Особенности количественной оценки содержания флавоноидов в препаратах коры ореха черного
- Авторы: Куркин В.А.1, Зименкина Н.И.1
-
Учреждения:
- Федеральное государственное бюджетное образовательное учреждение высшего образования «Самарский государственный медицинский университет» Министерства здравоохранения
- Выпуск: Том 10, № 1 (2022)
- Страницы: 31-43
- Раздел: Статьи
- URL: https://journals.eco-vector.com/2307-9266/article/view/111718
- DOI: https://doi.org/10.19163/2307-9266-2022-10-1-31-43
- ID: 111718
Цитировать
Аннотация
Цель. Разработка методик количественного определения флавоноидов в препаратах коры ореха черного с помощью современных инструментальных методов анализа (спектрофотометрия, микроколоночная высокоэффективная жидкостная хроматография).
Материалы и методы. Объектами исследования являлись настойка и сухой экстракт коры ореха черного (Juglans nigra L.), образцы которой были заготовлены в марте-апреле 2020 года на территории Ботанического сада ФГБОУ ВО СамГМУ Минздрава России (г. Самара); стандартные образцы мирицитрина, мирицетина. Регистрацию УФ-спектров проводили с помощью спектрофотометра «Specord®40» (Analytik Jena, Германия) методом дифференциальной спектрофотометрии. Хроматографический анализ осуществляли методом обращенно-фазовой ВЭЖХ на микроколоночном жидкостном хроматографе «Милихром-6» (НПАО «Научприбор», Россия).
Результаты. Разработана методика количественного определения суммы флавоноидов в пересчете на мирицитрин в настойке и сухом экстракте коры ореха черного (Juglans nigra L.) с помощью метода дифференциальной спектрофотометрии. Установлено, что содержание суммы флавоноидов в настойке и сухом экстракте коры ореха черного составляет 0,84±0,07% и 12,38±0,24% (в пересчете на мирицитрин) соответственно. Ошибка единичного определения суммы флавоноидов в пересчете на мирицитрин в настойке и сухом экстракте коры ореха черного с доверительной вероятностью 95% составляет ±8,34% и ±2,10% соответственно.
Разработана методика количественного определения мирицитрина в настойке и сухом экстракте коры ореха черного (Juglans nigra L.) методом ВЭЖХ. Содержание доминирующего флавоноида – мирицитрина (мирицетин-3-O-α-L-рамнопиранозид) в настойке и сухом экстракте коры ореха черного составляет 0,42±0,03% и 8,45±0,24% соответственно. Ошибка единичного определения мирицитрина в настойке и сухом экстракте коры ореха черного с доверительной вероятностью 95% составляет ±7,14% и ±2,96% соответственно.
Заключение. Разработанные методики количественного определения флавоноидов в настойке и сухом экстракте коры ореха черного могут быть использованы для решения вопросов стандартизации препаратов указанного лекарственного растительного сырья.
Список сокращений: ЛРС – лекарственное растительное сырье; ЛРП – лекарственный растительный препарат; ВЭЖХ – высокоэффективная жидкостная хроматография; СО – стандартный образец.
Ключевые слова
Полный текст
ВВЕДЕНИЕ
В настоящее время поиск новых лекарственных препаратов, в том числе и растительного происхождения, обладающих высоким содержанием биологически активных соединений и достаточной фармакологической активностью, является актуальным направлением в фармации. Как известно, лекарственные растения видов рода Орех (Juglans L.) семейства Juglandaceae обладают указанными особенностями, и, следовательно, являются перспективными видами лекарственного растительного сырья для применения в медицинской практике. Представители рода орех являются потенциальными источниками важного класса биологически активных соединений – нафтохинонов [1–4]. В основном на территории Российской Федерации культивируется около восьми видов растений рода Juglans, но представляющими интерес являются орех черный (Juglans nigra L.), орех грецкий (Juglans regia L.) и орех серый (Juglans cinerea L.) [5].
Перспективным объектом лекарственного растительного сырья (ЛРС) для изготовления новых лекарственных растительных препаратов (ЛРП) может служить кора ореха черного (Juglans nigra L.) [6, 7]. В соответствии с проведенными ранее исследованиями установлено, что кора ореха черного содержит, кроме различных производных нафтохинона, являющихся ведущей группой биологически активных соединений, другие химические вещества: азотистые вещества, тритерпены и фенольные соединения, в том числе флавоноиды [8–13]. Разнообразие химического состава, в том числе наличие большого числа фенольных соединений обуславливают широкий спектр фармакологической активности представителей рода Орех (ореха грецкого, ореха черного и ореха серого) [14–18]. Известная антимикробная, общеукрепляющая, противовоспалительная и антиоксидантная активность присутствующих на фармацевтическом рынке препаратов ореха, на наш взгляд, может быть обусловлена веществами флавоноидной природы [19–23]. Данные сведения доказывают актуальность изучения флавоноидов коры ореха черного, а также препаратов на основе данного ЛРС.
Несмотря на то, что стандартизация коры и препаратов коры ореха черного проводится по содержанию нафтохинонов (в пересчете на юглон), установлено, что доминирующим и диагностически значимым соединением является флавоноид мирицитрин (мирицетин-3-O-α-L-рамнопиранозид), для которого выявлены противовоспалительное, антиноцицептивное и нейротропное действие [24–26]. Следовательно, препараты коры ореха черного являются перспективными для дальнейшего изучения не только в области фармакологии, но и в срезе контроля их качества [27–30].
ЦЕЛЬ. Применение методов УФ-спектрофотометрии и микроколоночной высокоэффективной жидкостной хроматографии (ВЭЖХ) для контроля содержания флавоноидов, а также анализ содержания суммы флавоноидов (УФ-спектрофотометрия) и мирицитрина (ВЭЖХ) в полученных настойке и сухом экстракте коры ореха черного.
МАТЕРИАЛЫ И МЕТОДЫ
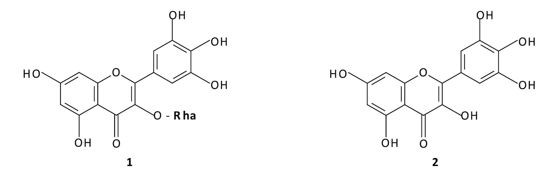
В качестве объектов исследования использовали настойку и сухой экстракт коры ореха черного, образцы которой были заготовлены в марте-апреле 2020 года на территории Ботанического сада Самарского государственного университета (г. Самара). Анализировали настойку и сухой экстракт коры ореха черного с использованием стандартных образцов (СО) мирицитрина и мирицетина (рис. 1) методом УФ-спекторофотометрии и ВЭЖХ.
