Особенности фармакокинетики олокизумаба у пациентов c новой коронавирусной инфекцией COVID-19
- Авторы: Тавлуева Е.В.1, Зернова Е.В.1, Кутепова М.П.1, Костина Н.Э.2, Лесина В.С.2, Моулд Д.Р.3, Ито К.3, Зинченко А.В.4, Долгорукова А.Н.4, Никольская М.В.4, Лемак М.C.4, Филон О.В.4, Самсонов М.Ю.4
-
Учреждения:
- ГБУЗ «Городская клиническая больница им. Ф.И. Иноземцева Департамента здравоохранения города Москвы»
- БУЗ ВО «Воронежская областная клиническая больница № 1»
- Projections Research, Inc.
- Акционерное общество «Р-Фарм»
- Выпуск: Том 10, № 5 (2022)
- Страницы: 460-471
- Раздел: ОРИГИНАЛЬНЫЕ СТАТЬИ
- URL: https://journals.eco-vector.com/2307-9266/article/view/375290
- DOI: https://doi.org/10.19163/2307-9266-2022-10-5-460-471
- ID: 375290
Цитировать
Аннотация
Цель. Изучение особенностей фармакокинетики олокизумаба при внутривенном введении у пациентов с COVID-19 среднетяжелого течения для купирования синдрома гипервоспаления.
Материалы и методы. Изучение фармакокинетики проводилось в рамках клинического исследования III фазы (исследование RESET, NCT05187793) эффективности и безопасности нового режима применения олокизумаба (внутривенно, в дозах 128 мг или 256 мг) у пациентов с COVID-19. Определение концентрации олокизумаба в плазме крови проводили методом иммуноферментного анализа. Популяционный анализ выполнен с помощью ранее разработанной фармакокинетической модели на основе линейной двухкамерной модели.
Результаты. В анализ фармакокинетики были включены данные 8 пациентов с COVID-19 среднетяжелого течения, получавшие олокизумаб в дозе 128 мг внутривенно. Согласно результатам анализа в данной популяции наблюдалось увеличение клиренса препарата, по сравнению с данными, полученными у здоровых добровольцев и пациентов с ревматоидным артритом: 0,435, 0,178 и 0,147 л/сут, соответственно. Анализ параметров в рамках популяционной фармакокинетической модели показал, что основными факторами повышенного клиренса олокизумаба являются высокий индекс массы тела. Кроме того, независимым фактором повышения клиренса препарата является само наличие COVID-19.
Заключение. У пациентов со среднетяжелым течением COVID-19 после внутривенного введения олокизумаба наблюдается увеличение клиренса препарата на фоне течения заболевания. Основной вклад в повышенный клиренс вносят особенности популяции пациентов с COVID-19, связанные с риском тяжелого течения заболевания и выраженным воспалением. При внутривенном введении в дозе 128 мг терапевтически значимый уровень олокизумаба сохранялся в течение всей острой фазы заболевания на протяжении 28 дней.
Ключевые слова
Полный текст
Список сокращений: ИЛ – интерлейкины; УПТ – упреждающая противовоспалительная терапия; Ig – иммуноглобулины; ФК – фармакокинетика; РА – ревматоидный артрит; RESET – гипервоспаление; СРБ – C-реактивный белок; КТ – компьютерная томография; ЧДД – частота дыхательных движений; АЛТ – аланинаминотрасфераза; АСТ – аспартатаминотрансфераза; ВГН – верхняя граница нормы; ИМТ – индекс массы тела; ИФА – иммуноферментный анализ; T1/2 – период полувыведения; AUC0-t – площадь под фармакокинетической кривой «концентрация-время» от нуля до последнего отбора крови; Кel – константа элиминации; AUC0-∞ – площадь под фармакокинетической кривой «концентрация-время», начиная с нулевого значения времени, экстраполированная до бесконечности; CL – клиренс; Tmax – время достижения максимальной концентрации олокизумаба в плазме крови; Cmax – максимальная концентрация олокизумаба в плазме крови; MRT – среднее резидентное время.
ВВЕДЕНИЕ
В декабре 2019 года в городе Ухань (Китай) произошла крупная вспышка заболевания, вызванного новым коронавирусом (SARS-CoV-2), поражающая нижние дыхательные пути [1].
Большая часть пациентов переносит заболевание в легкой форме (по типу острой респираторной вирусной инфекции), однако инфекция может переходить в форму острого респираторного дистресс-синдрома. При этом происходит быстрая репликация вируса, бурное высвобождение провоспалительных цитокинов на фоне образования воспалительных инфильтратов в паренхиме легких и эндотелии легочных сосудов, поражение альвеол, микротромбоз сосудов и т.д. Наблюдается картина системного гипервоспаления с повышением уровней цитокинов группы интерлейкинов (ИЛ), таких как ИЛ-1β, ИЛ-1Ra, ИЛ-6 и рецептора к ИЛ-2. Прогрессирующее развитие системного патологического воспаления в результате приводит к выраженному нарастанию тяжести течения заболевания и развитию полиорганного повреждения [2–4].
Применение упреждающей противовоспалительной терапии (УПТ) в сочетании с активной антикоагулянтной терапией в настоящее время является стандартом лечения, согласно Временным методическим рекомендациям (ВМР) Минздрава России «Профилактика, диагностика и лечение новой коронавирусной инфекции (COVID-19)»1. В качестве УПТ могут использоваться, в том числе, моноклональные антитела – блокаторы рецепторов ИЛ-6, ИЛ-6, ИЛ-1.
Олокизумаб (Артлегиа®) представляет собой гуманизированное моноклональное антитело изотипа иммуноглобулина (Ig) G4/каппа, способное специфически связываться с молекулой ИЛ-6. Препарат имеет уникальный механизм действия, поскольку связывает непосредственно ИЛ-6 и, таким образом, блокирует патологический каскад воспалительных реакций. Этим он отличается от тоцилизумаба, сарилумаба и левилимаба, которые являются антагонистами рецептора ИЛ-6 [5–7]. Благодаря высокому сродству к ИЛ-6 и способу воздействия (ингибирование взаимодействия между ИЛ-6 и гликопротеином gp130), фармакодинамические эффекты олокизумаба реализуются при его применении в более низких дозах [8, 9].
