Биомаркеры-предикторы летального исхода у пациентов с ишемическим инсультом
- Авторы: Голубев А.М.1,2, Радутная М.Л.1, Захарченко В.Е.1, Бабкина А.С.1, Петрова М.В.1,2, Любомудров М.А.1, Ядгаров М.Я.1, Бондарь Е.Л.1, Парфёнов А.Л.1, Гречко А.В.1,2
-
Учреждения:
- Федеральный научно-клинический центр реаниматологии и реабилитологии
- Российский университет дружбы народов имени Патриса Лумумбы
- Выпуск: Том 5, № 4 (2023)
- Страницы: 312-321
- Раздел: ОРИГИНАЛЬНОЕ ИССЛЕДОВАНИЕ
- Статья получена: 25.10.2023
- Статья одобрена: 09.11.2023
- Статья опубликована: 13.12.2023
- URL: https://journals.eco-vector.com/2658-6843/article/view/619331
- DOI: https://doi.org/10.36425/rehab619331
- ID: 619331
Цитировать
Полный текст
Аннотация
Обоснование. Инсульт является глобальной проблемой здравоохранения и второй по значимости причиной смерти в мире, при этом на ишемический инсульт приходится большинство случаев острых нарушений мозгового кровообращения. Прогнозирование исходов у пациентов с ишемическим инсультом представляет определённые сложности из-за ограниченных прогностических свойств существующих моделей. Отсутствие надёжных и информативных биомаркеров ишемического инсульта, используемых в клинической практике, создаёт предпосылки для исследований, направленных на решение данной проблемы.
Цель исследования ― выявить клинико-демографические характеристики, нейровизуализационные и молекулярные биомаркеры ишемического инсульта, связанные с летальным исходом заболевания.
Материалы и методы. Проведён ретроспективный анализ случаев ишемического инсульта, подтверждённого компьютерной томографией головного мозга, давностью не более 3 месяцев. В качестве факторов, потенциально связанных с исходом ишемического инсульта, рассматривали (1) клинико-демографические характеристики: пол, возраст, наличие острых нарушений кровообращения в анамнезе, время от инсульта до госпитализации, период и патогенетический тип инсульта, неврологический статус при поступлении (уровень сознания, шкала комы FOUR), сопутствующие заболевания (сахарный диабет, инфекционные осложнения, онкологические заболевания); (2) молекулярные биомаркеры: содержание в крови глюкозы и нейронспецифической енолазы (NSE) в различные периоды инсульта; (3) нейровизуализационные биомаркеры: количество и локализация очагов инфаркта, суммарный объём инфаркта, наличие признаков отёка, геморрагического компонента по данным компьютерной томографии.
Результаты. В исследование включены 38 пациентов с ишемическим инсультом. Выявлено, что у умерших пациентов объём инфаркта был больше: 123 [44,6–206,2] против 42,7 [8,2–88,7] мл3 (р=0,032), а также значимо чаще выявлялся отёк головного мозга по компьютерной томографии при поступлении в сравнении с группой выживших: 7 (77,8%) против 10 (34,5%); р=0,022. Объём очага инсульта являлся предиктором летального исхода (AUC 0,739; 95% ДИ 0,542–0,937; р=0,032). Оптимальная точка отсечения для объёма очага инсульта установлена на уровне 90 мл3.
Заключение. Признаки отёка/дислокации, а также объём инфаркта головного мозга более 90 мл3, зарегистрированные при поступлении в стационар, являются предикторами летального исхода. Следовательно, нейровизуализационные биомаркеры могут быть использованы для стратификации риска летального исхода у больных ишемическим инсультом.
Ключевые слова
Полный текст
Список сокращений
КТ ― компьютерная томография
FOUR (Full Outline of UnResponsiveness) ― шкала комы
NSE (neuron-specific enolase) ― нейронспецифическая енолаза
TOAST (Trial of Org 10172 in Acute Stroke Treatment) ― классификация патогенетических подтипов ишемического инсульта
ОБОСНОВАНИЕ
Инсульт является глобальной проблемой здравоохранения и второй по значимости причиной смерти в мире, при этом на ишемический инсульт приходится большинство случаев острых нарушений мозгового кровообращения [1, 2]. Усовершенствование методов профилактики, мониторинга, лечения заболевания, а также выявление информативных маркеров инсульта представляют собой актуальные задачи, требующие решения. Прогнозирование исходов у пациентов с ишемическим инсультом представляет определённые сложности из-за ограниченных прогностических свойств существующих моделей. Необходим поиск биомаркеров, предоставляющих дополнительную информацию к установленным прогностическим факторам [3].
