Вариант формирования постинсультной синергии руки. Клинический случай
- Авторы: Клочков А.С.1, Хижникова А.Е.1, Бакулин И.С.1, Кремнева Е.И.1, Пойдашева А.Г.1, Фукс А.А.1, Горлачев Д.В.1, Гнедовская Е.В.1, Супонева Н.А.1
-
Учреждения:
- Научный центр неврологии
- Выпуск: Том 4, № 4 (2022)
- Страницы: 292-303
- Раздел: КЛИНИЧЕСКИЙ СЛУЧАЙ
- Статья получена: 19.10.2022
- Статья одобрена: 31.10.2022
- Статья опубликована: 09.12.2022
- URL: https://journals.eco-vector.com/2658-6843/article/view/111987
- DOI: https://doi.org/10.36425/rehab111987
- ID: 111987
Цитировать
Полный текст
Аннотация
Патологические двигательные синергии являются частым последствием нарушений мозгового кровообращения и препятствуют дальнейшему восстановлению активности. Существующее представление о формировании патологических синергий рассматривает их как компенсаторную стратегию в ответ на повреждение пирамидного пути, которая из-за пареза и повышения мышечного тонуса приобрела патологический характер. Последние исследования на приматах показали, что в моторном контроле руки может участвовать контралатеральное полушарие, в частности ретикулоспинальный и руброспинальный тракты. Современная гипотеза представляет кортикоретикулоспинальный и кортикоруброспинальный тракт в качестве резервной системы для нейронной реорганизации вследствие поражения.
Настоящий клинический случай описывает роль белого вещества контралатерального полушария в механизме формирования патологической сгибательной синергии, основываясь на данных анализа движений и нейровизуализации.
Ключевые слова
Полный текст
Список сокращений
ВМО ― вызванные моторные ответы
ДТ МРТ ― диффузионно-тензорная магнитно-резонансная томография
АКТУАЛЬНОСТЬ
Целью реабилитации после инсульта или черепно-мозговой травмы является восстановление привычной активности и участия пациента в профессиональной, бытовой и личной жизни. Для этого двигательные тренировки фокусируются на поощрении разработки компенсаторных стратегий, чтобы как можно быстрее вернуть пациенту функциональную независимость.
В клинической практике восстановление определяется как улучшение активности после повреждения. Тем не менее разные пациенты после инсульта могут выполнять одну и ту же двигательную задачу с различными биомеханическими паттернами. Данные паттерны могут включать либо компенсаторные стратегии, либо патологические синергии. Интересно, что патологические синергии рассматриваются многими авторами как изначально компенсаторные стратегии, которые со временем и при наличии пареза и/или спастичности приобретают патологический характер [1–3]. Другая гипотеза возникновения патологической синергии заключается в том, что после уменьшения кортикофугального влияния поражённого полушария возникает повышенная зависимость от контралатеральной моторной коры головного мозга и бульбоспинальных путей, таких как ретикулоспинальный и руброспинальный тракты [4].
Ранние работы были сосредоточены на роли ретикулоспинального тракта в контроле крупных и автоматизированных движений, таких как ходьба и поддержание равновесия [5–10]. Более поздние исследования на приматах показали, что ретикулоспинальный тракт образует моно- и дисинаптические связи с моторными нейронами спинного мозга, контролирующими мышцы предплечья [11, 12]. Стимуляция ретикулоспинального тракта вызывает усиление возбуждающих постсинаптических потенциалов в мышцах руки ипсилатеральных сгибателей запястья, локтевых сгибателей и отводящих мышц плеча, воспроизводя сгибательную синергию, наблюдаемую у пациентов после инсульта [13, 14]. После поражения кортикоспинального тракта стимуляция ретикулоспинального тракта также вызывает усиление возбуждающих постсинаптических потенциалов в мотонейронах, иннервирующих сгибатели предплечья и собственные мышцы кисти [15]. Таким образом, можно предположить, что именно усиленное влияние ретикулоспинальных трактов оказывает значимое влияние на формирование патологической сгибательной синергии у пациентов, перенёсших инсульт.
Как показали данные предыдущего исследования нашей группы, восстановление функциональных двигательных навыков в паретичной руке у пациентов, перенёсших инсульт, может происходить двумя разными путями: путём восстановления и путём адаптации [16]. На основании клинико-биомеханического портрета движений в паретичной руке нами был выработан алгоритм ведения постинсультных пациентов в зависимости от результатов тестирования по шкале оценки физического состояния Фугл-Мейера (Fugl-Meyer) и модифицированной шкале Эшворта (Ashworth) на первых этапах реабилитации (рис. 1).
