Results of functional electrical stimulation of leg muscles during walking in a patient in the early recovery period after a stroke
- 作者: Skvortsov D.V.1,2,3, Klimov L.V.1, Lobunko D.A.1, Kaurkin S.N.1,2
-
隶属关系:
- Federal Center of Brain Research and Neurotechnologies
- The Russian National Research Medical University named after N.I. Pirogov
- Federal Research and Clinical Center of Specialized Medical Care and Medical Technologies
- 期: 卷 6, 编号 1 (2024)
- 页面: 73-83
- 栏目: CASE REPORT
- ##submission.dateSubmitted##: 31.01.2024
- ##submission.dateAccepted##: 08.02.2024
- ##submission.datePublished##: 22.03.2024
- URL: https://journals.eco-vector.com/2658-6843/article/view/626296
- DOI: https://doi.org/10.36425/rehab626296
- ID: 626296
如何引用文章
全文:
详细
Acute cerebrovascular accident throughout the world remains the main cause of subsequent disability in persons who have suffered a stroke.
One promising area is neuromuscular stimulation. Functional electrical stimulation is a subtype of neuromuscular stimulation in which stimulation promotes functional and goal-oriented movements in the individual.
A course of functional electrical stimulation was administered while walking to a 74-year-old patient in the late recovery period of an ischemic stroke (the right middle cerebral artery). 14 procedures were performed lasting from 20 to 30 minutes. Before and after the functional electrical stimulation course, a clinical study and a study of the biomechanics of walking were conducted.
The results obtained showed an improvement in clinical indicators, inconsistent changes in the time parameters of the step cycle, an increase in amplitudes in the hip and knee joints, as well as normalization of the function of the knee and ankle joints of the paretic side. Functional EMG research showed both an improvement in muscle activity and normalization of their activity profile, as well as processes of function restructuring that require further study.
During functional electrical stimulation, there were no negative reactions from the patient or irritation of the skin at the locations of the electrodes.
The method of functional electrical stimulation requires further study and reasonable application in this category of patients.
全文:
Список сокращений
МКФ ― Международная классификация функционирования, ограничений жизнедеятельности и здоровья
ФЭС ― функциональная электрическая стимуляция
ЭМГ ― электромиография
АКТУАЛЬНОСТЬ
Острое нарушение мозгового кровообращения остаётся основной причиной развития последующей инвалидизации у пациентов во всём мире [1]. При инсульте нарушается ряд неврологических функций, из них наиболее частыми являются двигательные расстройства [2].
Оптимизация и разработка новых методов медикаментозной терапии в острой фазе инсульта увеличили выживаемость пациентов, а вместе с тем и количество лиц, нуждающихся в последующей реабилитации. Данный результат повышает нагрузку на систему здравоохранения, что обусловливает актуальность создания новых подходов восстановления утраченных функций [3].
Ключевые принципы реабилитации после инсульта включают функциональный подход, ориентированный на конкретные виды деятельности, частые и интенсивные занятия, которые начинаются уже в первые дни или недели после инсульта [4]. Эти общие принципы применяются в медицинских учреждениях, осуществляющих лечение и реабилитацию пациентов с инсультом, при активном взаимодействии как самого пациента, так и членов мультидисциплинарной реабилитационной команды. По этой причине были разработаны различные методы реабилитации, основанные на парадигмах моторного обучения, с целью оптимизации восстановления нарушенных движений у пациентов, перенёсших острое нарушение мозгового кровообращения [5, 6].
В контексте двигательных расстройств у пациентов, перенёсших инсульт, показано, что функция ходьбы является важным навыком в повседневной активности. Возрастает значимость использования различных реабилитационных методов для эффективного улучшения навыка ходьбы. Необходима разработка новых реабилитационных подходов восстановления функции ходьбы, в первую очередь с позиции функциональной направленности [7].
Одним из новых направлений восстановления утраченных функций является нейромышечная стимуляция. Данная методика относится к электростимуляции, используемой при восстановлении утраченных движений [8].
Функциональная электрическая стимуляция (ФЭС) ― это подтип нейромышечной стимуляции, при котором стимуляция способствует функциональным и целенаправленным движениям. Примером функциональных движений являются поднятие книги со стола, ходьба и другие действия. Мышцы, а также последовательность, в которой они сокращаются, подбираются специально для выполнения желаемого движения [9].
