Personalized approach to assessing the functional result of acute ischemic stroke
- Authors: Tynterova A.M.1, Barantsevich E.R.2, Shusharina N.N.1, Khoymov M.S.1
-
Affiliations:
- Immanuel Kant Baltic Federal University
- Academician I.P. Pavlov First St. Petersburg State Medical University
- Issue: Vol 6, No 1 (2024)
- Pages: 5-15
- Section: ORIGINAL STUDY ARTICLE
- Submitted: 21.11.2023
- Accepted: 22.01.2024
- Published: 22.03.2024
- URL: https://journals.eco-vector.com/2658-6843/article/view/623694
- DOI: https://doi.org/10.36425/rehab623694
- ID: 623694
Cite item
Full Text
Abstract
BACKGROUND: The main reason for the poor prognostic outcome in stroke patients is the polymorphism of cognitive and motor impairments.
AIM: The purpose of this study is to evaluate the impact of clinical and paraclinical factors on the functional outcome of the patient in the acute period of ischemic stroke based on statistical methodology.
MATERIALS AND METHODS: 160 patients of the primary vascular center with a diagnosis of “Ischemic stroke” were examined. Functional outcome parameters were designated as absolute values and were calculated as the difference between Montreal Cognitive Assessment (MoCA), National Institutes of Health Stroke Scale (NIHSS), Barthel Index (BI), Modified Rankin (mRS) scale scores before and after treatment. The following criteria were considered as factors influencing the prognosis of the functional result of acute stroke: demographic characteristics, parameters of cognitive function, stroke characteristics (localization, lateralization, subtype). Mathematical statistics was performed using the Python programming language and the Pandas and SciPy libraries.
RESULTS: The mathematical model developed in this study made it possible to identify the main neuropsychological and clinical indicators that negatively and positively affect the functional result of acute stroke. As the main factors influencing the functional result in relation to MoCA, impairments in the areas of attention, speech and executive function, age, indicators on the IQCODE and ASPECTS scales were identified. Apraxia, agnosia, executive dysfunction, sex, age, lesion side, IQCODE parameters influenced the prognosis of the degree of patient’s daily activity according to IB. Regression of neurological symptoms according to NIHSS depended on indicators in the field of perception, praxis, speech, IQCODE and ASPECTS values. Semantic aphasia, mnestic and executive dysfunction, apraxia, and IQCODE scores were important for the prognosis of disability degree according to mRS.
CONCLUSION: The use of discriminant analysis to predict the functional result will allow to create personalized diagnostic and therapeutic strategies for managing patients in the acute period of ischemic stroke. The predictive value of clinical and paraclinical markers in relation to the recovery of motor and cognitive function of patients may be useful in the further management of ischemic stroke.
Full Text
Список сокращений
ASPECTS (Alberta stroke programme early CT score) ― оценка ранних компьютерно-томографических изменений при инсульте
BI (Barthel Index) ― индекс Бартеля
IQCODE (Informant Questionnaire on Cognitive Decline in the Elderly) ― опросник информатора о снижении когнитивных функций у пожилых людей
MoCA (Montreal Cognitive Assessment) ― Монреальская шкала оценки когнитивных функций
mRS (Modified Rankin scale) ― модифицированная шкала Рэнкина
NIHSS (National Institutes of Health Stroke scale) ― шкала Национального института здоровья
ОБОСНОВАНИЕ
Во всём мире ишемический инсульт имеет доминирующее значение в структуре цереброваскулярных заболеваний, приводящих к смертности и инвалидизации [1, 2]. Основной причиной, определяющей неблагоприятный прогностический исход, нарушения бытовой независимости и социальной адаптации, является полиморфизм когнитивных и двигательных нарушений у пациентов, перенёсших инсульт [3]. К критериям неблагоприятного функционального исхода острого периода ишемического инсульта можно отнести такие показатели, как ограничение способности пациента к передвижению и самообслуживанию, наличие инвалидизирующих когнитивных нарушений [4]. С целью объективизации данных показателей используются валидные оценочные клинические шкалы в рамках стандарта обследования больных инсультом [5]. Традиционно в качестве факторов, влияющих на функциональный исход, рассматриваются демографические, когнитивные, лабораторные показатели и клинические характеристики инсульта [6, 7]. В связи с этим перспективным является стратегия прогнозирования исхода инсульта на основании математического моделирования с использованием клинических и параклинических параметров. Данное направление в рамках персонифицированной медицины позволяет объективизировать прогноз инсульта и оценить возможности восстановительной терапии пациентов, перенёсших инсульт [8, 9].