Рисунок 1 – Структурные формулы мирицитрина (1) и мирицетина (2).
В работе использовали ацетонитрил для ВЭЖХ, уксусную кислоту х.ч. (ООО «Компонент-реактив», Россия), воду, полученную с использованием системы для получения воды очищенной с многоступенчатой системой очистки (адсорбция, обратный осмос, мембранное фильтрование) и проверенную на чистоту в условиях хроматографического анализа.
Регистрацию УФ-спектров проводили с помощью спектрофотометра «Specord 40» (Analytik Jena, Германия). Спектральные характеристики стандартных образцов мирицитрина и мирицетина представлены ниже.
Мирицитрин (мирицетин-3-O-α-L-рамнопиранозид). Желтое с кремовым оттенком кристаллическое вещество с т.пл. 203–205oС (водный спирт)1, УФ-спектр (EtOH, λ max, нм): 212, 260, 358; + NaOAc 268, 366; + NaOAc + H3BO3 260, 382; +АlСl3 278, 416; +АlСl3 + HCl 270, 406. 1Н-ЯМР-спектр (300 МГц, DMSO-d6, δ, м.д., J/Гц): 12.68 (1H, с, 5-ОН-группа), 9.23 (2Н, уш. с, 7-ОН-группа и 4’-ОН-группа), 6.88 (2Н, с, Н-2’ и Н-6’), 6.36 (1Н, д, 2.5 Гц, Н-8), 6.19 (1Н, д, 2.5 Гц, Н-6), 5.20 (1Н, д, 1.5 Гц, Н-1’’ рамнозы), 3.1-5.0 (м, 4Н рамнозы), 0.84 (3Н, д, 6 Гц, СН3 рамнозы).
13С-ЯМР спектр (126.76 МГц, DMSO-d6, δС, м.д.): С-4 (177.85), С-7 (164.24), С-5 (161.37), С-4’(157.57), С-9 (156.49), С-2 и C-3 (145.83), С-3’ и С-5’ (145.83), С-1’ (119.70), С-2’ и C-6’ (108.00), С-10 (104.12), С-1’’ рамнозы (102.00), С-6 (98.41), С-8 (94.30), С-2’ (116.21), С-3’’ (71.03), С-5’’ (70.62), С-4’’ (70.47), С-2’’ (70.08), С-6’’ (СН3) (17.57).
Масс-спектр (HR-ESI-MS, 180оС, m/z): m/z 465.1016 [M+H]+, m/z 487.0830 [M+Na]+, m/z 503.0560 [M+K]+.
Мирицетин (3,5,7,3’,4’,5’-гексагидроксифлавон). Желтовато-зеленое кристаллическое вещество с т.пл. 357oС (водный спирт), УФ-спектр (EtOH, λmax, нм): 254, 377; + NaOAc 275, 382; + NaOAc + H3BO3 258, 392; +А1С13 266, 440; +А1С13 + HCl 266, 440.
1Н-ЯМР-спектр (399.78 МГц, DMSO-d6, δ, м.д., J/Гц): 12.45 (1H, с, 5-ОН-группа), 10.73 (1Н с, 7-ОН-группа), 9.28 (1Н, с, 4’-ОН-группа), 9.17 (2Н, с, 3’-ОН-группа и 5’-ОН-группа), 8.75 (1Н, с, 3-ОН-группа), 7.20 (2Н, с, Н-2’ и Н-6’), 6.32 (1Н, д, 2.2 Гц, Н-8), 6.14 (1Н, д, 2.2 Гц, Н-6).
13С-ЯМР спектр (100.52 МГц, DМSО-d6, δС, м.д.): С-4 (176.29), С-7 (164.39), С-5 (161.25), С-9 (156.59), С-4’ (147.36), С-3’ и С-5’ (146.23), С-2 и C-3 (136.38), С-1’ (121.30), С-2’ иC-6’ (107.68), С-10 (103.49), С-8 (93.71), С-6 (98.67).
Исходя из спектральных данных, поскольку доминирующий флавоноид мирицитрин имеет в длинноволновой области электронного спектра максимум поглощения при 360±2 нм, нами была выбрана длина волны 360 нм для детекции анализируемых веществ при проведении ВЭЖХ-анализа.
Приготовление рабочих растворов для анализа методом УФ-спектрофотометрии
Настойку коры ореха черного получали из коры ореха черного с помощью этилового спирта 70% в соотношении «сырье-экстрагент» 1:5 с применением метода дробной мацерации. Часть жидкого экстракта коры ореха черного 1:1 была использована для получения густого экстракта, а затем и анализируемого сухого экстракта коры ореха черного. Путем удаления экстрагента из жидкого экстракта под вакуумом получали густой экстракт, который в дальнейшем высушивали в сушильном шкафу до получения сухого экстракта (выход 18%).
Пробоподготовка для настойки коры ореха черного. Настойку коры ореха черного в количестве 1 мл помещали в мерную колбу вместимостью 25 мл, доводили объем раствора до метки спиртом этиловым 70% (испытуемый раствор А1). Затем 1 мл испытуемого раствора А1 помещали в мерную колбу вместимостью 50 мл, прибавляли 2 мл спиртового раствора алюминия хлорида 3% и доводили объем раствора до метки спиртом этиловым 96% (испытуемый раствор Б1). В качестве раствора сравнения использовали раствор, полученный по следующей методике: 1 мл испытуемого раствора А помещали в мерную колбу вместимостью 50 мл и доводили объем раствора спиртом этиловым 96% до метки.
Пробоподготовка для сухого экстракта коры ореха черного. Около 0,2 г сухого экстракта коры ореха черного (точная навеска) помещали в мерную колбу вместимостью 25 мл, растворяли в 15 мл спирта этилового 70% при нагревании на водяной бане и доводили объем раствора до метки тем же растворителем (испытуемый раствор А2). Затем 1 мл испытуемого раствора А2 помещали в мерную колбу вместимостью 50 мл, прибавляли 2 мл спиртового раствора алюминия хлорида 3% и доводили объем раствора до метки спиртом этиловым 96% (испытуемый раствор Б2). В качестве раствора сравнения использовали раствор, полученный по следующей методике: 1 мл испытуемого раствора А2 помещали в мерную колбу вместимостью 50 мл и доводили объем раствора спиртом этиловым 96% до метки.
