Bioequivalence study of generic molnupiravir in healthy volunteers
- Authors: Vasilyuk V.B.1,2, Boroduleva A.Y.3, Sobolev P.D.4, Nikiforova A.G.4, Mozgovaya V.G.5, Filon O.V.5, Zinkovskaya A.V.5, Ignatiev V.G.5, Samsonov M.Y.5, Kozlova I.S.5, Khanonina E.K.5
-
Affiliations:
- Limited Liability Company “Eco-Safety Scientific Research Center”
- North-Western State Medical University named after I.I. Mechnikov
- Limited Liability Company “Exacte Labs”
- Limited Liability Company “Exacte Labs”,
- Joint-Stock Company “R-Pharm”
- Issue: Vol 10, No 6 (2022)
- Pages: 562-572
- Section: ORIGINAL ARTICLES
- URL: https://journals.eco-vector.com/2307-9266/article/view/375292
- DOI: https://doi.org/10.19163/2307-9266-2022-10-6-562-572
- ID: 375292
Cite item
Abstract
Molnupiravir is one of the drugs for the etiotropic therapy of a new coronavirus infection COVID-19. It has confirmed its clinical efficacy in the treatment of patients with mild and moderate COVID-19, including those who are at high risk of progressing to severe disease.
The aim of the study was to evaluate bioequivalence of the generic drug molnupiravir ALARIO-TL and the original drug Lagevrio with a single oral administration in healthy volunteers.
Materials and methods. This bioequivalence study was an open, randomized, two-period crossover study. In each of the two periods, volunteers received a single dose of the test drug, or reference drug molnupiravir, in the form of capsules at the dose of 200 mg. The washout period between the doses was 3 days. To determine pharmacokinetic (PK) parameters and bioequivalence, the concentration the concentration of N-hydrozycytidine (NHC), the main molnupiravir metabolit in the blood plasma of volunteers was evaluated. The blood plasma sampling was carried out in the range from 0 to 16 hours in each of the study periods. Bioequivalence was assessed by comparing 90% confidence intervals (CIs) for the ratio of geometric means of AUC(0–16) and Cmax of the test drug and reference drugs with the established equivalence limits of 80.00 – 125.00%.
Results. A total of 28 healthy male volunteers were included in the study. According to the results of the statistical analysis, after the administration of the test and reference drugs, the 90% CIs for the ratio of the geometric means of AUC (0–16) and Cmax were 96.31% – 113.64% and 91.37% – 114.8%, respectively. These intervals fit within the established limits of 80.00–125.00%, which confirms the bioequivalence of the drugs. When comparing the frequency of the individual adverse events registration, no significant differences were found out after the administration of the test and reference drugs.
Conclusion. Based on the results of this study, it can be concluded that the test and reference drugs of molnupiravir are bioequivalent. In addition, the data obtained indicate that the drugs have similar safety profiles.
Keywords
Full Text
Abbreviations. COVID-19 – a novel coronavirus infection caused by the SARS-CoV-2 virus; NHC, N-hydroxycytidine; CI – confidence interval; AUC – area under the concentration-time curve; AUC0–t/AUC0–16 – area under the concentration-time pharmacokinetic curve from zero to the last blood withdrawal at which the drug concentration is equal to or higher than the lower limit of quantitation; AUC0–∞ – area under the concentration-time pharmacokinetic curve, starting from zero time, extrapolated to infinity; Cmax – the maximum concentration of the drug in blood plasma; NHC-TP – N-hydroxycytidine triphosphate; Tmax – time to reach the maximum concentration; HPLC-MS/MS – high performance liquid chromatography with tandem mass spectrometry; GLP – Good Laboratory Practice; AE/SAE – undesirable/serious adverse event; CDKT – comparative dissolution kinetics test; BMI – body mass index.
INTRODUCTION
The novel coronavirus infection (COVID-19) pandemic has significantly increased the burden on healthcare systems around the world and required decisive measures, in particular, an active search for effective treatments [1–4]. Currently, there are 3 main areas of therapy for the treatment of COVID-19: etiotropic (antiviral), pathogenetic and symptomatic.
Molnupiravir is an antiviral drug that is effective against SARS-CoV-2. It is a prodrug that is chemically a 5’-isobutyrate ester of the ribonucleoside analog of N-hydroxycytidine (NHC). Once in the bloodstream, molnupiravir is hydrolyzed to NHC, which, upon penetrating into the cell, is transformed to pharmacologically active N-hydroxycytidine triphosphate (NHC-TP). NHC-TP, in turn, is inserted into viral RNA by viral RNA polymerases and generates errors in the genetic code of the virus. Genome errors caused by NHC-TP, accumulate, disrupting viral replication. Thus, the antiviral effect of molnupiravir is realized [5–7].
In clinical studies, molnupiravir has demonstrated efficacy in the treatment of the novel coronavirus infection COVID-19 and a favorable safety profile [8–12]. The recommended dosage regimen of molnupiravir for COVID-19 is 800 mg twice/daily, regardless of food intake for 5 days.
At the end of 2021, molnupiravir was approved for the use in adult patients with mild to moderate COVID-19 with risk factors for developing a severe disease in various countries, incl. the US, Europe and the UK. In addition, it is included in the Interim Guidelines of the Ministry of Health of Russia “Prevention, diagnosis and treatment of a novel coronavirus infection (COVID-19)”, starting with version 14 dated 27 December, 2021.
