Реабилитация ходьбы и баланса при рассеянном склерозе с помощью прогрессивных тренировок мощности с отягощением: опыт пилотного исследования
- Авторы: Воинова К.В.1, Макшаков Г.С.1, Евдошенко Е.П.1
-
Учреждения:
- СПБГБУЗ «Городская клиническая больница № 31»
- Выпуск: Том 3, № 3 (2021)
- Страницы: 260-269
- Раздел: ОРИГИНАЛЬНОЕ ИССЛЕДОВАНИЕ
- Статья получена: 12.08.2021
- Статья одобрена: 08.09.2021
- Статья опубликована: 23.10.2021
- URL: https://journals.eco-vector.com/2658-6843/article/view/77932
- DOI: https://doi.org/10.36425/rehab77932
- ID: 77932
Цитировать
Полный текст
Аннотация
Обоснование. Одним из основных симптомов прогрессирования рассеянного склероза является постепенно нарастающая мышечная слабость. Тренировки с отягощением могут улучшить мышечную силу, однако исследований в этом направлении пока недостаточно.
Цель исследования — оценить влияние 4-недельного протокола тренировки мощности мышечного сокращения с помощью прогрессивных тренировок с отягощением (ПТО) на показатели тестов походки и равновесия у пациентов с рассеянным склерозом.
Материал и методы. Выполнено пилотное исследование по оценке эффективности и переносимости тренировки мощности мышечного сокращения без группы контроля. Включены пациенты с рассеянным склерозом согласно критериям McDonald 2017. Характеристики медицинского вмешательства: программа ПТО 5 раз в неделю в дополнение к другим методам реабилитации. Первичная конечная точка: время 6-минутного теста ходьбы (6MWT) в конце курса (неделя 4; Н4) в сравнении с началом курса (неделя 1; Н1). Вторичные точки включали время по тестам 25-футовой ходьбы (T25FW), «Встань и иди» (TUG), пятикратному тесту «Сиди и стой» (5TSST), балл по расширенной шкале инвалидизации (EDSS).
Результаты. Включены в исследование и выполнили все процедуры исследования 25 пациентов с рассеянным склерозом (женщины 19/25; 76%). После 4-недельного курса реабилитации достигнуто статистически значимое улучшение по всем измеренным тестам. В тесте 6MWT 20/25 (80%) пациентов показали увеличение пройденного расстояния выше порогового значения (+21,6 м). Изменения в других тестах были менее выраженными: у 3/25 (12%) пациентов в тестах TUG и 5TSST, у 6/25 (24%) — в тесте T25FW. Сравнение с помощью парного критерия Вилкоксона показало значимое улучшение мышечной силы в сгибателях бедра слева: средний балл (SD) на точках Н1 и Н4 — 3,96 (0,67) и 4,72 (0,46) соответственно (p=0,04), а также тренд в сторону значимого увеличения силы в сгибателях бедра на правой ноге: Н1 — 3,68 (0,8); Н4 — 4,52 (0,65), p=0,08. Пациенты с улучшением в тесте T25FW имели меньший средний балл по шкале EDSS по сравнению с теми, у кого не было достигнуто улучшений — 4,72 (1,3) и 5,8 (1,04) соответственно (p=0,032). Регрессионный анализ не выявил предикторов улучшения на этапе Н1. Переносимость вмешательства была удовлетворительной, нежелательных явлений не отмечено.
Заключение. Тренировка мощности мышечного сокращения с помощью ПТО приводит к улучшению скорости ходьбы в тестах 6-минутной (6MWT) и 25-футовой (T25FW) ходьбы. Изменения в тесте T25FW чаще достигались пациентами с меньшим баллом по EDSS.
Ключевые слова
Полный текст
Список сокращений
ДИ — доверительный интервал
МКЗР — минимальные клинически значимые различия
МП — максимум повторений
ПТО — прогрессивные тренировки с отягощением
РС — рассеянный склероз
BMRC (British Medical Research Council) — шкала силы мышц Британского медицинского совета
EDSS (Expanded Disability Status Scale Score) — расширенная шкала инвалидизации
TUG (Timed Up-and-Go) — тест «Встань и иди»
T25FW (Timed 25-Foot Walking test) — 25-футовый тест ходьбы
5TSST (5 Times Sit-To-Stand Test) — пятикратный тест «Сиди и стой»
6MWT (6-Minute Walking Test) — тест 6-минутной ходьбы
Обоснование
Одним из основных симптомов прогрессирования рассеянного склероза (РС) является постепенно нарастающая мышечная слабость [1, 2]. Мышечная слабость у пациентов с РС может усугубляться спастичностью, деформацией суставов и болью, нарушением равновесия, контроля осанки и биомеханики походки [3–5], что вызывает ограничение мобильности, повышает риск падений и в целом приводит к снижению качества жизни, связанного со здоровьем [6–8]. Существует связь между тяжестью проявлений заболевания и нарушениями походки при РС по сравнению со здоровыми субъектами [9–11]. Дефицит мышечной силы может быть связан как с нейрогенными, так и механическими (мышечными) факторами [12–14].
Прогрессивная тренировка силы с отягощением (ПТО) является эффективным средством реабилитации пациентов с рассеянным склерозом [14, 15]. ПТО способствует увеличению мышечной силы и функциональным улучшениям в таких аспектах, как ходьба и баланс [16, 17]. Регулярные упражнения могут улучшить повседневную активность, состояние сердечно-сосудистой системы и восприятие состояния здоровья у пациентов с РС [12, 18]. По данным L. de Bolt и J. McCubbin [19], домашние программы тренировок с отягощением хорошо переносятся пациентами с РС и увеличивают силу мышц-разгибателей нижних конечностей. Кроме того, при выполнении упражнений улучшаются показатели силы изометрического сокращения (разгибатели колена, сгибатели стопы) и утомляемости [20].