Приготовление стандартного раствора мирицитрина для УФ-спектрофотометрии. Около 0,0025 г (точная навеска) предварительно высушенного мирицитрина (содержание основного вещества ≥98%) помещали в мерную колбу вместимостью 25 мл, растворяли в 15 мл спирта этилового 80% при нагревании на водяной бане. После охлаждения содержимого колбы до комнатной температуры доводили объем раствора тем же растворителем до метки (раствор А3 мирицитрина). Затем 5 мл раствора А3 мирицитрина помещали в мерную колбу вместимостью 25 мл, прибавляли 2 мл спиртового раствора алюминия хлорида 3% и доводили объем раствора до метки спиртом этиловым 96% (испытуемый раствор Б3 мирицитрина).
Методика количественного определения суммы флавоноидов в настойке коры ореха черного
Около 1,00 мл настойки коры ореха черного (точная навеска) помещали в мерную колбу вместимостью 25 мл, доводили объем раствора до метки спиртом этиловым 70% (испытуемый раствор А1). Затем 1 мл испытуемого раствора А1 помещают в мерную колбу вместимостью 50 мл, прибавляли 2 мл спиртового раствора алюминия хлорида 3% и доводили объем раствора до метки спиртом этиловым 96% (испытуемый раствор Б1). В качестве раствора сравнения использовали раствор, полученный по следующей методике: 1 мл испытуемого раствора А1 помещали в мерную колбу вместимостью 50 мл и доводили объем спиртом этиловым 96% до метки.
Содержание суммы флавоноидов в пересчете на мирицитрин и абсолютно сухое сырье в процентах (X) вычисляют по формуле:
где: A – оптическая плотность испытуемого раствора; Ao – оптическая плотность раствора СО мирицитрина; V – объем настойки, взятой для анализа, мл; mо – масса СО мирицитрина, г.
В случае отсутствия стандартного образца мирицитрина целесообразно использовать теоретическое значение удельного показателя поглощения – 432 при длине волны 416 нм.
где: A – оптическая плотность испытуемого раствора; V – объем настойки, взятой для анализа, мл; 432 – удельный показатель поглощения () мирицитрина при 416 нм.
Методика количественного определения суммы флавоноидов в сухом экстракте коры ореха черного
Около 0,2 г сухого экстракта коры ореха черного (точная навеска) помещали в мерную колбу вместимостью 25 мл, растворяли в 15 мл спирта этилового 70% при нагревании на водяной бане и доводили объем раствора до метки тем же растворителем (испытуемый раствор А2). Затем 1 мл испытуемого раствора А2 помещали в мерную колбу вместимостью 50 мл, прибавляли 2 мл спиртового раствора алюминия хлорида 3% и доводили объем раствора до метки спиртом этиловым 96% (испытуемый раствор Б2). В качестве раствора сравнения использовали раствор, полученный следующим образом: 1 мл испытуемого раствора А2 помещают в мерную колбу вместимостью 50 мл и доводят объем раствора спиртом этиловым 96% до метки.
Содержание суммы флавоноидов в пересчете на мирицитрин и абсолютно сухое сырье в процентах (X) вычисляют по формуле:
где: A – оптическая плотность испытуемого раствора; Ao – оптическая плотность раствора СО мирицитрина; m – масса сухого экстракта, г; mо – масса СО мирицитрина, г.
В случае отсутствия стандартного образца мирицитрина целесообразно использовать теоретическое значение удельного показателя поглощения – 432 при длине волны 416 нм.
где: A – оптическая плотность испытуемого раствора; m – масса сухого экстракта, г; 432 – удельный показатель поглощения () мирицитрина при 416 нм.
Приготовление рабочих растворов для анализа методом ВЭЖХ
Пробоподготовка для настойки коры ореха черного. Настойку коры ореха черного в количестве 5 мл помещали в мерную колбу вместимостью 25 мл, доводили объем раствора до метки спиртом этиловым 96% (испытуемый раствор А4). Испытуемый раствор А4 предварительно фильтровали через мембранный фильтр Milipore (0,45 мкм).
Пробоподготовка для сухого экстракта коры ореха черного. Около 0,2 г сухого экстракта коры ореха черного (точная навеска) помещали в мерную колбу вместимостью 25 мл, растворяли в 15 мл спирта этилового 70% при нагревании на водяной бане и доводили объем раствора до метки тем же растворителем (испытуемый раствор А5). Затем 5 мл испытуемого раствора А5 помещали в мерную колбу вместимостью 25 мл, доводили объем раствора до метки спиртом этиловым 96% (испытуемый раствор Б5). Испытуемый раствор Б5 предварительно фильтровали через мембранный фильтр Milipore (0,45 мкм).
Приготовление стандартного раствора мирицитрина для ВЭЖХ. Около 0,02 г (точная навеска) предварительно высушенного мирицитрина (содержание основного вещества ≥98%) переносили в мерную колбу вместимостью 50 мл, растворяли в спирте этиловом 70% и доводили объем раствора до метки тем же растворителем.
Приготовление стандартного раствора мирицетина для ВЭЖХ. Около 0,02 г (точная навеска) предварительно высушенного мирицетина (содержание основного вещества ≥98%) переносили в мерную колбу вместимостью 50 мл, растворяли в спирте этиловом 70% и доводили объем раствора до метки тем же растворителем.
Условия хроматографического разделения
Хроматографический анализ осуществляли методом обращенно-фазовой ВЭЖХ на микроколоночном жидкостном хроматографе «Милихром-6» (НПАО «Научприбор», Россия) в следующих условиях: изократический режим; колонка стальная «КАХ-6-80-4» (№2; 2 мм × 80 мм; Сепарон-C18 7 мкм); подвижная фаза ацетонитрил : раствор уксусной кислоты 1% в воде в соотношении 2:8; скорость элюирования – 100 мкл/мин; объем элюента – 2500 мкл. Детекцию веществ осуществляли при длине волны 360 нм. Объемы инжектируемых проб: 4 мкл (настойка и сухой экстракт коры ореха черного, мирицитрин, мирицетин).
Оценка пригодности хроматографической системы
Для оценки пригодности разработанной хроматографической системы проводили 5-кратное хроматографирование испытуемого раствора настойки коры ореха черного. Далее рассчитывали показатели: эффективность колонки, разрешение между пиками, фактор асимметрии. На основании расчетов были получены следующие результаты (табл. 1).
