Молекулярное конструирование N-ацильных производных 2-(2-оксопиролидин-1-ил)-ацетамида, обладающих ГАМК-ергической и глутаматергической активностями
- Авторы: Кодониди И.П.1, Чиряпкин А.С.1, Творовский Д.Е.2,3
-
Учреждения:
- Пятигорский медико-фармацевтический институт – Федеральное государственное бюджетное образовательное учреждение высшего профессионального образования «Волгоградский государственный медицинский университет» Министерства здравоохранения Российской Федерации
- Научный институт имени Вейцмана
- Университет имени Бар-Илана
- Выпуск: Том 9, № 1 (2021)
- Страницы: 84-97
- Раздел: Статьи
- URL: https://journals.eco-vector.com/2307-9266/article/view/111676
- DOI: https://doi.org/10.19163/2307-9266-2021-9-1-84-97
- ID: 111676
Цитировать
Аннотация
Первым из наиболее успешно внедренных в медицинскую практику ноотропных лекарственных средств является пирацетам, который следует отнести к циклическим производным γ-аминомасляной кислоты. Получение новых производных пирацетама обладающих высокой ноотропной активностью, представляет собой перспективное направление при создании новых нейропротекторных препаратов.
Цель. Прогноз ГАМК-ергической и глутаматергической активности N-ацилпроизводных 2-(2-оксопиролидин-1-ил)- ацетамида методом молекулярного докинга посредством анализа энергии взаимодействия моделируемых структур с ГАМКА- и AMPA-рецепторами с последующим их целенаправленным синтезом.
Материалы и методы. Объектами исследования являются новые N-ацильные производные 2-оксо-1-пирролидинацетамида и виртуальная модель ГАМКА-рецептора организма Homo sapiens с идентификационным кодом 6D6U и трехмерная модель AMPA-рецептора организма Rattus norvegicus с идентификационным кодом 3LSF из базы данных RCSB PDB. Моделируемые соединения построены в программе HyperChem 8.0.8. С помощью этой программы также была проведена оптимизация геометрии с использованием силового поля молекулярной механики ММ+. Молекулярный докинг осуществлялся посредством программы Molegro Virtual Docker 6.0.1. Получение N-ацильных производных 2-(2-оксопирролидин-1-ил)-ацетамида осуществлялось взаимодействием 2-(2-оксопирролидин-1-ил)-ацетамида с избытком соответствующего ангидрида в условиях кислотного катализа.
Результаты. По результатам молекулярного докинга можно судить о высоком сродстве всех моделируемых соединений к сайту связывания ГАМКА- и AMPA-рецепторов. Согласно прогнозу, максимальную ГАМК-ергическую активность следует ожидать у (N-[2-(2-оксопирролидин-1-ил)-ацетил]-бутирамида. N-ацильные производные 2-оксо-1-пирролидинацетамида образуют более устойчивый комплекс с аминокислотными остатками Arg207, Phe200, Thr202, Tyr97, Tyr157, Tyr205 и Phe65 сайта связывания ГАМК ГАМКА-рецептора, чем молекула ГАМК. По величине минимальной энергии взаимодействия N-ацильные производные 2-(2-оксопирролидин-1-ил)-ацетамида превосходят целый ряд известных лигандов, таких, как ГАМК, пирацетам, анипирацетам, пикамилон и прамирацетам. Также исследуемые соединения показали высокое сродство к сайту связывания AMPA-рецептора. Соединением-лидером также является соединение PirBut, как и в случае с ГАМКА-рецептором.
Заключение. Молекулярное моделирование взаимодействия лигандов с активным сайтом связывания гамма-аминомасляной кислоты ГАМКА-рецептора методом молекулярного докинга показало, что все виртуальные N-ацильные производные 2-оксо-1-пирролидинацетамида по активности могут превышать целый ряд ноотропных лекарственных препаратов. В ходе молекулярного конструирования разработана методика прогнозирования глутаматергической активности для производных 2-пирролидона. Она позволяет предположить значительную ноотропную активность для амидов N-[2-(2-оксопирролидин-1-ил)-ацетамида.
Полный текст
Список сокращений: ГАМК – гамма-аминомасляная кислота; ЦНС – центральная нервная система; БАС – биологически активные соединения; ГЭБ – гематоэнцефалический барьер; IC50 – концентрация полумаксимального ингибирования
ВВЕДЕНИЕ
Современный уровень заболеваний, связанных с эмоциональным статусом человека, свидетельствует об актуальности систематического поиска высокоэффективных соединений для лечения нарушений в работе центральной нервной системы (ЦНС). Для этой цели широко используются лекарственные средства, оказывающие нейропротекторное действие на высшие интегративные функции головного мозга, а также повышающие резистентность нейронов к агрессивным эндогенным и экзогенным воздействиям. Одной из успешно и широко применяемых в медицине групп таких препаратов являются ноотропы. Они улучшают умственную деятельность, стимулируют память и другие когнитивные процессы центральной нервной системы, а также повышают устойчивость нервных клеток к воздействию гипоксии, интоксикации и посттравматических состояний головного мозга [1].
Важным преимуществом ноотропных лекарственных средств является их низкая токсичность и совместимость с препаратами других фармакологических групп, воздействующих на ЦНС, а также практически полное отсутствие нежелательных побочных эффектов [2].
Ноотропы стимулируют нейрональные процессы, обмен нуклеиновыми кислотами, белками, повышают продукцию аденозинтрифосфата, улучшают процессы проникновения глюкозы через гематоэнцефалический барьер (ГЭБ) и её дальнейшую утилизацию в различных отделах головного мозга [3].
Для поиска новых биологически активных соединений (БАС), влияющих на ГАМК-ергическую и/или на глутаматергическую системы, целесообразно комбинировать различные методы молекулярного моделирования. Так, например, логико-структурный анализ баз данных молекул известных лигандов позволяет выявить общие структурные фрагменты («фармакофоры»), ответственные за проявление прогнозируемого вида активности. Сочетание методов конформационого анализа и молекулярного докинга позволяет выявить энергетически выгодное расположение лигандов в активном центре белковой мишени и судить о силе и направленности фармакологического эффекта.
ЦЕЛЬ. Прогноз ГАМК-ергической и глутаматергической активности N-ацилпроизводных 2-(2-оксопиролидин-1-ил)-ацетамида с помощью анализа энергии взаимодействия моделируемых структур с ГАМКА- и AMPA-рецепторами методом молекулярного докинга с последующим их целенаправленным синтезом.