Рис. 1. Алгоритм определения тактики реабилитации пациентов с постинсультным гемипарезом. / Fig. 1. Algorithm for determining the rehabilitation tactics of post-stroke hemiparesis.
В норме при совершении произвольных движений филогенетически сложившиеся двигательные синергии, контролируемые экстрапирамидной системой, подавляются активностью кортикоспинальных трактов. При поражении пирамидной системы вследствие инсульта спинальный уровень регуляции движений становится доминирующим, что приводит к проявлению синергичных движений, обусловленных парезом и спастичностью. В сложившейся ситуации важной является объективная оценка активности кортикоспинального и ретикулоспинального трактов, что необходимо для определения тактики реабилитации, направленной на двигательное восстановление или адаптацию.
В представленном клиническом случае мы хотим продемонстрировать пример патологического двигательного паттерна, в котором проявляются одновременно патологические синергии, управляемые ретикулоспинальным трактом, и произвольные движения, контролируемые нисходящими кортикоспинальными путями.
ОПИСАНИЕ КЛИНИЧЕСКОГО СЛУЧАЯ
О пациенте
Пациент А., 37 лет, обратился в ФГБНУ «Научный центр неврологии» с жалобами на нарушение речи, слабость в правых руке и ноге. За 26 мес до госпитализации перенёс нарушение мозгового кровообращения, сопровождавшееся выраженным правосторонним гемипарезом и сенсомоторной афазией. В последующем пациент проходил многочисленные курсы реабилитации с положительным эффектом в виде улучшения понимания речи и функции ходьбы, однако сохранялся выраженный парез в руке.
Неврологический статус. На момент поступления в ФГБНУ «Научный центр неврологии» в неврологическом статусе наблюдалась сенсомоторная афазия с преобладанием моторного компонента. Правосторонний гемипарез в руке по шкале MRC-SS (Medical Research Council Weakness Scale ― оценка мышечной силы): сгибатели плечевого сустава ― 4 балла, разгибатели плечевого сустава ― 4 балла, сгибатели локтевого сустава ― 3 балла, разгибатели локтевого сустава ― 3 балла, сгибатели лучезапястного сустава ― 3 балла, разгибатели лучезапястного сустава ― 3 балла, сгибатели и разгибатели пальцев ― 3 балла, сгибатели и разгибатели большого пальца ― 2 балла. Мышечный тонус по шкале Эшворта значительно повышен по спастическому типу [17]: сгибатели плечевого сустава ― 1 балл, сгибатели локтевого сустава ― 1+, сгибатели лучезапястного сустава и пальцев ― 1+. Сухожильные и периостальные рефлексы: S<D. Правосторонняя гемигипестезия. Оценка с помощью модифицированной шкалы Рэнкина ― 2 балла.
Для клинических характеристик использовались клинические шкалы оценки степени двигательного дефицита и функциональных ограничений руки ― Фугл-Мейера [18] и ARAT (Action Research Arm Test).
Согласно разработанному нашей группой оригинальному алгоритму ведения больных с постинсультной реабилитацией [16], основанному на данных тестирования пациентов по шкалам Фугл-Мейера (балл движения запястья и кисти ― 34, подраздел синергии ― 5 баллов) и Эшворта (балл в сгибателях локтевого сустава ― 1+), пациент был отнесён в группу «адаптации к патологическому стереотипу».
Результаты инструментального исследования
Для оценки центральных механизмов моторного контроля проводилась магнитно-резонансная томография головного мозга по стандартному протоколу (T2-Vi, Flair, T1, SWI, DVI) с включением методики диффузионно-тензорной магнитно-резонансной томографии (ДТ МРТ) для последующего анализа кортикоспинальных трактов. При реконструкции кортикоспинальных трактов методом МР-трактографии у пациента А. отмечено выраженное уменьшение объёма левого кортикоспинального тракта на стороне поражения по сравнению с контралатеральным кортикоспинальным трактом (рис. 2). Для определения степени сохранности кортикоспинального тракта нами применялся расчёт индекса асимметрии фракционной анизотропии, используемый в алгоритме PREP (Predict Recovery Potential algorithm ― прогнозирование восстановления): (FAcontra - FAipsi) / (FAcontra + FAipsi) [19], где FAcontra ― фракционная анизотропия в заднем бедре внутренней капсулы контралатерально очагу поражения, FAipsi ― фракционная анизотропия в заднем бедре внутренней капсулы на стороне поражения. При измерении индекса асимметрии расчётное значение составило 0,046, что соответствует низкой степени асимметрии и может свидетельствовать о хорошей сохранности кортикоспинального тракта на данном уровне при относительном уменьшении его объёма.
