Cинтез, антиагрегационная и антитромботическая активности новых производных гидроксибензойных кислот с тауриновым фрагментом
- Авторы: Брель А.К.1, Атапина Н.В.1, Будаева Ю.Н.1, Лисина С.В.1, Царук С.С.1, Куркин Д.В.1, Тюренков И.Н.1
-
Учреждения:
- ФГБОУ ВО «Волгоградский государственный медицинский университет»
- Выпуск: Том 9, № 3 (2021)
- Страницы: 222-234
- Раздел: Статьи
- URL: https://journals.eco-vector.com/2307-9266/article/view/111686
- DOI: https://doi.org/10.19163/2307-9266-2021-9-3-222-234
- ID: 111686
Цитировать
Аннотация
Высокая распространенность тромботических нарушений, недостаточная эффективность или безопасность антитромботической терапии является актуальной проблемой современного здравоохранения. Основным средством профилактики тромбоза является ацетилсалициловая кислот. Несмотря на многолетнею историю аспирин привлекает исследователей в области медицинской химии, биологии и медицины. Разработка новых антиагрегантов, в том числе и химической модификацией молекулы ацетилсалициловой кислоты остается актуальной. Модификация молекулы ацетилсалициловая кислот с использованием аминокислот и получением их солевых форм, позволяет сохранять антиагрегантные или антитромботические свойства, а также сообщить дополнительные фармакодинамические эффекты. В современной науке уделяется немало внимания серосодержащей аминокислоте таурин. При анализе современной научной литературы обнаружено протективное действие таурина при сахарном диабете и сердечно-сосудистых заболеваниях, дисфункции печени, желудочно-кишечного тракта, заболеваниях почек.
Цель. Синтез новых соединений, определение их физических характеристик и оценка антиагрегантной и антитромботической активности in vitro и in vivo.
Материалы и методы. Для подтверждения структуры, синтезированных новых производных гидроксибензойных кислот с тауриновым фрагментом методом ацелирования, использовали тонкослойню хроматографию, ЯМР спектры. Исследования in vitro проводили на модели АДФ-индуцированной агрегации тромбоцитов по методике Born G. в модификации Габбасова В.А. Исследования in vivo проводили на модели артериального тромбоза, индуцированного аппликацией хлоридом железа на следующих группах животных: интактные, с экспериментальным сахарным диабетом и трех годовалые, так же была проведена оценена скорость кровотечения из хвостовой вены.
Результаты. Были синтезированы новые соединения, представляющие собой производные орто-, мета- и пара-гидроксибензойных кислот с остатком таурина. Описана методика получения соединений N-гидроксибензоил таурина и их солевых форм, определены спектральные характеристики и температура плавления. Синтезированные соединения по растворимости превосходят ацетилсалициловую кислоту, не уступают ей в антиагрегантной и антитромботической активности. Представлены результаты оценки антиагрегантной активности in vitro в широком диапазоне концентраций от 10-4М до 10-8М. Выявлено, что дикалиевая соль N-(2-гидроксибензоил)таурина проявляет меньшую антиагрегантную активность, чем дикалиевая соль N-(3-гидроксибензоил)таурина. Наиболее выраженную антиагрегантную активность проявляет соединение N-(4-гидроксибензоил)таурин. В экспериментах in vivo на модели артериального тромбоза у 3-летних или животных с экспериментальным сахарным диабетом, тромбоз сонной артерии происходил быстрее, чем у молодых или интактных. Однократное предварительное пероральное введение исследуемых соединений пролонгировало время образования тромба, что позволяет сделать заключение о наличии у них антитромботического действия. Дикалиевая соль N-(3-гидроксибензоил)таурина в проведённом исследовании проявляет более выраженную чем у ацетилсалициловой кислоты активность.
Заключение. На фоне моделируемых патологий, исследуемые препараты проявили ожидаемую антитромботическую активность, по выраженности не уступающую выявленной у ацетилсалициловой кислоты.
Полный текст
Список сокращений: ESC – европейская ассоциация кардиологии; DMSO-d6 – диметилсульфоксид-d6; GAPDH – глицеральдегид-3-фосфатдегидрогеназа; HUVECs – эндотелиальные клетки человека; АДФ – аденозинди дифосфорная кислота; АСК – ацетилсалициловая кислота; АФК – активные формы кислорода; НПВП – нестероидные противовоспалительные препараты; СД – сахарный диабет; ЭСД – экспериментальный сахарный диабет; ССЗ – сердечно-сосудистые заболевания; ЦОГ – циклооксигеназа; ЖКТ – желудочно-кишечный тракт.
ВВЕДЕНИЕ
Сердечно-сосудистые заболевания занимают лидирующие позиции в статистике смертности населения в большинстве развитых стран [1-4] и являются основной причиной смертности в большинстве Европейских стран [5]. Главной целью Европейской ассоциации кардиологов (ESC, European Society of Cardiology) на протяжении 70-ти лет является совершенствование стандартов диагностики и лечения сердечно-сосудистых заболеваний (ССЗ), в том числе и оптимизация проведения антиагрегантной и антитромботической терапии [6]. В первую очередь, это уменьшение числа, возникающих из-за нарушения баланса в системе гемостаза, тромбозов – основной причины инсультов, инфарктов миокарда и ампутаций конечностей [7, 8].
Кардиоваскулярные заболевания являются причиной смерти более 50% людей в странах со средним уровнем дохода и <30% людей в странах с высоким [9]. Наблюдаемая разница возникла из-за результативного внедрения профилактических мероприятий и высокотехнологичной медицинской помощи, оптимизации применения и повышения качества лекарственных средств, что в совокупности и привело к снижению гибели от ССЗ [10].
Ключевым фактором, определяющим прогноз большинства заболеваний сердечно-сосудистой системы, является проблема низкой эффективности предупреждения артериальных тромбозов. Своевременное проведение профилактических мероприятий увеличивает продолжительность жизни, улучшает ее качество, снижает траты на лечение и реабилитацию пациентов.
Антиагреганты, подавляя функциональную активность тромбоцитов, препятствуют внутрисосудистой гемокоагуляции, их применение доказано снижает риск тромбоэмболий при многих социально-значимых заболеваниях [11].
Попытки улучшить фармакодинамические или фармакокинетические свойства известных препаратов является распространенным подходом к разработке новых лекарственных средств.
Инновационные фармацевтические препараты должны угнетать функциональную активность тромбоцитов более эффективно и безопасно, чем известные антиагрегантные средства и при этом оказывать плейотропные эффекты. Ацетилсалициловая кислота, блокаторы рецепторов АДФ – P2Y12 (тиклопидин, клопидогрел, прасугрел, тикангрелор, кангрелор), антагонисты гликопротеинов IIb/IIIa имеют высокие показатели эффективности и безопасности [12], но в тоже время проблема тромботических осложнений в полной мере не решена.
