Development of peroral hypolipidemic formulation based on sulfated arabinogalactan in the form of potassium salt
- Authors: Kostyro Y.A.1, Alekseev K.V.2
-
Affiliations:
- Federal State Budget Institution for Science “A.E. Favorsky Irkutsk Institute of Chemistry Siberian Branch of the Russian Academy of Sciences”
- Federal State Budgetary Institution “Research Zakusov Institute of pharmacology”
- Issue: Vol 9, No 6 (2021)
- Pages: 441-453
- Section: Articles
- URL: https://journals.eco-vector.com/2307-9266/article/view/111708
- DOI: https://doi.org/10.19163/2307-9266-2021-9-6-441-453
- ID: 111708
Cite item
Abstract
An original heparinoid, sulfated arabinogalactan in the form of potassium salt, possessing anticoagulant and hypolipidemic activities, has been developed at the A.E. Favorsky Irkutsk Institute of Chemistry Siberian Branch of the Russian Academy of Sciences.
The aim was to develop solid peroral dose forms (capsules and film-coated tablets) for the prevention and treatment of atherosclerotic lesion of blood vessels on the basis of potassium salt of sulfated arabinogalactan which would be suitable for further clinical trials of these forms.
Materials and methods. The following materials were used in the work: sulfated arabinogalactan in the form of potassium salt, obtained at the A.E. Favorsky Irkutsk Institute of Chemistry Siberian Branch of the Russian Academy of Sciences; Ludipress®; AEROSIL® 200 Pharma; calcium stearate; Aquacoat ECD. The powder mixtures were briquetted followed by tableting and application of the finished film coating Aquacoat ECD, and encapsulation in hard gelatin capsules.
Results. Composition and technological characteristics of capsules and film-coated tablets were determined using physico-chemical and technological properties of sulfated arabinogalactan in the form of potassium salt. Technological parameters and quality indicators were determined for the solid pharmaceutical dose forms in accordance with the requirements of the State Pharmacopoeia of the Russian Federation of the XIVth edition.
Conclusion. The optimum compositions and technology for the preparation of capsules and film-coated tablets based on potassium salt of sulfated arabinogalactan for the prevention and treatment of atherosclerotic lesion of blood vessels, were developed. The data obtained were used for the regulatory documentation design.
Full Text
Abbreviations: RF – the Russian Federation; SB RAS – Siberian Branch of the Russian Academy of Sciences; FDF – finished dosage form; GPhM – General Pharmacopoeial Monograph; FFC – finished film coating.
INTRODUCTION
Atherosclerotic lesion of blood vessels is one of the most widespread and serious disorders of the homeostatic system. The use of drugs with a polyvalent mechanism of pharmacological action for the prevention and treatment of this pathology is justified, and the application of heparinoids for this purpose is very promising [1–8].
Foreign hypolipidemics based on natural and semi-synthetic heparinoids are limited [9–13] due to their physico-chemical properties (they are extremely easily destroyed in the digestive tract that impairs their absorption and transport to blood)1.
In the Russian Federation (RF), heparinoids are represented by sulodexide-derived drugs, which exert angioprotective, profibrinolytic and antithrombotic effects2. Sulodexide is an organopreparation, extracted from the mucous membrane of the small intestine of a pig. It is a natural mixture of glycosaminoglycans (80% of heparin-like fraction with a molecular weight of 8 kDa and 20% of dermatansulfate) [14–15]. The effective application of Sulodexide for the secondary prevention of coronary atherosclerosis and its complications is proven by clinical multicenter placebo-controlled trials [16–18]. Sulodexide-based medicines cause serious side effects in view of the peculiarities of the technology for obtaining organopreparations. For instance, these drugs contain trace proteins and histamine-like substances that can lead to allergic reactions3.
Thus, the search for heparinoids devoid of similar disadvantages is an urgent problem in medical and pharmaceutical sciences.
A directed chemical modification of arabinogalactan, the main polysaccharide of Siberian larch, made it possible to develop the original pharmacologically active compound – sulfated arabinogalactan in the form of potassium salt (Agsular®), in A.E. Favorsky Irkutsk Institute of Chemistry Siberian Branch of the Russian Academy of Sciences4. This is a semi-synthetic heparinoid exhibiting anticoagulant and hypolipidemic activities, having a high relative bioavailability after the peroral administration (54.4%) [19]. The improved technology for the synthesis of potassium salt of sulfated arabinogalactan made it possible to obtain a pharmaceutical grade substance [20, 21]. The safety and efficiency of the latter has been proven by the pre-clinical trials conducted together with the Research Institute of Toxicology (St. Petersburg) in 2009–2011 [22, 23].
Thus, sulfated arabinogalactan in the form of potassium salt is a promising building block for the development of peroral medicines. Today, the most popular are such peroral finished dose forms (FDFs) as tablets and capsules, which have a wide range of possibilities and advantages [24–25].
THE AIM was to develop solid peroral dose forms (capsules and film-coated tablets) for the prevention and treatment of atherosclerotic lesion of blood vessels, on the basis of potassium salt of sulfated arabinogalactan which would be suitable for further clinical trials of these forms.
MATERIALS AND METHODS
Materials
The following materials were used in the work: sulfated arabinogalactan in the form of potassium salt (Agsular®), obtained according to the developed methods [20, 21]; Ludipress® (BASF, Germany); colloidal silicon dioxide – AEROSIL® 200 Pharma (Evonik Degussa, Germany); calcium stearate, analytically pure, reagent grade (Technical conditions 2432-061-56856807-04); Aquacoat ECD (FMC, USA); purified water (Pharmacopoeia Monograph.2.2.0020.18)5.
Study of physico-chemical properties
The shape and size of the particles were determined by scanning electron microscopy using a SEM 525-M scanning electron microscope (Philips, the Netherlands) and by dynamic light scattering using a Zetasizer Nano ZS analyzer (Malvern Instrument, UK). The measurements were carried out at the angles of 13° and 173° in plastic cuvettes (1×1 cm). The average hydrodynamic diameter was calculated by the analysis of fluctuations in the intensity of light scattering of spherical particles. The results were processed using the Dispersion technology Zetasizer family software v7.01.