Рис. 2. Реконструкция кортикоспинальных трактов пациента: аксиальная (а) и коронарная (b) проекции. / Fig. 2. Reconstruction of the patient's corticospinal tracts: axial (а) and coronal (b) view.
Проведена диагностическая транскраниальная магнитная стимуляция с применением магнитного стимулятора Neuro-MSX (Нейрософт, Россия) и системы навигации ANT Neuro (Германия). При стимуляции левой первичной моторной коры с интенсивностью 80–100% от максимальной мощности стимулятора зарегистрированы воспроизводимые вызванные моторные ответы (ВМО) с mm. abductor pollicis brevis, abductor digiti minimi, extensor digitorum communis правой (паретичной) руки.
Регистрация ипсилатеральных ВМО проводилась с правой m. abductor pollicis brevis в условиях произвольного сокращения мышцы (30–50% от максимального сокращения). Точка для стимуляции соответствовала «горячей точке» в пределах правой первичной моторной коры для контралатеральной (левой) мышцы (точка, при стимуляции которой регистрируются ВМО с максимальной амплитудой). При стимуляции правой первичной моторной коры с интенсивностью 80% от максимальной с правой m. abductor pollicis brevis зарегистрированы воспроизводимые вариабельные по амплитуде ипсилатеральные ВМО с латентностью в пределах 30–35 мс. На рис. 3 представлен пример ипсилатерального ВМО с правой m. abductor pollicis brevis (короткая мышца, отводящая большой палец кисти) при стимуляции правой первичной моторной коры.
Рис. 3. Пример ипсилатерального вызванного моторного ответа (ВМО) с мышцы паретичной руки. / Fig. 3. Example of an ipsilateral evoked motor response of the paretic arm muscles.
Реабилитационные мероприятия
Курс реабилитации пациента А. включал в себя следующие процедуры: индивидуальное занятие с инструктором-методистом лечебной физкультуры; лечебный массаж паретичных руки и ноги; нервно-мышечную электростимуляцию руки и ноги; занятия на механотерапевтическом комплексе с виртуальной обратной связью и разгрузкой веса руки Armeo Spring (Hocoma, Швейцария) согласно протоколу адаптации пациента к патологическому стереотипу (выполнение упражнений без ограничения степеней свободы в локтевом и лучезапястном суставах). На фоне курса реабилитации наблюдались улучшения функции паретичной руки по клиническим шкалам Фугл-Мейера и ARAT (табл. 1, 2).
Таблица 1. Тестирование по шкале Фугл-Мейера до и после реабилитации / Table 1. Fugle-Meyer scale assessment before and after rehabilitation
Показатель | До реабилитации, балл | После реабилитации, балл |
Движения в руке, общий балл | 34 | 39 |
Подраздел плечо и предплечье | 22 | 24 |
Подраздел запястье и кисть | 12 | 15 |
Подраздел синергии | 5 | 6 |
Таблица 2. Тестирование по шкале ARAT до и после реабилитации / Table 2. ARAT assessment before and after rehabilitation
Показатель | До реабилитации, балл | После реабилитации, балл |
Общий балл | 30 | 37 |
Шаровой захват | 12 | 14 |
Цилиндрический захват | 4 | 6 |
Щипковый захват | 8 | 8 |
Крупные движения руки | 6 | 9 |
До и после курса реабилитации была проведена объективная оценка биомеханики движений с помощью системы видеоанализа Vicon (Великобритания). Регистрировались параметры суставной кинематики и временные параметры движения. В качестве парадигмы был выбран целенаправленный «ричинг» (reaching ― достижение удалённо расположенного объекта) как наименее вариабельное и наиболее автоматизированное движение. Пациент располагался сидя на стуле без спинки, за столом. На столе во фронтальной плоскости на расстоянии вытянутой руки устанавливался стакан с утяжелителем весом 10 г. Испытуемому предлагалось дотянуться до стакана, взять его, поднести ко рту, имитируя питьё, после чего поставить стакан на место и вернуть руку на исходную позицию. Было записано 10 повторений с интервалом между повторами 1 мин. В качестве исследуемых параметров оценивали амплитуды движений (градусы) в плечевом (сгибание/разгибание, отведение/приведение, наружная/внутренняя ротация), локтевом (сгибание/разгибание), лучезапястном (сгибание/разгибание) суставах, а также угол наклона корпуса относительно вертикальной оси.
