Structural and functional model for the formation of students' professional operation and service competences (by the example of a railway college)
- Authors: Poddubny E.V.1, Ovchinnikova L.P.1
-
Affiliations:
- Samara State Transport University
- Issue: Vol 25, No 4 (2023)
- Pages: 99-107
- Section: SOCIAL SCIENCES
- URL: https://journals.eco-vector.com/2413-9645/article/view/508756
- DOI: https://doi.org/10.37313/2413-9645-2023-25-91-99-107
- ID: 508756
Cite item
Full Text
Abstract
The article discusses the results of scientific research on the development of a structural and functional model for the formation of a set of professional operational and service competencies among students of a railway technical school. A number of basic characteristics of models of pedagogical systems are considered, which are a condition for designing new models. Taking into account the methodological approaches and organizational and methodological conditions considered in the article, the authors developed a structural and functional model of the system for the formation of a set of professional operational and service competencies among students of the railway technical school, presented for clarity in the figure. The structure of this model contains nine interconnected, sequentially and successively implemented functional links. The initial backbone link of the model is the “goal-setting” link, which clearly defines the goal of the system functioning: to form a set of professional operational and service competencies in students. The final functional link of the model is the “positive result” link, which reflects the professional operational and service competencies formed at a high and advanced level. If a negative result is found during the control procedure, then the functional links of negative feedback are included in the system - the link of individual self-correction and the link of correction of the educational process. The article discusses and argues the practical and theoretical significance and value of the developed structural and functional model of the system for the formation of a set of professional operational and service competencies among students. First of all, the high significance and value of the structural-functional model of the system for the formation of a set of professional operational and service competencies among students is noted, which consists in its productive use as a didactic algorithm for the consistent and successive implementation/development of all individual time stages/links of the model. It is shown that for developers, the use of the created structural-functional model of the system for the formation of a set of professional operational and service competencies among students is very important and valuable, that its visual graphical representation indirectly provides the perception of a complex multi-link process as an integral/holistic system.
Full Text
Введение. В педагогических исследованиях метод моделирования получил самое широкое использование ввиду разнообразия своих функций и возможностей. Он весьма эффективно помогает «систематизировать знания об изучаемом явлении или процессе, показывает пути их более целостного описания, намечает более полные связи, открывает возможности для создания наиболее целостных классификаций» [11]. Известный ученый-педагог В.П. Беспалько рассматривал метод моделирования как высшую и особую форму наглядности, позволяющей представлять исследователю не сам объект, а некий его аналог. При этом опосредованное познание идет «при помощи естественных или искусственных систем, которые способствуют в определенном отношении замещать изучаемый объект и давать о нем новые сведения» [1].
История вопроса. В отечественной и зарубежной педагогической литературе содержится ряд определений понятия «моделирование». Авторы трактуют его либо как метод исследования объектов на моделях аналогов определенного фрагмента природной или социальной направленности, либо как процесс построения и изучения модели реально существующих предметов, объектов и явлений» [7]. В.П. Беспалько характеризует моделирование как «метод опосредованного познания при помощи естественных естественных или искусственных систем, которые способны в определенных отношениях изучать исследуемый объект и давать о нем новые сведения» [1]. Т. Новацкий определяет моделирование как «метод опосредованного практического или теоретического оперирования объектом, при котором исследуется непосредственно не сам интересующий нас объект, а используется вспомогательная или искусственная система, находящаяся в определенном объективном соответствии с познаваемым объектом, способная замещать его на определенных этапах познания и дающая при его исследовании, в конечном счете сведения о самом моделируемом объекте» [3]. Из рассмотренных выше определений следует, что моделирование объектов производится с помощью их моделей; в контексте исследуемой нами проблемы наиболее полно соответствует определение, данное известным российским ученым Г.П. Щедровицким, который называет моделью «прототип ориентированного в будущее действия», считая, что «модель - это высоко специализированные части нашего технического оснащения, специфические функции которого состоят в сознании будущего. Модель не просто некоторая сущность, а скорее способ действия, который представляет эту сущность. В этом смысле модели – это воплощение целей и в тоже время – инструмент осуществления этих целей. Модель одновременно учитывает цель и гарантирует ее реализацию» [12].
