PLGA – the smart polymer for drug delivery
- Authors: Surya N.1, Bhattacharyya S.1
- 
							Affiliations: 
							- Krupanidhi College of Pharmacy
 
- Issue: Vol 9, No 5 (2021)
- Pages: 334-345
- Section: Articles
- URL: https://journals.eco-vector.com/2307-9266/article/view/111699
- DOI: https://doi.org/10.19163/2307-9266-2021-9-5-334-345
- ID: 111699
Cite item
Abstract
Polymers have become an integral part of novel drug delivery system. One such successful biodegradable polymer is poly lactic-co-glycolic acid (PLGA) which consists of polyesters of lactic acid and glycolic acid. It is one of the FDA-approved biodegradable polymers which is extensively used for therapeutic purposes in recent times.
The aim. To illuminate researchers on the chemistry, novel properties and applications of PLGA in pharmaceutical fields.
Materials and methods. Various internet sources like Science Direct, Scopus, Web of Science, PubMed and google scholar were used as the data source. The key words search was carried out for the following words and combinations: PLGA, Novel drug delivery, PLGA Nano particles, biomedical applications of PLGA.
Results. Pharmaceutical and biomedical industries are flooded with the use of synthetic and natural polymers. The mechanical and viscoelastic properties of the polymers make them suitable for the temporal and spatial delivery of therapeutic agents for an extended period. Employment of copolymerization techniques lead to the modification of water solubility of the polymers and make them suitable for various applications of drug delivery systems. Biodegradable polymers due to their biocompatibility and biodegradable property have attracted their use in novel drug delivery systems. PLGA is one of them. PLGA is versatile as it can be fabricated into any size, shape, and can be used to encapsulate small molecules, tissue engineering, and bone repair, etc.
Conclusion. The sensitivity and biodegradability of PLGA makes it a smart polymer for targeted and sustained delivery of drugs and in various biomedical applications.
Keywords
Full Text
Abbreviation: PLGA – poly lactic-co-glycolic acid; PLA – Polylactic acid; PGA – Poly glycolic acid, PEG – Poly ethylene glycol; SNA – spherical nucleic acid; NP – Nano particles; FDA – U. S. Food and Drugs Administration; EMA – European Medicines Agency; CFTR – Cystic Fibrosis Transmembrane Conductance Regulator gene.
INTRODUCTION
Poly lactic-co-glycolic acid or PLGA or PLG, is a copolymer of polylactic acid (PLA) and polyglycolic acid (PGA) approved by FDA and EMA [1–3]. PLGA is a linear copolymer that has immense potential as a carrier for drug, protein, nucleic acid, and peptide delivery and provides a framework for tissue engineering [4]. Biocompatibility, favourable degradation, and sustained release property render it’s a popular polymer for drug delivery. The release of embedded drugs from PLGA through stimulation makes it a smart polymer for drug delivery [5]. In recent years it has shown its potential as monolithic injectable implants for sustained delivery of drugs at desirable doses without surgery[6]. The advantages of PLGA are its tuneable physical properties i.e., molecular weight, and the ratio of lactide to glycolide. The hydrolytic biodegradation of PLGA also affects the drug release mechanism based on drug delivery systems either by diffusion or erosion [7].
Literature survey reports various micro and nanoparticulate systems of PLGA showed excellent biocompatibility, sustained and targeted release with high safety profiles, thereby improving the bioavailability and stability of the encapsulated biopharmaceuticals against enzymatic degradation [8]. They are capable to produce local and systemic effects of therapeutic agents and biologics.
The polymer is successfully used to target anti-cancer drugs, helps in organ-specific targeting of drugs especially to the liver, lungs, or brains, and is found to be very effective in delivering therapeutic gene delivery [9, 10].
THE AIM to get a detailed review of the smart and wonder polymer PLGA based on its chemistry, synthesis, properties, and applications in various novel delivery of drugs, vaccine, genes with optimal efficacy.
MATERIALS AND METHODS
Various internet sources like Science Direct, Scopus, Web of Science, Pub Med and Google Scholar were used as the data source within the period of 2018-April 2021. The key words search was carried out for the following words and combinations: PLGA; Novel drug delivery; PLGA Nano particles; Use of PLGA in peptides delivery; biomedical applications of PLGA polymer etc.
RESULTS AND DISCUSSIONS
Chemistry and Synthesis of PLGA
Polylactic acid was first recognized as biodegradable and biocompatible in the year 1966. The same was proved for PGA in 1967 and got introduced in the medical field in the form of surgical sutures. Novel and systematic investigations in the research field merged the components PLA and PGA to evolve a novel copolymer PLGA for delivering the drug in a biocompatible and biodegradable matrix with stimuli sensitive release and controlled properties. Thus it was evolved and recognized as a smart polymer for drug delivery and drug targeting [11–14].
PLGA is an aliphatic polymer[13], contains polylactic acid that has asymmetric α-carbon usually described as the D or L form and sometimes as R and S form [15]. PLGA generally contains D- and L- lactic acid forms in equal ratio [16, 17]
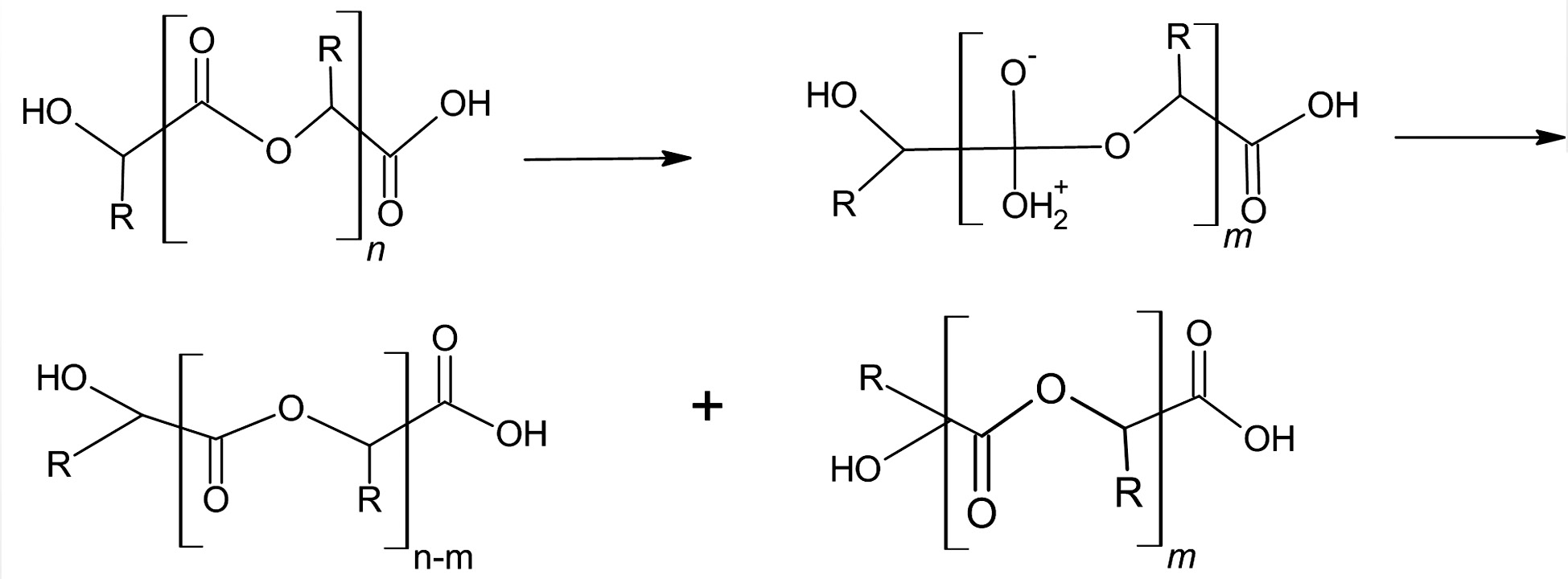
PLGA is chemically synthesized by the following steps (17) as shown in figure 1.