Биомаркеры ― это объективные показатели, используемые для оценки физиологических или патологических процессов, реакций на медицинские вмешательства, а также для прогнозирования результатов [4]. Биомаркерами могут быть молекулы, выявляемые в биологических жидкостях или тканях, а также изменения, регистрируемые на электрокардиограмме, электроэнцефалограмме, с помощью визуализирующих тестов и др. Необходимым условием оптимального использования биомаркера в практике являются высокие специфичность и чувствительность, а также скорость, экономическая эффективность метода его определения [5]. Молекулярные биомаркеры включают белки, метаболиты, липиды и рибонуклеиновые кислоты (РНК). Использование комбинаций биомаркеров (панели, баллы или индексы) позволяет повысить их диагностическую и прогностическую точность. Ряд биомаркеров крови играют важную роль в принятии клинических решений. Например, сердечный тропонин Т и натрийуретический пептид B-типа (brain natriuretic peptide, BNP) успешно используются в кардиологии для диагностики инфаркта миокарда и оценки сердечной недостаточности; D-димер информативен для диагностики тромбоэмболии лёгочной артерии; креатинин плазмы используется для оценки и мониторинга функции почек и т.д. [6]. Среди маркеров ишемического повреждения головного мозга наиболее подробно изучены кальцийсвязывающий белок S100B, нейронспецифическая енолаза (neuron-specific enolase, NSE), основной белок миелина (myelin basic protein, MBP) и глиальный фибриллярный кислый белок (glial fibrillary acidic protein, GFAP). Американская академия неврологии поддержала использование сывороточной NSE для прогноза неблагоприятного исхода после глобальной церебральной гипоперфузии у пациентов, нуждающихся в сердечно-лёгочной реанимации, на основании доказательств уровня B [7].
Несмотря на многолетние исследования и выявленные маркеры повреждения головного мозга, их применение для диагностики, мониторинга и прогнозирования исхода при инсультах не внедрено в клиническую практику [8, 9]. Отсутствие надёжных и информативных биомаркеров ишемического инсульта создаёт предпосылки для исследований, направленных на решение данной проблемы.
Цель исследования ― выявить клинико-демографические характеристики, нейровизуализационные и молекулярные биомаркеры ишемического инсульта, связанные с летальным исходом заболевания.
МАТЕРИАЛЫ И МЕТОДЫ
Дизайн исследования
Проведён ретроспективный анализ случаев ишемического инсульта. В качестве факторов, потенциально связанных с исходом ишемического инсульта, рассматривали:
- клинико-демографические характеристики: пол, возраст, наличие острых нарушений кровообращения в анамнезе, время от инсульта до госпитализации, период и патогенетический тип инсульта, неврологический статус при поступлении (уровень сознания, шкала комы FOUR), сопутствующие заболевания (сахарный диабет, инфекционные осложнения, онкологические заболевания);
- молекулярные биомаркеры: содержание в крови глюкозы и NSE в различные периоды инсульта;
- нейровизуализационные биомаркеры: количество и локализация очагов инфаркта, суммарный объём инфаркта, наличие признаков отёка, геморрагического компонента по данным компьютерной томографии (КТ).
Критерии соответствия
Критерии включения: диагноз ишемического инсульта, подтверждённый КТ головного мозга; острейший (1–24 часа от начала заболевания), острый (1–7 дней), ранний подострый (7 дней–3 месяца) периоды; любая локализация инсульта; без ограничений по возрасту; без ограничений по коморбидности.
Критерии исключения: поздний подострый (3–6 месяцев) и хронический (>6 месяцев) периоды; отсутствие данных КТ; неуточнённая дата инсульта.
В исследовании руководствовались периодизацией инсульта, предложенной целевой группой круглого стола по восстановлению и реабилитации после инсульта [10].
Условия проведения
Все пациенты, включённые в исследование, находились на лечении в Федеральном государственном бюджетном научном учреждении «Федеральный научно-клинический центр реаниматологии и реабилитологии» (ФНКЦ РР; Московская область, Солнечногорский район, д. Лыткино, 777).
Продолжительность исследования
Все пациенты были госпитализированы в ФНКЦ РР в период с февраля 2023 по июнь 2023 года.
Описание методов исследования
Описание метода определения содержания NSE в сыворотке крови. Образцы крови объёмом 8 мл забирали у пациентов натощак из антекубитальной вены. Образцы крови хранили в стандартных пробирках с этилен-диаминтетраацетатом при комнатной температуре в течение 0,5 часа. Затем образцы крови центрифугировали при 2000 оборотах в минуту в течение 10 минут, чтобы отделить сыворотку. После этого образцы помещали в пробирки Эппендорфа объёмом 0,25 мл и хранили при температуре -20°C не более одного месяца.