При разработке моделей и их использовании в организации процесса формирования у студентов совокупности профессиональных эксплуатационно-сервисных компетенций следует обеспечивать следующие базовые характеристики: между моделью и оригиналом объекта/процесса имеются отношения сходства (соответствия, адекватности), форма которых явно выражена и точно зафиксирована; модель в процессе научного познания является заместителем изучаемого объекта (при соблюдении условия репрезентативности); изучение модели позволяет получить информацию об оригинале (условия экстраполяции). При полном соблюдении рассмотренных выше требований к проектированию моделей педагогических систем авторами была разработана структурно-функциональная модель системы формирования у студентов железнодорожного техникума, обучающихся по специальности «27.02.03 «Автоматика и телемеханика на транспорте» (железнодорожный транспорт), совокупности профессиональных эксплуатационно-сервисных компетенций.
Таким образом, социально-дидактическое противоречие между структурно-функциональной моделью системы формирования у студентов совокупности профессиональных эксплуатационно-сервисных компетенций и отсутствием теоретико-методологических основ ее проектирования было полностью устранено, так как цель исследования – именно разработка структурно-функциональной модели системы формирования у студентов совокупности профессиональных эксплуатационно-сервисных компетенций.
Методы исследования. При проведении исследования авторы опирались на основополагающие теоретико-методологические положения отечественной и мировой педагогической науки в области моделирования, проектирования и разработки педагогических систем и технологий [4, 6, 8].
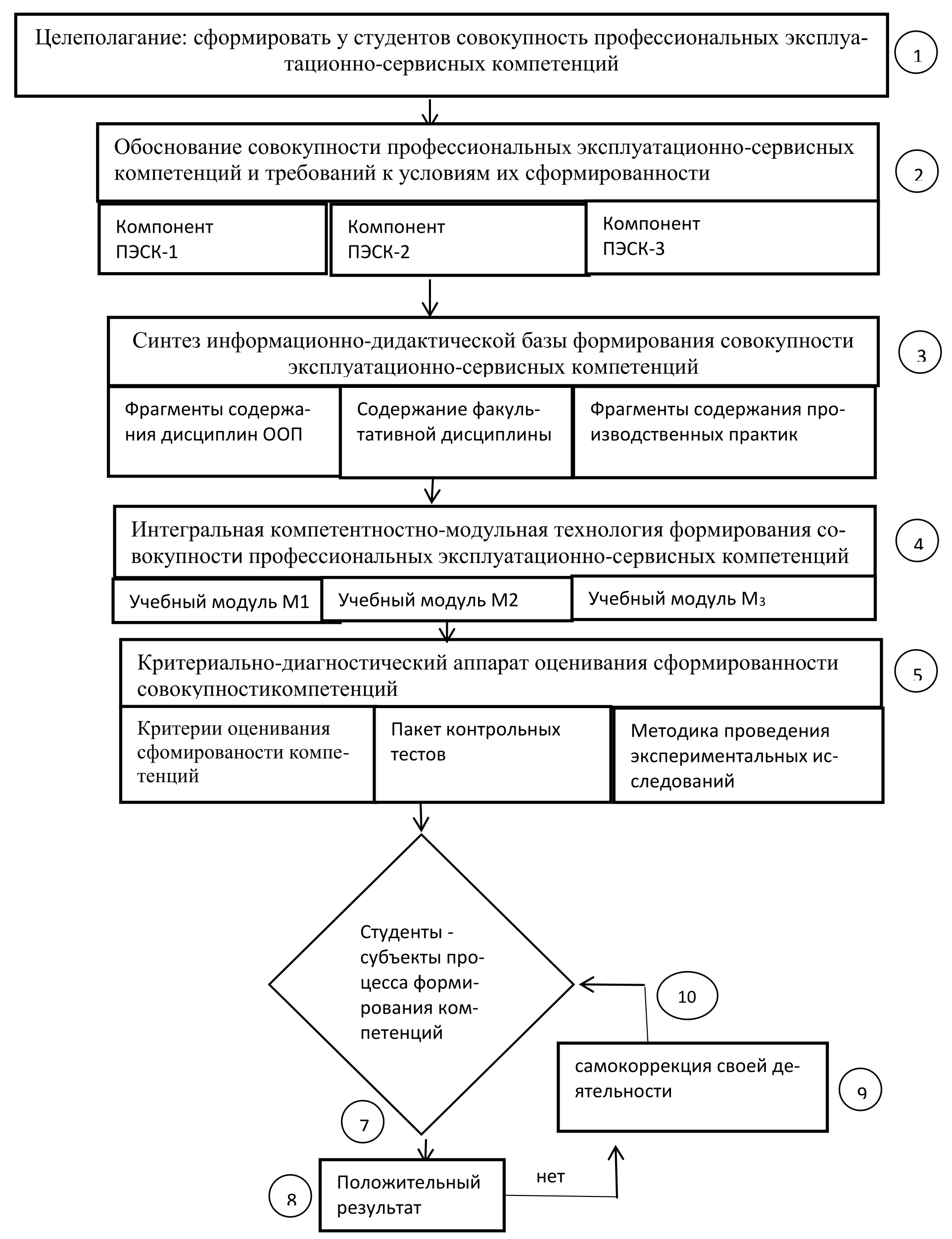
Очевидно, что выпускники должны владеть как общими знаниями, так и узкопрофильными, перечень которых должен быть определен не только учебными заведениями, но еще и запросом потенциальных работодателей [14]. Перейдем к рассмотрению и анализу структурно-функциональной модели системы формирования у студентов совокупности профессиональных эксплуатационно-сервисных компетенций, графически представленной на рис. 1.
Рис.1. Модель системы формирования у студентов железнодорожного техникума совокупности профессиональных эксплуатационно-сервисных компетенций