МАТЕРИАЛЫ И МЕТОДЫ
Оптимизация пространственного строения исследуемых структур осуществлялась методом молекулярной механики MM+ с использованием программы HyperChem 8.0.8 [4]. Моделирование лиганд-рецепторного взаимодействия с участком связывания γ-аминомасляной кислоты ГАМКА-рецептора и активного сайта АМРА-рецептора проводилось методом молекулярного докинга посредством программы Molegro Virtual Docker 6.0.1, с использованием алгоритма молекулярных вычислений – MolDockScore. Программой Molegro Virtual Docker 6.0.1 [5] осуществлено моделирование 300 наиболее стабильных конформаций исследуемых веществ в активном центре ГАМКА-рецептора и AMPA-рецептор со сферой моделирования 12 нм. Для изучения энергетических составляющих пространственно-конформационных взаимодействий N-ацильных производных 2-(2-оксопиролидин-1-ил)-ацетамид c участком связывания γ-аминомасляной кислоты использована пространственная структура комплекса белок-лиганд с идентификационным кодом 6D6U [6], в случае использования AMPA-рецептора – 3LSF [7]. Используемые для моделирования лиганд-рецепторные комплексы представлены в базе данных RCSB Protein Data Bank (https://www.rcsb.org/).
Молекулярный докинг на ГАМКА-рецептор
Биологической мишенью докинга является ГАМКА-рецептор из семейства Cys-петлевых рецепторов, содержащих дисульфидные связи между двумя остатками цистеина. Все описанные ГАМК-рецепторы являются полиморфными белковыми образованиями, их структура во многом зависит от их локализации в тканях организма. Согласно современной классификации ГАМК-рецепторы подразделяются на две группы – ионоформные рецепторы типа ГАМКА/ГАМКС и метаботропные рецепторы ГАМКВ [8].
Супрамолекулярная структура ГАМКА-рецептора представляет собой гетеропентамерный гликопротеиновый комплекс. В структуру ионотропного рецептора могут входить 7 типов субъединиц: α, β, γ, δ, ε, π и θ. В свою очередь, α субъединица представлена 6 изоформами, β и γ включает по 3 изоформы, остальные типы субъединиц в ГАМКА-рецепторе имеют по 1 изоформе. В головном мозге млекопитающих ГАМКА-рецептор является пентамером, который образован двумя α- и β-субъединицами и одной γ-субъединицей (рис. 1) [9]. Каждая субъединица ионотропного канала имеет третичную структуру, которая представлена порядком 400 аминокислотными остатками. Субъединица включает в себя N-концевой экстрацеллюлярный домен и 4 трансмембранных домена M1, M2, M3 и M4, которые имеют структурную организацию в виде α-спиралей. Именно N-концевой домен располагает многочисленными местами для связывания различных лигандов, которые могут быть представлены γ-аминомасляной кислотой, бензодиазепинами, барбитуратами, нейрональными гормонами [10]. Предполагается, что трансмембранные домены M2 и M3 принимают участие в связывании лигандов и модуляции ионного канала [11].
Рисунок 1 – Молекулярная структура ГАМКА-рецептора. Примечание: А – горизонтальное расположение ГАМКА-рецептора в плоскости; B – вертикальное
Молекулярный докинг на AMPA-рецептор
Ранее исследователи установили, что аминокислоты P494, S497, S754, S729, D760, Y424 и N764 ответственны за процесс положительной аллостерической модуляции АМРА-рецептора. При этом молекула пирацетама может занимать три фармакологически активных расположения в сайте связывания АМРА-рецептора. Данные пространственные расположения молекул пирацетама находятся в непосредственной близости друг от друга. В первом случае молекула пирацетама образует связи с аминокислотами P494, S497 и S754, а во втором случае, вступает во взаимодействие с аминокислотами D760 и Y424, но также происходит связывание с аминокислотой S729. При этом первое и второе расположение молекулы пирацетама является взаимоисключающим. В третьем случае, молекула пирацетама взаимодействует с аминокислотами S729, D760 и N764 [7]. Таким образом, только две молекулы пирацетама могут одновременно занимать фармакологически активные расположения в сайте связывания АМРА-рецептора.
В проведенном исследовании выбрано второе расположение пирацетама в сайте связывания АМРА-рецептора, а аминокислоты S729, D760, Y424 и N764 обозначены как Ser 217, Asp 248, Tyr 35 и Asn 252 соответственно. Два возможных одновременных варианта расположения молекулы пирацетама в сайте связывания АМРА-рецептора в белок-лигандном комплексе 3LSF представлены на рисунке 2.
Рисунок 2 – Расположение молекулы пирацетама в сайте связывания АМРА-рецептора в белок-лигандном комплексе 3LSF. Примечание: А – второй вариант расположения; Б – третий вариант расположения.
Для оценки сродства низкомолекулярных соединений к сайту связывания белковой мишени может быть использован показатель константы ингибирования (Ki). С целью выработки методики прогнозирования биологической активности исследованных соединений в отношении АМРА-рецептора были использованы 10 структурных формул и соответствующие им значения Ki для организма Rattus norvegicus, которые были приведены в базе данных Binding Database (https://www.bindingdb.org/bind/index.jsp) (табл. 1).
Таблица 1 – Структурные формулы лигандов из базы данных Binding DB с советующими им показателями Ki
Код лиганда, структурная формула лиганда, Ki нМ | Код лиганда, структурная формула лиганда, Ki нМ | Код лиганда, структурная формула лиганда, Ki нМ | Код лиганда, структурная формула лиганда, Ki нМ |
BDBM50128264, 370 | BDBM50107595, 218 | BDBM50126764, 175 | BDBM50252922, 112 |
BDBM50060627, 105 | BDBM50252920, 80 | BDBM50252873, 61 | BDBM50060632, 45 |
BDBM50060635, 4 | BDBM50166287, 2.9 |
Объекты молекулярного конструирования
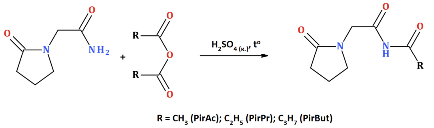
В качестве лигандов для молекулярного конструирования ГАМК-ергических и глутаматергических БАС и последующего синтеза, выбраны N-ацилзамещенные 2-(2-оксопирролидин-1-ил)- ацетамида (пирацетама), а именно N-[2-(2-оксопирролидин-1-ил)-ацетил]-ацетамид (PirAc), N-[2-(2-оксо-пирролидин-1-ил)-ацетил]-пропионамид (PirPr) и N-[2-(2-оксопирролидин-1-ил)-ацетил]-бутирамид (PirBut).