The mass-average molecular mass was determined by high performance size exclusion chromatography on an Agilent 1260 Infinity chromatograph (Agilent Technologies, Germany), a PL aquagel-OH 408 nm column, 300×7.5 mm, a refractometer detector, a sample concentration of 1 mg/ml, a sample volume of 20 μL. The elution was carried out with a 0.1 M aqueous solution of lithium nitrate (LiNO3) at 30°C with the eluent flow rate of 1 ml/min. The column was calibrated using D-galactose and dextrans with molecular weights of 5, 12, and 25 kDa (Sigma, United States). The calculations were performed using the Agilent ChemStation software.
The elemental analysis was performed on a Flash2000 automatic elemental analyzer (Thermo Scientific, Italy).
The solubility was determined according to the method described in General Pharmacopoeial Monograph (GPhM) 1.2.1.0005.15 “Solubility”6.
The average density (ρav, kg/m3) was determined by the ratio of the sample mass (m≥0.3 kg) to the entire volume occupied by it (V) in natural conditions, including the cavities and pores in it (Vpore), and calculated by the formula:
where: ρav is an average density, kg/m3; m is the mass of the sample, kg; V is the sample volume, m3; Vs.ph. is a volume of a solid phase, m3; Vpore is a volume of cavities and pores, m3.
Specific surface area (Ssp.s., m2/kg) was determined as the sum of the surface of all particles, the total mass of which was 1 kg, and calculated by the formula:
where: Ssp.s. is a specific surface area, m2/kg; k is a particle shape factor; ds.ph. is a particle diameter of the solid phase, m; ρav is an average density, kg/m3.
The hygroscopicity (H, %) was determined under the extreme conditions (in a chamber with a relative humidity of 100% for 24 hours) [26]. The kinetics of the moisture absorption was calculated by the formula:
where: H is a hygroscopicity, %; m0 is the mass of the powder before being kept in a chamber with a 100% air humidity, g; m is the mass of the powder after the exposure in the chamber with a 100% air humidity, g.
Study of technological properties
A fractional (granulometric) composition was determined according to the method described in GPhM.1.1.0015.15 “Sieve analysis”7 on an automatic WEB scatterer (MLW-Labortechnik, Germany).
The flowability (g/s), the angle of repose (°) and the bulk density (g/ml) were determined according to the methods described in GPhM.1.4.2.0016.15 “The degree of flowability of powders”8 on a device for determining the flowability TK-1 (Pharmatech, Ukraine) and on a device for vibration compaction of powders 545-P-AK-3 (Pharmatech, Ukraine).
The compressibility (breaking strength, N) was determined according to the following procedure: a weighed portion (0.3 g) of the powder was compressed in a matrix with a diameter of 9 mm on a PGR 400 manual hydraulic press (Infraspek company, Russia) at the pressure of 120 MPa. After pushing the tablet out of the matrix, the compressive strength was determined using a tablet and granule strength tester TT-03 (China) in kg of load, which was recalculated in N [26].
The Hausner index was calculated by the formula:
where: ρbd0 is a bulk density before the compaction, kg/m3; ρbd1 is a bulk density after the compaction, kg/m3 [27].
The Carr index (%) was calculated by the formula [28]:
where: ρbd0 is a bulk density before the compaction, kg/m3; ρbd1 is a bulk density after the compaction, kg/m3.
Technology for tablets production
Briquetting was carried out from a powder mixture of active ingredients and auxiliary substances obtained in a PSM “plough” mixer (Pharmag, Germany) at 50-250-450 rpm for 30 min, on a hydraulic hand press PGR 400 (matrix diameter – 25 mm) (Infraspek company, Russia) under the pressure of 200 bar. The briquettes were grinded in a dry granulator DG (Pharmag, Germany).
The obtained granules were fractionized on an automatic diffuser (WEB MLW-Labortechnik, Germany); for tableting, granules with a size of at least 1 mm were used.
Tableting was performed using the punches to the tablet press CPR-6 (Dott. Bonapace & C s.r.l., Italy), allowing biconvex tablets with a diameter of 12 mm to be obtained.
The application of 30% aqueous dispersion of the finished film coating Aquacoat ECD was performed in a CP-9 coater (Pharmag, Germany) with a fixed operating angle of the device (45°). The coated tablets were dried using infrared light (150 W).
Technology for capsules production
The encapsulation was carried out using the finished semi-closed hard-gelatin capsules Empty Hard Gelatin Capsules (Shaanxi Genex Bio-Tech Co., Ltd., China) with the sizes No. 00-1. The capsules were filled with the help of manual machines MC-1.2 (Multipharma, Italy) of the appropriate size.
FDF quality assessment
The quality of the obtained FDFs was evaluated according to the standard pharmacopoeial methods9:
- GPhM.1.4.2.0009.15 “Uniformity of the mass of dosage forms”, the determination of the uniformity of the mass of the capsules contents, was carried out using laboratory electronic scales LV 120-A (Sartogosm, Russia);
- GPhM.1.4.2.0008.15 “Dosage Uniformity”, the determination of the distribution uniformity of the active substance among individual dosage units of FDFs (capsules and film-coated tablets) was carried out according to method 2 using laboratory electronic scales LV 120-A (Sartogosm, Russia);
- GPhM.1.4.2.0013.15 “Disintegration of tablets and capsules”, the determination of disintegration, was carried out in purified water using the laboratory identifier of the disintegration process 545 AK-00-00 (Pharmatech, Ukraine).
- GPhM.1.4.2.0014.15 “Dissolution for solid dosage form”, the determination of the amount of active substance released from the pharmaceutical dose forms for a certain period of time, was carried out in purified water using a device for determining the solubility 545 AK7-00-00 (Pharmatech, Ukraine) by spectrophotometric method on a UV/VIS spectrometer Lambda 35 (Perkin Elmer, USA).
- GPhM.1.4.1.0015.15 “Tablets”, the determination of the excipients amount aerosil and calcium stearate) was carried out by the gravimetric method using laboratory electronic scales LV 120-A (Sartogosm, Russia).
Statistical processing of results
All obtained data were statistically processed (P = 95%) using the Student’s test in accordance with the requirements of GPhM.1.1.0013.1510.