Из этого рисунка видно, что в структуре модели содержится девять взаимосвязанных функциональных звеньев. Исходным системообразующим звеном структурно-функциональной модели является 1 – «Целеполагание», четко и лаконично определяющее дидактическую цель функционирования системы сформированности у студентов совокупности профессиональных эксплуатационно-сервисных компетенций. Звено 2 отражает процесс научного обоснования совокупности профессиональных эксплуатационно-сервисных компетенций и требований к уровням их сформированности. Совокупность профессиональных эксплуатационно-сервисных компетенций студентов по автоматике и телемеханике железнодорожного транспорта была установлена по результатам многопараметрического анализа видов эксплуатационно-сервисной деятельности специалистов, отраженных в Федеральном государственном образовательном стандарте подготовки студентов среднего профессионального образования по специальности «27.02.03 «Автоматика и телемеханика на транспорте» (железнодорожный транспорт) [9] и отраслевом стандарте профессиональных компетенций корпорации ОАО «Российские железные дороги» [5] и экспертных оценок высоко компетентных инженерно-технических работников производственных предприятий железнодорожного транспорта, высказанных ими во время проводимого с ними опроса. Обоснованная совокупность профессиональных эксплуатационно-сервисных компетенций специалистов среднего профессионального образования по специальности «Автоматика и телемеханика на транспорте» ПЭСК-1, ПЭСК-2, ПЭСК-3:
а) первый компонент совокупности компонентов ПЭСК-1: умение и освоенные навыки выполнения работ по обслуживанию, наладке, ремонту и диагностированию станционных технических объектов железнодорожной автоматики базирующихся на инновационных элементах и интегральных микросхемах;
б) второй компонент совокупности компетенций ПЭСК-2: умение и освоенные навыки выполнения работ по обслуживанию, наладке, ремонту, диагностированию технических объектов автоматики подвижного состава железнодорожного транспорта, базирующихся на использовании элементов микропроцессорной техники;
в) третий компонент совокупности компетенций ПЭСК-3: умение и владение навыками выполнения работ по обслуживанию, наладке, ремонту и диагностированию технических объектов железнодорожной телемеханики, базирующейся на использовании элементов интегральной микропроцессорной техники.