The original drug of molnupiravir is Lagevrio, which was registered in Russia in 2022 by “MSD Pharmaceuticals” LLC and is presented in the form of capsules, 200 mg. LLC “Technology of Medicines” has developed a generic drug molnupiravir – ALARIO-TL. To confirm the bioequivalence of the developed generic and original drugs, this bioequivalence study has been conducted.
THE AIM of the study was to evaluate bioequivalence of the generic drug molnupiravir ALARIO-TL and the original drug Lagevrio with a single oral administration in healthy volunteers.
MATERIALS AND METHODS
Study design
The bioequivalence of drugs was assessed as the 1st stage of a clinical trial with a combined two-stage design (No. CJ051025138). The first stage of this study, i.e. the bioequivalence study, was a randomized two-period crossover study with a single oral fasting dose of 200 mg of test and reference drugs in healthy volunteers.
The study design was developed taking into account both Russian recommendations for conducting bioequivalence studies1 and international guidelines2. The WHO recommendations3 on conducting bioequivalence studies of drugs based on molnupiravir, were also taken into account when planning the design.
Prior to the start of the study protocol No. CJ051025138 was approved by the Russian Ministry of Health and the Ethics Council under it (Permission No. 294 dated 20 Apr, 2022), as well as by the local ethics committees of the study site (Protocol No. 236 dated 28 Apr, 2022). The study was conducted in full compliance with the requirements of Good Clinical Practice of the International Council for Harmonization (ICH GCP) E6 (R2), the rules of good clinical practice of the Eurasian Economic Union, the ethical principles of the Declaration of Helsinki of the last revision and other applicable legislative acts of the Russian Federation and the Eurasian Economic Union.
The clinical stage of the bioequivalence study was conducted on the basis of Eco-safety Research Center LLC from Apr 28 to May 18, 2022.
Before starting the study, a in vitro equivalence dissolution test and a comparative quantitation were performed using the same series that were subsequently used in the bioequivalence study. In vitro equivalence dissolution test was carried out using a paddle stirrer type device and a device for immersion under the conditions of a stirrer rotation of 75 rpm, the temperature of 37±0.5°C, and the medium volume of 900 ml. Three dissolution media were used for testing: a buffer solution pH 1.2; an acetate buffer solution pH 4.5; a phosphate buffer solution pH 6.8. The samples were analyzed at points 10, 15, 20, 30, 45, and 60 min by UV spectrophotometry. As a research result of both the test and the reference drugs, in all media, the release of more than 85% of the active substance was observed within 15 min, which made it possible to consider the dissolution kinetics equivalent without mathematical evaluations. The quantification showed that the content of the active substance in the preparations differed by no more than 5%, and the release profiles of molnupiravir in vitro equivalence dissolution test were equivalent, which confirmed the correctness of the series choice of the test and reference drugs.
Study population
In total, 31 healthy volunteers were screened, and 28 volunteers of them were successfully screened and randomized (14 volunteers in each group). The randomization was carried out using the envelope method. The main inclusion criteria were: a male gender; an age of 18–45 years; a body mass index 18.5–30 kg/m2, a verified diagnosis “healthy” according to standard clinical, laboratory and instrumental methods of examination. The volunteers with a positive test for SARS-CoV-2, an aggravated allergic history, hypersensitivity to the components of the study products, as well as chronic diseases of various organ systems, were not allowed to participate in the study. The criteria for an discontinuation from the study were: withdrawal of an informed consent, the occurrence of adverse events (AEs) or serious adverse events (SAEs) in volunteers, in which a further participation in the study was undesirable, death, use of the prohibited therapy, and significant protocol violations. No replacing of the retired volunteers had been provided.
Administration of study products
In this research, the test (T) was a generic drug of molnupiravir – ALARIO-TL (“R-Pharm” JSC, Russia), in the dosage form of capsules, 200 mg. As a reference drug (R), the original drug Lagevrio, capsules, 200 mg (Patheon Pharma Services, Thermo Fisher Scientific Inc, USA) was used. The volunteers were randomized to one of the groups with a different sequence of dosing (TR or RT). The drugs were administrated twice with an interval of 3 days at the dose of 200 mg (1 capsule). In group No. 1 (TR), in the 1st period, the volunteers were administrated with the test drug once, and in the 2nd period – with the reference drug; in group No. 2 (RT) – vice versa. The duration of the washout period was chosen to exclude a possible effect of the molnupiravir administration in the 1st period of the study on the pharmacokinetic (PK) parameters of the drug in the 2nd period. The average half-life of the main molnupiravir NHC metabolite is about 3.3 h. Accordingly, to guarantee a decrease in the concentration of molnupiravir below the lower limit of quantitation in the volunteers at the beginning of the 2nd period of the study, the interval between the drugs doses should be at least 5 half-lives, i.e., at least 16.5 h.
Drugs were administrated in the morning on an empty stomach after refraining from eating for at least 10 hours with 200 ml of non-carbonated drinking water at the room temperature. The volunteers were to be in the “sitting” position for 4 hours after taking the drug (it was permissible to get up and walk, the “lying” position was not allowed). If during the first 4 h after taking the drug in any of the periods of the study, a volunteer experienced vomiting or diarrhea, he dropped out of the study.