Цель исследования ― на основании статистической методологии оценить влияние клинических и параклинических факторов на функциональный исход острого ишемического инсульта.
МАТЕРИАЛЫ И МЕТОДЫ
Дизайн исследования
Обследовано 160 пациентов сосудистого центра ГБУЗ «Городская клиническая больница скорой медицинской помощи» (г. Калининград) с диагнозом ишемического инсульта, из них 76 (47,5%) мужчин, 84 (52,5%) женщины. Средний возраст пациентов составил 67,3±10,8 года. На момент госпитализации всем пациентам выполняли неврологический осмотр и стандартизированные методы обследования ― транскраниальную допплерографию экстра-/интракраниальных сосудов, электрокардиограмму в 12 отведениях, общеклинический и биохимический анализ крови, пульсоксиметрию. При необходимости в плановом порядке дополнительное обследование включало магнитно-резонансную и компьютерную ангиографию, эхокардиографию, холтеровское мониторирование электрокардиограмму, развёрнутую коагулограмму, обследование на наличие системных заболеваний, люмбальную пункцию. Нейропсихологическое тестирование проводилось на 2-й день госпитализации, оценка основных клинических шкал ― на момент поступления и после проведения базисной терапии и ранней реабилитации.
Критерии соответствия
Критерии включения: клинические признаки и симптомы, соответствующие диагнозу «ишемический инсульт в каротидном бассейне»; балл по NIHSS ≤16; ясный уровень сознания пациента на момент исследования.
Критерии исключения: ранее существующее неврологическое и психиатрическое заболевание, затрудняющее неврологическую и функциональную оценку; декомпенсация коморбидных состояний; наличие грубой моторной и сенсорной афазии; транзиторная ишемическая атака; инсульт в вертебробазилярном бассейне.
Условия проведения
Исследование выполнено на базе неврологического отделения ГБУЗ «Клиническая больница скорой медицинской помощи» (Калининград).
Продолжительность исследования
Исследование проведено в период с сентября 2022 по июль 2023 года.
Описание медицинского вмешательства
Дополнительных медицинских вмешательств медикаментозной и немедикаментозной природы в процессе исследования не проводилось.
Исходы исследования
Основной исход исследования. Параметры функционального исхода обозначались абсолютными значениями и вычислялись разницей между показателями по шкалам на момент поступления и выписки (показатель прироста/снижения, дельта, Δ) ― ΔMoCA, ΔNIHSS, ΔBI, ΔmRS.
Анализ в подгруппах
Все пациенты были стандартизированы по различным показателям: возраст, пол, течение заболевания, когнитивные нарушения, показатели функционального статуса. Согласно критериям TOAST (Trial of Org 10172 in Acute Stroke Treatment ― испытание препарата ORG 10172 в лечении острого инсульта) [10], атеротромботический подтип диагностирован у 44 (27,5%), кардиоэмболический у 66 (41,25%), лакунарный у 40 (25%), ишемический инсульт неустановленной этиологии у 10 (6,25%) пациентов. Ишемический инсульт в правой гемисфере выявлен у 71 (64,4%), в левой гемисфере ― у 89 (55,6%) пациентов.
Методы регистрации исходов
Локализацию ишемического инсульта оценивали по данным нейровизуализации. Начальные ишемические изменения в бассейне средней мозговой артерии оценивали с использованием шкалы ASPECTS (Alberta stroke programme early CT score ― оценка ранних компьютерно-томографических изменений при инсульте). Исследование показателей основных клинических шкал включало оценку когнитивного дефицита (Монреальская шкала оценки когнитивных функций, Montreal Cognitive Assessment, MoCA), тяжести инсульта (шкала Национального института здоровья, National Institutes of Health Stroke Scale, NIHSS), оценку повседневной активности пациента (индекс Бартеля, Barthel Index, BI) и степени инвалидизации (модифицированная шкала Рэнкина, Modified Rankin scale, mRS). Эпизодическую память исследовали путём оценки повторения 10 слов. Для оценки исполнительной функции применяли методику словесно-цветовой интерференции с использованием теста Струпа. Речевая функция исследовалась с помощью субшкал МоСА (тесты на повторение двух синтаксически сложных предложений, беглость речи) и оценки семантической афазии (понимание идиом). Для оценки перцепции использовали тесты для исследования предметного гнозиса (Бостонский тест называния) и симультанной агнозии. С целью оценки праксиса применяли тесты на конструктивный (тест срисовывания 4 геометрических фигур), идеаторный (выполнение сложных движений, включающих серию простых действий) и кинетический (тест кулак-ребро-ладонь) праксис. Для исследования уровня внимания применяли тест Бурдона. С целью выявления когнитивного снижения у пациента до инсульта применяли опросник IQCODE (Informant Questionnaire on Cognitive Decline in the Elderly ― опросник информатора о снижении когнитивных функций у пожилых людей), который позволяет ретроспективно оценить информацию о когнитивных функциях пациента в течение десятилетнего периода.