Figure 1 – Synthesis of PLGA
If glycolic acid is used in a higher ratio than lactic acid the copolymer formed is more hydrophobic due to the increased hydrophobicity of lactic acid[18]. PLGA can be prepared into various shapes and sizes and can sheathe molecules of any size [17–19].
After polymerization, the purification of the polymer is done by dissolution in chloroform followed by precipitation in ethanol. The precipitated crystals are dried under vacuum for 48 h at room temperature. Commercially it is available in either acid or ester form. Depending on the molecular weight different forms of PLGA are available in different viscosity grades. Different grades of PLGA in the commercial name of RESOMER®RG are marketed by Boehringer Ingelheim GmbH Lactel, different ester forms of PLGA are marketed in the brand of DL-PLG by Lactel Absorbable polymers, and another grade of esterified or acidified form is available in the name of Purasorb PDLG by Purac Biomaterials [17].
Properties of PLGA
The physicochemical properties of PLGA mostly depend on the monomer ratio of lactic acid and glycolic acid. Lactic acid has less hydrophilicity compared to glycolic acid. Hence if the proportion of lactic acid increases the degradation rate of PLGA reduces and the reverse is the case, when the monomer units of glycolic acid increases the degradation of PLGA hastens [20, 21]. But the increase in glycolide content leads to the reduction of the tensile strength of the polymer [22]. Hence a 50:50 ratio of PLA and PGA can yield a polymer having good biodegradability and the property of sustaining the drug release with good tensile strength, whereas high lactide content helps to sustain the release of drug with bio erosion. Depending on the proportions of PLA and PGA the properties of the polymer can be customized.
Polymers are always characterized by their crystallinity, molecular weight, and inherent viscosity.
The degree of crystallinity depends on the number of monomeric units of PLA and PGA used in copolymerization and influences the mechanical properties, swelling abilities, and biodegradation of PLGA. They are generally amorphous and show a glass transition temperature between 45–55°C and that confirms the rigidity of the polymer. PLGA gets softened in a wet environment and results in the reduction of glass transition temperature and mechanical properties like tensile strength, young’s modulus and % elongation to break etc., of the polymer [23]. The inherent viscosity of the polymer depends on the molecular weight of the polymer. With the increase in molecular weight, viscosity of the polymer increases. PLGA is soluble in a wide range of organic solvents like acetone, benzyl alcohol, chloroform, dichloromethane, ethyl acetate, hexafluoro isopropanol, and tetrahydrofuran. The physico-chemical properties of different grades of polymer with its application is illustrated in table 1.
Table 1 – Physicochemical properties and application of different grades of PLGA1
| Polymer | Type | Viscosity (dl/g) | Glass transition temperature (°C) | Crystalline Melt Transition (°C) | Solubility | Application | 
| RESOMER® RG 502 | Poly(D,L-lactide- co-glycolide) 50:50 | 0.16–0.24 | 42–46 | Amorphous | A, B, C, D, E, F | Controlled release | 
| RESOMER® RG 653 H | Poly(D,L-lactide- co-glycolide) 65:35 | 0.32–0.44 | 46–50 | Amorphous | A, B, C, D, E, F | Controlled release | 
| RESOMER® RG 752 H | Poly(D,L-lactide- co-glycolide) 75:25 | 0.14–0.22 | 42–46 | Amorphous | A, B, C, D, E, F | Controlled release | 
| RESOMER® RG 858 S | Poly(D,L-lactide- co-glycolide) 85:15 | 1.3–1.7 | 50–55 | Amorphous | A, B, C, D, E, F | Controlled release | 
| RESOMER® L 206 S | Poly(L-lactide) | 0.8–1.2 | 60–65 | 180–185 | A, D, E | Medical device | 
Note: A – Dichloromethane, B – Tetrahydrofuran, C – Ethyl acetate, D – Chloroform, E – Hexachloroisopropanol, F – Acetone
Biodegradation of PLGA
PLGA undergoes two types of degradation – hydrolytic and autocatalytic, in the biological system. A random hydrolyzation occurs in the polymer backbone within the ester linkages in presence of water, water-soluble fragments of lactic acid and glycolic acid are formed as shown in figure 2. These water-soluble fragments enter the metabolic pathway of the body to yield energy, carbon dioxide, and water.
Figure 2 – Hydrolytic degradation of PLGA
The monomer ratio of lactic and glycolic acid plays an important role in hydrolytic degradation. PLGA 50:50 thus undergoes degradation at a faster rate than PLGA 85:15 [24].
The autocatalytic degradation of PLGA happens in an acidic environment as shown in figure 3.
Figure 3 – Autocatalytic degradation of PLGA
Hence the mechanism of release of drug from the matrix of PLGA follows different mechanism as described in table 2.
Table 2 – Mechanisms of biodegradation of PLGA
| Mechanisms of biodegradation | Consequences | 
| Polymer surface erosion due to the uptake of water | Slow degradation of Crystalline drug and fast degradation of the amorphous drug on release | 
| Breakage of drug-polymer bonding | Release of the drug by the diffusion process | 
| Combination of diffusion and erosion process | Release of the drug in a sustained manner | 
The assessment of the various factors that are responsible for the degradation of PLGA can help in the synthesis of customized novel copolymers best suited for the effective delivery of the drug. The factors that influence the breakdown of PLGA are listed in table 3.
Table 3 – Factors affecting degradation of PLGA
| Factors | Properties for consideration | Effect on degradation rate | References | 
| Composition | Increase in the amount of Glycolic acid, the critical parameter | Increases | [22] | 
| Crystallinity | The crystallinity of Lactic acid | Increases | [25] | 
| Molecular weight | Long polymeric chains | Retards | [26] | 
| pH | Strong acidic and basic media | Increases | [27] | 
| Chemical properties of the drug | The hydrophilicity of the drug | Increases | [28] | 
| Shape and size of the matrix | The ratio of surface area to volume of the device | Increases | [29] | 
Current research on PLGA micro and nano particles for drug delivery
Recently PLGA has gained extensive attention as versatile carrier for hydrophilic or hydrophobic drugs, and micro or macro molecules. The polymer is used in several studies for protection of drug from degradation or to control the release of the drug for the improvement of therapy.
