Safety study of romiplostim biosimilar
- 作者: Afanasyeva A.N.1, Saparova V.B.1,2, Karal-Ogly J.J.3, Mukhametzyanova E.I.3, Kurkin D.V.4, Kalatanova A.V.1, Makarenko I.E.1,2, Khokhlov A.L.5, Lugovik I.A.1
-
隶属关系:
- Сlosed Joint-Stock Company “Farm-Holding”
- A.I. Yevdokimov Moscow State University of Medicine and Dentistry
- Scientific Research Institute of Medical Primatology
- Volgograd State Medical University
- Yaroslavl State Medical University
- 期: 卷 10, 编号 4 (2022)
- 页面: 354-370
- 栏目: Articles
- URL: https://journals.eco-vector.com/2307-9266/article/view/352519
- DOI: https://doi.org/10.19163/2307-9266-2022-10-4-354-370
- ID: 352519
如何引用文章
详细
Idiopathic thrombocytopenic purpura is a chronic autoimmune hematological disease caused by an increased destruction of platelets and associated thrombocytopenia, for the treatment of which the imported drug romiplostim is used. Сreation of the drug biosimilar provides a reduction in the cost of therapy and an access for the treatment to more patients.
The aim of the study was to compare the safety indicators of the reference drug and its biosimilar in vivo and in vitro.
Materials and methods. In the in vitro study, a model of “complement-dependent cytotoxicity” induced by the complement was formed on the 32D hTPOR clone 63-cell line, followed by a cell viability measurement with the CellTitter Glo® kit. An in vivo part of the study was carried out on Javanese macaque monkeys (Macaca fascicularis). During the experiment, the clinical condition, mortality, appetite of the animals, their body weight, body temperature, respiratory rate were assessed, the clinical parameters of blood and urine of the animals were also monitored, and the hemostasis indicators were additionally measured.
Results. In the in vitro experiment, the original drug romiplostim and its biosimilar GP40141 were compared in terms of EC50 values. The indicatirs did not show complement-dependent cytotoxicity. According to the in vivo results, no deviations were recorded in the clinical status of the animals and their feed intake, and no lethality was fixed out in the groups either. For all the parameters studied (body weight and temperature, respiratory rate, clinical urinalysis, clinical and biochemical blood tests, coagulation hemostasis), GP40141 and romiplostim, when administered at the doses equivalent to 10 toxic doses (TDs), had comparable effects.
Conclusion. In the comparison of safety performance both in vitro and in vivo, the original drug romiplostim and its biosimilar GP40141 showed similar results.
全文:
Abbreviations: ITP – idiopathic thrombocytopenic purpura; TPO – tropmbopoetin; TPO-R – tropmbopoetin receptor; CDC – complement-dependent cytotoxicity; CS – complement system; CP – classical pathway; BA – biological activity; RS – reference standard; ICS – internal control sample; TO – test object; EC50 – half maximal effective concentration; IC50 – half-maximal inhibitory concentration; MABs – monoclonal antibodies; MP – medicinal preparation; RR – respiratory rate; Density – specific density; pH – pH value; TP – Total protein; GLU – glucose; BIL – bilirubin (in urine); UBG – urobilinogen; KET – ketone bodies; RBC – red blood cell count; MCV – mean cell volume; Hgb – hemoglobin; MCH – mean cell hemoglobin; MCHC – mean corpuscular hemoglobin concentration; НСТ – hematocrit; PLT CNT – platelet count; PCT – plateletcrit; MPV – mean platelet volume; PDW – platelet distribution width; WBCs – white blood cells/leucocytes; MON – monocytes; LYM – lymphocytes; NEU – neutrophils; EOS – eosinophils; BA – basophils; APTT – activated partial thromboplastin time; PT – prothrombin time; AP – alkaline phosphatase; ALT – alanine transaminase; AspAT – aspartate aminotransferase; LDH – lactate dehydrogenase; TB – total bilirubin (blood); UREA – urea; CRE – creatinine; CHOL – cholesterine; TG – triglycerides; alb – albumine; GLB – globulin; ALB/GLB – albumin/globulin ratio; SM – statistical mean; SD – standard deviation; t-test – Student’s t-test; Me – median; Q1 – quartile 1; Q3 – quartile 3; U-test – Mann-Whitney U-test.
INTRODUCTION
Idiopathic thrombocytopenic purpura (ITP) is a severe disease characterized by thrombocytopenia (<100×109/l) and requires thrombopoiesis stimulants to maintain blood clotting [1–3]. Currently, only 2 drugs belonging to this group are registered in the Russian Federation (RF) – Nplate® (Nplate, AMGEN EUROPE, B.V.)1 and Revolade® (Revolade, NOVARTIS PHARMA, AG)2. The active substance of Nplate®, romiplostim, has been repeatedly tested for effectiveness and has shown its therapeutic activity in the treatment of idiopathic thrombocytopenic purpura. This made it possible for patients to receive modern therapy that improves the quality of life [1, 4–6]. However, this drug is produced outside the Russian Federation, which increases its cost for the consumer, and when creating a biosimilar, newer technologies are used, which ultimately affects the cost of their production [7]. As thrombopoiesis stimulants are required on an ongoing basis in ITP [3, 8], their availability and affordability are vital for patients. The creation of a romiplostim biosimilar will increase the availability of treatment in the Russian Federation.
Romiplostim (Fig. 1) is a peptid antibody containing four TPO-R (thrombopoetin receptor, MPL) binding domains with a high affinity for TPO-R and one IgG1 Fc-carrier domain, which has no sequence homology with endogenous thrombopoietin (TPO) [9–11]. Romiplostim binds to and activates TPO-R on megakaryocyte precursors in the bone marrow. It binds in the same way as endogenous TPO and can displace TPO from binding to the receptor. Like TPO, romiplostim activates many of the same pathways resulting in a sustained increase in platelet counts [9, 12–15]. Much less is known about the effects mediated by the Fc area of the romiplostim molecule. For example, complement-dependent cytotoxicity (CDC) may be one of the possible options, since this mechanism is implemented in monoclonal antibodies by binding the Fc fragment to activate the complement system [16–18].
Figure 1 – Chemical structure of romiplostim
Note: romiplostim is a recombinant protein consisting of an Fc receptor domain at the N-terminus fused to a thrombopoietin receptor-binding domain at the C-terminus.
The complement system (CS) is known to be an integral part of both the innate and adaptive immune systems. This complex consists of a group of plasma proteins that interact in a cascade manner [19]. CS can be activated in three different ways, one of which is the classical pathway (CP) usually activated by antibodies. It mediates specific immune responses and functions as a part of the adaptive immunity. CP is triggered when the C1q complement molecule binds to the Fc antigen elements. Binding to the antibody causes conformational changes in the C1q molecule, leading to the activation of two C1r proteases and a further degradation of the two C1s molecules (another serine protease). The C1 complex now binds to C2 and C4 and cleaves them. The C4b product binds covalently to the cell surface and forms C4bC2 complexes. Activated C1s further cleave C4bC2 and generate C4bC2a, which is a C3/C5 CP convertase. Then, if the complement activation is not limited, it proceeds to the formation of a membrane attack complex (MAC) and the lysis of the target cell [19]. It has been generally accepted that monoclonal antibodies (MABs), can mediate the effects that cannot be fully elucidated by in vitro studies. These factors make bioequivalence studies on animals reasonable3.
THE AIM of the study was to compare the safety indicators of the reference drug romiplostim and its biosimilar in vivo and in vitro.
MATERIALS AND METHODS
In vitro determination of complement-dependent cytotoxicity
Complement-dependent cytotoxicity (CDC) for romiplostim was evaluated in comparison with the indicative CDC method for rituximab. This drug is a chimeric MAB that specifically binds to the CD20 antigen on the surface of normal and malignant B-lymphocytes and initiates immunological reactions that mediate the B-cell lysis. One of the working mechanisms of the drug goes through the CDC [20]. In the CDC test for romiplostim, a mouse lymphoblast cell line (Mus musculus) with a stable expression of the human TPO receptor 32D hTPOR clone 63 (Selvita Group) was used as a test system. The effect of complement-dependent cytotoxicity was compared with the original drug romiplostim (AMGEN, the Netherlands) and its biosimilar GP40141 (OOO GEROPHARM, Russia). The complement concentration was selected on the basis of the toxicity absence of the complement itself; and a dilution by a factor of 14 was chosen.