Олокизумаб исходно был разработан в качестве препарата для лечения ревматоидного артрита (РА) и успешно прошёл полноценную программу клинической разработки, включавшую исследования II фазы [10] с участием 380 пациентов, и исследования III фазы с участием 2443 пациентов (CREDO 12, CREDO 23, CREDO 34 и CREDO 45), а также постмаркетинговые исследования [11]. Согласно данным проведенных исследований, рекомендованная доза олокизумаба при РА составляет 64 мг один раз в 2 или 4 недели при подкожном введении. В случае патогенетической терапии синдрома высвобождения цитокинов при новой коронавирусной инфекции (COVID-19) – 64 мг подкожно однократно.
В последующем действие олокизумаба было изучено у пациентов с COVID-19. Применение олокизумаба в составе комплексной терапии COVID-19 выявило ряд особенностей фармакокинетики препарата в данной популяции, по сравнению со здоровыми добровольцами и пациентами с РА. В целом популяция пациентов, в которой олокизумаб назначался в качестве УПТ, характеризуется рядом трендов в отношении как демографических данных, так и лабораторных показателей. В частности, известным влиянием на фармакокинетику лекарственных препаратов обладает индекс массы тела, а точнее избыточная масса тела, которая, в свою очередь, является фактором риска тяжелого течения COVID-19. При COVID-19 наблюдается типичная картина отклонений в биохимическом анализе крови: повышение уровня маркеров воспаления, изменение уровня фракций белка, отражающие течение и выраженность воспалительного процесса, который также влияет на фармакокинетику лекарственных препаратов.
ЦЕЛЬ. Изучение особенностей фармакокинетики олокизумаба при внутривенном введении у пациентов с COVID-19 среднетяжелого течения для купирования синдрома гипервоспаления.
МАТЕРИАЛЫ И МЕТОДЫ
Дизайн исследования
В настоящий момент согласно ВМР (версия 16 от 18.08.2022), внутривенное введение олокизумаба входит в рекомендованные стандарты терапии COVID-19. Оценка фармакокинетики препарата при внутривенном введении у пациентов с COVID-19 была проведена в рамках многоцентрового открытого рандомизированного исследования III фазы, целью которого было изучение эффективности и безопасности нового режима применения олокизумаба (в дозах 128 и 256 мг соответственно при внутривенном введении) у пациентов с COVID-19 с признаками гипервоспаления (RESET). Рандомизация пациентов в исследовании была центральной и производилась с помощью электронной системы. Пациенты рандомизировались в 2 группы в соотношении 1:1 в группу терапии олокизумабом (группа 1) и группу сравнения (группа 2). С целью равномерного распределения пациентов по группам терапии осуществлялась стратификация по следующим критериям:
- по необходимости кислородной поддержки на скрининге (есть / нет),
- наличие сопутствующего заболевания, являющегося фактором риска тяжелого течения COVID-19 (нет факторов риска или есть один и более фактор риска).
Таким образом, в результате стратификации пациенты в группах будут равнозначны по наличию дыхательной недостаточности и факторам риска тяжелого течения COVID-19.
Критерии отбора в исследование
Исследование RESET проводилось с одобрения Совета по этике департамента регулирования обращения лекарственных средств Министерства здравоохранения Российской Федерации (протокол заседания № 273 от 20.04.2021), локальных этических комитетов БУЗ ВО ВОКБ № 1 (протокол № 117 от 22.07.2021) и ГБУЗ «ГКБ им. Ф.И. Иноземцева ДЗМ» (протокол № 11 от 28.05.2021). Результаты исследования фармакокинетики в подгруппе пациентов с COVID-19, в сравнении с данными предыдущих исследований у здоровых добровольцев и пациентов с РА представлены в настоящей работе. В исследование включали госпитализированных пациентов с подтвержденной коронавирусной инфекцией среднетяжелого течения с признаками гипервоспаления, в возрасте старше 18 лет.
Основными критериями включения были среднетяжелое течение COVID-19: пневмония по данным компьютерной томографии (КТ) и температура тела >38°С, в сочетании с 1 или более признаками, включающими уровень сатурации (SpO2) <95%, частоту дыхательных движений (ЧДД) >22, одышку при физической нагрузке, уровень C-реактивного белка (СРБ) >10 мг/л; наличие одного из факторов риска (сахарного диабета, тяжелой сердечно-сосудистой патологии, хронической почечной недостаточности, онкологической патологии, ожирения или возраст ≥65 лет); наличие признаков гипервоспаления (температура тела ≥38°С в течение 2-х дней и более, в сочетании с 1 или более признаками: уровень СРБ >3×верхняя граница нормы (ВГН), число лейкоцитов – 2,0–3,5×109/л, абсолютное число лимфоцитов – 1,0–1,5×109/л).
Основными критериями невключения были: тяжелое или крайне тяжелое течение COVID-19, наличие выраженных лабораторных отклонений (гемоглобин <80 г/л, абсолютное число нейтрофилов <0,5×109/л, число лейкоцитов <2,0×109/л, число тромбоцитов <50×109/л, аланинаминотрасфераза (АЛТ) ≥3,0×ВГН и/или аспартатаминотрансфераза (АСТ) ≥3,0×ВГН), клиренс креатинина <30 мл/мин., подтвержденный сепсис патогенами, отличными от COVID-19, высокая вероятность прогрессирования заболевания до смертельного исхода в течение следующих 24 часов.
Критерии отбора в подгруппу фармакокинетики
В подгруппу исследования фармакокинетики (ФК) включали пациентов с индексом массы тела (ИМТ) в диапазоне 18,5–35,0 кг/м2, которые подписали дополнительную форму добровольного информированного согласия на включение в исследование ФК. Всего в подгруппу ФК было включено 9 пациентов. Эти пациенты получали препарат Артлегиа® (МНН: олокизумаб), раствор для подкожного введения, 160 мг/мг, в виде внутривенной 60-минутной инфузии, в дозе 128 мг (8 пациентов получили 1 введение препарата в дозе 128 мг), 1 пациент, получивший 2 введения препарата в дозе 256 мг, не был включен в статистический анализ. 1 пациент получил 2 введения препарата, в общей сложности в дозе 256 мг.