Этическая экспертиза
Данное проспективное когортное исследование одобрено независимым этическим комитетом Центра клинических исследований ФГАОУ ВО «Балтийский федеральный университет имени Иммануила Канта» (протокол № 2 от 27.04.2021).
Статистический анализ
Размер выборки предварительно не рассчитывался.
Математическая статистика выполнена с использованием языка программирования Python и библиотек Pandas и SciPy. Количественные показатели, имеющие нормальное распределение, описывали с помощью средних арифметических величин (M) и стандартных отклонений (SD). Для оценки взаимосвязи функционального исхода с параметрами различной модальности вычисляли коэффициент корреляции (r). С целью оптимального выбора метода вычисления показателя «r» показатели были классифицированы с учётом природы данных. Для данных, имеющих бинарный тип значений (пол, возраст, сторона поражения), показатели «r» вычисляли при помощи точечно-бисериального метода [11]. Для категориальных значений, включающих показатели локализации и подтипа инсульта, был применён метод визуализации данных. Для оценки корреляции непрерывных значений, включающих нейропсихологические признаки, исчисляемые в баллах, был выбран метод Фехнера, который используется для вычисления коэффициентов корреляции в небольших по объёму выборках. Наличие корреляции между величинами подтверждалось, если коэффициент превышал пороговое значение по модулю 0,2. Значимость показателя «r» статистически подтверждалась при помощи вычисления p-значения [12]. В качестве порога выбрано стандартное значение 0,05: если p-значение было менее 0,05, то коэффициент корреляции подтверждался статистически; коэффициенты корреляции с p-значением выше 0,05 исключали из рассмотрения. Для статистического подтверждения наличия различий между значениями параметров до и после лечения был применён тест Колмогорова–Смирнова.
РЕЗУЛЬТАТЫ
Объекты (участники) исследования
На момент проведения исследования состояние всех больных на фоне проведённой базисной терапии расценивалось как удовлетворительное. Все пациенты имели стабильную гемодинамику. На момент поступления все пациенты имели умеренную тяжесть инсульта по NIHSS (7,35±1,8 балла); умеренное ограничение дневной активности по BI (83,4±9,3 балла); умеренное нарушение жизнедеятельности по шкале mRS (3,3±1,6); умеренное нейрокогнитивное расстройство по шкале МоСА (21,7±2,9). Общий балл по IQCODE составил 85,0±4,2, что соответствовало доинсультным когнитивным нарушениям, выходящим за рамки возрастной нормы. Начальные ишемические проявления по шкале ASPECTS составили 8,71±1,6 балла. Анализ результатов нейропсихологического тестирования выявил снижение когнитивной функции во всех сферах. Показатель слухоречевой памяти (тест Лурия, норма ― 6 слов и более) составил 4,24±1,5 балла. Оценка исполнительной функции на основе эффекта Струпа (макс. 20 баллов) продемонстрировала снижение до 6,29±3,6 балла. В группе пациентов с ишемическим инсультом наблюдали значимые нарушения речевой функции (1,85±0,7 балла), затрагивающее аспекты беглости речи и повторения двух сложных лексических конструкций. Показатель семантической обработки информации (понимание идиом, макс. 3 балла) составил 2,04±1,8 балла. Конструктивный праксис был снижен до 4,17±0,8 балла, что соответствовало неправильному копированию 1 фигуры из 4. Идеаторный праксис у пациентов, перенёсших инсульт, составил 3,87±0,9 балла, что отражает в среднем невыполнение 1–2 из 5 предложенных инструкций. Снижение показателей по результатам Бостонского теста называния до 20,68±1,3 балла соответствовал лёгкому нарушению номинативной функции речи (при наличии потребности в фонематических подсказках) и зрительного восприятия (потребность в категориальных подсказках). Симультанный гнозис (макс. 1 балл) был снижен до 0,63±0,7, внимание (макс. 5 баллов) ― до 4,06±1,3 балла.