Таблица 1 – Определение пригодности разработанной хроматографической системы
Параметры хроматографической колонки | Значение | Нормативный показатель |
Эффективность колонки | 5115 | Не менее 2000 теоретических тарелок |
Разрешение между пиками | 1,65 | Не менее 1,5 |
Фактор асимметрии | 1,35 | Не более 1,5 |
Методика количественного определения мирицитрина в настойке коры ореха черного
Около 5,00 мл настойки коры ореха черного помещали в мерную колбу вместимостью 25 мл, доводили объем раствора до метки спиртом этиловым 96% (испытуемый раствор А4). Испытуемый раствор А4 предварительно фильтровали через мембранный фильтр Milipore (0,45 мкм).
В жидкостной хроматограф «Милихром-6» (НПАО «Научприбор») с УФ-детектором вводили 4 мкл полученного раствора. Хроматографировали в условиях обращенно-фазовой хроматографии в изократическом режиме на стальной колонке «КАХ-6-80-4» (№2; 2 мм × 80 мм; Сепарон-C18 7 мкм), элюентная система ацетонитрил – вода в соотношении 2:8 с добавлением 1% уксусной кислоты, скорость элюирования – 100 мкл/мин, объем элюента – 2500 мкл. Рабочая длина волны 360 нм, диапазон чувствительности 0,5.
Параллельно 4 мкл СО мирицитрина вводили в хроматограф и хроматографировали, как описано выше. Проводили не менее 3 параллельных определений для испытуемого раствора настойки и стандартного растворов мирицитрина вводили в хроматограф и хроматографировали, как описано выше. Идентифицируют пик мирицитрина на хроматограммах испытуемого раствора. Вычисляли среднюю площадь пика мирицитрина на хроматограммах раствора СО мирицитрина и испытуемого раствора по результатам 3 определений.
Содержание мирицитрина в настойке коры ореха черного в пересчете на абсолютно сухое сырье в процентах (X) вычисляли по формуле:
где: S – среднее значение площади пика мирицитрина на хроматограмме испытуемого раствора; S0 – среднее значение площади пика мирицитрина на хроматограмме стандартного раствора; V – объем испытуемого образца, мл; V1 – объем вводимой пробы раствора испытуемого образца, мкл; V0 – объем раствора СО мирицитрина, мл; V2 – объем вводимой пробы раствора СО мирицитрина, мкл; Vн – объем настойки, взятой для анализа, мл; m0 – масса СО мирицитрина, г; 0,98 – содержание основного вещества в 1,0 г СО мирицитрина.
Методика количественного определения мирицитрина в сухом экстракте коры ореха черного
Около 0,2 г (точная навеска) сухого экстракта коры ореха черного помещали в мерную колбу вместимостью 25 мл, растворяли в 15 мл спирта этилового 70% при нагревании на водяной бане и доводили объем раствора до метки тем же растворителем (испытуемый раствор А5). 5 мл испытуемого раствора А5 помещали в мерную колбу вместимостью 25 мл, доводили объем раствора до метки спиртом этиловым 96% (испытуемый раствор Б5). Испытуемый раствор Б5 предварительно фильтровали через мембранный фильтр Milipore (0,45 мкм). В жидкостной хроматограф «Милихром-6» (НПАО «Научприбор», Россия) с УФ-детектором вводили 4 мкл полученного раствора. Хроматографируют в условиях обращенно-фазовой хроматографии в изократическом режиме на стальной колонке «КАХ-6-80-4» (№2; 2 мм × 80 мм; Сепарон-C18 7 мкм), элюентная система ацетонитрил – вода в соотношении 2:8 с добавлением уксусной кислоты 1%, скорость элюирования – 100 мкл/мин, объем элюента – 2500 мкл. Рабочая длина волны 360 нм, диапазон чувствительности 0,5.
Параллельно 4 мкл СО мирицитрина вводили в хроматограф и хроматографировали как описано выше. Проводили не менее 3 параллельных определений для испытуемого раствора сухого экстракта и стандартного растворов мирицитрина вводили в хроматограф и хроматографировали, как описано выше. Идентифицировали пик мирицитрина на хроматограммах испытуемого раствора. Вычисляли среднюю площадь пика мирицитрина на хроматограммах раствора СО мирицитрина и испытуемого раствора по результатам 3 определений.
Содержание мирицитрина в сухом экстракте коры ореха черного в пересчете на абсолютно сухое сырье в процентах (X) вычисляли по формуле:
где: S – среднее значение площади пика мирицитрина на хроматограмме испытуемого раствора; S0 – среднее значение площади пика мирицитрина на хроматограмме стандартного раствора; V – объем извлечения, мл; V1 – объем вводимой пробы раствора испытуемого образца, мкл; V0 – объем раствора СО мирицитрина, мл; V2 – объем вводимой пробы раствора СО мирицитрина, мкл; mэ – масса сухого экстракта, г; m0 – масса СО мирицитрина, г; 0,98 – содержание основного вещества в 1,0 г СО мирицитрина.
Метрологическая характеристика разработанной методики
Для проведения процедуры градуировки серию разведений мирицитрина (250–2500 мкг/мл) хроматографировали в описанных условиях. На основании полученных данных строили график в координатах «концентрация, мкг/мл – площадь пика» и рассчитывали уравнение линейной регрессии (Y = aX + b), значение коэффициента детерминации (r2), стандартное отклонение с использованием Microsoft Excel 2013. Статистическую обработку экспериментальных данных промежуточной прецизионности разработанной методики при анализе 11 проб образцов испытуемых растворов настойки и сухого экстракта (Р = 95%) проводили с использованием критерия Стьюдента для вычисления граничных значений доверительного интервала среднего результата и определения ошибки единичного определения (ГФ РФ XIV, ОФС 1.1.0013.15)2. Стабильность методики определяли на образце настойки коры ореха черного, анализируя его через 2, 4, 8, 12, 24, 48 и 72 ч после первого анализа. Правильность методики определяли на модельных смесях настойки коры ореха черного и СО мирицитрина в количестве от 25% до 75% от исходного содержания с использованием метода добавок.
РЕЗУЛЬТАТЫ И ОБСУЖДЕНИЕ
Опираясь на литературные данные, существует несколько подходов к стандартизации лекарственного растительного сырья видов рода орех, в том числе и коры ореха черного.
Коллегами из Пятигорского медико-фармацевтического института – филиала Волгоградского государственного медицинского университета был предложен подход к стандартизации ЛРС и ЛРП рода орех, который заключался в использовании в качестве анализируемой группы БАС нафтохинонов (в частности, юглона) [4, 28, 29].