Помимо олокизумаба пациенты в качестве стандартной противовоспалительной терапии получали барицитиниб (4 мг/1 раз в сутки, в течение 7 дней) и низкие дозы глюкокортикостероидов (дексаметазон в дозах 4–20 мг/сутки в/в или в/м или метилпреднизолон в дозе 1 мг/кг введение внутривенно каждые 12 ч), а также этиотропную терапию COVID-19 (фавипиравир или ремдесивир), препараты симптоматической и антикоагулянтной терапии.
У пациентов, включенных в подгруппу оценки ФК, отбор биообразцов крови для исследования концентраций олокизумаба осуществлялся по следующей схеме: до начала инфузии, далее через 2, 4, 8, 24, 48 и 72 ч; затем каждый день, начиная с 4 по 10 сут; в завершении на 14 и 28 сут после первого введения препарата (т.е. от момента начала инфузии). После отбора биообразцы плазмы замораживались и хранились при температуре не выше –65°С.
Для анализа биообразцов был разработан биоаналитический метод на основе иммуноферментного анализа (ИФА). В основе метода лежит взаимодействие олокизумаба с ИЛ-6, связанным с иммобилизированными на поверхности планшета козьими антителами к человеческому ИЛ-6. Метод был валидирован в интервале концентраций 2,5–100 мкг/мл.
Статистический анализ
В исследовании определены основные фармакокинетические параметры олокизумаба. Для оценки возможного влияния различных факторов на клиренс олокизумаба, полученные результаты были объединены с ранее созданной базой данных клинических исследований олокизумаба 1 и 2 фазы, включающей данные анализа фармакокинетических образцов 30 здоровых добровольцев и 30 пациентов с РА, получивших однократную внутривенную инъекцию олокизумаба в различных концентрациях [12].
Описание фармакокинетики олокизумаба было выполнено с помощью линейной двухкамерной модели с кинетикой абсорбции и элиминации первого порядка. Параметризация модели включала такие фармакокинетические параметры, как клиренс (CL), объем распределения (V), константу скорости элиминации (Kel) и скоростные константы обмена между камерами (Q/Vc, Q/Vp) (рис. 1).
Рисунок 1 – Схема линейной двухкамерной модели для описания фармакокинетики олокизумаба. Примечание: Q/Vc, Q/Vp – скоростные константы обмена между камерами; Kel – константа скорости элиминации.
В финальную модель был включен параметр межиндивидуальной вариабельности (IIV) для параметров объема распределения центральной (Vc) и периферической камер (Vp). Также оценивалась IIV клиренса олокизумаба. Оценивалось влияние следующих ковариат: возраст, пол, масса тела, уровень альбумина в сыворотке крови, уровень печеночных ферментов, билирубина, клиренс креатинина. Поскольку в исследовании CL04041094 не собирались данные об уровне альбумина у участников, для целей моделирования отсутствующие индивидуальные уровни альбумина были восстановлены по следующей формуле (ALB=–0,4714×CРБ+50,714) на основании литературных данных [13].
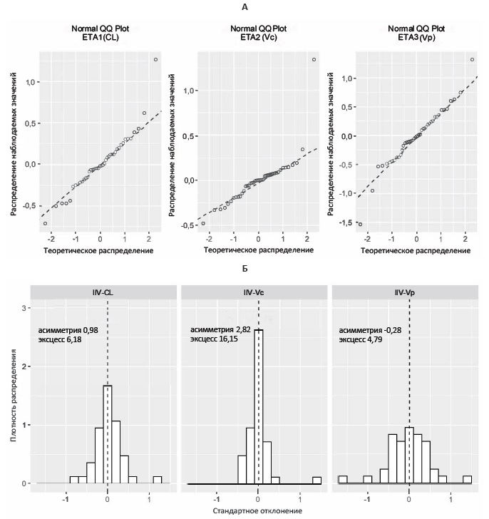
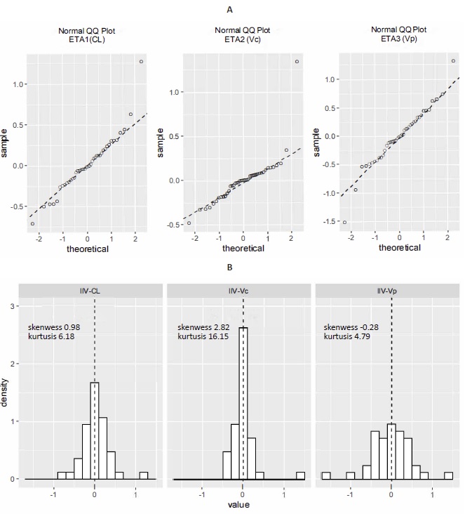
Адекватность модели была проверена с помощью диагностических графиков для оценки соответствия критериям согласия и используемых допущений, были получены удовлетворительные значения сжатия η, выполнен графический анализ соответствия предсказаниям модели (Visual Predictive Check). Также оценивалась стабильность модели, асимметрия и эксцесс распределения η [13, 14].
Популяционные значения фармакокинетических параметров олокизумаба оценивались с помощью алгоритма проверки условия первого порядка (FOCE) в программном обеспечении NONMEM 7.4. Построение диагностических графиков, поисковый анализ и постобработка выходных данных NONMEM выполнялись с использованием программного обеспечения R version 3.5.3. Анализ проводился в соответствии с методическими рекомендациями по популяционной фармакокинетике FDA6 и EMEA7.
РЕЗУЛЬТАТЫ
Средний возраст пациентов составлял 56,4 (±10,0) лет [от 45 до 74 лет], большинство были пациенты мужского пола (87,5%), средняя масса тела пациентов составляла 87,0 (±15,1) кг, а ИМТ – 26,8 (±3,4). Все пациенты были европеоидной расы. У пяти пациентов забор биообразцов был произведен во всех запланированных точках, у 2-х – отбор был закончен в точке 366 часов и у одного в точке 240 часов (выбытие по причине летального исхода).
Значения ФК-параметров, рассчитанные методом некомпартментного анализа, из отчетов о соответствующих клинических исследованиях представлены в таблице 1, в сравнении с результатами предыдущих исследований у здоровых добровольцев и пациентов с РА. После введения препарат достаточно быстро распределялся: Cmax в исследованной популяции достигалось достаточно быстро и составляло около 36 мкг/мл, медиана Тmax составляла 6 часов. Далее концентрация снижалась в течение всего последующего периода наблюдения. Несмотря на более быстрое снижение концентрации по сравнению с внутривенным введением олокизумаба в дозе 1 мг/кг (в среднем 75 мг) пациентам с РА [16], у 7 из 8 пациентов через 7 дней после введения концентрация олокизумаба в плазме превышала 10 мкг/мл, у 5 из 7 пациентов через 14 дней концентрация была выше 5 мкг/мл. Средний Т1/2 при этом составил около 13,8 дней, что значительно ниже, чем при в/в введении здоровым добровольцам (27,9 дней) и пациентам с РА (30,66 дней).