Для объективной количественной оценки патологических синергий использовали коэффициенты (К) синергий:
- К1 ― отношение объёма сгибания в плечевом суставе к объёму отведения в плечевом суставе;
- К2 ― отношение объёма разгибания в локтевом суставе к объёму сгибания в плечевом суставе;
- К3 ― отношение объёма разгибания в локтевом суставе к объёму отведения в локтевом суставе.
Динамика, исходы
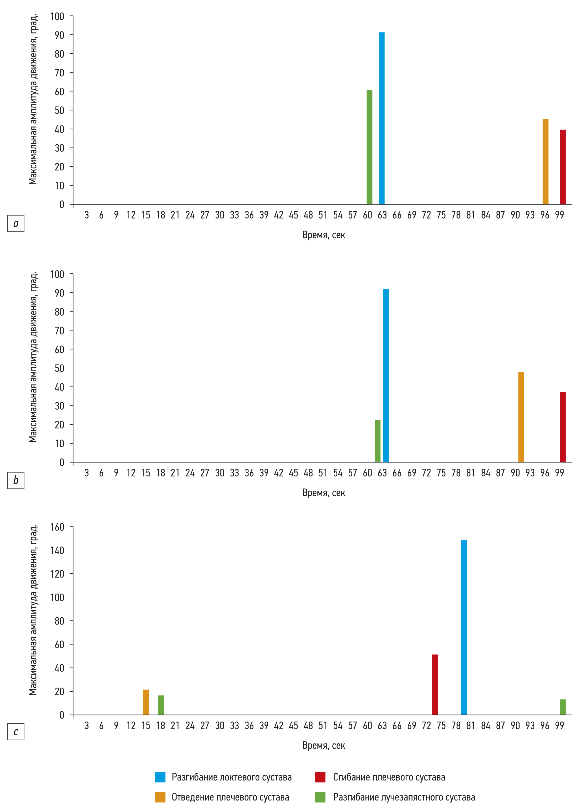
Анализ биомеханики движений показал увеличение среднего времени «ричинга» на 0,43 сек. После курса реабилитации на 15,1° увеличился средний угол внутренней ротации плечевого сустава, а в момент касания объекта вместо первоначальной внутренней ротации плечевого сустава на 39° отмечалась наружная ротация на 12,7°. На 38,10° увеличился угол сгибания в лучезапястном суставе (рис. 4).
Рис. 4. Данные кинематики. Примечание. ПСР ― плечевой сустав, ротация; ЛЧ ― лучезапястный сустав; А ― амплитуда; Т ― время достижения максимума; Цель ― момент достижения удалённо расположенного объекта. / Fig. 4. Kinematic data. Note: ПСР ― shoulder joint, rotation; ЛЧ ― wrist joint; A ― amplitude; T ― timing of the maximal angle; Цель ― the moment of touching a remotely located object.
Другие кинематические характеристики изменились незначительно (табл. 3), при этом коэффициент патологической синергии, отражающий отведение и сгибание в плечевом суставе, ухудшился по сравнению с нормой, другие же коэффициенты либо изменились незначительно, либо остались прежними, что говорит о сохранении патологического стереотипа движений при выполнении «ричинга», несмотря на проводимые тренировки (табл. 4).
Таблица 3. Кинематические параметры «ричинга» до и после курса реабилитации / Table 3. Kinematic parameters of reaching movement before and after rehabilitation
Параметры | До | После |
Время «ричинга», сек | 1,88 | 2,31 |
Локтевой сустав, сгибание/разгибание, макс. А, град. | 90,30 | 90,90 |
Плечевой сустав, сгибание/разгибание, макс. А, град. | 38,70 | 35,90 |
Плечевой сустав, отведение/приведение, макс. А, град. | 44,40 | 46,90 |
Плечевой сустав, ротация, макс. А, град. | 2,49 | -12,70 |
Наклон корпуса, макс. А, град. | 26,90 | 31,30 |
Лучезапястный сустав сгибание/разгибание, макс. А, град. | 59,60 | 21,50 |
Примечание. макс. А ― максимальная амплитуда.