Количественно оценивали содержание NSE с помощью наборов для иммуноферментного анализа (Cloud-Clone Corp., Ухань, Китай) в сыворотке крови от первого дня госпитализации с интервалом 7 дней до выписки/смерти.
Для исследований использовали автоматический микропланшетный иммуноферментный анализатор ImmunomatТМ.
Описание метода определения объёма инфаркта головного мозга. Оценка объёма повреждённой ткани мозга производилась двумя врачами-рентгенологами независимо друг от друга. Подсчёт объёма производился двумя методами. Первый метод заключался в обсчёте на рабочей станции syngo.via (Siemens, Форххайм, Германия) с помощью инструмента VOI Freehand: на последовательно идущих аксиальных срезах сверху вниз на всём протяжении повреждения через каждые 10–15 срезов при их толщине 1 мм обводили контур поражённого участка; после выделения контуров программа автоматически показывала и высчитывала объём повреждения в кубических сантиметрах (cм3). Вторым методом обсчёта являлось вычисление по формуле V=(A×B×C):2+5% [11], где А, В и С ― расстояние между максимально удалёнными друг от друга точками во взаимно перпендикулярных плоскостях на границе повреждённой ткани.
Исходы исследования
Основной исход исследования: госпитальная летальность.
Информацию об исходах извлекали из электронных историй болезни.
Анализ в подгруппах
Группы формировались с учётом исхода заболевания (смерть/выписка).
Этическая экспертиза
Протокол исследования одобрен локальным биоэтическим комитетом ФНКЦ РР (протокол 4/21/3 от 21 сентября 2021 года).
Статистический анализ
Размер выборки предварительно не рассчитывался.
Для оценки нормальности распределения данных использовали тест Шапиро–Уилка. Непрерывные переменные описывали медианами и интерквартильными диапазонами (InterQuartile range, IQR), категориальные переменные ― частотами и процентами. Сравнение непрерывных переменных проводили с использованием U-критерия Манна–Уитни, категориальные параметры оценивали критерием хи-квадрат или точным критерием Фишера (Фишера–Фримана–Холтона для 3 и более категорий) в случае ожидаемых частот менее 10. ROC-анализ выполняли с целью определения дискриминационной способности предиктора (оценка площади под ROC-кривой ― AUC), определения оптимальной точки отсечения (согласно критерию Юдена) и её характеристик (чувствительность, специфичность, прогностические ценности положительного и отрицательного результатов, точность). Оценку величины эффекта проводили путём определения отношения шансов (ОШ). Для выполнения статистического анализа применяли программы STATA, версия 17.0 (StataCorp LLC, Техас, США) и IBM SPSS Statistics, версия 27.0 (IBM Corp., Armonk, Нью-Йорк, США). Статистически значимым считали значение p <0,05 (двусторонний критерий).
РЕЗУЛЬТАТЫ
Объекты (участники) исследования
В исследование включены пациенты с ишемическим инсультом (n=38). Основные клинические и демографические характеристики пациентов представлены в табл. 1. Медиана возраста пациентов составила 76 лет (диапазон 33–92). БÓльшая часть пациентов (n=29; 76,3%) находилась в раннем подостром периоде (период раннего восстановления). Преобладающим патогенетическим типом был кардиоэмболический ишемический инсульт (n=18; 47,4%). Преимущественно инфаркт локализовался в левом/правом полушарии головного мозга ― 12 (31,6%) и 14 (36,8%) случаев соответственно. В половине случаев пациенты на момент госпитализации находись в ясном сознании. Инфекционные заболевания осложняли течение основного диагноза в большей части случаев (n=26; 68,4%). В 9 (23,7%) случаях зарегистрирован летальный исход.