Для количественного определения суммы нафтохинонов в пересчёте на юглон в ЛРС видов рода Juglans использовали разработанную методику фотоколориметрического определения. При этом извлечение получали методом двухкратной экстракции спиртом этиловым 20% с последующим упариванием и трехкратной экстракцией диэтиловым эфиром [4, 28, 29].
Кроме того, в качестве анализируемой группы БАС для методик количественного определения могут также выступать полифенолы: фенилпропаноиды, флавоноиды и дубильные вещества, а также терпеноиды. Анализ данных соединений осуществлялся методами спектрофотометрии, ВЭЖХ, жидкостной хроматографией – массспектрометрией с ионной ловушкой, ГХ-МС [29, 31].
Ранее исследованиями кафедры фармакогнозии с ботаникой и основами фитотерапии СамГМУ была показана возможность проведения количественного определения суммы флавоноидов в коре ореха черного методом дифференциальной спектрофотометрии в пересчете на мирицитрин; аналитическая длина волны соответствовала 416 нм [7]. Опираясь на проведенные исследования, можно сделать вывод о необходимости дальнейших исследований в части стандартизации лекарственных растительных препаратов коры ореха черного.
Сравнительное изучение электронных спектров испытуемых растворов настойки и сухого экстракта позволило установить характерные для флавоноидов, в частности флавонолов, 2 максимума поглощения при 260 нм и 360 нм. Указанные данные подтверждаются батохромным сдвигом длинноволновой полосы в присутствии раствора AlCl3, а также данными дифференциальных спектров с максимумом поглощения 414–416 нм (рис. 2А-2Г).
Нами было выявлено, что содержащийся в коре ореха черного мирицитрин вносит значительный вклад в характер спектра поглощения водно-спиртового извлечения из коры ореха черного, следовательно, является доминирующим и диагностически значимым веществом для данного вида сырья. Принимая во внимание тот факт, что максимумы поглощения раствора стандартного образца мирицитрина и водно-спиртового извлечения коры ореха черного находятся в области 416 нм (дифференциальный вариант), целесообразным является определение содержания суммы флавоноидов в пересчете на мирицитрин при длине волны 416 нм (рис. 2Д и 2Е).
Рисунок 2 – Электронные спектры испытуемых растворов препаратов коры ореха черного и стандартных образцов
Примечания: А – Электронные спектры спиртовых растворов мирицитрина; Б – Электронный спектр раствора мирицитрина (дифференциальный вариант); В – Электронные спектры испытуемого раствора настойки коры ореха черного; Г – Электронный спектр раствора испытуемого раствора настойки коры ореха черного (дифференциальный вариант); Д – Электронные спектры испытуемого раствора сухого экстракта коры ореха черного; Е – Электронный спектр раствора испытуемого раствора сухого экстракта коры ореха черного (дифференциальный вариант). 1 – исходный раствор; 2 – раствор с добавлением алюминия хлорида.
В ходе разработки методик количественного определения для настойки и сухого экстракта коры ореха черного нами определены оптимальные параметры пробоподготовки, а также аналитическая длина волны для количественного анализа (416 нм).
Зависимость оптической плотности от концентрации мирицитрина описывалась линейной регрессией в диапазоне концентраций от 10 до 50 мкг/мл (рис. 3).
Рисунок 3 – График зависимости оптической плотности от концентрации мирицитрина в пробе и уравнение линейной регрессии
Метрологические характеристики методик количественного определения содержания суммы флавоноидов в препаратах коры ореха черного представлены в таблице 2. Результаты оценки промежуточной прецизионности результатов проведенных опытов свидетельствуют об удовлетворительной воспроизводимости результатов анализа. Ошибка единичного определения суммы флавоноидов в настойке и сухом экстракте коры ореха черного с доверительной вероятностью 95% составляет ±8,34% и ±2,10% соответственно (табл. 2).
Таблица 2 – Метрологические характеристики методик количественного определения суммы флавоноидов в препаратах коры ореха черного
Образец | n | f | S | P (%) | T (P, t) | ±ΔX | E,% | ||
Настойка коры ореха черного | 11 | 10 | 0,84 | 0,03357 | 0,01012 | 95 | 2,23 | ±0,07 | ±8,34 |
Сухой экстракт коры ореха черного | 11 | 10 | 12,38 | 0,10650 | 0,03211 | 95 | 2,23 | ±0,24 | ±2,10 |
Валидационная оценка разработанной методики проводилась по показателям: специфичность, линейность, правильность.
Специфичность методики определялась по соответствию максимумов поглощения комплекса флавоноидов коры ореха черного и стандартного образца мирицитрина с алюминия хлоридом. Линейность методики определяли для серии растворов мирицитрина (с концентрациями в диапазоне от 10 до 50 мкг/мл) (рис. 3). Коэффициент корреляции составил 0,99988.
Правильность методики определяли методом добавок раствора стандартного образца мирицитрина с известной концентрацией (25%, 50% и 75%) к испытуемому раствору настойки. Относительная ошибка анализа составила ±3,19%. Опыты с добавками СО мирицитрина к навеске сырья показали, что ошибка анализа находится в пределах ошибки единичного определения, что свидетельствует об отсутствии систематической ошибки разработанной методики (табл. 3).
Таблица 3 – Содержание суммы флавоноидов в настойке коры ореха черного в зависимости от добавления мирицитрина
Исходное содержание суммы флавоноидов, мг/мл настойки | Добавление мирицитрина, мг/мл | Содержание суммы флавоноидов, мг/мл | Ошибка анализа | ||
Введенное количество | Найденное количество | Абсолютная мг/мл | Относительная,% | ||
8,4 | 2,10 | 10,50 | 10,04 | –0,46 | –4,38 |
8,4 | 4,20 | 12,60 | 12,98 | +0,38 | +3,02 |
8,4 | 6,30 | 14,70 | 14,38 | –0,32 | –2,18 |
Содержание суммы флавоноидов в препаратах коры ореха черного, определенное методом дифференциальной спектрофотомерии при аналитической длине волны 416 нм, представлено в таблице 4.
Таблица 4 – Содержание суммы флавоноидов в образцах препаратов коры ореха черного (Juglans nigra L.)