Звено 3 структурно-функциональной модели отражает исследования по синтезу целостной информационно-дидактической базы формирования совокупности профессиональных эксплуатационно-сервисных компетенций специалистов среднего профессионального образования специальности «Автоматика и телемеханика на транспорте». Источниками информации, синтезируемой целостной информационно-дидактической базы формирования совокупности профессиональных эксплуатационно-сервисных компетенций явились:
а) фрагменты содержания ряда учебных дисциплин основной образовательной программы обучения студентов железнодорожного техникума; б) содержание вновь вводимой факультативной учебной дисциплины «Технология обслуживания наукоемких технических объектов железнодорожной автоматики и телемеханики», в процессе изучения которой студенты осваивают знания об особенностях обслуживания, наладке, ремонта и диагностирования технических объектов автоматики и телемеханики железнодорожного транспорта, базирующиеся на использовании элементов интегральной микропроцессорной технике; в) фрагменты содержания рабочей программы технологической и эксплуатационной производственных практик на предприятиях железнодорожного транспорта, касающиеся обслуживания, наладки, ремонта и диагностирования технических объектов железнодорожной автоматики и телемеханики, базирующейся на использовании элементов интегральной микропроцессорной техники.
Центральным звеном структурно-функциональной модели формирования у студентов железнодорожного техникума совокупности профессиональных эксплуатационно-сервисных компетенций является звено 4 – «Интегративная компетентностно-модульная технология формирования у студентов профессиональных эксплуатационно-сервисных компетенций». В самом общем виде педагогическая технология формирования компетенций представляет собой некий конечный ряд мыследеятельностных, аудиальных, визуальных, мануальных операций и процедур по преобразованию ранее освоенных знаний/информационно-дидактической базы в соответствующие имманентные ими виды учебно-познавательной и профессиональной деятельности в компетенции. В рассматриваемом нами конкретной ситуации целостная педагогическая технология кардинально переструктурирована и расчленена на три условно-локальных учебных модуля М1, М2 и М3, в которых формируются соответствующие компоненты совокупности профессиональных эксплуатационно-сервисных компетенций ПЭСК-1, ПЭСК-2 и ПЭСК-3. Ранее проведенные исследования говорят об эффективности целенаправленного формирования профессиональных компетенций у студентов технических специальностей при дальнейшей адаптации на производстве [13].