On the first day of the experiment, the cells were seeded and the test objects (TOs) were introduced with the rabbit blood serum complement (Cedarlane, CL3441-S50). The concentrations used for the assessment of a specific biological activity (BA) on the 32D-hTPOR clone cell line, were the following: 63:10; 3.3; 1.1; 0.4; 0.1; 0.04; 0.005; 0.002; 0.001; 0.0002 ng/mL). These concentrations were added to the RPMI Basal assay medium, consisting of RPMI 1640 (Biolot, 1.3.4.), 1 mM HEPES (Biolot, 1.2.6.1.), 10 mM sodium pyruvate (Biolot, 1.4.004.), up to 1, 5 g/l sodium bicarbonate (Sigma-Aldrich, S5761), up to 4.5 g/l anhydrous glucose (PanReac AppliChem, 141341), penicillin-streptomycin (Biolot, 1.3.18.), to which a 10% fetal bovine serum FBS (Capricorn, FBS-11A) was added. After the test object (TO) preparation, the rabbit serum complement was diluded by a factor of 14 and the line was seeded into the wells of a 96-well white plate (Corning, 3917) at the concentration of 5000 cells/well, the cell counts were performed using a Countess II FL cell counter (ThermoFisher Scientific, USA). The test objects with complements and without complements were added to the cells in different wells. They were incubated with 5% carbon dioxide for 24±4 hours at 37°C. Then the plate was cooled down to room temperature for 1 h, and the CellTitter-Glo reagent (Promega, G7571) was added to each well with the culture liquid in the equivalent volume ratio. The cells were lysed mechanically on an orbital shaker for also 2 min at room temperature. Then the plates were incubated for 10 min to stabilize the luminescent signal, after which the luminescence was recorded on a CLARIOstar multimodal microplate reader (BMG Labtech, Germany). The settings on the instrument included Presets Ultra Glo, the integration time was 0.4 sec per 1 well.
In the CDC test for rituximab, the human B-lymphoblast cell line WIL2-S was used as a test system. A rituximab reference standard (RS) (Mabxience, Spain) and a rituximab internal control sample (ICR) were used as TOs. On the first day of the experiment, similarly to the CSC test for romiplostim, the cells were seeded and the TO with the complement of the rabbit blood serum was added. For rituximab CSC, the complement concentration was selected at the ratio of 1:7, where there was no toxicity of the complement itself. For RI, concentrations of 5000, 2000, 800, 320, 128, 51, 20, 8, 3, 1.3, and 0.5 ng/ml were selected; their dilution was carried out in a medium similar to the rituximab CDC for the analysis. After preparing the TO, the rabbit blood serum complement was prepared and the line was seeded into the wells of a 96-well black plate (Corning, 3603, USA) at the concentration of 10,000 cells/well. The plate was incubated at 37°C and 5% carbon dioxide for 2 hours, and then the alamarBlue™ Cell Viability Reagent (Thermo Fisher Scientific, DAL1100, USA) was added and incubated again for up to 24 hours. On the expiry of time, fluorescence was recorded on a CLARIOstar multimodal microplate reader. The data analysis for the two tests was carried out in the integrated MARS Data Analysis software, and the statistical analysis – in GraphPad Prism 9.3.1.471, where the data were normalized as a percentage relative to the zero control, then a four-parameter dose-response curve was built up to calculate the EC50 value (a half maximum effective concentration).
In vivo safety study
The study was carried out on the basis of Scientific Research Institute of Medical Primatology (Russia, Sochi) in the strict accordance with Rus-LASA standards4,5 [20]. The study was approved by the independent local ethics committee (Protocol statement No. 61 dated February 9, 2021).
Clinically healthy Javanese macaque monkeys (Macaca fascicularis) were used as a test system. Macaca fascicularis are phylogenetically quite close to humans and, at the same time, in the framework of preclinical safety studies of the original drug, they did not show any formation of neutralizing antibodies to romiplostim, unlike rats, mice and rhesus monkeys in the studies of a similar duration. That makes it possible to predict the risks associated with primary pharmacodynamics in humans, to the greatest extent6. All these factors made it possible to consider these animals as the most relevant ones for a comparative safety study.
In accordance with the decision of the Economic Commission for Europe Council 89 (ECE Council 89), when forming experimental groups, it is necessary to adhere to a flexible approach. It is permissible to use animals of only one sex and only one dose of drugs, which makes it possible to fully follow the Reduce principle (the reduction in the number of the animals used) from the fundamental principles of humanity 3R7. However, the use of such methods to reduce the number of the animals requires justification. Animals of the same sex were used because the toxicological profile of the original drug romiplostim did not differ between males and females in numerous toxicological experiments, indicating the absence of specific toxic effects associated with sex8. It follows that the introduction of animals of two sexes will not lead to additional information about the safety of the substance and is contrary to the bioethical Reduce principle. The next step to reduce the number of animals was the abolition of the control group. According to the Decision of EU Directive 89, it is permissible to conduct a study with a modified design (using only one dose of a biosimilar medicinal product (MP) and the original (reference) MP. In order to compare the dynamics of animal parameters, all main laboratory and functional parameters had been taken before dosing, so that the initial data of the animals acted as some control for subsequent measurement points.
In this regard, 12 mature males weighing 2.65–3.95 kg were selected for the experiment. The animals were divided into groups according to the level of platelets, which had been measured 7 days before the administration of the drugs, after which, to eliminate the preferences of the researcher, the experimental groups were composed by randomization of the animals from the formed groups. The animals were divided into 2 groups, 6 males in each. Group 1 received the biosimilar GP40141, group 2 received the original drug romiplostim (Table 1).
Table 1 – Scheme of experimental animals distribution by groups
Group No. | Animals | Test object/reference standard | Route of administration | Dose, µg/kg | Duration of administration | |
Gender | Number in the group | |||||
1 | ♂ | 6 | GP40141 | Subcutaneously | 100 | 28 days, once/72 hours |
2 | ♂ | 6 | Romiplostim | 100 | ||
Note: ♂ – male.
When selecting doses in safety studies, a critical point is the choice of dosage and frequency of administration of the test object and reference standard. On the one hand, they should allow the potential adverse effects to be fully assessed and thereby protect participants in clinical trials. On the other hand, they should not be redundant allowing unnecessary suffering of animals in the framework of the research9,10,11. In this regard, as a reasonable compromise, the dosage of 100 mcg/kg was chosen, as it allows a significantly (10 times) higher therapeutic dose for clinical use12, and had been applied in earlier safety studies of the original drug romiplostim13. This dose has been directly extrapolated from the clinical animal practice and no dose conversion factor has been applied.
The drugs were administered repeatedly, over 28 days, with a frequency of once/72 hours, since this frequency of administration repeats the design of the study of the original drug romiplostim and allows achieving a stable systemic exposure in animal plasma14. The contents of the vial with test objects and the reference standard were a powder diluted in 0.72 ml of sterile water for injections to obtain a concentration of 250 μg/0.5 ml (500 μg/ml) immediately after the preparation. The drugs were administered to a specific animal at the same place throughout the study (28 days).
The animals were kept and fed in accordance with Directive 2010/63/EU of the European Parliament and the European Council dated 22 September 2010 on the protection of animals used for scientific purposes. Throughout the experiment, the animals were kept in individual cages, which indicated the animal’s inventory number, group, and gender. The cells were equipped with a central water supply. The ambient temperature was 21–28°С, the relative humidity was 40–70%, daylight hours were natural (Sochi). The diet of the animals consisted of granulated feed, eggs, dried and fresh fruits and bread. Feeding was carried out in three stages: 8–9 o’clock – granulated feed mixture, 11–12 o’clock – juicy feeds, rice porridge and biscuits, 14–15 o’clock – granulated feed mixture. The water was provided ad libitum and met the requirements of SanPiN 2.1.4.1074-01, GN 2.1.5.1315-03, GN 2.1.5.2280-0715,16,17.
Mortality, appearance (skin, hair, eyes, nose, respiration, stool, mucous membranes, posture, behavior and coordination) and feed intake were assessed daily during the study. Weight, body temperature, respiratory rate (RR) were assessed on days 0, 15 and 29 along with urine and blood sampling of the animals.
Urine samples were taken from the cell tray into test tubes. The following indicators were analyzed: color, transparency, specific gravity (density), pH, protein (UP), glucose (GLU), bilirubin (BIL), ketone bodies (KET), erythrocytes (ERY), leukocytes (LEY), urobilinogen (UBG). The analysis was carried out on a DocUReader 2 PRO analyzer using test strips from the same company.