№ п/п | Образец | Оптическая плотность, A | Содержание суммы флавоноидов в пересчете на мирицитрин и абсолютно сухое сырье,% |
1 | Настойка коры ореха черного | 0,29 | 0,84±0,07 |
2 | Сухой экстракт коры ореха черного | 0,86 | 12,38±0,24 |
Содержание суммы флавоноидов для исследуемого образца настойки коры ореха черного составило 0,84±0,07%. Содержание суммы флавоноидов для исследуемого образца сухого экстракта коры ореха черного составило 12,38±0,24% (в пересчете на мирицитрин).
При анализе методом высокоэффективной жидкостной хроматографии, определено, что в указанных условиях хроматографирования при использовании системы «ацетонитрил – вода» в соотношении 2:8 в испытуемых растворах настойки и сухого экстракта возможно идентифицировать анализируемый компонент – мирицитрин (рис. 3А, 3В, 3Г). Кроме того, выявлено, что в указанной системе возможно идентифицировать агликон мирицитрина – мирицетин (рис. 3Б, 3В, 3Г).
Время удерживания пиков мирицитрина и мирицетина на хроматограмме стандартного образца мирицитрина, а также в испытуемых растворах настойки и сухого экстракта коры ореха черного представлены в таблице 5.
Таблица 5 – Времена удерживания пиков флавоноидов коры ореха черного
Флавоноид | Время удерживания на хроматограмме, мин | ||
Стандартный образец | Настойка | Сухой экстракт | |
Мирицитрин (1) | 7,326 | 6,951 | 6,741 |
Мирицетин (2) | 14,211 | 18,909 | 17,277 |
Добавление раствора мирицитрина (1) и мирицетина (2) в испытуемые растворы настойки и сухого экстракта коры ореха черного проявляется на хроматограмме увеличением интенсивности пика мирицитрина и пика мирицетина соответственно по сравнению с таковой мирицитрина и мирицетина в исходном испытуемом растворе (рис. 4А и 4Б).
Рисунок 4 – ВЭЖХ-хроматограммы испытуемых растворов препаратов коры ореха черного и стандартных образцов
Примечания: А – ВЭЖХ-хроматограмма мирицитрина; Б – ВЭЖХ-хроматограмма мирицетина; В – ВЭЖХ-хроматограмма испытуемого раствора настойки коры ореха черного; Г – ВЭЖХ-хроматограмма испытуемого раствора сухого экстракта коры ореха черного. 1 – мирицитрин; 2 – мирицетин.
Принимая во внимание невысокое содержание мирицетина в извлечении по сравнению с мирицитрином, считаем целесообразным количественный анализ осуществлять только по мирицитрину. Зависимость площади хроматографического пика от концентрации мирицитрина описывалась линейной регрессией в диапазоне концентраций от 250 до 1500 мкг/мл (рис. 5).
Рисунок 5 – ВЭЖХ-хроматограммы испытуемых растворов препаратов коры ореха черного с добавлением стандартного образца мирицитрина
Примечания: А – ВЭЖХ-хроматограмма испытуемого раствора настойки коры ореха черного с добавлением мирицитрина и мирицетина; Б – ВЭЖХ-хроматограмма испытуемого раствора сухого экстракта коры ореха черного с добавлением мирицитрина и мирицетина. 1 – мирицитрин; 2 – мирицетин.
Рисунок 6 – График зависимости площади пика от концентрации мирицитрина в пробе и уравнение линейной регрессии.
Правильность методики определяли методом добавок. Растворы цинарозида с известной концентрацией (25%, 50% и 75%) добавляли к аликвоте испытуемого образца. Для каждой концентрации проводили по три определения (табл. 6). Относительная ошибка анализа составила 4,19%. Погрешность, определяемая для проб с добавками стандартных образцов, находилась в пределах погрешности единичного определения, что свидетельствует об отсутствии систематической погрешности.
Таблица 6 – Результаты определения правильности методики
Исходное содержание мирицитрина, мг/мл настойки | Добавлено мирицитрина, мг/мл | Содержание мирицитрина, мг/мл | Ошибка анализа | ||
Введеное количество | Найденное количество | Абсолютная, мг/мл | Относительная,% | ||
4,20 | 1,05 | 5,25 | 4,93 | –0,32 | –6,09 |
4,20 | 2,10 | 6,30 | 6,01 | +0,29 | +4,60 |
4,20 | 3,15 | 7,35 | 7,12 | -0,23 | –3,14 |
Содержание мирицитрина в образцах препаратов коры ореха черного, определенное методом обращенно-фазовой ВЭЖХ, представлено в таблице 7.
Таблица 7 – Содержание мирицитрина в образцах препаратов коры ореха черного (Juglans nigra L.) методом ВЭЖХ
№ п/п | Образец | Содержание мирицитрина (%) |
1 | Настойка коры ореха черного | 0,42±0,06 |
2 | Сухой экстракт коры ореха черного | 8,45±0,25 |
Для оценки показателя промежуточной прецизионности производился расчет относительного стандартного отклонения, дисперсии, критерия Стьюдента и F-критерия Фишера (табл. 8). Оценку промежуточной прецизионности образцов настойки и сухого экстракта проводили на двух приборах марки «Милихром-6». Для каждого образца проводились исследования в количестве одиннадцати экспериментов (табл. 8). Результаты расчета величины относительного стандартного отклонения не превышали 2%, ошибка единичного определения содержания мирицитрина в образцах настойки на «Милихром-61» и «Милихром-62» составила 8,45% и 13,87% соответственно; ошибка единичного определения содержания мирицитрина в образцах сухого экстракта составила 2,06% и 2,73% соответственно (табл. 8).
Таблица 8 – Оценка промежуточной прецизионности методики количественного определения мирицитрина в коре ореха черного
Образец | f | S2 | S | P,% | t (P,f) | Δ | E,% | F (P, f1, f2) (табл.) | Fрасчит. | |
Настойка коры ореха черного («Милихром-61») | 10 | 0,42 | 0,000436 | 0,02089 | 95 | 2,23 | ±0,04 | ±8,45 | 4,80 | 1,14 |
Настойка коры ореха черного («Милихром-62») | 10 | 0,36 | 0,000496 | 0,02228 | 95 | 2,23 | ±0,05 | ±13,87 | ||
Сухой экстракт коры ореха черного («Милихром-61») | 10 | 8,45 | 0,00377 | 0,06139 | 95 | 2,23 | ±0,21 | ±2,06 | 4,80 | 2,74 |
Сухой экстракт коры ореха черного («Милихром-62») | 10 | 8,31 | 0,01035 | 0,1017 | 95 | 2,23 | ±0,23 | ±2,73 |
Расчет критерия Фишера позволяет утверждать, что средние результаты анализа образцов настойки и сухого экстракта на разных хроматографах статистически достоверны (P=95%) и не отличаются друг от друга. Из таблицы 8 видно, что расчитанное значение F-критерия Фишера при анализе настоек и сухого экстракта меньше табличной величины. Следовательно, дисперсии результатов анализа обоих химиков статистически эквивалентны (табл. 7). Таким образом, разработанная методика соответствует требованиям валидации по показателю промежуточной прецизионности.