Основные результаты исследования
Анализ динамики показателей по основным клиническим шкалам выявил статистически значимое повышение уровня MoCA и BI, снижение показателей NIHSS и mRS после проведённой базисной терапии и раннего восстановительного лечения (рис. 1).
Рис. 1. Динамика показателей по основным клиническим шкалам до и после лечения.
Fig. 1. Dynamics of indicators on the main clinical scales before and after treatment.
Оценка влияния когнитивной дисфункции на параметры функционального исхода выявила корреляцию различной силы и направленности с показателями по шкалам MoCA, NIHSS, BI и mRS (рис. 2).
Рис. 2. Корреляция показателей когнитивной функции с параметрами функционального исхода.
Fig. 2. Correlation of cognitive function indicators with functional outcome parameters.
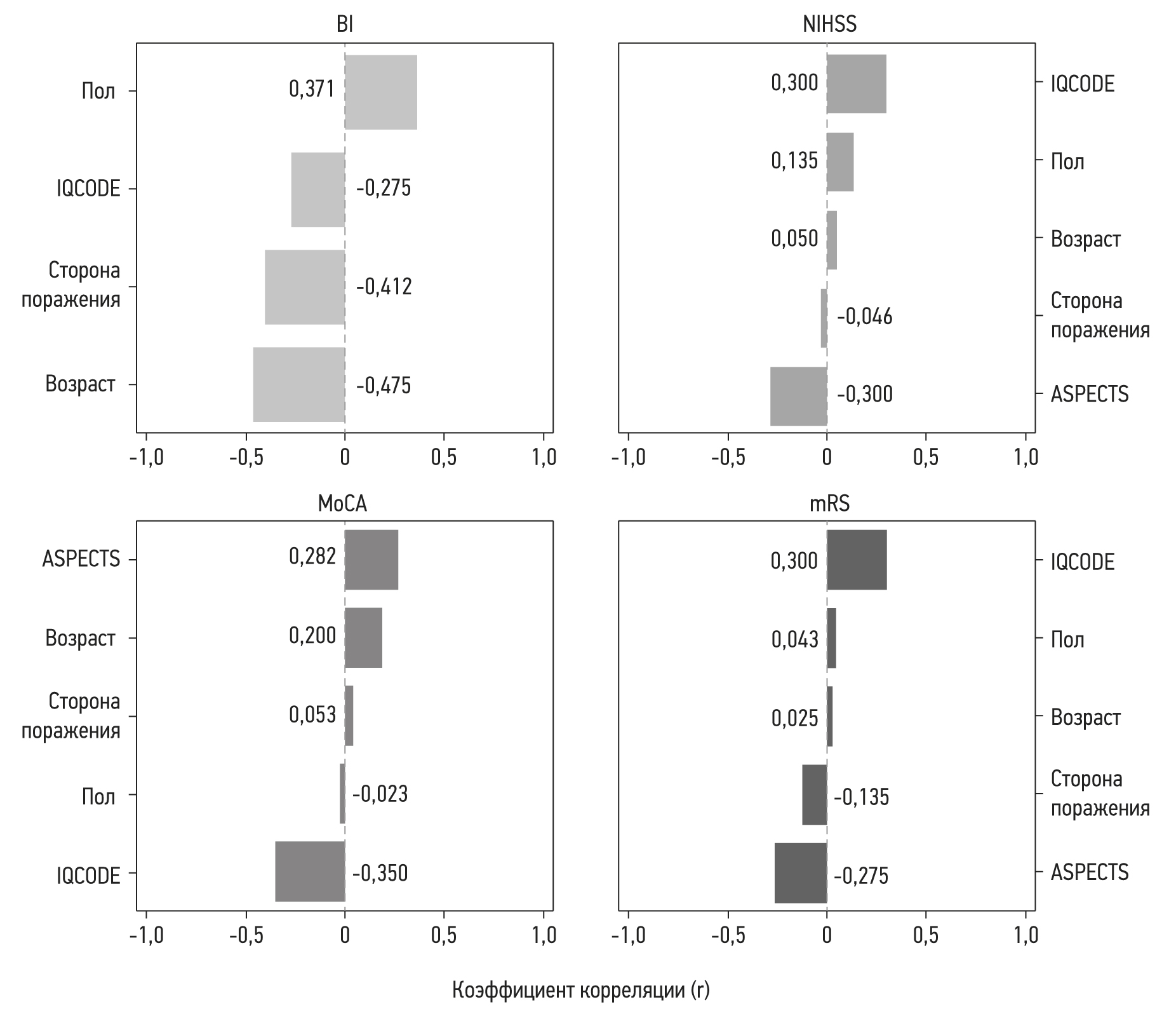
В отношении когнитивного показателя была выявлена наиболее значимая положительная корреляция суммарного показателя теста МоСА (ΔМоСА) с параметрами восприятия (r=0,325; p <0,0001) и речевой функции (r=0,325; p <0,0001), преимущественно за счёт снижения беглости речи; ΔBI ― c параметрами кинетического праксиса и восприятия (r=0,475; p <0,0001). Клинически выраженная отрицательная корреляция продемонстрирована между значениями ΔmRS с параметрами семантической афазии (r=-0,375; p <0,0001) и идеаторным праксисом (r=-0,325; p <0,0001), показателей ΔNIHSS ― с симультанной агнозией (r=-0,300; p <0,0001). Результаты оценки корреляционных взаимоотношений между основными характеристиками ишемического инсульта, суммарными значениями по клиническим шкалам и демографическими показателями представлены на рис. 3.