Zhang Z. et al., reported the efficacy of paclitaxel loaded PLGA microsphere in the treatment of solid tumours. Solvent evaporation technique was used to prepare these microspheres. A sustained release of drug was achieved and the in vivo study reported that the sustained release of drug could cause apoptosis of tumour cell, and reduction in the toxicity of the normal cell [30].
Micronized triamcinolone was encapsulated in PLGA/PLA carriers with an aim to increase the retention time in the joints following intra-articular administration. These microspores were prepared by ultrasonication and spray drying technique. In vivo rat models revealed the retention of the drug was for 28 days [31].
Abuzar S.M. et al., fabricated oxaliplatin-loaded PLGA microparticles loaded hydrogel in the treatment of colorectal cancer in rats. Double emulsion method was used to prepare the microparticles. The in vivo study revealed the prolongation of drug action and hence the bioavailability [32].
Jusu S.M. et al., studied on formulation and evaluation of blend of prodigiosin and paclitaxel loaded PLGA microsphere for the treatment on breast cancer. The microsphere blend was conjugated with Luteinizing hormone releasing hormone. The microspheres were prepared by solvent evaporation technique using PLGA and PEG in 1:1 ratio. The study revealed the in mice the blend was able to sustain the release of the drug for 62 days and they concluded that PLGA -PEG microsphere had the potential for the treatment of triple negative breast cancer [33].
Ryu W.M. and colleagues developed a rapidly dissolving ocular tablet consisting of nano particles of dexamethasone in PLGA in alginate matrix. The retention of the nanoparticles on the preocular surface could increase the ocular bioavailability of the drug [34].
Varga N. et al., developed a nanoparticles of α-tocopherol in PLGA-PLA carriers. The nanoparticles were stabilized using Pluronic F127. And could sustain the release of the drug [35].
Jo A. et al., fabricated and evaluated the PLGA encapsulated large CRISPR–Cas9 plasmid nanoparticles as a revolutionary tool for gene delivery. The delivery of plasmid was aimed to the bone marrow derived macrophages in vitro. The particle size was engineered to 160nm. The experimentation showed positive results to induce expression of bacterial Cas9 in murine bone marrow [36].
ROLE OF PLGA IN NOVEL DRUG DELIVERY
Clinical Application of PLGA
Nano drug targeting
To achieve a successful drug delivery through polymeric nanoparticles, the physicochemical characteristics of the polymer play an important role. The polymer should have the following properties so that it can bypass rapid body clearance, and should have an affinity for the target cells. The ideal properties of polymer for a nano targeted delivery are:
- compatibility with the drug;
- high drug loading;
- suitable molecular weight for diffusion or to be absorbed by endocytosis;
- nonimmunogenic, biocompatible and biodegradable.
To achieve these characteristics the polymer should have the ability to allow physical modifications in its structure during the polymerization process, it should allow the formation of copolymers or block polymers to make it suitable for the need of delivery of a particular drug for targeting.
PLGA shows the versatility of modification by changing the lactide to glycolide ratio and can undergo copolymerization with PEG to tailor for specific performance. A block polymer of PLGA with PEG (PLGA-PEG-PLGA) was also studied to modify the release of Docetaxel for targeting bone metastasis [37].
A copolymer of PLGA–Chitosan–PEG nanoparticles were studied for delivery of paclitaxel in human retinoblastoma, breast cancer and pancreatic cell line for effectively targeted delivery to the tumour [38].
Due to its versatility in modifications in polymeric chain, PLGA is being widely studied in various fields of nano-research like delivery of gene, peptides, proteins, and nucleic acids [39, 40]
In gene-drug delivery systems biodegradable PLGA nanospheres have been investigated as nonviral vectors that improve the quality transfection effectiveness [41, 42].
In recent times polymeric spherical nucleic acid (SNA) being a new class of polymeric conjugates has gained its attention. It consists of PLGA nanoparticle (NP) cores. The PLGA-SNA nucleic acid shell showed an increased half-life (>2 h) in foetal bovine serum that could release the nucleic acid in a tuneable manner from the polymer conjugates [43, 44].
Vijet et al reviewed the condition of cystic fibrosis which was due to mutation in the cystic fibrosis transmembrane conductance regulator (CFTR) gene. They reported that ΔF508-CFTR, is a temperature-sensitive common mutation that occurs by trafficking mutant which in turn reduces the chloride transport and exaggerates immune response. For this condition, FDA has approved PS-341 (bortezomib) drug that causes selective inhibition of chymotryptic threonine protease-activity. They have also reported that proteasome inhibitors in PLGA nanoparticle could affect proteostasis and the consecutive processes. Thus, nanoparticle-mediated PS-341 lung-delivery was successful in treating the condition of cystic fibrosis where the drug was loaded with biodegradable PLGA nanoparticle (PLGA-PEGPS-341) and could produce a controlled and sustained drug targeting at the site [45].
Pillai R.R. et al. investigated the development of nafcillin loaded poly DL-lactide-co-glycolide nanoparticles for the targeting of osteoblasts in the treatment of Staphylococcus aureus-mediated osteomyelitis. Single emulsion-solvent evaporation technique was used to prepared nanoparticles of nafcillin. The in vitro drug release along with cell viability study showed that nanoparticles of nafcillin were effective in the treatment of infected osteoblasts [46].
Kumar R. et. al. studied the enhanced solubility of amphotericin B embedded in PLGA-PEG nanoparticles and also observed the targeting effect of those nanoparticles towards the macrophages of the infected tissues in the treatment of visceral leishmaniasis. Thus, Amphotericin B loaded PLGA-PEG block polymer nanoparticles showed more effectiveness than conventional amphotericin B for the inhibition of amastigotes in the splenic tissue, elicited reduced toxicity, and better therapeutic efficacy than the conventional one [47].
In nano-drug targeting with PLGA the challenges faced are the inconsistencies in particle size that can hinder the clinical success of the formulation the type of organic solvents used to dissolve PLGA and the type of mixing device that is used to disperse the polymeric phase in anti-solvent also affects the physi- cochemical properties of formulation embedded in PLGA [49].
PLGA Microsphere for targeting
Microspheres are polymeric particles of sizes ranges from 1 to 1000 µm [50]. Use of PLGA in the formulation of drug loaded polymeric microsphere rendered several advantages in drug delivery and targeting.
Feng T. et al. experimented on the sustained release effect of PLGA microsphere of Doxorubicin, and paclitaxel, investigated against B16F10 cells for the treatment of metastatic lung cancer. It was observed that PLGA carrier showed better results in the treatment compared to other carriers [51].
A successful brain targeting was observed by Ozekia et al in animals by incorporating PLGA microspheres in a thermo reversible gelation polymer matrix, for delivery of chemotherapeutic drugs- camptothecin or vincristine. After injection into the brain of the animals, a transformation from sol-gel occurred at body temperature and the microsphere provided a sustained drug release at the target site for glioma therapy with a survival rate of more than 60 days [52].