Sampling and sample preparation
To assess the NHC concentration in plasma, time points for biosampling were chosen in such a way that the most complete data for each fragment of the pharmacokinetic curve could be obtained. In order to achieve this target, frequent sampling near Tmax (~1 h when taking molnupiravir at the dose of 200 mg) was envisaged, as well as at least 3–4 points during the terminal phase. Thus, biosampling was carried out at the following points: before taking the test/reference drug and then after 15, 30, 45, 60 min, 1 h and 15 min, 1 h and 30 min, 1 h and 45 min, 2 h, 2 h and 15 min , 2 h and 30 min, 2 h and 45 min, 3 h, 3 h and 30 min, 4 h, 5 h, 6 h, 8 h, 10 h, 12 h and 16 h after dosing in each of the 2 study periods (the total of 21 sampling points in a period). To determine the molnupiravir concentration, timing postponement of blood sampling was not allowed in the first 2 h; it was permitted for no more than 5 min in the period from 3 to 16 h.
Venous blood in the volume of at least 6 ml was taken into special vacutainer tubes containing the anticoagulant K2EDTA. Blood plasma was separated by centrifugation at 2000 g for 10 min. Then the test tubes were frozen and stored at the temperature not exceeding –65°C. The time interval between blood sampling, centrifugation and freezing did not exceed 30 min.
Figure 1 – Bioequivalence study design
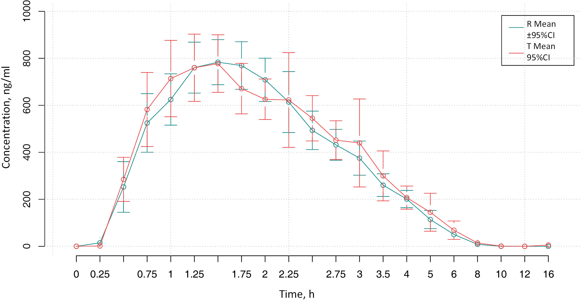
Figure 2 – Dynamics of NHC metabolite concentrations (mean and 95% CI) after taking test and reference drugs (N = 28)
Note: R – reference drug, T – test drug.
Analytical method
NHC, the main molnupiravir metabolite, was chosen as the analyte in this study, since molnupiravir undergoes hydrolysis to NHC before it reaches the systemic circulation, as a result of which unchanged molnupiravir is practically not detected in the blood.
All sample preparation was carried out under cooling conditions in an ice bath, since at room temperature, molnupiravir hydrolysis by plasma enzymes continued after sampling. The extraction of NHC from blood plasma was carried out by precipitation of blood plasma proteins with chilled methanol containing 0.1% formic acid.
The plasma NHC concentration was determined using validated high performance liquid chromatography with a tandem mass spectrometry (HPLC-MS/MS) technique. The determination method was developed and validated in accordance with the standards of good laboratory practice (GLP) and the recommendations of Appendix No. 6 to the "Rules for Conducting Bioequivalence Studies of Medicinal Products" within the Eurasian Economic Union. Validation was carried out according to the main characteristics of the methods: extraction efficiency from plasma and the matrix effect; a lower level of quantitation (LLOQ); a calibration range; accuracy and precision; selectivity (specificity); a sample transfer; stability.
The obtained samples were analyzed on an Infinity 1290 high performance liquid chromatograph (Agilent) equipped with a Triple Quad 5500+ (AB Sciex Pte. Ltd., Singapore) mass spectrometric detector with a triple quadrupole and electrospray ionization. A chromatographic separation was carried out on a Phenomenex Kinetex EVO C18 chromatographic column (100A 50×2.1 mm, 2.6 µm) in a gradient elution mode at a flow rate of 0.4 ml/min. The volume of the injected sample was 2 μl. A combination of ammonium acetate and methanol solutions was used as the mobile phase. Under these conditions, the retention time for N-hydroxycytidine was 0.5 min, the internal standard tolbutamide was 1.8 min. The total analysis time was 4 min.
For a selective and sensitive detection of the studied compounds, the optimal conditions for ionization in an electrospray and registration of negatively charged ions were chosen (MRM transitions for NHC were 258.2/126.1, for tolbutamide – 269.1/170.2).
Quantitative data processing was carried out with Analyst 1.7.2 program (AB Sciex Pte. Ltd., Singapore) using the internal standard method (solution of tolbutamide at the concentration of 1 mg/mL).
The analyte concentration was calculated from the calibration dependence of the chromatographic peak of the analyte to the area of the peak of the internal standard area on the nominal analyte concentration. The calibration curves were linear functions, the linear concentration range for NHC was 20–5000 ng/mL.
Safety assessment
For the purpose of a safety analysis, periodic assessments of physiological (blood pressure, pulse rate, body temperature), hematological (erythrocytes, hemoglobin, platelets, a leukocyte formula, an erythrocyte sedimentation rate) and biochemical (alanine aminotransferase, aspartate aminotransferase, lactate dehydrogenase, creatine phosphokinase, uric acid, glucose, total bilirubin, creatinine) indicators, urinalysis, as well as adverse events (AEs) and serious adverse events (SAEs) registrations, were carried out. Laboratory and instrumental examinations were performed at screening as well as face-to-face visits on days 1, 4, and 6 from the start of the study. A telephone visit on day 10±1 was chosen as an additional point for safety monitoring. The selected safety endpoints were: the incidence and severity of all AEs and SAEs, the incidence of NCI CTCAE 5.0 Grade 3–5 AEs, and the incidence of an early withdrawal from the study associated with AEs/SAEs.
Statistical analysis
The statistical analysis was carried out using the software package for a statistical analysis R, version 4.2.0. (R Foundation, Austria).
The sample size was calculated taking into account the selected level of statistical significance α equal to 0.05, power – 0.8 (80%), as well as an intra-individual coefficient of variation for Cmax and AUC 22% molnupiravir – 0.22 (22%).
Pharmacokinetic and bioequivalence analyzes were performed in the population of all volunteers who had missed no more than 2 blood samplings in each of the periods, and no more than 2 consecutive samplings. A safety analysis was performed in the population of all participants who had received at least one dose of test or reference drugs.