В настоящее время сообщается, что в дополнение к ранее признанной эффективности терапии ФЭС в улучшении мышечной силы нижней конечности на стороне пареза метод способствует также улучшению чувствительности, в частности проприоцептивному восприятию на поражённой стороне [10]. Помимо этого, показано, что выполнение реабилитационных упражнений в положении стоя и упражнений для восстановления ходьбы при использовании устройства для ФЭС-терапии не только приводит к лучшему функциональному улучшению, но и вызывает бÓльшую активность, чем обычная реабилитационная терапия, при оценке функциональной деятельности головного мозга [11]. Опубликованные исследования выявили, что терапия ФЭС повышает пластичность мозга за счёт увеличения стимуляции центральной нервной системы посредством сенсорной обратной связи, что в свою очередь усиливает восприятие и активность на стороне пареза. Используемый метод приводит к увеличению толерантности к интенсивным нагрузкам и функциональному улучшению, а также вызывает синергетический эффект, демонстрируя эффективность комбинированной терапии в повышении способности ходить и стоять по сравнению с индивидуальной терапией [12].
В настоящее время на базе Федерального государственного бюджетного учреждения «Федеральный центр мозга и нейротехнологий» Федерального медико-биологического агентства (ФГБУ ФЦМН ФМБА России) проходит апробация методики ФЭС мышц при ходьбе у пациентов с впервые выявленным полушарным ишемическим инсультом.
ОПИСАНИЕ СЛУЧАЯ
О пациенте
Пациент Д., 74 года. Клинический диагноз: «Поздний восстановительный период ишемического инсульта в бассейне правой средней мозговой артерии от 08.12.2022, кардиоэмболический патогенетический вариант. Дизартрия. Левосторонний гемипарез. Шкала реабилитационной маршрутизации 4 балла».
С момента начала заболевания прошло 195 дней. На момент осмотра жалобы на слабость в левых конечностях, шаткость и неустойчивость при ходьбе.
Цель на данном этапе медицинской реабилитации: через 18 дней пациент должен проходить не менее 300 м по ровной поверхности с опорой на трость.
Реабилитационные мероприятия
Пациенту проводились реабилитационные мероприятия по индивидуально подготовленной программе, в которую вошли индивидуальные занятия с медицинским психологом (нейропсихологом); тренировка на аппарате для улучшения баланса с технологией биологической обратной связи; тренировка на реабилитационной дорожке; физиотерапевтическое лечение (ультразвуковая терапия) на область левого плечевого сустава; индивидуальные занятия лечебной физкультурой при заболеваниях центральной нервной системы общей продолжительностью 180 минут; в программу курса включена также методика ФЭС.
Проведено 14 процедур с многоканальной ФЭС, направленных на увеличение амплитуд тазобедренного, коленного, голеностопного суставов; увеличение длины шага паретичной конечности; повышение стабильности левого коленного сустава в период опоры; восстановление нормального положения стопы в период переноса.
Время стимуляции варьировало от 20 до 30 минут в зависимости от общего самочувствия пациента. Процедуры пациент переносил хорошо. В процессе реабилитации не отмечено болевых ощущений. После процедуры пациент отмечал ощущение лёгкости при ходьбе.
Методика оценки функции ходьбы
Исследование биомеханики походки выполняли с помощью комплекса «Стэдис» (Нейрософт, Иваново). Использовано 7 инерционных сенсоров, каждый сенсор содержит по два канала электромиографической регистрации. Сенсоры размещаются на крестце, наружных поверхностях средней трети бедра, наружной лодыжке и подъёме стопы на обеих нижних конечностях. Электромиография (ЭМГ) регистрировалась с основных мышц сгибателей-разгибателей: передней большеберцовой мышцы (tibialis anterior, TА), обеих икроножных мышц (gastrocnemius, GM), четырёхглавой мышцы бедра (quadriceps femoris, QF), двуглавой мышцы бедра (biceps femoris, BF). ЭМГ регистрировали одноразовыми электродами Mederen (Израиль).
Инерционные сенсоры передают данные через сеть Wi-Fi в компьютер с регистрирующей программой. Регистрация параметров осуществляется в момент самостоятельного активного двигательного акта ― ходьбы пациента по ровной поверхности в удобном темпе на расстояние 40 м. Проводится автоматический анализ данных с помощью нейросети. Регистрация завершалась при достижении 40 циклов шага.
Программное обеспечение определяло циклы шага для паретичной и контралатеральной конечности и в соответствии с этим рассчитывало другие параметры цикла шага. Регистрировались пространственные, временные, кинематические и биомеханические параметры.
Временные периоды цикла шага (в % от времени цикла шага): период опоры, период одиночной опоры, начало второй двойной опоры (параметр начала цикла шага другой ноги).
Кинематические параметры регистрировались для тазобедренного, коленного и голеностопного суставов в сагиттальной плоскости (сгибание-разгибание) с построением гониограмм и максимальных амплитуд движения в суставах за цикл шага.
ЭМГ мышц анализировали максимально развиваемую амплитуду за цикл шага (в мкВ).
