96% (v/v) водный раствор этанола – C1; 1 мМ спиртовой раствор антрахинонового зеленого (CAS#4403-90-1) – C2; 0,2% водный раствор 3-метилбензотиазолинон-гидразона (МБTГ) (CAS#1128-67-2) – C3; 0,2% водный раствор метилоранжа (CAS#547-58-0) – C4; 1 мМ спиртовой раствор сульфородамина B (CAS#3520-42-1) – C5; 1 мМ спиртовой раствор 1-гидроксипирена (CAS#5315-79-7) – C6; 1 мМ спиртовой раствор красного очаровательного AC (CAS# 25956-17-6) – C7; 1 мМ водный раствор железа (III) хлорида – C8.
Оборудование
В качестве основы для чипа использовали прозрачные планшеты из полипропилена с плоским дном на 96 ячеек [31–33], объем ячейки – 350 мкл (Thermo Fischer Scientific, США, кат. №430341). В ячейки планшета с помощью дозаторов Biohit mLine (Sartorius, США) помещали по 100 мкл спиртовых растворов субстанций, растворов-сенсоров (C1–C8) и воды очищенной. Число сенсоров определяли так, чтобы на одном планшете можно было провести анализ наибольшего числа проб (8 сенсоров по числу строк планшета).
Для получения растровых изображений применяли офисный планшетный сканер Epson Perfection 1670 (CCD-матрица) со съемной крышкой. Сканирование планшета с образцами проводили с помощью программы Epson Scan в режиме Professional Mode (разрешение 600 dpi, глубина цвета 24 bit). Параметры «Color Restoration», «Unsharp Mask Filter» и «Descreening Filter» были отключены.
Для выполнения цифрового цветометрического анализа с использованием 96-луночного планшета («Thermo Fischer Scientific», США, кат. № 1256604) была изготовлена тефлоновая рамка-вкладыш размером 210×297×17 мм с центральным прямоугольным вырезом (128×86 мм), которую помещали под крышкой офисного планшетного сканера формата A4. Это позволило: ускорить и формализовать процедуру установки планшета на рабочем стеклянном столе сканера; зафиксировать координаты и условия освещения планшета электролюминесцентной лампой, встроенной в каретку; минимизировать боковые паразитные засветки планшета с субстратами внешними источниками излучения; повысить точность результатов измерения светлоты цветовых каналов растровых изображений планшета.
В качестве аналитического сигнала использовали разность светлот цветовых каналов между лункой с аналитом и интактной лункой. Полученные цифровые изображения ячеек обрабатывали в программе Image J (Wayne Rasband, National Institutes of Health, USA; http://imagej.nih.gov/ij) с использованием цветовой модели RGB 24 bit (8 бит на канал), в каждой лунке выделяли центральную область и для нее получали 3 усредненных значения светлоты – по одному для каждого цветового RGB-канала. Выбор цветовых каналов осуществляли эмпирически.
РЕЗУЛЬТАТЫ И ОБСУЖДЕНИЕ
Цветометрический полуколичественный анализ препаратов троксерутина, дидрогестерона и адеметионина
Полученные значения светлот RGB-каналов обработаны в табличном редакторе MS Excel, подобраны оптимальные пороговые значения разности светлот каналов для анализируемого раствора и интактной ячейки (значения, выше которых условно обозначены «1», ниже – «0») (табл. 1), сформированы цветометрические «штрих-коды» (табл. 2). При выборе оптимального порогового значения разности светлот были соблюдены следующие требования: код должен быть уникальным; разница в кодировании между соседними концентрациями должна быть минимальной (1–2 значения). Для удовлетворения этих требований целесообразно установить индивидуальные пороговые значения для каждого канала. Эта проблема была решена с помощью программы MS Excel (надстройка «Поиск решения»).