Ацетилсалициловая кислота продолжает оставаться самым назначаемым антиагрегантом. Ряд распространённых заболеваний, таких как сахарный диабет, метаболический синдром, ожирение рассматриваются, как независимый фактор высокого риска развития сердечно-сосудистых осложнений. В последних рекомендациях [13] по первичной профилактике атеросклеротических осложнений сахарного диабета (СД) в качестве средства базисной терапии указываются низкие дозы ацетилсалициловой кислоты. Это свидетельствует о несомненном признании достоинств этого препарата, его терапевтической широте и доступности. Химическая модификация молекул, обладающих выраженной фармакологической активностью, продолжает оставаться одним из методов разработки лекарственных средств. Дериватизация молекулы АСК и добавление в её структуру аминокислоты таурин, в совокупности с получением солевых форм даёт возможность усилить антиагрегантное действие или уменьшить тяжесть побочных эффектов, сообщить дополнительное фармакологическое действие, повысить эффективность синтеза и/или облегчить производство [14–16]. На протяжении всей истории применения ацетилсалициловой кислоты и особенно интенсивно в последние два десятилетия, химики пытаются модифицировать её молекулу, чтобы сообщить ей новые, в основном, фармакодинамические эффекты, такие как вазодилатирующий или способность генерировать активные формы кислорода (АФК) в опухолевых клетках, проявлять антибактериальную и антипролиферативную и/или противоопухолевую активности. Так ангидридные конъюгаты аспирина с жирными кислотами легче проходят через клеточные мембраны, и вызывают более выраженную дозозависимую агрегацию тромбоцитов. Аспирин-липидные конъюгаты действуют посредством ингибирования пути циклооксигеназы (ЦОГ) – тромбоксан-синтазы (TXAS). Все конъюгаты гидролизуются до исходных молекул аспирина и жирной кислоты контролируемым образом. Ангидриды аспирин-жирных кислот обладают большей биодоступностью (свободная карбоксильная группа в аспирине остается ионизированной разновидностью при физиологическом pH и плохо абсорбируется через клеточные мембраны) и антиагрегантной активностью (одним из оснований для создания гибридного «codrug» является то, что пролекарство аспирин-жирная кислота-ангидрид гидролизуются с выделением не одного, а двух активных молекул, которые независимо друг от друга ингибируют ЦОГ), меньшей ульцерогенностью [17].
Ацетилсалициловая кислота и аналоги короткоцепочечных жирных кислот, таких как бутирил-салициловая кислота, проявляют выраженное антимикробное действие в отношении Salmonella Typhimurium. [18].
Число работ обнаруживающих противоопухолевую активность нестероидных противовоспалительных препаратов (НПВП) и, в частности АСК, в последние несколько лет продолжает увеличиваться [19, 20]. Так производные аспирина на основе циннамальдегида изучаются в качестве потенциального средства для лечения колоректального рака [21–23].
Включение иона металла в молекулу ацетилсалициловой кислоты может сообщить ей дополнительные фармакодинамические свойства, что позволяет сохранять способность к ингибированию ЦОГ. Однако появляется способность к генерации АФК металлической частью конъюгата, что может помочь преодолеть устойчивость опухолевых клеток или микроорганизмов. Развитие металлоорганических производных АСК является одним из направлений биоорганической химии и превратилось в мощную альтернативу традиционным подходам в разработке биоактивных соединений [24]. К примеру, новые производные аспирина, включающие в свою молекулу оксид азота (NO-аспирины) более безопасны в отношении слизистой оболочки желудочно-кишечного тракта (ЖКТ), и оказывают выраженные цитотоксические эффекты в отношении рака легкого [25]. IPA / NO-аспирин являются пролекарствами, которые более безопасны и оказывают более выраженные фармакодинамические эффекты вероятно, из-за улучшенного клеточного поглощения и доставки. Содержащие оксид азота соединения аспирина были не токсичными для нормальных эндотелиальных клеток (HUVECs; не влияет на жизнеспособность до 100 мкМ), но оказывали токсическое действие на некоторые клеточные линии рака, что указывает на специфическую для рака чувствительность, которая является перспективной для химиотерапии или химиопрофилактики. Избирательная цитотоксичность пролекарств на основе NO-аспирина может быть связана с их влиянием на активность гликолитического белка GAPDH (тиоловая группа GAPDH подавляется донорами HNO, которые образуются при гидролизе IPA / NO-аспирина в организме) от активности которого зависит скорость гликолиза в опухолевых клетках. Применение содержащих оксид азота соединений аспирина (IPA / NO-аспирин) приводило к усилению функцию мышиных кардиомиоцитов in vivo. Это подтверждает, что доноры HNO являются положительными инотропными / лузитропными агентами и увеличивают переходные процессы в Ca2+ каналах кардиомиоцитов. Таким образом, пролонгированные формы препаратов, содержащих аспирин и HNO или NO, могут иметь широкое терапевтическое применение в качестве противовоспалительных, противоопухолевых и кардиопротективных агентов [26].
Таурин – органический осмолит, участвующий в регуляции метаболизма клеток, обеспечивает субстрат для образования солей желчных кислот. Играет важную роль в модуляции концентрации внутриклеточного свободного кальция, и, хотя при этом является одной из аминокислот, не включенных в белки, таурин один из наиболее распространенных аминокислот в мозге, сетчатке, мышечной ткани и органах [27]. Производное таурина стимулирует образование менее токсичных фибрилл амилоид-β, что приводит к предотвращению когнитивного дефицита при острой экспериментальной модели болезни Альцгеймера у мышей [28]. Таурин улучшает секрецию инсулина и снижает резистентность к инсулину. Лечение таурином снижало выраженность окислительного стресса в головном мозге, диабетической гепатотоксичности, тяжесть сосудистых заболеваний и травм сердца при диабете [29, 30]. В литературе описано влияние добавок таурина на резистентность к инсулину; баланс железа, цинка и меди; параметры окислительного стресса у контрольных животных и крыс с высоко- жировой диетой [31].
Таким образом синтез и доклиническое изучение новых производных гидроксибензойных кислот является перспективной и актуальной задачей для современной фармакологии.
ЦЕЛЬ. Синтезировать новые соединения, определить их физические характеристики и оценить антиагрегантную и антитромботическую активности in vitro и in vivo.
МАТЕРИАЛЫ И МЕТОДЫ
Синтез и определение физических характеристик
Общая методика синтеза дикалиевых солей N-(гидроксибензоил)тауринов была подробно описана авторами ранее [32, 33]. В реактор, снабженный мешалкой, помещали раствор 2-аминоэтансульфоновой кислоты (таурина) в 25.00 мл воды и приливали 6 н. раствор гидроксида натрия. По каплям, в раствор вносили хлорангидрид гидроксибензойной кислоты в течение 1,5 ч при охлаждении. Затем реакционную смесь перемешивали еще 1,5 ч (при охлаждении), контролируя рН среды (рН>7). Полученную смесь выливали в лед и подкисляли хлороводородной кислотой до рН=5, выпавшие кристаллы перекристаллизовывали из изопропанола, отфильтровывали и сушили. Характеристики представленных соединений в таблице 1. Затем в 3-горлый реактор, снабженный мешалкой, обратным холодильником и термометром, загружали 100 ммоль этилата калия, 100,00 мл бензола и 50 ммоль N-(гидроксибензоил)таурина и перемешивали при температуре 100°С в течение 30 мин. После охлаждения продукт отделяли фильтрованием, промывали небольшим количеством спиртового раствора щелочи и сушили.
