Molecular mechanisms underlying therapeutic action of vitamin B6
- Authors: Zagubnaya O.A.1,2, Nartsissov Y.R.1,2
-
Affiliations:
- Institute of Cytochemistry and Molecular Pharmacology
- Biomedical Research Group, BiDiPharma GmbH
- Issue: Vol 10, No 6 (2022)
- Pages: 500-514
- Section: REVIEWS
- URL: https://journals.eco-vector.com/2307-9266/article/view/352569
- DOI: https://doi.org/10.19163/2307-9266-2022-10-6-500-514
- ID: 352569
Cite item
Abstract
The aim of the study was to analyze the molecular mechanisms that determine the possibility of using vitamin B6 in clinical practice for the correction of various pathological conditions.
Materials and methods. Information retrieval (Scopus, PubMed) and library (eLibrary) databases were used as research tools. In some cases, the ResearchGate application was used for a semantic search. The analysis and generalization of the scientific literature on the topic of research, covering the period from 1989 to the present, has been carried out in the work.
Results. It has been shown that all chemical forms of vitamin B6 are able to penetrate the membranes of most cells by free diffusion, while forming phosphorylated forms inside. Pyridoxal phosphate is a biologically important metabolite that is directly involved as a cofactor in a variety of intracellular reactions. Requirements for this cofactor depend on the age, sex and condition of the patient. Pregnancy and lactation play a special role in the consumption of vitamin B6. In most cases, a balanced diet will provide an acceptable level of this vitamin. At the same time, its deficiency leads to the development of a number of pathological conditions, including neurodegenerative diseases, inflammations and diabetes. Negative manifestations from the central nervous system are also possible with an excessive consumption of B6.
Conclusion. Replenishment of the vitamin B6 level in case of its identified deficiency is a necessary condition for the successful treatment of the central nervous system diseases, diabetes and correction of patients’ immune status. At the same time, it is necessary to observe a balanced intake of this cofactor in order to avoid negative effects on metabolism in case of its excess.
Keywords
Full Text
Abbreviations: PN – pyridoxine; PM – pyridoxamine; PL – pyridoxal; PNP – pyridoxine phosphate; PMP – pyridoxamine phosphate; PLP – pyridoxal phosphate; PNG – pyridoxine glycoside; PDXK – pyridoxalkinase; PNPO – pyridoxine(amine)phosphate oxidase; ALP – tissue non-specific alkaline phosphatase; PDXP – pyridoxal(pyridoxine/pyridoxamine)phosphatase; AT – aminotransferase; DH – aldehyde dehydrogenase; PNGH – pyridoxine glycoside hydrolase; LPH – lactase-phloretin hydrolase; AOX – aldehyde oxidase; E-PLP – enzyme-linked pyridoxal phosphate; E-PMP – enzyme-bound pyridoxamine phosphate; RDM – recommended daily maintenance; POX – L-pipecolate oxidase; PYRC – Δ1-pyrroline-5-carboxylate reductase; AASA – α-aminoadipate-6-semialdehyde; AASDH – antiquitin (α-aminoadipate-6-semialdehyde dehydrogenase); AADAT – α-aminoadipate aminotransferase; P6C – L-Δ1-piperidine-6-carboxylate; P5C – L-Δ1-pyrroline-5-carboxylate; KYN – kynurenine; KYNA – kynurenic acid; XA – xanthurenic acid; PUFAs – polyunsaturated fatty acids; AGEPs – advanced glycation end product; ROS – reactive oxygen species; CRP – C-reactive protein; TNF-α – tumor necrosis factor-α; IL-1b – interleukin-1b; IL-6 – interleukin-6; WBCs – number of white blood cells; ATP- adenosine triphosphate; GABA – gamma aminobutyric acid; CNS – central nervous system; MMT – mitochondrial membrane transporter; BBB – blood-brain barrier.
INTRODUCTION
Vitamin B6 is one of the vital water-soluble vitamins. Its discovery dates back to the beginning of the 20th century; the discovery occurred as a result of the search for a pellagra cure [1]. In solution, this vitamin is present in the form of 3 main chemical forms (vitamers) – alcohol, aldehyde and amine. B6 vitamers are stable in an acidic environment, but become extremely unstable in a neutral or alkaline environment, especially when heated or exposed to light [2]. Although the chemical forms of vitamin B6 are relatively diverse, only the phosphorylated form of the aldehyde functions as a coenzyme in mammalian organisms. The main metabolism of this vitamin occurs in the liver; however, other tissues have a corresponding metabolic activity. In this case, the catabolism product of vitamin B6 is pyridoxic acid (4-pyridoxic acid, PA).
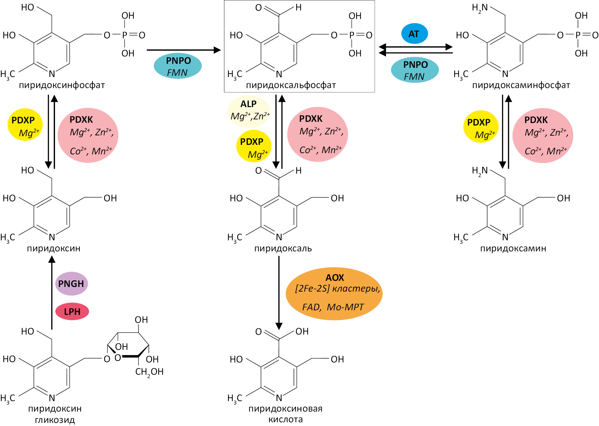
Among the biochemical reactions directly involved in the vitamin B6 metabolism, it is necessary to highlight several key enzymes (Fig. 1), which include:
- pyridoxalkinase (PDXK, pyridoxal kinase, EC 2.7.1.35), catalytic activity cofactors: divalent metal ions (Mg2+, Zn2+, Co2+, Mn2+); the corresponding reaction is:
ATP + PL/PN/PM → ADP + H+ + PLP/PNP/PMP
- pyridoxine (amine) phosphate oxidase (PNPO, pyridoxine-5’-phosphate oxidase, EC 1.4.3.5), catalytic activity cofactor: flavin mononucleotide (FMN); the corresponding reaction is:
H2O + O2 + PNP/PMP → H2O2 + NH4+ + PLP
- tissue-nonspecific alkaline phosphatase (ALP, tissue non-specific alkaline phosphatase, EC 3.1.3.1), catalytic activity cofactors: Mg2+, Zn2+; the corresponding reaction is:
PLP + H2O → PL + phosphate
- pyridoxal (pyridoxine/pyridoxamine) phosphatase (PDXP pyridoxal (pyridoxine/ pyridoxamine) phosphatase, EC 3.1.3.74), a catalytic activity cofactor: Mg2+; the corresponding reaction is:
PLP + H2O ↔ PL + phosphate
- aminotransferase (AT aminotransferase, EC 2.6.1.54); the corresponding reaction is:
PMP + 2-Oxoglutarate ↔ PLP + D-Glutamate
- pyridoxine glycoside hydrolase (PNGH, PNG hydrolase, EC 3.2.1.62) and/or LPH – lactase-phloretin hydrolase (lactase-phloretin hydrolase, EC 3.7.1.4); the corresponding reaction is:
PN-5’-β-D-glucoside + H2O → pyridoxine + D-glucose
- aldehyde oxidase (AOX, aldehyde oxidase, EC 1.2.3.1), catalytic activity cofactors: [2Fe-2S] clusters, FAD, Mo-molybdopterine; the corresponding reaction is:
PL + H+ + H2O2 ↔ PA + H2O + O2
Figure 1 – Mutual conversion of three B6 vitamers
Note: Three possible forms are involved in the metabolic cells processes. They are: alcohol (pyridoxine, pyridoxine, PN), amine (pyridoxamine, pyridoxamine, PM) and aldehyde (pyridoxal, pyridoxal, PL). Each of the vitamers can be in a phosphorylated form: pyridoxine phosphate (pyridoxine 5’-phosphate, PNP), pyridoxamine phosphate (pyridoxamine 5’-phosphate, PMP), and pyridoxal phosphate (pyridoxal 5’-phosphate, PLP), respectively [4]. In the case of an alcohol vitamer, a glycosylated form may also exist: pyridoxine glycoside (pyridoxine-5′-β-D-glucoside, PNG) [5].