Based on the obtained values of NHC concentrations in the volunteers’ blood plasma, the main pharmacokinetic (PK) parameters were calculated in the time intervals provided for in this protocol: Cmax – the maximum concentration of the drug in the volunteers’ blood; Tmax – time to reach Cmax; AUC(0–t) – total area under the concentration-time curve in the time interval from 0 to 16 hours; T1/2 – half-life; AUC(0–∞) is the area under the “concentration-time” curve in the time interval from 0 to infinity.
All of the above parameters were presented using the arithmetic mean + standard deviation (M+SD), with the exception of Tmax, for which the median, minimum, and maximum had been used.
The drugs bioequivalence was assessed by comparing the boundaries of confidence intervals (CIs) for the ratio of the AUC (0–16) and Cmax geometric means after administrating the test and reference drugs with established equivalence limits equal to 80.00–125.00%. To establish bioequivalence, a analysis of variance (ANOVA) of logarithmically transformed NHC parameters necessary for assessing bioequivalence (AUC and Cmax), was used. Based on the residual variation of the dispersion models, the variation coefficients of the studied parameters and the corresponding CIs (on a logarithmic scale) were calculated to search for the differences between the compared drugs. The resulting CIs were inversely transformed to construct the desired CIs for the ratio of means in the original (non-transformed) units.
A statistical analysis took into account the sources of variability that could affect the variable under study. The fixed factors were used in the analysis of variance models: the sequence of drugs, the subject of the study nested in the sequence, the period and the drug. Analysis of variance was used to test hypotheses about the statistical significance of each of these factors contribution to the observed variability. The assessment of the residual variation obtained by applying the analysis of variance, was used to calculate a 90% confidence interval for the ratio of the corresponding pharmacokinetic parameter means.
RESULTS
Population
A total of 28 male volunteers were included in the study. All randomized volunteers were white people. The height and weight of the study participants were within the normal range of body mass index (BMI). The mean age was 26.46 (±4.74) years, the body weight was 77.55 (±9.20) kg, and BMI was 23.71 (±2.07) kg/m2. All volunteers completed the study according to the protocol, and therefore were included in the population for the evaluation of pharmacokinetics and bioequivalence.
Assessment of pharmacokinetics and bioequivalence
Based on the results of the NHC concentration analysis in the volunteers’ blood plasma, the main parameters of the calculated molnupiravir pharmacokinetics, are presented in Table 1.
Table 1 – Obtained values of pharmacokinetic parameters after taking test and reference drugs (n = 28)
Pharmacokinetic parameters | Test drug (n = 28) | Reference drug (n = 28) |
AUC(0–16), (ng/ml)*h | 2229.66 (±963.99) | 2083.21 (±656.45) |
Cmax, ng/ml | 1028.12 (±503.31) | 972.68 (±317.16) |
AUC(0–∞), (ng/ml)*h | 2327.01 (±984.49) | 2154.71 (±673.22) |
Tmax, h | 1.3 (0.8–2.5) | 1.5 (0.8–2.3) |
T1/2, h | 1.7 (±0.42) | 1.58 (±0.26) |
Notes: n – a number of observations; Cmax – the maximum concentration of the drug in the volunteers’ blood; Tmax – time to reach Cmax; T1/2 – half-life; AUC(0–16) – the total area under the curve “concentration – time” in the time interval from 0 to 16 hours; AUC(0–∞) – the area under the “concentration-time” curve in the time interval from 0 to infinity. The values of the indicators are presented as an arithmetic mean (standard deviation), except Tmax, which is presented as a median (min – max).
After taking the test and reference drugs, the pharmacokinetic parameters of molnupiravir were similar to each other. Thus, after taking the test drug, the maximum concentration of Cmax NHC was 1028.12±503.31 ng/ml, while after taking the reference drug, this parametr was equal to an mean of 972.68±317.16 ng/ml. The area under the curve measured up to 16 h post-dose AUC(0–16), was 2229.66±963.99 ng*h/ml; and 2083.21±656.45 ng*h/ml – after taking the reference drug.
Fig. 2 shows a graph of changes in the NHC concentrations after taking the test and reference drugs.
After calculating the PK parameters, a statistical assessment of bioequivalence was carried out. Since the calculation results showed that AUC(0–16) was more than 80% of the AUC(0–∞) value, AUC(0-16) values were used to establish bioequivalence.
According to the results of the statistical analysis, 90% CI for the ratio of the geometric mean AUC(0–16) of the test drug and reference drug, was 96.31% – 113.64% for NHC. For the ratio of geometric mean Cmax of the studied drugs, 90% CI was 91.37% – 114.8%. The intervals obtained correspond to the established equivalence limit for AUC(0–16) and Cmax – 80.00–125.00%, which indicates the studied drugs bioequivalence (Table 2). The results of the ANOVA showed that sources of variation, such as differences between the drugs, between the subjects (intersubject differences), and the administration sequence and study periods, did not significantly affect the variables assessed.
Table 2 – Calculated 90% CI values for ratios of NHC pharmacokinetic parameters of geometric means after test and reference drugs administration
Parameter | Ratio of geometric T/R means | Calculated values of 90% CI | CVintra1 |
AUC(0–16) | 104.6% | 96.31% – 113.64% | 18.30% |
Cmax | 102.4% | 91.37% – 114.80% | 25.44% |
Notes: 1 – CVintra – intra-individual coefficient of variability; CIs – confidence intervals; T – test drug, R – reference drug.