Таблица 1 – Характеристики полученных N-(гидроксибензоил)-замещенных тауринов
Соединение | X | Выход, % | Т. пл., °С | Rf* | Спектры 1Н-ЯМР (DMSO-d6), δ, м.д. |
N-(2-гидроксибензоил)таурин | 2-ОН | 63,5 | 158–160 | 0,664 | 6.88–7.78 (4Н, м, С6Н4), 8.0–8.05 (1Н, м, NH), 10.70 (1Н, с, ОН и SO2ОH), 2.78–3.60 (4 Н, м, С2Н4) |
N-(3-гидроксибензоил)таурин | 3-ОН | 63,8 | 199–201 | 0,636 | 6.95–7.33 (4Н, м, С6Н4), 7.50–7.83 (1Н, м, NH), 9.81 (1Н, с, ОН и SO2OH), 2.67–3.02 (4 Н, м, С2Н4). |
N-(4-гидроксибензоил)таурин | 4-ОН | 64,2 | 204–206 | 0,753 | 6.76–7.75 (4Н, м, С6Н4), 7.96–8.23 (1Н, м, NH), 10.19 (1Н, с, ОН и SO2OH), 2.23–3.34 (4 Н, м, С2Н4) |
Температуры плавления определяли капиллярным методом на приборе Stuart SMP-30 (Великобритания) при скорости нагрева 10°С/мин. Чистоту и индивидуальность соединений подтверждали методом тонкослойной хроматографии на пластинах «Silufol UV-254», подвижная фаза н-бутанол – этанол – вода в соотношении 5:2:1, проявление – в парах йода и УФ-светом. Спектры 1Н- ЯМР производных в DMSO-d6 регистрировали на спектрометре Bruker DRX500 (Bruker, Германия), внутренний стандарт гексаметилдисилоксан 500 МГц. Для интерпретации спектров использовали лицензионный программный продукт фирмы «Advanced Chemistry Development Inc.» под коммерческим названием ACD/HNMR Predictor Pro v. 3.
Исследуемые N-производные таурина синтезированы реакцией ацилирования таурина эквимольным количеством хлорангидрида 2-, 3- или 4-гидроксибензойной кислоты. Затем гидроксибензоилтаурины переводились в водорастворимую форму путем получения дикалиевых солей (рис. 1).
Рисунок 1 – Реакция ацилирования таурина
Исследования in vitro
Изучение влияния веществ на функциональную активность тромбоцитов in vitro проводилось по методике Born G. в модификации Габбасова В.А. (1989) [34] на двухканальном лазерном анализаторе агрегации тромбоцитов «Биола» 220LA (Россия). Исследования проводились на богатой тромбоцитами плазме крыс по способу, описанному Люсовым В.А., Белоусовым Ю.Б. (1971) [35]. Кровь получали от наркотизированных (хлоралгидрат, 400 мг/кг, в/б Органика, Россия) животных из брюшной аорты [36], стабилизировали 3,8% раствором цитрата натрия (Реахим, Россия) в соотношении 9:1, затем центрифугировали в течение 10 мин при 1000 об/мин на центрифуге CM-6м (ELMI, Латвия). Калибровку прибора проводили по дистиллированной воде, согласно инструкции, светопропускание дистиллированной воды принимали за 100%.
Для получения контрольной пробы в стеклянную кювету агрегометра вносили 300 мкл богатой тромбоцитами плазмы, после включения записи агрегатограммы, на 10 секунде регистрации процесса, в кювету добавляется АДФ («Sigma Aldrich», США), в конечной концентрации 5 мкМ [37].
Для изучения антиагрегантой активности исследуемых соединений в кювету с 270 мкл богатой тромбоцитами плазмы добавляется 30 мкл раствора тестируемого образца в определенной концентрации. Проба инкубировалась в термостатируемых ячейках агрегометра (37°С в течение 3 минут), после чего пробу переносили в регистрирующую ячейку и производили запись агрегатограммы продолжительностью 5 минут.
Производные гидроксибензойных кислот и ацетилсалициловую кислоту (референтный препарат) изучали в диапазоне концентраций 10-4–10-8М.
Исследования in vivo
Соединения вводили однократно внутрижелудочно через гастральный зонд. Через 60 минут после введения животных наркотизировали (хлоралгидрат в дозе 400 мг/кг, внутрибрюшинно), выделяли левую общую сонную артерию и воспроизводили модель внутрисосудистого тромбоза [38]. Под сонную артерию подкладывали пленку Parafilm. Скорость кровотока по сонной артерии регистрировали методом ультразвуковой допплерографии до его полного прекращения в результате тромбоза, который инициировали наложением на сосуд ватного тампона, смоченного 50% раствором хлорида железа (III).
Для определения времени кровотечения животному отсекали 5 мм с кончика хвоста, который затем помещали в колбу с физиологическим раствором (t=37°С) и регистрировали время до момента прекращения истечения крови [37, 39].
Дизайн исследования
Фармакологическое исследование соединений на моделях in vitro и in vivo были проведены согласно дизайну исследования (рис. 2).
Рисунок 2 – Дизайн исследования
Статистическая обработка результатов
Статистический анализ полученных данных проводили с использованием пакета статистических программ «Microsoft Excel» и программы «Prism 6.0» (Graph Pad Software Inc., США). Данные представляли в виде среднего арифметического значения и его средней ошибки. Сравнение средних данных независимых выборок при нормальном характере распределения вариант в совокупности данных (выборке) рассчитывали при помощи t-критерия Стьюдента. При распределении вариант в выборке, отличном от нормального, применяли U-критерий Манна-Уитни (при сравнении двух групп) и критерий Краскела-Уоллиса (при сравнении более двух групп). Достоверным уровнем отличий считали вероятность не менее 95% (р<0,05).
Соблюдение этических стандартов
Эксперименты выполнялись согласно методическим руководствам и нормативным документам ГОСТ ИСО/МЭК 17025-2009, ГОСТ Р ИСО 5725-2002 и правилами лабораторной практики при проведении доклинических исследований в РФ в соответствии с «Принципами надлежащей лабораторной практики» (ГОСТ Р 33044-2014, 2015) и «Об утверждении правил надлежащей лабораторной практики» (Минздрав РФ, приказ № 199н от 1 апреля 2016 г.), с соблюдением директивы 2010/63/EU Европейского парламента и совета Европейского Союза от 22 сентября 2010 года по охране животных, используемых в научных целях.
О соблюдение этических норм получено заключение эксперта из Локального этического комитета ФГБОУ ВО «Волгоградский государственный медицинский университет» Министерства здравоохранения РФ (регистрационный номер IRB 00005839 IORG 0004900(OHRP)).