The combination of the enzymes listed above, forms pools of intracellular vitamin B6 derivatives and predetermines the corresponding levels of the metabolic processes activity directly associated with the participation of pyridoxal phosphate. It is noteworthy that certain types of bacteria of the human intestinal microflora are able to synthesize vitamin B6 in the form of pyridoxal phosphate from deoxyxylulose 5′-phosphate and 4-phosphohydroxythreonine, as well as from glyceraldehyde-3-phosphate and D-ribulose 5′-phosphate. The following bacteria have these biosynthetic pathways: bacteroids (Bacteroides fragilis and Prevotella copri), actinobacteria (Bifidobacterium longum and Collinsella aerofaciens), and proteobacteria (Helicobacter pylori) [3]. Despite rather extensive information on the impact on the biochemical processes of this representative water-soluble vitamins group, today, there is no fully substantiated idea of its use possibility in various pathological conditions and molecular processes that underlie the alleged positive effects.
THE AIM of the study was to analyze the molecular mechanisms that determine the possibility of using vitamin B6 in clinical practice for the correction of various pathological conditions.
MATERIALS AND METHODS
Information retrieval (Scopus, PubMed) and library (eLibrary) databases were used as research tools. In some cases, the ResearchGate application was used for a semantic search. The analysis and generalization of the scientific literature on the topic of research, covering the period from 1989 to the present, has been carried out in the work.
The following keywords and word combinations were used in the search: pyridoxal phosphate, recommended daily maintenance for vitamin B6, vitamin B6 deficiency, pyridoxal phosphate, pyridoxine, PLP, vitamin B6 metabolic pathways, PLP-dependent enzymes, pyridoxal phosphate-dependent reactions, vitamin B6 daily intake, vitamin B6 deficiency, pyridoxal phosphate and oxidative phosphorylation, PLP-dependent epilepsy, pyridoxal phosphate and diabetes, vitamin B6 therapy, pyridoxine toxicity.
The BRENDA database (https://www.brenda-enzymes.org) was used to describe the B6 derivatives metabolism using the appropriate classification of enzymes, the reactions they catalyze, and the cofactors involved. When detailing the processes of intake and distribution of vitamin B6 in the body, metabolic pathways maps of the KEGG information database (https://www.kegg.jp) were used. To build chemical formulas and illustrations, the Corel Draw 2018/2022 software package was used.
RESULTS AND DISCUSSION
Intake and distribution of vitamin B6 in the body
A distinctive feature of pyridoxal (PL) and its derivatives is the difference between the biologically significant active form of the vitamin and the form that is able to penetrate into cells.
Phosphorylated forms of B6 vitamers and pyridoxine glycoside are not absorbed in the intestine, so they are subject to dephosphorylation by intestinal phosphatases (PDXP) and deglycosylation by hydrolases (PNGH/LPH) [5]. B6 vitamers have been shown to be absorbed in the intestine via passive diffusion [6, 7]. It is possible that there is transport of B6 vitamers by thiamine transporters (THTR), which belong to the SLC19A2 and SLC19A3 families and function in the acidic environment of the small intestine or other tissues [8]. The absorption of vitamin B6 increases with an increase in the level of carriers transcription (with a deficiency of pyridoxal phosphate), as well as under the action of protein kinase A. In turn, with an increase in the intracellular level of cAMP, there is a significant absorption inhibition of vitamin B6, which is also sensitive to the action of the diuretic amiloride [7].
After the absorption by the small intestine cells, B6 vitamers are rephosphorylated by the corresponding kinases (PDXK) and converted to pyridoxal phosphate or delivered to the liver with the blood flow. The liver also rephosphorylates and converts pyridoxine phosphate (PNP) and pyridoxamine phosphate (PMP) to pyridoxal phosphate (PLP) by pyridoxine (amine) phosphate oxidase (PNPO). Although this process occurs primarily in the liver, PNPO is also expressed in many other tissues. PLP is exported from the liver via sinusoidal capillaries in a bound state with a lysine 190 residue of albumin [9].
If the intake of B6 vitamers exceeds the required level, PLP is dephosphorylated by pyridoxal phosphatase (PDXP) and oxidized by aldehyde oxidase (AOX) to pyridoxic acid (PA). It has also been shown that aldehyde dehydrogenase (ALDH, EC 1.2.1.4) and pyridoxal oxidase (PO, EC 1.2.3.8) can be responsible for the process of PL oxidation. Pyridoxic acid is excreted from the body in the urine, which accounts for more than 90% of the total excreted vitamin B6 [10].
The penetration through the cell membrane of most tissues is carried out by passive diffusion. The exception is penetration through the membrane of mitochondria and erythrocytes, after dephosphorylation by tissue-nonspecific alkaline phosphatases (ALP) – ecto-enzymes sewn to cell membranes with glycophosphatidylinositol (phosphoglyceride anchors, GPI Anchors – glycosylphosphatidylinositol anchors). PL, possibly, crosses the blood-brain barrier via facilitated diffusion using a carrier, and is “deposited” inside brain or choroid plexus (CP) cells via PDXK phosphorylation [7]. Apart from the liver, the choroid plexus is the only organ capable of rapidly mobilizing PLP, which explains its high proportion in cerebrospinal fluid (CSF) relative to the total amount in the body, which is 38% in humans [11]
A possible participation of carriers in the process of PL transport into mitochondria, erythrocytes or via the blood-brain barrier in humans has been shown, although the corresponding proteins and genes encoding their synthesis have not been identified yet. However, in yeast, the Tpn1 protein, which is a member of the purine-cytosine permease family, is responsible for the transport of pyridoxine across the cytoplasmic membrane, while the Mtm1p protein is responsible for the transport of PLP into mitochondria [12].
In some cells, in addition to the liver, catabolism of PLP to pyridoxamine phosphate under the action of aminotransferase (AT) is possible, and the subsequent reverse process under the action of PNPO, the so-called salvage pathway, is also possible [11].
PLP homeostasis inside cells
To avoid “undesirable” reactions of aldehyde or carbonyl stress, a free intracellular PLP concentration is maintained at a low level of 1 μM. For this, there are PLP-binding proteins, such as glycogen phosphorylase in muscles, hemoglobin in erythrocytes, and albumin in blood plasma [6].
The action of PLP synthesizing enzymes, i.e. PDXK and PNPO, is inhibited by the reactions product. Moreover, it has been shown that there is a system for transferring the synthesized pyridoxal phosphate directly to the target pyridoxal phosphate dependent enzymes [11].
In the cellular homeostasis of pyridoxal phosphate, the protein PROSC, which binds it, plays the role, the dysfunction of which leads to the accumulation of pyridoxine phosphate inside the cells [13].
Inside mitochondria, PLP is also present in a protein-bound form: E-PLP – enzyme bound PLP; E-PMP, enzyme bound PMP, where it enters via the mitochondrial membrane transporter (MMT) SLC25A39/40 [11]. The spatial distribution of the transformation processes and transport of vitamers in tissues should be also notified. In most cases, there is no specific carrier to carry the dephosphorylated vitamin B6 form. This certainly makes the use of this coenzyme as an active component of the dosage form very promising. The main routes of transport and metabolic transformations of B6 vitamers are shown in Fig. 2.