Safety
Throughout the study, both study and reference drugs were well tolerated by the volunteers. Hematological and biochemical blood tests, as well as urinalysis and physiological parameters in most volunteers remained normal throughout the study. Any deviations from the norm of laboratory and instrumental parameters were recorded as AEs. In total, 5 AEs were registered in the study: an increase in the diastolic blood pressure, an increase or decrease in the number of lymphocytes, an increase in the number of lymphocytes, an increase in the level of creatine phosphokinase. The registered deviations had a random multidirectional character. All AEs were grade 1 according to Common Terminology Criteria for Adverse Events (CTCAE) 5.0. The list of AEs is presented in Table 3.
Table 3 – Summary table of AEs frequency after taking each of the drugs
Adverse effect | Test drug (N=28) | Reference drug (N=28) | P1value |
Cardiovascular disorders | |||
Increase in diastolic blood pressure | 1 (3.6%) | 0 (0.0%) | 1.000 |
Laboratory and instrumental data | |||
Increase in leukocytes number | 0 (0.0%) | 1 (3.6%) | 1.000 |
Decrease in leukocytes number | 1 (3.6%) | 0 (0.0%) | 1.000 |
Increase in lymphocytes number | 1 (3.6%) | 0 (0.0%) | 1.000 |
Increase in creatine phosphokinase levels | 1 (3.6%) | 0 (0.0%) | 1.000 |
Note: 1 – McNemar’s criterion with Edwards’ correction. All adverse effects given in the table refer to grade 1 severity.
According to the investigators’ conclusion, all registered AEs were not associated with the study products, i.e., the degree of association was regarded as “doubtful”.
When comparing the frequency of individual AEs registration, there were no significant differences (p>0.05) after taking the test drug and the reference drug, on the basis of which it can be concluded that the drugs are similarly tolerated.
DISCUSSION
Molnupiravir is a low molecular weight ribonucleoside prodrug that is hydrolyzed in the blood to N-hydroxycytidine. Molnupiravir has an antiviral activity against SARS-CoV-2 variants [13–15] and other RNA-containing viruses such as influenza, Ebola and respiratory syncytial viruses [16–20]. During preclinical development in vitro and in vivo trials, molnupiravir showed a high efficacy against SARS-CoV-2, as well as a low toxicity to animals [21, 22]. In clinical studies conducted for the original drug, molnupiravir demonstrated efficacy in the treatment of mild and moderate of a new coronavirus infection COVID-19 [11, 12, 23, 24]. In the most extensive research of MOVe-OUT study (NCT04575597), phase 3, which included 1,433 patients, it was found out that molnupiravir at the dose of 800 mg 2 twice a day for 5 days, significantly reduced the risk of hospitalization or death compared with placebo [12]. In the mITT population, which was represented by randomized patients who had been administrated with at least one dose of molnupiravir or placebo and had not been hospitalized prior to the therapy initiation, the rate of hospitalization or death was 6.8% (48 out of 709 patients) in the molnupiravir group and 9.7% (68 out of 699 patients) in the placebo group. The difference between the groups was 3% [95% CI –5.9; –0.1]. In addition, the drug showed a favorable safety profile. The proportion of patients who had experienced at least one AE was similar in both groups (30.4% in the molnupiravir group and 33.0% in the placebo group). Given the wide spread of the new coronavirus infection COVID-19, the administration of a bioequivalent generic drug molnupiravir to the market will increase the availability of the effective and safe treatment for this disease.
As a result of the bioequivalence study, it was found out that the PK parameters of the generic drug molnupiravir are comparable to the parameters of the reference (original) drug. In addition, the PK parameters of the test drug were comparable to the data obtained as a result of the 1st phase study of the original drug Lagevrio. Thus, the geometric mean Cmax obtained in the study EIDD-2801-1001-UK [25] of the original drug with a single dose of 200 mg was 926 ng/ml, while the geometric mean of this parameter for the test drug in this bioequivalence research was 950 ng/ml. Similar trends can be observed in terms of AUC0-∞: the geometric mean value in the study of the original drug was 1830 ng*h/ml, and the value of the test drug in this bioequivalence research was 2189 ng*h/ml.
After calculating the PK parameters of the test and reference drugs in this research, a statistical determination of bioequivalence was carried out. According to its results it was found out that the obtained 90% CI fully fit into the required range of 80.00–125.00% for AUC(0–16) and Cmax, which was established in accordance with the protocol and the “Rules for Conducting Bioequivalence Studies of Medicinal Products” within the Eurasian Economic Union, approved by the Decision of the Council of the Eurasian Economic Commission No. 85 dated November 03, 2016, as well as the international guidelines on bioequivalence of the European Medicines Agency (EMA).
The spectrum of the reported AEs was consistent with the safety profile of the original drug molnupiravir. The frequency of AEs registration did not differ after taking the test and reference drugs. Thus, it can be concluded that in the framework of the clinical trial, the test and reference drugs demonstrated similar safety characteristics.
CONCLUSION
The results of bioequivalence study fully meet all criteria for the drugs established in generally recognized by international guidelines. Thus, it can be concluded that the test and reference molnupiravir products are bioequivalent. Based on the results of the study, it can also be concluded that the drugs have similar safety profiles.
Based on the results of the bioequivalence and safety research (July 2022), the drug ALARIO-TL was registered in the Russian Federation under the registration procedure for the drugs to be used under the threat conditions of occurrence and liquidation of emergency situations4.
FUNDING
This study was carried out with the funding of the R-Pharm group of companies.