RESULTS AND DISCUSSION
Physico-chemical
and technological properties
The most economically beneficial and technological method for tableting of powders is their direct compression. However, despite the advantages of this method, it is applicable for a limited number of pharmaceutical substances and depends on their physico-chemical and technological properties [29].
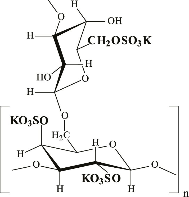
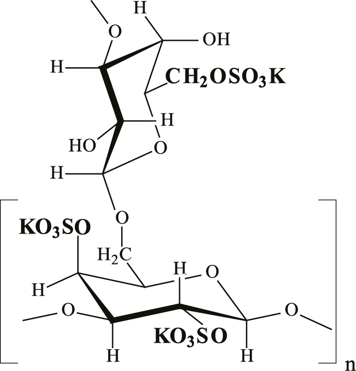
Sulfated arabinogalactan in the form of potassium salt (Fig. 1) is a hydrophilic functionalized biopolymer, where sulfate groups are located at the C2 and C4 atoms of the main galactan chain and at the C6 atom of the terminal galactose residues of the main and side chains of the polysaccharide. According to the data of elemental analysis and characteristics of the molecular weight distribution, the degree of substitution of the macromolecule is 0.4, i.e. about one sulfate group is per one structural unit of the biopolymer [21].
Figure 1 – Fragment of sulfated arabinogalactan in the form of potassium salt
Visually, it is a white or white-creamy amorphous powder with a weak characteristic odor. According to the data of scanning electron microscopy (Fig. 2A), its particles have a spherical shape and form large agglomerates with the size in the range of 200-600 nm (Fig. 2B).
Figure 2 – Shape and size of sulfated arabinogalactan particles in the form of potassium salt
Note: A – scanning electron microscopy (200–600 nm); B – dynamic light scattering method (585.9 nm)
To evaluate suitability of a sulfated arabinogalactan potassium salt for tableting by direct compression methods, its physico-chemical (Table 1) and technological properties (Table 2) were studied.
Table 1 – Physico-chemical properties of sulfated arabinogalactan in the form of potassium salt
Average molecular weight, kDa | Solubility, kg/m3 | Average density, kg/m3 | Specific surface area, m2/kg | Hygroscopicity, % | Found (%) Calculated (%) | |||
С | Н | S | К | |||||
27.5 | 300; Н2О | 843.17 | 13.88 | 20.07 | 26.63 25.39 | 2.26 3.23 | 11.01 11.48 | 15.55 13.99 |
Table 2 – Technological parameters of sulfated arabinogalactan in the form of potassium salt
Technological characteristics | Experimental data | Reference values |
Granulometric composition | Fractions: < 0.25 mm 19.8%; 0.25–0.5 mm 59.5%; 0.5–1.0 mm 8.6%; 1.0–2.0 mm 10.5%; 2.0–3.0 mm 1.4%; > 3.0 mm 0.2% | Granulometric composition: more than 60% should be fractions with a particle size of 0.5–2 mm; less than 20% – fractions with a particle size of up to 0.2 mm [30]. |
Flowability, g/s | 1.00±0.05 | 8.6–12 g/s – excellent; 6.6–8.5 g/s – good; 3–6.5 g/s – satisfactory; 2–3 g/s – allowable; 1–2 g/s – bad; 0.3–1 g/s – very bad [31]. |
The angle of the natural slope | 43–45° | 25–30° – very good flowability; 31–35° – good flowability; 36–45° – satisfactory degree of flowability; 46–55° – unsatisfactory degree of flowability (additional stirring or vibration is required; 56–65° – poor flowability; > 66° – very poor flowability 11 |
Compressibility (breaking strength), N | 24.50±1.14 | > 70 N – good 40–70 N – medium < 40 N – bad [26]. |
Bulk density before compaction, g/ml | 0.633±0.032 | > 2.0 g/ml – very heavy; from 1.1 to 2.0 g/ml – heavy; from 0.6 to 1.1 g/ml – medium; < 0.6 g/ml – light bulk materials [31]. |
Bulk density after compaction, g/ml | 0.843±0.042 | |
Hausner index | 1.33 | 1.00–1.11 – very good compressibility; 1.12–1.18 – good compressibility; 1.19–1.25 – average compressibility; 1.26–1.34 – satisfactory compressibility; 1.35–1.45 – poor compressibility; 1.46–1.59 – very poor compressibility; > 1.60 – a very poor compressibility [32]. |
Carr index, % | 24.91 | 10 – very good compressibility; 11–15 – good compressibility; 16–20 – average compressibility; 21–25 – satisfactory compressibility; 26–31 – poor compressibility; 32–37 – very poor compressibility; > 38 – a very poor compressibility [33]. |
The results of the carried out experiments showed that sulfated arabinogalactan in the form of potassium salt is finely dispersed amorphous powder with high hygroscopicity (20.07%). It is almost uniform in the particle size distribution, which does not meet the requirements to powders for direct pressing, since it has low technological properties.
Powders with a particle size of 0.5–1 mm are known to be the best for a direct compression [24]. This parameter for sulfated arabinogalactan in the form of potassium salt is only 8.6%, and the amount of the fine fraction is more than 79%. That significantly affects the material flowability, leading to its almost complete absence (1 g/s). In this case, not the entire sample spilled out by gravity from the device funnel, there was a partial freezing, dusting and static-charge accumulation of the powder. The Carr (24.91%) and the Hausner (1.33) indices confirm a very poor compressibility (24.5 N) of sulfated arabinogalactan in the form of potassium salt, accompanied by the complexity of filling the matrix and ejecting the finished tablet from it. All these can lead to a violation of the active substance dosage accuracy in the FFC.
In this regard, the next stage was to bring technological properties of sulfated arabinogalactan in the form of potassium salt into compliance with the properties of a technologically conditioned mass, suitable for obtaining tableted FFC by the direct compression method.