Figure 2 – Main ways of transport and tissue distribution of B6 vitamers
Reactive properties of vitamin B6
All the reactive properties of pyridoxal phosphate listed below, are manifested only in the composition of the corresponding enzyme [14]. At rest, PLP is covalently bound to the enzyme (Fig. 3). In this case, the aldehyde group of pyridoxal phosphate and the ε-amino group of the lysine residue in the active site of the enzyme form a Schiff base.
Figure 3 – Generalized representation of PLP states in composition of active protein center, taking into account transition of internal aldimine to external, followed by quinonoid formation
This condition is called Internal aldimine. Substrate binding to the enzyme leads to the ε-amino group replacement of the lysine residue by the substrate amino group; the process is called transaldimination, and the product is called substrate-PLP. This condition is called external aldimine. The state formed after breaking one of the three bonds of the substrate α-carbon atom is a transition state, and it is called Quinonoid. The detachment of the H+ proton from the substrate α-carbon atom corresponds to the reactions of transamination, β-elimination or racemization, the detachment of the COO- carboxyl group corresponds to decarboxylation, and the detachment of the R side chain corresponds to retroaldol hydrolysis (cleavage). During the reactions, PLP acts as an electron acceptor, stabilizing carbanion. Stabilization is possible due to the redistribution of the negative charge within the system of π-bonds formed by the Schiff base and the PLP pyridine ring. In this case, it is necessary that the corresponding bond be located perpendicular to the PLP pyridine ring, and the corresponding p-orbitals be parallel. This makes it possible for the negative charge of the substrate α-carbon atom to be most optimally stabilized within the system of π-bonds [15].
Along with the above-mentioned properties, the PLP participation in the antioxidant defense system can be notified. Due to its high reactivity, PLP is characterized by a significant rate of 1О2 quenching, comparable to the action of vitamins C and E [16]. In addition, the aldehyde B6 vitamer is necessary to ensure the glutathione synthesis, since PLР-dependent enzymes synthesize about 50% of cysteine, one of the components of this important antioxidant [17].
Daily maintenance for vitamin B6
The daily maintenance for vitamin B6 varies quite a lot depending on the patient’s condition, age and gender (Table 1). With full confidence, the reason for the differences in the daily maintenance for vitamin B6 can be considered an individual variability in the content and activity of enzymes that use it as a substrate or cofactor, as well as an increased consumption of B6 during pregnancy [18], breastfeeding [19] and with age-related changes.
Table 1 – Recommended Daily Maintenance for (RDM) for vitamin B6, proposed by European Food Safety Authority, in accordance with a certain life stage (according to Ali MA et al., 2022 [19])
Life stage | RDM, mg | Significant processes and effects on the body | Deficiency symptoms | |
Newborns | 0–6 months | 0.1 | Vital for growth, development and weight gain. Lifelong therapy is necessary for newborns with congenital glutamate decarboxylase deficiency. | Deficiency can lead to treatment-resistant polymorphic seizures. |
7–12 months | 0.3 | |||
Children | 1–3 years old | 0.5–0.6 | Required for thymidine biosynthesis and immunity formation. Effective in treatment of behavioral disorders symptoms associated with autism, hyperactivity and schizophrenia. Adjuvant to antiepileptic drugs. Has a beneficial effect on stressful conditions that accompany puberty. | |
4–9 years old | 0.6 | |||
Adolescents | Girls | 1–1.2 | ||
Boys | 1–1.3 | |||
Adults | Men | 1.3 | Extremely effective against colorectal cancer in adult men. Reduces cholesterol level in blood plasma. | Microcytic hypochromic anemia, lymphopenia, convulsions. |
Women | ||||
Not pregnant | 1.3 | Essential for estrogen metabolism. Indicated for women with breast cysts. Effective during PMS. | ||
Pregnant | 5.5–7.6 | Pregnancy stabilization, prevention of miscarriage. Correction of hyperemesis manifestations in pregnant women. Necessary for heme and porphyrin synthesis, as well as for proper exploitation of iron by red blood cells. Maintaining natal and postnatal development within the norm range. | Hyperemesis of pregnancy, anemia, nausea, vomiting, spontaneous miscarriages. | |
Lactating | 5.5–7.6 | The same as in the previous paragraph. Mood swings. Reducing anemia risks. | The same as in the previous paragraph. | |
Elderly | 0.5–1.7 | Reducing irritable bowel syndrome risk. | Deficiency can cause irritable bowel syndrome. | |
Vitamin B6 intake may vary depending on the age of the patients. A recent clinical study of the quantitative B6 vitamers content in the blood when taken orally [20] showed the following. In the older age group (70.1+2.7 years, 10 men and 10 women) there was a reduced level of pyridoxine and pyridoxal phosphate in the blood plasma, but elevated levels of pyridoxic acid, compared with the data of the younger age group (24.2+2.8 years, 10 men and 10 women). The total amount of B6 vitamers taken was in line with the recommended daily maintenance of Harvard Medical School: 1.3 mg for both sexes in the younger age group; 1.5 mg and 1.7 mg for women and men, respectively, in the older age group.
The time of maximum plasma concentration of pyridoxal after the administration of vitamin B6 in the form of pyridoxine hydrochloride in the pharmacokinetic studies is 1 hour, while for pyridoxal phosphate the time of the maximum concentration reaches 10 hours [10], and reflects the time required for the metabolism of pyridoxal by liver cells.
From 40% to 60% of the total vitamin B6 intake is excreted in the urine [10]. According to the clinical study in the younger age group, there is a greater excretion of pyridoxine in the urine compared to the older group after a single intake of the vitamin-mineral complex and breakfast. At the same time, there is no noticeable difference in the level of urinary excretion of other B6 vitamers in these age groups [20]. That indicates a greater bioavailability of pyridoxine for the people in the older age group.
Vitamin B6 deficiency
Deficiency of vitamin B6 alone is rare in developing countries, although low levels of circulating PLP have been reported with oral contraceptives and some other drugs, smoking and alcoholism, celiac disease, and diabetes [4]. Despite the reduced bioavailability of plant B6 vitamers (the predominance of pyridoxine glycoside) relative to vitamers from animal food, vegetarians do not have this vitamin deficiency [21].
From a biochemical point of view, vitamins B have a clear relationship, playing a significant role in key metabolic pathways in the human body. B6 deficiency combined with other vitamins has other clinical manifestations. For example, the manifestation of pellagra is usually caused by a deficiency of pyridoxine, niacin and riboflavin [22]. Clinical and/or biochemical manifestations of vitamin B6 metabolism disorders are characterized by inhibition of the PLP-dependent enzymes functions, and can be recorded by measuring the concentration levels of the corresponding metabolites in blood plasma, urine, or cerebrospinal fluid [6, 23] (Table 2).