Таблица 1 – Индивидуальные фармакокинетические параметры олокизумаба и средние значения
ФК параметр | Здоровые добровольцы [15] | Пациенты с РА [16] | Пациенты с COVID-19 (RESET) |
1 мг/кг (76 мг) в/в, n = 31 | 1 мг/кг (75 мг) в/в, n = 7 | 128 мг, в/в n = 8 | |
Cmax (мкг/мл) | |||
Среднее (±СО) | 21,4 (±0,842) | 22,28 (±3,9) | 40,20 (±18,06) |
Ср. геометр (КВ٪) | – | 21,98 (17,53) | 35,69 (44,93) |
Тmax (ч) | |||
Медиана | 4,00 | 2,00 | 6,00 |
Н. Кв, В. Кв. | 2,03–4,00 | 2,0–14,0 | 2,0–18,0 |
Ср. геометр (КВ٪) | – | 4,49 (123,26) | 7,44 (159,72) |
AUC0-t (ч×мкг/мл) | |||
Среднее (±СО) | 9427 (±524) | 7001,58 (±1259,89) | 7802,19 (±4005,29) |
Ср. геометр (КВ٪) | – | 6911,9 (17,99) | 6855,77 (51,34) |
AUC0-∞ (ч×мкг/мл) | |||
Среднее (±СО) | 10435 (±1266) | 13979,67 (±3267,86) | 13117,51 (±9777,32) |
Ср. геометр (КВ٪) | – | 13633,52 (23,38%) | 10600,21 (74,54) |
Т1/2 (дней) | |||
Среднее (±СО) | 27,9 (±12) | 30,66 (±14,2) | 13,8 (±10,86) |
Ср. геометр (КВ٪) | – | 28,13 (46,31) | 10,35 (78,65) |
CL, л/сут | |||
Среднее (±СО) | 0,177 (±0,020) | 0,145 (±0,03) | 0,349 (±0,214) |
Ср. геометр (КВ٪) | – | 0,143 (20,372) | 0,289 (61,275) |
Vd, л | |||
Среднее (±СО) | 7,08 (±3,04) | 6,29 (±2,97) | 5,26 (±4,56) |
Ср. геометр (КВ٪) | – | 5,79 (47,23) | 4,33 (86,81) |
Примечания: СО – стандартное отклонение; КВ% – коэффициент вариабельности; Н. Кв. – нижний квартиль (25%); В. Кв. – верхний квартиль (75%); в/в – внутривенно; макс. – максимум; мин. – минимум; n – количество пациентов; CL – клиренс; Vd – объем распределения; 1 – в таблицу сравнения включены только данные добровольцев, получивших олокизумаб в дозе 1 мг/кг внутривенно. Всего в исследованиях 1 фазы приняли участие 87 добровольцев, 67 в европейской популяции (RA0001), 20 в азиатской (японcкой) популяции (RA0074).
Таблица 2 – Средние фармакокинетические параметры олокизумаба в общей популяции пациентов с РА и COVID-19
Параметр | Финальная модель | RSD (%) | ||
Значение | η-сжатие | |||
CL (л/сут) | θ1 | 0,154 | – | 6,8 |
Vc (л) | θ2 | 4,1 | – | 5,6 |
Q (л/сут) | θ3 | 0,348 | – | 16,3 |
Vр (л) | θ4 | 1,67 | – | 12,2 |
Остаточная ошибка – частое взятие образцов | θ7 | 0,167 | 5,9 | – |
IIV CL (CV%) | η1 | 34,2 | 2,2 | – |
IIV Vс (CV%) | η2 | 27,3 | 2,6 | – |
IIV Vр (CV%) | η3 | 56,7 | 16,0 | – |
Корреляция случайных эффектов | ||||
IIV CL – IIV Vc | CORR1,2 | 0,651 | – | – |
IIV CL – IIV Vp | CORR1,3 | 0,110 | – | – |
IIV Vc – IIV Vp | CORR2,3 | 0,512 | – | – |
Примечание: RSD – относительное стандартное отклонение; CL – общий клиренс; Vc, Vр – объем распределения центральный, периферический соответственно; Q/Vc, Q/Vp – скоростные константы обмена между камерами; IIV(CV%) – межиндивидуальная вариабельность (коэффициент вариации%); θ – параметр с фиксированной величиной; η – параметр вариабельности, заданный величиной с нормальным распределением; CORR – показатель корреляции между случайными эффектами.
Анализ влияния индивидуальных характеристик на клиренс олокизумаба
Графический анализ критериев согласия и визуальная оценка соответствия предсказаниям модели продемонстрировали удовлетворительную способность выбранной популяционной фармакокинетической модели для описания плазменных концентраций олокизумаба (Рис. 2–4).
Рисунок 2 – Графический анализ критериев соответствия финальной модели. Примечание: DV – зависимая переменная; PRED – предсказанные значения; IPRED – индивидуальные предсказанные значения; TAD – время после введения последней дозы; CWRES – условные взвешенные остатки, рассчитанные с использованием алгоритма FOCI.
Рисунок 3 – Проверка распределения показателей межиндивидуальной вариабельности на соответствие нормальному распределению. Примечание: ETA = η; IIV – межиндивидуальная вариабельность; CL – клиренс; Vc – объем центральной камеры; Vp – объем периферической камеры; Normal QQ Plot – график квантиль-квантиль для оценки нормальности распределения.
Рисунок 4 – Графическое представление наблюдаемых и предсказанных фармакокинетических профилей олокизумаба для пациентов с COVID-19, здоровых добровольцев и пациентов с РА. Примечание: Область, отмеченная розовым цветом – границы 95% доверительного интервала для оценки медианы; области, отмеченные серым цветом - границы 95% доверительного интервала для оценки 5-го и 95-го перцентилей.