The complexity of manufacturing PLA/PLGA microspheres creates many challenges in the successful delivery of the drugs [53]. Some of the challenges include degradation of PLA/PLGA that begins after administration due to gastric pH, low drug loading, and poor formulation stability [54]. The improvement of stability can be brought by modifying the carrier system by achieving desirable hydrophilicity in the surface of the polymer. For optimizing the drug loading into PLGA the most effective way is to manipulate the physicochemical properties of PLGA so that there is no penetration of water into the polymer network and drug leaching from the formulation can be avoided [55–57]. Studies have showed that these physicochemical modifications of the polymer can be achieved by using various techniques like electrospinning, radiation, and employing chemical treatment [58].
Protein and peptide vaccine drug delivery
Proteins and peptides are new therapeutics that are used in the treatment of various human ailments in recent times [59]. PLGA particles in humans are one of the promising polymers that have been used in the delivery of proteins and peptides [60].
Allahyari M. et al., identified one of the important criteria to be taken into account during vaccine preparation is the encapsulation of antigen and its stability in the particulate system of polymer. This article has focused on vaccine delivery through PLGA particulate system. Antigenic proteins/peptides can also be encapsulated onto the surface of PLGA particles that show control release of antigenic protein/peptides from the polymeric surface over a while [61].
Jiang et al., reported that polymer-based targeting of oral vaccine with highly porous PLGA microparticles was a successful approach for targeting of peptides [62].
PLGA particles faces some challenge related to protein and peptide delivery considering their stability in acidic or harsh environments [63]. The instability occurs during the process of encapsulation, as the removal of organic solvents is associated with hydration that leads to the partial aggregation of the proteins. The other reason for instability is the hydrolysis of PLGA to PLA and PGA and thus the creation of an acidic microenvironment where the proteins are denatured. By adding stabilizers to the formulation, or by modifying the protein or the polymer proteins are protected from harsh environments [64].
Inhalational therapies
The use of PLGA in inhalational therapies has been extensively used nowadays due to its ability to overcome intracellular and extracellular barriers of lungs which in turn increase the drug deposition in lungs [65]. PLGA is suggested for inhalation therapies for its sustain release properties [51, 66], and is reported to be the most promising polymer in dry powder inhalation formulations [51].
Feng et al. formulated biodegradable PLGA microparticles of doxorubicin into achieve a long-acting release of the drug in pulmonary inhalation treatment. It produced highly porous and effective aerosolization of the drug [51].
Ocular Delivery Systems
The more challenging part of the ocular drug delivery system is to overcome the anatomical and physiological barriers of the eye [67]. In recent times many biodegradable polymers have been used in ophthalmic drug delivery to overcome those challenges. PLGA, is being studied to observe better tissue adherence, prolonged duration of action of the entrapped drug, bioavailability improvement, and toxicity reduction, in targeted delivery of the eye [68].
Chang et al., observed the effect of ocular surface drug targeting of PLGA with Fluorescein labelled albumin and doxycycline. The drugs were encapsulated in PLGA by formulation of w/o/w multiple emulsions. Safety and inflammatory responses were evaluated for the drug loaded PLGA microspheres by administering subconjunctival injections to the rodents. The study reported that the drug release from the microspheres was achieved over controlled periods. Doxycycline loaded PLGA microspheres were found to be efficacious in prevention of corneal barrier disruption in mice [69].
Gupta H. et al. studied a new colloidal system of sparfloxacin PLGA nanoparticles for ophthalmic delivery to improve the residence time and ocular penetration of the drug. The nanosuspension was lyophilized and reconstitution of the formulation, before administration made it more stable than conventional marketed formulations [70].
Biomedical applications
3D Printing technology
3D printing is a constructive way of making a three-dimensional object for medical purposes in digital format [71]. 3D printed medicines were first used in dental implants by Charles Hull in 1984 [72, 73]. Recently FDA has approved a 3D pharmaceutical product in August 2015, Spritam® 3D printed tabled used for the treatment of epileptic seizures2.
3D printing promises to produce complex biomedical devices based on specific patient anatomical data according to computer design. For use of polymers in 3D printing two main characteristics have to be considered that is biocompatibility and printability [63]. Considering these characteristics PLGA is found to be the best-preferred polymer [74, 75]. PLGA is one of the polymers that can be easily absorbed and eliminated from humans rendering any toxicity [76].
Shim J. H. et al., reported that Osteointegration and bone regeneration are one of the fields of science that mainly require the use of biodegradable polymers, now this use has also led to gain its interest in 3D printing. This polymer was successfully studied for bone regeneration in rabbits that showed better efficacy of this 3D model [77].
Gwak S.J. et al. experimented on 3D printed alginate PLGA copolymer with control release of indomethacin, itraconazole, and gentamicin on the embryonic kidney and stromal stem cell lines of bone of humans and reported a sustained effect of the drugs from the polymer matrix [78].
Researches are reported on the use of methoxy polyethylene glycol and PLGA copolymer in the formation of new bone [79] and regeneration of bone using calcium phosphate cement and PLGA [80].
Miscellaneous applications of PLGA
In periodontitis, the inflammation and the infection associated with the periodontal pockets need an extended release of drug at the inflamed site. Nafea E et al., studied the effect of the mucoadhesive chitosan-PLGA-chitosan copolymer for the entrapment of alendronate sodium with a promising effect in the treatment of periodontitis [81].
Prevention of photodegradation of sunscreen agents and improvement of the penetration of the hair vitalizer tonics can be improved by the use of PLGA nanospheres [82].
PLGA coated drug-eluting stents and PLGA based cardiac implants are found to be an optimal way to control heart diseases for both prolonged and local delivery of drugs to cardiovascular tissues. A revolutionary imaging capability of PLGA micro bubbles in the detection of myocardial defects were studied in a recent study. They have found that the PLGA micro bubbles could withstand the destruction by ultrasound imaging with a significant enhancement in the sound for cardiac contractions [83, 84].
Because of its biodegradable nature, PLGA is considered as a key polymer for drug-eluting medical devices and tissue engineering products. PLGA based nanosystems are suitable for targeting of drugs to the brain, cancerous cell, or tumour cells [85]. Grafting of monoclonal antibodies on the surface of PLGA matrix could able to achieve active targeting of drugs for different types of cancer cells and tumour endothelium cells.
Uptake of corticosteroids loaded PLGA nanoparticles by the ulcerated tissues in the colon or small intestine is found to be beneficial for the treatment of inflammatory bowel diseases. This enhanced uptake is due to the presence of negative charge on the polymer which gets attached by the positive charged protein in ulcerative tissues [86].
Research is still ongoing to discover the wonder effects of this polymer. The presently marketed formulations are listed in table 4.