Note: макс. А ― maximum amplitude.
Таблица 4. Коэффициенты патологических синергий во время «ричинга» / Table 4. Pathological synergy coefficients during reaching movement
Коэффициент | К1 | К2 | К3 |
Норма (n=10) | 1,46 | 1,36 | 1,98 |
До | 1,18 | 0,39 | 0,46 |
После | 0,73 | 0,57 | 0,42 |
О неизменности кинематического паттерна также свидетельствуют диаграммы кинематического «портрета», отражающие время достижения максимальных углов в суставах во время выполнения «ричинга» (рис. 5).
Рис. 5. Кинематический «портрет ричинга»: а ― до курса реабилитации; b ― после курса реабилитации; с ― в норме. / Fig. 5. Kinematic pattern of the reaching movement: а ― before rehabilitation; b ― after rehabilitation; с ― normal pattern.
Анализ движений показал, что у пациента не изменился кинематический портрет «ричинга» на фоне проводимых тренировок. Кроме того, в структуре разгибательной синергии, включающей внутреннюю ротацию плеча, разгибание локтевого сустава и пронацию предплечья, после курса реабилитации отмечались значительная наружная ротация плечевого сустава и сгибание лучезапястного сустава, более характерные для сгибательной синергии.
ОБСУЖДЕНИЕ
Согласно международным рекомендациям, для прогнозирования функционального восстановления паретичной руки у пациентов, перенёсших инсульт, в первые недели используется алгоритм PREP, основой для которого служит оценка пациента по шкале SAFE (Short Assessment of Feeding Elements ― краткая оценка составляющих элементов кормления), и дальнейшая оценка ВМО с мышц паретичной руки и ДТ МРТ с определением индекса асимметрии в задней ножке внутренней капсулы [20]. Данный метод позволяет с точностью более 70% определить возможности функционального двигательного восстановления паретичной руки к 3-му месяцу реабилитации. Однако в последующие месяцы после перенесённого нарушения мозгового кровообращения у пациентов начинает формироваться патологическая двигательная синергия, которая приводит к изменению прогноза двигательного восстановления, и на первый план при прогнозировании дальнейшего функционального восстановления паретичной руки выходит её оценка.
Основываясь на данных наших предыдущих исследований, пациент А., согласно клинической картине, был отнесён в группу с выраженной патологической синергией, а в качестве тактики реабилитационных мероприятий была выбрана адаптация пациента к патологическому стереотипу движений в руке [16]. С учётом данных кинематического портрета движений паретичной руки у пациента также наблюдался паттерн движений, характерный для группы с выраженной патологической синергией: увеличение степени отведения в плечевом суставе по отношению к степени сгибания в плечевом суставе (К1 1,18); уменьшение степени разгибания в локтевом суставе по отношению к степени сгибания в плечевом суставе (К2 0,39), при этом, по данным обследования по шкале ARAT и разделу запястья и кисти шкалы Фугл-Мейера, у пациента наблюдались достаточно высокие показатели функциональных возможностей в паретичной руке (30 и 12 баллов соответственно).
В связи с наблюдаемой диссоциацией между функциональными возможностями паретичной руки и степенью выраженности патологической двигательной синергии нами было принято решение оценить сохранность кортикоспинального тракта с использованием ДТ МРТ, а также исследовать ВМО с применением транскраниальной магнитной стимуляции. Регистрация ВМО с мышц паретичной руки при стимуляции контралатерального полушария, а также значение индекса асимметрии фракционной анизотропии кортикоспинальных трактов (0,046) указывают на высокую степень сохранности кортикоспинального тракта [19, 20].
Как показывают данные отдельных исследований, преобладание влияния ретикулоспинальных путей над кортикоспинальными может приводить к формированию выраженной патологической синергии у пациентов, перенёсших инсульт [4]. В представленном наблюдении у пациента были зарегистрированы ипсилатеральные ВМО с мышцы паретичной руки с латентностью 30–35 мс, которые могут быть обусловлены проведением импульса по полисинаптическим путям, в частности ретикулоспинальному [21]. Таким образом, у пациента А. можно предположить усиление влияния ретикулоспинальных путей на фоне перенесённого инсульта, что в свою очередь влияет на формирование выраженной патологической синергии. Достаточно хорошая сохранность кортикоспинального тракта при этом подтверждает сохранность основных функциональных возможностей в паретичной руке.