Таблица 1. Основные характеристики пациентов, включённых в исследование
Table 1. Main characteristics of patients included in the study
Характеристика | Значение |
Возраст, лет [медиана, IQR] | 76 [69–83], диапазон 33–92 |
Пол, n (%) • женский • мужской | 13 (34,2) 25 (65,8) |
Время от инсульта до госпитализации, сут [медиана] | |
Период инсульта, n (%) • острейший • острый • ранний подострый | 1 (2,6) 8 (21,1) 29 (76,3) |
Подтип инсульта по классификации TOAST, n (%) • атеротромботический • кардиоэмболический • лакунарный • неустановленный | 7 (18,4) 18 (47,4) 0 (0) 13 (34,2) |
Объём очага инфаркта, см3 [медиана] | 45 [24–126] |
Число очагов, n (%) • 1 • 2 | 28 (73,7) 10 (26,3) |
Локализация повреждения, n (%) • ПП • ЛП • ПП+ЛП • другое | 14 (36,8) 12 (31,6) 8 (21,1) 4 (10,5) |
Отёк/дислокация, n (%) | 17 (44,7) |
Наличие геморрагического компонента, n (%) | 8 (21,1) |
Наличие ОНМК в анамнезе, n (%) | 9 (23,7) |
Уровень сознания, n (%) • ясное • оглушение • сопор • другое | 19 (50,0) 9 (23,7) 6 (15,8) 4 (10,5) |
Шкала комы FOUR | 13,5 (10,8–16,0) |
Сопутствующие заболевания, n (%) • инфекционные • сахарный диабет • онкологические | 26 (68,4) 7 (18,4) 2 (5,3) |
Содержание NSE в сыворотке крови, нг/мл [медиана] • острый период • ранний подострый период (1 нед) • ранний подострый период (2 нед) • ранний подострый период (3 нед) | |
Содержание глюкозы в сыворотке крови, ммоль/л [медиана] • острый период • ранний подострый период (1 нед) • ранний подострый период (2 нед) • ранний подострый период (3 нед) | |
Исходы заболевания, n (%) • летальность • длительность госпитализации, сут | 9 (23,7) 30 (21–62) |
Примечание. IQR ― межквартильный интервал; NSE ― нейронспецифическая енолаза; ОНМК ― острое нарушение мозгового кровообращения; ЛП ― левое полушарие; ПП ― правое полушарие.
Note: IQR ― interquartile range; NSE ― neuron-specific enolase; ОНМК ― acute cerebral circulatory failure; ЛП ― left hemisphere; ПП ― right hemisphere.
Основные результаты исследования
При сравнении групп выживших и умерших пациентов (табл. 2) выявлено, что длительность периода от инсульта до госпитализации больше в группе выживших, чем в группе умерших (15 [9–22] против 8 [5–9], р=0,038); у умерших объём инфаркта больше (123 [44, 6–206, 2] против 42,7 [8, 2–88, 7] мл3, р=0,032), а также у них значимо чаще выявлялся отёк головного мозга по данным КТ при поступлении в сравнении с группой выживших: 7 (77,8%) против 10 (34,5%); р=0,022.
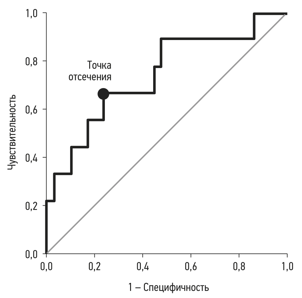
Объём очага инсульта являлся предиктором летального исхода: AUC 0,739; 95% доверительный интервал (ДИ) 0,542–0,937; p=0,032. Оптимальная точка отсечения для объёма очага инсульта установлена на уровне 90 мл (рис. 1).
Рис. 1. ROC-анализ: оценка объёма очага инсульта как предиктора летального исхода.
Fig. 1. ROC analysis: Assessment of stroke center volume as a predictor of mortality.
Пациенты с объёмом очага инсульта 90 мл и более имели в 6,3 раза большую вероятность летального исхода (ОШ 6,29; 95% ДИ 1,24–31,96). Чувствительность и специфичность составили 66,7% и 75,9% соответственно, прогностические ценности положительного и отрицательного результата ― 46,2% и 88,0% соответственно, прогностическая точность ― 73,7%. Для наличия отёка/дислокации ― ОШ 6,67 (95% ДИ 1,15–38,47).
ОБСУЖДЕНИЕ
Резюме основного результата исследования
Исходя из результатов данного исследования, наиболее информативными биомаркерами ишемического инсульта, представляющими прогностическую значимость, являются нейровизуализационные характеристики, такие как признаки отёка головного мозга, объём очага инфаркта более 90 мл3.
Обсуждение основного результата исследования
Прогностическая значимость объёма инфаркта головного мозга была подтверждена в ряде исследований [12, 13]. Согласно результатам метаанализа X. Meng и соавт. [13], объём инфаркта 20–50 мл3 является независимым предиктором неблагоприятного клинического исхода с высокой чувствительностью и специфичностью. В работе X. Du и соавт. [14] для прогнозирования исходов было предложено использование коэффициента инфаркта головного мозга (объём инфаркта/объём мозга). Согласно результатам нашего исследования, локализация инфаркта в отличие от его объёма не была связана с летальным исходом. C. Laredo и соавт. [15] отметили, что летальный исход в первые месяцы после инсульта был ассоциирован с объёмом инфаркта, в то время как локализация в большей степени связана с неблагоприятным функциональным исходом.