Средние фармакокинетические параметры олокизумаба в общей популяции пациентов с РА и COVID-19, определенные на основании разработанной популяционной фармакокинетической модели, в целом соответствовали полученным ранее индивидуальным фармакокинетическим показателям в популяции РА (клиренс 0,153 л/сут против 0,147 л/сут)8.
Анализ ковариат продемонстрировал, что наибольшее влияние на скорость выведения препарата оказывает масса тела (табл. 3). После коррекции по уровню альбумина и массе тела было обнаружено, что заболевание COVID-19 является независимым значимым фактором, повышающим клиренс олокизумаба на 96,5% (θ16).
Таблица 3 – Эффекты индивидуальных характеристик пациентов
Ковариаты | Финальная модель | ||
Значение | RSD (%) | ||
Влияние массы тела на CL и Q | θ8 | 0,654 | 57,3 |
Влияние массы тела на Vc и Vp | θ14 | 0,498 | 60,0 |
Влияние заболевания COVID-19 на CL | θ16 | 0,965 | 23,4 |
Примечание: θ – параметр с фиксированной величиной; RSD – относительная стандартная ошибка; Q – межкомпартментный клиренс; CL – общий клиренс; Vc, Vр – объем распределения центральный, периферический соответственно.
ОБСУЖДЕНИЕ
Пиковая концентрация при внутривенном введении у пациентов с COVID-19 составила около 36 мкг/мл и соответствовала полученным ранее данным у здоровых добровольцев и пациентов с РА, однако, только у двоих пациентов Тmax превысило 8 часов. Таким образом, в целом время достижения пиковой концентрации было сопоставимо во всех исследованных популяциях, наблюдаемые различия могут быть связаны с различиями в скорости и технике выполнения внутривенной инфузии препарата в разных исследованиях. Хотя скорость элиминации и объем распределения олокизумаба практически не различались у здоровых добровольцев и пациентов с РА, у пациентов со среднетяжелым течением COVID-19 наблюдался значительно более быстрый клиренс препарата. Медиана Т1/2 у пациентов с COVID-19 составила около 6 дней по сравнению с приблизительно 30 днями у здоровых добровольцев и пациентов с РА. Для более детального анализа ранее разработанная по результатам исследований внутривенного введения олокизумаба у здоровых добровольцев и пациентов с РА популяционная фармакокинетическая модель была адаптирована для оценки влияния индивидуальных характеристик пациентов на клиренс препарата у пациентов с COVID-19. Было показано, что повышение массы тела ассоциировано с увеличением скорости клиренса и объема распределения олокизумаба. Повышенная масса тела является фактором риска тяжелого течения COVID-19 [23, 24], в связи с чем такие пациенты чаще госпитализируются и непропорционально часто представлены в исследуемых популяциях. Медиана массы тела у пациентов в когорте пациентов с COVID-19 была выше по сравнению с пациентами с РА и здоровыми добровольцами (92, 78 и 76 кг соответственно). Таким образом, более быстрый клиренс олокизумаба у пациентов с COVID-19 может частично объясняться более высокой частотой гипоальбуминемии и большей массой тела пациентов. Заболевание COVID-19 также было независимо ассоциировано с повышением клиренса олокизумаба, что может быть обусловлено ускорением метаболизма белков при инфекционных и воспалительных заболеваниях [25], одним из маркеров которого может служить сниженный уровень альбумина. Гипоальбуминемия является характерной чертой заболевания COVID-19: она наблюдается у 30–50% госпитализированных пациентов и играет роль независимого предиктора тяжелого течения заболевания и смерти [17–22], тогда как у здоровых добровольцев и пациентов с РА средние уровни альбумина не различаются.
Сопоставимое по величине повышение клиренса было продемонстрировано ранее для другого ингибитора сигнального пути ИЛ-6, тоцилизумаба, у пациентов с тяжелым течением COVID-19 [21]. В обзоре Leung E. и соавт. (2022), описано 2 пути элиминации моноклональных антител. Первый путь, обеспечивающий линейный клиренс, связан с протеолитическим катаболизмом препаратов после введения. Второй путь включает специфическое связывание лиганд – рецептор (например, рецептор ИЛ-6 и тоцилизумаб) как с растворимыми, так и с мембраносвязанными мишенями с последующей интернализацией и внутриклеточной деградацией. Этот процесс обеспечивает нелинейный клиренс и зависит от относительной экспрессии мишени. Следовательно, на этот механизм могут влиять специфические для пациента факторы, такие как тип и тяжесть заболевания. При этом линейная часть клиренса тоцилизумаба, по-видимому, в некоторой степени зависит от массы тела.
Как было показано в исследовании Moes D.J.A.R. и соавт. (2021), у пациентов с тяжелым течением COVID-19 оценка клиренса (CL) составляла 0,725 л/сут и была выше, чем оценка у взрослых пациентов с РА (0,2–0,3 л/сут), детей с системным ювенильным идиопатическим артритом (0,17 л/сут), детей и взрослых с CAR T-индуцированным синдромом высвобождения цитокинов (0,5 л/сут) [26]. Сходные тенденции демонстрирует и соотношение клиренса олокизумаба у пациентов со среднетяжелым течением COVID-19 (0,349 л/сут) и пациентов с РА (0,145 л/сут). Однако необходимо принять во внимание, что в исследовании не показана целесообразность расчета дозы тоцилизумаба по массе тела пациентов, использование фиксированных доз является предпочтительным. С учетом этих данных необходимо с осторожностью подходить к трактовке результатов настоящего исследования популяционной фармакокинетики олокизумаба. Так до получения дополнительных данных о фармакокинетике у пациентов с COVID-19, пересмотр режима дозирования олокизумаба в данной популяции представляется необоснованным.
ЗАКЛЮЧЕНИЕ
У пациентов со среднетяжелым течением COVID-19 после внутривенного введения олокизумаба было продемонстрировано увеличение клиренса на фоне течения заболевания по сравнению с ранее изучавшимися популяциями здоровых добровольцев и пациентов с РА. Основной вклад в повышенный клиренс олокизумаба вносят особенности популяции пациентов с COVID-19, связанные с риском тяжелого течения заболевания (избыточный вес) и влияние ускоренного метаболизма белков вследствие выраженного воспаления, характеризующееся гипоальбуминемией. При этом также наблюдался вклад не выявленных факторов повышенного клиренса, ассоциированных с заболеванием COVID-19, и, вероятно, обусловленных взаимовлиянием механизма действия олокизумаба и патогенеза COVID-19. Тем не менее, при внутривенном введении в дозе 128 мг терапевтически значимый уровень олокизумаба сохранялся в течение всей острой фазы (28 дней) заболевания.