Методика ФЭС-тренировки
Для проведения ФЭС-тренировки использована модификация сенсоров, где два канала ЭМГ заменены двумя каналами электростимуляции. По результатам биомеханического исследования ходьбы, для последующей ФЭС определены те же основные сгибатели-разгибатели, что и для диагностики. Применены два устройства, одно из которых фиксировалось эластичными манжетами на бедре, другое ― на голени. Для стимуляции использовали адгезивные электроды (Fiab, Италия). Электроды располагали стандартно в соответствии с рекомендациями [13]. Для каждой из мышечных групп был использован режим стимуляции с частотой 70 Гц и длительностью импульса 50 мс. Начало и завершение стимуляции в цикле шага устанавливались также стандартно в соответствии с рекомендациями [13]. Интенсивность стимуляции (величина тока) устанавливалась традиционно для этого метода при выполнении двух условий ― видимой реакции мышцы на пробный стимул и соответствующего действия в суставе (коленном или голеностопном в зависимости от мышц). С постепенным увеличением тока на пробных стимуляциях устанавливался ток ниже болевого порога для данной мышцы. Эта настройка тока выполнялась при каждой стимуляции, поскольку индивидуальная чувствительность может варьировать. Синхронизация начала и завершения стимуляции в цикле шага выполнялась с помощью автоматического алгоритма определения цикла шага. Для этого регистрировали данные инерционного сенсора в устройстве на голени (область наружной лодыжки), которые затем обрабатывались автоматически с использованием нейросети для определения цикла шага и других параметров [14]. Цикл шага определялся с точностью до 0,021±0,091 секунды.
Стимуляцию проводили при ходьбе пациента по коридору длиной около 15 м, при этом автоматический алгоритм работал так, что при поворотах (в конце коридора) стимуляция отключалась и продолжалась при установившемся цикле шага (как правило, на второй-третий цикл после поворота). Стимуляцию продолжали до утомления пациента.
Оценка результатов по функциональным и клиническим шкалам
До и после курса ФЭС производилась оценка результатов по клиническим (табл. 1) и функциональным (табл. 2) шкалам в доменах Международной классификации функционирования, ограничений жизнедеятельности и здоровья (МКФ), а также исследование временных параметров ходьбы (рис. 1).
Таблица 1. Оценка паретичной конечности по клиническим шкалам до и после проведения функциональной электрической стимуляции
Table 1. Clinical scale assessment of the paretic limb before and after functional electrical stimulation
Параметр | До | После | |
Сила в исследуемой конечности по шкале MRC, балл | Сгибание/разгибание бедра | 4 | 4 |
Сгибание/разгибание колена | 4 | 4 | |
Сгибание/разгибание стопы | 3 | 3 | |
Мышечный тонус по модифицированной шкале Ашфорта, балл | Сгибание/разгибание бедра | 0 | 0 |
Сгибание/разгибание колена | 0 | 0 | |
Сгибание/разгибание стопы | 0 | 1 | |
Примечание. MRC (Medical Research Council) ― шкала количественной оценки мышечной силы.
Note. MRC (Medical Research Council) ― scale for quantitative assessment of muscle strength.
Таблица 2. Оценка по функциональным шкалам и возможностям пациента в доменах МКФ до и после курса функциональной электрической стимуляции
Table 2. Assessment of the functional scales and capabilities of the patient in the ICF domains before and after functional electrical stimulation
Параметр | До | После | |
МКФ | d770 Функция стереотип ходьбы | 2 | 1 |
d4551 Преодоление препятствий | 2 | 1 | |
d4500 Ходьба на короткие расстояния | 2 | 1 | |
Функциональные шкалы | Динамический индекс ходьбы | 14 | 18 |
Тест «Встань и иди» | 45 | 23 | |
Примечание. МКФ ― Международная классификация функционирования, ограничений жизнедеятельности и здоровья.
Note. МКФ (ICF) ― International Classification of Functioning, Disability and Health.
Рис. 1. Временные периоды цикла шага до и после функциональной электрической стимуляции. ПО ― период опоры; ОО ― период одиночной опоры; НВД ― начало второй двойной опоры.
Fig. 1. Time periods of the step cycle before and after functional electrical stimulation. ПО ― period of support; ОО ― period of single support; НВД ― beginning of the second double support.
В результате проведённого курса реабилитации на паретичной стороне произошли следующие изменения: снизилось значение периода опоры, что является положительной динамикой. Значение периода одиночной опоры и значение параметра начала второй двойной опоры снизились, что представляет собой обратную динамику. Таким образом, по временны´м характеристикам имеются противоречивые изменения на паретичной стороне. Для здоровой стороны динамика также противоречива: увеличение периода опоры свидетельствует о том, что здоровая нога стала больше выполнять поддерживающую и разгружающую функцию. Период одиночной опоры имеет положительную динамику (увеличение значения), и параметр начала второй двойной опоры не изменился.