Blood sampling for clinical analyses was carried out in Microvette Sarstedt capillary tubes, 200 µl, with K3-EDTA. The following indicators were determined in the blood samples of the experimental animals: hemoglobin (Hgb), erythrocyte count (RBC), leukocyte count (WBC), leukocyte formula (LYM), monocytes (MON), neutrophils (NE), eosinophils (EO), basophils (BA), platelet count (Plt), hematocrit (Hct), mean cell volume (MCV), mean cell hemoglobin (MCH), mean cell hemoglobin concentration (MCHC), thrombocrit (PCT), mean platelet volume (MPV), relative platelet distribution width (PDW). The analysis was carried out on an automatic hematological analyzer MEK 7300K (EKO-MED-S M LLC, Russia). The reagents for the hematological analyzer from Nihon Kohden (Firenze S.r.l., South Italy) were used for the analyses. The number of cells was counted by the volume resistance method; the hemoglobin concentration was determined by a spectrophotometric method; hematocrit, thrombocrit, platelet and erythrocyte distribution widths were calculated by histograms.
To determine biochemical parameters, 18 hours before blood sampling, the animals were deprived of food, while maintaining a free access to the water. Blood sampling was carried out in test tubes to obtain serum with a clot activator and gel VACUETTE (5 or 8 ml) from the left inguinal vein. The serum was obtained from the blood by the usual method: incubation at room temperature for 30 min, centrifugation at 3500 rpm. The following parameters were evaluated: alanine aminotransferase (ALT), aspartate aminotransferase (AST), de Ritis ratio, total protein (TP), albumin (ALB), globulin (GLB), albumin/globulin ratio (ALB/GLB), alkaline phosphatase (ALP), total bilirubin (TB), total cholesterol (CHOL), creatinine (CRE), glucose (GLU), lactate dehydrogenase (LDH), triglycerides (TGs), sodium (Na+), potassium (K+), urea (UREA). Biochemical blood analysis was carried out on a BioLit-8020 biochemical analyzer (URIT Medical Electronic Group Co., Ltd, China). The reagents produced by DAC, Moldova were used for the analysis. The measurement method used was colorimetry (kinetics, the end point).
For the coagulometric analysis, the blood was taken into S-Monovette® vacuum tubes (Germany) with a piston of 1.4 ml. To study the effect on the blood coagulation system, activated partial thromboplastin time (APTT), prothrombin time (PT), and fibrinogen were analyzed. The analysis for the coagulation hemostasis was carried out on a coagulometer TS 4000 Plus (Russia). The PV-clotting method is based on determining the clotting time of citrated blood plasma under the action of a mixture of thromboplastin and calcium ions. The method for determining APTT is the following: a reagent, which is an aqueous solution of ellagic acid in combination with soy phospholipids, and calcium chloride are sequentially added to the studied blood plasma. In the process of measuring the APTT, the time from the moment of adding calcium ions to the moment of clot formation is recorded. Fibrinogen was determined by the Clauss method.
Statistical processing of analysis results
The in vivo statistical data processing part was carried out using software packages R version 3.5.2. For all the data, descriptive statistics was applied: the data were checked for compliance with the normal distribution law using the Shapiro-Wilk`s W test. In case of a normal distribution, the mean value and standard deviation were calculated, which, together with the value of n (number of observations), are presented in the final tables. If the data did not comply with the normal distribution law, the median and quartile range were calculated. When identifying intergroup differences in the data with signs of the normal distribution, the Student’s t-test was used, and in the data with signs of abnormal distribution, it was the Mann-Whitney U-test.
In the applicable cases, in intergroup and intragroup comparisons, the indicators obtained for the animals at different times of the experiment, were compared. To assess the intragroup dynamics in the data with signs of normal distribution, the Student’s t-test was used, and in the data with signs of abnormal distribution, it was Friedman’s test. Fisher’s exact test was used to analyze the manifestation frequencies of some parameters (the level of erythrocytes in the urine).
The comparison results were considered statistically significant at p ≤0.05. The data graphical presentation was carried out in GraphPad Prism 9.3.1.471.
RESULTS
In vitro complement dependent cytotoxicity
Series 1107017A of the innovator romiplostim and its biosimilar GP40141 were analyzed to evaluate CDC; the data are presented in Fig. 2 and Table 2. The rituximab CDC test was considered as a reference example of complement-dependent cytotoxicity (Fig. 2A). For the CDC romiplostim test, the EC50 was calculated relative to the control without the addition of the TO and the complement. For this, first the values were normalized in the GraphPad Prism 9 Program, and then a logarithmic response curve was built up. It has a symmetrical sigmoidal shape and is also called a four-parameter dose-response curve. Rituximab CDC was calculated in a similar way.
Figure 2 – Graphs of complement-dependent cytotoxicity.
Note: A – rituximab CDC, B – romiplostim CDC.
Table 2 – Indicators of CDC relative activity for romiplostim
Sample | EC50, ng/ml | R2 | Relative activity, % |
GP40141 (ng/ml) + Complement (1:14) | 0.128 | 0.995 | 72% |
GP40141 (ng/ml) | 0.093 | 0.989 | n/a |
Romiplostim (ng/ml) + Complement (1:14) | 0.084 | 0.994 | 87% |
Romiplostim (ng/ml) | 0.073 | 0.992 | n/a |
Sample | IC50, ng/ml | R2 | Relative activity, % |
Rituximab RM-RX-03 + complement (1:7) | 125.6 | 0.951 | n/a |
Rituximab RM-RX-02 + complement (1:7) | 121.7 | 0.948 | n/a |
Note: n/a – not applicable, R2 – coefficient of determination, EC50 – half-maximal effective concentration, IC50 – half-maximal inhibition concentration. EC50 and IC50 were calculated using 11 concentration points in 3 replicates.
The main action mechanism of rituximab is realized through complement-dependent cytotoxicity [21-24]. Fig. 2A shows the dose-dependence of this effect: as the concentration of rituximab increases, the viable cell signal decreases. In contrast to rituximab for romiplostim (Fig. 2B), on the contrary, with an increase in the concentration of the drug, the signal of viable cells increases, which is a consequence of its direct biological action – binding to thrombopoietin receptors and inducing cell proliferation. In order to distinguish the proliferation from CDC, the samples with and without complement were additionally considered: there were no differences and there was no clear decrease in the signal for the samples in the presence of the complement.
For the obtained EC50 values, the relative activity was calculated by comparing the values for the drug without complement versus the drug with complement in percentage. For the original drug, romiplostim, and GP40141, similar values of 87% and 72% were obtained; they can be considered insignificant due to the absence of a decrease in the cell viability signal when the drug is stimulated together with the complement.
In vivo safety study
The comparative safety results of the original drug romiplostim and its biosimilar GP40141 on 12 male Macaca fascicularis are presented in Tables 3–5 and Fig. 3–5.
Table 3 – Dynamics of changes in experimental animals’ average weight (g) by groups, n=6
Group | Parameter | Measurement day | ||
0 | 15 | 29 | ||
GP40141 (Group 1) | Mean±SD | 3 483±397.1 | 3 525±248,5 | 3 600±249.0 |
T-test, p Background/Day | n/a | 0.83 | 0.56 | |
Romiplostim (Group 2) | Mean±SD | 3 150±405.0 | 3 116.7±469.8 | 3 158±453.2 |
T-test, p Background/Day | n/a | 0.90 | 0.97 | |
T-test, p, Group 1/Group 2 | 0.07 | 0.06 | 0.05 | |
Note: Mean – statistical mean, SD – standard deviation, T-test – Student’s t-test.
Table 4 – Dynamics changes in the average body temperature by groups of experimental animals, n=6
Group | Parameters | Measurement day | ||
0 | 15 | 29 | ||
GP40141 (Group 1) | Mean±SD | 38.68±0.24 | 38.80±0.18 | 38.63±0.26 |
T-test, p Background/Day | n/a | 0.36 | 0.74 | |
Romiplostim (Group 2) | Mean±SD | 38.68±0.35 | 38.60±0.27 | 38.50±0.36 |
T-test, p Background/Day | n/a | 0.79 | 0.39 | |
T-test, p, Group 1/Group 2 | 1.0 | 0.24 | 0.48 | |
Note: Mean – statistical mean, SD – standard deviation, T-test – Student’s t-test.