Table 4 – Marketed products
| Drug product | Active ingredient | Dosage form / route of administration | 
| Lupron | Leuprolide acetate | Microsphere / Intra muscular3 | 
| Sandostatin LAR | Octreotide | Microsphere / subcutaneous4 | 
| Zoladex | Goserelin acetate | Implant / Subcutaneous5 | 
| Atridox | Doxycycline hyclate | Insitu forming gel / Periodontal6 | 
| Eligard | Leuprolide acetate | Insitu forming gel / Subcutaneous [87] | 
| Prialt | Zinconotide Acetate | Implant / Intrathecal7 | 
CONCLUSION
Use of PLGA or PLGA-based polymers in drug delivery has demonstrated countless probabilities for biomedical research. Its adaptable physicochemical properties biocompatibility and biodegradability makes it a unique polymer for drug delivery, drug targeting and making of novel devices. It has become a promising polymer to effectively deliver anticancer drugs, proteins, peptides, and vaccines. It has shown its potential in tissue engineering and microfluidics-based applications for medical devices. The tailor-made modification due to copolymerization of PLGA with other polymers render its efficacy in various applications for controlled and sustained delivery of drugs. Hence it can be concluded that much progress is awaiting in the field of biomedical research involving tissue engineering, stem cell with PLGA for the treatment and diagnosis of various critical diseases.
FUNDING
This review does not have external funding.
CONFLICT OF INTERESTS
The authors declare no conflicts of interest.
AUTHOR CONTRIBUTION
S. Bhattacharyya, N. Surya – Concept, Collection of materials, Writing and Editing of article
1 RESOMER® Biodegradable Polymers for Medical Device Applications Research (sigmaaldrich.com) – Available from: https://www.sigmaaldrich.com/IN/en/technical-documents/technical-article/materials-science-and-engineering/drug-delivery/resomer. Accessed on 31 March 2021.
2 Spritam. Available from: https://www.spritam.com/#/patient. Accessed on 23 April 2021.
3 LUPRON DEPOT (leuprolide acetate for depot suspension), 2014. Available from: https://www.accessdata.fda.gov/drugsatfda_docs/label/2014/020517s036_019732s041lbl.pdf. Accessed on 31 May 2021.
4 Sandostatin LAR (Octreotide Acetate Injection): Uses, Dosage, Side Effects, Interactions, Warning (rxlist.com). Available from: https://www.rxlist.com/sandostatin-lar-drug.htm. Accessed on 31 May 2021.
5 Zoladex 3.6 (Goserelin Acetate Implant): Uses, Dosage, Side Effects, Interactions, Warning (rxlist.com). Available from: https://www.rxlist.com/zoladex-36-drug.htm. Accessed on 31 May 2021.
6 Atridox (Doxycycline Hyclate): Uses, Dosage, Side Effects, Interactions, Warning (rxlist.com). Available from: https://www.rxlist.com/atridox-drug.htm. Accessed on 31 May 2021.
7 PRIALT (ziconotide intrathecal infusion). Available from: https://www.accessdata.fda.gov/drugsatfda_docs/label/2007/021060s003lbl.pdf. Accessed on 31 May 2021.
About the authors
Nagajyothi Surya
Krupanidhi College of Pharmacy
							Author for correspondence.
							Email: nagajyothisurya@gmail.com
				                	ORCID iD: 0000-0002-2844-3669
				                																			                								
Post Graduate in Pharmacy, Research Scholar
India, 12/1, Chikka Bellandur, Carmelaram Gunjur Road Varthur Hobli Off Sarjapur Rd, Bengaluru, Karnataka, 560035Sayani Bhattacharyya
Krupanidhi College of Pharmacy
														Email: sayanibh@gmail.com
				                	ORCID iD: 0000-0002-4013-4316
				                																			                								
Master in Pharmacy, Associate Professor
India, 12/1, Chikka Bellandur, Carmelaram Gunjur Road Varthur Hobli Off Sarjapur Rd, Bengaluru, Karnataka, 560035References
- Rafiei P, Haddadi A. A robust systematic design: optimization and preparation of polymeric nanoparticles of PLGA for docetaxel intravenous delivery. Mater. Sci. Eng., C. 2019 Nov 1; 104:109950. doi: 10.1016/j.msec.2019.109950.
- Astete CE, Sabliov CM. Synthesis and characterization of PLGA nanoparticles. J Biomater Sci Polym Ed. 2006;17(3):247–89. doi: 10.1163/156856206775997322.
- Danhier F, Ansorena E, Silva JM, Coco R, Le Breton A, Préat V. PLGA-based nanoparticles: An overview of biomedical applications. J Control Release. 2012;161(2):505–22. doi: 10.1016/j.jconrel.2012.01.043.
- Perinelli DR, Cespi M, Bonacucina G, Palmieri GF. PEGylated polylactide (PLA) and poly (lactic-co-glycolic acid) (PLGA) copolymers for the design of drug delivery systems. J Pharm Investig. 2019;49(4):443–58. doi: 10.1007/s40005-019-00442-2.
- Zhao J, Yang H, Li J, Wang Y, Wang X. Fabrication of pH-responsive PLGA ( UCNPs / DOX ) nanocapsules with upconversion luminescence for drug delivery. Sci Rep. 2017;(November):1–11. doi: 10.1038/s41598-017-16948-4.
- Mitragotri S, Burke PA, Langer R. formulation and delivery strategies. Nat Publ Gr. 2014;13(9):655–72. doi: 10.1038/nrd4363.
- Xu Y, Kim CS, Saylor DM, Koo D. Polymer degradation and drug delivery in PLGA-based drug–polymer applications: A review of experiments and theories. J Biomed Mater Res – Part B Appl Biomater. 2017;105(6):1692–716. doi: 10.1002/jbm.b.33648.
- Patel BK, Parikh RH, Patel N. Targeted delivery of mannosylated-PLGA nanoparticles of antiretroviral drug to brain. Int J Nanomed. 2018;13: 97–100.
- Jose S, Sowmya S, Cinu TA, Aleykutty NA, Thomas S, Souto EB. Surface modified PLGA nanoparticles for brain targeting of Bacoside-A. Eur J Pharm Sci. 2014;63:29–35. doi: 10.1016/j.ejps.2014.06.024.
- Zhao W, Zhang C, Li B, Zhang X, Luo X, Zeng C, Li W, Gao M, Dong Y. Lipid Polymer Hybrid Nanomaterials for mRNA Delivery. Cell Mol Bioeng. 2018;11(5):397–406. doi: 10.1007/s12195-018-0536-9.
- Kapoor DN, Bhatia A, Kaur R, Sharma R, Kaur G, Dhawan S. PLGA: A unique polymer for drug delivery. Ther Deliv. 2015;6(1):41–58. doi: 10.4155/tde.14.91.
- Song R, Murphy M, Li C, Ting K, Soo C, Zheng Z. Current development of biodegradable polymeric materials for biomedical applications. Drug Des Devel Ther. 2018;12:3117–45. doi: 10.2147/DDDT.S165440.
- Gandhi KJ, Deshmane SV, Biyani KR. Polymers in pharmaceutical drug delivery system: A review. Int J Pharm Sci Rev Res. 2012;14(2):57–66.