Эвтаназию животных проводили с соблюдением требований, изложенных в «Международных рекомендациях по проведению медико-биологических исследований с использованием животных» (1997). В течение 24 часов до начала экспериментов все животные находились в условиях полной пищевой депривации со свободным доступом к воде.
РЕЗУЛЬТАТЫ И ОБСУЖДЕНИЕ
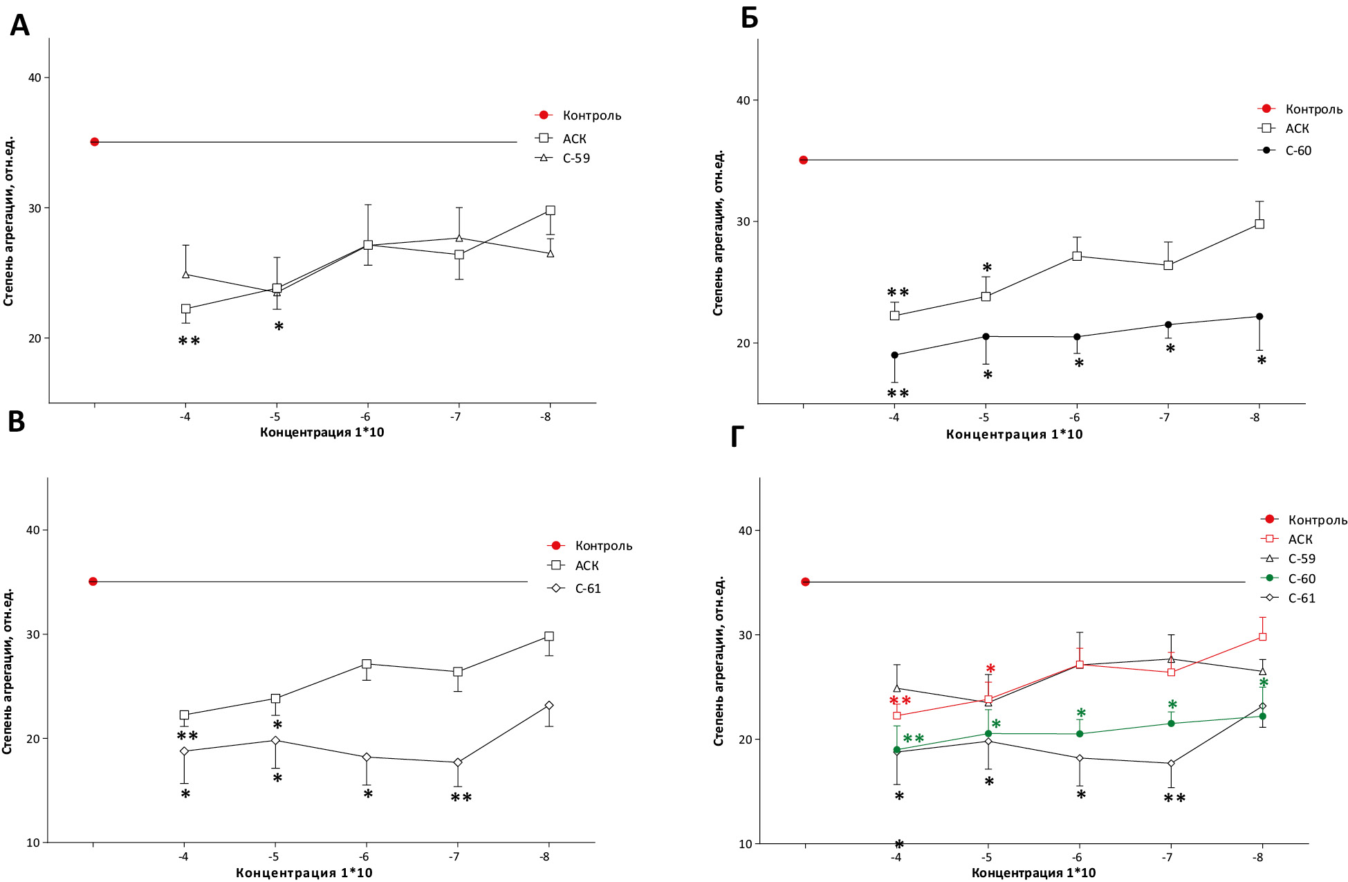
Добавление к плазме крови лабораторных животных соединения С-60 (дикалиевая соль N-(3-гидроксибензоил)таурина) в концентрациях 10-7 и 10-8 М достоверно уменьшает степень агрегации тромбоцитов на 38% и 37% в сравнение с контрольной группой животных и на 19% и 26% по сравнению с референтным препаратом. Внесение в богатую тромбоцитами плазму крови лабораторных животных соединения С-61 (дикалиевая соль N-(4-гидроксибензоил)таурина) во всех изученных концентрациях снижает степень агрегации тромбоцитов. В концентрациях 10-4 и 10-5 М степень агрегации снижалась на 46% и 44% в сравнение с контрольной группой. При добавлении к богатой тромбоцитами плазме исследуемого соединения в концентрациях 10-6 и 10-7 М степень агрегации снижалась примерно в10 раз. В концентрации 10-8М статистически достоверного снижение агрегации не наблюдалось.
Более выраженное антиагрегантное действие исследуемых соединений по сравнению с АСК может быть связано с образованием ковалентной связи таурина с тиольными и тиоэфирными группами атомов или дисульфидными мостиками в молекулярных мишенях, что было показано для хлораминовых и хлориминовых производных таурина [40]. Соединение под лабораторным шифром С-59 (дикалиевая соль N-(2-гидроксибензоил)таурина) проявило антиагрегантную активность на уровне референтного препарата.
Добавление соединений С-60 и С-61 в концентрациях 10-5–10-7 М к плазме крови здоровых лабораторных животных в максимальной степени и более выраженно чем референтный препарат АСК, ограничивало развитие агрегации тромбоцитов. Добавление АСК оказывало антиагрегантное действие только в концентрациях10-5 и 10-6 М, что подтверждают результаты многочисленных исследований данного препарата.
Соединения С-59, С-60 и С-61 являются, как и АСК производными гидроксибензойных кислот, поэтому есть основания предполагать, что основной механизм антиагрегантного действия реализуется за счет необратимой инактивации циклооксигеназы-1 после ацетилирования остатка серина в районе активного центра. В результате блокируется синтез тромбоксана A2, и тем самым предотвращается вторичная активация тромбоцитов [40].
Исследуемые соединения являются солевой формой производных гидроксибензойных кислот и содержат в своем составе калий, который не только улучшает их растворимость в воде, но и проявляет собственные антиагрегантные свойства, что согласуется с данными литературы [41].
При анализе полученных данных (рис. 3) из проведенных экспериментов, можно сделать вывод, что наиболее выраженное антиагрегантное действие в исследованиях in vitro проявляет соединение С-61, значительно превосходя аналогичное действие ацетилсалициловой кислоты.