Table 5 – Dynamics of changes in average RR/min of experimental animals by groups, n=6
Group | Parametrs | Measurement day | ||
0 | 15 | 29 | ||
GP40141 (Group 1) | Mean±SD | 39.00±4.10 | 34.83±4.83 | 32.17±2.48 |
T-test, p Background/Day | n/a | 0.14 | 0.006 | |
Romiplostim (Group 2) | Mean±SD | 34.17±2.71 | 33.50±3.02 | 32.83±2.14 |
T-test, p Background/Day | n/a | 0.70 | 0.37 | |
T-test, p, Group 1/Group 2 | 0.04 | 0.58 | 0.63 | |
Note: Mean – statistical mean, SD – standard deviation, T-test – Student’s t-test.
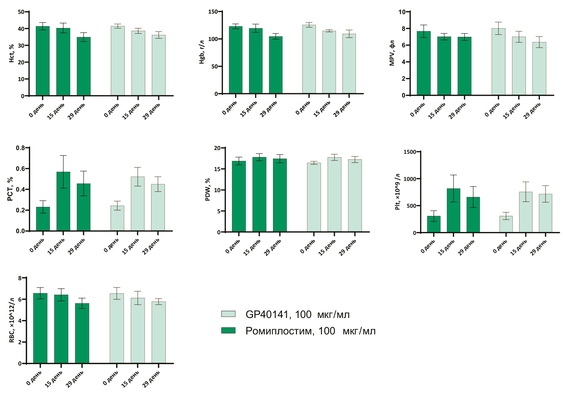
Figure 3 – Indicators of hematological analysis
Figure 4 – Indicators of biochemical blood test
Figure 5 – Indicators of coagulation hemostasis
Influence on animals’ general condition
Throughout the entire period of the experiment, there were no deviations in the animals’ clinical status of feed intake in any of the experimental groups, and there was no mortality observed.
Influence on body weight dynamics
The experimental animals’ body weight data and their statistical processing are presented in Table 3.
According to the results of statistical processing, no significant differences were found between the experimental animals’ average weight before the start of the experiment with subsequent days of observation within the groups (days 15 and 29). Intergroup differences on the 29th day are due to the fact that one of the males showed a pronounced increase in body weight (11%), which led to a decrease in SD and the emergence of statistically significant differences between the groups in the absence of the difference in the dynamics of body weight gain. These differences not related to the effect of drugs, but due to the individual growth dynamics of this animal.
Influence on body temperature
The values of body temperature and the results of statistical processing are shown in Table 4.
At the studied time points, the experimental animals’ body temperature remained within the normal range and did not change significantly relative to the background values.
Influence on respiratory rate
The respiratory rate was measured by counting the respiratory movements of the animals before the administration of the drug, as well as on the 15th and 29th days. The results of statistical processing are shown in Table 5.
From the results of statistical processing, it follows that in Macaca fascicularis of the both groups, the background values of the respiratory rate were higher than on the following days: the dynamics of changes was the same. A significant difference in the first group relative to the initial values in 29 days after the introduction of the test object is due to the high background values in some (2 out of 6) animals. A significant difference in the background values between the Macaca fascicularis groups is also a consequence of a large respiratory rates variability in Macaca fascicularis of the 1st group. Given this, it can be said that the drugs had a comparable effect on the animals’ respiratory rates.
Influence on indicators of clinical urine analysis
The analysis was carried out in dynamics – before the introduction of the objects, on the 15th and 29th days. All the animals had yellow and clear urine throughout the experiment. A summary table with the main results of the clinical urine analysis is presented in Table 6.
Table 6 – Indicators dynamics of clinical urine analysis, n=6
Group | Date | Parameter | Indicators | |||||||
eDensity, g/ml | рН | UP, mg/dl | GGLU, ml/dl | LEY, cells/µl | BIL, ml/dl | UBG, mg/dl | KET, mg/dl | |||
GP40141 (Group 1) | Background | Me (Q1; Q3) | 1 (1;1) | 8.0 (7.0; 8.6) | 0 (0;0) | 0 (0;0) | 0 (0;0) | 0 (0;0) | 0 (0;0) | 0 (0;0) |
15 days | Me (Q1; Q3) | 1 (1;1) | 9.0 (8.9; 9.0) | 0 (0;0) | 0 (0;0) | 0 (0;0) | 0 (0;0) | 0 (0;0) | 0 (0;0) | |
29 days | Me (Q1; Q3) | 1 (1;1) | 8,25 (7.5; 8.5) | 0 (0;0) | 0 (0;0) | 0 (0;0) | 0 (0;0) | 0 (0;0) | 0 (0;0) | |
Friedman test, p | >0.05 | >0.05 | >0.05 | >0.05 | >0,05 | >0.05 | >0.05 | >0.05 | ||
Romiplostim (Group 2) | Background | Me (Q1; Q3) | 1 (1;1) | 8.0 (7.4; 9.0) | 0 (0;0) | 0 (0;0) | 0 (0;0) | 0 (0;0) | 0 (0;0) | 0 (0;0) |
15 days | Me (Q1; Q3) | 1 (1;1) | 8.5 (8.4; 9.0) | 0 (0;0) | 0 (0;0) | 0 (0;0) | 0 (0;0) | 0 (0;0) | 0 (0;0) | |
U-criterion, p Group 1/Group 2 | >0.05 | >0.05 | >0.05 | >0.05 | >0,05 | >0.05 | >0.05 | >0.05 | ||
29 days | Me (Q1; Q3) | 1 (1;1) | 8.25 (6.9; 8.6) | 0 (0;0) | 0 (0;0) | 0 (0;0) | 0 (0;0) | 0 (0;0) | 0 (0;0) | |
Friedman test, p | >0.05 | >0.05 | >0.05 | >0.05 | >0.05 | >0.05 | >0.05 | >0.05 | ||
U-criterion, p Group 1/Group 2 | >0.05 | >0.05 | >0.05 | >0.05 | >0.05 | >0.05 | >0.05 | >0.05 | ||
Note: Me – median; Q1 – 1 quartile; Q3 test – 3 quartile; U-test – Mann-Whitney U-test; TP – total protein; GLU – glucose; LEY – leukocytes; BIL – bilirubin; UBG – urobilinogen; KET – ketone bodies.
Table 7 separately presents the results of erythrocytes indicators in the animals’ urine. This is due to the fact that in some animals during the experiment, the number of erythrocytes equal to 5–10 cells/µl was recorded. Fisher’s exact test was used for comparison. According to the results of the comparison, it was found out that there were no differences in the dynamics of groups or between the groups at similar time points.
Table 7 – Frequency of erythrocytes manifestation in urine (5–10 cells/μl), according to results of clinical urine analysis, n=6
Measurement day | GP40141 (Group 1) | Romiplostim (Group 2) | Fisher’s exact test (intragroup analysis), p |
Background | 1/6 | 1/6 | >0.05 |
Day 15 | 1 | 1/6 | >0.05 |
Day 29 | 1 | 1 | >0.05 |
Fisher’s exact test (intragroup analysis), background/day 15, p | >0.05 | >0.05 | – |
Fisher’s exact test (intragroup analysis), background/day 29, p | >0.05 | >0.05 | – |
Throughout the experiment, the urine indicators did not go beyond the limits of intralaboratory norms, either (Table 8). All these make it possible to conclude that the studied preparations did not affect the animals’ urine.
Table 8 – Intralaboratory norms for indicators of clinical urine analysis
Indicator, unit of measurement | Value range |
Specific gravity (density), g/ml | 1.0–1.030 |
Hydrogen index (pH) | 5–9 |
Total protein (TP), mg/dl | 0–15 |
Glucose (GLU), ml/dl | 0–40 |
Erythrocytes (ERY), cells/µl | 0–10 |
Leukocytes (LEY), cells/µl | 0–20 |
Bilirubin (BIL), ml/dl | 0–0.5 |
Urobilinogen (UBG), mg/dl | 0–1.8 |
Ketone bodies (KET), mg/dl | 0–50 |
Influence on parameters of clinical blood analysis
The analysis was carried out in dynamics – before the introduction of the objects, on the 15th and 29th days. Summary tables with the results of the clinical analysis are presented in Tables 9 and 10. The data of the clinical blood test indicators, for which the intergroup differences were observed, are presented in Fig. 3.