ФИНАНСОВАЯ ПОДДЕРЖКА
Работа выполнялась при финансировании группы компаний АО «Р-Фарм».
КОНФЛИКТ ИНТЕРЕСОВ
Клиническое исследование было организовано спонсором АО «Р-Фарм». АО «Р-Фарм» является производителем и владельцем регистрационного удостоверения препарата Артлегиа® (олокизумаб) от 21.05.2020. Авторы статьи А.В. Зинченко, А.Н. Долгорукова, М.В. Никольская, М.C. Лемак, О.В. Филон, М.Ю. Самсонов являются сотрудниками компании АО «Р-Фарм». Авторы статьи Е.В. Тавлуева, Е.В. Зернова, М.П. Кутепова, Н.Э. Костина, В.С. Лесина являются врачами исследователями научных центров БУЗ ВО ВОКБ №1 (центр № 03) и ГБУЗ «ГКБ им. Ф.И. Иноземцева ДЗМ» (центр № 04) по протоколу «Многоцентровое открытое рандомизированное исследование эффективности и безопасности нового режима применения препарата Артлегиа® (МНН: олокизумаб) у пациентов с коронавирусной инфекцией (COVID-19) с признаками гипервоспаления», спонсируемому АО «Р-Фарм».
ВКЛАД АВТОРОВ
Е.В. Тавлуева, Е.В. Зернова, М.П. Кутепова, Н.Э. Костина, В.С. Лесина – выполнение экспериментальной части исследования; Д.Р. Моулд, К. Ито – разработка популяционной фармакокинетической модели; А.В. Зинченко – аналитическая обработка полученных результатов; А.Н. Долгорукова – статистическая обработка результатов исследования; М.В. Никольская – написание и редактирование текста; М.C. Лемак – планирование и описание фармакокинетической модели, написание и редактирование текста; О.В. Филон – разработка дизайна исследования, написание и редактирование текста; М.Ю. Самсонов – постановка цели, разработка дизайна исследования.
1 Временные методические рекомендации Минздрава России «Профилактика, диагностика и лечение новой коронавирусной инфекции (COVID-19), версия 16 от 18.08.2022. – [Электронный ресурс]. – Режим доступа: https://static-0.minzdrav.gov.ru
2 Рандомизированное, двойное слепое, плацебо-контролируемое, многоцентровое исследование фазы III, проводимое в параллельных группах, для оценки эффективности и безопасности олокизумаба у пациентов со среднетяжелым или тяжелым ревматоидным артритом, недостаточно контролируемым терапией метотрексатом (CREDO 1). – [Электронный ресурс]. – Режим доступа: https://grlsbase.ru/clinicaltrails/clintrail/2763
3 Evaluation of the Efficacy and Safety of Two Dosing Regimens of Olokizumab (OKZ), Compared to Placebo and Adalimumab, in Subjects With Rheumatoid Arthritis (RA) Who Are Taking Methotrexate But Have Active Disease (CREDO 2). – [Электронный ресурс]. – Режим доступа: https://clinicaltrials.gov/ct2/show/NCT02760407
4 Evaluation of the Efficacy and Safety of Two Dosing Regimens of Olokizumab (OKZ), Compared to Placebo, in Subjects With Rheumatoid Arthritis (RA) Who Were Taking an Existing Medication Called a Tumour Necrosis Factor Alpha Inhibitor But Had Active Disease (CREDO 3). – [Электронный ресурс]. – Режим доступа: https://clinicaltrials.gov/ct2/show/NCT02760433
5 Efficacy and Safety of Olokizumab in Subjects With Moderately to Severely Active Rheumatoid Arthritis (CREDO 4). – [Электронный ресурс]. – Режим доступа: https://clinicaltrials.gov/ct2/show/NCT03120949
6 U.S. Department of Health and Human Services, Food and Drug Administration, Center for Drug Evaluation and Research (CDER), Center for Biologics Evaluation and Research (CBER) Guidance for Industry: Population Pharmacokinetics.), February 2022.
7 EMEA report. Guideline on Reporting the Results of Population Pharmacokinetic Analyses, 2007.
8 Инструкция по применению препарата Артлегиа®. – [Электронный ресурс]. – Режим доступа: https://artlegia.com/#close
Об авторах
Евгения Валерьевна Тавлуева
ГБУЗ «Городская клиническая больница им. Ф.И. Иноземцева Департамента здравоохранения города Москвы»
Автор, ответственный за переписку.
Email: tavlev1@mail.ru
ORCID iD: 0000-0002-6796-212X
доктор медицинских наук, ведущий научный сотрудник отдела патогенетических аспектов старения, руководитель регионального сосудистого центра
Россия, 105187, Москва, ул. Фортунатовская, д. 1Евгения Викторовна Зернова
ГБУЗ «Городская клиническая больница им. Ф.И. Иноземцева Департамента здравоохранения города Москвы»
Email: evgenya.gor@mail.ru
ORCID iD: 0000-0003-4565-6743
заместитель главного врача по терапевтической помощи
Россия, 105187, Москва, ул. Фортунатовская, д. 1Марина Павловна Кутепова
ГБУЗ «Городская клиническая больница им. Ф.И. Иноземцева Департамента здравоохранения города Москвы»
Email: kutepovam@mail.ru
ORCID iD: 0000-0002-9283-9721
врач-терапевт
Россия, 105187, Москва, ул. Фортунатовская, д. 1Наталья Эдуардовна Костина
БУЗ ВО «Воронежская областная клиническая больница № 1»
Email: nata166k@yahoo.com
ORCID iD: 0000-0002-5128-5005
заведующая отделением пульмонологии
Россия, 394066, Воронеж, пр-т Московский, д. 151Виктория Сергеевна Лесина
БУЗ ВО «Воронежская областная клиническая больница № 1»
Email: vita252007@yandex.ru
ORCID iD: 0000-0001-8231-6591
врач-пульмонолог
Россия, 394066, Воронеж, пр-т Московский, д. 151Диана Р. Моулд
Projections Research, Inc.