Мышечная сила и мощность мышечного сокращения — два разных компонента с определенными свойствами. Мощность определяется как сила сокращения в единицу времени. Исследования показывают, что мощность работы мышц может быть более полезной для тренировки способности ходить, учитывая, что быстрые баллистические движения могут быть более важными для нормальной ходьбы и профилактики падений [21]. Однако этот тип тренировки не изучался широко у пациентов с РС.
Цель исследования — оценить эффективность и безопасность 4-недельного стационарного протокола силовой тренировки мощности мышечного сокращения у пациентов с РС с помощью ПТО на параметры походки и равновесия.
Материал и методы
Дизайн исследования
Пилотное проспективное исследование по оценке эффективности силовой тренировки мощности мышечного сокращения у пациентов с РС без группы контроля.
Критерии соответствия
Критерии включения: пациенты с рассеянным склерозом, достоверным по критериям McDonald 2017; способность понимать и соблюдать протокол тренировок; оценка по расширенной шкале статуса инвалидности (Expanded Disability Status Scale Score, EDSS) от 2,0 до 6,5; возраст от 18 до 65 лет.
Критерии невключения: сильная спастичность (3 балла и более по шкале Эшворта) в ногах, препятствующая активному диапазону движений в нижних конечностях; тяжелые деформации суставов, мешающие активному диапазону движений нижних конечностей; выраженный когнитивный дефицит.
Условия проведения
Пациенты приглашались к участию во время прохождения курса реабилитации в отделении медицинской реабилитации Городского центра рассеянного склероза СПб ГБУЗ «Городская клиническая больница № 31».
Продолжительность исследования
Исследование проводилось в период с июня по декабрь 2020 г.
Описание медицинского вмешательства
Тренировки по методике ПТО проводились во время пребывания в реабилитационном отделении стационара. Пациенты получали программу тренировок в виде списка упражнений с указанием кратности и частоты выполнения упражнений и дневник для отчета об их выполнении. Список программ тренировок также включал шкалу Борга с указанием наиболее подходящей интенсивности тренировок и таблицу, в которой пациенты ежедневно отслеживали свой прогресс.
Тренировки по методике ПТО проводились 1 раз в сутки ежедневно. Перед каждой тренировкой выполнялись 5-минутные разминки и растяжки. Пациент использовал индивидуальный набор утяжелителей, которые крепились к ноге. Минимальный вес, составлявший 200 г, постепенно увеличивался с шагом на 200 г до максимального веса 1 кг. Режим тренировки подбирал инструктор в индивидуальном порядке, исходя из диагностированной слабости конкретных групп мышц и нарушений походки. Первичную консультацию по технике тренировок проводил в течение 1 ч инструктор-методист по лечебной физкультуре на первой неделе реабилитации. После этого регулярность и точность выполнения упражнений проверялась не реже 1 раза в неделю инструктором на индивидуальных тренировках (30 мин). Тренировки пациент выполнял ежедневно.
Все пациенты занимались по 4-недельной программе ПТО, 5 раз в неделю (за исключением выходных). В каждую тренировку длительностью 30–40 мин входило по 6 упражнений: 1) из положения стоя: подъем колена вверх, захлест голени (пятка к ягодицам), мах прямой вперед и мах прямой в сторону; 2) из положения сидя на стуле: подъем носка наверх и подъем на носки. Каждое упражнение состояло из 2 блоков по 3 подхода и 6 повторений и отдыха в течение 2 мин между подходами и 3–5 мин между блоками. Вначале для каждого пациента подбиралась функциональная тренировочная нагрузка по индивидуальному тесту, при котором пациент выполнял 1–2 повторения каждого упражнения с максимально возможным весом, равным 1 максимуму повторений (1 МП) [22]. Для тренировки мощности мышечного сокращения расчетная рабочая нагрузка составляла 50% от 1 МП. Если упражнение было невозможно выполнить с весовой нагрузкой из-за мышечной слабости, пациенту разрешалось начинать без весовой нагрузки, а затем добавлять весовую нагрузку во время тренировки в случае прогресса. От пациента требовалось выполнять упражнения с максимальной скоростью. При усвоении всего плана тренировок и правильном выполнении рекомендованных упражнений пациент оценивал интенсивность нагрузки по шкале Борга. Если сумма баллов за 2 тренировки достигала 8–10 единиц, пациент увеличивал нагрузку, добавляя отягощения по 200 г до того момента, когда интенсивность тренировки увеличивалась до 11–13 баллов по шкале Борга. При оценке 11–13 баллов пациент продолжал работать с той же нагрузкой.
Исходы исследования
Основной исход исследования. Первичной конечной точкой было выбрано время 6-минутного теста ходьбы (6-Minute Walking Test, 6MWT) в конце курса реабилитации — на неделе 4 (Н4) — в сравнении с исходным тестированием на неделе 1 (Н1).
Дополнительные исходы исследования. Вторичными конечными точками были следующие показатели:
1) время в тесте ходьбы 25 футов (Timed 25-Foot Walking test, T25FW);
2) время выполнения теста «Встань и иди» (Timed Up-and-Go, TUG);
3) время пятикратного теста «Сиди и стой» (5 Times Sit-To-Stand Test, 5TSST);
4) оценка по расширенной шкале инвалидизации (Expanded Disability Status Scale Score, EDSS);
5) сила мышц в баллах по шкале Британского медицинского совета (British Medical Research Council, BMRC) для мышц ног (подвздошно-поясничной, ягодичной, хамстрингов, четырехглавой мышцы, плантафлексоров и дорсифлексоров).