Table 9 – Hematological parameters of experimental animals groups, n=6
Group | Date | Parameter | Parameter | |||||||||
RBC, 1012/l | MCV, fl | Hgb, g/l | MCH, pg | MCHC, g/l | Hct, % | Plt×1٠9/l | PCT, % | MPV, fl | PDW, % | |||
GP40141 (Group 1) | Back- ground | Mean±SD | 6.6±0.56 | 63.7±4.55 | 126±4.4 | 19.3±1.70 | 303±6.9 | 41.5±1.24 | 309±68.0 | 0.2±0.04 | 8.0±0.75 | 16.5±0.36 |
15 days | Mean±SD | 6.1±0.62 | 63.8±4.86 | 115±2.1 | 18.9±1.73 | 297±7.7 | 38.7±1.57 | 757±183.2 | 0.5±0.09 | 7.0±0.66 | 17.8±0.74 | |
T-test, p Back- ground/ 15 days | 0.24 | 0.97 | 0.0003 | 0.71 | 0.21 | 0.006 | 0.0002 | <0.0001 | 0.03 | 0.003 | ||
29 days | Mean±SD | 5.8±0.28 | 62.7±4.83 | 109±7.0 | 19.0±1.70 | 303±7.1 | 36.2±2.06 | 717±153.6 | 0.5±0.07 | 6.4±0.66 | 17.3±0.72 | |
T-test, p Back- ground/ 29 days | 0.01 | 0.74 | 0.0007 | 0.73 | 0.84 | 0.0003 | 0.0001 | 0.0001 | 0.002 | 0.04 | ||
T-test, p 15/29 days | 0.25 | 0.77 | 0.10 | 0.97 | 0.29 | 0.04 | 0.68 | 0.16 | 0.13 | 0.25 | ||
Romiplostim (Group 2) | Back- ground | Mean±SD | 6.6±0.53 | 63.2±2.45 | 123±4.4 | 18.8±1.02 | 298±6.7 | 41.4±2.24 | 308±99.5 | 0.2±0.06 | 7.7±0.75 | 16.9±0.93 |
15 days | Mean±SD | 6.4±0.57 | 63.0±2.93 | 120±7.6 | 18.7±1.22 | 297±8.5 | 40.4±2.91 | 818±249.5 | 0.6±0.16 | 7.0±0.39 | 17.8±0.85 | |
T-test, p Background/ 15 days | 0.65 | 0.93 | 0.35 | 0.90 | 0.82 | 0.51 | 0.0009 | 0.0006 | 0.09 | 0.11 | ||
Т-test, р, Group 1/ Group 2 | 0.41 | 0.82 | 0.18 | 0.79 | 0.86 | 0.24 | 0.64 | 0.54 | 0.96 | 0.94 | ||
29 days | Mean±SD | 5.6±0.48 | 62.3±2.71 | 105±5.3 | 18.7±1.24 | 300±10.5 | 35.0±2.62 | 661±194.3 | 0.5±0.12 | 7.0±0.42 | 17.5±0.98 | |
T-test, p Background/ 29 days | 0.009 | 0.56 | <0.0001 | 0.92 | 0.66 | 0.001 | 0.003 | 0.002 | 0.08 | 0.34 | ||
T-test, p 15/29 days | 0.03 | 0.66 | 0.003 | 0.98 | 0.56 | 0.007 | 0.25 | 0.19 | 0.89 | 0.52 | ||
Т-test, р, Group 1/Group 2 | 0.50 | 0.84 | 0.22 | 0.78 | 0.66 | 0.39 | 0.59 | 0.91 | 0.08 | 0.69 | ||
Note: Mean – statistical mean; SD – standard deviation; T-test – Student’s t-test; RBC – erythrocyte count; MCV – mean cell volume; Hgb – hemoglobin; MCH – mean cell hemoglobin; MCHC – mean cell hemoglobin concentration; Hct – hematocrit; Plt – platelet count; PCT – thrombocrit; MPV – mean platelet volume; PDW – relative platelet distribution width.
Table 10 – Experimental animals’ leukocyte formula by groups, n=6
Group | Date | Parameter | WBC, ×109/l | MON, % | LYM, % | NE, % | EO, % | BA, % |
GP40141 )Group 1) | Back ground | Mean±SD | 9.5±2.91 | 4.2±1.13 | 34.4±6.42 | 59.0±6.89 | 1.9±1.38 | 0.6±0.41 |
15 days | Mean±SD | 11.0±2.53 | 4.4±0.83 | 33.7±6.00 | 59.0±6.66 | 2.4±1.41 | 0.6±0.27 | |
Т-test, p Background/15 days | 0.34 | 0.82 | 0.85 | 0.98 | 0.59 | 1.00 | ||
29 days | Mean±SD | 11.8±2.65 | 4.7±1.84 | 30.1±5.87 | 63.0±4.33 | 1.4±0.67 | 0.8±0.32 | |
Т-test, p Background/29 days | 0.17 | 0.57 | 0.25 | 0.25 | 0.47 | 0.41 | ||
Т-test, p 15/29 days | 0.60 | 0.65 | 0.32 | 0.25 | 0.18 | 0.31 | ||
Romiplostim (Group 2) | Back- ground | Mean±SD | 9.2±1.73 | 4.2±1.06 | 35.4±8.41 | 58.0±7.60 | 1.6±1.28 | 0.8±0.27 |
15 days | Mean±SD | 11.3±2.25 | 3.9±0.99 | 32.1±10.08 | 61.9±11.38 | 1.5±0.96 | 0.6±0.37 | |
Т-test, p Background /15 days | 0.10 | 0.62 | 0.55 | 0.50 | 0.88 | 0.39 | ||
Т-test, р, Group 1/Group 2 | 0.87 | 0.43 | 0.75 | 0.61 | 0.26 | 0.93 | ||
29 days | Mean±SD | 14.2±5.53 | 5.2±1.47 | 24.5±14.08 | 67.4±15.58 | 2.0±2.87 | 0.9±0.29 | |
Т-test, p Background /29 days | 0.06 | 0.21 | 0.13 | 0.21 | 0.75 | 0.43 | ||
Т-test, p 15/29 days | 0.26 | 0.11 | 0.31 | 0.50 | 0.68 | 0.15 | ||
Т-test, р, Group 1/Group 2 | 0.37 | 0.64 | 0.39 | 0.52 | 0.63 | 0.58 |
Note: Mean – statistical mean; SD – standard deviation; T-test – Student’s t-test; WBC – leukocytes; MON – monocytes; LYM – lymphocytes; NE – neutrophils; EO – eosinophils; BA – basophils.
There were no differences between the groups in any of the clinical blood tests. However, when analyzing the differences in the dynamics within the groups, an increase in the number of platelets (Plts), thrombocrit (PCT), as well as a decrease in the number of erythrocytes (RBCs), hemoglobin (Hgb) and hematocrit (Hct) was observed in both groups. In the first group, on the 15th and 29th days, these indicators differed significantly from the background (p <0.05), in the second group, they differed on the 29th day relative to the background and the 15th day (p <0.05). There was also an increase in the platelet distribution index (PDW) in group 1 and a similar trend in group 2, as well as a decrease in the mean platelet volume (MPV) within the groups on days 15 and 29 relative to the baseline values (Fig. 6). Since these indicators had similar dynamics (relative to the baseline values) in the groups treated with GP40141 and romiplostim, with a high degree of probability, it can be argued that they had comparable effects on hematological parameters. Similar changes were notified in the studies of the original drug and associated with its primary pharmacodynamics18,19.
Influence on the parameters of a biochemical blood test
The analysis was carried out in dynamics – before the introduction of the objects, on the 15th and 29th days. The data of biochemical blood indicators analysis are presented in Tables 11 and 12, and the indicators for which intergroup differences were observed are presented in Fig. 4.