Значимым, но на первый взгляд неожиданным результатом является связь летального исхода с длительностью периода от момента инсульта до госпитализации (у умерших длительность периода от инсульта до госпитализации меньше, чем у выживших). Однако, учитывая больший объём инфаркта, наличие отёка головного мозга при поступлении в большей части случаев с летальным исходом, можно предположить, что более интенсивная выраженность неврологической симптоматики и других клинических признаков в данном случае обусловили более раннюю госпитализацию.
Учитывая работы, рассматривающие NSE в качестве маркера ишемического повреждения головного мозга, и принимая во внимание исследования, показавшие прогностическую значимость фермента, мы рассмотрели содержание NSE в качестве потенциального биомаркера-предиктора [16–18]. Так как NSE является важнейшим ферментом гликолиза, в совокупности с NSE мы учитывали уровень глюкозы, однако значимых результатов, доказывающих прогностическое значение NSE, получено не было. Обращаясь к исследовательскому опыту в данном направлении, невозможно не отметить существенные расхождения результатов опубликованных исследований относительно прогностической значимости NSE. A. Huţanu и соавт. [19] не выявили значимых различий в содержании NSE в сыворотке крови пациентов с ишемическим инсультом и контрольной группы. Кроме того, уровень NSE не был связан с функциональным исходом заболевания через 3 месяца. Об отсутствии связи содержания NSE с функциональным исходом, а также с тяжестью инсульта свидетельствуют результаты систематического обзора N. Anand и соавт. [20].
Таблица 2. Сравнительный анализ пациентов с разным исходом заболевания
Table 2. Comparative analysis of patients with different disease outcomes
Характеристика | Выжили (n=29) | Умерли (n=9) | p-value |
Возраст, лет [медиана, IQR] | 73 [69–81] | 81 [75–85] | 0,115 |
Пол, n (%) • женский • мужской |
21 (72,5) 8 (27,6) |
4 (44,5) 5 (55,6) | 0,122 |
Время от инсульта до госпитализации, сут [медиана] | 15 [9–22] | 8 [5–9] | 0,038* |
Период инсульта, n (%) • острейший • острый • ранний подострый |
0 (0) 5 (17,3) 24 (82,8) |
1 (11,2) 3 (33,4) 5 (55,6 | 0,087 |
Подтип инсульта по классификации TOAST, n (%) • атеротромботический • кардиоэмболический • лакунарный • неустановленный |
6 (20,7) 13 (44,9) 0 (0) 10 (34,5) |
1 (11,2) 5 (55,6) 0 (0) 3 (33,4) | 0,887 |
Объём очага инфаркта, см3 [медиана] | 0,032* | ||
Число очагов, n (%) • 1 • 2 |
22 (75,9) 7 (24,2) |
6 (66,7) 3 (33,4) | 0,584 |
Локализация повреждения, n (%) • ПП • ЛП • ПП+ЛП • другое |
10 (34,5) 10 (34,5) 6 (20,7) 3 (10,4) |
4 (44,5) 2 (22,3) 2 (22,3) 1 (11,2) | 0,945 |
Отёк/дислокация, n (%) | 10 (34,5) | 7 (77,8) | 0,022* |
Наличие геморрагического компонента, n (%) | 6 (20,7) | 2 (22,3) | 0,999 |
Наличие ОНМК в анамнезе, n (%) | 7 (24,2) | 2 (22,3) | 0,906 |
Уровень сознания, n (%) • ясное • оглушение • сопор • другое |
17 (58,7) 6 (20,7) 3 (10,4) 3 (10.4) |
2 (22,3) 3 (33,4) 3 (33,4) 1 (11,2) | 0,149 |
Шкала комы FOUR [медиана] | 15 [12–16] | 13 [11–13] | 0,133 |
Сопутствующие заболевания, n (%) • инфекционные заболевания • сахарный диабет • онкологические заболевания |
19 (65,6) 5 (17,3) 2 (6,9) |
7 (77,8) 2 (22,3) 0 (0) |
0,689 0,999 0,578 |
Содержание NSE в сыворотке крови, нг/мл [медиана] • острый период • ранний подострый период (1 нед) • ранний подострый период (2 нед) • ранний подострый период (3 нед) |
|
|
0,999 0,237 0,850 0,087 |
Содержание глюкозы в сыворотке крови, ммоль/л [медиана] • острый период • ранний подострый период (1 нед) • ранний подострый период (2 нед) • ранний подострый период (3 нед) |
|
|
0,250 0,999 0,129 0,400 |
Исходы лечения [медиана] • длительность госпитализации, сут |
32 [26–62] |
16 [6–38] |
0,063 |
Примечание. * Статистически значимым считалось значение p <0,05. IQR ― межквартильный интервал; NSE ― нейронспецифическая енолаза; ОНМК ― острое нарушение мозгового кровообращения; ЛП ― левое полушарие; ПП ― правое полушарие.