Синтез N-ацилпроизводных 2-(2-оксопиролидин-1-ил)-ацетамида осуществляли по следующей методике:
Суспензию (0,01 моль) 2-(2-оксопирролидин-1-ил)ацетамида растворяли в избытке соответствующего ангидрида при температуре 70–80°C и перемешивали. Затем прибавляли 0,1 мл концентрированной серной кислоты. Прохождение реакции ацилирования контролировали методом тонкослойной хроматографии. Целевой продукт выделяли из охлажденной реакционной среды диэтиловым эфиром. Перекристаллизацию вещества осуществляли из этилового или изопропилового спирта (рис 3.) [12].
Рисунок 3 – Синтез N-ацильных производных 2-оксо-1-пирролидинацетамида
РЕЗУЛЬТАТЫ И ОБСУЖДЕНИЕ
Молекулярный докинг на ГАМКА-рецептор
Изучение лиганд-рецепторного комплекса 6D6U, показало, что γ-аминомасляная кислота образовывает две водородные связи с аминокислотами Thr 130 и Arg 67 и вступает в гидрофобные взаимодействие с Tyr 205, Tyr 157 и Phe 65 активного сайта ГАМК(А)-рецептора (рис. 4).
Рисунок 4 – Расположение молекулы γ-аминомасляной кислоты в активном центре ГАМКА-рецептора
На рисунке 5 представлены результаты молекулярного докинга оптимизированных конформаций пирацетама и его N-ацильных производных в активном сайте ГАМКА-рецептора.
Рисунок 5 – Расположение пирацетама и его N-ацильных производных в активном центре ГАМКА-рецептора по результатам молекулярного докинга
Из результатов молекулярного докинга видно (таблица 2), что все N-ацильные производные 2-(2-оксопиролидин-1-ил)ацетамида по величине минимальной энергии взаимодействия превосходят целый ряд известных лигандов, таких, как ГАМК, пирацетам, анипирацетам, пикамилон и прамирацетам. Рассчитанные энергии также сопоставимы с энергией взаимодействия фенибута, но уступают фонтурацетаму. Из значений усредненной энергии взаимодействия с активным сайтом ГАМКА-рецептора следует, что PirAc, PirPr и PirBut среди исследуемых структур обладают наибольшим сродством к ГАМКА-рецептору.
Таблица 2 – Величина минимального значения лиганд-рецепторного взаимодействия прогнозируемых лигандов в активном центре ГАМКА-рецептора
Лиганд | Минимальная энергия образования лиганд-рецепторного комплекса, ккал/моль |
ГАМК | –71.708 |
Пирацетам | –86.509 |
PirAc | –88.691 |
PirPr | –95.354 |
PirBut | –95.507 |
Анирацетам | –81.509 |
Фонтурацетам | –97.105 |
Фенибут | –94.692 |
Пикамилон | –78.629 |
Прамирацетам | –76.046 |
Дальнейшее изучение лиганд-рецепторного взаимодействия заключалось в сравнении энергии водородных связей и гидрофобных взаимодействий. Энергия водородных связей с аминокислотами Thr 130 и Arg 67 показывает, что более устойчивую водородную связь исследуемые лиганды образуют с остатком Arg 67. Наиболее прочные водородные связи могут образовывать ГАМК и фонтурацетам. По суммарной энергии водородных связей им уступают PirAc, PirPr и PirBut, однако все эти лиганды по величинам энергий превосходят модифицированный препарат – пирацетам (табл. 3). У остальных соединений данная энергия сопоставима с аналогичными энергиями N-ацильных производных 2-оксо-1-пирролидинацетамида. Рассчитанные энергии гидрофобных взаимодействий с остатками аминокислот Tyr 205, Tyr 157 и Phe 65 свидетельствуют о том, что моделируемые структуры характеризуются более высокими значениями энергий взаимодействия по сравнению с ГАМК. Однако эти величины соизмеримые с таковыми для пирацетама, анирацетама и прамипирацетама, но уступают фонтурацетаму, фенибуту и пикамилону. Эти результаты можно объяснить структурной особенностью фонтурацетама, фенибута и пикамилона, а именно присутствием в их строении объемных ароматических фрагментов. В молекулах фонтурацетама и фенибута содержится бензойное кольцо, а в пикамилоне – пиридиновая гетероциклическая система.
Таблица 3 – Энергия образования связей лигандов с аминокислотами Thr 130, Arg 67, Tyr 205, Tyr 157 и Phe65 в ккал/моль
Лиганды | Обозначение аминокислоты | Сумма | Обозначение аминокислоты | Сумма | |||
Thr 130 | Arg 67 | Tyr 205 | Tyr 157 | Phe 65 | |||
ГАМК | –3.402 | –11.652 | –15.054 | –6.693 | –8.628 | –8.315 | –23.635 |
Пирацетам | –3.295 | –3.771 | –7.066 | –15.209 | –17.001 | –8.056 | –40.266 |
PirAc | –3.126 | –7.932 | –11.058 | –18.353 | –10.854 | –12.668 | –41.875 |
PirPr | –3.387 | –7.281 | –10.669 | –16.311 | –12.056 | –12.136 | –40.504 |
PirBut | –3.045 | –7.515 | –10.559 | –10.936 | –15.734 | –10.192 | –36.862 |
Анирацетам | –2.707 | –6.371 | –9.077 | –17.433 | –16.844 | –9.811 | –44.089 |
Фонтурацетам | –0.501 | –12.521 | –13.022 | –23.481 | –16.458 | –14.223 | –54.162 |
Фенибут | –1.416 | –9.197 | –10.614 | –26.125 | –12.417 | –11.563 | –50.105 |
Пикамилон | –7.555 | –3.325 | –10.880 | –25.993 | –10.147 | –13.068 | –49.207 |
Прамирацетам | –2.281 | –7.117 | –9.399 | –17.954 | –14.522 | –10.145 | –42.620 |
Экспериментальные данные рентгеноструктурного анализа комплекса ГАМКА-рецептора с молекулой γ-аминомаслянной кислоты [6] позволили увеличить количество аминокислотных остатков, участвующих в образовании лиганд–рецепторного комплекса. К раннее рассмотренным аминокислотным остаткам следует добавить фрагменты Arg 207, Glu 155, Phe 200 Thr 202, Tyr 97, Asp 44 и Leu 118. Сравнительный анализ расчетных энергетических характеристик связывания ГАМК, пирацетама и его модифицированных производных (таблица 4) позволил предположить, что N-ацильные производные 2-оксо-1-пирролидинацетамида образуют более устойчивый комплекс с аминокислотными остатками Arg 207, Phe 200, Thr 202, Tyr 97, Tyr 157, Tyr 205 и Phe 65, чем молекула ГАМК. Энергия взаимодействия конструированных структур с остатком Arg 67 ниже по сравнению с ГАМК, а по аминокислотам Leu 118 и Thr130 результаты соизмеримые. С остатком Glu 155 у PirAc наблюдается более сильное взаимодействие, чем у PirPr и PirBut. Аминокислота активного центра ГАМКА-рецептора Asp 44 не участвует во взаимодействии с пирацетамом и его модификациями, однако следует отметить, что и молекула ГАМК образует с ней слабое взаимодействие. Таким образом, PirAc, PirPr и PirBut обладают большим сродством к активному центру ГАМКА-рецептора по сравнению с молекулой ГАМК и препаратом пирацетамом.