Table 2 – Mechanisms leading to dysfunction of PLP-dependent enzymes and subsequently forming clinical or biochemical disorders
Clinical and/or biochemical manifestations in violation of vitamin B6 metabolism | PLP-dependent enzymes associated with clinical and/or biochemical manifestations of disorders | Mechanism | References |
Epilepsy (Seizures) | Branched-chain amino acid aminotransferase, BCAT1 + 2, EC 2.6.1.42 | Inhibition of glutamate synthesis in brain by disrupting transamination of branched chain amino acids valine, leucine, isoleucine and α-ketoglutarate to the corresponding α-ketoacid and glutamate. | [24] |
Glutamate decarboxylase, GAD, EC 4.1.1.15 | Dysregulation of GABA/glutamate interconversion and, consequently, neuronal excitability, due to inhibition of one of the processes: synthesis of inhibitory neurotransmitter GABA by transamination of α-ketoglutarate to glutamate (an excitatory neurotransmitter), which, in turn, is decarboxylated back to GABA. | [25] | |
GABA-transaminase, GABA-T, EC 2.6.1.19 | |||
Hypotension, movement disorders (gaze palsy, dystonia, hypokinesia), vegetovascular dystonia | Aromatic L-amino acid decarboxylase, AADC, EC 4.1.1.28 | Inhibition of final step catalysis in synthesis of dopamine and serotonin and, subsequently, norepinephrine and epinephrine. | [26] |
Defects in neurotransmission, synaptogenesis, long-term potentiation of synaptic transmission, CNS development, and excitotoxicity of L-serine racemase | Serine racemase, SRR, EC 5.1.1.18 | Catalysis inhibition L-serine racemization reaction to D-serine, the most important co-agonist of N-methyl-D-aspartate receptor (NMDA-R), with subsequent CNS dysfunction. | [27] |
Anemia and lactic acidosis | Δ-Aminolevulinic acid synthase, ALAS1 + 2, EC 2.3.1.37 | Violation of heme and Fe-S-clusters synthesis. | |
Cysteine desulfurase, NFS1, EC 2.8.1.7 | |||
Hypoglycemia | Aspartate transaminase, AST or Glutamate oxaloacetate transaminase, GOT, EC 2.6.1.1 | Disruption of the malate-aspartate shuttle mechanism when aspartate aminotransferase is inhibited; inhibition of pyruvate synthesis by alanine aminotransferase and L-serine non-hydratase. Distribution of many aminotransferases in tissues is used in tissue damage diagnosis. Thus, an increase in the number of these aminotransferases in the blood plasma is a sign of a liver violation. | |
Aspartate transaminase, AST or Glutamate oxaloacetate transaminase, GOT, EC 2.6.1.1 | |||
l-Serine dehydratase, SDH, although BRENDA gives the more accurate name L-serine ammonia-lyase, SDS, EC 4.3.1.17 | |||
Glycogen phosphorylase, GP, EC 2.4.1.1 | Glycogen phosphorylase catalyzes one of the gluconeogenesis steps. Vitamin B6 deficiency leads to inability to mobilize sufficient glucose from glycogen stored in the liver. | [32] | |
Hyperammonemia, girate atrophy | Ornithine aminotransferase, OAT, EU 2.6.1.13 | Deficiency of ornithine aminotransferase is characterized by an increase in the concentration of ornithine in the blood and urine and is accompanied by progressive degeneration of choroid and retina of eyes and hyperammonemia. | [33] |
Changes in the amount of serine, threonine and glycine in blood plasma and cerebrospinal fluid. | Serine hydroxymethyltransferase, SHMT, EC 2.1.2.1 | These enzymes are essential for biosynthesis and catabolism of serine, threonine and glycine. Significant deficiency of vitamin B6 leads to an increase in concentrations of these amino acids in blood plasma and cerebrospinal fluid. | |
Glycine dehydrogenase, GLDC, EC 1.4.4.2 | |||
Serine/threonine deaminase, SDS, EC 4.3.1.17 | |||
Phosphoserine aminotransferase, PSAT1, EC 2.6.1.52 | |||
Glycine C-acetyltransferase, GCAT, EC 2.3.1.29 | |||
Increased levels of xanthurenic acid in urine. | Kynureninase, KYNU, EC 3.7.1.3 | Tryptophan metabolism disorder | [35] |
Kynurenine aminotransferase, KYAT1 & 2, EC 2.6.1.7 |
As Table 2 shows, it is obvious that PLP is closely related to the metabolism of neurotransmitters and the state of the central nervous system. Changes in the mutual conversion of GABA, glycine, and glutamic acid can lead to an imbalance in the processes of excitation and inhibition in neurons [36].
At the same time, the process of PLP synthesis is ATP-dependent, which, in turn, requires energy costs and activation of mitochondrial oxidative phosphorylation in neurons and astrocytes. An increase in the content of PLP, which activates glycine dehydrogenase (a part of the glycine cleavage system), will lead to its decrease in plasma and cerebrospinal fluid and, possibly, affect microcirculation [37] and the supply of nervous tissue with key metabolites, in particular glucose [38, 39].
Clinical manifestations of vitamin B6 deficiency
The cofactors of the methionine cycle and the tricarboxylic acid cycle are thiamine (B1) and pyridoxine (B6). Violation of the methionine cycle is associated with cognitive impairment and is accompanied by low levels of pyridoxine (B6) and cobalamin (B12). Therefore, a combined use of thiamine, pyridoxine, and cobalamin, even without a proven deficiency of one of them, can improve the clinical picture in neuropathy, motor dysfunction, nociceptive and neuropathic pain [40].
Metabolism of homocysteine depends on several cofactors, including PLP (B6), folate (B9) and cobalamin (B12). Their deficiency leads to the accumulation of homocysteine [41]. Its excess – hyperhomocysteinemia – is one of the stages in the development of increased blood clotting, accompanied by ischemic cerebrovascular and cardiovascular disorders, and is one of the causes of migraine [42].
Vitamin B6 deficiency is directly associated with the development of hypertension [43] and an increased risk of a cardiovascular disease, stroke and venous thrombosis [44]. In systemic inflammation, accompanied by an increased level of C-reactive protein, changes in plasma pyridoxal phosphate serve as a method for diagnosing myocardial infarction [4].
Low levels of vitamin B6 are detected in some types of cancer: brain ventricular cancer, colorectal cancer, lungs, breast and kidney cancer. An increase in the level of pyridoxal phosphate in the blood plasma of patients with kidney cancer is associated with a decrease in the mortality rate [10].
Vitamin B6 deficiency is observed in rheumatoid arthritis, and its plasma level is inversely proportional to the severity of the disease. It is noteworthy that with a low level of pyridoxal phosphate in the blood plasma, such patients have a normal level of erythrocyte PLP. This phenomenon is not explained by a low intake of B6 vitamers, inborn defects in B6 metabolism, or its deficiency. In the rat models, low plasma levels of pyridoxal phosphate corresponded to low levels in the liver, while the amount of this cofactor in the muscles, which have the largest pool of vitamin B6 in the body, remained unchanged. An increase in the level of vitamin B6 catabolism was not detected either in rats or in humans, since urinary excretion of pyridoxic acid was not increased [45].
Convulsive disorders (epileptic episodes) associated with pyridoxine deficiency, are among the first described genetic disorders [46]. Clinical manifestations can be already observed in the first 24–48 hours after birth, in some situations, epileptic episodes can be detected in the perinatal period, and cases of manifestation of the disease months and years after birth are not uncommon. In a mild form, such disorders are accompanied by excessive excitability, irritability, trembling, abnormal crying, frequent startling in response to a sound or touch. Severer clinical manifestations of convulsive disorders are usually accompanied by encephalopathy, which is more likely a precursor to epilepsy than its consequence, and systemic disorders: hyper- or hypothermia, abdominal distension, vomiting (possibly with bile impurities), hepatomegaly, shortness of breath with hypoxemia, and metabolic acidosis. Therapy with high doses of vitamin B6, preferably intravenously, or orally, in the case of older age, gives a positive trend, although a case of a buccal administration of a pyridoxine solution by a nursing mother has been described [47].