CONFLICT OF INTEREST
The clinical trial was organized by the sponsor R-Pharm group of companies. The authors of the article V.G. Mozgovaya, O.V. Filon, A.V. Petkova, V.G. Ignatiev, M.Yu. Samsonov, I.S. Kozlova, E.K. Khanonina are employees of R-Pharm group of companies.
AUTHORS’ CONTRIBUTION
Vasily B. Vasilyuk – research conducting; Anna Yu. Boroduleva, Pavel D. Sobolev, Aiyyna G. Nikiforova – development, validation of the analytical part, biosamples analysis; Valentina G. Mozgovaya, Olga V. Filon – development of study design, text writing and editing; Irina S. Kozlova, Elizaveta K. Khanonina – results analysis, text writing and editing; Anna V. Zinkovskaya – statistical processing of study results; Vasily G. Ignatiev, Mikhail Yu. Samsonov – aim setting, development of study design.
1 Decision of Council of the Eurasian Economic Commission of November 3, 2016 No. 85 “About approval of Rules of carrying out researches of bioequivalence of medicines within the Eurasian Economic Union”.
2 Committee for Medicinal Products for Human Use (CHMP). Guideline on the investigation of bioequivalence. Doc. Ref.: CPMP/EWP/QWP/1401/98 Rev. 1/ Corr **, 2010. Available from: https://www.ema.europa.eu/en/documents/scientific-guideline/guideline-investigation-bioequivalence-rev1_en.pdf
3 WHO, Guidance Document 15 November 2021, Notes on the design of bioequivalence study: Molnupiravir. Available from: https://extranet.who.int/pqweb/sites/default/files/documents/BE_molnupiravir_Nov2021.pdf
4 Russian State Register of Medicines. ALARIO-TL. Available from: https://grls.rosminzdrav.ru/Grls_View_v2.aspx?routingGuid=ad6c 6196-0400-4d82-a656-56178a7c6e85
About the authors
Vasily B. Vasilyuk
Limited Liability Company “Eco-Safety Scientific Research Center”; North-Western State Medical University named after I.I. Mechnikov
Email: vasilyuk_vb@ecosafety.ru
ORCID iD: 0000-0003-2503-4402
Doctor of Sciences (Medicine), Managing Director of “Eco-Safety Scientific Research Center”, Professor of the Department of Toxicology, Extreme and Diving Medicine, North-Western State Medical University n.a. I.I. Mechnikov
Russian Federation, 65, Yuri Gagarin Ave., St. Petersburg, 196143; 41, Kirochnaya Str., St. Petersburg, 191015Anna Yu. Boroduleva
Limited Liability Company “Exacte Labs”
Email: anna.boroduleva@exactelabs.com
ORCID iD: 0000-0003-1074-5551
Senior Analytical Chemist
Russian Federation, Bldg 2, 20, Nauchny driveway, Moscow, 117246Pavel D. Sobolev
Limited Liability Company “Exacte Labs”,
Email: pavel.sobolev@exactelabs.com
ORCID iD: 0000-0003-3634-596X
Head of the Laboratory of Bioanalytics
Russian Federation, Bldg 2, 20, Nauchny driveway, Moscow, 117246Aiyyna G. Nikiforova
Limited Liability Company “Exacte Labs”,
Email: aiyyna.nikiforova@exactelabs.com
ORCID iD: 0000-0002-5719-0787
Head of the Bioanalytics Department
Russian Federation, Bldg 2, 20, Nauchny driveway, Moscow, 117246Valentina G. Mozgovaya
Joint-Stock Company “R-Pharm”
Email: mozgovay@rpharm.ru
ORCID iD: 0000-0002-8934-8884
Scientific Adviser
Russian Federation, Bldg 1, 19, Berzarin Str., Moscow, 123154Olga V. Filon
Joint-Stock Company “R-Pharm”
Email: ov.filon@rpharm.ru
ORCID iD: 0000-0002-8735-7429
Department Director
Russian Federation, Bldg 1, 19, Berzarin Str., Moscow, 123154Anna V. Zinkovskaya
Joint-Stock Company “R-Pharm”
Email: zinkovskaya@rpharm.ru
ORCID iD: 0000-0002-7028-0496
Head of the Biostatistics Group of the Department of Preclinical and Clinical Development
Russian Federation, Bldg 1, 19, Berzarin Str., Moscow, 123154Vasily G. Ignatiev
Joint-Stock Company “R-Pharm”
Email: info@rpharm.ru
ORCID iD: 0000-0003-2818-6583
Candidate of Sciences (Medicine), General Director
Russian Federation, Bldg 1, 19, Berzarin Str., Moscow, 123154Mikhail Yu. Samsonov
Joint-Stock Company “R-Pharm”
Email: samsonov@rpharm.ru
ORCID iD: 0000-0003-2685-1623
Candidate of Sciences (Medicine), Associate Professor, Medical Director
Russian Federation, Bldg 1, 19, Berzarin Str., Moscow, 123154Irina S. Kozlova
Joint-Stock Company “R-Pharm”
Email: is.kozlova@rpharm.ru
ORCID iD: 0000-0002-2536-296X
Medical Writer
Russian Federation, Bldg 1, 19, Berzarin Str., Moscow, 123154Elizaveta K. Khanonina
Joint-Stock Company “R-Pharm”
Author for correspondence.