Таблица 1 – Цветометрические коды, соответствующие различным концентрациям дидрогестерона, троксерутина и адеметионина
Дидрогестерон | ||||||||||
с, мг/мл | ΔR2 | ΔG4 | ΔG6 | ΔB6 | ΔR7 | |||||
Пороговое значение разности светлот | 127 | 92 | 30 | 50 | 80 | |||||
1,0 | 0 | 0 | 0 | 0 | 1 | |||||
1,5 | 1 | 0 | 0 | 0 | 1 | |||||
2,0 | 1 | 0 | 0 | 1 | 1 | |||||
2,5 | 1 | 1 | 0 | 1 | 1 | |||||
3,0 | 1 | 1 | 1 | 1 | 1 | |||||
Троксерутин | ||||||||||
с, мг/мл | ΔG4 | ΔG5 | ΔR7 | ΔR8 | ||||||
Пороговое значение разности светлот | 125 | 91 | 82 | 92 | ||||||
4 и менее | 0 | 0 | 0 | 0 | ||||||
8 | 1 | 0 | 0 | 0 | ||||||
12 | 1 | 1 | 0 | 0 | ||||||
16 | 1 | 1 | 1 | 0 | ||||||
20 | 1 | 1 | 1 | 1 | ||||||
Адеметионин | ||||||||||
с, мг/мл | ΔR2 | ΔG2 | ΔR3 | ΔB3 | ΔG5 | ΔG7 | ||||
Пороговое значение разности светлот | 127 | 92 | 30 | 50 | 80 | 101 | ||||
4 | 0 | 0 | 0 | 0 | 1 | 0 | ||||
8 | 0 | 1 | 1 | 0 | 1 | 0 | ||||
12 | 0 | 1 | 1 | 1 | 1 | 0 | ||||
16 | 0 | 1 | 1 | 1 | 1 | 1 | ||||
20 | 1 | 1 | 1 | 1 | 1 | 1 | ||||
Таблица 2 – Шкала «штрих-кодов», соответствующих различным концентрациям дидрогестерона, троксерутина и адеметионина
Дидрогестерон | Троксерутин | Адеметионин | |||
c, мг/мл | «Штрих-код» | c, мг/мл | «Штрих-код» | c, мг/мл | «Штрих-код» |
1,0 | 4 | 4 | |||
1,5 | 8 | 8 | |||
2,0 | 12 | 12 | |||
2,5 | 16 | 16 | |||
3,0 | 20 | 20 | |||
Представленные одномерные «штрих-коды» могут быть объединены в двумерный код (табл. 3), который позволяет как судить о природе, так и оценивать содержание активного вещества в препарате с минимальным уровнем информационного шума. Интерпретация двумерного кода для идентификации и определения веществ возможна как в визуальном, так и в «инструментальном» режиме, например, с помощью программного сканера «штрих-кода» на смартфоне после его предварительной настройки. Последний режим особенно полезен при обработке больших массивов данных для повышения достоверности полученных результатов анализа.
Таблица 3 – Двумерные «штрих-коды» для одновременного анализа дигидростерона, троксерутина и адеметионина
Действующее вещество, c, мг/мл | C1 | C2 | C3 | C4 | C5 | C6 | C7 | C8 | ||||||||||||||||
R | G | B | R | G | B | R | G | B | R | G | B | R | G | B | R | G | B | R | G | B | R | G | B | |
Дидрогестерон (2,5 мг/мл) | ||||||||||||||||||||||||
1,0 | ||||||||||||||||||||||||
1,5 | ||||||||||||||||||||||||
2,0 | ||||||||||||||||||||||||
2,5 | ||||||||||||||||||||||||
3,0 | ||||||||||||||||||||||||
Троксерутин (16 мг/мл) | ||||||||||||||||||||||||
4 | ||||||||||||||||||||||||
8 | ||||||||||||||||||||||||
12 | ||||||||||||||||||||||||
16 | ||||||||||||||||||||||||
20 | ||||||||||||||||||||||||
Адеметионин (8 мг/мл) | ||||||||||||||||||||||||
4 | ||||||||||||||||||||||||
8 | ||||||||||||||||||||||||
12 | ||||||||||||||||||||||||
16 | ||||||||||||||||||||||||
20 | ||||||||||||||||||||||||
Примечание: С1–С8 – сенсоры; тёмная заливка ячейки соответствует наличию сигнала, светлая – его отсутствию
Таким образом, техника полуколичественного анализа лекарственных средств может быть сведена до сравнения кода испытуемого раствора с соответствующим кодом стандартного раствора с известной концентрацией. Поскольку погрешность результатов полуколичественного анализа изначально довольно высока, нет необходимости в использовании малодоступного стандартного образца. Достаточно лишь воспроизвести описанные условия измерения аналитического сигнала и использовать готовый набор двумерных штрих-кодов.