Дополнительно оценивались нежелательные явления, связанные с вмешательством.
Методы регистрации исходов
При включении все субъекты были протестированы заслепленным оценщиком (невролог, не осведомленный о вмешательстве) с целью определения балла по EDSS и оценки мышечной силы с использованием шкалы BMRC (0–5 баллов). После этого пациентам были проведены еще 4 теста — 6MWT, T25FW, TUG и 5TSST. Такая же батарея тестов применялась оценщиком при выписке. Все результаты тестов, собранные на исходном уровне (Неделя 1, Н1) и через 4 (±1) недели (Н4), сравнивались друг с другом.
Тест 6MWT применяли для оценки выносливости. Результатом была дистанция, преодоленная за 6 мин. Допускались кратковременные остановки во время выполнения теста.
Тест TUG оценивает способность испытуемого поддерживать равновесие во время смены положений и ходьбы. Перед началом теста пациент сидит на стуле. После вербальной инструкции «Пошел» начинается фиксация времени и продолжается до полного усаживания пациента обратно на стул. Пациент может пользоваться привычными средствами помощи при ходьбе (трость, ходунки-роллаторы, скандинавские палки).
Для выполнения T25FW пациент должен встать с одного конца четко размеченного отрезка длиной 25 футов (7,62 м). Пациента инструктируют, как пройти это расстояние максимально быстро и безопасно.
5TSST используют для оценки баланса. Перед началом теста пациент сидит на стуле, скрестив руки на груди, прислонившись спиной к стулу. По команде оценщика пациент поднимается со стула с полным разгибанием в спине и садится обратно на стул как можно быстрее. Тест повторяется 5 раз.
Состояние пациента в конце курса реабилитации как клинически значимо улучшившееся/не улучшившееся определяли по минимальным клинически значимым различиям (МКЗР) проб, определенных для каждого теста на основании данных литературы [23–26]. МКЗР для 6MWT составил +21 м к базовому уровню, для T25FW — снижение времени выполнения теста на 20%, для TUG — снижение времени на 31%, для 5TSST — снижение времени на 34,6% [22–25]. Статус пациента относительно достижения МКЗР использовали для регрессионного анализа.
Этическая экспертиза
Исследование одобрено этическим комитетом СПб ГБУЗ «Городская клиническая больница № 31». Все пациенты предоставили письменное информированное согласие на участие в исследовании.
Статистический анализ
Принципы расчета размера выборки. Согласно предварительным расчетам, объем выборки должен был составлять не менее 20 пациентов для получения статистически значимых изменений.
Методы статистического анализа данных. Все расчеты и статистический анализ выполняли с использованием программы Statistica 13 (StatSoft Ltd.). Для оценки нормальности использовали критерий Колмогорова–Смирнова. Данные представлены в виде медианы [25–75-й квартили; межквартильный размах] в случае ненормального распределения и как среднее (± стандартное отклонение) для нормально распределенных данных. Критерий знаков (Sign test) использовался для сравнения зависимых ненормально распределенных выборок до и после вмешательства. Значение p имело статистическую значимость при <0,05.
Регрессионный анализ проводился на этапе включения в исследование для оценки вклада предикторов в достижении клинически значимого улучшения показателей тестов. Улучшение регистрировалось, если пациент показывал увеличение результатов выше МКЗР. Предикторы включали пол, возраст, продолжительность пребывания, наличие спастичности и оценку EDSS в начале исследования. Для всех предикторов выполнен мультифакториальный регрессионный анализ с одновременным включением всех факторов и расчетом отношения шансов с доверительными интервалами (ДИ).
Результаты
Объекты (участники) исследования
В исследование включены и выполнили все запланированные процедуры 25 пациентов с РС (из них 19 женщин, 76%). Распределение по типу течения РС было следующим: ремиттирующий РС — 16/25 (64%), вторично-прогрессирующий РС — 6/25 (24%), первично-прогрессирующий РС — 3/25 (12%). Средний возраст пациентов — 48,44 (±12,55) года, среднее время с последнего обострения — 4,12 (±4,35) года. Средняя продолжительность госпитализации составила 29,28 (±7,99) дней. Спастичность мышц ног (≤2) выявлена у 15/25 (60%) пациентов. Медиана балла EDSS на этапе включения составила 5,5 [4, 0; 6, 0].