Email: khanonina@rphapm.ru
ORCID iD: 0000-0001-5848-0869
Junior Specialist
Russian Federation, Bldg 1, 19, Berzarin Str., Moscow, 123154References
- Zhou F, Yu T, Du R, Fan G, Liu Y, Liu Z, Xiang J, Wang Y, Song B, Gu X, Guan L, Wei Y, Li H, Wu X, Xu J, Tu S, Zhang Y, Chen H, Cao B. Clinical course and risk factors for mortality of adult inpatients with COVID-19 in Wuhan, China: a retrospective cohort study. Lancet. 2020 Mar 28;395(10229):1054–62. doi: 10.1016/S0140-6736(20)30566-3. Epub 2020 Mar 11. Erratum in: Lancet. 2020 Mar 28;395(10229):1038. Erratum in: Lancet. 2020 Mar 28;395(10229):1038.
- Walsh KA, Spillane S, Comber L, Cardwell K, Harrington P, Connell J, Teljeur C, Broderick N, de Gascun CF, Smith SM, Ryan M, O’Neill M. The duration of infectiousness of individuals infected with SARS-CoV-2. J Infect. 2020 Dec;81(6):847–56. doi: 10.1016/j.jinf.2020.10.009
- Ng TI, Correia I, Seagal J, DeGoey DA, Schrimpf MR, Hardee DJ, Noey EL, Kati WM. Antiviral Drug Discovery for the Treatment of COVID-19 Infections. Viruses. 2022 May 4;14(5):961. doi: 10.3390/v14050961
- Rahmah L, Abarikwu SO, Arero AG, Essouma M, Jibril AT, Fal A, Flisiak R, Makuku R, Marquez L, Mohamed K, Ndow L, Zarębska-Michaluk D, Rezaei N, Rzymski P. Oral antiviral treatments for COVID-19: opportunities and challenges. Pharmacol Rep. 2022 Dec;74(6):1255–78. doi: 10.1007/s43440-022-00388-7
- Singh AK, Singh A, Singh R, Misra A. Molnupiravir in COVID-19: A systematic review of literature. Diabetes Metab Syndr. 2021 Nov-Dec;15(6):102329. doi: 10.1016/j.dsx.2021.102329
- Kabinger F, Stiller C, Schmitzová J, Dienemann C, Kokic G, Hillen HS, Höbartner C, Cramer P. Mechanism of molnupiravir-induced SARS-CoV-2 mutagenesis. Nat Struct Mol Biol. 2021 Sep;28(9):740–6. doi: 10.1038/s41594-021-00651-0
- Tian L, Pang Z, Li M, Lou F, An X, Zhu S, Song L, Tong Y, Fan H, Fan J. Molnupiravir and Its Antiviral Activity Against COVID-19. Front Immunol. 2022 Apr 4;13:855496. doi: 10.3389/fimmu.2022.855496
- Johnson MG, Puenpatom A, Moncada PA, Burgess L, Duke ER, Ohmagari N, Wolf T, Bassetti M, Bhagani S, Ghosn J, Zhang Y, Wan H, Williams-Diaz A, Brown ML, Paschke A, De Anda C. Effect of Molnupiravir on Biomarkers, Respiratory Interventions, and Medical Services in COVID-19 : A Randomized, Placebo-Controlled Trial. Ann Intern Med. 2022 Aug;175(8):1126–34. doi: 10.7326/M22-0729
- Amani B, Zareei S, Amani B. Rapid review and meta-analysis of adverse events associated with molnupiravir in patients with COVID-19. Br J Clin Pharmacol. 2022 Oct;88(10):4403–11. doi: 10.1111/bcp.15449
- Fischer WA 2nd, Eron JJ Jr, Holman W, Cohen MS, Fang L, Szewczyk LJ, Sheahan TP, Baric R, Mollan KR, Wolfe CR, Duke ER, Azizad MM, Borroto-Esoda K, Wohl DA, Coombs RW, James Loftis A, Alabanza P, Lipansky F, Painter WP. A phase 2a clinical trial of molnupiravir in patients with COVID-19 shows accelerated SARS-CoV-2 RNA clearance and elimination of infectious virus. Sci Transl Med. 2022 Jan 19;14(628):eabl7430. doi: 10.1126/scitranslmed.abl7430
- Caraco Y, Crofoot GE, Moncada PA, Galustyan AN, Musungaie DB, Payne B, Kovalchuk E, Gonzalez A, Brown ML, Williams-Diaz A, Gao W, Strizki JM, Grobler J, Du J, Assaid CA, Paschke A, Butterton JR, Johnson MG, de Anda C. Phase 2/3 trial of molnupiravir for treatment of Covid-19 in non-hospitalized adults. NEJM Evidence. 2022;1(2). doi: 10.1056/EVIDoa2100043
- Jayk Bernal A, Gomes da Silva MM, Musungaie DB, Kovalchuk E, Gonzalez A, Delos Reyes V, Martín-Quirós A, Caraco Y, Williams-Diaz A, Brown ML, Du J, Pedley A, Assaid C, Strizki J, Grobler JA, Shamsuddin HH, Tipping R, Wan H, Paschke A, Butterton JR, Johnson MG, De Anda C; MOVe-OUT Study Group. Molnupiravir for Oral Treatment of Covid-19 in Nonhospitalized Patients. N Engl J Med. 2022 Feb 10;386(6):509–20. doi: 10.1056/NEJMoa2116044
- Abdelnabi R, Foo CS, De Jonghe S, Maes P, Weynand B, Neyts J. Molnupiravir Inhibits Replication of the Emerging SARS-CoV-2 Variants of Concern in a Hamster Infection Model. J Infect Dis. 2021 Sep 1;224(5):749–53. doi: 10.1093/infdis/jiab361