- Wu C, Baldursdottir S, Yang M, Mu H. Lipid and PLGA hybrid microparticles as carriers for protein delivery. J Drug Deliv Sci Technol . 2018 Feb 1;43:65–72. doi: 10.1016/j.jddst.2017.09.006.
- Righetti MC, Gazzano M, Di Lorenzo ML, Androsch R. Enthalpy of melting of α′- and α-crystals of poly(L-lactic acid). Eur Polym J. 2015;70:215–20. doi: 10.1016/j.eurpolymj.2015.07.024.
- Ansary RH, Awang MB, Rahman MM. Biodegradable poly(D,L-lactic-co-glycolic acid)-based micro/nanoparticles for sustained release of protein drugs – A review. Trop J Pharm Res. 2014;13(7):1179–90. doi: 10.4314/tjpr.v13i7.24.
- Hirenkumar M, Steven S. Poly Lactic-co-Glycolic Acid (PLGA) as Biodegradable Controlled Drug Delivery Carrier. Polymers (Basel). 2012;3(3):1–19. doi: 10.3390/polym3031377.Poly.
- Hines DJ, Kaplan DL. Poly(lactic-co-glycolic) acid-controlled-release systems: experimental and modeling insights. Crit Rev Ther Drug Carrier Syst. 2013;30(3):257–76. doi: 10.1615/critrevtherdrugcarriersyst.2013006475.
- Gentile P, Chiono V, Carmagnola I, Hatton P V. An overview of poly(lactic-co-glycolic) Acid (PLGA)-based biomaterials for bone tissue engineering. Int J Mol Sci. 2014;15(3):3640–59. doi: 10.3390/ijms15033640.
- Elmowafy EM, Tiboni M, Soliman ME. Biocompatibility, biodegradation and biomedical applications of poly(lactic acid)/poly(lactic-co-glycolic acid) micro and nanoparticles. J. Pharm. Investig. 2019;49:347–80. https://doi.org/10.1007/s40005-019-00439-x.
- Netti PA, Biondi M, Frigione M. Experimental Studies and Modeling of the Degradation Process of Poly(Lactic-co-Glycolic Acid) Microspheres for Sustained Protein Release. Polymers. 2020; 12: 2042. doi: 10.3390/polym12092042.
- Haggag YA, Faheem AM, Tambuwala MM, Osman MA, El-Gizawy SA, O’Hagan B, et al. Effect of poly (ethylene glycol) content and formulation parameters on particulate properties and intraperitoneal delivery of insulin from PLGA nanoparticles prepared using the double-emulsion evaporation procedure. Pharm Dev Technol. 2018 Apr 21;23(4):370–81. doi: 10.1080/10837450.2017.1295066.
- Chou SF, Woodrow KA. Relationships between mechanical properties and drug release from electrospun fibers of PCL and PLGA blends. J Mech Behav Biomed Mater. 2017;65:724–33. doi: 10.1016/j.jmbbm.2016.09.004
- Machatschek R, Schulz B, Lendlein A. The influence of pH on the molecular degradation mechanism of PLGA. MRS Adv. 2018;3(63):3883–9, doi: 10.1557/adv.2018.602.
- Teixeira S, Eblagon KM, Miranda FR, Pereira MF, Figueiredo JL. Towards Controlled Degradation of Poly(lactic) Acid in Technical Applications. C. 2021; 7(2):42. doi: 10.3390/c7020042.
- Ying L, Zhaowei C, Xiaoming L, Xili D, Meng G, Haoran Z, Jie Y, Lizhen W, Qiang C, Yubo F. The effect of mechanical loads on the degradation of aliphatic biodegradable polyesters, Regenerative Biomaterials. 2017; 4(3):179–90. doi: 10.1093/rb/rbx009.
- Rapier CE, Shea KJ, Lee AP. Investigating PLGA microparticle swelling behavior reveals an interplay of expansive intermolecular forces. Sci Rep. 2021; 11:14512. doi: 10.1038/s41598-021-93785-6.
- Siegel SJ, Kahn JB, Metzger K, Winey KI, Werner K, Dan N. Effect of drug type on the degradation rate of PLGA matrices. Eur J Pharm Biopharm. 2006 Nov;64(3):287–93. doi: 10.1016/j.ejpb.2006.06.009.
- Grizzi I, Garreau H, Li S, Vert M. Hydrolytic degradation of devices based on poly(DL-lactic acid) size-dependence. Biomaterials. 1995 Mar;16(4):305–11. doi: 10.1016/0142-9612(95)93258-f.
- Zhang Z, Wang X, Li B, Hou Y, Cai Z, Yang J, Li Y. Paclitaxel-loaded PLGA microspheres with a novel morphology to facilitate drug delivery and antitumor efficiency. RSC Adv. 2018;8:3274. doi: 10.1039/C7RA12683B.
- Ho MJ, Jeong HT, Im SH, Kim HT, Lee JE, Park JS, Cho HR, Kim DY, Choi YW, Lee J. Design and in vivo pharmacokinetic evaluation of Triamcinolone Acetonide microcrystals-loaded PLGA microsphere for increased drug retention in knees after iIntra-articular injection. Pharmaceutics 2019;11:419. DOI: 0.3390/pharmaceutics11080419.
- Abuzar SM, Ahn JH, Park KS, Park EJ, Baik SH, Hwang SJ. Pharmacokinetic Profile and Anti-Adhesive Effect of Oxaliplatin-PLGA Microparticle-Loaded Hydrogels in Rats for Colorectal Cancer Treatment. Pharmaceutics. 2019 Aug 5;11(8):392. doi: 10.3390/pharmaceutics11080392.
- Jusu SM, Obayemi JD, Salifu AA, Nwazojie CC, Uzonwanne V, Odusanya OS, Soboyejo WO. Drug-encapsulated blend of PLGA-PEG microspheres: in vitro and in vivo study of the effects of localized/targeted drug delivery on the treatment of triple-negative breast cancer. Sci Rep. 2020 Aug 25;10(1):14188. doi: 10.1038/s41598-020-71129-0.
- Ryu WM, Kim SN, Min CH, Bin Choy Y. Dry Tablet Formulation of PLGA Nanoparticles with a Preocular Applicator for Topical Drug Delivery to the Eye. Pharmaceutics. 2019;11:651. doi: 10.3390/pharmaceutics11120651.
- Varga N, Turcsányi Á, Hornok V, Csapó E. Vitamin E-Loaded PLA- and PLGA-Based Core-Shell Nanoparticles: Synthesis, Structure Optimization and Controlled Drug Release. Pharmaceutics. 2019;11:57. DOI: 0.3390/pharmaceutics11070357.
- Jo A, Ringel-Scaia VM, McDaniel DK. Fabrication and characterization of PLGA nanoparticles encapsulating large CRISPR–Cas9 plasmid. J Nanobiotechnol. 2020;18:16. doi: 10.1186/s12951-019-0564-1.