Technology for tableted FDF preparation
Previously, a tableted FDF based on sulfated arabinogalactan in the form of potassium salt with a dosage of the active component of 500 mg, had been designed. Anhydrous lactose, low-molecular polyvinylpyrrolidone and aerosil were used as adjuvants [34]. The shelf life of the tablets, obtained by direct compression with a monocomponent composition of adjuvants, was no more than two and a half years because of a high hygroscopicity of such sulfated arabinogalactan and the absence of protective coatings from the atmospheric moisture in the tablets.
Therefore, in order to increase stability and extend the shelf life of tablets derived from sulfated arabinogalactan, the composition and technology (the selection of modern combined adjuvants to improve flowability and compressibility; the selection of film moisture-protective coatings for tablets; the approbation of wide used granulation method for the directed enlargement of the particles), were experimentally optimized.
From a large assortment of modern combined adjuvants, Ludipress®, consisting of a complex of α-lactose monohydrate (93.4%), polyvinylpyrrolidone (Kollidon 30) (3.2%) and 3D polyvinylpyrrolidone (Kollidon CL) (3.4%)14, was chosen. Ludipress has the same qualitative composition of ingredients that had been used earlier to obtain tablets based on sulfated arabinogalactan in the form of potassium salt, but it is characterized by the optimal quantitative combination. That makes it possible to obtain sufficiently stable tablets under a low pressure of compression and to improve the technological properties of the active substance [35].
Since sulfated arabinogalactan in the form of potassium salt is a hygroscopic and thermolabile compound, the briquetting technique (a kind of dry granulation method) was employed to improve the flowability of the tableting mixture and prevention of its separation [36–37].
For the experiments, the model compositions of tablet mixtures were obtained, and their main technological properties were studied (Table 3).
Table 3 – Composition and technological characteristics of tablet mixtures based on sulfated arabinogalactan in the form of potassium salt
Components, technological parameters | Tablet mixtures, wt.% | |||
No. 1 | No. 2 | No. 3 | No. 4 | |
Sulfated arabinogalactan in the form of potassium salt | 47.15 | 61.88 | 73.33 | 82.92 |
Ludipress | 47.15 | 30.94 | 18.34 | 13.27 |
Aerosil | 4.70 | 6.18 | 7.33 | 3.31 |
Calcium stearate | 1.00 | 1.00 | 1.00 | 0.50 |
Flowability, g/s | 5.5±0.2 | 2.6±0.1 | 2.0±0.1 | 1.5±0.1 |
Technological parameters of mixtures after briquetting | ||||
Flowability, g/s | 10.7±0.5 | 6.4±0.3 | 4.6±0.2 | 3.1±0.1 |
Compressibility (breaking strength), N | 44.5±2.2 | 15.0±0.7 | 11.2±0.5 | 9.7±0.4 |
Bulk density before compaction, g/ml | 1.349±0.067 | 1.270±0.063 | 1.215±0.061 | 0.497±0.025 |
Bulk density after compaction, g/ml | 1.448±0.073 | 1.434±0.072 | 1.427±0.071 | 0.646±0.032 |
Hausner index | 1.07 | 1.13 | 1.17 | 1.30 |
Carr index, % | 6.84 | 11.44 | 14.86 | 23.07 |
As Table 3 shows, only tablet mixture No. 1 satisfies the technological requirements of the tableting process, because it has an excellent flowability, an average breaking strength and a very good compressibility [31, 38]. The results obtained confirm the right choice of its optimal composition and technology. Tablet mixtures No. 2 and No. 3 can be used to prepare FDFs for the peroral administration as capsules.
To protect sulfated arabinogalactan in the form of potassium salt from the effects of the atmospheric moisture, an effective film coating for tablets was selected. Hydrophobic polymers or hydrophobic polymers in combination with hydrophilic additives or hydrophilic polymers in combination with hydrophobic additives are most often used as moisture-proof coatings [39]. Such structure-forming moisture-protecting compounds as ethyl cellulose (insoluble in water, but permeable to aqueous solutions) [40] and cetyl alcohol, possessing emulsifying and stabilizing properties, were chosen as film-forming agents [41].
In modern pharmaceutical engineering, finished commercial film-forming compositions (FFCs) are widely used in the form of solutions consisting of a film-forming agent, plasticizer, colorant and solvent taken in the optimum ratio, as well as semi-products in the form of granules (powders). From the latter, a film-forming solution (dispersion) is prepared immediately prior to application using an appropriate solvent [42–45]. From all the nomenclature of FFCs containing ethyl cellulose and cetyl alcohol, Aquacoat ECD film coating was selected for the experimental studies on the protection of tablets from the atmospheric moisture; the tablets were based on sulfated arabinogalactan in the form of potassium salt. This FFC is used as a 30% aqueous dispersion obtained immediately prior to use. The advantage of the specified HPC is the possibility of its application not only for creating a barrier coating (the application in the amount of 1–2% of the tablet weight) but also for maintaining the pH-independent mode of the release (the application in the amount of 8–15% of the tablet weight15. In addition, Aquacoat ECD is compatible with most alcohol- and propyleneglycol-soluble dyes, as well as various types of plasticizers. It promotes the formation of high-resistant, stable, easily dissolvable (in the stomach) coating, giving the tablet a pleasant appearance and effectively protecting the active substance from the atmospheric moisture [46].
The technology for the preparation of a solid pharmaceutical for a peroral administration in the form of film-coated tablets based on sulfated arabinogalactan in the form of potassium salt according to the formulation of the tablet mixture No. 1, was elaborated using Pharmag equipment and a tablet press with one CPR-6 compression station (Fig. 3).
Figure 3 – Fragment of technological scheme for manufacture of “Agsular® film-coated tablets 500 mg”
Note: Ct, Cch are technological and chemical control, respectivel
As a result, biconvex tablets with a diameter of 12 mm of high strength (44.5±2.2 N) were obtained.
Quality evaluation of the tableted FDF
The quality of the tablets obtained was evaluated according to the following parameters: description, authenticity, dosage uniformity, disintegration, dissolution, determination of auxiliaries (aerosil and calcium stearate) and quantitative determination (Table 4).