Таблица 4 – Расчетные энергии взаимодействия исследуемых соединений с остатками аминокислот Thr 130, Arg 67, Tyr 205, Tyr 157, Arg 207, Glu 155, Phe 200, Thr 202, Tyr 97, Asp 44 и Leu 118 в ккал/моль
Аминокислота | ГАМК | Пирацетам | PirAc | PirPr | PirBut |
Arg 207 | 0.561 | – | –0.590 | –2.436 | –3.291 |
Glu 155 | –1.881 | –1.524 | –2.67262 | –0.83446 | –0.998 |
Phe200 | –5.189 | –13.994 | –11.515 | –10.532 | –16.502 |
Thr 202 | –4.137 | –5.205 | –8.562 | –7.454 | –8.294 |
Tyr 97 | –1.231 | –7.239 | –4.117 | –5.967 | –4.487 |
Tyr 157 | –8.628 | –17.001 | –10.854 | –12.056 | –15.734 |
Tyr 205 | –6.693 | –15.209 | –18.353 | –16.311 | –10.936 |
Arg 67 | –11.652 | –3.771 | –7.933 | –7.281 | –7.515 |
Asp 44 | 0.718 | – | – | – | – |
Leu 118 | –1.989 | –1.795 | –1.951 | –1.887 | –1.954 |
Thr 130 | –3.40186 | –3.295 | –3.125 | –3.387 | –3.045 |
Молекулярный докинг на AMPA-рецептор
По результатам молекулярного докинга в программе Molegro Virtual Docker 6.0.1 были установлены наиболее энергетически выгодные расположения N-ацильных производных 2-оксо-1-пирролидинацетамида в сайте связывания AMPA-рецептора. На рисунке 6 приведены примеры расположения исследуемых соединений с минимальной энергией взаимодействия с аминокислотами сайта связывания AMPA-рецептора. На данном рисунке обозначены главные аминокислоты, которые задействованы в реализации активирующего действия на рецептор: Ser 217, Asp248, Tyr 35 и Asn 252.
Рисунок 6 – Расположение лигандов в сайте связывания AMPA-рецептора по результатам молекулярного докинга. Примечание: А – пирацетам; Б – PirAc; В – PirPr; Г – PirBut
Минимальное значение энергии взаимодействия лигандов с сайтом связывания AMPA-рецептора представлены в таблице 5. Из полученных результатов следует, что все три N-ацильные производные 2-оксо-1-пирролидинацетамида обладают большим сродством к сайту связывания ионотропнного глутаматного рецептора, чем молекула пирацетама. При этом, наиболее энергетически выгодное расположение занимает PirBut, затем по энергии взаимодействия с сайтом связывания AMPA-рецептора следуют молекулы PirPr и PirAc соответственно.
Таблица 5 – Минимальное значение энергии взаимодействия лигандов с сайтом связывания AMPA-рецептора
Лиганд | Минимальная энергия лиганд-рецепторного взаимодействия, ккал/моль |
пирацетам | –80.3646 |
PirAc | –94.9684 |
PirPr | –101.0150 |
PirBut | –107.0790 |
С использованием белок-лигандного комплекса 3LSF было установлено, что молекула пирацетама помимо Ser 217, Asp248, Tyr 35 и Asn 252 также вступает во взаимодействия со следующими аминокислотами активного центра AMPA-рецептора: Leu 247, Lys 251, Met 107, Phe 106, Pro 105, Ser 108, Ser 242, Asp 216 и Lys 218. Энергии взаимодействия молекулы пирацетама с аминокислотами сайта связывания AMPA-рецептора были получены из белок-лигандного комплекса 3LSF согласно уже установленному рентгеноструктурным анализом фармакологически активного расположения данного вещества. При этом было использовано второе расположение молекулы пирацетама, где не происходит образование связей с Asn 252 (рис. 2A). Энергии взаимодействия PirAc, PirPr и PirBut с аминокислотным окружением сайта связывания AMPA-рецептора получили, используя молекулярный комплекс с минимальной энергией лиганд-рецепторного взаимодействия. Из приведенных в таблице 6 результатов исследования следует, что N-ацильные производные 2-оксо-1-пирролидинацетамида превосходят молекулу пирацетама по энергии взаимодействия с аминокислотами Met 107, Phe 106, Pro 105, Ser 108, Ser 242, Lys 218 и Ser 217. По аминокислотам Asp 248, Lys 251 и Tyr 35 исследуемые вещества имеют небольшую разницу энергии взаимодействия по сравнению с молекулой пирацетама (максимальная разница составляет -1.8891 ккал/моль у PirAc с Tyr 35), а с аминокислотой Leu 247 наблюдается снижение энергии взаимодействия. PirAc, PirPr, PirBut не вступают во взаимодействие с аминокислотой Asp 216, но и сама молекула пирацетама образует с данной аминокислотой очень слабую связь (–0.3789 ккал/моль).