- Primavera R, Kevadiya BD, Swaminathan G, Wilson RJ, De Pascale A, Decuzzi P, Thakor AS. Emerging Nano- and Micro-Technologies Used in the Treatment of Type-1 Diabetes. Nanomaterials (Basel). 2020 Apr 20;10(4):789. doi: 10.3390/nano10040789.
- Parveen S, Sahoo SK. Long circulating chitosan / PEG blended PLGA nanoparticle for tumor drug delivery. Eur J Pharmacol. 2011;670(2–3):372–83. doi: 10.1016/j.ejphar.2011.09.023.
- Riley MK, Vermerris W. Recent advances in nanomaterials for gene delivery–A review. Nanomaterials. 2017;7(5):1–19. doi: 10.3390/nano7050094.
- Matteucci F, Giannantonio R, Calabi F, Agostiano A, Gigli G, Rossi M. Deployment and exploitation of nanotechnology nanomaterials and nanomedicine. AIP Conf Proc. 2018. doi: 10.1063/1.5047755.
- Tahara K, Yamamoto H, Takeuchi H, Kawashima Y. Development of gene delivery system using PLGA nanospheres. Yakugaku Zasshi. 2007;127(10):1541–8. doi: 10.1248/yakushi.127.1541.
- Figueiredo M, Esenaliev R. PLGA Nanoparticles for Ultrasound-Mediated Gene Delivery to Solid Tumors. J Drug Deliv. 2012;2012:1–20.c doi: 10.1155/2012/767839.
- Figueiredo M, Esenaliev R. PLGA Nanoparticles for Ultrasound-Mediated Gene Delivery to Solid Tumors. J Drug Deliv. 2012;2012:1–20. doi: 10.1002/adma.201707113.
- Juliano RL. The delivery of therapeutic oligonucleotides. Nucleic Acids Res. 2016;44(14):6518–48. doi: 10.1093/nar/gkw236.
- Vij N, Min T, Marasigan R, Belcher CN, Mazur S, Ding H, et al. Development of PEGylated PLGA nanoparticle for controlled and sustained drug delivery in cystic fibrosis. J Nanobiotechnology. 2010;8:1–18. doi: 10.1186/1477-3155-8-22.
- Pillai RR, Somayaji SN, Rabinovich M, Hudson MC, Gonsalves KE. Nafcillin-loaded PLGA nanoparticles for treatment of osteomyelitis. Biomed Mater. 2008;3(3):034114. doi: 10.1088/1748-6041/3/3/034114.
- Kumar R, Sahoo GC, Pandey K, Das V, Das P. Study the effects of PLGA-PEG encapsulated Amphotericin B nanoparticle drug delivery system against Leishmania donovani. Drug Deliv. 2015;22(3):383–8. doi: 10.3109/10717544.2014.891271.
- Pasut G. Grand Challenges in Nano-Based Drug Delivery. Front Med Technol. 2019;1:10–3. doi: 10.3389/fmedt.2019.00001.
- Sah E, Sah H. Recent trends in preparation of poly(lactide-co-glycolide) nanoparticles by mixing polymeric organic solution with antisolvent. J Nanomater. 2015;2015. doi: 10.1155/2015/794601.
- Varde NK, Pack DW. Microspheres for controlled release drug delivery. Expert Opin Biol Ther. 2004 Jan;4(1):35–51. doi: 10.1517/14712598.4.1.35.
- Feng TS, Tian HY, Xu CN, Lin L, Lam MHW, Liang HJ. Doxorubicin-loaded PLGA microparticles with internal pores for long-acting release in pulmonary tumor inhalation treatment. Chinese J Polym Sci. 2015;33(7):947–54. doi: 10.1007/s10118-015-1642-y.
- Ozeki T, Kaneko D, Hashizawa K, Imai Y, Tagami T, Okada H. Improvement of survival in C6 rat glioma model by a sustained drug release from localized PLGA microspheres in a thermoreversible hydrogel. Int J Pharm. 2012;427(2):299–304. doi: 10.1016/j.ijpharm.2012.02.012.
- Kamaly N, Yameen B, Wu J, Farokhzad OC. Degradable controlled-release polymers and polymeric nanoparticles: Mechanisms of controlling drug release. Chem Rev. 2016;116(4):2602–63. doi: 10.1021/acs.chemrev.5b00346.
- Lagreca E, Onesto V, Di Natale C, La Manna S, Netti PA, Vecchione R. Recent advances in the formulation of PLGA microparticles for controlled drug delivery. Prog Biomater. 2020;9(4):153–74. doi: 10.1007/s40204-020-00139-y.
- Han FY, Thurecht KJ, Whittaker AK, Smith MT. Bioerodable PLGA-based microparticles for producing sustained-release drug formulations and strategies for improving drug loading. Front Pharmacol. 2016;7(JUN):1–11. doi: 10.3389/fphar.2016.00185.
- Lanao RPF, Jonker AM, Wolke JGC, Jansen JA, Van Hest JCM, Leeuwenburgh SCG. Physicochemical properties and applications of poly(lactic-co-glycolic acid) for use in bone regeneration. Tissue Eng – Part B Rev. 2013;19(4):380–90. doi: 10.1089/ten.teb.2012.0443.
- Bansal H, Preet kaur S, Gupta AK. Microsphere: Methods of preparation and applications; A comparative study. Int J Pharm Sci Rev Res. 2011;10(1):69–78.
- Vasita R, Shanmugam K, Katti DS. Degradation behavior of electrospun micro fi bers of blends of poly. Polym Degrad Stab. 2010;95(9):1605–13. doi: 10.1016/j.polymdegradstab.2010.05.032.
- Baig MH, Ahmad K, Saeed M, Alharbi AM, Barreto GE, Ashraf GM, et al. Peptide based therapeutics and their use for the treatment of neurodegenerative and other diseases. Biomed Pharmacother. 2018;103:574–81. doi: 10.1016/j.biopha.2018.04.025.
- Koerner J, Horvath D, Groettrup M. Harnessing Dendritic Cells for Poly (D,L-lactide-co-glycolide) Microspheres (PLGA MS)-Mediated Anti-tumor Therapy. Front Immunol. 2019;10:1–16. doi: 10.3389/fimmu.2019.00707.
- Allahyari M, Mohit E. Peptide/protein vaccine delivery system based on PLGA particles. Hum Vaccines Immunother. 2016;12(3):806–28. doi: 10.1080/21645515.2015.1102804.
- Jiang T, Singh B, Li H, Kim Y, Kang S, Nah J, et al. Biomaterials Targeted oral delivery of BmpB vaccine using porous PLGA microparticles coated with M cell homing peptide-coupled chitosan. Biomaterials. 2014;35(7):2365–73. doi: 10.1016/j.biomaterials.2013.11.073.
- Kholgh Eshkalak S, Rezvani Ghomi E, Dai Y, Choudhury D, Ramakrishna S. The role of three-dimensional printing in healthcare and medicine. Mater Des. 2020;194:108940. doi: 10.1016/j.matdes.2020.108940.