Рис. 3. Корреляция показателей ишемического инсульта с параметрами функционального исхода.
Fig. 3. Correlation of ischemic stroke indicators with functional outcome parameters.
Анализ взаимосвязи между основными демографическими показателями и параметрами функционального исхода выявил корреляцию ΔBI c возрастным (r=-0,475; p <0,0001) и гендерным (r=0,371; p <0,0001) показателем. В отношении показателей ΔMoCA, ΔNIHSS и ΔmRS корреляционных связей с демографическими показателями не выявлено (r <0,2; p >0,05). Латерализация инсульта (сторона поражения) также имела отрицательную корреляцию только с показателем ΔBI (r=-0,412; p <0,0001). Анализ корреляции степени IQCODE с показателями функционального исхода пациентов выявил отрицательную взаимосвязь с ΔBI (r=-0,275; p <0,0001) и ΔMoCA (r=-0,350; p <0,0001) и положительную с ΔNIHSS (r=0,300; p <0,0001) и ΔmRS (r=0,300; p <0,0001). Установлена корреляция разной направленности между показателем ASPECTS при поступлении с показателями ΔNIHSS (r=-0,300; p <0,0001), ΔMoCA (r=0,282; p <0,0001) и ΔmRS (r=-0,275; p <0,0001).
Корреляция между категориальными признаками (подтип и локализация ишемического инсульта) отсутствовала или была незаметна из-за недостаточного объёма выборки.
Разработанная в настоящем исследовании математическая модель позволила выявить основные нейропсихологические и клинические показатели, отрицательно и положительно влияющие на функциональный исход острого инсульта (рис. 4).
Рис. 4. Основные факторы, влияющие на функциональный исход.
Fig. 4. Main factors influencing functional outcome.
Нежелательные явления
В ходе исследования нежелательных явлений не отмечено.
ОБСУЖДЕНИЕ
Резюме основного результата исследования
Результаты исследования демонстрируют отрицательное и положительное влияние клинических и параклинических показателей на функциональный исход пациента в остром периоде ишемического инсульта. В качестве основных факторов, влияющих на функциональный исход в отношении МоСА, выявлены нарушения в сферах внимания, восприятия, речи и исполнительной функции, возраст, показатели по шкалам IQCODE, соответствующие наличию когнитивного снижения до развития ишемического инсульта, и ASPECTS (8–9 баллов). Влияние на прогноз восстановления дневной активности пациента по IB оказывали апраксия, агнозия, исполнительная дисфункция, пол, возраст, сторона поражения, параметры IQCODE. Регресс неврологической симптоматики по NIHSS зависел от показателей в сфере перцепции, праксиса, речи, значений IQCODE и ASPECTS. В отношении прогноза инвалидизации по mRS значение имели семантическая афазия, речевая дисфункция, апраксия, показатели IQCODE и ASPECTS.
Обсуждение основного результата исследования
Оценка влияния когнитивного статуса на параметры функционального исхода выявила значимость функции восприятия, включая симультанную агнозию в отношении дневной активности (BI), тяжести инсульта (NIHSS) и когнитивного статуса (МоСА). Нарушение перцепции затрудняет восстановление моторных и когнитивных функций после инсульта и приводит к снижению адаптации и качества жизни пациента. Полученные результаты согласуются с данными исследований, которые демонстрируют, что тяжесть постинсультных сенсорных нарушений негативно влияет на восстановление ежедневной активности и мобильности пациента [13–15]. Другими когнитивными расстройствами, влияющими на функциональный исход пациента, перенёсшего инсульт, являются апраксия и дизрегуляторный синдром. Нарушение в сферах кинетического праксиса и исполнительной функции ухудшает ежедневную активность пациента (BI), когнитивную функцию (МоСА) и усугубляет проявление инвалидизации (mRS).