Цветометрический количественный анализ препаратов дидрогестерона, троксерутина и адеметионина
Для количественного анализа целесообразно использовать не все цветовые каналы и сенсоры, а лишь те значения светлот, которые коррелируют с содержанием аналита. Рассчитаны коэффициенты детерминации (r2) для всех определяемых веществ, сенсоров и цветовых каналов; выделены сенсоры и каналы, для которых значение r2 > 0,99 – критерий линейности для методик фармацевтического анализа. Таким образом, для анализа троксерутина были выбраны 4 цветовых канала (G4, G5, R7 и R8); для дидрогестерона – 5 (R2, G4, G6, B6 и R7); для адеметионина – 6 (R2, G2, R3, B3, G5 и G7).
Для апробации разработанного подхода был проведён цветометрический анализ следующих лекарственных препаратов: таблеток дидрогестерона «Дюфастон»® 10 мг, капсул троксерутина 300 мг и лиофилизата адеметионина «Гептрал»® 400 мг. С целью выбора оптимального способа определения действующего вещества проведено сравнение метрологических характеристик методик с использованием всех предложенных цветовых каналов и сенсоров. Содержание активного вещества в препаратах определяли способом градуировочного графика. Результаты определения действующих веществ в указанных лекарственных препаратах с применением разработанного подхода представлены в таблице 4.
Таблица 4 – Результаты определения действующих веществ в лекарственных препаратах методом мультисенсорной цифровой цветометрии с использованием различных цветных каналов и сенсоров
Сенсор и цветовой канал | Содержание действующего вещества, мг/ед. | sr (для цифровой цветометрии) | |
Спектрофотометрия (n = 3, P = 0,95) | Цифровая цветометрия (n = 11, P = 0,95) | ||
Дидрогестерон | |||
R2 | 10,2 ± 0,1 | 11,1 ± 1,2 | 0,048 |
G4 | 8,4 ± 1,0 | 0,053 | |
G6 | 7,0 ± 0,8 | 0,050 | |
B6 | 6,2 ± 0,6 | 0,042 | |
R7 | 14,4 ± 1,7 | 0,053 | |
Троксерутин | |||
G4 | 287 ± 2 | 294 ± 23 | 0,036 |
G5 | 284 ± 25 | 0,040 | |
R7 | 290 ± 20 | 0,036 | |
R8 | 291 ± 18 | 0,028 | |
Адеметионин | |||
R2 | 391 ± 4 | 393 ± 42 | 0,048 |
G2 | 395 ± 19 | 0,022 | |
R3 | 389 ± 27 | 0,031 | |
B3 | 388 ± 28 | 0,033 | |
G5 | 400 ± 35 | 0,040 | |
G7 | 376 ± 24 | 0,029 | |
Для всех вариантов цветометрических методик доказано равенство средних с использованием модифицированного t-критерия Стьюдента для независимых выборок (P = 0,95). Из приведённой таблицы видно, что лучшими метрологическими характеристиками обладают способы определения троксерутина с использованием R-канала сенсора 7, адеметионина – G-канала сенсора 2, дидрогестерона – R-канала сенсора 2. Из представленных данных видно, что результаты анализа лекарственных препаратов методом мультисенсорной цифровой цветометрии хорошо согласуются с данными, заявленными производителем (полученные методом высокоэффективной жидкостной хроматографии и спектрофотометрическим методом).