В результате проведённого курса значительно возросла амплитуда движений в тазобедренном суставе паретичной стороны (рис. 2), в меньших значениях отмечались изменения для здоровой стороны; наблюдалось увеличение амплитуды и для обоих коленных суставов, а также снижение амплитуды в голеностопном суставе паретичной стороны.
Рис. 2. Амплитуды движений в суставах нижней конечности (в градусах) до и после курса лечения.
Fig. 2. Amplitudes of movements in the lower limb joints (in degrees) before and after the treatment.
Результаты исследования движений в коленных и голеностопных суставах до и после курса представлены на рис. 3. Так, движение в коленном суставе паретичной ноги увеличилось на 4 градуса, но, что самое важное, общий вид гониограммы стал соответствовать таковой в норме. Увеличилась также амплитуда движений в коленном суставе на здоровой стороне с 49 до 57 градусов. В голеностопном суставе паретичной стороны произошло снижение амплитуды движений на 3 градуса за счёт уменьшения разгибания голеностопного сустава при постановке стопы на опору (foot drop).
Рис. 3. Гониограммы коленных и голеностопных суставов для левой и правой стороны до проведения функциональной электрической стимуляции. Цифрами и линиями выше гониограмм даны соответствующие значения максимальных амплитуд за цикл шага. Л ― левая сторона; П ― правая сторона; ЦШ ― цикл шага. Вверху расположены гониограммы до курса реабилитации, внизу — после реабилитации.
Fig. 3. Goniograms of the knee and ankle joints for the left (Л) and right (П) sides before functional electrical stimulation. Above the goniograms, the corresponding values of the maximum amplitudes per step cycle are indicated by numbers and lines. ЦШ ― step cycle. Goniograms are located at the top before the rehabilitation course, at the bottom ― after rehabilitation.
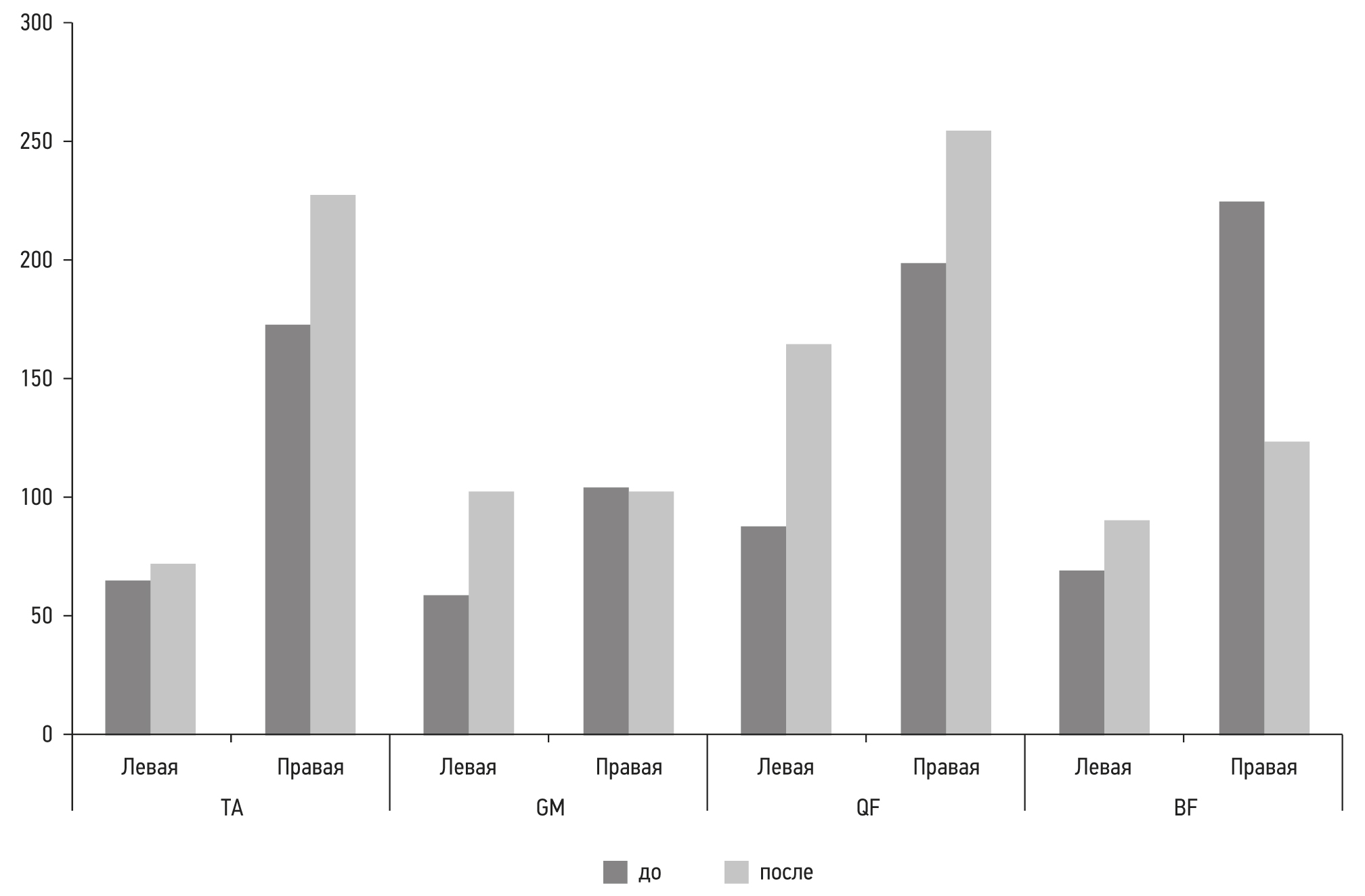
Результаты ЭМГ-исследования стимулируемых мышц до и после курса представлены на рис. 4. По окончании курса показатели амплитуд ЭМГ всех стимулируемых мышц на стороне пареза увеличили свои значения. Аналогичное изменение произошло для передней большеберцовой мышцы, четырёхглавой мышцы бедра на здоровой стороне. Значения амплитуд для икроножной и двуглавой мышцы бедра снизили своё значение.
Рис. 4. Максимальная биоэлектрическая активность мышц (в мкВ) во время ходьбы до и после курса лечения. TA (tibialis anterior) ― передняя большеберцовая мышца; GM (gastrocnemius) ― икроножная мышца; QF (quadriceps femoris) ― четырёхглавая мышца бедра; BF (biceps femoris) ― двуглавая мышца бедра.