Комплексной дидактической целью учебного модуля М1 является формирование у студентов железнодорожного техникума умений и освоенных навыков выполнения работ по обслуживанию, наладке, ремонту и диагностированию технических объектов железнодорожной автоматики. Комплексной дидактической целью учебного модуля М2 является формирование у студентов умений и освоенных навыков выполнения работ по обслуживанию, наладке, ремонту и диагностированию технических объектов железнодорожной автоматики базирующихся на использовании элементов интегральной микропроцессорной техники. Дидактической комплексной целью учебного модуля М3 является формирование у студентов умений и освоенных навыков обслуживания, наладки, ремонта и диагностирования технических объектов железнодорожной телемеханики, базирующихся на использовании элементов интегральной микропроцессорной техники. Следующее звено структурно-функциональной модели формирования у студентов железнодорожного техникума совокупности профессиональных эксплуатационно-сервисных компетенций – звено 5 – критериально-диагностический аппарат оценивания уровней сформированности у студентов совокупности профессиональных эксплуатационно-сервисных компетенций. В этом звене представлены разработанные критерии оценивания уровней сформированности у студентов совокупности когнитивный, операциональный и деятельностный компоненты. Создан диагностический инструментарий контроля измерения уровней сформированности когнитивного, операционального и деятельностного компонентов совокупности профессиональных эксплуатационно-сервисных компетенций у студентов железнодорожного техникума в форме контрольных тестов. В каждом из тестов содержится десять контрольных вопросов, ответы на которые оцениваются экспертами-преподавателями от нуля до 10 баллов. Максимальный балл за ответ на все контрольные вопросы составляет 100 баллов. Уровни сформированности профессиональных эксплуатационно-сервисных компетенций шкалированы на четыре подгруппы: высокий уровень, повышенный и базовый. Численные значения уровней сформированности совокупности профессиональных эксплуатационно-сервисных компетенций студентов определяются расчетным путем по численным значениям, выявленным в процессе тестирования уровней сформированности ее когнитивной, операциональной и деятельностной компоненты. В этом же звене 5 содержится методика проведения констатирующего и формирующего экспериментов по выявлению уровней сформированности у студентов контрольной группы, обучающихся по традиционной педагогической технологии и у студентов экспериментальной группы, обучающихся по инновационной интегративной компетентностно-модульной технологии сформированный когнитивный, операциональный и деятельностный компонент совокупности профессиональных эксплуатационно-сервисных компетенций.
Студенты-субъекты образовательного процесса в рассматриваемой модели представлены звеном 6. При этом, как отмечается в некоторых исследованиях, можно отметить 4 категории студентов по критерию ценности времени для каждого из субъектов. Были выявлены следующие категории: «Сверхзанятые», «В целом успевающие», «Оптимально успевающие», «Виртуально успевающие» [2]. Порядок работы с субъектами необходимо выстраивать в соответствии с указанных ценностей.
Звено 7 структурно-функциональной модели формирования у студентов железнодорожного техникума совокупности профессиональных эксплуатационно-сервисных компетенций у студентов железнодорожного техникума. Совокупность профессиональных эксплуатационно-сервисных компетенций отражает процедуру контроля/тестирования и компаративные операции по сравнению выявленных фактических значений уровней сформированности совокупности профессиональных эксплуатационно-сервисных компетенций с заранее требуемыми. В принципе могут иметь место два варианта: позитивный (да) и негативный (нет). Позитивный результат функционирования системы формирования у студентов совокупности профессиональных эксплуатационно-сервисных компетенций представлен звеном 8: сформированные у студентов железнодорожного техникума, обучающихся по специальности «Автоматика и телемеханика на транспорте», профессиональные эксплуатационно-сервисные компетенции на высоком и повышенном уровнях. Если же в процессе контроля выявляются несоответствия фактических результатов по уровням сформированности у конкретного студента совокупности профессиональных эксплуатационно-сервисных компетенций заранее установленным требованиям, то производится самокоррекция своей деятельности (звено модели 9). В отдельных случаях преподаватель с целью повышения качества показателей функционирования системы может производить.корректировку процесса формирования профессиональных эксплуатационно-сервисных компетенций либо за счет расширения информационно-дидактической базы, либо за счет корректировки операций и процедур педагогической технологии (звено модели 10). При этом следует предусмотреть инклюзивную составляющую, учитывающую соотношение объемов информации, получаемой человеком по разным каналам. Согласно исследованиям, человек наиболее восприимчив к информации, получаемой посредством зрительных каналов (до 75%) [10]. Однако на этапе звена 10 этой модели возможна корректировка, в том числе и с учетом применения использования иных каналов восприятия, таких как слух или осязание. Рассмотренная структурно-функциональная модель системы формирования у студентов совокупности профессиональных эксплуатационно-сервисных компетенций имеет ряд преимуществ, дидактических ценностей и компетенций:
а) высокая практическая значимость и ценность структурно-функциональной модели системы формирования у студентов совокупности профессиональных эксплуатационно-сервисных компетенций заключается в продуктивном использовании разработчиками в качестве дидактического алгоритма последовательно преемственного выполнения всех отдельных этапов/звеньев системы;
б) теоретическая значимость и ценность этой структурно-функциональной модели состоит в том, она используется в качестве дидактического инструментария по выявлению влияния состояния отдельных функциональных звеньев системы на итоговый/конечный результат ее функционирования;
в) для разработчиков и пользователей структурно-функциональной модели системы формирования у студентов совокупности профессиональных эксплуатационно-сервисных компетенций крайне важно, что ее наглядное графическое представление обеспечивает восприятие процесса формирования у студентов совокупности профессиональных эксплуатационно-сервисных компетенций как холистической/целостной системы.