In some cases, PLP deficiency can lead to epileptic disorders. Pyridoxine-dependent epilepsy is often accompanied by a mental retardation and requires immediate therapy, which should include not only pyridoxine, but also other drugs, since the underlying mechanisms of a mental retardation are unique. Indeed, various gene mutations lead to the accumulation of different reactive components: ALDH7A and MOCS2 mutations lead to the accumulation of α-aminoadipic semialdehyde (AASA) and L-Δ1-piperidine-6-carboxylate (L-Δ1-piperideine-6-carboxylate, P6C), and the ALDH4A1 mutation – to γ-glutamyl semialdehyde (γ-glutamyl semialdehyde, GGSA) and L-Δ1-pyrroline-5-carboxylate (L-Δ1-pyrroline-5-carboxylate, P5C) [48]. These components are the most pathogenic factors in the manifestation of mental retardation, as they accumulate in brain tissues and their amount is not necessarily reduced during the pyridoxine therapy [49].
Due to their aldehyde groups, AASA and GGSA can interact non-enzymatically with glutathione and other key body macromolecules, and alter their functionality. These macromolecules include DNA, RNA, proteins and phospholipids, as well as molecules containing –SH groups. These interactions lead to the accumulation of glycation end products [48]. P6C and P5C form a complex with PLP, which reduces the level of bioavailable PLP and manifests as an epileptic disorder in patients [6, 50].
Antiquitin, α-aminoadipate semialdehyde dehydrogenase (AASDH), is responsible for the AASA synthesis. Antiquitin deficiency, in addition to these features, is accompanied by oxidative stress, which is one of the main causes of brain cell death in epilepsy; therefore, the diagnosis of pyridoxine-dependent epilepsy, monitoring of the disease dynamics, and correction of the therapeutic plan can be carried out by measuring the metabolites associated with oxidative stress [48]. Clinical studies of high-dose vitamin B6 therapy in combination with a diet restricting lysine intake have shown a reduction in neurotoxic effects due to the accumulation of pyridoxine-dependent enzymes substrates that cause a developmental delay and cognitive impairment, compared with monotherapy [51]. The current standard is triple therapy, which includes high doses of vitamin B6 (15–30 mg/kg/day, in 3 doses), lysine restriction, and arginine support (150 mg/kg/day, in 3 doses) [52].
In the case of a late manifestation of pyridoxine-dependent epilepsy with antiquitin deficiency, an unexpressed reaction to therapy with high doses of pyridoxine is possible. In this case, therapy is supplemented with high doses of folic acid (3–5 mg/kg/day) [53].
Vitamin B6 deficiency and diabetes are strongly associated. According to the literature sources, vitamin B6 deficiency can be both a consequence and a cause of diabetes (Fig. 4). The effect of vitamin B6 on type 1 diabetes differs from its effect on type 2 diabetes due to the difference in pathophysiological processes [54].
Figure 4 – Scheme of mutual influence processes leading to vitamin B6 deficiency and formation of diabetes mellitus
In the case of type 1 diabetes mellitus, in the context including pregnancy and obesity, an increased need for vitamin B6 for specific PLP-dependent enzymes, as well as triggering inflammatory pathways, may reduce its availability. In the case of type 2 diabetes mellitus, a decrease in vitamin B6 levels can lead to an aggravation of the clinical diabetes manifestations, affecting insulin secretion or its biological activity. At the same time, mechanisms including increased tryptophan catabolism via the kynurenine pathway reduced the adipogenesis (lipogenesis) rate, impaired lipid metabolism, or a reduced ability to resist the formation of advanced glycation end products, can contribute to the development of the disease. Moreover, a violation of the vitamin B6 antioxidant activity can also contribute to the development of complications in diabetes and cancer [55].
Possibilities of vitamin B6 therapeutic use
Taking vitamin B6 in appropriate dosages is undoubtedly justified in case of its confirmed deficiency.
Pyridoxine can affect not only the central nervous system functions, but also the physiological processes performed by the peripheral nervous system [56]. A B6 participation in the synthesis of the neurotransmitters serotonin and GABA (Table 2), which have an inhibitory effect on the transmission of pain nerve impulses in the spinal cord and brain, indicates the possibility of the alleviating pain in carpal tunnel syndrome. In the scientific literature, cases of this positive effect from taking pyridoxine at the doses of 50 to 200 mg per day have been described, toxic side effects have been recorded at higher doses, but the topic requires a further study [57].
It should be also notified that taking vitamin B6 could lead to mixed results. As a cofactor for aromatic amino acid decarboxylase (EC 4.1.1.28), PLP promotes increased dopamine synthesis in hypothalamic neurons, which leads to the inhibition of the prolactin action. This mechanism underlies the decrease in the effectiveness of Parkinson’s syndrome therapy with levodopa when taken together with vitamin B6. However, according to the recent analysis of relevant clinical studies, lactation inhibition by pyridoxine is controversial and unsubstantiated and requires further research [58]. However, in a number of countries, a combination of doxylamine and pyridoxine hydrochloride is used as a drug in the treatment of nausea and vomiting in pregnant women [59–61].
There are prerequisites for the use of pyridoxine and magnesium high doses in autism spectrum disorders. However, a blind placebo-controlled study did not reveal statistically significant differences in the effects of pyridoxine and magnesium from the placebo effect [62]. Nevertheless, a combined use of pyridoxine and cations, as well as the inclusion of cation salts in the composition of the dosage form, seems to be quite reasonable, as well as the previously analyzed possible combined use of the amino acid glycine and zinc compounds [63].
At present, there are prerequisites for the use of pyridoxine as a prevention of hand-foot syndrome (a side effect of chemotherapy) [64].
Vitamin B6 is also used as an antidote for acute intoxications with isoniazid (as an anti-tuberculosis drug), gyromitrin from Gyromitra esculenta), monomethylhydrazine (a component of rocket fuel), and an exposure to hydrazine (a corrosion inhibitor) [65].
Vitamin B6 deficiency has a strong effect on cellular immunity and, to a lesser extent, on humoral immunity. A marked decrease in the level of lymphocyte proliferation, T-cell cytotoxicity, delayed-type hypersensitivity, allograft rejection, and an altered cytokine profile have been demonstrated in B6-deficient rats. In humans, a similar situation is observed, and therapy with vitamin B6 doses exceeding the recommended daily maintenance, improves this situation [4]. Replenishment of PLP deficiency can be also recommended for inflammation. In the case of cardiovascular diseases and cancer, it is the inflammatory process that is considered to play a key role in the pathological course or progression of diseases. It has been shown that vitamin B6 deficiency accompanies inflammatory bowel diseases [4].
Inflammation is characterized by a decrease in serum albumin concentration and an increase in tissue-specific alkaline phosphatase (ALP). In general, this enhances the process of PLP mobilization, reducing the proportion of the albumin-bound state and increasing the rate of its dephosphorylation to PL. Such a change in the distribution of vitamin B6 may not be limited to areas of inflammation, but may also affect other intact tissues and cells [45].
C-reactive protein (CRP) is a marker of the IL-1b/TNF-α/IL-6 inflammatory pathway. IL-6 – interleukin-6 – causes an increase in ALP. Interleukin-1b (IL-1b) and interleukin-6 (IL-6) are among the activators of the hypothalamic-pituitary-adrenal (HPA) axis, in which cortisol plays a key role. Cortisol has multiple effects on the body and is a major regulator of the physiological stress response, which includes increased gluconeogenesis and protein breakdown in muscles and connective tissue. The released amino acids can then be utilized for the energy production, immunomodulating protein synthesis, immune cell proliferation, and tissue repair. All these processes require the PLP participation, and therefore, the cellular demand for this cofactor increases [10].