Результаты оценки промежуточной прецизионности разработанной методики при анализе 11 проб образцов настойки и сухого экстракта свидетельствуют об удовлетворительной воспроизводимости результатов анализа.
ЗАКЛЮЧЕНИЕ
Таким образом, результаты проведенных спектральных и хроматографических исследований свидетельствуют о целесообразности стандартизации препаратов коры ореха черного путем определения суммы флавоноидов в пересчете на мирицитрин с использованием метода УФ-спектрофотометрии при длине волны 416 нм; определения содержания доминирующего и диагностически значимого флавоноида – мирицитрина с использованием метода ВЭЖХ и детектированием на УФ-детекторе при длине волны 360 нм. Содержание суммы флавоноидов в пересчете на мирицитрин в настойке и сухом экстракте коры ореха черного составляет (0,84±0,07)% и (12,38±0,24)% соответственно. Ошибка единичного определения суммы флавоноидов в настойке и сухом экстракте коры ореха черного с доверительной вероятностью 95% составляет ±8,34% и ±2,10% соответственно. Содержание мирицитрина в настойке и сухом экстракте коры ореха черного составляет (0,42±0,06)% и (8,45±0,25)% соответственно. Ошибка единичного определения суммы флавоноидов в настойке и сухом экстракте коры ореха черного с доверительной вероятностью 95% составляет ±7,14% и ±2,96% соответственно.
ФИНАНСОВАЯ ПОДДЕРЖКА
Данное исследование не имело какой-либо финансовой поддержки от сторонних организаций.
КОНФЛИКТ ИНТЕРЕСОВ
Авторы декларируют отсутствие явных и потенциальных конфликтов интересов, связанных с публикацией настоящей статьи.
ВКЛАД АВТОРОВ
В.А. Куркин – концепция и дизайн исследования, редактирование; Н.И. Зименкина – сбор и обработка материала, написание текста и составление списка литературы, статистическая обработка результатов измерения.
1 USA National Library of Medicine National Institutes of Health. [Электронный ресурс]. – Режим доступа: https://pubchem.ncbi.nlm.nih.gov/compound/Myricitrin.
2 Государственная фармакопея Российской Федерации. XIV издание. Т. 4. Москва, 2018. – 1832 с. – [Электронный ресурс]. – Режим доступа: http://resource.rucml.ru/feml/pharmacopia/14_4/HTML/index.html.
Об авторах
Владимир Александрович Куркин
Федеральное государственное бюджетное образовательное учреждение высшего образования «Самарский государственный медицинский университет» Министерства здравоохранения
Email: v.a.kurkin@samsmu.ru
ORCID iD: 0000-0002-7513-9352
доктор фармацевтических наук, профессор, заведующий кафедрой фармакогнозии с ботаникой и основами фитотерапии
Россия, 443099, Самара, ул. Чапаевская, д. 89Наталья Игоревна Зименкина
Федеральное государственное бюджетное образовательное учреждение высшего образования «Самарский государственный медицинский университет» Министерства здравоохранения
Автор, ответственный за переписку.
Email: n.i.zimenkina@samsmu.ru
ORCID iD: 0000-0003-1334-6046
аспирант кафедры фармакогнозии с ботаникой и основами фитотерапии
Россия, 443099, Самара, ул. Чапаевская, д. 89Список литературы
- Дайронас Ж.В. Зилфикаров И.Н. Орех грецкий – перспективное лекарственное растение (обзор литературы) // Традиционная медицина: Российский фитотерапевтический съезд: сб. науч. тр. съезда 22–23 октября 2010 г. – 2010. – № 3 (22). – С. 118–123.
- Беленовская Л.М., Буданцев А.Л. Нафтохиноны видов флоры России и их биологическая активность // Растительные ресурсы. – 2006. – Т. 42, № 4. – С. 108–141.
- Tang L.L., Zhang M., Zhao X.L. Species distribution and community assembly rules of Juglans mandshurica in North China // Chinese J. Plant Ecology. – 2019. – Vol. 43, No. 9. – P. 753–761. doi: 10.17521/cjpe.2018.0161.
- Дайронас, Ж.В., Зилфикаров И.Н., Корочинский А.В., Корочинская В.В. Определение нафтохинонов в сырье и фитопрепарате ореха черного – Juglans nigra L. // Фармация. – 2013. – № 4. – С. 12–14.
- Ильинская И.А. К систематике и филогении семейства Juglandaceae // Ботанический журнал. – 1990. – Т. 75, № 6. – С. 792–803.
- Paudel P., Satyal P., Dosoky N.S., Maharjan S., Setzer W.N. Juglans regia and J. nigra, two trees important in traditional medicine: A comparison of leaf essential oil compositions and biological activities // Nat. Prod. Commun. – 2013. – Vol. 8, No.10. – P. 1481–1486.
- Зименкина Н.И., Куркин В.А. Разработка подходов к стандартизации коры ореха черного // Разработка подходов к стандартизации коры ореха черного // Аспирантский вестник Поволжья. – 2020. – № 1–2. – С. 131–136.
- Аслонова И.Ж., Кароматов И.Д., Тураева Н.И. Химический состав грецкого ореха // Биология и интегративная медицина. – 2019. – № 10(38). – С. 77–83.
- Пастушенкова А.Л. Лекарственные растения и лекарственное растительное сырье с противомикробным действием как путь преодоления лекарственной устойчивости микроорганизмов к действию антибактериальных препаратов // Клиническая патофизиология. – 2018. – Т. 24, № 1. – С. 20–24.
- Тушканова О.В., Бойко И.Е. Исследование антибиотической активности юглона, выделенного из околоплодника Juglans nigra L. // Разработка и регистрация лекарственных средств. – 2017. – № 1(18). – С. 126–129.
- Кикалишвили Б.Ю., Горгаслидзе Н.С., Сулаквелидзе Ц.П. Липиды семян грецкого ореха (Juglans regia L.) // Web of Scholar. – 2018. – Т. 3, № 6(24). – С. 35–37. doi: 10.31435/rsglobal_wos/12062018/5765.