Результаты данного исследования соответствуют немногочисленным литературным данным, демонстрирующим негативное влияние конструктивной и идеаторной апраксии на независимость пациента вследствие снижения автономии в выполнении различных повседневных действий и невербальной коммуникации [16, 17]. Речевая дисфункция, связанная с нарушением коммуникативных возможностей, коррелирует с неблагоприятным прогнозом восстановления когнитивной функции (МоСА), мобильности пациента (mRS) и регрессом неврологического дефицита (NIHSS), затрудняет возможности реабилитации и снижает вероятность возвращения пациента к привычной повседневной и профессиональной деятельности [18, 19]. Вербальный и невербальный семантический дефицит, связанный с исполнительным контролем и искажением семантических представлений, влияет на способность планировать и выполнять ряд двигательных задач, отражается на восстановлении мобильности и способствует инвалидизации пациента [20, 21]. Результаты демонстрируют лучшие показатели функционального исхода по критерию «повседневная активность» у пациентов мужского пола и более молодого возраста и подтверждают статистические данные, полученные рядом исследователей в отношении влияния возраста и гендерных признаков на степень постинсультной инвалидизации [22, 23].
Оценка в отношении корреляционных взаимоотношений латерализации инсульта и параметров функционального исхода выявила значимую связь только в отношении BI, что соответствовало менее благоприятному функциональному исходу у пациентов с поражением левой гемисферы по критерию «повседневная дневная активность». Данные результаты объективны с точки зрения анатомо-функциональных и гемодинамических аспектов, которые обусловливают более выраженный неврологический дефицит и худший исход у пациентов с инсультом в левой гемисфере в сравнении с правосторонним поражением [24]. Однако отсутствие корреляционных взаимоотношений стороны инсульта с другими критериями оставляют данный вопрос дискутабельным, требующим проведения исследований, ориентированных на изучение роли латерализации в функциональном исходе острого ишемического инсульта [25].
Результаты демонстрируют показатель доинсультного когнитивного снижения как значимый маркер в отношении функционального исхода. Преморбидные умеренные когнитивные нарушения и деменция способствуют повышению уровня инвалидизации, снижают степень восстановления двигательных и когнитивных функций и повседневной активности, что отражается на возможностях социально-бытовой адаптации пациентов, перенёсших инсульт. Внедрение IQCODE в диагностику когнитивной дисфункции в остром периоде ишемического инсульта является полезным инструментом в прогнозировании функционального исхода пациента и возможностей восстановительного лечения [26].
Оценка ранних признаков ишемии (ASPECTS) в данном исследовании также представляет собой информативный признак функционального исхода по критериям тяжести инсульта, когнитивной функции и инвалидизации. Однако узкие рамки критериев включения не позволяют рассматривать данный критерий как достоверный и специфичный, что обусловливает целесообразность проведения исследований с оценкой различных нейровизуализационных параметров в качестве независимых факторов, влияющих на прогноз восстановления пациентов в остром периоде ишемического инсульта [27].
Ограничения исследования
Основным ограничением настоящего исследования является исключение из регистрационных данных больных с тяжёлым инсультом, что обусловлено невозможностью выполнения нейропсихологического тестирования пациентов с NIHSS >15 баллов.
ЗАКЛЮЧЕНИЕ
Разработка и применение математических моделей для прогноза функционального исхода позволит сформировать персонифицированные диагностические и терапевтические стратегии ведения пациентов в остром периоде ишемического инсульта. Прогностическая ценность клинических и параклинических маркеров в отношении восстановления двигательной и когнитивной функции пациентов может быть полезна в дальнейшем менеджменте ишемического инсульта.
ДОПОЛНИТЕЛЬНАЯ ИНФОРМАЦИЯ
Источник финансирования. Исследование проведено в рамках проекта «Приоритет 2030» в Балтийском федеральном университете имени Иммануила Канта.
Конфликт интересов. Авторы декларируют отсутствие явных и потенциальных конфликтов интересов, связанных с проведённым исследованием и публикацией настоящей статьи.