In blood plasma, the PLP level demonstrates an inverse relationship with the content of clinical markers of inflammation – CRP, IL-6 receptor, α-1-antichymotrypsin, serum amyloid A, white blood cell count (WBC), kynurenine/tryptophan ratio (KTR), neopterin; overall inflammatory summary score and summary scores representing different inflammatory modalities) [45].
Moreover, an increase in the intracellular PLP level is associated with a change in the cellular response to the action of glucocorticoids during the prednisone therapy. During such therapy, there is an increase in the concentration of PLP, PL and PM in the blood plasma. This process is accompanied by an increased activity of pyridoxal phosphate-synthesizing enzymes – PDXK, PMPO/PNPO – and suppression of the PDXP activity in the liver, while the effect of ALP in plasma remains unchanged [11].
Toxic effect of vitamin B6
Excessive intake of vitamin B6 (from 2 to 6 g per day) leads to the development of severe sensory neuropathy, although cases of motor neuropathy have also been described. At the same time, the abolition of B6 leads to a marked improvement in clinical manifestations. This effect is similar to the clinical manifestation of a hereditary mutation of the gene encoding PDXK, since high amounts of circulating pyridoxine can inhibit the action of this enzyme [66]. However, for many years, the therapeutic dose of B6, which is 200–500 mg per day, has not given either clinical symptoms or electrophysiological evidence of peripheral neuropathy in homocysteinuria [67]. It should be notified that despite the positive effect of taking pyridoxine in various disorders of the peripheral nervous system, it is necessary to take into account the possible risk of its toxic effect, which undoubtedly depends both on the dose and on the administration duration [65].
CONCLUSION
Thus, replenishing the B6 vitamers deficiency in case of their identified deficiency is a necessary condition for the successful treatment of the central nervous system diseases, inflammatory processes, and diabetes; it is also necessary for correcting the immune status of patients. In most cases, the improvement in the condition will be due to the normalization of the balance of redox reactions involving PLP. It is advisable to consider a combined use of vitamin B6 derivatives with various metabolites. At the same time, it should be taken into account that dephosphorylated forms of pyridoxine derivatives are necessary for the absorption, as well as the fact that a combined intake of metabolites will entail a shift in the cell biochemical processes, which can lead to the manifestation of negative effects on metabolism in conditions of its excess.
FUNDING
The work was carried out with the financial support of LLC “MNPK BIOTIKI”. The sponsor had no influence on the choice of materials for publication, analysis and interpretation of the data.
CONFLICT OF INTEREST
The authors declare no conflict of interest.
AUTHORS’ CONTRIBUTION
OAZ – references collection, sources analysis, article writing; YRN – review idea and concept, references collection, sources analysis, article writing.
About the authors
Olga A. Zagubnaya
Institute of Cytochemistry and Molecular Pharmacology; Biomedical Research Group, BiDiPharma GmbH
Email: oz_brg@icmph.org
ORCID iD: 0000-0001-6623-6938
Junior Researcher, Department of Mathematical Modeling and Statistical Processing of Results, Institute of Cytochemistry and Molecular Pharmacology; Research Fellow, Biomedical Research Group, BiDiPharma GmbH
Russian Federation, Bldg 14, 24, 6th Radialnaya St., Moscow, 115404; 5, Bültbek, Siek, 22962, GermanyYaroslav R. Nartsissov
Institute of Cytochemistry and Molecular Pharmacology; Biomedical Research Group, BiDiPharma GmbH
Author for correspondence.
Email: yn_brg@icmph.org
ORCID iD: 0000-0001-9020-7686
Candidate of Sciences (Physics and Mathematics), Associate Professor in Biophysics, Head of the Sector of Mathematical Modeling and Statistical Processing of Results, Institute of Cytochemistry and Molecular Pharmacology; Head of Biomedical Research Group, BiDiPharma GmbH
Russian Federation, Bldg 14, 24, 6th Radialnaya St., Moscow, 115404; 5, Bültbek, Siek, 22962, GermanyReferences
- Shtyrlin YG, Petukhov AS, Strelnik AD, Shtyrlin NV, Iksanova AG, Pugachev MV, Pavelyev RS, Dzyurkevich MS, Garipov MR, Balakin KV. Chemistry of pyridoxine in drug design. Russ Chem Bull. 2019;68(5):911–45. doi: 10.1007/s11172-019-2504-5
- Ofoedu CE, Iwouno JO, Ofoedu EO, Ogueke CC, Igwe VS, Agunwah IM, Ofoedum AF, Chacha JS, Muobike OP, Agunbiade AO, Njoku NE, Nwakaudu AA, Odimegwu NE, Ndukauba OE, Ogbonna CU, Naibaho J, Korus M, Okpala COR. Revisiting food-sourced vitamins for consumer diet and health needs: a perspective review, from vitamin classification, metabolic functions, absorption, utilization, to balancing nutritional requirements. PeerJ. 2021 Sep 1;9:e11940. doi: 10.7717/peerj.11940
- Magnúsdóttir S, Ravcheev D, de Crécy-Lagard V, Thiele I. Systematic genome assessment of B-vitamin biosynthesis suggests co-operation among gut microbes. Front Genet. 2015 Apr 20;6:148. doi: 10.3389/fgene.2015.00148
- Ueland PM, McCann A, Midttun Ø, Ulvik A. Inflammation, vitamin B6 and related pathways. Mol Aspects Med. 2017 Feb;53:10–27. doi: 10.1016/j.mam.2016.08.001
- Mackey AD, McMahon RJ, Townsend JH, Gregory JF III. Uptake, hydrolysis, and metabolism of pyridoxine-5′-beta-Dglucoside in Caco-2 cells. J Nutr. 2004;134(4):842–6.
- Wilson MP, Plecko B, Mills PB, Clayton PT. Disorders affecting vitamin B6 metabolism. J Inherit Metab Dis. 2019 Jul;42(4):629–46. doi: 10.1002/jimd.12060
- Said HM. Intestinal absorption of water-soluble vitamins in health and disease. Biochem J. 2011 Aug 1;437(3):357–72. doi: 10.1042/BJ20110326
- Yamashiro T, Yasujima T, Said HM, Yuasa H. pH-dependent pyridoxine transport by SLC19A2 and SLC19A3: Implications for absorption in acidic microclimates. J Biol Chem. 2020 Dec 11;295(50):16998–17008. doi: 10.1074/jbc.RA120.013610
- Bohney JP, Fonda ML, Feldhoff RC. Identification of Lys190 as the primary binding site for pyridoxal 5’-phosphate in human serum albumin. FEBS Lett. 1992 Feb 24;298 (2–3):266–8. doi: 10.1016/0014-5793(92)80073-p
- Ueland PM, Ulvik A, Rios-Avila L, Midttun Ø, Gregory JF. Direct and Functional Biomarkers of Vitamin B6 Status. Annu Rev Nutr. 2015;35:33–70. doi: 10.1146/annurev-nutr-071714-034330
- Wang HS, Kuo MF. Vitamin B6 related epilepsy during childhood. Chang Gung Med J. 2007 Sep-Oct;30(5):396–401.
- Whittaker JW. Intracellular trafficking of the pyridoxal cofactor. Implications for health and metabolic disease. Archives of biochemistry and biophysics. 2016 Feb 15;592:20–6.
- Ito T, Ogawa H, Hemmi H, Downs DM, Yoshimura T. Mechanism of Pyridoxine 5’-Phosphate Accumulation in Pyridoxal 5’-Phosphate-Binding Protein Deficiency. J Bacteriol. 2022 Mar 15;204(3):e0052121. doi: 10.1128/JB.00521-21
- Du YL, Ryan KS. Pyridoxal phosphate-dependent reactions in the biosynthesis of natural products. Natural Product Reports. 2019;36(3):430–457.