Основные результаты исследования
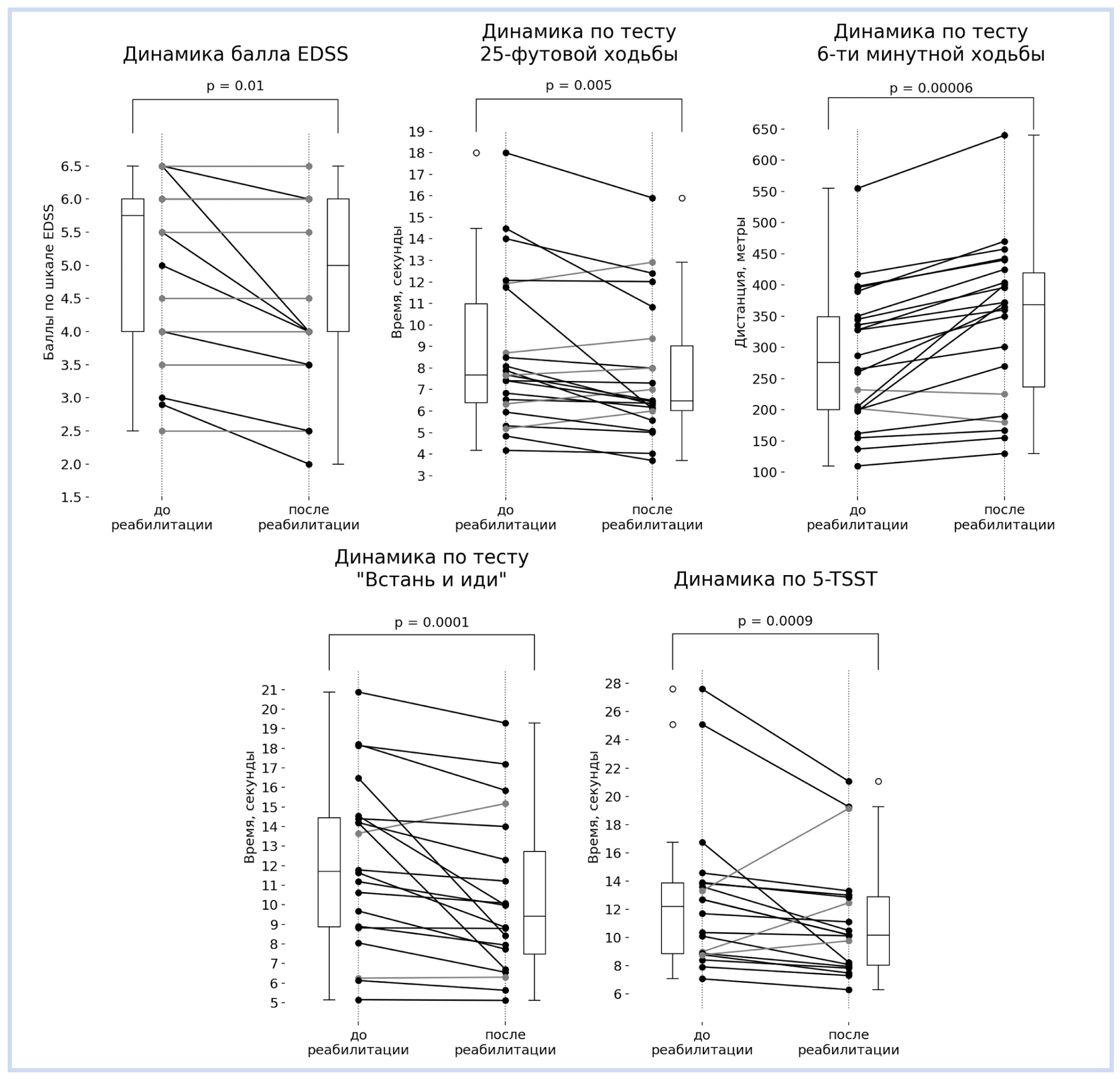
После 4-недельного курса реабилитации было достигнуто статистически значимое улучшение всех измеренных показателей (рис.). Наиболее выраженным было улучшение по 6MWT: у 20/25 (80%) пациентов отмечалось увеличение пройденного расстояния выше МКЗР. Изменения по другим тестам были менее выраженными: у 3/25 (12%) пациентов улучшение выше МКЗР в тестах TUG и 5TSST, у 6/25 (24%) — в тесте T25FW.
Рис. Анализ эффективности прогрессивных тренировок с отягощением. Примечание. EDSS (Expanded Disability Status Scale) — расширенная шкала инвалидизации; 5ТSST (Five Times Sit-to-Stand Test) — пятикратный тест «Сиди и стой».
Сила мышц по шкале BMRC измерялась и сравнивалась до и после курса реабилитации с применением ПТО. Сравнение с помощью парного критерия Вилкоксона показало значимое улучшение мышечной силы в сгибателях бедра слева: средний балл на Н1 — 3,96 (0,67) в сравнении с Н4 — 4,72 (0,46); p=0,04. Отмечена тенденция к статистически значимым различиям в сгибателях бедра на правой ноге: Н1 — 3,68 (0,8); Н4 — 4,52 (0,65); p=0,08. Другие исследуемые мышцы не показали значимого улучшения.
С целью дополнительной оценки влияния факторов на улучшение в каждом тесте мы сравнили исходные характеристики пациентов в подгруппах с улучшением и без улучшений по основным измеряемым тестам. Характеристики были следующими: возраст; продолжительность пребывания (дни); балл EDSS на этапе включения; спастичность, измеренная по шкале Эшворта на этапе включения. Единственная значимая разница наблюдалась для оценки EDSS на исходном уровне (p=0,032) между пациентами с улучшением и без по тесту T25FW. Пациенты с улучшением показателей имели средний балл по шкале EDSS 4,72 (1,3) против 5,8 (1,04) у пациентов без улучшения. Никаких существенных различий для исходных характеристик по другим тестам не получено (данные не показаны).
Статистическая модель множественной логистической регрессии была построена, как описано ранее, с целью изучения влияния нескольких исходных предикторов на результаты реабилитации для тестов T25FW, 6MWT, в которых было достаточно данных для построения надежных моделей. По тестам TUG и 5TSST улучшения выше МКЗР показали по 3 пациента в каждой группе, поэтому пробы были исключены из анализа. Ни один из предикторов не оказал существенного влияния на результаты ни в одной модели (табл.).