Table 4 – Quality indicators of tableted FDF based on sulfated arabinogalactan in the form of potassium salt
Key indicators | Methods 12 | Standards | Result |
Description | Visual | Tablets, coated with white or almost white films, round, smooth, biconvex. On a cross section, the core of the tablet is from white to white with a slightly creamy shade. | Compliant |
Authenticity | 1. Polysaccharide fragments. | When a drop of 95% ethyl alcohol is added, the solution becomes cloudy. | Performed |
2. Reaction of metachromasia. | When a 0.005% solution of toluidine blue is added, the color of the dye solution changes from blue to lilac. | Performed | |
3. Potassium ions (reaction B) (GPhM.1.2.2.0001.15) | When diluted acetic acid and sodium cobalt nitrite solution are added, a yellow crystalline precipitate is formed. | Performed | |
Uniformity of dosage | Weight (GPhM.1.4.2.0008.15) | The content of the substance of sulfated arabinogalactan in the form of potassium salt in coated tablets is determined according to method 2. Sample size is 10. First acceptance rate AV ≤15%. | Performed |
Disintegration | Visual (GPhM.1.4.2.0013.15) | At least 16 out of 18 samples should completely disintegrate in 30 minutes; dissolution medium is purified water. | 25.8 min Compliant |
Dissolution | Spectrophotometric (GPhM.1.4.2.0014.15) | Release (not less than 75%) of the substance of sulfated arabinogalactan in the form of potassium salt is within 45 minutes; dissolution medium is purified water. | 94.2% Compliant |
Determination of auxiliaries | Gravimetric (GPhM.1.4.1.0015.15) | The content of aerosil and calcium stearate in film-coated tablets should be from 0.054 g to 0.066 g (0.06 g±10%) and not more than 11% of the average tablet weight (1.082 g) – 0.119 g. | 0.059 g Compliant |
Quantification | Spectrophotometric | Content of the substance of sulfated arabinogalactan in the form of potassium salt in one film-coated tablet should be from 0.475 g to 0.525 g (0.5 g±5%). | 0.496 g Compliant |
According to the studies, the developed solid dosage formulation of FDF for the oral administration in the form of film-coated tablets based on sulfated arabinogalactan in the form of potassium salt, withstands all tests and fully complies with the requirements of the GPhM.1.4.1.0015.15 “Tablets”16.
The data obtained form the basis for the development of regulatory documents and laboratory regulation for the production of “Agsular® film-coated tablets 500 mg”.
Technology for preparation of encapsulated FDF
In order to prepare FDF based on sulfated arabinogalactan in the form of potassium salt in the form of capsules, the granulate, according to the recipes of tablet mixtures No. 1–3, was placed in hard gelatin capsules of size No. 00-1, respectively (Table 5).
Table 5 – Size of capsules for tablet mixtures based on sulfated arabinogalactan in the form of potassium salt, depending on their technological properties
Parameters | Tablet mixtures | ||
No. 1 | No. 2 | No. 3 | |
Average capsule mass contents, g | 1.061 | 0.808 | 0.682 |
Acceptable deviation, % | 7.5 | ||
Flowability, g/s | 10.7±0.5 | 6.4±0.3 | 4.6±0.2 |
Bulk density before compaction, g/ml | 1.349±0.067 | 1.270±0.063 | 1.215±0.061 |
Range of the volume occupied by the granulate, ml | 0.77–0.81 | 0.62–0.66 | 0.55–0.58 |
Size of hard gelatin capsules | 00 | 0 | 0 |
Bulk density after compaction, g/ml | 1.448±0.073 | 1.434±0.072 | 1.427±0.071 |
Volume range occupied by granulate, ml | 0.71–0.75 | 0.55–0.58 | 0.47–0.49 |
Size of hard gelatin capsules | 00 | 0 | 1 |
The elaboration of technology for the preparation of a solid pharmaceutical for the peroral administration in the form of capsules based on sulfated arabinogalactan in the form of potassium salt, was carried out using Pharmag equipment and sets of manual machines for filling hard gelatin capsules (MС-1.2) of the appropriate size. That was due to the forced feeding of the tablet mixture into the capsule and additional pre-pressing of the material, according to the proposed technological scheme (Fig. 4).
Figure 4 – Fragment of the technological scheme for the manufacture of “Agsular® capsules 500 mg”
Note: Ct, Cch are technological and chemical controls, respectively
Quality evaluation of FDF
The finished capsules were controlled according to the developed specification (Table 6). The following quality indicators were investigated: description, authenticity, mass uniformity, dosage uniformity, disintegration, dissolution, determination of auxiliaries (aerosil and calcium stearate), quantitative determination.