Fig. 4. Maximum bioelectric muscle activity (μV) during walking before and after treatment. TA ― anterior tibial muscle; GM ― triceps tibial muscle; QF ― quadriceps femoris; BF ― biceps femoris.
ОБСУЖДЕНИЕ
По итогу реабилитационного курса достигнута поставленная цель: через 18 дней пациент проходит 300 м с опорой на трость по ровной поверхности. Выявлены положительные изменения по оценкам функциональных шкал.
Биомеханическое исследование ходьбы до и после курса ФЭС дало относительно противоречивые результаты по временным характеристикам цикла шага. С одной стороны, произошло уменьшение почти до нормативного значения периода опоры на паретичной стороне, с другой ― параметры периода одиночной опоры и начала второй двойной опоры продемонстрировали отрицательную динамику. Вероятнее всего, мы наблюдаем эффект происходящей моторной перестройки, однако для выяснения этого необходимо дальнейшее исследование.
Со стороны функции суставов имеются совершенно однонаправленные изменения: это увеличение амплитуды движений в тазобедренных и коленных суставах обеих сторон, нормализация гониограммы коленного сустава паретичной стороны и снижение амплитуды в голеностопном суставе паретичной стороны. При этом данное снижение является позитивным симптомом, поскольку уменьшилась амплитуда разгибания в суставе при постановке стопы на опору. Таким образом, отмечается снижение выраженности симптома падающей стопы (foot drop). Вся симптоматика подтверждается данными гониограмм (см. рис. 3).
ЭМГ-исследование также показывает противоречивую симптоматику: с одной стороны ― увеличение амплитуды действия мышц паретичной стороны, с другой ― для двух мышц здоровой стороны имеется возрастание амплитуды, для двух ― снижение. Таким образом, ещё предстоит изучить, как у больных после перенесённого инсульта происходит перестройка автоматизма движений в результате таких острых воздействий, как ФЭС.
С точки зрения оценки функционирования суставов были выявлены положительные изменения. В частности, исходно отмечалась асимметричность движения в тазобедренных суставах за счёт уменьшения амплитуды на паретичной стороне. К окончанию курса ФЭС произошло увеличение амплитуды движения в тазобедренном суставе. Следует отметить, что у наблюдаемого нами пациента кинематические параметры левого коленного сустава были незначительно изменены по сравнению с правым. При этом в конце курса ФЭС произошло увеличение амплитуды движения левого коленного сустава (с 45 до 49 градусов), параметры правого коленного сустава стали близки к норме (49–57 градусов).