Вклад авторов. А.М. Тынтерова ― концепция и дизайн исследования, отбор пациентов для исследования, подготовка текста; Е.Р. Баранцевич ― редактирование; Н.Н. Шушарина ― научный менеджмент, статистическая обработка данных; М.С. Хоймов ― статистическая обработка данных. Авторы подтверждают соответствие своего авторства международным критериям ICMJE (авторы внесли существенный вклад в разработку концепции, проведение исследования и подготовку статьи, прочли и одобрили финальную версию перед публикацией).
ADDITIONAL INFORMATION
Funding source. This study was conducted within the framework of the Imannuel Kant Baltic Federal University “Priority 2030 project”.
Competing interests. The authors declare that they have no competing interests.
Authors’ contributions. A.M. Tynterova ― concept and design of the study, selection of patients for research, preparation of the text; E.R. Barantsevich ― editing; N.N. Shusharina ― scientific management, statistical data processing; M.S. Khoymov ― statistical data processing. All authors made a substantial contribution to the conception of the work, acquisition, analysis, interpretation of data for the work, drafting and revising the work, final approval of the version to be published and agree to be accountable for all aspects of the work.
About the authors
Anastasya M. Tynterova
Immanuel Kant Baltic Federal University
Author for correspondence.
Email: antynterova@mail.ru
ORCID iD: 0000-0003-1743-4713
SPIN-code: 2999-5812
MD, Cand. Sci. (Medicine), Associate Professor
Russian Federation, KaliningradEvgenii R. Barantsevich
Academician I.P. Pavlov First St. Petersburg State Medical University
Email: professorerb@yandex.ru
ORCID iD: 0000-0003-3804-3877
SPIN-code: 9715-2844
MD, Dr. Sci. (Medicine), Professor
Russian Federation, Saint PetersburgNatalia N. Shusharina
Immanuel Kant Baltic Federal University
Email: nshusharina@kantiana.ru
ORCID iD: 0000-0002-8848-6134
SPIN-code: 6223-5146
Cand. Sci. (Pedagogy)
Russian Federation, KaliningradMatvey S. Khoymov
Immanuel Kant Baltic Federal University
Email: matthewkhoimov@gmail.com
ORCID iD: 0000-0001-8056-2019
Russian Federation, Kaliningrad
References
- Ivanova GE, Melnikova EV, Shmonin AA, et al. Medication support of the rehabilitation process in acute cerebral circulatory disorders. Consilium Medicum. 2016;18(2-1):20-24. EDN: WBDETF
- Owolabi MO, Thrift AG, Mahal A, et al. Primary stroke prevention worldwide: Translating evidence into action. Lancet Public Health. 2021;7(1):e74-e85. EDN: KVBPXA doi: 10.1016/S2468-667(21)00230-9
- Levin OS, Bogolepova AN. Poststroke motor and cognitive impairments: Clinical features and current approaches to rehabilitation. S.S. Korsakov journal of neurology and psychiatry. 2020;120(11): 99-107. EDN: VZORCZ doi: 10.17116/jnevro202012011199
- Yao YY, Wei ZJ, Zhang YC, et al. Functional disability after ischemic stroke: A Community-Based Cross-Sectional Study in Shanghai, China. Front Neurol. 2021;12:649088. doi: 10.3389/fneur.2021.649088
- Kasner SE. Clinical interpretation and use of stroke scales. Lancet Neurol. 2006;5(7):603-612. doi: 10.1016/S1474-4422(06)70495-1
- Ratha Krishnan R, Yeo EQ, Lim CJ, Chua KS. The impact of stroke subtype on recovery and functional outcome after inpatient rehabilitation: A retrospective analysis of factors. Life (Basel). 2022;12(9):1295. EDN: GLNQCH doi: 10.3390/life12091295
- Zhou J, Liu F, Zhou M, et al. Functional status and its related factors among stroke survivors in rehabilitation departments of hospitals in Shenzhen, China: A cross-sectional study. BMC Neurol. 2022;22(1):173. EDN: TAWHDH doi: 10.1186/s12883-022-02696-0
- Novikova LB, Akopyan AP, Latypova RF. Evaluation of the outcome in ischemic stroke acute period. Annals of clinical and experimental neurology. 2022;16(4):5-11. EDN: PTAFKE doi: 10.54101/ACEN.2022.4.1