Table 11 – Biochemical parameters of animal blood (part 1), n=6
Group | Date | Parameter | Indicators | |||||||
GLU Mmol/l | ALP U/l | ALT U/l | AST U/l | dRR | LDH U/l | TB Mmol/l | UREA Mmol/l | |||
GP40141 (Group 1) | Background | Mean±SD | 4.0±0.96 | 1 064±322.3 | 26.7±5.99 | 37.0±8.85 | 0.8±0.29 | 579±197.3 | 4.7±1.30 | 6.1±0.37 |
15 days | Mean±SD | 4.3±0.55 | 1 238±141.3 | 31.2±4.49 | 45.7±12.31 | 0.7±0.16 | 651±165.2 | 7.5±2.99 | 6.2±0.37 | |
Т-test, p Background/15 days | 0.54 | 0.053 | 0.17 | 0.19 | 0.90 | 0.51 | 0.06 | 0.60 | ||
29 days | Mean±SD | 4.5±1.64 | 1 142±365.3 | 28.5±5.82 | 41.2±16.74 | 0.8±0.19 | 543±314.0 | 4.6±1.93 | 6.2±0.57 | |
Т-test, p Background/29 days | 0.48 | 0.71 | 0.60 | 0.60 | 1.00 | 0.82 | 0.96 | 0.68 | ||
Т-test, p, 15/29 days | 0.70 | 0.15 | 0.40 | 0.61 | 0.87 | 0.47 | 0.07 | 1.00 | ||
Romiplostim (Group 2) | Background | Mean±SD | 5.7±1.29 | 1 294±245.9 | 29.2±9.93 | 39.0±17.33 | 0.8±0.15 | 693±96.4 | 4.9±1.11 | 8.8±1.13 |
15 days | Mean±SD | 4.0±1.39 | 1 363±133.1 | 31.3±7.94 | 36.0±10.26 | 0.9±0.12 | 675±83.7 | 6.9±1.31 | 8.8±0.97 | |
Т-test, p Background/15 days | 0.06 | 0.56 | 0.69 | 0.72 | 0.31 | 0.73 | 0.02 | 0.98 | ||
Т-test, р, Group 1/ Group 2 | 0.67 | 0.75 | 0.97 | 0.17 | 0.14 | 0.76 | 0.64 | 0.0001 | ||
29 days | Mean±SD | 4.7±1.24 | 1 322±159.0 | 35.5±12.60 | 37.5±15.14 | 1.0±0.23 | 699±141.5 | 5.1±1.35 | 9.0±1.16 | |
Т-test, p Background/ 15 days | 0.22 | 0.82 | 0.36 | 0.88 | 0.08 | 0.93 | 0.73 | 0.77 | ||
Т-test, p 15/29 days | 0.37 | 0.64 | 0.51 | 0.84 | 0.23 | 0.72 | 0.04 | 0.77 | ||
Т-test, р, Group 1/ Group 2 | 0.85 | 0.29 | 0.24 | 0.70 | 0.06 | 0.29 | 0.61 | 0.0003 | ||
Note: Mean – statistical mean; SD – standard deviation; T-test – Student’s t-test; GLU – glucose; ALP – alkaline phosphatase; ALT – alanine aminotransferase; AST – aspartate aminotransferase; LDH – lactate dehydrogenase; TP – total protein; UREA – urea; dRR - de Ritis ratio.
Table 12 – Biochemical parameters of animal blood (part 2), n=6
Group | Date | Parameter | Indicators | ||||||||
CRE Mmol/l | CHOL Mmol/l | TG Mmol/l | TP g/l | ALB g/l | GLB g/l | ALB/ GLB | K+ Mmol/l | Na+ Mmol/l | |||
GP40141 (Group 1) | Back- ground | Mean±SD | 144±25.2 | 3.5±1.18 | 0.4±0.09 | 71.7±15.00 | 41.7±9.14 | 30.0±7.4 | 1.4±0.29 | 4.2±0.90 | 118±2.4 |
15 days | Mean±SD | 164±18.9 | 3.9±0.81 | 0.5±0.23 | 79.2±11.58 | 49.2±3.87 | 30.0±12.8 | 2.1±1.41 | 5.2±0.86 | 115±2.7 | |
Т-test, p Background/ 15 days | 0.16 | 0.47 | 0.18 | 0.36 | 0.09 | 1.00 | 0.26 | 0.07 | 0.07 | ||
29 days | Mean±SD | 138±28.6 | 5.1±0.71 | 0.5±0.26 | 70.8±10.63 | 40.3±6.80 | 30.5±3.94 | 1.32±0.09 | 4.23±1.04 | 116±10.3 | |
Т-test, p Background/ 29 days | 0.71 | 0.34 | 0.25 | 0.91 | 0.78 | 0.89 | 0.41 | 0.89 | 0.63 | ||
Т-тест, p 15/29 days | 0.10 | 0.35 | 0.95 | 0.22 | 0.02 | 0.93 | 0.19 | 0.12 | 0.85 | ||
Romiplostim (Group 2) | Back- ground | Mean±SD | 143±9.5 | 4.1±0.84 | 0.3±0.18 | 83.0±4.29 | 45.2±1.72 | 37.8±3.92 | 1.2±0.13 | 4.7±0.50 | 144±9.6 |
15 days | Mean±SD | 148±16.6 | 4.6±1.02 | 0.5±0.14 | 84.5±5.28 | 47.3±3.67 | 37.2±5.42 | 1.3±0.29 | 5.2±0.71 | 150±5.1 | |
Т-test, p Background/ 15 days | 0.54 | 0.42 | 0.11 | 0.60 | 0.22 | 0.81 | 0.45 | 0.15 | 0.22 | ||
Т-test, р, Group 1/Group 2 | 0.14 | 0.23 | 0.92 | 0.33 | 0.42 | 0.23 | 0.19 | 0.91 | <0.0001 | ||
29 days | Mean±SD | 140±9.3 | 3.9±0.38 | 0.4±0.32 | 84.5±5.54 | 46.5±3.83 | 38.0±3.95 | 1.2±0.17 | 4.9±0.55 | 148±4.1 | |
Т-test, p Background/ 29 days | 0.59 | 0.61 | 0.70 | 0.61 | 0.46 | 0.94 | 0.73 | 0.40 | 0.39 | ||
Т-test, p 15/29 days | 0.33 | 0.17 | 0.49 | 1.00 | 0.71 | 0.77 | 0.62 | 0.46 | 0.47 | ||
Т-test, р, Group 1/Group 2 | 0.93 | 0.35 | 0.55 | 0.02 | 0.08 | 0.01 | 0.31 | 0.17 | <0.0001 | ||
Note: Mean – statistical mean; SD – standard deviation; T-test – Student’s t-test; CRE – creatinine; CHOL – cholesterol; TG – triglycerides; TB – total bilirubin; ALB – albumin; GLB – globulin; ALB/GLB – albumin/globulin ratio.
The evaluation of intragroup dynamics showed only an increase in the level of bilirubin on the 15th
day, compared with baseline values in both groups (p <0.05). When evaluating the intergroup dynamics, it was notified that throughout the experiment, groups 1 and 2 did not differ from each other in any indicator, except the content of urea and sodium in the blood (p <0.05).
Influence on blood coagulation system
In dynamics – on days 0, 15 and 29 – the blood was taken from the experimental animals to assess the parameters of coagulation hemostasis. The data of the obtained results are presented in Fig. 5.
The administration of the original drug romiplostim and GP40141 did not lead to changes in the parameters of coagulation hemostasis, no significant differences were found out either between the groups of the monkeys, or between the background values and the results on days 15 and 29 after the introduction of the objects.
DISCUSSION
Complement-dependent cytotoxicity for the original drug romiplostim, as well as for its analogue GP40141, was not observed for the 32D hTPOR clone 63 lines. The main mechanism of the romiplostim action is associated with the activation of signaling pathways that promote cells viability, their growth, megakaryocyte endomitosis, and maturation of megakaryocytes and, what is important, a platelet production [9]. The Fc–area of the romiplostim molecule does not specifically bind to complement proteins and therefore does not elicit an immune response.
According to the results of in vivo studies, the original drug romiplostim and its biosimilar GP40141 can be considered comparable in terms of the safety profile. During the study, no deviations in the clinical status of the animals were recorded, and neither mortality in the groups was notified. Body weight and respiratory rate had similar dynamics throughout the experiment. There were no differences in the indicators of coagulation hemostasis and clinical urinalysis either; the dynamics according to these indicators was similar. The values of most of the clinical blood analysis indicators remained stable compared to the baseline values. The exception was an increase in the number of platelets and thrombocrit, as well as a decrease in the level of erythrocytes, hemoglobin and hematocrit, the intergroup differences were not observed in any of the indicators. On the 15th day, the analysis of blood biochemical parameters revealed only an increase in the level of bilirubin, compared with the initial values in both groups, and when assessing the intergroup dynamics, it was notified that throughout the experiment, groups 1 and 2 did not differ from each other in any indicator, except urea and sodium levels in the blood. Considering that the differences were observed at each measurement point (before the administration, on days 15 and 29), while the dynamics of the indicators did not differ between the groups, we it can be said that these differences are not due to the action of the drugs, but reflect the initial difference in the groups. All these indicate that the study drugs had a comparable effect on the blood biochemical parameters.