Таблица 6 – Энергии взаимодействия исследуемых соединений с аминокислотами сайта связывания АМРА-рецептора в ккал/моль
Аминокислоты | Пирацетам | PirAc | PirPr | PirBut |
Asp 248 | –8.6384 | –7.0767 | –7.2909 | –7.1325 |
Leu 247 | –17.2258 | –10.5279 | –10.946 | –10.5261 |
Lys 251 | –3.2265 | –3.7261 | –4.2831 | –3.9035 |
Met 107 | –7.8311 | –14.4516 | –15.6796 | –14.981 |
Phe 106 | –2.7516 | –11.6726 | –12.144 | –11.9543 |
Pro 105 | –0.9851 | –7.7395 | –10.1021 | –12.8108 |
Ser 108 | –0.6031 | –9.5983 | –10.9815 | –11.098 |
Ser 242 | –4.3652 | –6.5524 | –6.1867 | –6.4454 |
Tyr 35 | –3.6829 | –1.7938 | –2.3966 | –1.9694 |
Asp 216 | –0.3789 | – | – | – |
Lys 218 | –1.24 | –2.8374 | –3.687 | –6.3321 |
Ser 217 | –7.1949 | –11.9722 | –11.3445 | –12.6389 |
Сумма | –58.124 | –87.9485 | –95.042 | –99.792 |
Для прогнозирования биологической активности N-ацильных производных 2-оксо-1-пирролидинацетамида была разработана методика расчета ноотропной биологической активности методом молекулярного докинга с использованием программы Molegro Virtual Docker 6.0.1. По результатам молекулярного докинга лигандов, приведенных в базе данных Binding Database (https://www.bindingdb.org/bind/index.jsp), с сайтом связывания АМРА-рецептора для каждого лиганда был осуществлен выбор лиганд-рецепторного комплекса с наименьшей энергией MolDock Score взаимодействия. Для выбранных расположений низкомолекулярных соединений было осуществлено изучение энергии образования связей с аминокислотами Ser 217 и Asp 248 сайта связывания АМРА-рецептора, ответственных за реализацию фармакологического действия. Результаты проведенного исследования приведены в таблице 7.
Таблица 7 – Значение энергии взаимодействия лигандов из базы данных Binding Database с аминокислотами Ser 217 и Asp 248 сайта связывания АМРА-рецептора
Код лиганда согласно базе данных bindingdb.org | Ki, нМ | Энергия взаимодействия с Ser 217, ккал/моль | Энергия взаимодействия с Asp 248, ккал/моль | Сумма энергии, ккал/моль |
BDBM50128264 | 370 | –10.4842 | –1.3701 | –11.8543 |
BDBM50107595 | 218 | –15.0233 | –2.2196 | –17.2429 |
BDBM50126764 | 175 | –13.3183 | –5.1289 | –18.4472 |
BDBM50252922 | 112 | –18.9924 | –4.4265 | –23.4189 |
BDBM50060627 | 105 | –14.7070 | –4.4979 | –19.2049 |
BDBM50252920 | 80 | –17.1936 | –2.4128 | –19.6064 |
BDBM50252873 | 61 | –15.8562 | –5.0815 | –20.9377 |
BDBM50060632 | 45 | –14.1395 | –7.0648 | –21.2043 |
BDBM50060635 | 4 | –14.2827 | –7.0615 | –21.3442 |
BDBM50166287 | 2.9 | –20.0334 | –6.1673 | –26.2007 |
С целью определения зависимости между суммарной энергии взаимодействия лигандов с аминокислотами Ser 217 и Asp 248 сайта связывания АМРА-рецептора и соответствующих им значений константы ингибирования была построена точечная диаграмма. В результате была получена линейная математическая зависимость (рис. 7.) между значением константы ингибирования и суммарной энергии взаимодействия выбранных лигандов с аминокислотами Ser 217 и Asp 248 сайта связывания АМРА-рецептора: Y=26,034x+636,5. В данной математической зависимости величине Y соответствует значение константы ингибирования, а величине X – суммарная энергия взаимодействия исследуемых лигандов с аминокислотами Ser 217 и Asp 248 сайта связывания АМРА-рецептора.
Рисунок 7 – Точеная диаграмма линейной зависимости между значением константы ингибирования и суммарной энергии взаимодействия лигандов с аминокислотами Ser 217 и Asp 248 сайта связывания АМРА-рецептора
Для оценки достоверности полученной математической зависимости между значением константы ингибирования и суммарной энергии взаимодействия выбранных лигандов с аминокислотами Ser 217 и Asp 248 сайта связывания АМРА-рецептора был осуществлен расчет коэффициента достоверности аппроксимации и значения среднеквадратического отклонения. Коэффициент достоверности аппроксимации был получен с помощью программы Microsoft Excel и составляет 0.7866. Расчет среднеквадратического отклонения производился по формуле:
где: СКО – среднеквадратического отклонение; N – количество лигандов; ΔКi – разница между Ki, рассчитанного по выведенной линейной математической зависимости; Ki – коэффициент ингибирования, взятый из базы данных Binding Database.
Среднеквадратическое отклонение составляет 49.15237. Таким образом, по полученным значениям коэффициента достоверности аппроксимации и среднеквадратического отклонения можно говорить о приемлемой точности расчета линейной зависимости константы ингибирования от суммарной энергии взаимодействия лигандов с аминокислотами Ser 217 и Asp 248 сайта связывания АМРА-рецептора.
По разработанной методике был осуществлен прогноз биологической активности N-ацетил-2-(2-оксициклопентил)-ацетамида (PirAc), N-пропаноил-2-(2-оксициклопентил)-ацетамида (PirPr) и N-бутаноил-2-(2-оксициклопентил)-ацетамида (PirBut) в отношении АМРА-рецептора (табл. 8).
Таблица 8 – Прогнозируемое значение биологической активности N-ацильных производных 2-оксо-1-пирролидинацетамида
лиганд | Энергия взаимодействия с Ser 217, ккал/моль | Энергия взаимодействия с Asp 248, ккал/моль | Суммарная энергия, ккал/моль | Ki прогнозируемое, нМ |
пирацетам | –7.1949 | –8.6384 | –15.8333 | 224.3759 |
PirAc | –11.9722 | –7.0767 | –19.0489 | 140.6609 |
PirPr | –11.3445 | –7.2909 | –18.6354 | 151.4260 |
PirBut | –12.6389 | –7.1325 | –19.7714 | 121.8514 |
ОБСУЖДЕНИЕ
Фармакологическое действие ноотропных препаратов связано с их действием на работу ГАМК-ергической, моноаминергической, холинергической и глутаматергической нейромедиаторных систем головного мозга [13].