Рисунок 3 – Антиагрегантная активность соединений на модели АДФ-индуцированной агрегации тромбоцитов in vitro
Примечание: А – антиагрегантная активность соединения С-59; Б – антиагрегантная активность соединения С-60; В – антиагрегантная активность соединения С-61; Г – объединенная схема исследуемых соединений, референтного препарата и контроля; * – р < 0,05; ** – р < 0,01 изменения статистически значимы по отношению к контролю критерий Стьюдента с поправкой Бонферрони
Одним из важных факторов, определяющих исход заболеваний сердечно-сосудистой системы, является проблема артериальных тромбозов [42], которая неразрывно связана с состоянием системы гемостаза. Тромбозы часто выступают причиной внезапной смерти, инфаркта миокарда, сосудистых осложнений сахарного диабета, ампутации конечностей. Поэтому поиск и исследования атромбогенного действия потенциальных антитромботических средств актуальны. Доклинические исследования антитромботического действия новых потенциальных молекул должно оцениваться не только на здоровых и молодых животных, но и на тех, которым моделировалось состояние максимально близкое к клиническим условиям назначения антиагрегантов. J.P. Garner в своей работе сделал вывод: о том, что, если мы хотим, чтобы животные модели, отвечали патофизиологии болезней человека и были бы одинаково с ними восприимчивы к действию тестируемых лекарств, тогда мы должны начать выполнять эксперименты на животных, как если бы они проводились на людях [43]. В нашей работе, исследования антитромботического действия новых производных гидроксибензойных кислот, проводились на молодых и здоровых животных, не молодых и здоровых, не молодых и с сахарным диабетом, что соответствует частой клинической ситуации в которой проводится терапия подобными препаратами.
Исследование антитромботической активности новых производных гидроксибензойных кислот производилось на модели артериального тромбоза, индуцированного аппликацией 50% раствором хлоридом железа (III) на сонную артерию здоровых животных, трехлетних (старых) крыс и животных с экспериментальной патологией (сахарный диабет, исследование времени кровотечения из хвостовой вены).
Исследование антитромботической активности новых производных гидроксибензойных кислот на модели артериального тромбоза, индуцированного аппликацией 50% раствора хлорида железа (III), здоровых животных.
В контрольной группе животных, которым вводился растворитель (физиологический раствор), среднее время полной окклюзии сонной артерии составило 14,8±0,77 минут.
Препарат сравнения ацетилсалициловая кислота в дозе 36 мг/кг увеличивал время окклюзии на 69% (р<0,05).
Исследуемые соединения с тауриновым остатком под лабораторным шифром С-59 в эквимолянрой концентрации с референтным препаратом пролонгировало время образования тромба на 61% в сравнение с контрольной группой. На данной экспериментальной модели тромбоза, соединение С-60 продемонстрировало антитромбогенную активность и по времени полной окклюзии превысило референтный препарат на 3%, а в соотношение с контрольной группой на 73% (р<0,05). Исследуемое соединения С-61 увеличивало время окклюзии сосуда в 2 раза по сравнению с контрольной группой (р<0,05), данные с препаратом сравнения АСК различий не наблюдалось. Результаты представлены (рис. 4).
Рисунок 4 – Время образования тромба, после аппликации 50% раствором хлоридом железа на сонную артерию здоровых животных
Примечание: А – объединенная схема динамики тромбообразования исследуемых соединений, референтного препарата и контроля; Б –время полной окклюзии сосудов исследуемых соединений, препарата сравнения и контроля; В – динамика тромбообразования соединения С-59; Г – динамика тромбообразования соединения С-60; Д – динамика тромбообразования соединения С-61; * – р<0,05 изменения статистически значимы по отношению к контролю критерий Стьюдента с поправкой Бонферрони
Исследование антитромботической активности новых производных гидроксибензойных кислот на модели артериального тромбоза, индуцированного аппликацией 50% раствором хлоридом железа, у 3-годовалых (старых) животных
У 3-годовалых (старых) животных проведена оценка антитромботического действия исследуемых соединений при однократном внутрижелудочном введении крысам веществ, представленных на рисунке 5.
Рисунок 5 – Время образования тромба, после аппликации 50% хлоридом железа на сонную артерию у 3 годовалых (старых) животных
Примечание: А – динамика тромбообразования соединения С-60; А1 – время полной окклюзии сосудов исследуемых соединений, препарата сравнения и контроля; Б – динамика тромбообразования соединения С-61; В – объединенная схема динамики тромбообразования исследуемых соединений, референтного препарата и контроля; * – р<0,05 изменения статистически значимы по отношению к контролю критерий Стьюдента с поправкой Бонферрони
Среднее время полной окклюзии сонной артерии у животных контрольной группы составило 16,50±0,89 минут. Препарат сравнения ацетилсалициловая кислота в эффективной терапевтической дозе увеличивало время окклюзии до 20,14±0,55 минут, что на 22%, данные статистически достоверны, больше контрольной группы животных.
Соединение С-60 в дозе 18 мг/кг пролонгировало время образования тромба до 20,67±1,20 минут (р<0,05), что на 25% медленнее по отношению к группе, получавшей физиологический раствор, и на 3% медленнее, чем у группы животных, которым вводили референтный препарат. При введении соединения С-61 в дозе 23 мг/кг, время полной окклюзии составило 18,17±1,56 минут, что было на 10% медленнее относительно группы контроля и на 10% меньше группы, получавшей препарат сравнения.
Таким образом, на модели артериального тромбоза сонной артерии 3-годовалых (старых) крыс, соединение С-60 продемонстрировало антитромбозную активность, полная окклюзия сонной артерии проходила медленнее чем под действием ацетилсалициловой кислоты.
Исследование атромбоцитарной активности соединений-лидеров на модели артериального тромбоза у животных с экспериментальным сахарным диабетом
Антитромбогенное действие наиболее активных соединений (С-60, С-61) было исследовано на животных со стрептозотоцин-никотинамид индуцированным сахарным диабетом.
В результате эксперимента было выявлено, что в контрольной группе животных образование тромба происходило на 10,3±0,78 минуте (рис. 6).
Рисунок 6 – Время образования тромба, после аппликации 50% хлоридом железа на сонную артерию животных с СД
Примечание: А – динамика тромбообразования соединения С-60; А1 – время полной окклюзии сосудов исследуемых соединений, препарата сравнения и контроля; Б – динамика тромбообразования соединения С-61; В – объединенная схема динамики тромбообразования исследуемых соединений, референтного препарата и контроля; * – р < 0,05, ** – р < 0,01 изменения статистически значимы по отношению к контролю критерий Стьюдента с поправкой Бонферрони, #– р < 0,05 изменения статистически значимы по отношению к эффекту референтного препарата критерий Стьюдента с поправкой Бонферрони
Ацетилсалициловая кислота в эффективной терапевтической дозе увеличивала время полной окклюзии до 17,0±1,36 минут, что превышало показатели группы контроля на 65%.