При проведении электронейромиографического исследования в начале курса ФЭС передняя большеберцовая мышца (m. tibialis anterior) левой ноги была малофункциональна. Происходило смещение фазы её активности на более раннее время, амплитуда данной активности была крайне мала. Изменения активности боковой икроножной мышцы (m. gastrocnemius laterlis) были аналогичны: невысокая активность и смещение пика в начало цикла шага. Профиль активности мышц левого бедра был изменён незначительно, но активность по максимально развиваемой амплитуде была недостаточна. Изменения со стороны мышц правого бедра носили компенсаторный характер.
По окончании курса ФЭС отмечены следующие изменения со стороны выбранных мышц: m. tibialis anterior ― увеличение амплитуды и изменение характера активности (основная фаза соответствует варианту нормы ― в начале периода опоры), m. gastrocnemius ― увеличение амплитуды, формируется фаза нормальной активности мышцы. Отмечено также увеличение активности m. quadriceps femoris (основной стабилизатор коленного сустава) с 88 до 164 мкВ. Профиль её активности теперь приближается к норме. За счёт этого, а также активации ходьбы амплитуда этой же мышцы на здоровой стороне увеличилась со 198 до 254 мкВ. Аналогичные изменения произошли и для задней группы мышц. Амплитуда увеличилась с 69 до 90 мкВ. Профиль активности стал аналогичным таковому в норме.
Наши данные достаточно трудно сравнить с имеющимися в доступной литературе. В основном это связано с тем, что системы многоканальной ФЭС технически сложны, и их трудно применять на практике. В настоящее время в основном применяются одноканальные системы для коррекции отвисающей стопы [15–19], при этом такой тип ФЭС даёт противоречивые результаты. С одной стороны, имеются улучшения, но только по данным клинического тестирования [17] или только для такого параметра, как скорость ходьбы [18]. С другой ― мультицентровое исследование применения современных средств для стимуляции сгибания в голеностопном суставе для коррекции отвисающей стопы не показало очевидного результата [19]. Однако стимуляция двух групп мышц ― икроножной и передней большеберцовой ― уже даёт результат лучше, чем только одной из них [20]. Использование одновременной стимуляции четырёхглавой и задней группы мышц бедра (m. hamstring) показало на основе объективного исследования улучшение функции ходьбы [21], при этом зарегистрировано уменьшение вертикальных перемещений тела при ходьбе, но не обнаружено никакого влияния на асимметрию периодов опоры. В нашем случае (многоканальной стимуляции) мы получили изменения в лучшую сторону и показателя периода опоры. Улучшение функции ходьбы было получено при стимуляции средней ягодичной мышцы и передней большеберцовой в двух независимых исследованиях [22, 23].
Более подробное сравнение пока не представляется возможным, поскольку одновременное подробное биомеханическое исследование ходьбы и проведение многоканальной ФЭС является технически и методически сложной задачей. Здесь необходимо отметить, что практически все исследования проводятся с использованием тредмила. Самостоятельная ходьба по ровной поверхности несёт ряд издержек, как связанных со страховкой пациента, так и с организацией алгоритма работы ФЭС. В нашем исследовании оба этих ограничения были преодолены. Развитие данного направления, по результатам систематического обзора [16], связано с применением ФЭС с учётом синергии мышц.
Следует отметить, что сами процедуры вызывали положительный эмоциональный отклик у пациента и повышение его уровня мотивации к проводимому процессу, что является крайне важным в контексте парадигмы современной реабилитации.
Таким образом, по результатам описанного нами случая, объективно можно отметить существенные улучшения биомеханики ходьбы, особенно увеличение амплитуды тазобедренного и коленного суставов к концу проводимого курса ФЭС на фоне полного восстановления нормальной кинематики коленного сустава. Отмечены, хоть и в меньшей степени, позитивные изменения со стороны функции голеностопного сустава.
ЗАКЛЮЧЕНИЕ
В контексте восстановления функции ходьбы у данного пациента важной является оценка функционального состояния, включающая использование не только соответствующих шкал, но и объективной диагностики биомеханики ходьбы. После прохождения курса ФЭС в приведённом клиническом случае наибольшие изменения, с позиции биомеханики движений, наблюдались в коленном и тазобедренном суставах, а также, но в меньшей степени, в голеностопном суставе.
Полученные результаты использования метода ФЭС у пациента после перенесённого острого нарушения мозгового кровообращения позволяют обсуждать дальнейшую возможность использования метода электрических импульсов низкой энергии.
Таким образом, с учётом того, что результат улучшения со стороны двигательных функций достигался уже при первых процедурах, и комплаенс к проводимой реабилитации у пациента был достаточно высоким, создана основа для проведения дальнейших курсов реабилитации.