Таблица. Результаты логистического регрессионного анализа для предикторов положительных исходов реабилитации с применением прогрессивных тренировок с отягощением
Предиктор | Коэффициент (B2) | Стандартная ошибка | Отношение шансов | 95% ДИ | p |
6MWT | |||||
Возраст | 0,06 | 0,07 | 1,06 | (0,93; 1,21) | 0,38 |
Пол | -0,38 | 0,81 | 0,47 | (0,01; 11,34) | 0,63 |
Продолжительность госпитализации | -0,06 | 0,07 | 0,94 | (0,82; 1,07) | 0,37 |
EDSS на Н1 | -1,01 | 0,64 | 0,36 | (0,1; 1,28) | 0,12 |
Спастичность на Н1 | -0,41 | 0,63 | 0,44 | (0,04; 5,32) | 0,52 |
T25FW | |||||
Возраст | 0,03 | 0,05 | 1,06 | (-0,08; 0,13) | 0,37 |
Пол | 0,62 | 0,76 | 0,47 | (-0,86; 2,11) | 0,64 |
Продолжительность госпитализации | 0,05 | 0,07 | 0,94 | (-0,07; 0,18) | 0,37 |
EDSS на Н1 | 0,38 | 0,44 | 0,36 | (-0,49; 1,24) | 0,12 |
Спастичность на Н1 | -0,33 | 0,55 | 0,44 | (-1,42; 0,76) | 0,52 |
Примечание. 6MWT — тест 6-минутной ходьбы; EDSS — расширенная шкала статуса инвалидности; T25FW — тест 25-футовой ходьбы на время; ДИ — доверительный интервал; Н1 — точка оценки на первой неделе реабилитации.
Нежелательные явления
В ходе исследования нежелательных явлений не зафиксировано. Все пациенты выполняли предписанные протоколом занятия с отягощениями в объеме более 90% и сочли программу тренировок достаточно простой.
Обсуждение
Резюме основного результата исследования
Тренировка мощности мышечного сокращения с помощью ПТО в большей степени приводит к улучшению скорости ходьбы в тестах 6MWT и T25FW. Изменения в тесте T25FW чаще достигались пациентами с меньшим баллом по EDSS. Нами не выявлены специальные предикторы улучшения по каждому из тестов среди исходных характеристик.
Обсуждение основного результата исследования
Нарушение ходьбы, ведущее к снижению качества жизни и инвалидизации, является основным нарушением у пациентов с РС [26, 27], что может быть связано с несколькими факторами: снижением аэробной выносливости, атрофией мышц, спастичностью, изменениями сократимости мышц и распределением типов мышечных волокон [19, 28].
В нескольких систематических исследованиях тренировок нижних конечностей у пациентов с РС (в основном тренировки силы) сообщалось об улучшении мышечной силы, что не всегда напрямую связано с улучшением ходьбы [29–34]. До сих пор не ясно, какой тип тренировки наиболее эффективен для улучшения походки при РС — тренировка силы или мощности мышечного сокращения. В исследованиях у здоровых пожилых людей результаты были весьма специфичными: силовые тренировки приводили к увеличению мышечной силы, а тренировки мощности увеличивали мощность мышечного сокращения [35]. В некоторых исследованиях тренировка мощности приводила к одновременному увеличению мышечной силы и мощности по сравнению с протоколом силовой тренировки [36]. Мощность мышечного сокращения может быть больше связана с ходьбой, чем сила мышц, например, для предотвращения падений [21]. Наша гипотеза заключалась в том, что тренировка мощности мышечного сокращения с помощью высокоскоростных упражнений с отягощениями может быть более эффективна для улучшения способности ходить. Упражнения также должны быть более функциональными, повторять элементы ходьбы в повседневной жизни, в отличие от, скажем, силовых упражнений на тренажерах. В исследовании L. F. van Vulpen и соавт. [37] использование функциональных силовых тренировок с отягощениями у детей с церебральным параличом приводило к увеличению дистанции и скорости ходьбы, при этом скорость ходьбы была выше, чем сообщалось ранее в исследованиях с силовыми тренировками.
Наиболее значительный эффект был достигнут в первичной конечной точке — пройденном расстоянии в тесте 6MWT. Изменения в других тестах, несмотря на статистическую значимость улучшений, в основном были ниже уровня МКЗР. В исследовании D. Hansen с соавт. [38] показано, что эффективность ходьбы, в основном оцениваемая с помощью 6MWT, связана с оксидативным потенциалом организма. 6MWT также хорошо коррелирует с баллом EDSS, который оценивает дальность проходимого расстояния [39]. Такое резкое улучшение по 6MWT можно объяснить основным эффектом силовых тренировок с отягощениями на аэробную (окислительную) способность. Исследования силовых тренировок с отягощениями подтверждают эту идею, сообщая об увеличении окислительной способности [40–42], однако протоколы тренировок в них отличались от тех, которые использовали мы. Насколько нам известно, исследования по изучению влияния тренировок мощности на аэробную способность мышц при РС не проводились. Эти изменения в 6MWT могут также отражать влияние тренировок стандартной реабилитационной программы, которая в основном состояла из аэробных тренировок на беговой дорожке, велоэргометра и групповых тренировок по лечебной физкультуре, которые получал каждый пациент. В исследовании A. Kerling с соавт. [27] было показано, что аэробная, но не анаэробная, выносливость может быть одинаковой у пациентов с РС средней и выраженной степени инвалидизации.
Прогрессивные тренировки с отягощениями также могут привести к изменениям нервно-мышечного взаимодействия [14], и в нашем исследовании отмечалось улучшение параметров ходьбы.
Вторичные конечные точки исследования, возможно, не показали такого улучшения, как 6WMT, потому что пациенты и инструкторы по лечебной физкультуре были больше сосредоточены на улучшении ходьбы, чем на быстрой смене положения тела (переход из положения сидя в положение стоя). Тренировка такого перехода может требовать постановки конкретной цели и, соответственно, специфичного обучения. Изменения, вызванные тренировкой мышечной мощности, могут быть более полезными для ходьбы в комфортном среднем темпе, но не на максимально возможной скорости (как это требуется для T25FW), а также гораздо менее полезны для упражнений сидя-стоя, используемых в 5TSST и TUG.