Note: * The value of p <0.05 was considered statistically significant. IQR ― interquartile range; NSE ― neuron-specific enolase; ОНМК ― acute cerebral circulatory failure; ЛП ― left hemisphere; ПП ― right hemisphere.
Ограничения исследования
Принимая во внимание одноцентровой ретроспективный характер и малую выборку, что является существенным ограничением настоящего исследования, мы не можем утверждать о неинформативности маркеров, не показавших своего прогностического значения. Следовательно, для уточнения диагностической информативности молекулярных маркеров необходимы дальнейшие исследования на большей выборке пациентов с изучением морфологических изменений головного мозга при острых нарушениях мозгового кровообращения в рамках персонализированной медицины [21–23].
ЗАКЛЮЧЕНИЕ
В качестве потенциальных факторов, ассоциированных с летальным исходом при ишемическом инсульте, рассмотрены некоторые клинико-демографические характеристики, нейровизуализационные и молекулярные маркеры. Выявлено, что признаки отёка/дислокации, а также объём инфаркта головного мозга более 90 мл3, зарегистрированные при поступлении в стационар, являются предикторами летального исхода. Следовательно, нейровизуализационные биомаркеры могут быть использованы для стратификации риска летального исхода у пациентов с ишемическим инсультом.
ДОПОЛНИТЕЛЬНО
Источник финансирования. Исследование выполнено при финансовом обеспечении НИР № FGWS-2022-0003 «Персонализированная оценка клеточно-молекулярных механизмов повреждения и восстановления центральной нервной системы» по государственному заданию.
Конфликт интересов. Авторы декларируют отсутствие явных и потенциальных конфликтов интересов, связанных с публикацией настоящей статьи.
Вклад авторов. А.М. Голубев, М.В. Петрова, А.Л. Парфенов, А.В. Гречко ― разработка концепции, общее руководство, редактирование текста рукописи; М.Л. Радутная, Е.Л. Бондарь, В.Е. Захарченко ― диагностика, сбор, обработка данных; А.С. Бабкина, М.А. Любомудров ― написание текста рукописи, анализ данных; М.Я. Ядгаров ― анализ данных, статистическая обработка, написание текста рукописи. Все авторы подтверждают соответствие своего авторства международным критериям ICMJE (все авторы внесли существенный вклад в разработку концепции, проведение исследования и подготовку статьи, прочли и одобрили финальную версию перед публикацией).
ADDITIONAL INFORMATION
Funding source. The study was carried out withthe financial support of research project No. FGWS-2022-0003 “Person-analyzed assessment of cellular and molecular mechanisms of damage and restoration of the central nervous system” according to the state assignment.
Competing interests. The authors declare that they have no competing interests.
Authors’ contribution. A.M. Golubev, M.V. Petrova, A.L. Parfenov, A.V. Grechko ― concept development, general management, manuscript editing; M.L. Radutnaya, E.L. Bondar, V.E. Zakharchenko ― diagnostics, data collection, data processing; A.S. Babkina, M.A. Lyubomudrov ― manuscript writing, data analysis; M.Y. Yadgarov ― data analysis, statistical processing, manuscript writing. All authors made a substantial contribution to the conception of the work, acquisition, analysis, interpretation of data for the work, drafting and revising the work, final approval of the version to be published and agree to be accountable for all aspects of the work.
Об авторах
Аркадий Михайлович Голубев
Федеральный научно-клинический центр реаниматологии и реабилитологии; Российский университет дружбы народов имени Патриса Лумумбы
Автор, ответственный за переписку.