Помимо вовлечения в ноотропную активность рецепторов ГАМК и метаботропных глутаматных рецепторов (mGluR), с ноотропным действием также связано влияние на другие рецепторы, сопряжённые с G-белком (GPCR) [14]. В частности, производное пиримидина Ro10-5824 (1) проявляет выраженный ноотропный эффект, являясь агонистом дофаминовых рецепторов D4. Активация рецепторов этого типа связана, с усилением когнитивных функций мозга, таких, как способность к обучению, познавательная активность и т.д. [15].
Антиоксидантное действие некоторых ноотропов объясняется тем, что их молекулы способны ингибировать образование свободных радикалов и процессы перекисного окисления липидов [16].
В работе [17] на примере производных (3H)-хиназолин-4-она была показана возможность направленного комбинирования различных фармакофоров в одной молекуле с целью усиления фармакологической активности.
Так, например, были синтезированы производные хиназолинона (2), в которых способность к активации мозговых рецепторов дофамина (тип D4) сочетается с антиоксидантным действием благодаря присутствию фенольного гидроксила (гидроксифенильного фрагмента). Было показано [17], что одним из наиболее полезных проявлений такой комбинации является усиление кровотока в микроциркуляторном русле и, как следствие, улучшение периферического кровообращения.
Таким образом, обладая возможностью одновременного воздействия на различные фармакологические механизмы, ноотропные лекарственные средства являются незаменимой группой в современном арсенале средств, применяемых в терапии нарушений деятельности высшей нервной системы человека.
Одним из перспективных направлений создания новых лекарственных препаратов является модификация структуры известных лекарственных средств или эндогенных биологически активных соединений. В этом отношении пристальное внимание привлекают нейроактивные аминокислоты: ГАМК, глутаминовая кислота, таурин и др., оказывающие влияние на нейрональные процессы головного мозга [18].
Показана значимая роль ГАМК, как тормозного нейромедиатора во взаимосвязи между различными функциями ЦНС, влиянием на гормональный гомеостаз и деятельность сердечно-сосудистой системы [19]. Доказано, что первые метаболиты ГАМК влияют на прохождение кетоглутаратдегидрогеназной стадии цикла Кребса. Соответственно ГАМК-ергическая система, участвуя в метаболических процессах, позволяет защищать организм в случае возникновения экстремальных состояний, связанных с различными видами гипоксии. Подтверждено влияние ГАМК на протекание окислительного фосфорилирования, участие в метаболизме глюкозы и как следствие в регуляции осмотических процессов, а это приводит к проявлению антигипоксического и антиоксидантного действия [20].
В процессе поиска биологически активных соединений, обладающих ноотропным действием, прогнозируется величина взаимодействие моделируемых соединений с ГАМК и NMDA рецепторами, в значительной мере отвечающих за процессы торможения и возбуждения ЦНС [21]. Оптимальная взаимосвязь между тормозными и возбуждающими системами нейропередачи ЦНС обеспечивает нормальную деятельность головного мозга, вегетативных функций и метаболических процессов в организме, а нарушение баланса между этими системами приводит к различным патологическим состояниям [22]. Эти факты позволяют оценить актуальность, молекулярного конструирования и целенаправленного синтеза модифицированных структур ГАМК-ергических препаратов, обладающих церебропротекторными, антигипоксическими и ноотропными свойствами.
Циклические формы ГАМК – производные α-пирролидона – легче проникают через ГЭБ и в высоких дозах проявляют противосудорожную активность. Соединение 3-амино-1-гидроксипирролидинон-2 (3) обладает потенциальной возможностью для лечения заболеваний, связанных с экстрапирамидальными расстройствами.
Одним из самых удачных производных N-замещенных лактамов, синтезированных в лаборатории UСВ (Бельгия), является 2-(2-оксопиролидин-1-ил)-ацетамид (4). Препарат пирацетам обладает более высокой липофильностью, чем ГАМК, легче проходит через ГЭБ и оказывает влияние на корковые, подкорковые и транскаллозальные реакции ЦНС [23].
В качестве структурного аналога пирацетама был синтезирован 2-(4-гидроски-2-оксопиролидин-1-ил)-ацетамид (5), являющийся лактамом 4-амино-3-оксимасляной кислоты (лекарственный препарат гамибетал).
Данный препарат и близкие по структуре соединения способны нормализовать процессы памяти и улучшать когнитивные свойства мозга [24].
На основании этих исследований сформировалось новое направление в области создания нейрофармакологических препаратов – целенаправленный поиск ГАМК-ергических соединений. На начальном этапе это направление представляло собой набор эмпирических методов, или, в лучшем случае, базировалось на логико-структурном подходе. Результаты современных исследований рентгеноструктурного и радиолигандного анализа лиганд-рецепторных комплексов достаточно достоверно описывает молекулярные механизмы синаптических процессов, что открывает дополнительные возможности для молекулярного конструирования ГАМК-ергических веществ in silico, посредством использования компьютерных методов моделирования [25].
Одной из белковых мишеней, с помощью которой реализуется фармакологическое действие ноотропных средств выступает AMPA-рецептор. Своё название данный рецептор получил в честь избирательного его агониста — α-амино-3- гидрокси-5-метил-4-изоксазолпропионовой кислоты (α-amino-3-hydroxy-5-methyl-4-isoxazolepropionic acid). AMPA-рецептор является подтипом ионотропных глутаматных рецепторов, которые способны пропускать через клеточную мембрану нейроцитов положительно заряженные ионы и таким образом участвовать в передаче быстрых возбуждающих сигналов в межнейрональных синапсах [13].
Появление новых трехмерных структур белковых рецепторов в Protein Data Bank (www.wwpdb.org) [26], в сочетании с интенсивным развитием компьютерных методов анализа внутри- и межмолекулярных взаимодействий, способствует созданию более точных моделей в системе «лиганд-рецептор».
Наличие высокой ГАМК-ергической активности можно предполагать у молекулы N-[2-(2-оксо-пирролидин-1-ил)-ацетил]-пропионамида. Результаты проведенного прогностического исследования говорят о том, что все N-ацилпроизводные 2-(2-оксопиролидин-1-ил)-ацетамида могут превосходить по ГАМК-ергической активности модифицированный препарат – пирацетам, а также эндогенный тормозной нейромедиатор – γ-аминомасляную кислоту.