CONCLUSION
The comparison of safety profiles for the original drug romiplostim and its biosimilar GP40141 both in vitro and in vivo showed similar results. For the in vitro CDC test, when the complement was added, the drugs showed a proliferative activity, and there was no cells death. Based on the data obtained as a result of the in vivo study, it can be concluded that GP40141 (TO) and romiplostim (RF) were satisfactorily tolerated by the animals, there were no deviations in food intake, no deviations in the clinical status and deaths were recorded. The introduction of the test object and the standard object did not lead to a significant change in the weight and body temperature of the experimental animals compared to the initial values. There were no differences in urine and hemostasis parameters throughout the study either. The revealed changes in hematological parameters were unidirectional in both groups and were associated with the primary pharmacodynamics of GP40141 (TO) and romiplostim (RF). The changes in biochemical blood parameters were also unidirectional in both groups. According to the results of in vivo studies, it can be concluded that the toxicological profile for the drugs is similar and they are comparable in terms of the safety profile.
FUNDING
The work was carried out with the financial support of LLC GEROPHARM group. The sponsor had no influence on the choice of materials for the publication, analysis and interpretation of the data.
CONFLICT OF INTERESTS
The in vitro and in vivo study was organized by Pharm-Holding, which is a part of the LLC GEROPHARM group of companies. The in vitro study was carried out at Pharm-Holding division under a financing agreement with LLC GEROPHARM. The in vivo study was carried out at the Scientific Research Institute of Medical Primatology under the financing agreement of the LLC GEROPHARM. The manufacturer of GP40141, a biosimilar of romiplostim, is the LLC GEROPHARM.
AUTHORS’ CONTRIBUTION
ANA – writing and editing the text, analyzing and interpreting the results of the in vitro study, conducting the in vitro study; VBS – development of the in vitro study design, analysis and interpretation of the in vitro study results, text editing; JJKO – conducting the in vivo study, editing the text; EIM – conducting the in vivo study; DVK – interpretation of the results of the study in vitro and in vivo, approval of the text; AVK – development of the in vivo study design, interpretation of the in vivo results; IEM – development of the study design, analysis critical revision of the content of the article, approval of the final version for publication; ALK – interpretation of the results of the in vitro and in vivo studies, approval of the text; IAL – development of the in vivo study design, writing and editing the in vivo text.
1 Russian State Register of Medicinal Products. Nplate®. Available from: https://grls.rosminzdrav.ru/Grls_View_v2.aspx?routingGuid=e7a25c3e-1caa-44c0-81fe-5967882a071a.
2 Russian State Register of Medicinal Products. Revolade® Available from: https://grls.rosminzdrav.ru/Grls_View_v2.aspx?routingGuid=e7a25c3e-1caa-44c0-81fe-5967882a071a.
3 Decision of Council of the Eurasian Economic Commission of November 3, 2016 No. 89 “About approval of Rules of carrying out researches of biological medicines of the Eurasian Economic Union”. Available from: http://www.consultant.ru/document/cons_doc_LAW_207925/.
4 GOST 33218-2014 «Guide for the Care and Management of Laboratory Animals. Rules of Care and Management of Nonhuman Primates», 2014.
5 GOST standard 33215-2014 «Guide for the Care and Use of Laboratory Animals. Rules of Fitting of Facilities and of Organization of Procedures», 2014.
6 CHMP assessment report for Nplate®. Procedure No. EMEA/H/C/942. EMEA/654269/2008, 2022. Available from: https://www.ema.europa.eu/en/documents/assessment-report/nplate-epar-public-assessment-report_en.pdf.
7 Directive 2010/63/EU of the European Parliament and of the Council of 22 September 2010 on the protection of animals used for scientific purposes. Available from: https://eur-lex.europa.eu/LexUriServ/LexUriServ.do?uri=OJ%3AL%3A2010%3A276%3A0033%3A0079%3Aen%3APDF/
8 Decision of Council of the Eurasian Economic Commission of November 3, 2016 No. 89 “About approval of Rules of carrying out researches of biological medicines of the Eurasian Economic Union”.
9 Ibid.
10 Product monograph including patient medication information Nplate® romiplostim for injection. Available from: https://www.amgen.ca/-/media/Themes/CorporateAffairs/amgen-ca/amgen-ca/documents/products/en/nplate_pm.pdf.
11 CHMP assessment report for Nplate®. Procedure No. EMEA/H/C/942. EMEA/654269/2008, 2022.
12 Decision of Council of the Eurasian Economic Commission of November 3, 2016 No. 89 “About approval of Rules of carrying out researches of biological medicines of the Eurasian Economic Union”.
13 Ibid.
14 Ibid.
15 SanPin 2.1.4.1074-01. Drinking water Hygienic requirements for water quality of centralized drinking water supply systems. Quality control.
16 GN 2.1.5.1315-03 Maximum allowable concentrations (MACs) of chemicals in the water of water objects used for drinking and domestic recreation purposes. Available from: https://files.stroyinf.ru/Data2/1/4294815/4294815336.pdf
17 GN 2.1.5.2280-07 “Maximum permissible concentration (MPC) of chemical substances in water of water bodies of household, drinking and cultural and household water use. Available from: http://pravo.gov.ru.
18 CHMP assessment report for Nplate®. Procedure No. EMEA/H/C/942. EMEA/654269/2008.
19 Product monograph including patient medication information Nplate® romiplostim for injection.
作者简介
Alina Afanasyeva
Сlosed Joint-Stock Company “Farm-Holding”
编辑信件的主要联系方式.
Email: Alina.Afanaseva@geropharm.com
ORCID iD: 0000-0002-1443-4294
Junior Researcher, CJSC Pharm-Holding
俄罗斯联邦, Bld. A, 34, Svyaz Str., Strelna Vil., St. Petersburg, 198515Valeria Saparova
Сlosed Joint-Stock Company “Farm-Holding”; A.I. Yevdokimov Moscow State University of Medicine and Dentistry
Email: Valeriya.Saparova@geropharm.com
ORCID iD: 0000-0002-8445-1129
Head of the Laboratory of Pharmacology, CJSC Pharm-Holding; researcher,A.I. Yevdokimov Moscow State University of Medicine and Dentistry
俄罗斯联邦, Bld. A, 34, Svyaz Str., Strelna Vil., St. Petersburg, 198515; Bld. 1, 20, Delegatskaya Str., Moscow, 127473Jina Karal-Ogly
Scientific Research Institute of Medical Primatology
Email: karal_5@mail.ru
ORCID iD: 0000-0003-3606-1668
Candidate of Sciences (Biology), Deputy Director for Science,Scientific Research Institute of Medical Primatology
俄罗斯联邦, Bld. 177, Mir Str., Vesyoloye Vil., Sochi, 354376Evgenia Mukhametzyanova
Scientific Research Institute of Medical Primatology
Email: evg.m89@mail.ru
ORCID iD: 0000-0002-1238-7594
Researcher,Scientific Research Institute of Medical Primatology
俄罗斯联邦, Bld. 177, Mir Str., Vesyoloye Vil., Sochi, 354376Denis Kurkin
Volgograd State Medical University
Email: strannik986@mail.ru
ORCID iD: 0000-0002-1116-3425
Doctor of Sciences (Pharmacy), Associate Professor, Professor of the Department of Clinical Pharmacology and Intensive Care,VolgogradState Medical University, First Deputy Director of the Scientific Center for Innovative Medicines, Volgograd State Medical University
俄罗斯联邦, 1, Pavshikh Bortsov Sq., Volgograd, 400131Anna Kalatanova
Сlosed Joint-Stock Company “Farm-Holding”
Email: Anna.Kalatanova@geropharm.com
ORCID iD: 0000-0003-2623-6014
Researcher, CJSC Pharm-Holding
俄罗斯联邦, Bld. A, 34, Svyaz Str., Strelna Vil., St. Petersburg, 198515Igor Makarenko
Сlosed Joint-Stock Company “Farm-Holding”; A.I. Yevdokimov Moscow State University of Medicine and Dentistry
Email: Igor.Makarenko@geropharm.com
ORCID iD: 0000-0003-2308-0608
Candidate of Sciences (Medicine), Head of the Medical Department, CJSC Pharm-Holding; researcher,A.I. Yevdokimov Moscow State University of Medicine and Dentistry
俄罗斯联邦, Bld. A, 34, Svyaz Str., Strelna Vil., St. Petersburg, 198515; Bld. 1, 20, Delegatskaya Str., Moscow, 127473Alexander Khokhlov
Yaroslavl State Medical University
Email: al460935@yandex.ru
ORCID iD: 0000-0002-0032-0341
Academician of the Russian Academy of Sciences, Professor, Doctor of Sciences (Medicine), Head of the Department of Clinical Pharmacology and Ethics of the Use of Medicines at UNESCO; Rector,Yaroslavl State Medical University
俄罗斯联邦, 5, Revolutsionnaya Str., Yaroslavl, 150000Ilya Lugovik
Сlosed Joint-Stock Company “Farm-Holding”
Email: Ilia.Lugovik@geropharm.com
ORCID iD: 0000-0003-3840-5049
Researcher, CJSC Pharm-Holding
俄罗斯联邦, Bld. A, 34, Svyaz Str., Strelna Vil., St. Petersburg, 198515参考
- Kuter DJ, Newland A, Chong BH, Rodeghiero F, Romero MT, Pabinger I, Chen Y, Wang K, Mehta B, Eisen M. Romiplostim in adult patients with newly diagnosed or persistent immune thrombocytopenia (ITP) for up to 1 year and in those with chronic ITP for more than 1 year: a subgroup analysis of integrated data from completed romiplostim studies. Br J Haematol. 2019 May;185(3):503–13. doi: 10.1111/bjh.15803
- Birocchi S, Podda GM, Manzoni M, Casazza G, Cattaneo M. Thrombopoietin receptor agonists for the treatment of primary immune thrombocytopenia: a meta-analysis and systematic review. Platelets. 2021 Feb 17;32(2):216–26. doi: 10.1080/09537104.2020.1745168
- Pietras NM, Pearson-Shaver AL. Immune Thrombocytopenic Purpura. 2022 May 10. In: StatPearls [Internet]. Treasure Island (FL): StatPearls Publishing; 2022 Jan.