Email: drmould@pri-home.net
ORCID iD: 0000-0002-8908-0136
Ph.D., президент
США, 19460, Пенсильвания, Фениксвилл, Springview Lane, 535Каори Ито
Projections Research, Inc.
Email: kaori.ito@appliedpmx.com
Ph.D.-MBA, научный консультант
США, 19460, Пенсильвания, Фениксвилл, Springview Lane, 535Аркадий Владимирович Зинченко
Акционерное общество «Р-Фарм»
Email: a.zinchenko@rpharm.ru
ORCID iD: 0000-0001-8148-5086
руководитель направления исследования биоаналогов
Россия, 123154, Москва, ул. Берзарина, д. 19, кор. 1Антонина Николаевна Долгорукова
Акционерное общество «Р-Фарм»
Email: an.dolgorukova@gmail.com
ORCID iD: 0000-0003-4189-7910
биостатистик
Россия, 123154, Москва, ул. Берзарина, д. 19, кор. 1Мария Викторовна Никольская
Акционерное общество «Р-Фарм»
Email: mv.nikolskaya@rpharm.ru
ORCID iD: 0000-0001-6716-0357
руководитель отдела медицинской документации
Россия, 123154, Москва, ул. Берзарина, д. 19, кор. 1Мария Cтепановна Лемак
Акционерное общество «Р-Фарм»
Email: lemak@rpharm.ru
ORCID iD: 0000-0003-4793-7477
научный советник
Россия, 123154, Москва, ул. Берзарина, д. 19, кор. 1Ольга Владимировна Филон
Акционерное общество «Р-Фарм»
Email: ov.filon@rpharm.ru
ORCID iD: 0000-0002-8735-7429
директор департамента
Россия, 123154, Москва, ул. Берзарина, д. 19, кор. 1Михаил Юрьевич Самсонов
Акционерное общество «Р-Фарм»
Email: samsonov@rpharm.ru
ORCID iD: 0000-0003-2685-1623
кандидат медицинских наук, доцент, медицинский директор
Россия, 123154, Москва, ул. Берзарина, д. 19, кор. 1Список литературы
- Zhou P., Yang X.L., Wang X.G., Hu B., Zhang L., Zhang W., Si H.R., Zhu Y., Li B., Huang C.L., Chen H.D., Chen J., Luo Y., Guo H., Jiang R.D., Liu M.Q., Chen Y., Shen X.R., Wang X., Zheng X.S., Zhao K., Chen Q.J., Deng F., Liu L.L., Yan B., Zhan F.X., Wang Y.Y., Xiao G.F., Shi Z.L. A pneumonia outbreak associated with a new coronavirus of probable bat origin // Nature. – 2020. – Vol. 579, No. 7798. – P. 270–273. doi: 10.1038/s41586-020-2012-7
- Zhou J., He W., Liang J., Wang L., Yu X., Bao M., Liu H. Association of Interleukin-6 Levels with Morbidity and Mortality in Patients with Coronavirus Disease 2019 (COVID-19) // Jpn J. Infect. Dis. – 2021. – Vol. 74, No. 4. – P. 293–298. doi: 10.7883/yoken.JJID.2020.463
- Luo K., Chen Y., Yang J., Tao Q., Luo M. Liver Injury and Elevated Levels of Interleukins, Interleukin-2 Receptor, and Interleukin-6 Predict the Severity in Patients With COVID-19 // Front. Public. Health. – 2021. – Vol. 9. – Art. ID: 778340. doi: 10.3389/fpubh.2021.778340
- Kim J.S., Lee J.Y., Yang J.W., Lee K.H., Effenberger M., Szpirt W., Kronbichler A., Shin J.I. Immunopathogenesis and treatment of cytokine storm in COVID-19 // Theranostics. – 2021. – Vol. 11, No. 1. – P. 316–329. doi: 10.7150/thno.49713
- Yu S.Y., Koh D.H., Choi M., Ryoo S., Huh K., Yeom J.S., Yoon Y.K. Clinical efficacy and safety of interleukin-6 receptor antagonists (tocilizumab and sarilumab) in patients with COVID-19: a systematic review and meta-analysis // Emerg. Microbes. Infect. – 2022. – Vol. 11, No. 1. – P. 1154–1165. doi: 10.1080/22221751.2022.2059405
- Raimondo M.G., Biggioggero M., Crotti C., Becciolini A., Favalli E.G. Profile of sarilumab and its potential in the treatment of rheumatoid arthritis // Drug. Des. Devel. Ther. – 2017. – Vol. 11. – P. 1593–1603. doi: 10.2147/DDDT.S100302
- Sebba A. Tocilizumab: the first interleukin-6-receptor inhibitor // Am. J. Health. Syst. Pharm. – 2008. – Vol. 65, No. 15. – P. 1413–1418. doi: 10.2146/ajhp070449
- Shaw S., Bourne T., Meier C., Carrington B., Gelinas R., Henry A., Popplewell A., Adams R., Baker T., Rapecki S., Marshall D., Moore A., Neale H., Lawson A. Discovery and characterization of olokizumab: a humanized antibody targeting interleukin-6 and neutralizing gp130-signaling // MAbs. – 2014. – Vol. 6, No. 3. – P. 774–782. doi: 10.4161/mabs.28612
- Nasonov E., Fatenejad S., Feist E., Ivanova M., Korneva E., Krechikova D.G., Maslyanskiy A.L., Samsonov M., Stoilov R., Zonova E.V., Genovese M. Olokizumab, a monoclonal antibody against interleukin 6, in combination with methotrexate in patients with rheumatoid arthritis inadequately controlled by methotrexate: efficacy and safety results of a randomised controlled phase III study // Ann. Rheum. Dis. – 2022. – Vol. 81, Issue 4. – P. 469–479. doi: 10.1136/annrheumdis-2021-219876
- Genovese M.C., Fleischmann R., Furst D., Janssen N., Carter J., Dasgupta B., Bryson J., Duncan B., Zhu W., Pitzalis C., Durez P., Kretsos K. Efficacy and safety of olokizumab in patients with rheumatoid arthritis with an inadequate response to TNF inhibitor therapy: outcomes of a randomised Phase IIb study // Ann. Rheum. Dis. – 2014. – Vol. 73, No. 9. – P. 1607–1615. doi: 10.1136/annrheumdis-2013-204760
- Mikhaylenko D.S., Kuznetsova E.B., Musatova V.V., Bure I.V., Deryagina T.A., Alekseeva E.A., Tarasov V.V., Zamyatnin A.A. Jr., Nemtsova M.V. Genetic and Clinical Factors Associated with Olokizumab Treatment in Russian Patients with Rheumatoid Arthritis // J. Pers. Med. – 2022. – Vol. 12, No. 4. – Art. ID: 641. doi: 10.3390/jpm12040641
- Sheiner L.B., Beal S.L. Some suggestions for measuring predictive performance // J. Pharmacokinet. Biopharm. – 1981. – Vol. 9, No. 4. – P. 503–512.