Использование способа главных компонент для количественного анализа препаратов дидрогестерона, троксерутина и адеметионина
Перспективным представляется подход, в котором набор значений светлот цветовых каналов рассматривают как некий «цветометрический спектр», когда данные могут быть обработаны с помощью хемометрических алгоритмов, из которых наиболее часто используется метод главных компонент (PCA, Principal Component Analysis). В этом случае имеется возможность, с одной стороны, выбрать всю полезную информацию ото всех сенсоров по всем каналам сразу, с другой – снизить уровень информационного шума и повысить точность результатов анализа. Для апробации хемометрических подходов использовали серию градуировочных растворов субстанций троксерутина и адеметионина (4,0–20,0 мг/мл) с шагом 4 мг/мл, дидрогестерона (1,0–3,0 мг/мл) с шагом 0,5 мг/мл. Значения первой главной компоненты (PC1) были рассчитаны по формулам.
Для дидрогестерона:
PC1 = –0,01·ΔG1 – 0,31·ΔR2 – 0,02·ΔG2 – 0,23·ΔB2 –
– 0,01·ΔR3 – 0,01·ΔG3 – 0,35·ΔB3 – 0,01·ΔR4 – 0,21·ΔG4 – 0,01·ΔB4 +
+ 0,01·ΔR5 – 0,44·ΔG5 – 0,40·ΔB5 – 0,01·ΔR6 – 0,09·ΔG6 – 0,22·ΔB6 –
– 0,24·ΔR7 – 0,09·ΔG7 – 0,02·ΔB7 – 0,04·ΔR8 – 0,46·ΔG8 – 0,03·ΔB8
Для троксерутина:
PC1 = 0,02·ΔR1 + 0,10·ΔG1 + 0,05·ΔB1 + 0,38·ΔR2 + 0,01·ΔG2 + 0,31·ΔB2 +
+ 0,17·ΔR3 + 0,48·ΔG3 + 0,21·ΔB3 + 0,13·ΔG4 + 0,14·ΔB4 +
+ 0,23·ΔR5 + 0,16·ΔG5 + 0,38·ΔB5 + 0,17·ΔR6 + 0,18·ΔG6 +
+ 0,23·ΔR7 + 0,01·ΔG7 + 0,02·ΔB7 + 0,27·ΔR8 – 0,02·ΔG8 + 0,02·ΔB8
Для адеметионина:
PC1 = 0,02·ΔR1 + 0,01·ΔG1 + 0,27·ΔR2 + 0,54·ΔG2 + 0,03·ΔB2 +
+ 0,28·ΔR3 + 0,09·ΔG3 + 0,29·ΔB3 + 0,02·ΔR4 + 0,08·ΔG4 + 0,01·ΔB4 +
+ 0,01·ΔR5 + 0,16·ΔG5 + 0,01·ΔG6 + 0,13·ΔB6 +
+ 0,43·ΔG7 + 0,01·ΔB7 + 0,02·ΔR8 + 0,12·ΔG8 + 0,46·ΔB8
Можно отметить наличие линейной корреляции между значением первой главной компоненты (PC1) и содержанием дидрогестерона, троксерутина и адеметионина в градуировочных растворах (рис. 2), что может быть использовано для определения содержания указанных действующих веществ в препаратах. Результаты определения действующих веществ в лекарственных препаратах с применением разработанного подхода представлены в таблице 5.
Рисунок 2 – Зависимость первой главной компоненты от концентрации дидрогестерона (а), троксерутина (б), адеметионина (в) в градуировочных растворах
Таблица 5 – Результаты мультисенсорного цветометрического определения действующих веществ в лекарственных препаратах с применением метода главных компонент
Содержание действующего вещества, мг/ед. | sr (для цифровой цветометрии) | |
Спектрофотометрия (n = 3, P = 0,95) | Цифровая цветометрия (n = 11, P = 0,95) | |
Дидрогестерон | ||
10,2 ± 0,1 | 11,0 ± 0,8 | 0,031 |
Троксерутин | ||
287 ± 2 | 290 ± 7 | 0,016 |
Адеметионин | ||
391 ± 4 | 388 ± 9 | 0,020 |
Полученные результаты согласуются с данными, заявленными производителем. Из таблиц 4 и 5 следует, что использование метода главных компонент позволяет улучшить воспроизводимость результатов анализа по сравнению с применением градуировочной зависимости по выбранным сенсору и цветовому каналу.