В ходе анализа полученных in silico значений Ki для N-ацильных производных 2-оксо-1-пирролидинацетамида было установлено, что их гипотетическая ноотропная фармакологическая активность значительно превышает пирацетам в результате их аллостерической модуляции AMPA-рецептора. При этом лидером среди данных соединений является N-бутаноил-2-(2-оксициклопентил)-ацетамид. Таким образом, PirAc, PirPr и PirBut являются перспективными соединениями с превосходящей прогнозируемой ноотропной фармакологической активностью молекулу пирацетама.
Проведенные фармакологические исследования подтверждают выраженные ноотропные свойства у N-ацильных производных 2-(2-оксопиролидин-1-ил)ацетамида [27, 28].
ЗАКЛЮЧЕНИЕ
В результате проведенного молекулярного моделирования взаимодействия лигандов с активным сайтом связывания γ-аминомасляной кислоты ГАМК -рецептора методом молекулярного докинга было установлено, что все N-ацильные производные 2-оксо-1-пирролидинацетамида могут превосходить γ-аминомасляную кислоту и пирацетам по ноотропной активности. Также данные соединения обладают большим сродством к сайту связывания АМРА-рецептора. В ходе проведенных исследований была предложена методика прогнозирования глутаматергической активности.
ФИНАНСОВАЯ ПОДДЕРЖКА
Исследование выполнено при финансовой поддержке РФФИ в рамках научного проекта № 20-315-90060.
КОНФЛИКТ ИНТЕРЕСОВ
Авторы заявляют об отсутствии конфликта интересов.
АВТОРСКИЙ ВКЛАД
И.П. Кодониди – дизайн исследования, установление структуры полученных соединений и интерпретация результатов вычислительного эксперимента; А.С. Чиряпкин – синтез, установление структуры полученных соединений, проведение молекулярного моделирования, анализ данных вычислительного эксперимента. Д.И. Творовский – интерпретация результатов вычислительного эксперимента. Все авторы принимали участие в обсуждении результатов и написании статьи.
БЛАГОДАРНОСТЬ
Авторы статьи выражают благодарность Оганесяну Эдуарду Тониковичу (доктор фармацевтических наук, профессор, зав. кафедрой органической химии, Пятигорский медико-фармацевтический институт – филиал ФГБОУ ВО ВолгГМУ Минздрава, Пятигорск), Глушко Александру Алексеевичу (кандидат фармацевтических наук, доцент кафедры неорганической, физической и коллоидной химии, Пятигорский медико-фармацевтический институт – филиал ВолгГМУ Минздрава, Пятигорск) за оказанную консультативную помощь в написании статьи.
Об авторах
Иван Панайотович Кодониди
Пятигорский медико-фармацевтический институт – Федеральное государственное бюджетное образовательное учреждение высшего профессионального образования «Волгоградский государственный медицинский университет» Министерства здравоохранения Российской Федерации
Автор, ответственный за переписку.
Email: kodonidiip@mail.ru
ORCID iD: 0000-0003-1333-3472
доктор фармацевтических наук, профессор кафедры органической химии
Россия, 357532, Пятигорск, пр-т Калинина, 11Алексей Сергеевич Чиряпкин
Пятигорский медико-фармацевтический институт – Федеральное государственное бюджетное образовательное учреждение высшего профессионального образования «Волгоградский государственный медицинский университет» Министерства здравоохранения Российской Федерации
Email: alexey.chiriapkin@yandex.ru
ORCID iD: 0000-0001-8207-2953
аспирант кафедры органической химии
Россия, 357532, Пятигорск, пр-т Калинина, 11Дмитрий Евгеньевич Творовский
Научный институт имени Вейцмана; Университет имени Бар-Илана
Email: dmitwor@gmail.com
ORCID iD: 0000-0002-9414-9951
кандидат фармацевтических наук, отдел структурной биологии, лаборатория геномики рака и биокомпьютинга сложных заболеваний медицинского факультета Азриэли
Израиль, 7610001, Реховот, ул. Герциля, 234; 1311502, Цфат, ул. Генриетта Шольд, 8Список литературы
- Sahjesh S., Rashmi S., Ayush B. Smart Drugs: A Review // International Journal for Innovation Education and Research. – 2020. – Vol. 8, No.11. – P. 1–13. doi: 10.31686/ijier.vol8.iss11.2386.
- Malykh A.G., Sadaie M.R. Piracetam and piracetam-like drugs: from basic science to novel clinical applications to CNS disorders // Drugs. – 2010. – Vol. 70, No.3. – P. 287–312. doi: 10.2165/11319230-000000000-00000.
- Перфилова В.Я., Садикова Н.В., Прокофьев И.И., Иноземцев О.В., Тюренков И.Н. Сравнительная оценка функциональных резервов сердца стрессированных животных в условиях блокады NO-ергической системы и гамка-рецепторов // Экспериментальная и клиническая фармакология. – 2016. – Т. 79, № 5. – С. 10–14. doi: 10.30906/0869-2092-2016-79-5-10-14.
- Teppen B.J. HyperChem, release 2: molecular modeling for the personal computer // J. Chem. Inf. Comput. Sci. – 1992. – Vol. 32. – P. 757–759.
- Thomsen R., Christensen M.H. MolDock: A new technique for high-accuracy molecular docking // Journal of Medicinal Chemistry. – 2006. – Vol. 49. – P. 3315–3321. doi: 10.1021/jm051197e.
- Zhu S., Noviello C.M., Teng J., Walsh R.M., Kim J.J., Hibbs R.E. Structure of a human synaptic GABAA receptor // Nature. – 2018. – Vol. 559. – P. 67–72. doi: 10.1038/s41586-018-0255-3.
- Ahmed A., Oswald R. Piracetam Defines a New Binding Site for Allosteric Modulators of α-Amino-3-hydroxy-5-methyl-4-isoxazole-propionic Acid (AMPA) Receptors // Journal of Medicinal Chemistry. – 2010. – Vol. 53, No.5. – P. 2197–2203. doi: 10.1021/jm901905j.
- Семьянов A.B. ГАМК-ергическое торможение в ЦНС: типы ГАМК-рецепторов и механизмы тонического ГАМК-опосредованного тормозного действия // Нейрофизиология. – 2002. – Т. 34, №1. – С. 82–92.