В нашем исследовании мы не обнаружили конкретных предикторов улучшения показателей ходьбы. Например, при регрессионном анализе не было обнаружено значительного эффекта спастичности. Эти результаты подтверждаются данными, полученными по другим заболеваниям, проявляющихся спастичностью. Исследование R. Nakamura и соавт. [43] при спастическом гемипарезе после инсульта выявило, что именно характеристики изокинетических высокоскоростных сокращений влияли на способность ходить, чем изометрическая мышечная сила или степень спастичности.
Возраст тоже может быть важным фактором. В исследовании J. L. Hunnicut и соавт. [44] сообщается о более выраженном восстановлении способности ходить и скорости ходьбы после силовых тренировок у молодых пациентов с постинсультным гемипарезом, чем у пожилых, однако мы не обнаружили влияния возраста на результаты.
Улучшение нашего протокола силовых тренировок может быть связано с более комплексными вопросами, такими как окислительная способность, мощность нервного импульса или нервно-мышечные взаимодействия. Исследование T. Kjølhede и соавт. [14] показало корреляцию между изменениями в тестах на ходьбу с параметрами мышечного сокращения, однако связь с исходными характеристиками пациентов не изучалась.
Все четыре теста, использованные в этом исследовании, являются хорошо известными метриками для описания состояния при РС. Однако все еще мало известно о МКЗР, которые могут отличать пациентов с/без улучшений после реабилитации. Для некоторых пациентов в нашем исследовании улучшение на расстояние 21 м к результатам их исходного уровня по 6MWT может показаться слишком маленьким, однако нет конкретных рекомендаций относительно того, какие МКЗР следует использовать у пациентов с различной выраженностью инвалидизации. Действительно, улучшение в 6MWT может быть достигнуто проще, чем улучшение на +30% в тесте TUG, и это также следует учитывать при анализе наших результатов. Необходимы дополнительные исследования по определению этих МКЗР для оценки эффективности реабилитации.
Ограничения исследования
У этого исследования было несколько ограничений.
Дизайн с одной когортой представляется основным ограничением, однако с учетом пилотного статуса исследования, направленного на получение предварительных доказательств для метода, мы считаем дизайн подходящим.
Пациенты в исследовании получали также некоторые другие базовые реабилитационные мероприятия, в основном аэробные, которые могли повлиять на наши результаты, особенно на улучшение в тесте 6WMT. Дальнейшие исследования с группами активного контроля помогут разделить влияние аэробных нагрузок и тренировок с сопротивлением.
Возможно, продолжительность стационарного пребывания пациента была слишком короткой, но мы использовали стандартную продолжительность стационарных реабилитационных вмешательств в России в рамках системы обязательного медицинского страхования. Результаты свидетельствуют о достаточной продолжительности тренировок для получения положительных изменений.
Исследование не предполагало последующего после курса реабилитации наблюдения пациентов, что также может быть важно для понимания долгосрочных результатов тренировок с отягощением.
Заключение
Тренировка мышечной мощности с помощью прогрессирующих тренировок с отягощением может быть полезна как для пациентов с РС с целью поддержания повседневной активности, как и для пожилых людей. В ходе исследования мы продемонстрировали эффективность, доступность и хорошую переносимость упражнений с отягощением. Регулярные упражнения могут улучшить повседневную активность с помощью программы, которую пациенты могут легко выполнять дома самостоятельно.
Необходимы дальнейшие исследования для сравнения эффективности этого протокола с другими методами и фиктивным контролем.
Дополнительная информация
Источник финансирования
Авторы заявляют об отсутствии внешнего финансирования при проведении исследования.
Funding source
Th is study was not supported by any external sources of funding.
Конфликт интересов
Авторы декларируют отсутствие явных и потенциальных конфликтов интересов, связанных с публикацией настоящей статьи.
Competing interests
The authors declare that they have no competing interests.
Вклад авторов
К. В. Воинова — разработка протокола ПТО, ведение пациентов, анализ данных, написание статьи; Г. С. Макшаков — дизайн исследования, ведение пациентов, анализ данных, написание статьи; Е. П. Евдошенко — кураторство работы, написание, рецензирование и одобрение статьи для публикации. Все авторы подтверждают соответствие своего авторства международным критериям ICMJE (все авторы внесли существенный вклад в разработку концепции, проведение исследования и подготовку статьи, прочли и одобрили финальную версию перед публикацией).
Author contribution
K. V. Voinova — development of the training protocol, patient management, data analysis, writing an article; G. S. Makshakov — study design, patient management, data analysis, writing an article; E. P. Evdoshenko — curating the work, writing, reviewing and approving the article for publication. All authors made a substantial contribution to the conception of the work, acquisition, analysis, interpretation of data for the work, drafting and revising the work, final approval of the version to be published and agree to be accountable for all aspects of the work.
Об авторах
Ксения Владимировна Воинова
СПБГБУЗ «Городская клиническая больница № 31»
Автор, ответственный за переписку.