ЗАКЛЮЧЕНИЕ
Предложен эффективный подход (потенциально имеющий широкое применение) к скрининговому анализу лекарственных средств различных фармакологических групп методом мультисенсорной цифровой цветометрии после предварительной пробоподготовки. Одновременное использование нескольких химических сенсоров в чипе обеспечивает достаточную селективность. Дискретизация мультисенсорного сигнала позволяет получить уникальный штрих-код, подходящий для идентификации и определения действующих веществ в препаратах. Разработанные способы определения действующих веществ могут служить хорошим дополнением к более дорогостоящим традиционным методам.
ФИНАНСОВАЯ ПОДДЕРЖКА
Работа выполнена в рамках государственного задания МГУ имени М.В. Ломоносова АААА-А21-121011590089-1 «Развитие высокоинформативных и высокотехнологичных методов химического анализа для защиты экосистем, создания новых материалов и передовых производственных технологий, перехода к экологически чистой и ресурсосберегающей энергетике, развития природоподобных технологий, высокотехнологичного здравоохранения и рационального природопользования».
КОНФЛИКТ ИНТЕРЕСОВ
Авторы заявляют об отсутствии конфликта интересов.
ВКЛАД АВТОРОВ
Все авторы в равной степени внесли свой вклад в исследовательскую работу.
Об авторах
Оксана Викторовна Моногарова
Федеральное государственное бюджетное образовательное учреждение высшего образования «Московский государственный университет имени М.В. Ломоносова»
Автор, ответственный за переписку.
Email: o_monogarova@mail.ru
ORCID iD: 0000-0002-5790-1462
кандидат химических наук, доцент, доцент кафедры аналитической химии химического факультета
Россия, 119991, Москва, Ленинские горы, д. 1, стр. 3, гсп-1Александр Андреевич Чапленко
Федеральное государственное автономное образовательное учреждение высшего образования Первый Московский государственный медицинский университет имени И.М. Сеченова Министерства здравоохранения Российской Федерации (Сеченовский Университет)
Email: a.a.chaplenko@yandex.ru
ORCID iD: 0000-0003-1176-4658
кандидат фармацевтических наук, доцент
Россия, 119435, Москва, ул. Большая Пироговская, д. 2, стр. 4Кирилл Владимирович Осколок
Федеральное государственное бюджетное образовательное учреждение высшего образования «Московский государственный университет имени М.В. Ломоносова»
Email: k_oskolok@mail.ru
ORCID iD: 0000-0002-7785-4835
кандидат химических наук, доцент, доцент кафедры аналитической химии химического факультета
Россия, 119991, Москва, Ленинские горы, д. 1, стр. 3, гсп-1Список литературы
- Апяри В.В., Горбунова М.В., Исаченко А.И., Дмитриенко С.Г., Золотов Ю.А. Использование бытовых цветорегистрирующих устройств в количественном химическом анализе // Журнал аналитической химии. – 2017. – Т. 72, № 11. – С. 963–977. doi: 10.7868/S0044450217110019
- Иванов В.М., Моногарова О.В., Осколок К.В. Возможности и перспективы развития цветометрического метода в аналитической химии // Журнал аналитической химии. – 2015. – Т. 70, № 10. – С. 1011–1025. doi: 10.7868/S0044450215100114
- Моногарова О.В., Осколок К.В., Апяри В.В. Цветометрия в химическом анализе // Журнал аналитической химии. – 2018. – Т. 73, № 11. – С. 857–867. doi: 10.1134/S0044450218110063
- Химченко С.В., Экспериандова Л.П. Цветометрия в инструментальном и визуальном тест-анализе. Lambert Academic Publishing. – 2014. – 220 с.