- Sieghart W., Sperk G. Subunit composition, distribution, and function of GABA(A) receptor subtypes // Curr Top Med Chem. – 2002. – Vol. 2, No. 8. – P. 795–816. doi: 10.2174/1568026023393507.
- Sigel E., Luscher B.P. A closer look at the high affinity benzodiazepine binding site on GABAA receptors // Curr Top Med Chem. – 2011. – Vol. 11, No.2. – P. 241–246. doi: 10.2174/156802611794863562.
- Masiulis S., Desai R., Uchański T., Serna Martin I., Laverty D., Karia D., Malinauskas T., Zivanov J., Pardon E., Kotecha A., Steyaert J., Miller K.W., Aricescu A.R. GABAA receptor signalling mechanisms revealed by structural pharmacology // Nature. – 2019. – Vol. 565, No.7740. – P. 454-459. doi: 10.1038/s41586-018-0832-5.
- Кодониди И.П., Чиряпкин А.С., Морозов А.В., Смирнова Л.П., Ивченко А.В., Жилина О.М. Синтез и термохимическое моделирование механизма реакции получения N-ацильных производных 2-(2-оксопирролидин-1-ил)-ацетамида // Изв. вузов. Химия и хим. технология. – 2020. – Т. 63, №. 2. – С. 38–44. doi: 10.6060/ivkkt.20206302.6080.
- Suliman N.A., Mat Taib C.N., Mohd Moklas M.A., Adenan M.I., Hidayat Baharuldin M.T., Basir R. Establishing Natural Nootropics: Recent Molecular Enhancement Influenced by Natural Nootropic // Evid Based Complement Alternat Med. – 2016. – Vol. 2016. – P. 4391375. doi: 10.1155/2016/4391375.
- Terunuma M. Diversity of structure and function of GABAB receptors: a complexity of GABAB-mediated signaling // Proc. Jpn. Acad., Ser. B. – 2018. – Vol. 94, No.10. – P. 390–411. doi: 10.2183/pjab.94.026.
- Newman-Tancredi A., Heusler P., Martel J.C., Ormière A.M., Leduc N., Cussac D. Agonist and antagonist properties of antipsychotics at human dopamine D4.4 receptors: G-protein activation and K+ channel modulation in transfected cells // The International Journal of Neuropsychopharmacology. – 2008. – Vol. 11, No.3. – P. 293–307. doi: 10.1017/S1461145707008061.
- Волковой В.А., Севрюков О.В., Колісник С.В., Деркач Н.В., Крижна С.І., Остапець М.О. Экспериментальное изучение антигипоксической и антиоксидантной активности производных 5,7-дигидро-1H-пирроло-[2,3-d] пиримидина // Вісник фармації. – 2017. – Т. 3, № 91. – С. 61–65. doi: 10.24959/nphj.17.2173.
- Патент US 8349850 B2 / 08-01-2013. Heterocyclic compounds and uses thereof in the treatment of sexual disorders // Приложение No.11/922.913 / Tworowski D., Matsievitch R. Kogan V.
- Jakaria M., Azam S., Haque M.E., Jo S.H., Uddin M.S., Kim I.S., Choi D.K. Taurine and its analogs in neurological disorders: Focus on therapeutic potential and molecular mechanisms // Redox Biol. – 2019. – Vol. 24. – P. 101223. doi: 10.1016/j.redox.2019.101223.
- Vargas R.A. The GABAergic System: An Overview of Physiology, Physiopathology and Therapeutics // Int J Clin Pharmacol Pharmacother – 2018. – Vol. 3. – 9 p. doi: 10.15344/2456-3501/2018/142.
- Ковалев Г.В., Тюренков И.Н. Поиск веществ, активирующих ГАМК-ергическую систему, новое направление в создании антигипертензивных средств // Фармакология и токсикология. – 1989. № 1. С. 5–11.
- Nuss P. Anxiety disorders and GABA neurotransmission: a disturbance of modulation // Neuropsychiatr Dis Treat. – 2015. – Vol. 11. – P. 165–175. doi: 10.2147/NDT.S58841.
- Srinivas N., Maffuid K., Kashuba A.D.M. Clinical Pharmacokinetics and Pharmacodynamics of Drugs in the Central Nervous System // Clin Pharmacokinet. – 2018. – Vol. 57, No.9. – P. 1059–1074. doi: 10.1007/s40262-018-0632-y.
- Giurgea G., Salama H. Nootropic drugs // Progr. Neuro-Psychopharmacol. – 1977. – V. 1. – P. 235–247.
- Li W., Liu H., Jiang H., Wang C., Guo Y., Sun Y., Zhao X., Xiong X., Zhang X., Zhang K., Nie Z., Pu X. (S)-Oxiracetam is the Active Ingredient in Oxiracetam that Alleviates the Cognitive Impairment Induced by Chronic Cerebral Hypoperfusion in Rats // Sci Rep. – 2017. – Vol. 7, No.1. – P. 10052. doi: 10.1038/s41598-017-10283-4.
- Кодониди И.П., Оганесян Э.Т., Глушко А.А., Тюренков И.Н., Багметова В.В., Золотых Д.С., Погребняк А.В. Молекулярное конструирование и целенаправленный синтез N-замещенных производных 4-оксо-1,4-дигидропиримидина на основе тормозных нейромедиаторов / Хим. фармац. журн. – 2009. – Т. 43. – № 10. – С. 32–39.
- Berman H.M., Westbrook J., Feng Z., Gilliland G., Bhat T.N., Weissig H., Shindyalov I.N., Bourne P.E. The Protein Data Bank // Nucleic Acids Res. – 2000. – Vol. 28, No.1. – P. 235–242. doi: 10.1093/nar/28.1.235.
- Воронков А.В., Поздняков Д.И., Сосновская А.В., Чиряпкин А.С., Кодониди И.П., Мамлеев А.В. Влияние новых производных 2-пирролидона на изменение вазодилатирующей функции эндотелия сосудов в условиях экспериментальной церебральной ишемии // Наука молодых (Eruditio Juvenium). – 2020. – Т. 8, №1. – С. 53–62. doi: 10.23888/HMJ20208153-62.
- Pozdnyakov D.I., Voronkov A.V., Kodonidi I.P., Chiryapkin A.S., Anenko D.S. Neuroprotective effect of organic acids diamides. focus on changing mitochondrial function // Pharmacology Online. – 2020. – Vol. 1. – P. 237–247.
Дополнительные файлы
