Клинико-биомеханический анализ показал, что у пациента присутствует очень сильный патологический стереотип движения. Во время выполнения «ричинга» до курса реабилитации коэффициент синергии, отражающий содружественное движение в локтевом и плечевом суставах, был ниже нормального показателя на 70%. После курса активных функциональных тренировок, направленных в том числе на достижение удалённых объектов, у пациента не отмечено улучшений биомеханики «ричинга». К компонентам разгибательной синергии присоединились элементы сгибательной синергии ― наружная ротация плеча и сгибание лучезапястного сустава.
На фоне проведённого реабилитационного лечения у пациента наблюдалось улучшение функциональных возможностей паретичной руки по шкале ARAT и разделу движения запястья и кисти шкалы Фугл-Мейера (5 и 7 баллов соответственно).
Одновременное наличие выраженных патологических синергий, а также функциональных движений кисти и пальцев могут свидетельствовать о динамическом взаимодействии между кортикоспинальным трактом и другими нисходящими путями, такими как ретикулоспинальный тракт [22].
ЗАКЛЮЧЕНИЕ
В дополнение к имеющимся теориям двигательного восстановления, различающим адаптацию при выраженном поражении коркового контроля движений и доминировании ретикулоспинального тракта и физиологическое восстановление при лёгком и умеренном поражении кортикоспинального тракта, у пациента А. был выявлен паттерн двигательного контроля, включающий комбинацию сохранного ретикулоспинального тракта и повреждённого кортикоспинального тракта в результате нарушения мозгового кровообращения, при этом в клинической картине наблюдалось сочетание грубой патологической синергии с относительно хорошей функциональной активностью руки.
Общепризнанным считается наличие двух возможных путей двигательного восстановления: первый ― за счёт активности кортикоспинального тракта при его негрубом повреждении; второй ― за счёт ипсилатеральных полисинаптических путей (например, ретикулоспинального) при грубом повреждении кортикоспинального тракта. Однако наш клинический случай показывает, что подобное строгое разделение является, вероятно, допущением, и что возможны промежуточные варианты, когда в двигательное восстановление вовлечён как кортикоспинальный, так и ипсилатеральный полисинаптический путь. У таких пациентов клинически наблюдается нетипичная картина сочетания грубых патологических синергий и относительно сохранных функциональных возможностей паретичной кисти. Вероятно, для таких пациентов необходимо разрабатывать новые персонализированные алгоритмы реабилитации, основанные на данных о возможности одновременной сохранности проведения по обоим путям.
ДОПОЛНИТЕЛЬНАЯ ИНФОРМАЦИЯ
Источник финансирования. Статья подготовлена в рамках фундаментальной НИР ФГБНУ «Научный центр неврологии».
Конфликт интересов. Авторы декларируют отсутствие явных и потенциальных конфликтов интересов, связанных с публикацией настоящей статьи.
Вклад авторов. А.С. Клочков, А.Е. Хижникова, И.С. Бакулин, Е.И. Кремнева, А.Г. Пойдашева, А.А. Фукс, Д.В. Горлачев — анализ данных, написание статьи; Е.В. Гнедовская, Н.А. Супонева — кураторство работы, редактирование, одобрение статьи для публикации. Все авторы подтверждают соответствие своего авторства международным критериям ICMJE (все авторы внесли существенный вклад в разработку концепции, проведение исследования и подготовку статьи, прочли и одобрили финальную версию перед публикацией).
Согласие пациента. От пациента получено письменное информированное добровольное согласие на публикацию описания клинического случая, медицинских данных (результатов обследования, лечения и наблюдения) и изображений пациента в медицинском журнале «Физическая и реабилитационная медицина, медицинская реабилитация», включая его электронную версию (дата подписания 12.10.2022).
ADDITIONAL INFORMATION
Funding source. The paper was prepared as a part of fundamental research of the Research center of neurology.
Competing interests. The authors declare that they have no competing interests.