- Hoffarth ER, Rothchild KW, Ryan KS. Emergence of oxygen- and pyridoxal phosphate-dependent reactions. FEBS J. 2020 Apr;287(7):1403–28. doi: 10.1111/febs.15277
- Bisello G, Longo C, Rossignoli G, Phillips RS, Bertoldi M. Oxygen reactivity with pyridoxal 5’-phosphate enzymes: biochemical implications and functional relevance. Amino Acids. 2020 Aug;52(8):1089–105. doi: 10.1007/s00726-020-02885-6
- Dalto DB, Matte JJ. Pyridoxine (Vitamin B₆) and the Glutathione Peroxidase System; a Link between One-Carbon Metabolism and Antioxidation. Nutrients. 2017 Feb 24;9(3):189. doi: 10.3390/nu9030189
- Thaver D, Saeed MA, Bhutta ZA. Pyridoxine (vitamin B6) supplementation in pregnancy. Cochrane Database Syst Rev. 2006 Apr 19;(2):CD000179. doi: 10.1002/14651858.CD000179.pub2
- Ali MA, Hafez HA, Kamel MA, Ghamry HI, Shukry M, Farag MA. Dietary Vitamin B Complex: Orchestration in Human Nutrition throughout Life with Sex Differences. Nutrients. 2022 Sep 22;14(19):3940. doi: 10.3390/nu14193940
- Sharma P, Han SM, Gillies N, Thorstensen EB, Goy M, Barnett MPG, Roy NC, Cameron-Smith D, Milan AM. Circulatory and Urinary B-Vitamin Responses to Multivitamin Supplement Ingestion Differ between Older and Younger Adults. Nutrients. 2020 Nov 17;12(11):3529. doi: 10.3390/nu12113529
- Schorgg P, Bärnighausen T, Rohrmann S, Cassidy A, Karavasiloglou N, Kühn T. Vitamin B6 Status among Vegetarians: Findings from a Population-Based Survey. Nutrients. 2021 May 12;13(5):1627. doi: 10.3390/nu13051627
- McCormick DB. Two interconnected B vitamins: riboflavin and pyridoxine. Physiol Rev. 1989 Oct;69(4):1170–98. doi: 10.1152/physrev.1989.69.4.1170
- Wang D, Wang X, Kong J, Wu J, Lai M. GC-MS-Based metabolomics discovers a shared serum metabolic characteristic among three types of epileptic seizures. Epilepsy Res. 2016 Oct;126:83–9. doi: 10.1016/j.eplepsyres.2016.07.003
- Nong X, Zhang C, Wang J, Ding P, Ji G, Wu T. The mechanism of branched-chain amino acid transferases in different diseases: Research progress and future prospects. Front Oncol. 2022 Sep 2;12:988290. doi: 10.3389/fonc.2022.988290
- Treiman DM. GABAergic mechanisms in epilepsy. Epilepsia. 2001;42 Suppl 3:8–12. doi: 10.1046/j.1528-1157.2001.042suppl.3008.x
- Rizzi S, Spagnoli C, Frattini D, Pisani F, Fusco C. Clinical Features in Aromatic L-Amino Acid Decarboxylase (AADC) Deficiency: A Systematic Review. Behav Neurol. 2022 Oct 11;2022:2210555. doi: 10.1155/2022/2210555
- Wu S, Zhou J, Zhang H, Barger SW. Serine Racemase Expression Differentiates Aging from Alzheimer’s Brain. Curr Alzheimer Res. 2022;19(7):494–502. doi: 10.2174/1567205019666220805105106
- Taylor JL, Brown BL. Structural basis for dysregulation of aminolevulinic acid synthase in human disease. J Biol Chem. 2022 Mar;298(3):101643. doi: 10.1016/j.jbc.2022.101643
- Lill R, Freibert SA. Mechanisms of Mitochondrial Iron-Sulfur Protein Biogenesis. Annu Rev Biochem. 2020 Jun 20;89:471–99. doi: 10.1146/annurev-biochem-013118-111540
- Sookoian S, Pirola CJ. Liver enzymes, metabolomics and genome-wide association studies: from systems biology to the personalized medicine. World J Gastroenterol. 2015 Jan 21;21(3):711–25. doi: 10.3748/wjg.v21.i3.711
- Kashii T, Gomi T, Oya T, Ishii Y, Oda H, Maruyama M, Kobayashi M, Masuda T, Yamazaki M, Nagata T, Tsukada K, Nakajima A, Tatsu K, Mori H, Takusagawa F, Ogawa H, Pitot HC. Some biochemical and histochemical properties of human liver serine dehydratase. Int J Biochem Cell Biolog. 2005;37(3):574–89. doi: 10.1016/j.biocel.2004.08.004
- Donnier-Maréchal M, Vidal S. Glycogen phosphorylase inhibitors: a patent review (2013–2015). Expert Opin Ther Pat. 2016;26(2):199–212. doi: 10.1517/13543776.2016.1131268
- Kaczmarczyk A, Baker M, Diddle J, Yuzyuk T, Valle D, Lindstrom K. A neonate with ornithine aminotransferase deficiency; insights on the hyperammonemia-associated biochemical phenotype of gyrate atrophy. Mol Genet Metab Rep. 2022 Mar 16;31:100857. doi: 10.1016/j.ymgmr.2022.100857
- Wang D, Kong J, Wu J, Wang X, Lai M. GC-MS-based metabolomics identifies an amino acid signature of acute ischemic stroke. Neurosci Lett. 2017 Mar 6;642:7–13. doi: 10.1016/j.neulet.2017.01.039
- Tanaka M, Tóth F, Polyák H, Szabó Á, Mándi Y, Vécsei L. Immune Influencers in Action: Metabolites and Enzymes of the Tryptophan-Kynurenine Metabolic Pathway. Biomedicines. 2021 Jun 25;9(7):734. doi: 10.3390/biomedicines9070734
- Nartsissov YR. Amino Acids as Neurotransmitters. The Balance between Excitation and Inhibition as a Background for Future Clinical Applications. COVID-19, Neuroimmunology and Neural Function, edited by Thomas Heinbockel, Robert Weissert, IntechOpen; 2022. doi: 10.5772/intechopen.103760
- Nartsissov YR. Geometries of vasculature bifurcation can affect the level of trophic damage during formation of a brain ischemic lesion. Biochem Soc Trans. 2017 Oct 15;45(5):1097–103. doi: 10.1042/BST20160418
- Nartsissov YR, Tyukina ES, Boronovsky SE, Sheshegova EV. Computer modeling of spatial-time distribution of metabolite concentrations in phantoms of biological objects by example of rat brain pial. Biophysics. 2013;58(5):703–11. doi: 10.1134/S0006350913050102
- Nartsissov YR. Application of a multicomponent model of convectional reaction-diffusion to description of glucose gradients in a neurovascular unit. Front Physiol. 2022 Aug 22;13:843473. doi: 10.3389/fphys.2022.843473
- Calderón-Ospina CA, Nava-Mesa MO. B Vitamins in the nervous system: Current knowledge of the biochemical modes of action and synergies of thiamine, pyridoxine, and cobalamin. CNS Neurosci Ther. 2020 Jan;26(1):5–13. doi: 10.1111/cns.13207
- Liampas IN, Siokas V, Aloizou AM, Tsouris Z, Dastamani M, Aslanidou P, Brotis A, Dardiotis E. Pyridoxine, folate and cobalamin for migraine: A systematic review. Acta Neurol Scand. 2020 Aug;142(2):108–20. doi: 10.1111/ane.13251
- Liampas I, Siokas V, Mentis AA, Aloizou AM, Dastamani M, Tsouris Z, Aslanidou P, Brotis A, Dardiotis E. Serum Homocysteine, Pyridoxine, Folate, and Vitamin B12 Levels in Migraine: Systematic Review and Meta-Analysis. Headache. 2020 Sep;60(8):1508–34. doi: 10.1111/head.13892
- Dakshinamurti S, Dakshinamurti K. Antihypertensive and neuroprotective actions of pyridoxine and its derivatives. Can J Physiol Pharmacol. 2015 Dec;93(12):1083–90. doi: 10.1139/cjpp-2015-0098
- Eichinger S. Homocysteine, vitamin B6 and the risk of recurrent venous thromboembolism. Pathophysiol Haemost Thromb. 2003 Sep-2004 Dec;33(5-6):342–4. doi: 10.1159/000083825
- Du X, Yang Y, Zhan X, Huang Y, Fu Y, Zhang Z, Liu H, Zhang L, Li Y, Wen Q, Zhou X, Zuo D, Zhou C, Li L, Hu S, Ma L. Vitamin B6 prevents excessive inflammation by reducing accumulation of sphingosine-1-phosphate in a sphingosine-1-phosphate lyase-dependent manner. J Cell Mol Med. 2020 Nov;24(22):13129–38. doi: 10.1111/jcmm.15917
- Gospe SM. Pyridoxine-dependent seizures: findings from recent studies pose new questions. Pediatr Neurol. 2002 Mar;26(3):181–5. doi: 10.1016/s0887-8994(01)00407-6
- Gospe SM Jr. Pyridoxine-Dependent Epilepsy – ALDH7A1. 2001 Dec 7 [updated 2022 Sep 22]. In: Adam MP, Everman DB, Mirzaa GM, Pagon RA, Wallace SE, Bean LJH, Gripp KW, Amemiya A, editors. GeneReviews® [Internet]. Seattle (WA): University of Washington, Seattle; 1993–2022.