Соединение С-60 в дозе 18 мг/кг достоверно пролонгировало время образования тромба до 26,3±0,94 мин, что на 156% медленнее относительно значений контроля и на 55% медленнее относительно группы животных, получавших препарат сравнения (р<0,01).
В группе крыс, которым предварительно перорально вводили соединение С-61 в дозе 23 мг/кг, время полной окклюзии сонной артерии составило 19,9±1,18 минут, что на 93% медленнее по отношению к контрольной группе (р<0,01) и на 17% медленнее, чем у группы животных, получавших референтный препарат.
Таким образом, исследуемые соединения при однократном пероральном введении животным с экспериментальным сахарным диабетом в дозах, взятых в эквимолярных концентрациях, обладают выраженной антитромбозной активностью и превосходят препарат сравнения – ацетилсалициловую кислоту.
Исследования влияния соединений-лидеров и ацетилсалициловой кислоты на время кровотечения из хвостовой вены животного с сахарным диабетом.
В контрольной группе животных время кровотечения составило 177,1±17,45 секунд. Исследуемые производные в дозах, взятых в эквимолярных концентрациях, пролонгировали время кровотечения. Референтный препарат увеличивал время кровотечения на 81%, что составило 320,0±18,29 секунд.
В группе животных, получавших соединение под лабораторным шифром С-60, время кровотечения пролонгировалось до 237,9±11,54 секунд, что на 34% медленнее относительно показателей группы контроля и на 26% быстрее, чем у группы животных, получавших препарат сравнения.
Соединение С-61 увеличивало время кровотечения до 285,7±19,29 секунд; что было на 61% медленнее, чем у животных, получавших физиологический раствор и на 11% быстрее относительно группы животных, которым вводили ацетилсалициловую кислоту. Результаты представлены на рисунке7.
Рисунок 7 – Исследование времени кровотечения у животных с СД
Примечание: * – р < 0,05, ** – р < 0,01 изменения статистически значимы по отношению к контролю критерий Стьюдента с поправкой Бонферрони, #– р < 0,05 изменения статистически значимы по отношению к эффекту референтного препарата критерий Стьюдента с поправкой Бонферрони
ЗАКЛЮЧЕНИЕ
По результатам проведённого исследования (in vitro) было установлено, что соединение под лабораторным шифром С-60 проявляет выраженную антиагрегантную активность, в исследованиях in vivo пролонгирует образование тромба. Соединение С-60 оказывает более выраженное чем референтный препарат антиагрегантное и антитромботическое действие. Безопасность новых производных гидроксибензойных аминокислот, по влиянию на скорость кровотечения, сопоставима с показателем АСК.
ФИНАНСОВАЯ ПОДДЕРЖКА
Данное исследование не имело финансовой поддержки от сторонних организаций.
КОНФЛИКТ ИНТЕРЕСОВ
Авторы заявляют об отсутствии конфликта интересов.
ВКЛАД АВТОРОВ
А.К. Брель, Ю.Н. Будаева, С.В. Лисина – методология синтеза соединений, интерпретация результатов, написание текста; Н.В. Атапина, С.С. Царук – методология исследований, статистическая обработка результатов интерпретация результатов, написание текста; Д.В. Куркин – работа над концепцией и дизайном исследований, методология исследований, интерпретация и визуализация результатов, написание текста; И.Н. Тюренков – работа над концепцией и дизайном исследований, интерпретация и визуализация результатов.
Об авторах
Анатолий Кузьмич Брель
ФГБОУ ВО «Волгоградский государственный медицинский университет»
Email: brelak@yandex.ru
ORCID iD: 0000-0003-3980-2847
доктор химических наук, профессор, заведующий кафедрой химии
Россия, 400131, Россия, г. Волгоград, пл. Павших борцов 1Наталья Валентиновна Атапина
ФГБОУ ВО «Волгоградский государственный медицинский университет»
Автор, ответственный за переписку.
Email: rodina.natasha@inbox.ru
ORCID iD: 0000-0001-8272-5950
старший преподаватель кафедры химии
Россия, 400131, Россия, г. Волгоград, пл. Павших борцов 1Юлия Николаевна Будаева
ФГБОУ ВО «Волгоградский государственный медицинский университет»
Email: julya82@list.ru
ORCID iD: 0000-0003-2034-8285
кандидат химических наук, доцент кафедры химии
Россия, 400131, Россия, г. Волгоград, пл. Павших борцов 1Светлана Викторовна Лисина
ФГБОУ ВО «Волгоградский государственный медицинский университет»
Email: svlisina@gmail.com
ORCID iD: 0000-0002-5080-4854
кандидат химических наук, доцент, доцент кафедры химии
Россия, 400131, Россия, г. Волгоград, пл. Павших борцов 1Светлана Сергеевна Царук
ФГБОУ ВО «Волгоградский государственный медицинский университет»
Email: svitlana.tsaruk@yandex.ru
ORCID iD: 0000-0002-7726-3787
студент
Россия, 400131, Россия, г. Волгоград, пл. Павших борцов 1Денис Владимирович Куркин
ФГБОУ ВО «Волгоградский государственный медицинский университет»
Email: strannik986@mail.ru
ORCID iD: 0000-0002-1116-3425
доктор фармацевтических наук, доцент, заместитель директора по науке НЦИЛС
Россия, 400131, Россия, г. Волгоград, пл. Павших борцов 1Иван Николаевич Тюренков
ФГБОУ ВО «Волгоградский государственный медицинский университет»
Email: fibfuv@mail.ru
ORCID iD: 0000-0001-7574-3923
доктор медицинских наук, заслуженный деятель науки РФ, заслуженный работник высшей школы РФ, член-корреспондент РАН, профессор, заведующий кафедрой фармакологии и фармации Института непрерывного медицинского и фармацевтического образования
Россия, 400131, Россия, г. Волгоград, пл. Павших борцов 1Список литературы
- Петров В.И., Шаталова О.В., Маслаков А.С., Горбатенко В.С. Анализ фармакотерапии тромбоза глубоких вен нижних конечностей (фармакоэпидемиологическое исследование) // Флебология. – 2014. – Т. 8, №3 – С. 32–37.
- Шляхто Е.В., Конради А.О. Основные направления и перспективы трансляционных исследований в кардиологии // Вестник Росздравнадзора. – 2015. – №5 – С. 33–37.
- Чазов Е.И. К вопросу об атеротромботической болезни // Кардиология. – 2001. – Т. 41, №4 – С. 4–7.
- Брель А.К., Тюренков И.Н., Лисина С.В., Попов С.С., Верхоляк Д.В., Будаева Ю.Н., Волотова Е.В., Атапина Н.В., Куркин Д.В. Ацетоксибензоилглицилглицины как потенциальные церебропротекторные препараты // Химико-фармацевтический журнал. – 2018. – Т. 52, №1 – С. 15–18.