Email: arkadygolubev@mail.ru
ORCID iD: 0000-0002-3165-0378
SPIN-код: 7890-2597
доктор медицинских наук, профессор
Россия, 107031, Москва, ул. Петровка, д. 25, стр. 2; МоскваМаргарита Леонидовна Радутная
Федеральный научно-клинический центр реаниматологии и реабилитологии
Email: mradutnaya@fnkcrr.ru
ORCID iD: 0000-0002-9181-2295
SPIN-код: 1077-5970
Россия, 107031, Москва, ул. Петровка, д. 25, стр. 2
Владислав Евгеньевич Захарченко
Федеральный научно-клинический центр реаниматологии и реабилитологии
Email: kdl-fnccrr@yandex.ru
ORCID iD: 0000-0003-4873-8007
SPIN-код: 1481-5666
Россия, 107031, Москва, ул. Петровка, д. 25, стр. 2
Анастасия Сергеевна Бабкина
Федеральный научно-клинический центр реаниматологии и реабилитологии
Email: asbabkina@gmail.com
ORCID iD: 0000-0003-1780-9829
SPIN-код: 2918-0460
кандидат медицинских наук
Россия, 107031, Москва, ул. Петровка, д. 25, стр. 2Марина Владимировна Петрова
Федеральный научно-клинический центр реаниматологии и реабилитологии; Российский университет дружбы народов имени Патриса Лумумбы
Email: mpetrova@fnkcrr.ru
ORCID iD: 0000-0003-4272-0957
SPIN-код: 9132-4190
доктор медицинских наук, профессор
Россия, 107031, Москва, ул. Петровка, д. 25, стр. 2; МоскваМаксим Алексеевич Любомудров
Федеральный научно-клинический центр реаниматологии и реабилитологии
Email: mlyubomudrov@fnkcrr.ru
ORCID iD: 0000-0002-1735-592X
SPIN-код: 4022-5096
Россия, 107031, Москва, ул. Петровка, д. 25, стр. 2
Михаил Яковлевич Ядгаров
Федеральный научно-клинический центр реаниматологии и реабилитологии
Email: mikhail.yadgarov@mail.ru
ORCID iD: 0000-0003-3792-1682
SPIN-код: 9654-6750
кандидат медицинских наук
Россия, 107031, Москва, ул. Петровка, д. 25, стр. 2Екатерина Леонидовна Бондарь
Федеральный научно-клинический центр реаниматологии и реабилитологии
Email: bondar@fnkcrr.ru
ORCID iD: 0000-0001-8641-9846
SPIN-код: 3727-2250
Россия, 107031, Москва, ул. Петровка, д. 25, стр. 2
Александр Леонидович Парфёнов
Федеральный научно-клинический центр реаниматологии и реабилитологии
Email: aparfenov@fnkcrr.ru
ORCID iD: 0000-0002-5012-0516
SPIN-код: 5952-1959
кандидат медицинских наук
Россия, 107031, Москва, ул. Петровка, д. 25, стр. 2Андрей Вячеславович Гречко
Федеральный научно-клинический центр реаниматологии и реабилитологии; Российский университет дружбы народов имени Патриса Лумумбы
Email: avgrechko@fnkcrr.ru
ORCID iD: 0000-0003-3318-796X
SPIN-код: 4865-8723
доктор медицинских наук, профессор, член-корр. РАН
Россия, 107031, Москва, ул. Петровка, д. 25, стр. 2; МоскваСписок литературы
- Feigin V.L., Stark B.A., Johnson C.O., et al. Global, regional, and national burden of stroke and its risk factors, 1990–2019: A systematic analysis for the Global Burden of Disease Study 2019 // Lancet Neurol. 2021. Vol. 20, N 10. Р. 795–820. doi: 10.1016/S1474-4422(21)00252-0
- ElAli A., LeBlanc J.N. The role of monocytes in ischemic stroke pathobiology: New avenues to explore // Front Aging Neurosci. 2016. N 8. Р. 29. doi: 10.3389/fnagi.2016.00029
- Montellano F.A., Ungethüm K., Ramiro L., et al. Role of blood-based biomarkers in ischemic stroke prognosis: A systematic review // Stroke. 2021. Vol. 52, N 2. Р. 543–551. doi: 10.1161/STROKEAHA.120.029232
- Atkinson A.J., Colburn W.A., DeGruttola A.G., et al. Biomarkers and surrogate endpoints: preferred definitions and conceptual framework // Clin Pharmacol Ther. 2001. Vol. 69, N 3. Р. 89–95. doi: 10.1067/mcp.2001.113989
- Jickling G.C., Sharp F.R. Blood biomarkers of ischemic stroke // Neurotherapeutics. 2011. Vol. 8, N 3. Р. 349–360. doi: 10.1007/s13311-011-0050-4
- Kamtchum-Tatuene J., Jickling G.C. Blood biomarkers for stroke diagnosis and management // Neuromolecular Med. 2019. Vol. 21, N 4. Р. 344–368. doi: 10.1007/s12017-019-08530-0
- Kawata K., Liu C.Y., Merkel S.F., et al. Blood biomarkers for brain injury: What are we measuring? // Neurosci Biobehav Rev. 2016. N 68. Р. 460–473. doi: 10.1016/j.neubiorev.2016.05.009
- Montaner J., Ramiro L., Simats A., et al. Multilevel omics for the discovery of biomarkers and therapeutic targets for stroke // Nat Rev Neurol. 2020. Vol. 16, N 5. Р. 247–264. doi: 10.1038/s41582-020-0350-6
- Голубев А.М., Гречко А.В., Захарченко В.Е., и др. Сравнительная характеристика содержания кандидатных молекулярных маркеров при ишемическом и геморрагическом инсульте // Общая реаниматология. 2021. Т. 17, № 5. С. 23–34. doi: 10.15360/1813-9779-2021-5-23-34
- Bernhardt J., Hayward K., Kwakkel G., et al. Agreed definitions and a shared vision for new standards in stroke recovery research: The stroke recovery and rehabilitation roundtable taskforce // Int J Stroke. 2017. Vol. 12, N 5. Р. 444–450. doi: 10.1177/1747493017711816
- Патент РФ на изобретение № 2533968 C1. Щедренок В.В., Захматов И.Г., Могучая О.В., и др. Способ определения объема внутримозгового образования. Режим доступа: https://yandex.ru/patents/doc/RU2533968C1_20141127?ysclid=lp3wl9pda049909988. Дата обращения: 15.11.2023.