Table 6 – Quality indicators of encapsulated FDF based on sulfated arabinogalactan in the form of potassium salt
Key indicators | Methods13 | Standards | Results |
Description | Visual | Hard gelatin capsules No. 1 or 0 or 00 with a white body and a pink lid. The content of the capsules is a compact mass from white to white-creamy. | Compliant |
Authenticity | 1. Polysaccharide fragments. | When a drop of 95% ethyl alcohol is added, the solution becomes cloudy. | Performed |
2. Reaction of metachromasia. | When a 0.005% solution of toluidine blue is added, the color of the dye solution changes from blue to lilac. | Performed | |
3. Potassium ions (reaction B) (GPhM.1.2.2.0001.15) | When diluted acetic acid and sodium cobalt nitrite solution are added, a yellow crystalline precipitate is formed. | Performed | |
Mass uniformity | Weight (GPhM.1.4.2.0009.15) | The average weight of the contents of capsules No. 00 is from 0.981 to 1.141 g (1.061±7.5%). The average weight of the contents of capsules No. 0 is from 0.747 to 0.869 g (0.808±7.5%). The average weight of the contents of capsules No. 1 is from 0.631 to 0.733 g (0.682±7.5%). No more than two individual masses may deviate from the average mass by an amount exceeding the acceptable deviation. In this case, no individual mass should deviate from the average mass by an amount that is twice as high as the acceptable deviation. | Capsules No. 00 – 1.084 g; Capsules No. 0 – 0.798 g; Capsules No. 1 – 0.696 g. Compliant |
Dosage uniformity | Weight (GPhM.1.4.2.0008.15) | The content of sulfated arabinogalactan in the form of potassium salt in capsules is determined according to method 2. The sample size is 10. The first acceptance rate AV ≤15%. | Performed |
Disintegration | Visual (GPhM.1.4.2.0013.15) | At least 16 out of 18 samples should completely disintegrate in 30 minutes; the dissolution medium is purified water | Capsules No. 00 – 27.4 min; Capsules No. 0 – 26.2 min; Capsules No. 1 – 26.6 min; Compliant |
Dissolution | Spectrophotometric (GPhM.1.4.2.0014.15) | The release (not less than 75%) of sulfated arabinogalactan in the form of potassium salt is within 45 minutes; the dissolution medium is purified water. | Capsules No. 00 – 91.8%; Capsules No. 0 – 90.8%; Capsules No. 1 – 91.3%. Compliant |
Determination of auxiliaries | Gravimetric (GPhM.1.4.1.0015.15) | The content of aerosil and calcium stearate in capsules No. 00 should be from 0.054 g to 0.066 g (0.06 g±10%) and not more than 11% of the average weight of the capsule contents (1.061 g) – 0.117 g. The content of aerosil and calcium stearate in capsules No. 0 should be from 0.052 g to 0,.064 g (0.058 g±10%) and not more than 11% of the average weight of the capsule contents (0.808 g) – 0.089 g. The content of aerosil and calcium stearate in capsules No. 1 should be from 0.051 g to 0.063 g (0.057 g±10%) and not more than 11% of the average weight of the capsule contents (0.682 g) – 0.075 g. | Capsules No. 00 – 0.058 g; Capsules No. 0 – 0.057 g; Capsules No. 1 – 0.062 g. Compliant |
Quantitative determination | Spectrophotometric | The content of sulfated arabinogalactan in the form of potassium salt in one capsule should be from 0.475 g to 0.525 g (0.5 g±5%). | Capsules No. 00 – 0.501 g; Capsules No. 0 – 0.511 g; Capsules No. 1 – 0.477 g. Compliant |
According to the experiments, the developed peroral solid dosage formulation of FDF in the form of capsules based on sulfated arabinogalactan in the form of potassium salt withstands all tests and fully complies with the requirements of the GPhM.1.4.1.0005.15 “Capsules”17.
The data obtained form the basis for the development of regulatory documents and laboratory regulation for the production of “Agsular® capsules 500 mg”.
CONCLUSION
In conclusion, the optimum compositions and technology for preparation of solid peroral dosage forms have been experimentally developed on the basis of potassium salt of sulfated arabinogalactan (capsules and coated tablets) for the prevention and treatment of blood vessels atherosclerosis. The data obtained make possible to plan a placebo-controlled clinical trial of the 1st phase.
FUNDING
The work was carried out according to the plans of the scientific research (state task) under the program V.48 “Fundamental physico-chemical studies of physiological processes mechanisms and the creation of pharmacological substances and dosage forms on their basis for the treatment and prevention of socially significant diseases” (2013-2020) according to Project V.48.1.2 “Search for new biologically active substances based on the biomass of coniferous species of Siberia and the Far East, screening of the biological activity of promising compounds. Development of technologies for obtaining natural substances and determination of their practical significance”.
CONFLICTS OF INTEREST
Authors declare no conflicts of interest.
AUTHORS’ CONTRIBUTION
Yana A. Kostyro – experimental work execution, research results processing, text writing; Konstantin V. Alekseev – concept and design of the study development, management of experimental work, text editing.
1 Ryzhenkov VE, Makarov VG, Remezova OV, Makarova MN. Metodicheskie rekomendacii po izucheniyu gipolipidemicheskogo i antiskleroticheskogo dejstviya lekarstvennyh sredstv. [Methodical recommendations for the study of hypolipidemic and antisclerotic action of drugs]. In: Vol. 1, Rukovodstvo po provedeniyu doklinicheskih issledovanij lekarstvennyh sredstv. [Guidelines for conducting preclinical studies of drugs]. Moscow: Grif and K; 2012. p. 445–452. Russian
2 State Register of Medicines of the Russian Federation. Available from: http://grls.rosminzdrav.ru/Default.aspx
3 Yakovlev VB, Zolotukhin SI. Great Medical Encyclopedia. Moscow: Soviet encyclopedia. 1981; 17: 392. Russian
4 A.E. Favorsky Irkutsk Institute of Chemistry Siberian Branch of the Russian Academy of Sciences, assignee. Agsular®. Russian Federation trademark No. 398618. 2010 Jan 19. Russian
5 State Pharmacopoeia of the Russian Federation XIV ed., Vol. I–IV. Available from: http://femb.ru/pharmacopea.php
6 Ibid.
7 Ibid.
8 Ibid.
9 Ibid.
10 Ibid.
11 Ibid.
12 Ibid.
13 Ibid.
14 Ludipress® – Enabling efficient direct tabletting. Available from: http://www.pharmaceutical.basf.com/en/Drug-Formulation/Ludipress.html
15 Aquacoat ECD – Aqueous Dispersion Coating System. Available from: http://www.zhion.com/pharmaceutics/Aquacoat_ECD.html
16 State Pharmacopoeia of the Russian Federation XIV ed., Vol. I–IV. Available from: http://femb.ru/pharmacopea.php
17 Ibid.
About the authors
Yana A. Kostyro
Federal State Budget Institution for Science “A.E. Favorsky Irkutsk Institute of Chemistry Siberian Branch of the Russian Academy of Sciences”
Author for correspondence.
Email: yanakos@irioch.irk.ru
ORCID iD: 0000-0003-2660-4796
Candidate of Sciences (Pharmacy), Senior Researcher of the pharmaceutical development group
Russian Federation, 1, Favorsky St., Irkutsk, Russia, 664033Konstantin V. Alekseev
Federal State Budgetary Institution “Research Zakusov Institute of pharmacology”
Email: alekseev@academpharm.ru
ORCID iD: 0000-0002-8350-2158
Doctor of Sciences (Pharmacy), Professor, Chief Researcher of the Laboratory of finished dosage forms
Russian Federation, 8, Baltyskaya St., Moscow, Russia, 125315References
- Kumar N, Bentolila A, Domb AJ. Structure and biological activity of heparinoid. Mini Reviews in Medicinal Chemistry. 2005; 5 (5): 441–7. doi: 10.2174/1389557053765538.