- Alshatwi A.A., Hasan T.N., Shafi G., Syed N.A., Al-Assaf A.H., Alamri M.S., Al-Khalifa A.S. Validation of the antiproliferative effects of organic extracts from the green husk of Juglans regia L. on PC-3 human prostate cancer cells by assessment of apoptosis-related genes // Evidence-Based Complementary and Alternative Medicine. – 2012 – Vol. 2012. – Article ID 103026. doi: 10.1155/2012/103026.
- Croitoru A., Ficai D., Craciun L. Evaluation and exploitation of bioactive compounds of walnut, Juglans regia // Current Pharmaceutical Design. – 2019. – Vol. 25, No. 2. – P. 119–131. doi: 10.2174/1381612825666190329150825.
- Feng S., Fang H., Liu X. Genome-wide identification and characterization of long non-coding RNAs conferring resistance to Colletotrichum gloeosporioides in walnut (Juglans regia) // BMC Genomics. – 2021. – Vol. 22, No.1. – P. 15. doi: 10.1186/s12864-020-07310-6.
- Дайронас Ж. В., Верниковский В.В. Основные фармакологические свойства извлечений из сырья рода Juglans // Медицинский вестник Северного Кавказа. – 2019. – Т. 14, № 4. – С. 707–710. doi: 10.14300/mnnc.2019.14177.
- Корочинский А.В., Дайронас Ж.В., Верниковский В.В. Актуальные аспекты медицинского применения ореха черного – Juglans nigra L. (обзор) // Разработка и регистрация лекарственных средств. – 2019. – Т. 8, № 3. – С. 21–28. doi: 10.33380/2305-2066-2019-8-3-21-28.
- Sharma, P., Verma P.K., Pankaj N.K. Neuroprotective potential of hydroethanolic hull extract of Juglans regia L. on isoprenaline induced oxidative damage in brain of Wistar rats // Toxicology Reports. – 2021. – Vol. 8. – P. 223–229. doi: 10.1016/j.toxrep.2021.01.006.
- Железникова А.С. Изучение флавоноидов в листьях некоторых видов рода Juglans, интродуцированных в условиях Cамарской области // Материалы докладов Всероссийской конференции с международным участием Аспирантские чтения – 2013: «Молодые учёные в медицине». – 2013. – С. 274–277.
- Пастушенкова А.Л. Лекарственные растения и лекарственное растительное сырье с противомикробным действием как путь преодоления лекарственной устойчивости микроорганизмов к действию антибактериальных препаратов // Клиническая патофизиология. – 2018. – Т. 24, № 1. – С. 20–24.
- Caballero E., SotoC., Jara J. Thermal stability data of juglone from extracts of walnut (Juglans regia) green husk, and technologies used to concentrate juglone // Data in Brief. – 2019. – Vol. 25. – Art. No. 104081. doi: 10.1016/j.dib.2019.104081.
- Ebrahimia I., Gashti M.P. Extraction of juglone from Pterocarya fraxinifolia leaves for dyeing, anti-fungal finishing, and solar UV protection of wool // Coloration Technology. – 2015. – Vol. 131, No. 6. – P. 451–457. doi: 10.1111/cote.12180.
- Gholizadeh J., Sadeghipour H.R., Abdolzadeh A. Bud break accompanies with the enhanced activities of hemicellulase and pectinase and the mobilization of cell wall thickenings in Persian walnut bud scales // Trees – Structure and Function. – 2021. doi: 10.1007/s00468-021-02122-x.
- Lin Y, Liang J, Peng X, Ruan H. Phenolic constituents from the fresh pericarps of Juglans sigillata // Nat. Prod. Res. – 2021. – Vol. 35, No.8. – P. 1242–1248. doi: 10.1080/14786419.2019.1644631.
- Bandele O.J., Clawson S.J., Osheroff N. Dietary polyphenols as topoisomerase II poisons: B ring and C ring substituents determine the mechanism of enzyme-mediated DNA cleavage enhancement // Chem. Res. Toxicol. – 2008. – Vol. 21, No.6. – P. 1253–1260. doi: 10.1021/tx8000785.
- Constantinou A., Mehta R., Runyan C., Rao K., Vaughan A., Moon R. Flavonoids as DNA topoisomerase antagonists and poisons: structure-activity relationships // Journal of Natural Products. – 1995. – Vol. 58, No.2. – P. 217–225. doi: 10.1021/np50116a009.
- Kumamoto T., Fujii M., Hou D.X. Myricetin directly targets JAK1 to inhibit cell transformation // Cancer Lett. – 2009. – Vol. 275, No.1. – P. 17–26. doi: 10.1016/j.canlet.2008.09.027.
- Geng S., Ning D., Ma. T. Comprehensive Analysis of the Components of Walnut Kernel (Juglans regia L.) in China // Journal of Food Quality. – 2021. – Vol. 2021. – P. 9302181. doi: 10.1155/2021/9302181.
- Дайронас, Ж.В., Зилфикаров И.Н., Верниковский В.В. Разработка и стандартизация лекарственных растительных препаратов из листьев ореха грецкого // Сборник научных трудов Государственного Никитского ботанического сада. – 2018. – Т. 146. – С. 153–158. doi: 10.25684/NBG.scbook.146.2018.23.
- Zhou Y., Yang B., Jiang Y., Liu Z., Liu Y., Wang X., Kuang H. Studies on cytotoxic activity against HepG-2 cells of naphthoquinones from green walnut husks of Juglans mandshurica Maxim // Molecules. – 2015. – Vol. 20, No. 9. – P. 15572–15588. doi: 10.3390/molecules200915572.
- Ji L., Khan A., Yang L. Seasonal variation of diversity and co-occurrence patterns of arbuscular mycorrhizal fungal communities in mixed broadleaf-conifer forests // Applied Soil Ecology. – 2021. – Vol. 158. – Art. No. 103782. doi: 10.1016/j.apsoil.2020.103782.
- Regueiro J., Sánchez-González C., Vallverdú-Queralt A., Simal-Gándara J., Lamuela-Raventós R., Izquierdo-Pulido M. Comprehensive identification of walnut polyphenols by liquid chromatography coupled to linear ion trap-Orbitrap mass spectrometry // Food Chem. – 2014. – No.152. – P. 340–348. doi: 10.1016/j.foodchem.2013.11.158.
Дополнительные файлы