- Wang J., Yu X.D., Li G.Q. Comparative study on short-term and long-term prognostic determinants in patients with acute cerebral infarction // Int J Clin Exp Med. 2015. Vol. 8, N 6. Р. 9855–9861.
- Meng X., Ji J. Infarct volume and outcome of cerebral ischaemia, a systematic review and meta-analysis // Int J Clin Pract. 2021. Vol. 75, N 11. Р. e14773. doi: 10.1111/ijcp.14773
- Du X., Liu Q., Li Q., et al. Prognostic value of cerebral infarction coefficient in patients with massive cerebral infarction // Clin Neurol Neurosurg. 2020. N 196. Р. 106009. doi: 10.1016/j.clineuro.2020.106009
- Laredo C., Zhao Y., Rudilosso S., et al. Prognostic significance of infarct size and location: The case of insular stroke // Sci Rep. 2018. Vol. 8, N 1. Р. 9498. doi: 10.1038/s41598-018-27883-3
- Kurakina А.S., Semenova T.N., Guzanova E.V., et al. Prognostic value of investigating neuron-specific enolase in patients with ischemic stroke // Sovrem Tekhnologii Med. 2021. Vol. 13, N 2. Р. 68–72. doi: 10.17691/stm2021.13.2.08
- Kawle A.P., Nayak A.R., Lande N.H., et al. Comparative evaluation of risk factors, outcome and biomarker levels in young and old acute ischemic stroke patients // Ann Neurosci. 2015. Vol. 22, N 2. Р. 70–77. doi: 10.5214/ans.0972.7531.220204
- Bharosay A., Bharosay V.V., Saxena K., Varma M. Role of brain biomarker in predicting clinical outcome in hypertensive cerebrovascular ischemic stroke // Indian J Clin Biochem. 2018. Vol. 33, N 2. Р. 178–183. doi: 10.1007/s12291-017-0664-3
- Huţanu A., Iancu M., Bălaşa R., et al. Predicting functional outcome of ischemic stroke patients in Romania based on plasma CRP, sTNFR-1, D-Dimers, NGAL and NSE measured using a biochip array // Acta Pharmacol Sin. 2018. Vol. 39, N 7. Р. 1228–1236. doi: 10.1038/aps.2018.26
- Anand N., Stead L.G. Neuron-specific enolase as a marker for acute ischemic stroke: A systematic review // Cerebrovasc Dis. 2005. Vol. 20, N 4. Р. 213–219. doi: 10.1159/000087701
- Острова И.В., Бабкина А.С., Любомудров М.А., и др. Применение фотохимического тромбоза для моделирования ишемического инсульта (обзор) // Общая реаниматология. 2023. Т. 19, № 3. С. 54–65. doi: 10.15360/1813-9779-2023-3-54-65
- Голубев А.М. Персонализированная медицина критических состояний (обзор) // Общая реаниматология. 2022. Т. 18, № 4. С. 45–54. doi: 10.15360/1813-9779-2022-4-45-54
- Бабкина А.С., Голубев А.М., Острова И.В., и др. Морфологические изменения головного мозга при COVID-19 // Общая реаниматология. 2021. Т. 17, № 3. С. 4–15. doi: 10.15360/1813-9779-2021-3-1-0
Дополнительные файлы