- Karlsson M.O., Savic R.M. Diagnosing model diagnostics // Clin. Pharmacol. Ther. – 2007. – Vol. 82, No. 1. – P. 17–20. doi: 10.1038/sj.clpt.6100241
- Post T.M., Freijer J.I., Ploeger B.A., Danhof M. Extensions to the Visual Predictive Check to facilitate model performance evaluation // J. Pharmacokinet. Pharmacodyn. – 2008. – Vol. 35, No. 2. – P. 185–202. doi: 10.1007/s10928-007-9081-1
- Kretsos K., Golor G., Jullion A., Hickling M., McCabe S., Shaw S., Jose J., Oliver R. Safety and pharmacokinetics of olokizumab, an anti-IL-6 monoclonal antibody, administered to healthy male volunteers: A randomized phase I study // Clin. Pharmacol. Drug. Dev. – 2014. – Vol. 3, No. 5. – P. 388–395. doi: 10.1002/cpdd.121
- Fleischmann R., Kivitz A.J., Wagner F., Feinstein J.A., Fuhr U., Rech J., Sidhu J., Hill P.L., Oliver R., Kretsos K. A Pilot Study Investigating the Tolerability and Pharmacodynamic Effect of Single Intravenous/Subcutaneous Doses of Olokizumab, an Anti-Interleukin-6 Monoclonal Antibody, in Patients with Rheumatoid Arthritis // Arthritis and Rheumatism. – 2012. – Vol. 64, No. 10. – P. 576–577.
- Chowdhury A.I., Alam M.R., Rabbi M.F., Rahman T., Reza S. Does higher body mass index increase COVID-19 severity? A systematic review and meta-analysis // Obesity medicine. – 2021. – Vol. 23. – Art. ID: 100340. doi: 10.1016/j.obmed.2021.100340
- Ryman J.T., Meibohm B. Pharmacokinetics of monoclonal antibodies // CPT Pharmacometrics. Syst. Pharmacol. – 2017. – Vol. 6. – P. 576–588. doi: 10.1002/psp4.12224
- Moes D.J.A.R., van Westerloo D.J., Arend S.M., Swen J.J., de Vries A., Guchelaar H.J., Joosten S.A., de Boer M.G.J., van Gelder T., van Paassen J. Towards Fixed Dosing of Tocilizumab in ICU-Admitted COVID-19 Patients: Results of an Observational Population Pharmacokinetic and Descriptive Pharmacodynamic Study // Clin. Pharmacokinet. – 2022. – Vol. 61. – P. 231–247. doi: 10.1007/s40262-021-01074-2
- Huang J., Cheng A., Kumar R., Fang Y., Chen G., Zhu Y., Lin S. Hypoalbuminemia predicts the outcome of COVID‐19 independent of age and comorbidity // J. Med. Virol. – 2020. – Vol. 92. – P. 2152–2158. doi: 10.1002/jmv.26003
- Zekri-Nechar K., Zamorano-León J.J., Segura-Fragoso A., Alcaide J.R., Reche C., Andrés-Castillo A., Martínez-Martínez C.H., Giner M., Jiménez-García R., López- de-Andrés A., Navarro-Cuellar C., García-Fernández M.A., López-Farré A. Albumin Binds COVID-19 Spike 1 Subunit and Predicts In-Hospital Survival of Infected Patients – Possible Alteration by Glucose // J. Clin. Med. – 2022. – Vol. 11, No. 3. – Art. ID: 587. doi: 10.3390/jcm11030587
- Turcato G., Zaboli A., Kostic I., Melchioretto B., Ciccariello L., Zaccaria E., Olivato A., Maccagnani A., Pfeifer N., Bonora A. Severity of SARS-CoV-2 infection and albumin levels recorded at the first emergency department evaluation: a multicentre retrospective observational study // Emerg. Med. J. – 2022. – Vol. 39. – P. 63–69. doi: 10.1136/emermed-2020-210081
- Xu Y., Yang H., Wang J., Li X., Xue C., Niu C., Liao P. Serum Albumin Levels are a Predictor of COVID-19 Patient Prognosis: Evidence from a Single Cohort in Chongqing, China // Int. J. Gen. Med. – 2021. – Vol. 14. – P. 2785–2797. doi: 10.2147/IJGM.S312521
- Viana-Llamas M.C., Arroyo-Espliguero R., Silva- Obregón J.A., Uribe-Heredia G., Núñez-Gil I., García-Magallón B., Torán-Martínez C.G., Castillo-Sandoval A., Díaz-Caraballo E., Rodríguez-Guinea I., Domínguez-López J. Hypoalbuminemia on admission in COVID-19 infection: An early predictor of mortality and adverse events. A retrospective observational study // Medicina Clínica. – 2021. – Vol. 156, Issue 9. – P. 428–436. doi: 10.1016/j.medcli.2020.12.018
- Pietri L., Giorgic R., Bégub A., Lojoub M., Koubid M., Cauchoisad R., Grangeotb R., Duboisb N., Kaplanskid G., Valéroab R., Béliardab S. Excess body weight is an independent risk factor for severe forms of COVID-19 // Metabolism. – 2021. – Vol. 117. – Art. ID: 154703. doi: 10.1016/j.metabol.2021.154703
- Leung E., Crass R.L., Jorgensen S.C.J., Raybardhan S., Langford B.J., Moore W.J., Rhodes N.J. Pharmacokinetic/Pharmacodynamic Considerations of Alternate Dosing Strategies of Tocilizumab in COVID-19. Clin. Pharmacokinet. – 2022. – Vol. 61. – P. 155–165. doi: 10.1007/s40262-021-01092-0
Дополнительные файлы