- Stakhovskaya LV, Klochikhina OA, Korotkevich IA. Analysis of prognostic indicators-predictors of death in stroke patients. Astrakhanskii meditsinskii zhurnal. 2018;13(2):97-103. EDN: XURHJB doi: 10.17021/2018.13.2.97.103
- Adams HP, Bendixen BH, Kappelle LJ, et al. Classification of subtype of acute ischemic stroke. Definitions for use in a multicenter clinical trial. TOAST. Trial of Org 10172 in Acute Stroke Treatment. Stroke. 1993;24(1):35-41. doi: 10.1161/01.str.24.1.35
- SSRN [Internet]. Senthilnathan Samithamby. Usefulness of correlation analysis [July 9, 2019]. doi: 10.2139/ssrn.3416918
- Akoglu H. User’s guide to correlation coefficients. Turk J Emerg Med. 2018;18(3):91-93. doi: 10.1016/j.tjem.2018.08.001
- Tikhomirov GV, Grigoryeva VN. Visual object agnosia for complex shapes in patients with acute ischemic stroke. Practical medicine. 2019;17(7):107-110. EDN: GTMVAX doi: 10.32000/2072-1757-2019-7-107-110
- Hazelton C, Thomson K, Todhunter-Brown A, et al. Interventions for perceptual disorders following stroke. Cochrane Database Syst Rev. 2022;11(11):CD007039. doi: 10.1002/14651858.CD007039
- Babik I, Gardner ES. Factors affecting the perception of disability: A developmental perspective. Front Psychol. 2021;12:702166. doi: 10.3389/fpsyg.2021.702166
- Aguilar-Ferrándiz ME, Toledano-Moreno S, García-Ríos MC, et al. Effectiveness of a functional rehabilitation program for upper limb apraxia in poststroke patients: A randomized controlled trial. Arch Phys Med Rehabil. 2021;102(5):940-950. doi: 10.1016/j.apmr.2020.12.015
- Donkervoort M, Dekker J, Deelman BG. Sensitivity of different ADL measures to apraxia and motor impairments. Clin Rehabil. 2002;16(3):299-305. doi: 10.1191/0269215502cr492oa
- Kernbach JM, Hartwigsen G, Lim JS, et al. Bayesian stroke modeling details sex biases in the white matter substrates of aphasia. Commun Biol. 2023;6(1):354. doi: 10.1038/s42003-023-04733-1
- Kurushina OV, Barulin AE, Kurakova EA, Ansarov HSh. Speech disorders and their correction in post-stroke patients. Medical council. 2017;(5):28-32. EDN: WCVFDU doi: 10.21518/2079-701X-2017-5-28-32
- Chapman CA, Hasan O, Schulz PE, et al. Evaluating the distinction between semantic knowledge and semantic access: Evidence from semantic dementia and comprehension-impaired stroke aphasia. Psychon Bull Rev. 2020;27(4):607-639. EDN: ONWWGG doi: 10.3758/s13423-019-01706-6
- Ralph MA, Jefferies E, Patterson K, et al. The neural and computational bases of semantic cognition. Nat Rev Neurosci. 2017;18(1):42-55. doi: 10.1038/nrn.2016.150
- Maximova MYu, Sazonova VYu, Ayrapetova AS. Gender features in cerebrovascular disorders in different age groups. Annals of clinical and experimental neurology. 2019;13(3):11-19. EDN: JAFPMN doi: 10.25692/ACEN.2019.3.2
- Rexrode KM, Madsen TE, Yu AY, et al. The impact of sex and gender on stroke. Circ Res. 2022;130(4):512-528. EDN: GIMGMR doi: 10.1161/CIRCRESAHA.121.319915
- Kim G, Min D, Lee EO, et al. Impact of co-occurring dysarthria and aphasia on functional recovery in post-stroke patients. Ann Rehabil Med. 2016;40(6):1010-1017. doi: 10.5535/arm.2016.40.6.1010
- Kongsawasdi S, Klaphajone J, Watcharasaksilp K, et al. Prognostic factors of functional recovery from left hemispheric stroke. Scientific World J. 2018;2018:4708230. EDN: VHEOBM doi: 10.1155/2018/4708230
- Van Nieuwkerk AC, Pendlebury ST, Rothwell PM; Oxford Vascular Study. Accuracy of the informant questionnaire on cognitive decline in the elderly for detecting preexisting dementia in transient ischemic attack and stroke: A population-based study. Stroke. 2021;52(4): 1283-1290. doi: 10.1161/STROKEAHA.120.031961
- Demeestere J, Scheldeman L, Cornelissen SA, et al. Alberta stroke program early CT score versus computed tomographic perfusion to predict functional outcome after successful reperfusion in acute ischemic stroke. Stroke. 2018;49(10):2361-2367. doi: 10.1161/STROKEAHA.118.021961
Supplementary files