- Шульц Э.В., Моногарова О.В., Осколок К.В. Цифровая цветометрия: аналитические возможности и перспективы использования // Вестник Московского университета. Серия 2: Химия. – 2019. – Т. 60, № 2. – С. 79–87.
- Черноусова О.В., Рудаков О.Б. Цифровые изображения в аналитической химии для количественного и качественного анализа // Химия, физика и механика материалов. – 2019. – Т. 21, № 2. – С. 55–125.
- Погоцкая А.А., Бузук Г.Н. Применение сканера и компьютерных программ цифровой обработки изображений для количественного определения алкалоидов в листьях маклеи сердцевидной // Вестник фармации. – 2009. – Т. 46, № 4. – С. 32–38.
- Ершик О.А., Бузук Г.Н. Применение сканера и компьютерных программ цифровой обработки изображений для количественного определения фенольных соединений корневищ с корнями сабельника болотного // Вестник фармации. – 2008. – Т. 42, № 4. – С. 6–12.
- Иванкова М.Н., Бузук Г.Н. Цветометрический метод определения состава порошков из лекарственного растительного сырья // Вестник фармации. – 2010. – Т. 50, № 4. – С. 22–28.
- Вернигорова М.Н., Бузук Г.Н. Цветометрическая методика определения компонентного состава порошков травы череды трехраздельной (Bidens Tripartita L.) // Вестник фармации. – 2013. – Т. 62, № 4. – С. 28–33.
- Бузук Г.Н., Кузьмичева Н.А. Цветометрический и денситометрический методы анализа в стандартизации таблеток «Аскорутин» и «Рутаскорбин» // Вестник фармации. – 2011. – Т. 53, № 3. – С. 12–18.
- Рудакова Л.В., Васильева А.П., Шведов Г.И., Поплавская Е.В. Цифровые технологии для определения цветности и белизны лекарственных средств // Фармацевтические технологии и упаковка. – 2012. – Т. 215, № 2. – С. 38–40.
- Choodum A., Daeid N.N. Rapid and semi-quantitative presumptive tests for opiate drugs // Talanta. – 2011. – Vol. 86. – P. 284–292. doi: 10.1016/j.talanta.2011.09.015
- Choodum A., Parabun K., Daeid N.N., Kanatharana P., Wongniramaikul W. Real time quantitative colourimetric test for methamphetamine detection using digital and mobile phone technology // Forensic Science International. – 2014. – Vol. 235. – P. 8–13. doi: 10.1016/j.forsciint.2013.11.018
- Oskolok K.V., Shults E.V., Monogarova O.V., Chaplenko A.A. Optical molecular analysis using office flatbed photo scanner: new approaches and solutions // Talanta. 2018. – Vol. 178. – P. 377–383. doi: 10.1016/j.talanta.2017.09.049
- Осколок К.В., Шульц Э.В., Моногарова О.В., Чапленко А.А. Оптический молекулярный анализ фармацевтических препаратов с использованием офисного планшетного сканера: цветометрия и фотометрия // Вопросы биологической, медицинской и фармацевтической химии. – 2017. – Т. 20, № 8. – С. 22–27.
- Monogarova O.V., Chaplenko A.A., Oskolok K.V. Multisensory digital colorimetry to identify and determination of active substances in drugs // Sensors and Actuators, B: Chemical. – 2019. – Vol. 299 (in press). doi: 10.1016/j.snb.2019.126909
- Ушаков Е.Н., Алфимов М.В., Громов С.П. Принципы дизайна оптических молекулярных сенсоров и фотоуправляемых рецепторов на основе краун-эфиров // Успехи химии. – 2008. – Т. 77, № 1. – С. 39-59.