Выводы. В статье рассмотрены методологические подходы к проектированию структурно-функциональной модели системы формирования у студентов совокупности профессиональных эксплуатационно-сервисных компетенций и организационные условия для него. Разработана и представлена в графической форме структурно-функциональная модель системы формирования у студентов, обучающихся по специальности «Автоматика и телемеханика на транспорте», совокупности профессиональных эксплуатационно-сервисных компетенций. Рассмотрены примеры рационального использования структурно-функциональной модели системы формирования у студентов совокупности профессиональных эксплуатационно-сервисных компетенций.
About the authors
Evgeny V. Poddubny
Samara State Transport University
Author for correspondence.
Email: poddubny1990@vk.com
Postgraduate Student, Lecturer Departments of Engineering, Humanitarian, Natural Sciences and General Professional Disciplines
Russian Federation, SamaraLyudmila P. Ovchinnikova
Samara State Transport University
Email: plovchin@yandex.ru
Doctor of Pedagogical Sciences, Professor Department of Philosophy and History of Science
Russian Federation, SamaraReferences
- Bespal'ko, V. P. Pedagogika i progressivnyye tekhnologii obucheniya (Pedagogy and progressive learning technologies). – M.: Novaya shkola, 1997 – 295 s.
- Klentak, L. S. Formirovaniye sposobnosti k samoorganizatsii samostoyatel'noy raboty studentov tekhnicheskogo VUZa: spetsial'nost' 13.00.08 «Teoriya i metodika professional'nogo obrazovaniya»: avtoreferat dissertatsii na soiskaniye uchenoy stepeni kandidata pedagogicheskikh nauk (Formation of the ability for self-organization of independent work of students of a technical university: specialty 13.00.08 «Theory and methods of vocational education»: abstract of the dissertation for the degree of candidate of pedagogical sciences) / Klentak L.S.: Samarskiy gosudarstvennyy sotsial'no-pedagogicheskiy universitet, 2017 – 24 s.
- Novatskiy, T. Osnovy didaktiki professional'nogo obucheniya (Fundamentals of didactics of vocational training). – M.: Vysshaya shkola, 1979. – 284 s.
- Novichkov, A. M. Osnovaniya pedagogiki: posobiye dlya avtorov uchebnikov i prepodavateley (Foundations of Pedagogy: a guide for authors of textbooks and teachers). – M.: EGVES, 2010. – 208 s.
- Professional'nyy standart «Rabotnik po obsluzhivaniyu i remontu ustroystv zheleznodorozhnoy avtomatiki i telemekhaniki», utverzhden prikazom Ministerstvom truda i sotsial'noy zashchity Rossiyskoy Federatsii №103n ot 03 marta 2022 g. (The professional standard "Worker for the maintenance and repair of railway automation and remote control devices", approved by order of the Ministry of Labor and Social Protection of the Russian Federation No. 103n dated March 03, 2022).
- Psikhologiya i pedagogika vysshey shkoly: uchebnoye posobiye dlya vuzov (Psychology and pedagogy of higher education: a textbook for universities) / I. V. Okhremenko [i dr.]; pod redaktsiyey I. V. Okhremenko. – 2-ye izd., ispr. i dop. – Moskva: Izdatel'stvo Yurayt, 2023. – 189 s.