- Wang W. Advanced protein formulations. Protein Sci. 2015;24(7):1031–9. doi: 10.1002/pro.2684.
- Sánchez A, Mejía SP, Orozco J. Recent advances in polymeric nanoparticle-encapsulated drugs against intracellular infections. Molecules. 2020;25(16):1–45. doi: 10.3390/molecules25163760.
- Jensen DMK, Cun D, Maltesen MJ, Frokjaer S, Nielsen HM, Foged C. Spray drying of siRNA-containing PLGA nanoparticles intended for inhalation. J Control Release. 2010;142(1):138–45. doi: 10.1016/j.jconrel.2009.10.010.
- Bachu RD, Chowdhury P, Al-Saedi ZHF, Karla PK, Boddu SHS. Ocular drug delivery barriers—role of nanocarriers in the treatment of anterior segment ocular diseases. Pharmaceutics. 2018;10(1):28. doi: 10.3390/pharmaceutics10010028.
- Tsai CH, Wang PY, Lin IC, Huang H, Liu GS, Tseng CL. Ocular drug delivery: Role of degradable polymeric nanocarriers for ophthalmic application. Int J Mol Sci. 2018;19(9): 2830. doi: 10.3390/ijms19092830.
- Chang E, McClellan AJ, Farley WJ, Li DQ, Pflugfelder SC, De Paiva CS. Biodegradable PLGA-Based Drug Delivery Systems for Modulating Ocular Surface Disease under Experimental Murine Dry Eye. J Clin Exp Ophthalmol. 2011 Nov 1;2(11):191. doi: 10.4172/2155-9570.1000191.
- Gupta H, Aqil M, Khar RK, Ali A, Bhatnagar A, Mittal G. Sparfloxacin-loaded PLGA nanoparticles for sustained ocular drug delivery. Nanomedicine Nanotechnology, Biol Med. 2010;6(2):324–33. doi: 10.1016/j.nano.2009.10.004.
- Jiménez M, Romero L, Domínguez IA, Espinosa MDM, Domínguez M. Additive Manufacturing Technologies: An Overview about 3D Printing Methods and Future Prospects. Complexity. 2019;2019. doi: 10.1155/2019/9656938.
- Peng Q, Tang Z, Liu O, Peng Z. Rapid prototyping-assisted maxillofacial reconstruction. Ann Med. 2015;47(3):186–208. doi: 10.3109/07853890.2015.1007520.
- Azad MA, Olawuni D, Kimbell G, Badruddoza AZM, Hossain MS, Sultana T. Polymers for extrusion-based 3D printing of pharmaceuticals: A holistic materials–process perspective. Pharmaceutics. 2020;12(2):1–34. doi: 10.3390/pharmaceutics12020124.
- Beg S, Almalki WH, Malik A, Farhan M, Aatif M, Rahman Z, et al. 3D printing for drug delivery and biomedical applications. Drug Discov Today. 2020;25(9):1668–81. doi: 10.1016/j.drudis.2020.07.007.
- Mathew E, Pitzanti G, Larrañeta E, Lamprou DA. Three-dimensional printing of pharmaceuticals and drug delivery devices. Pharmaceutics. 2020;12(3):1–9. doi: 10.3390/pharmaceutics12030266.
- Naseri E, Butler H, MacNevin W, Ahmed M, Ahmadi A. Low-temperature solvent-based 3D printing of PLGA: a parametric printability study. Drug Dev Ind Pharm. 2020;46(2):173–8. doi: 10.1080/03639045.2019.1711389.
- Shim JH, Won JY, Sung SJ, Lim DH, Yun WS, Jeon YC, et al. Comparative efficacies of a 3D-printed PCL/PLGA/β-TCP membrane and a titanium membrane for guided bone regeneration in beagle dogs. Polymers (Basel). 2015;7(10):2061–77.
- Gwak SJ, Yun Y, Yoon DH, Kim KN, Ha Y. Therapeutic use of 3β-[N-(N’,N’-dimethylaminoethane) carbamoyl] cholesterol-modified PLGA nanospheres as gene delivery vehicles for spinal cord injury. PLoS One. 2016;11(1):1–14. doi: 10.1371/journal.pone.0147389.
- Lai P, Hong D, Lin CT, Chen L, Chen W, Chu I. Composites : Part B Effect of mixing ceramics with a thermosensitive biodegradable hydrogel as composite graft. Compos Part B. 2012;43(8):3088–95.
- Lanao RPF, Leeuwenburgh SCG, Wolke JGC, Jansen JA. In vitro degradation rate of apatitic calcium phosphate cement with incorporated PLGA microspheres. Acta Biomater. 2011;7:3459–68. doi: 10.1016/j.actbio.2011.05.036.
- Nafea EH, El-massik MA, El-khordagui LK, Marei MK, Khalafallah NM. Alendronate PLGA microspheres with high loading efficiency for dental applications. J Microencapsul. 2007;24(September):525–38. doi: 10.1080/02652040701439807.
- Tsujimoto H, Hara K, Tsukada Y, Huang CC, Kawashima Y, Arakaki M, et al. Evaluation of the permeability of hair growing ingredient encapsulated PLGA nanospheres to hair follicles and their hair growing effects. Bioorg Med Chem Lett. 2007;17:4771–7. doi: 10.1016/j.bmcl.2007.06.057.
- Iverson N, Plourde N, Chnari E, Nackman GB, Moghe PV. Convergence of nanotechnology and cardiovascular medicine progress and emerging prospects.Biodrugs. 2008;22(1):1–10. doi: 10.2165/00063030-200822010-00001
- Yokoyama R, Massaki L, Tabata Y, Hoshiga M, Ishizaka N, Ashai M. Cardiac Regeneration by statin-polymer nanoparticle-loaded adipose-derived stem cell therapy in myocardial infarction. Stem Cells Transl Med. 2019;8:1055–1067. doi: 10.1002/sctm.18-0244.
- Sadat Tabatabaei Mirakabad F, Nejati-Koshki K, Akbarzadeh A, Yamchi MR, Milani M, Zarghami N, Zeighamian V, Rahimzadeh A, Alimohammadi S, Hanifehpour Y, Joo SW. PLGA-based nanoparticles as cancer drug delivery systems. Asian Pac J Cancer Prev. 2014;15(2):517–35. doi: 10.7314/apjcp.2014.15.2.517.
- Lamprecht A, Schäfer U, Lehr CM. Size-dependent bioadhesion of micro- and nanoparticulate carriers to the inflamed colonic mucosa. Pharm Res. 2001 Jun;18(6):788-93. doi: 10.1023/a:1011032328064.
- Renzulli JF, Tagawa ST, Atkinson SN, Boldt-Houle DM, Moul JW. Subcutaneous in situ gel delivered leuprolide acetate’s consistent and prolonged drug delivery maintains effective testosterone suppression independent of age and weight in men with prostate cancer. BJUI Compass. 2020 May;1(2):64–73. doi: 10.1002/bco2.13.
Supplementary files
 
				
			 
					 
						 
						 
									