ДОПОЛНИТЕЛЬНАЯ ИНФОРМАЦИЯ
Источник финансирования. Авторы заявляют об отсутствии внешнего финансирования при проведении поисково-аналитической работы и подготовке публикации.
Конфликт интересов. Авторы декларируют отсутствие явных и потенциальных конфликтов интересов, связанных с публикацией настоящей статьи.
Вклад авторов. Д.В. Скворцов — формирование дизайна исследования, поиск и обработка литературы, выполнение поисково-аналитической работы, написание текста статьи; Л.В. Климов — выполнение поисково-аналитической работы, обработка данных, написание текста статьи; Д.А. Лобунько — выполнение поисково-аналитической работы, обработка данных; С.Н. Кауркин — поиск и обработка литературы, написание текста статьи. Авторы подтверждают соответствие своего авторства международным критериям ICMJE (авторы внесли существенный вклад в разработку концепции, проведение поисково-аналитической работы и подготовку статьи, прочли и одобрили финальную версию перед публикацией).
Информированное согласие на публикацию. Пациент добровольно подписал информированное согласие на публикацию персональной медицинской информации в обезличенной форме для медицинского журнала «Физическая и реабилитационная медицина, медицинская реабилитация» (дата подписания: 29.06.2023).
ADDITIONAL INFORMATION
Funding source. This publication was not supported by any external sources of funding.
Competing interests. The authors declare that they have no competing interests.
Authors’ contribution. D.V. Skvortsov — formation of the research design, search and processing of literature, conducting research, manuscript writing; L.V. Klimov — conducting research, data processing, manuscript writing; D.A. Lobunko — conducting research, data processing; S.N. Kaurkin — search and processing of literature, manuscript writing. All authors made a substantial contribution to the conception of the work, acquisition, analysis, interpretation of data for the work, drafting and revising the work, final approval of the version to be published and agree to be accountable for all aspects of the work.
Consent for publication. Written consent was obtained from the patient for publication of relevant medical information and all of accompanying images within the manuscript (signed on 29.06.2023).
作者简介
Dmitry Skvortsov
Federal Center of Brain Research and Neurotechnologies; The Russian National Research Medical University named after N.I. Pirogov; Federal Research and Clinical Center of Specialized Medical Care and Medical Technologies
Email: skvortsov.biom@gmail.com
ORCID iD: 0000-0002-2794-4912
SPIN 代码: 6274-4448
MD, Cand. Sci. (Medicine)
俄罗斯联邦, Moscow; Moscow; MoscowLeonid Klimov
Federal Center of Brain Research and Neurotechnologies
Email: dr.klimov@mail.ru
ORCID iD: 0000-0003-1314-3388
SPIN 代码: 5618-0734
MD, Cand. Sci. (Medicine)
俄罗斯联邦, MoscowDanila Lobunko
Federal Center of Brain Research and Neurotechnologies
Email: lobunko.92@mail.ru
ORCID iD: 0009-0009-7741-2904
SPIN 代码: 6226-5283
俄罗斯联邦, Moscow
Sergey Kaurkin
Federal Center of Brain Research and Neurotechnologies; The Russian National Research Medical University named after N.I. Pirogov
编辑信件的主要联系方式.
Email: kaurkins@bk.ru
ORCID iD: 0000-0001-5232-7740
SPIN 代码: 4986-3575
MD, Cand. Sci. (Medicine)
俄罗斯联邦, Moscow; Moscow参考
- Chollet F, Albucher JF. Strategies to augment recovery after stroke. Curr Treat Options Neurol. 2012;14(6):531-540. EDN: TJYWNV doi: 10.1007/s11940-012-0196-3
- Hankey GJ, Jamrozik K, Broadhurst RJ, et al. Long-term disability after first-ever stroke and related prognostic factors in the Perth Community Stroke Study, 1989-1990. Stroke. 2002;33(4):1034-1040. doi: 10.1161/01.str.0000012515.66889.24
- Maier M, Ballester RB, Duff A, et al. Effect of specific over nonspecific VR-based rehabilitation on poststroke motor recovery: A systematic meta-analysis. Neurorehabilitat Neural Repair. 2019;33(2):112-129. doi: 10.1177/1545968318820169
- Dewey HM, Sherry J. Collier J.M. Stroke rehabilitation 2007: What should it be? Int J Stroke. 2007;2(3):191-200. doi: 10.1111/j.1747-4949.2007.00146.x
- Langhorne P, Coupar F, Pollock A. Motor recovery after stroke: A systematic review. Lancet Neurol. 2009;8(8):741-754. doi: 10.1016/S1474-4422(09)70150-4
- Johansson BB. Current trends in stroke rehabilitation. A review with focus on brain plasticity. Acta Neurol Scand. 2011;123(3): 147-159. doi: 10.1111/j.1600-0404.2010.01417.x
- Chen HX, Yang ZJ, Pan RH, et al. Effect of comprehensive protocol of integrative medicine on motor function, activity of daily living and quality of life in hemiplegia patients after stroke. (In Chinese)]. Zhongguo Zhong Xi Yi Jie He Za Zhi. 2016;36(4):395-398.