Email: ksuha.voinova@bk.ru
ORCID iD: 0000-0002-7333-4963
Городской центр рассеянного склероза
Россия, 197110, Санкт-Петербург, пр. Динамо, д. 3Глеб Сергеевич Макшаков
СПБГБУЗ «Городская клиническая больница № 31»
Email: g.makshakov@centrems.com
ORCID iD: 0000-0001-6831-0441
SPIN-код: 1822-7896
к.м.н., Городской центр рассеянного склероза
Россия, 197110, Санкт-Петербург, пр. Динамо, д. 3Евгений Петрович Евдошенко
СПБГБУЗ «Городская клиническая больница № 31»
Email: e.evdoshenko@centrems.com
ORCID iD: 0000-0002-8006-237X
SPIN-код: 7065-5195
к.м.н., Городской центр рассеянного склероза
Россия, 197110, Санкт-Петербург, пр. Динамо, д. 3Список литературы
- Armstrong L, Winant D, Swasey P, et al. Using isokinetic dynamometry to test ambulatory patients with multiple sclerosis. Phys Ther. 1983;63(8):1274–1279. doi: 10.1093/ptj/63.8.1274
- Lambert C, Archer R, Evans W. Muscle strength and fatigue during isokinetic exercise in individuals with multiple sclerosis. Med Sci Sports Exercise. 2001;33(10):1613–1619. doi: 10.1097/00005768-200110000-00001
- Sosnoff J, Gappmaier E, Frame A, Motl R. Influence of spasticity on mobility and balance in persons with multiple sclerosis. J Neu Phys Ther. 2011;35(3):129–132. doi: 10.1097/npt.0b013e31822a8c40
- Cattaneo D, de Nuzzo C, Fascia T, et al. Risks of falls in subjects with multiple sclerosis. Arch Phys Med Rehabil. 2002;83(6):864–867. doi: 10.1053/apmr.2002.32825
- Grigoriadis N, Bakirtzis C, Politis C, et al. A health 4.0 based approach towards the management of multiple sclerosis. In: Health 4.0: How virtualization and big data are revolutionizing healthcare. 2017. Р. 205–218. doi: 10.1007/978-3-319-47617-9_10
- De Haan A, de Ruiter C, van der Woude L, Jongen P. Contractile properties and fatigue of quadriceps muscles in multiple sclerosis. Muscle Nerve. 2000;23(10):1534–1541. doi: 10.1002/1097-4598(200010)23:10<1534::aid-mus9>3.0.co;2-d
- Rice C, Vollmer T, Bigland-Ritchie B. Neuromuscular responses of patients with multiple sclerosis. Muscle Nerve. 1992;15(10):1123–1132. doi: 10.1002/mus.880151011
- Van der Feen F, de Haan G, van der Lijn I, et al. Independent outdoor mobility of persons with multiple sclerosis: a systematic review. Mult Scler Relat Disord. 2020;37: 101463. doi: 10.1016/j.msard.2019.101463
- Schwid S, Thornton C, Pandya S, et al. Quantitative assessment of motor fatigue and strength in MS. Neurology. 1999;53(4):743–743. doi: 10.1212/wnl.53.4.743
- Thoumie P, Lamotte D, Cantalloube S, et al. Motor determinants of gait in 100 ambulatory patients with multiple sclerosis. Multiple Sclerosis J. 2005;11(4):485–491. doi: 10.1191/1352458505ms1176oa
- Morris M. Changes in gait and fatigue from morning to afternoon in people with multiple sclerosis. J Neurol Neurosurg Psych. 2002;72(3):361–365. doi: 10.1136/jnnp.72.3.361
- Ng A, Miller R, Gelinas D, Kent-Braun J. Functional relationships of central and peripheral muscle alterations in multiple sclerosis. Muscle Nerve. 2004;29(6):843–852. doi: 10.1002/mus.20038
- Scott S, Hughes A, Galloway S, Hunter A. Surface EMG characteristics of people with multiple sclerosis during static contractions of the knee extensors. Clin Physiol Funct Imaging. 2010;31(1):11–17. doi: 10.1111/j.1475-097x.2010.00972.x
- Kjølhede T, Vissing K, de Place L, et al. Neuromuscular adaptations to long-term progressive resistance training translates to improved functional capacity for people with multiple sclerosis and is maintained at follow-up. Multiple Sclerosis J. 2014;21(5):599–611. doi: 10.1177/1352458514549402
- Kjølhede T, Vissing K, Dalgas U. Multiple sclerosis and progressive resistance training: a systematic review. Multiple Sclerosis J. 2012;18(9):1215–1228. doi: 10.1177/1352458512437418
- Gehlsen G, Grigsby S, Winant D. Effects of an aquatic fitness program on the muscular strength and endurance of patients with multiple sclerosis. Phys Ther. 1984;64(5): 653–657. doi: 10.1093/ptj/64.5.653
- Broekmans T, Roelants M, Feys P, et al. Effects of long-term resistance training and simultaneous electro-stimulation on muscle strength and functional mobility in multiple sclerosis. Multiple Sclerosis J. 2010;17(4):468–477. doi: 10.1177/1352458510391339
- Mostert S, Kesselring J. Effects of a short-term exercise training program on aerobic fitness, fatigue, health perception and activity level of subjects with multiple sclerosis. Multiple Sclerosis J. 2002;8(2):161–168. doi: 10.1191/1352458502ms779oa
- De Bolt L, McCubbin J. The effects of home-based resistance exercise on balance, power, and mobility in adults with multiple sclerosis. Arch Phys Med Rehab. 2004;85(2): 290–297. doi: 10.1016/j.apmr.2003.06.003
- Gutierrez G, Chow J, Tillman M, et al. Resistance training improves gait kinematics in persons with multiple sclerosis. Arch Phys Med Rehabil. 2005;86(9):1824–1829. doi: 10.1016/j.apmr.2005.04.008
- Han L, Yang F. Strength or power, which is more important to prevent slip-related falls? Hum Mov Sci. 2015;44: 192–200. doi: 10.1016/j.humov.2015.09.001