- Borai IH, Ezz MK, Rizk MZ, El-Sherbiny M, Matloub AA, Aly HF, Farrag AR, Fouad GI. Hypolipidemic and anti-atherogenic effect of sulphated polysaccharides from the green alga Ulva fasciata. Int J Pharm Sci Rev Res. 2015; 31 (1): 1–12.
- Park J, Yeom M, Hahm D-H. Fucoidan improves serum lipid levels and atherosclerosis through hepatic SREBP-2-mediated regulation. J Pharmacol Sci. 2016; 131 (2): 84–92. doi: 10.1016/j.jphs.2016. 03.007.
- Rizk MZ. The anti-hypercholesterolemic effect of ulvan polysaccharide extracted from the green alga Ulva fasciata on aged hypercholesterolemic rats. Asian J Pharm Clin Res. 2016; 9 (3): 165–76.
- Yokota T, Nomura K, Nagashima M, Kamimura N. Fucoidan alleviates high-fat diet-induced dyslipidemia and atherosclerosis in ApoE(shl) mice deficient in apolipoprotein E expression. J Nutr Biochem. 2016; 32: 46–54. doi: 10.1016/j.jnutbio.2016.01.011.
- Deniaud-Bouët E, Hardouin K, Potin P, Kloareg B, Hervé C. A review about brown algal cell walls and fucose-containing sulfated polysaccharides: cell wall context, biomedical properties and key research challenges. Carbohydr Polym. 2017; 175: 395–408. doi: 10.1016/j.carbpol.2017.07.082.
- Li W, Wang K, Jiang N, Liu X, Wan M, Chang X, Liu D, Qi H, Liu Sh. Antioxidant and antihyperlipidemic activities of purified polysaccharides from Ulva pertusa. J Appl Phycol. 2018; 30: 2619–27. doi: 10.1007/s10811-018-1475-5.
- Yulis K, Hakim B, Rosidah R. Effect of sodium alginate on prevention of hypercholesterolemia and atherosclerosis in rats. Asian J Pharm Clin Res. 2018; 11 (6): 242–7. doi: 10.22159/ajpcr.2018.v11i6.24768.
- Barkagan ZS, Momot AP. Osnovy diagnostiki narushenii gemostaza. [Foundations of diagnostics of homeostasis disturbance]. Moscow: Nyudiamed AO. 2000: 42–56. Russian
- Masola V, Zaza G, Onisto M, Lupo A, Gambaro G. Glycosaminoglycans, proteoglycans and sulodexide and the endothelium: biological roles and pharmacological effects. Int Angiol. 2014; 33 (3): 243–54.
- Xin M, Ren L, Sun Ya, Li H-h. Guan H.-Sh, He X-X, Li Ch-X. Anticoagulant and antithrombotic activities of low-molecular-weight propylene glycol alginate sodium sulfate (PSS). Eur J Med Chem. 2016; 114: 33–40. doi: 10.1016/j.ejmech.2016.02.063.
- Patil NP, Le V, Sligar AD, Mei L, Chavarria D. Yang EY, Baker AB. Algal polysaccharides as therapeutic agents for atherosclerosis. Front Cardiovasc Med. 2018; 5: 1–18. doi: 10.3389/fcvm.2018.00153.
- Braga WF, Aguilar EC, Alvarez-Leite JaI. Fucoidans as a potential nutraceutical in combating atherosclerotic cardiovascular diseases. Biomed J Sci & Tech Res. 2019; 21 (Issue 3): 15953–8. doi: 10.26717/BJSTR.2019.21.003616.
- Coccheri S, Mannello F. Development and use of sulodexide in vascular diseases: implications for treatment. Drug Des Devel Ther. 2014; 8: 49–65. doi: 10.2147/DDDT.S6762.
- Hoppensteadt DA, Fareed J. Pharmacological profile of sulodexide. Int Angiol. 2014; 33 (Issue 3): 229–35.
- Condorelli M, Chiariello M, Dagianti A, Penco M, Dalla Volta S, Pengo V, Schivazappa L, Mattioli G, Mattioli AV, Brusoni B, Trotta E, Bingamini A. IPO-V2: A prospective, multicenter, randomized, comparative clinical investigation of the effects of sulodexide in preventing cardiovascular accidents in the first year after acute myocardial infarction. J Am Coll Cardiol. 1994; 23 (Issue 1): 27–34. doi: 10.1016/0735-1097(94)90498-7.
- Coccheri S, Scondotto G, Agnelli G, Palazzini E, Zamboni V. Sulodexide in the treatment of intermittent claudication. Results of a randomized, double-blind, multicentre, placebo-controlled study. Eur Heart J. 2002; 23 (13): 1057–65. doi: 10.1053/euhj.2001.3033.
- Chupin AV, Katorkin SE, Katelnitsky II, Katelnitskaya OV, Prostov II, Petrikov AS, Koshevoi AP, Lyudkova LF. Sulodexide in the treatment of chronic venous insufficiency: results of the All-Russian multicenter ACVEDUCT program. Adv Ther. 2020; 37 (Issue 5): 2071–82. doi: 10.1007/s12325-020-01270-9.
- Kostyro YaA, Kovalskaya GN, Silizertseva OA, Ilyina OP. Eksperimental’naya farmakokinetika sul’fatirovannogo arabinogalaktana pri razlichnyh putyah vvedeniya. [Experimental pharmacokinetics of sulfated arabinogalactan for various routes of administration]. Farmaciya. = Pharmacy. 2008; 1: 45-6. Russian
- Kostyro YaA, Stankevich VK, Trofimov BA, inventors; Federal’noe gosudarstvennoe bjudzhetnoe uchrezhdenie nauki Irkutskij institut khimii im. A.E. Favorskogo Sibirskogo otdelenija Rossijskoj akademii nauk [Federal State Budget Institution for Science “A.E. Favorsky Irkutsk Institute of Chemistry Siberian Branch of the Russian Academy of Sciences”], assignee. Sposob polucheniya sul’fatirovannyh proizvodnyh arabinogalaktana, obladayushchih antikoagulyantnoj i gipolipidemicheskoj aktivnost’yu [Method of obtaining sulfated derivatives of arabinogalactan with anticoagulant and hypolipidemic activity]. Russian Federation patent RU 2532915. 2014 Nov 20. Russian
- Kostyro YaA, Stankevich VK. New approach to the synthesis of an active substance of Agsular® pharmaceutical for the prevention and treatment of atherosclerosis. Russ Chem Bull. (Int Ed) 2015; 64 (Issue 7): 1576–80. doi: 10.1007/s11172-015-1044-x.