- Yazdani M, Elgstøen KBP. Is oxidative stress an overlooked player in pyridoxine-dependent epilepsy? A focused review. Seizure. 2021 Oct;91:369–73. doi: 10.1016/j.seizure.2021.07.014
- Hassel B, Rogne AG, Hope S. Intellectual Disability Associated With Pyridoxine-Responsive Epilepsies: The Need to Protect Cognitive Development. Front Psychiatry. 2019 Mar 8;10:116. doi: 10.3389/fpsyt.2019.00116
- Surtees R, Mills P, Clayton P.Inborn errors affecting vitamin B6 metabolism. Future Neurology. 2006;1(5):615–20. doi: 10.2217/14796708.1.5.615
- Machado A, Vural S, Mercimek-Mahmutoglu S. Pyridoxine dependent epilepsy: Seizure onset, seizure types and EEG features. J Pediatric Epilepsy. 2014;3(4):235–40. doi: 10.3233/PEP-14095
- Pena IA, MacKenzie A, Van Karnebeek CDM. Current knowledge for pyridoxine-dependent epilepsy: a 2016 update. Expert Rev Endocrinol Metab. 2017 Jan;12(1):5–20. doi: 10.1080/17446651.2017.1273107
- Stockler S, Plecko B, Gospe SM Jr, Coulter-Mackie M, Connolly M, van Karnebeek C, Mercimek-Mahmutoglu S, Hartmann H, Scharer G, Struijs E, Tein I, Jakobs C, Clayton P, Van Hove JL. Pyridoxine dependent epilepsy and antiquitin deficiency: clinical and molecular characteristics and recommendations for diagnosis, treatment and follow-up. Mol Genet Metab. 2011 Sep-Oct;104(1–2):48–60. doi: 10.1016/j.ymgme.2011.05.014
- Mascolo E, Vernì F. Vitamin B6 and Diabetes: Relationship and Molecular Mechanisms. Int J Mol Sci. 2020 May 23;21(10):3669. doi: 10.3390/ijms21103669
- Merigliano C, Mascolo E, La Torre M, Saggio I, Vernì F. Protective role of vitamin B6 (PLP) against DNA damage in Drosophila models of type 2 diabetes. Sci Rep. 2018 Jul 30;8(1):11432. doi: 10.1038/s41598-018-29801-z
- Gospe SM Jr. Pyridoxine-dependent seizures: new genetic and biochemical clues to help with diagnosis and treatment. Curr Opin Neurol. 2006 Apr;19(2):148–53. doi: 10.1097/01.wco.0000218230.81301.12
- Aufiero E, Stitik TP, Foye PM, Chen B. Pyridoxine hydrochloride treatment of carpal tunnel syndrome: a review. Nutr Rev. 2004 Mar;62(3):96–104. doi: 10.1111/j.1753–4887.2004.tb00030.x
- AlSaad D, Awaisu A, Elsalem S, Abdulrouf PV, Thomas B, AlHail M. Is pyridoxine effective and safe for post-partum lactation inhibition? A systematic review. J Clin Pharm Ther. 2017 Aug;42(4):373–82. doi: 10.1111/jcpt.12526
- Cada DJ, Demaris K, Levien TL, Baker DE. Doxylamine succinate/pyridoxine hydrochloride. Hosp Pharm. 2013 Oct;48(9):762–6. doi: 10.1310/hpj4809-762
- Nuangchamnong N, Niebyl J. Doxylamine succinate-pyridoxine hydrochloride (Diclegis) for the management of nausea and vomiting in pregnancy: an overview. Int J Womens Health. 2014 Apr 12;6:401–9. doi: 10.2147/IJWH.S46653
- Madjunkova S, Maltepe C, Koren G. The delayed-release combination of doxylamine and pyridoxine (Diclegis®/Diclectin®) for the treatment of nausea and vomiting of pregnancy. Paediatr Drugs. 2014 Jun;16(3):199–211. doi: 10.1007/s40272-014-0065-5
- Findling RL, Maxwell K, Scotese-Wojtila L, Huang J, Yamashita T, Wiznitzer M. High-dose pyridoxine and magnesium administration in children with autistic disorder: an absence of salutary effects in a double-blind, placebo-controlled study. J Autism Dev Disord. 1997 Aug;27(4):467–78. doi: 10.1023/a:1025861522935
- Shishkova VN, Nartsissov YR, Titova VY, Sheshegova EV. Molecular mechanisms defining application of glycine and zinc combinationin correction of stress and anxiety main manifestations. Pharmacy & Pharmacology. 2022;10(5):404–15. doi: 10.19163/2307-9266-2022-10-5-404-415
- Lian S, Zhang X, Zhang Y, Zhao Q. Pyridoxine for prevention of hand-foot syndrome caused by chemotherapy agents: a meta-analysis. Clin Exp Dermatol. 2021 Jun;46(4):629-635. doi: 10.1111/ced.14486
- Lheureux P, Penaloza A, Gris M. Pyridoxine in clinical toxicology: a review. Eur J Emerg Med. 2005 Apr;12(2):78–85. doi: 10.1097/00063110-200504000-00007
- Hadtstein F, Vrolijk M. Vitamin B-6-Induced Neuropathy: Exploring the Mechanisms of Pyridoxine Toxicity. Adv Nutr. 2021 Oct 1;12(5):1911–29. doi: 10.1093/advances/nmab033
- Ghavanini AA, Kimpinski K. Revisiting the evidence for neuropathy caused by pyridoxine deficiency and excess. J Clin Neuromuscul Dis. 2014 Sep;16(1):25–31. doi: 10.1097/CND.0000000000000049
Supplementary files