Authors’ contribution. A.S. Klochkov, A.E. Khizhnikova, I.S. Bakulin, E.I. Kremneva, A.G. Poydasheva, A.A. Fuks, D.V. Gorlachev — data analysis, paper writing; E.V. Gnedovskaya, N.A. Suponeva — work supervision, editing and approval of the paper for publication. All authors made a substantial contribution to the conception of the work, acquisition, analysis, interpretation of data for the work, drafting and revising the work, final approval of the version to be published and agree to be accountable for all aspects of the work.
Patients permission. A written informed voluntary consent was received from the patient to publish a description of the clinical case, medical data (results of examination, treatment and observation) and images of the patient in the medical journal “Physical and rehabilitation medicine, medical rehabilitation”, including its electronic version (signature date 12.10.2022).
Об авторах
Антон Сергеевич Клочков
Научный центр неврологии
Email: klochkov@neurology.ru
ORCID iD: 0000-0002-4730-3338
SPIN-код: 3445-8770
к.м.н.
Россия, МоскваАнастасия Евгеньевна Хижникова
Научный центр неврологии
Автор, ответственный за переписку.
Email: nastushkapal@gmail.com
ORCID iD: 0000-0003-1395-6645
SPIN-код: 4824-1240
к.м.н.
Россия, МоскваИлья Сергеевич Бакулин
Научный центр неврологии
Email: bakulin@neurology.ru
ORCID iD: 0000-0003-0716-3737
SPIN-код: 7756-6427
к.м.н.
Россия, МоскваЕлена Игоревна Кремнева
Научный центр неврологии
Email: kremneva@neurology.ru
ORCID iD: 0000-0001-9396-6063
SPIN-код: 8799-8092
к.м.н.
Россия, МоскваАлександра Георгиевна Пойдашева
Научный центр неврологии
Email: poydasheva@neurology.ru
ORCID iD: 0000-0003-1841-1177
SPIN-код: 4040-1184
Россия, Москва
Анна Антоновна Фукс
Научный центр неврологии
Email: myfannamail@gmail.com
ORCID iD: 0000-0002-4335-6344
SPIN-код: 8236-1787
Россия, Москва
Дмитрий Владимирович Горлачев
Научный центр неврологии
Email: gooorlachev@gmail.com
ORCID iD: 0000-0002-0735-080X
Россия, Москва
Елена Владимировна Гнедовская
Научный центр неврологии
Email: gnedovskaya@mail.ru
ORCID iD: 0000-0001-6026-3388
SPIN-код: 7248-1282
д.м.н.
Россия, МоскваНаталья Александровна Супонева
Научный центр неврологии
Email: nasu2709@mail.ru
ORCID iD: 0000-0003-3956-6362
SPIN-код: 3223-6006
д.м.н., чл.-корр. РАН
Россия, МоскваСписок литературы
- Knutsson E., Martensson A. Dynamic motor capacity in spastic paresis and its relation to prime mover dysfunction, spastic reflexes and antagonist co-activation // Scand J Rehabil Med. 1980. Vol. 12, N 3. Р. 93–106.
- Knutsson E., Dewalde P.J., Younge R.R. Studies of gait control in patients with spastic paresis. Clinical Neurophysiology in Spasticity. New York: Elsevier, 1985. Р. 175–184.
- Chen J., Friesen W.O., Iwasaki T. Mechanisms underlying rhythmic locomotion: interactions between activation, tension and body curvature waves // J Exp Biol. 2012. Vol. 215, N 2. Р. 211–219. doi: 10.1242/jeb.058669
- Owen M., Ingo C., Dewald J.P. Upper extremity motor impairments and microstructural changes in bulbospinal pathways in chronic hemiparetic stroke // Front Neurol. 2017. Vol. 13, N 8. Р. 257. doi: 10.3389/fneur.2017.00257
- Mori S., Matsuyama K., Mori F., Nakajima K. Supraspinal sites that induce locomotion in the vertebrate central nervous system // Adv Neurol. 2001. Vol. 87. Р. 25–40.