- Kostyro YaA, Kolbasov SE. Issledovanie bezopasnosti substancii Agsular®. [Investigation of the safety of the Agsular® substance]. Eksperimental’naya i klinicheskaya farmakologiya. = Experimental and clinical pharmacology. 2017; 80 (S6): 17. (in Russian)
- Kostyro YaA, Kostyro VV. Issledovanie farmakologicheskoj aktivnosti substancii Agsular®. [Study of the pharmacological activity of the Agsular® substance]. Eksperimental’naya i klinicheskaya farmakologiya. [Experimental and clinical pharmacology]. 2018; 81 (S): 124. doi: 10.30906/0869-2092-2018-81-5s-1-306. Russian
- Menshutina NV, Mishina YuV, Alves SV. Innovacionnye tekhnologii i oborudovanie farmacevticheskogo proizvodstva. [Innovative technologies and equipment for pharmaceutical production]. Moscow: BINOM; 2012: 328. Russian
- Alqahtani MS, Kazi M, Alsenaidy MA, Ahmad MZ. Advances in Oral Drug Delivery. Front Pharmacol. 2021; 12: 1–21. doi: 10.3389/fphar.2021.618411.
- Walter MB, Tyutenkov OL, Philippin NA. Postadijnyj kontrol’ v proizvodstve tabletok. [Step-by-step control in the production of tablets]. Moscow: Medicine. 1982: 208. Russian
- Hausner HH. Friction conditions in a mass of metal powder. Int J Powder Metall. 1967; 3: 7-13.
- Carr RL. Evaluating flow properties of solids. Chem Eng. 1965; 72: 163–8.
- Iqubal MK, Singh PK, Shuaib M, Iqubal A, Singh M. Recent advances in direct compression technique for pharmaceutical tablet formulation. Int J Pharm Res & Devel. 2014; 6 (Issue 1): 49–57.
- Basov NI, Lyubartovich VA, Lyubartovich SA. Kontrol’ kachestva polimernyh materialov. [Quality control of polymer materials]. Leningrad: Chemistry. 1990: 112. Russian
- Makhkamov SM. Osnovy tabletochnogo proizvodstva. [Basics of tablet production]. Tashkent: FAN. 2004: 148. Russian
- Cain J. An alternative technique for determining ANSI/CEMA standard 550 flowability ratings for granular materials. Powder Hand Proc. 2002; 14 (Issue 3): 218–20.
- Ogata K. A review: recent progress on evaluation of flowability and floodability of powder. KONA Powder and Particle Journal. 2019; 36: 33–49. doi: 10.14356/kona.2019002.
- Kostyro YaA, Kovalskaya GN, Sukhoterina NV, Turetskova VF. Tabletirovannaya lekarstvennaya forma preparata AGSK. [Tablet dosage form of AGSK]. In: Chuchalin AG, Belousov YuB, editors. Chelovek i lekarstvo. [Man and Medicine]. XV Russian National Congress; 2008 Apr 14–18; Moscow, Russian Federation. Moscow: RITS CJSC “Man and Medicine”. 2008: 643 p. Russian
- Schmidt PC, Rubensdörfer CJW. Evaluation of Ludipress as a “Multipurpose Excipeent” for direct compression: Part I: Powder characteristics and tableting properties. Drug Development and Industrial Pharmacy. 1994; 20 (Issue 18): 2899–25. doi: 10.3109/03639049409042687.
- Sridevi G, Korangi V, Latha SM. Review on a novel approach in recent advances of granulation techniques and technologies. Research J Pharm And Tech. 2017; 10 (Issue 2): 607–17. doi: 10.5958/0974-360X.2017.00119.6.
- Patil LP, Rawal VP. Review article on granulation process with novel technology: an overview. Indian Journal of Applied Research. 2017; 7 (Issue 6): 90–3. doi: 10.36106/ijar.
- Aulton ME. Pharmaceutics: The Science of Dosage Form Design. Edinburgh: Churchill Livingstone. 2004: 679 p.
- Mogilyuk V. Funkcional’nye plenochnye pokrytiya i prakticheskie aspekty ih primeneniya. [Functional film coatings and practical aspects of their application]. Farmacevticheskaya otrasl’ = Pharmaceutical industry. 2016; 1: 52–65.
- Wasilewska K, Winnicka K. Ethylcellulose – a pharmaceutical excipient with multidirectional application in drug dosage forms development. Materials. 2019;12: 1–21. doi: 10.3390/ma12203386.
- Sepulveda E, Kildsig DO, Ghaly ES. Relationship between internal phase volume and emulsion stability: the cetyl alcohol / stearyl alcohol system. Pharm Devel Tech. 2003; 8 (Issue 3): 263–75. doi: 10.1081/PDT-120022155.
- Porter SC. Preventing film coating problems through design. Pharmaceutical Technology. 2016; 28 (Issue 2): 43–6.
- Himaja V, Sai KO, Karthikeyan R, Srinivasa BP. A comprehensive review on tablet coating. Austin Pharmacol Pharm. 2016; 1 (Issue 1): 1–8.
- Elder D. Design, formulation and manufacture of film-coated drug products. Eur Pharm Rev. 2017; 22 (Issue 5): 37–40.
- Zaid AN. A comprehensive review on pharmaceutical film coating: past, present, and future. Drug Design, Development and Therapy. 2020; 14: 4613–23. doi: 10.2147/DDDT.S277439.
- Amelian A, Winnicka K. Polymers in pharmaceutical taste masking applications. Polimery. 2017; 62 (6): 419–27. doi: 10.14314/polimery.2017.419.
Supplementary files