- Baker LL. Neuromuscular electrical stimulation: A practical guide. Los Amigos Research & Education Institute, Incorporated; n.d.; 4th Edition [student edition] Spiral-bound, January 1, 2000. 252 р.
- Marquez-Chin C, Popovic MR. Functional electrical stimulation therapy for restoration of motor function after spinal cord injury and stroke: A review. Biomed Eng Online. 2020;19(1):34. doi: 10.1186/s12938-020-00773-4
- Bustamante C, Brevis F, Canales S, et al. Effect of functional electrical stimulation on the proprioception, motor function of the paretic upper limb, and patient quality of life: A case report. J Hand Ther. 2016;29(4):507-514. doi: 10.1016/j.jht.2016.06.012
- Chen D, Yan T, Li G, et al. [Functional electrical stimulation based on a working pattern influences function of lower extremity in subjects with early stroke and effects on diffusion tensor imaging: a randomized controlled trial. (In Chinese)]. Zhonghua Yi Xue Za Zhi. 2014;94(37):2886-2892.
- Ferrante S, Bejarano CN, Ambrosini E, et al. A Personalized multi-channel FES controller based on muscle synergies to support gait rehabilitation after stroke. Front Neurosci. 2016;(10):425. doi: 10.3389/fnins.2016.00425
- Vitenzon S, Petrushanskaya KA, Skvortsov DV. Hand-book for application of a method of artificial correction of walking and rhythmical movements by means of programmable electrical stimulation of muscles. Ed. by A.S. Vitenzon. Moscow; 2004. 299 р. EDN: QLJZRV
- Skvortsov D, Chindilov D, Painev N, Rozov A. Heel-Strike and toe-off detection algorithm based on deep neural networks using shank-worn inertial sensors for clinical purpose. J Sensors. 2023;1-9. doi: 10.1155/2023/7538611
- Kesar KM, Perumal R, Jancosko A, et al. Novel patterns of functional electrical stimulation have an immediate effect on dorsiflexor muscle function during gait for people poststroke. Phys Ther. 2010;90(1):55-66. doi: 10.2522/ptj.20090140
- Alnajjar F, Zaier R, Khalid S, Gochoo M. Trends and technologies in rehabilitation of foot drop: A systematic review. Expert Rev Med Devices. 2021;18(1):31-46. EDN: LPAPWX doi: 10.1080/17434440.2021.1857729
- Dantas MT, Fernani DC, Silva TD, et al. Gait training with functional electrical stimulation improves mobility in people post-stroke. Int J Environ Res Public Health. 2023;20(9):5728. doi: 10.3390/ijerph20095728
- Hosiasson M, Rigotti-Thompson M, Appelgren-Gonzalez JP, et al. Biomechanical gait effects of a single intervention with wearable closed loop control FES system in chronic stroke patients. A proof-of-concept pilot study. IEEE Int Conf Rehabil Robot. 2023;2023:1-6. doi: 10.1109/ICORR58425.2023.10304779
- Matsumoto S, Shimodozono M, Noma T, et al. Effect of functional electrical stimulation in convalescent stroke patients: A multicenter, randomized controlled trial. The rally trial investigators. J Clin Med. 2023;12(7):2638. doi: 10.3390/jcm12072638
- Dong Y, Wang K, He R, et al. Hybrid and adaptive control of functional electrical stimulation to correct hemiplegic gait for patients after stroke. Front Bioeng Biotechnol. 2023;(11):1246014. doi: 10.3389/fbioe.2023.1246014
- Sijobert B, Azevedo C, Pontier J, et al. A sensor-based multichannel FES system to control knee joint and reduce stance phase asymmetry in post-stroke gait. Sensors (Basel). 2021;21(6):2134. doi: 10.3390/s21062134
- Cho MK, Kim J, Chung Y, Hwang S. Treadmill gait training combined with functional electrical stimulation on hip abductor and ankle dorsiflexor muscles for chronic hemiparesis. Gait Posture. 2015;42(1):73-78. doi: 10.1016/j.gaitpost.2015.04.009
- Araki S, Kawada M, Miyazaki T, et al. Effect of functional electrical stimulation of the gluteus medius during gait in patients following a stroke. Biomed Res Int. 2020;2020:8659845. doi: 10.1155/2020/8659845
补充文件