- Townsend N., Wilson L., Bhatnagar P., Wickramasinghe K., Rayner M., Nichols M. Cardiovascular disease in Europe: epidemiological update 2016 // European Heart Journal. – 2016. – Vol. 37, No.42 – Р. 3232–3245.
- European Society of Cardiology [Электронный доступ] // European Society of Cardiology (ESC) CVD Prevention in Clinical Practice (European Guidelines on) Guidelines [published in 2016] Available from: https://www.escardio.org/Guidelines/Clinical-Practice-Guidelines/CVD-Prevention-in-clinical-practice-European-Guidelines-on
- Чарная М.А., Морозов Ю.А. Тромбозы в клинической практике. М.: ГЭОТАР-Медиа. – 2009. – С. 224.
- Aaron M.W., Gary E.R. Global Burden of Thrombosis: Epidemiologic Aspects // Circulation Research. – 2016. – Vol. 118, No.9 – Р.1340–1347. doi: 10.1161/CIRCRESAHA.115.306841.
- Timmis A., Gale C.P, Flather M., Maniadakis N., Notes P.V.A. Cardiovascular disease statistics from the European atlas: inequalities between high– and middle–income member countries of the ESC // European Heart Journal – Quality of Care and Clinical Outcomes. – 2018. – Vol. 4, No. 1 – Р. 1–3. doi: 10.1093/ehjqcco/qcx045.
- Timmis A., Townsend N., Gale C., Grobbee R., Maniadakis N., Flather M., Wilkins E., Wright L., Vos R., Bax J., Blum M., Pinto F., Vardas P., ESC Scientific Document Group. European Society of Cardiology: Cardiovascular Disease Statistics 2017 // European Heart Journal. – 2018. – Vol. 39, No.7 – Р. 508–579. doi: 10.1093/eurheartj/ehx628.
- Hussain M.A., Al–Omran M., Creager M.A., Anand S.S., Verma S., Bhatt D.L. Antithrombotic Therapy for Peripheral Artery Disease: Recent Advances // Journal of the American College of Cardiology. – 2018. – Vol.71, No.21 – Р.2450–2467. doi: 10.1016/j.jacc.2018.03.483.
- Kong D., Xue T., Guo B., Cheng J., Liu S., Wei J., Lu Z., Liu H., Gong G., Lan T., Hu W., Yang Y. Optimization of P2Y12 Antagonist Ethyl 6–(4–((Benzylsulfonyl)carbamoyl)piperidin-1-yl)-5-cyano-2-methylnicotinate (AZD1283) Led to the Discovery of an Oral Antiplatelet Agent with Improved Druglike Properties // Journal of Medicinal Chemistry. – 2019. – Vol. 62, No.6 – Р. 3088–3106. doi: 10.1021/acs.jmedchem.8b01971.
- Introduction: Standards of Medical Care in Diabetes-2020 // Diabetes Care. – 2020. – Vol.43, No.1 – Р.1–2. doi: 10.2337/dc20–Sint
- Арсланбекова В.А., Верхоляк Д.В., Куркин Д.В., Бакулин Д.А., Атапина Н.В., Брель А.К., Лисина С.В. Церебропротекторная активность производного гидроксибензойной кислоты – соединения С–38 на модели окклюзии общих сонных артерий у крыс // Вестник ВолгГМУ. – 2017. – Т. 4, №64 – С. 54–57.
- Brel A.K., Zhoglo E.N. Synthesis of hydroxybenzoic acids derivatives cointaining a fragment of p-aminobenzoic acid // Internetional journal of applied and fundamental research. – 2016. – 8 – Р. 370–373.
- Брель А.К., Лисина С.В., Будаева Ю.Н., Попов С.С. Поиск новых биологически активных производных гидроксибензойных кислот и перспективы их применения // Сборник материалов IV всероссийской научно-практической конференции с международным участием «Инновации в здоровье нации» 09–10 ноября 2016 г. Санкт-Петербург: ФГБОУ ВО СПХФУ Минздрава России. – 2016. – С. 263–266.
- Roy J., Adili R., Kulmacz R., Holinstat M., Das A. Development of Poly Unsaturated Fatty Acid Derivatives of Aspirin for Inhibition of Platelet Function // The Journal of Pharmacology and Experimental Therapeutic. – 2016. – Vol. 359, No.1 – Р. 134–141. doi: 10.1124/jpet.116.234781.
- Yang X., Forster E.R., Darabedian N., Kim A.T., Pratt M.R., Shen A., Hang H. C. Translation of microbiota short–chain fatty acid mechanisms affords anti–infective acyl–salicylic acid derivatives. // ACS Chemical Biology. – 2020. – Vol. 15, No.5 – Р. 1141–1147. doi: 10.1021/acschembio.9b01009.
- Christina N.B., Sotiris K.H. Non-Steroidal Anti Inflammatory Drugs (NSAIDs) in Metal Complexes and Their Effect at the Cellular Level // European Journal of Inorganic Chemistry. – 2016. Vol. 2016, No.19 – Р. 3048–3071. doi: 10.1002/ejic.201501480.
- Rohwer N., Kühl A.A., Ostermann A.I, Hartung N. M., Schebb N. H., Dieter Z., McDonald F.M., Weylandt K.-H. Effects of chronic low-dose aspirin treatment on tumor prevention in three mouse models of intestinal tumorigenesis // Cancer Medicine. – 2020. – Vol. 9, No.7 –Р. 2535–2550. doi: 10.1002/cam4.2881.
- Lu S., Obianom O.N., Ai Y. Novel cinnamaldehyde-based aspirin derivatives for the treatment of colorectal cancer // Bioorganic & Medicinal Chemistry Letters. – 2018. – Vol. 28, No. 17 – Р. 2869–2874. doi: 10.1016/j.bmcl.2018.07.032.
- Debashree B., Robert C.C., Gaurav B., Ridnour L. A., Wink D. A., Miranda K. M. Chemotherapeutic Potential of Diazeniumdiolate-based Aspirin Prodrugs in Breast Cancer // Free Radical Biology and Medicine. – 2015. – Vol. 83 – Р. 101–114. doi: 10.1016/j.freeradbiomed.2015.01.029.
- Wu X.W., Zheng Y., Wang F.X., Cao J.-J., Zhang H., Zhang D.-Y., Tan C.-P., Ji L.-N., Mao Z.-W. Aspirin Conjugates for Enhanced Metabolic Immuno–Modulation and Mitochondrial Lifetime Imaging // Chemistry A European Journal. – 2019. – Vol. 25, No.28 – P. 7012–7022. doi: 10.1002/chem.201900851.
- Kowalski K., Corrigendum: Insight into the Biological Activity of Organometallic Acetylsalicylic Acid (Aspirin) Derivatives // ChemPlusChem A Multidisciplinary Journal Centering on Chemistry. – 2019. – Vol. 84, No.7 – Р. 821. doi: 10.1002/cplu.201900331.