- Newland A, Godeau B, Priego V, Viallard JF, López Fernández MF, Orejudos A, Eisen M. Remission and platelet responses with romiplostim in primary immune thrombocytopenia: final results from a phase 2 study. Br J Haematol. 2016 Jan;172(2):262–73. doi: 10.1111/bjh.13827
- Pasquet M, Aladjidi N, Guiton C, Courcoux MF, Munzer M, Auvrignon A, Lutz P, Ducassou S, Leroy G, Munzer C, Leverger G; Centre de Référence National des Cytopénies Auto-immunes de l’Enfant (CEREVANCE). Romiplostim in children with chronic immune thrombocytopenia (ITP): the French experience. Br J Haematol. 2014 Jan;164(2):266–71. doi: 10.1111/bjh.12609
- Vishnu P, Aboulafia DM. Long-term safety and efficacy of romiplostim for treatment of immune thrombocytopenia. J Blood Med. 2016 May 25;7:99–106. doi: 10.2147/JBM.S80646
- Wolff-Holz E, Tiitso K, Vleminckx C, Weise M. Evolution of the EU Biosimilar Framework: Past and Future. BioDrugs. 2019 Dec;33(6):621–34. doi: 10.1007/s40259-019-00377-y
- Suntsova EV, Chikvina II, Sadovskaya MN, Kotskaya NN, Hachatryan LA, Baydildina DD, Kalinina II, Petrova UN, Pshonkin AV, Lutfullin IY, Lemazina EN, Osipova IV, Galeeva AV, Naumova OS, Fisyn IV, Bikova GV, Kazaryan GR, Maschan AA, Novichkova GA. Use of romiplostim for newly diagnosed immune thrombocytopenia in children. Pediatric Hematology/Oncology and Immunopathology. 2020;19(1):18–26. doi: 10.24287/1726-1708-2020-19-1-18-26 Russian
- Bussel JB, Soff G, Balduzzi A, Cooper N, Lawrence T, Semple JW. A Review of Romiplostim Mechanism of Action and Clinical Applicability. Drug Des Devel Ther. 2021 May 26;15:2243–68. doi: 10.2147/DDDT.S299591
- Yang AS. Development of romiplostim: a novel engineered peptibody. Semin Hematol. 2015 Jan;52(1):12-5. doi: 10.1053/j.seminhematol.2014.10.007
- Kuter DJ. Romiplostim. Cancer Treat Res. 2011;157:267–88. doi: 10.1007/978-1-4419-7073-2_16
- Bussel JB, Kuter DJ, George JN, McMillan R, Aledort LM, Conklin GT, Lichtin AE, Lyons RM, Nieva J, Wasser JS, Wiznitzer I, Kelly R, Chen CF, Nichol JL. AMG 531, a thrombopoiesis-stimulating protein, for chronic ITP. N Engl J Med. 2006 Oct 19;355(16):1672–81. doi: 10.1056/NEJMoa054626. Erratum in: N Engl J Med. 2006 Nov 9;355(19):2054.
- Kuter DJ, Bussel JB, Lyons RM, Pullarkat V, Gernsheimer TB, Senecal FM, Aledort LM, George JN, Kessler CM, Sanz MA, Liebman HA, Slovick FT, de Wolf JT, Bourgeois E, Guthrie TH Jr, Newland A, Wasser JS, Hamburg SI, Grande C, Lefrère F, Lichtin AE, Tarantino MD, Terebelo HR, Viallard JF, Cuevas FJ, Go RS, Henry DH, Redner RL, Rice L, Schipperus MR, Guo DM, Nichol JL. Efficacy of romiplostim in patients with chronic immune thrombocytopenic purpura: a double-blind randomised controlled trial. Lancet. 2008 Feb 2;371(9610):395–403. doi: 10.1016/S0140-6736(08)60203-2
- Kuter DJ, Rummel M, Boccia R, Macik BG, Pabinger I, Selleslag D, Rodeghiero F, Chong BH, Wang X, Berger DP. Romiplostim or standard of care in patients with immune thrombocytopenia. N Engl J Med. 2010 Nov 11;363(20):1889–99. doi: 10.1056/NEJMoa1002625
- Shirasugi Y, Ando K, Miyazaki K, Tomiyama Y, Okamoto S, Kurokawa M, Kirito K, Yonemura Y, Mori S, Usuki K, Iwato K, Hashino S, Wei H, Lizambri R. Romiplostim for the treatment of chronic immune thrombocytopenia in adult Japanese patients: a double-blind, randomized Phase III clinical trial. Int J Hematol. 2011 Jul;94(1):71–80. doi: 10.1007/s12185-011-0886-8
- Beck A, Reichert JM. Therapeutic Fc-fusion proteins and peptides as successful alternatives to antibodies. MAbs. 2011 Sep-Oct;3(5):415-6. doi: 10.4161/mabs.3.5.17334
- Czajkowsky DM, Hu J, Shao Z, Pleass RJ. Fc-fusion proteins: new developments and future perspectives. EMBO Mol Med. 2012 Oct;4(10):1015–28. doi: 10.1002/emmm.201201379
- Lee CH, Delidakis G. Engineering IgG1 Fc Domains That Activate the Complement System. Methods Mol Biol. 2022;2421:187–200. doi: 10.1007/978-1-0716-1944-5_13.
- Sommarhem A. Resistance mechanisms of non-Hodgkin lymphomas against Rituximab treatment. Helsinki: University of Helsinki, 2007.
- Amoroso A, Hafsi S, Militello L, Russo AE, Soua Z, Mazzarino MC, Stivala F, Libra M. Understanding rituximab function and resistance: implications for tailored therapy. Front Biosci (Landmark Ed). 2011 Jan 1;16(2):770–82. doi: 10.2741/3719
- Cerny T, Borisch B, Introna M, Johnson P, Rose AL. Mechanism of action of rituximab. Anticancer Drugs. 2002 Nov;13 Suppl 2:S3-10. doi: 10.1097/00001813-200211002-00002
- Pescovitz MD. Rituximab, an anti-cd20 monoclonal antibody: history and mechanism of action. Am J Transplant. 2006 May;6(5Pt1):859–66. doi: 10.1111/j.1600-6143.2006.01288.x
- Winkler MT, Bushey RT, Gottlin EB, Campa MJ, Guadalupe ES, Volkheimer AD, Weinberg JB, Patz EF Jr. Enhanced CDC of B cell chronic lymphocytic leukemia cells mediated by rituximab combined with a novel anti-complement factor H antibody. PLoS One. 2017 Jun 28;12(6):e0179841. doi: 10.1371/journal.pone.0179841
- Pawluczkowycz AW, Beurskens FJ, Beum PV, Lindorfer MA, van de Winkel JG, Parren PW, Taylor RP. Binding of submaximal C1q promotes complement-dependent cytotoxicity (CDC) of B cells opsonized with anti-CD20 mAbs ofatumumab (OFA) or rituximab (RTX): considerably higher levels of CDC are induced by OFA than by RTX. J Immunol. 2009 Jul 1;183(1):749–58. doi: 10.4049/jimmunol.0900632
补充文件