- Schepens B., Stapley P., Drew T. Neurons in the pontomedullary reticular formation signal posture and movement both as an integrated behavior and independently // J Neurophysiol. 2008. Vol. 100, N 4. Р. 2235–2253. doi: 10.1152/jn.01381.2007
- Drew T., Dubuc R., Rossignol S. Discharge patterns of reticulospinal and other reticular neurons in chronic, unrestrained cats walking on a treadmill // J Neurophysiol. 1986. Vol. 55, N 2. Р. 375–401. doi: 10.1152/jn.1986.55.2.375
- Matsuyama K., Drew T. Vestibulospinal and reticulospinal neuronal activity during locomotion in the intact cat. I. Walking on a level surface // J Neurophysiol. 2000. Vol. 84, N 5. Р. 2237–2256. doi: 10.1152/jn.2000.84.5.2237
- Prentice S.D., Drew T. Contributions of the reticulospinal system to the postural adjustments occurring during voluntary gait modifications // J Neurophysiol. 2001. Vol. 85, N 2. Р. 679–698. doi: 10.1152/jn.2001.85.2.679
- Schepens B., Drew T. Independent and convergent signals from the pontomedullary reticular formation contribute to the control of posture and movement during reaching in the cat // J Neurophysiol. 2004. Vol. 92, N 4. Р. 2217–2238. doi: 10.1152/jn.01189.2003
- Riddle C.N., Edgley S.A., Baker S.N. Direct and indirect connections with upper limb motoneurons from the primate reticulospinal tract // J Neurosci. 2009. Vol. 29, N 15. Р. 4993–4999. doi: 10.1523/JNEUROSCI.3720-08.2009
- Owen M., Ingo C., Dewald J.P. Upper extremity motor impairments and microstructural changes in bulbospinal pathways in chronic hemiparetic stroke // Front Neurol. 2017. Vol. 8. Р. 257. doi: 10.3389/fneur.2017.00257
- Davidson A.G., Buford J.A. Bilateral actions of the reticulospinal tract on arm and shoulder muscles in the monkey: stimulus triggered averaging // Exp Brain Res. 2006. Vol. 173, N 1. Р. 25–39. doi: 10.1007/s00221-006-0374-1
- Baker S.N. The primate reticulospinal tract, hand function and functional recovery // J Physiol. 2011. Vol. 589, N 23. Р. 5603–5612. doi: 10.1113/jphysiol.2011.215160
- Zaaimi B., Edgley S.A., Soteropoulos D.S., Baker S.N. Changes in descending motor pathway connectivity after corticospinal tract lesion in macaque monkey // Brain. 2012. Vol. 135, N 7. Р. 2277–2289. doi: 10.1093/brain/aws115
- Хижникова А.Е., Клочков А.С., Котов-Смоленский А.М., и др. Динамика кинематического портрета постинсультного пареза руки на фоне реабилитации // Вестник российского государственного медицинского университета. 2019. № 4. С. 34–41. doi: 10.24075/vrgmu.2019.056
- Супонева Н.А., Юсупова Д.Г., Ильина К.А., и др. Валидация Модифицированной шкалы Эшворта (Modified Ashworth Scale) в России // Анналы клинической и экспериментальной неврологии. 2020. Т. 14, № 1. С. 89–96. doi: 10.25692/ACEN.2020.1.10
- Супонева Н.А., Юсупова Д.Г., Зимин А.А., и др. Валидация русскоязычной версии шкалы Фугл-Мейера для оценки состояния пациентов с постинсультным парезом // Журнал неврологии и психиатрии им. С.С. Корсакова. 2021. Т. 121, № 8-2. С. 86–90. doi: 10.17116/jnevro202112108286
- Stinear C. Prediction of recovery of motor function after stroke // Lancet Neurol. 2010. Vol. 9, N 12. Р. 1228–1232. doi: 10.1016/S1474-4422(10)70247-7
- Stinear C.M., Barber P.A., Petoe M., et al. The PREP algorithm predicts potential for upper limb recovery after stroke // Brain. 2012. Vol. 135, N 8. Р. 2527–2535. doi: 10.1093/brain/aws146
- Ziemann U., Ishii K., Borgheresi A., et al. Dissociation of the pathways mediating ipsilateral and contralateral motor-evoked potentials in human hand and arm muscles // J Physiol. 1999. Vol. 1, N 518. Р. 895–906. doi: 10.1111/j.1469-7793.1999.0895p.x
- Xu J., Ejaz N., Hertler B., et al. Separable systems for recovery of finger strength and control after stroke // J Neurophysiol. 2017. Vol. 118, N 2. Р. 1151–1163. doi: 10.1152/jn.00123.2017
Дополнительные файлы