- Kangas M.J., Ernest A., Lukowicz R.M., Mora A.V., Quossi A., Perez M., Kyes N., Holmes A.E. The identification of seven chemical warfare mimics using a colorimetric array // Sensors. – 2018. – Vol. 18, № 4291. – P. 1–8. doi: 10.3390/s18124291
- Kangas M.J., Wilson K.L., Burks L.M., Atwater J., Lukowicz R.M., Garver B., Mayer M., Havenridge S., Holmes A.E. An improved comparison of chemometric analysis for the identification of acids and bases with colorimetric sensor arrays // International Journal of Chemistry. – 2018. – Vol. 10. – P. 36–55. doi: 10.5539/ijc.v10n2p36
- Kangas M.J., Burks R.M., Atwater J., Lukowicz R.M., Garver B., Holmes A.E. Comparative chemometric analysis for classification of acids and bases via a colorimetric sensor array // Journal of Chemometrics. – 2017. – P. e2961. doi: 10.1002/cem.2961
- Zhang C., Bailey D.P., Suslick K.S. Colorimetric sensor arrays for the analysis of beers: A feasibility study // Journal of Agricultural and Food Chemistry. – 2006. – Vol. 54, № 14. – P. 4925–4931. doi: 10.1021/jf060110a
- Zhang C., Suslick K.S. A colorimetric sensor array for organics in water // Journal of the American Chemical Society. – 2005. – Vol. 127, № 33. – P. 11548–11549. doi: 10.1021/ja052606z
- Palacios M.A., Wang Z., Montes V.A., Zyryanov G.V., Anzenbacher P.Jr. Rational design of a minimal size sensor array for metal ion detection // Journal of the American Chemical Society. – 2008. – Vol. 130, № 31. – P. 10307–10314. doi: 10.1021/ja802377k
- Feng L., Musto C.J., Kemling J.W., Lim S.H., Zhong W., Suslick K.S. Colorimetric sensor array for determination and identification of toxic industrial chemicals // Analytical Chemistry. – 2010. – Vol. 82, № 22. – P. 9433–9440. doi: 10.1021/ac1020886
- Lin H., Suslick K.S. A colorimetric sensor array for detection of triacetone triperoxide vapor // Journal of the American Chemical Society. – 2010. – Vol. 132, № 44. – P. 15519–15521. doi: 10.1021/ja107419t
- Carey J.R., Suslick K.S., Hulkower K.I., Imlay J.A., Imlay K.R.C., Ingison C.K., Ponder J.B., Sen A., Wittrig A.E. Rapid identification of bacteria with a disposable colorimetric sensing array // Journal of the American Chemical Society. – 2011. – Vol. 133, № 19. – P. 7571–7576. doi: 10.1021/ja201634d
- Suslick B.A., Feng L., Suslick K.S. Discrimination of complex mixtures by a colorimetric sensor array: coffee aromas // Analytical Chemistry. – 2010. – Vol. 82, № 5. – P. 2067–2073. doi: 10.1021/ac902823w
- Goodey A. Development of multianalyte sensor arrays composed of chemically derivatized polymeric microspheres localized in micromachined cavities // Journal of the American Chemical Society. – 2001. – Vol. 123, № 11. – P. 2559–2570. doi: 10.1021/ja003341l
- Моногарова О.В., Чапленко А.А., Осколок К.В. Идентификация и определение левомицетина в лекарственных препаратах методом мультисенсорной цифровой цветометрии // Вестник Московского университета. Серия 2: Химия. – 2020. – Т. 61, № 1.
- Johnke H. Detecting concentration of analytes with DETECHIP: a molecular sensing array // Journal of Sensor Technology. – 2013. – Vol. 3, № 3. – P. 94–99. doi: 10.4236/jst.2013.3301
- Smith A. Improved image analysis of DETECHIP® allows for increased specificity in drug discrimination // Journal of Forensic Research. – 2012. – Vol. 3, № 8. – P. 161–164. doi: 10.4172/2157-7145.1000161
- Okuom M.O., Holmes A.E. Developing a color-based molecular sensing device: DETECHIP® // Sensors & Transducers. – 2014. – Vol. 183, № 12. – P. 30–33.
Дополнительные файлы




