- American College of Sports Medicine. Progression models in resistance training for healthy adults. Med Sci Sports Exerc. 2009;41(3):687–708. doi: 10.1249/MSS.0b013e3181915670
- Baert I, Freeman J, Smedal T, et al. Responsiveness and clinically meaningful improvement, according to disability level, of five walking measures after rehabilitation in multiple sclerosis. Neurorehab Neural Repair. 2014;28(7): 621–631. doi: 10.1177/1545968314521010
- Hobart J, Blight A, Goodman A, et al. Timed 25-Foot Walk: direct evidence that improving 20% or greater is clinically meaningful in MS. Neurology. 2013;80(16):1509–1517. doi: 10.1212/wnl.0b013e31828cf7f3
- Nilsagard Y, Lundholm C, Gunnarsson L, Denison E. Clinical relevance using timed walk tests and ‘timed up and go’ testing in persons with multiple sclerosis. Phys Res Int. 2007;12(2):105–114. doi: 10.1002/pri.358
- Jensen H, Mamoei S, Ravnborg M, et al. Distribution-based estimates of minimum clinically important difference in cognition, arm function and lower body function after slow release-fampridine treatment of patients with multiple sclerosis. Mult Scler Relat Disord. 2016;7:58–60. doi: 10.1016/j.msard.2016.03.007
- Kerling A, Keweloh K, Tegtbur U, et al. Physical capacity and quality of life in patients with multiple sclerosis. Neuro Rehab. 2014;35(1):97–104. doi: 10.3233/nre-141099
- Kent-Braun J, Ng A, Castro M, et al. Strength, skeletal muscle composition, and enzyme activity in multiple sclerosis. J Appl Physiol. 1997;83(6):1998–2004. doi: 10.1152/jappl.1997.83.6.1998
- Pearson M, Dieberg G, Smart N. Exercise as a therapy for improvement of walking ability in adults with multiple sclerosis: a meta-analysis. Arch Phys Med Rehab. 2015; 96(7):1339–1348.e7. doi: 10.1016/j.apmr.2015.02.011
- Jørgensen M, Dalgas U, Wens I, Hvid L. Muscle strength and power in persons with multiple sclerosis: a systematic review and meta-analysis. J Neurol Sci. 2017;376:225–241. doi: 10.1016/j.jns.2017.03.022
- Cruickshank T, Reyes A, Ziman M. A systematic review and meta-analysis of strength training in individuals with multiple sclerosis or parkinson disease. Medicine (Baltimore). 2015;94(4):e411. doi: 10.1097/md.0000000000000411
- Latimer-Cheung A, Pilutti L, Hicks A, et al. Effects of exercise training on fitness, mobility, fatigue, and health-related quality of life among adults with multiple sclerosis: a systematic review to inform guideline development. Arch Phys Med Rehab. 2013;94(9):1800–1828.e3. doi: 10.1016/j.apmr.2013.04.020
- Snook E, Motl R. Effect of exercise training on walking mobility in multiple sclerosis: a meta-analysis. Neurorehab Neural Repair. 2008;23(2):108–116. doi: 10.1177/1545968308320641
- Rietberg M, Brooks D, Uitdehaag B, Kwakkel G. Exercise therapy for multiple sclerosis. Cochr Datab Syst Rev. 2005. doi: 10.1002/14651858.cd003980.pub2
- Miszko TA, Cress ME, Slade JM, et al. Effect of strength and power training on physical function in community-dwelling older adults. J Gerontol A Biol Sci Med Sci. 2003; 58(2):171–175. doi: 10.1093/gerona/58.2.m171
- Marsh A, Miller M, Rejeski W, et al. Lower extremity muscle function after strength or power training in older adults. J Aging Phys Act. 2009;17(4):416–443. doi: 10.1123/japa.17.4.416
- Van Vulpen LF, de Groot S, Rameckers E, et al. Improved walking capacity and muscle strength after functional power-training in young children with cerebral palsy. Neurorehab Neural Repair. 2017;31(9):827–841. doi: 10.1177/1545968317723750
- Hansen D, Feys P, Wens I, Eijnde B. Is walking capacity in subjects with multiple sclerosis primarily related to muscle oxidative capacity or maximal muscle strength? A pilot study. Mult Scler Int. 2014;2014:1–7. doi: 10.1155/2014/759030
- Stellmann J, Neuhaus A, Götze N, et al. Ecological validity of walking capacity tests in multiple sclerosis. PLoS One. 2015;10(4):e0123822. doi: 10.1371/journal.pone.0123822
- Shepherd S, Cocks M, Tipton K, et al. Resistance training increases skeletal muscle oxidative capacity and net intramuscular triglyceride breakdown in type I and II fibres of sedentary males. Exp Physiol. 2014;99(6):894–908. doi: 10.1113/expphysiol.2014.078014
- Porter C, Reidy P, Bhattarai N, et al. Resistance exercise training alters mitochondrial function in human skeletal muscle. Med Sci Sports Exercise. 2015;47(9):1922–1931. doi: 10.1249/mss.0000000000000605
- Tang J, Hartman J, Phillips S. Increased muscle oxidative potential following resistance training induced fibre hypertrophy in young men. Appl Phys Nutr Metab. 2006; 31(5):495–501. doi: 10.1139/h06-026
- Nakamura R, Hosokawa T, Tsuji I. Relationship of muscle strength for knee extension to walking capacity in patients with spastic hemiparesis. Tohoku J Exp Med. 1985; 145(3):335–340. doi: 10.1620/tjem.145.335
- Hunnicutt JL, Aaron SE, Embry AE, et al. The effects of POWER Training in Young and Older Adults after Stroke. Stroke Res Treat. 2016;2016:7316250. doi: 10.1155/2016/7316250
Дополнительные файлы