- Sheahan TP, Sims AC, Zhou S, Graham RL, Pruijssers AJ, Agostini ML, Leist SR, Schäfer A, Dinnon KH 3rd, Stevens LJ, Chappell JD, Lu X, Hughes TM, George AS, Hill CS, Montgomery SA, Brown AJ, Bluemling GR, Natchus MG, Saindane M, Kolykhalov AA, Painter G, Harcourt J, Tamin A, Thornburg NJ, Swanstrom R, Denison MR, Baric RS. An orally bioavailable broad-spectrum antiviral inhibits SARS-CoV-2 in human airway epithelial cell cultures and multiple coronaviruses in mice. Sci Transl Med. 2020 Apr 29;12(541):eabb5883. doi: 10.1126/scitranslmed.abb5883
- Cox RM, Wolf JD, Plemper RK. Therapeutically administered ribonucleoside analogue MK-4482/EIDD-2801 blocks SARS-CoV-2 transmission in ferrets. Nat Microbiol. 2021 Jan;6(1):11–8. doi: 10.1038/s41564-020-00835-2
- Wang Y, Li P, Solanki K, Li Y, Ma Z, Peppelenbosch MP, Baig MS, Pan Q. Viral polymerase binding and broad-spectrum antiviral activity of molnupiravir against human seasonal coronaviruses. Virology. 2021 Dec;564:33–8. doi: 10.1016/j.virol.2021.09.009
- Agostini ML, Pruijssers AJ, Chappell JD, Gribble J, Lu X, Andres EL, Bluemling GR, Lockwood MA, Sheahan TP, Sims AC, Natchus MG, Saindane M, Kolykhalov AA, Painter GR, Baric RS, Denison MR. Small-Molecule Antiviral β-d-N4-Hydroxycytidine Inhibits a Proofreading-Intact Coronavirus with a High Genetic Barrier to Resistance. J Virol. 2019 Nov 26;93(24):e01348–19. doi: 10.1128/JVI.01348-19
- Pagliano P, Sellitto C, Ascione T, Scarpati G, Folliero V, Piazza O, Franci G, Filippelli A, Conti V. The preclinical discovery and development of molnupiravir for the treatment of SARS-CoV-2 (COVID-19). Expert Opin Drug Discov. 2022 Dec;17(12):1299–311. doi: 10.1080/17460441.2022.2153828
- Yoon JJ, Toots M, Lee S, Lee ME, Ludeke B, Luczo JM, Ganti K, Cox RM, Sticher ZM, Edpuganti V, Mitchell DG, Lockwood MA, Kolykhalov AA, Greninger AL, Moore ML, Painter GR, Lowen AC, Tompkins SM, Fearns R, Natchus MG, Plemper RK. Orally Efficacious Broad-Spectrum Ribonucleoside Analog Inhibitor of Influenza and Respiratory Syncytial Viruses. Antimicrob Agents Chemother. 2018 Jul 27;62(8):e00766–18. doi: 10.1128/AAC.00766-18
- Toots M, Yoon JJ, Hart M, Natchus MG, Painter GR, Plemper RK. Quantitative efficacy paradigms of the influenza clinical drug candidate EIDD-2801 in the ferret model. Transl Res. 2020 Apr;218:16–28. doi: 10.1016/j.trsl.2019.12.002
- Wahl A, Gralinski LE, Johnson CE, Yao W, Kovarova M, Dinnon KH 3rd, Liu H, Madden VJ, Krzystek HM, De C, White KK, Gully K, Schäfer A, Zaman T, Leist SR, Grant PO, Bluemling GR, Kolykhalov AA, Natchus MG, Askin FB, Painter G, Browne EP, Jones CD, Pickles RJ, Baric RS, Garcia JV. SARS-CoV-2 infection is effectively treated and prevented by EIDD-2801. Nature. 2021 Mar;591(7850):451–7. doi: 10.1038/s41586-021-03312-w
- Mali KR, Eerike M, Raj GM, Bisoi D, Priyadarshini R, Ravi G, Chaliserry LF, Janti SS. Efficacy and safety of Molnupiravir in COVID-19 patients: a systematic review. Ir J Med Sci. 2022 Sep 10:1–14. doi: 10.1007/s11845-022-03139-y
- Wen W, Chen C, Tang J, Wang C, Zhou M, Cheng Y, Zhou X, Wu Q, Zhang X, Feng Z, Wang M, Mao Q. Efficacy and safety of three new oral antiviral treatment (molnupiravir, fluvoxamine and Paxlovid) for COVID-19: a meta-analysis. Ann Med. 2022 Dec;54(1):516–23. doi: 10.1080/07853890.2022.2034936
- Wong CKH, Au ICH, Lau KTK, Lau EHY, Cowling BJ, Leung GM. Real-world effectiveness of molnupiravir and nirmatrelvir plus ritonavir against mortality, hospitalisation, and in-hospital outcomes among community-dwelling, ambulatory patients with confirmed SARS-CoV-2 infection during the omicron wave in Hong Kong: an observational study. Lancet. 2022 Oct 8;400(10359):1213–22. doi: 10.1016/S0140-6736(22)01586-0
- Painter WP, Holman W, Bush JA, Almazedi F, Malik H, Eraut NCJE, Morin MJ, Szewczyk LJ, Painter GR. Human Safety, Tolerability, and Pharmacokinetics of Molnupiravir, a Novel Broad-Spectrum Oral Antiviral Agent with Activity Against SARS-CoV-2. Antimicrob Agents Chemother. 2021 Mar 1;65(5):e02428–20. doi: 10.1128/AAC.02428-20
Supplementary files