- Rossiyskaya pedagogicheskaya entsiklopediya: elektronnoye oformleniye «Svobodnyy dostup» (Russian pedagogical encyclopedia: electronic design «Free access»), 2003. – 580 s.
- Sovremennyye obrazovatel'nyye tekhnologii: uchebnoye posobiye pod. red. N.V. Bordovskoy (Modern educational tech-nologies: textbook under. ed. N.V. Bordovskaya). – M.: Izd-vo KNORUS, 2018 – 432 s.
- Federal'nyy gosudarstvennyy obrazovatel'nyy standart srednego professional'nogo obrazovaniya po spetsial'nosti 27.02.03 «Avtomatika i telemekhanika na transporte» (zheleznodorozhnom transporte), utverzhden prikazom ministerstva obrazovaniya i nauki Rossiyskoy Federatsii № 139 ot 28 fevralya 2018 g. (Federal state educational standard of secondary vocational education in the specialty 27.02.03 "Automation and telemechanics in transport" (railway transport), approved by order of the Ministry of Education and Science of the Russian Federation No. 139 dated February 28, 2018).
- Tselevaya funktsional'no-oriyentirovannaya podgotovka spetsialistov v tekhnicheskom universitete: kontseptsiya, tekhnologiya obucheniya, opyt realizatsii (Targeted functionally-oriented training of specialists at a technical university: concept, teaching technology, implementation experience) / V.N. Mikhel'kevich, P.G. Kravtsov – Samara: Samarskiy gosudarstvennyy tekhnicheskiy universitet, 2001 – 112 s.
- Chugunova, S. V., Ovchinnikova, L. P., Mikhel'kevich, V. N. Kompetentnostno-modul'naya tekhnologiya formirovaniya u studentov transportnogo vuza gotovnosti k innovatsionnoy professional'noy deyatel'nosti (Competency-modular technology for the formation of readiness for innovative professional activity among students of a transport university) // Professional'noye obrazovaniye v Rossii i za rubezhom. – 2020. – №3(39). – S. 58-63.
- Shchedrovitskiy, G. P. Sistema pedagogicheskikh issledovaniy. Pedagogika i logika (The system of pedagogical research. Pedagogy and logic.). – M.: Kazan'. Pedagogika. 1993. – 412 s.
- Shchishchenko, Ye. V. Formirovaniye professional'nykh kompetentsiy u studentov tekhnicheskikh spetsial'nostey na osnove integratsii elektrotekhnicheskikh distsiplin: Na primere zheleznodorozhnogo tekhnikuma: spetsial'nost' 13.00.08 «Teoriya i metodika professional'nogo obrazovaniya»: avtoreferat dissertatsii na soiskaniye uchenoy stepeni kandidata pedagogicheskikh nauk (Formation of professional competencies among students of technical specialties based on the integration of electrical disciplines: On the example of a railway technical school: specialty 13.00.08 «Theory and methods of vocational education»: abstract of a dissertation for the degree of candidate of pedagogical sciences) / Shishchenko Yelena Vyacheslavovna: Samarskiy gosudarstvennyy tekhnicheskiy universitet, 2005. – 28 s.
- Yablonskiy, V. I. Kompetentnostno-modul'naya tekhnologiya podgotovki v kolledzhe spetsialistov po vidam professional'noy deyatel'nosti: spetsial'nost' 13.00.08 «Teoriya i metodika professional'nogo obrazovaniya»: avtoreferat dissertatsii na soiskaniye uchenoy stepeni kandidata pedagogicheskikh nauk (Competence-based-modular technology for training specialists in college by type of professional activity: specialty 13.00.08 "Theory and methods of vocational education": abstract of the dissertation for the degree of candidate of pedagogical sciences) / Yablonskiy Vladimir Ivanovich: Povolzhskaya gosudarstvennaya sotsial'no-gumanitarnaya akademiya, 2012 – 23 s.
Supplementary files