- Martin-Martin A., Rivera-Dictter A., Muñoz-Uribe M., López-Contreras F., Pérez-Laines J., Molina-Berríos A., López-Muñoz R. Reconsidering the Role of Cyclooxygenase Inhibition in the Chemotherapeutic Value of NO-Releasing Aspirins for Lung Cancer // Molecules. – 2019. – Vol. 24, No.10 – Р. 1924. doi: 10.3390/molecules24101924.
- Basudhar D., Bharadwaj G., Cheng R.Y., Jain S., Shi S., Heinecke J. L., Holland R. J., Ridnour L. A., Caceres V. M., Spadari-Bratfisch R.C., Paolocci N., Velázquez-Martínez C. A., Wink D. A., Miranda K M. Synthesis and chemical and biological comparison of nitroxyl- and nitric oxide-releasing diazeniumdiolate-based aspirin derivatives // Journal of Medicinal Chemistry. – 2013. – Vol. 56, No. 20 – Р. 7804–7820. doi: 10.1021/jm400196q
- Bkaily G., Jazzar A., Normand A., Simon Y., Al-Khoury J., Jacques D. Taurine and cardiac disease: state of the art and perspectives // Canadian Journal of Physiology and Pharmacology. – 2020. – Vol. 98, No.2 – Р. 67–73. doi: 10.1139/cjpp-2019-0313.
- Kim H.Y., Yang S.H., Yoon J., Jang H., Baek S., Shin J., Kim S. H. Taurine-Carbohydrate Derivative Stimulates Fibrillogenesis of Amyloid-β and Reduce Alzheimer–Like Behaviors // Advances in Experimental Medicine and Biology. – 2017. – Vol. 975, No.1 – Р. 225–232. doi: 10.1007/978-94-024-1079-2_20.
- Inam-U-L., Piao F., Aadil R.M., Suleman R., Li K., Zhang M., Wu P., Shahbaz M., Ahmed Z. Ameliorative effects of taurine against diabetes: a review // Amino Acids. – 2018. – Vol. 50, No.5 – Р. 487–502. doi: 10.1007/s00726-018-2544-4.
- Sarkar P., Basak P., Ghosh S., Kundu M., Sil P.C. Prophylactic role of taurine and its derivatives against diabetes mellitus and its related complications // Food and Chemical Toxicology. – 2017. – Vol. 110 – Р. 109–121. doi: 10.1016/j.fct.2017.10.022.
- Król E., Okulicz M., Kupsz J. The Influence of Taurine Supplementation on Serum and Tissular Fe, Zn and Cu Levels in Normal and Diet-Induced Insulin-Resistant Rats // Biological Trace Element Research. – 2020. – Vol. 198, No.2 – Р. 592–601. doi: 10.1007/s12011-020-02100-3.
- Брель А.К., Тюренков И.Н., Лисина С.В., Куркин Д.В., Атапина Н.В., Будаева Ю.Н., Волотова Е.В. дикалиевая соль N-(3-гидроксибензоил)таурина, обладающая антиагрегантной и антитромботической активностью в сочетании с церебропротективным действием // Патент на изобретение RU 2 730 835 C1 Заявка № 2019134137, от 23.10.2019.
- Лисина С.В., Брель А.К., Волотова Е.В., Атапина Н.В., Тюренков И.Н., Будаева Ю.Н., Куркин Д.В. Дикалиевая соль N-(4-гидроксибензоил)таурина, обладающая антиагрегантной и антитромботической активностью // Патент на изобретение RU 2731106 C1, 28.08.2020. Заявка № 2019134135 от 23.10.2019
- Габбасов З.А., Попов Е.Г., Гаврилова И.Ю., Позин Е.Я., Маркосян Р.А Новый высокочувствительный метод анализа агрегации тромбоцитов // Лабораторное дело. – 1989. – Т. 10 – С.15–18.
- Люсов В.А, Белоусов Ю.Б. Метод графической регистрации агрегации тромбоцитов и изменения ее при ишемической болезни сердца // Кардиология. – 1971. – №8 – С. 459–461.
- Hyuk W.K., Jung H.S., Deok H.L., Ok W. J., Nam G. S., Kim M.J., Kwon H., Noh J., Lee J., Kim H., Kim J., Park H. Antiplatelet and antithrombotic effects of cordycepin-enriched WIB-801CE from Cordyceps militaris ex vivo, in vivo, and in vitro. // BMC Complementary Medicine and Therapies. – 2016. – Vol. 16, No.1 – Р. 508. doi: 10.1186/s12906-016-1463-8
- Özgün M.G.T., Şevket E.G., Hüsamettin E., Kumandaş A., Aydıngöz S. E., Yılmaz E. Ç., Kırdan T., Midi A. Effects of Algan Hemostatic Agent on bleeding time in a rat tail hemorrhage model // Turkish Journal Of Trauma And Emergency Surgery. – 2020. – Vol. 26, No.6 – Р. 853–858. doi: 10.14744/tjtes.2020.50384.
- Kurz K.D., Main B.W., Sandusky G.E. Rat model of arterial thrombosis induced by ferric chloride // Thrombosis Research. – 1990. – Vol.60, No.4 – Р. 269–280. doi: 10.1016/0049–3848(90)90106–m
- Girish S., Komal H., Ghanshyam P., Maheshwari R., Singh R., Seth A. K. Platelet Augmentation Potential of Polyherbal Formulation in Cyclophosphamide–Induced Thrombocytopenia in Wistar Rats // Folia Medica. – 2021. – Vol. 63, No.1 – Р. 67–73. doi: 10.3897/folmed.63.e49167.
- Мурина М.А., Рощупкин Д.И., Сергиенко В.И. Антиагрегантное действие хлораминовых производных структурных аналогов таурина. Рецепторы и внутриклеточная сигнализация // Сборник статей. Институт биофизики клетки Российской академии наук – обособленное подразделение Федерального государственного бюджетного учреждения науки «Федеральный исследовательский центр «Пущинский научный центр биологических исследований Российской академии наук». – 2019. – С. 838–841.
- Самородов А.В., Камилов Ф.Х., Халимов А.Р., Клен Е.Э., Халиуллин Ф.А. Влияние новой калиевой соли на основе 3-тиетанилзамещенного триазола на систему гемостаза // Биомедицина. – 2016. – №3 – С. 59–67.
- Haybar H., Khodadi E., Zibara K., Saki N. Platelet Activation Polymorphisms in Ischemia // Cardiovascular & Hematological Disorders-Drug Targets. – 2018. – Vol. 18, No.2 – Р. 153–161. doi: 10.2174/1871529X18666180326121239.
- Carson D.S., Garner J.P., Hyde S.A., Libove R. A., Berquist S.W., Hornbeak K.B., Jackson L.P., Sumiyoshi R.D., Howerton C L., Hannah S.L., Partap S., Phillips J.M., Hardan A.Y., Parker K.J. Arginine Vasopressin Is a Blood-Based Biomarker of Social Functioning in Children with Autism // PLoS One. – 2015. – Vol. 10, No.7 – e0132224. doi: 10.1371/journal.pone.0132224.
Дополнительные файлы










