Кортикобульбарные моторные вызванные потенциалы в хирургическом лечении опухолей IV желудочка и ствола мозга
- Авторы: Лаптева К.Н.1, Огурцова А.А.1, Струнина Ю.В.1
-
Учреждения:
- Национальный медицинский исследовательский центр нейрохирургии им. Н.Н. Бурденко
- Выпуск: Том 22, № 4 (2022)
- Страницы: 23-33
- Раздел: Оригинальные исследования
- Статья опубликована: 01.02.2023
- URL: https://journals.eco-vector.com/MAJ/article/view/111577
- DOI: https://doi.org/10.17816/MAJ111577
- ID: 111577
Цитировать
Полный текст
Аннотация
Обоснование. Интраоперационный нейрофизиологический мониторинг — обязательное условие проведения нейрохирургического вмешательства на структурах задней черепной ямки. Существует модальность интраоперационного мониторинга, которую можно применять во время таких операций, — кортикобульбарные моторные вызванные потенциалы. Она направлена на определение функционального статуса со стороны каудальной группы черепных нервов во время операции. Однако существуют технические особенности проведения этой модальности, поэтому на данный момент кортикобульбарные моторные вызванные потенциалы не используются рутинно в нейрохирургии.
Цель — определить валидность модальности кортикобульбарных моторных вызванных потенциалов в прогнозе развития дисфагии после удаления опухолей ствола головного мозга и IV желудочка.
Материалы и методы. В анализ включено 80 пациентов в возрасте от 11 мес. до 67 лет. Местом локализации опухоли у 49 пациентов был IV желудочек (34 пациента старше 18 лет и 15 детей), у 31 пациента — нижние отделы ствола мозга и спиномедуллярная область (16 пациентов старше 18 лет и 15 детей). Всем пациентам выполнено хирургическое удаление опухоли с использованием интраоперационного нейрофизиологического мониторинга. Проанализированы отоневрологическая симптоматика до и после оперативного вмешательства, данные магнитно-резонансной томографии, оценен объем удаленной опухоли. Проанализированы данные интраоперационного нейрофизиологического мониторинга, основной модальностью которого были кортикобульбарные моторные вызванные потенциалы.
Результаты. Нарастание неврологической симптоматики со стороны каудальной группы черепных нервов в исследуемой группе пациентов отмечено в 35 % наблюдений. Динамика амплитуды кортикобульбарных моторных вызванных потенциалов статистически значимо зависит от неврологического статуса со стороны каудальной группы черепных нервов в ранние сроки после операции. При снижении амплитуды ответа более чем на 34 % исходного уровня существует высокая вероятность нарастания симптоматики со стороны каудальной группы черепных нервов после операции. Чувствительность и специфичность модальности кортикобульбарных моторных вызванных потенциалов составляют 94,4 и 89,2 % соответственно.
Выводы. Для определения функционального состояния каудальной группы черепных нервов во время операции и прогноза развития дисфагии после оперативного вмешательства необходимо использовать кортикобульбарные моторные вызванные потенциалы. Эта модальность имеет высокую прогностическую значимость как у детей, так и у пациентов старше 18 лет.
Полный текст
Список сокращений
ИВЛ — искусственная вентиляция легких; ИОМ — интраоперационный нейрофизиологический мониторинг; КБ-МВП — кортикобульбарные моторные вызванные потенциалы; МВП — моторный вызванный потенциал; МРТ — магнитно-резонансная томография; СС — коэффициент степени снижения амплитуды КБ-МВП.
Введение
Интраоперационный нейрофизиологический мониторинг (ИОМ) — комплекс нейрофизиологических модальностей, применяемых для оценки функционального состояния нервной системы во время хирургического вмешательства. ИОМ включает в себя два основных направления: инструменты «мониторинга» и «картирования». «Картирование» позволяет провести идентификацию анатомических структур и тем самым сохранить их целостность [1]. «Мониторинг» выявляет нейрофизиологические изменения, вызванные хирургическими действиями, позволяя скорректировать хирургическую тактику до того момента, пока не возникли необратимые неврологические нарушения. Кроме того, инструменты «мониторинга» прогнозируют неврологический статус после проведенного оперативного вмешательства. Одно из направлений «мониторинга» во время оперативного вмешательства вблизи ствола головного мозга — модальность кортикобульбарных моторных вызванных потенциалов (КБ-МВП). Она направлена на определение функционального состояния каудальной группы черепных нервов. Однако существуют технические особенности проведения этого исследования, поэтому на данный момент КБ-МВП не используют рутинно в нейрохирургии при проведении ИОМ. Кроме того, не до конца определены технические параметры проведения исследования, использование которых поможет достичь наибольшей прогностической значимости метода.
Цель исследования — определить валидность модальности кортикобульбарных моторных вызванных потенциалов в прогнозе развития дисфагии после удаления опухолей ствола и IV желудочка головного мозга.
Материалы и методы
Проведено проспективное нерандомизированное исследование, в которое было включено 80 пациентов в возрасте от 11 мес. до 67 лет (29,5 ± 19,9 года). Этим пациентам в НМИЦ нейрохирургии им. Н.Н. Бурденко в 2020–2021 гг. было выполнено плановое нейрохирургическое вмешательство по поводу удаления опухоли IV желудочка или ствола головного мозга. Преобладали пациенты женского пола — 43 человека (54 %). Пациентов младше 18 (8,2 ± 4,5) лет в исследуемой группе было 30, взрослых — 50 человек (41,7 ± 14,3 года). Включение пациентов всех возрастных групп обусловлено необходимостью оценивать функциональный статус со стороны каудальной группы черепных нервов во время операции как у детей, так и у взрослых.
Во всех случаях были оценены данные магнитно-резонансной томографии (МРТ) с контрастным усилением до и после операции, проведена оценка радикальности хирургического вмешательства. Отоневрологический осмотр на предмет нарушений иннервации мышц языка и глотки проводили до операции и через сутки после оперативного вмешательства. Во время осмотра оценивали сохранность глоточного рефлекса, звонкость голоса, симметричность напряжения нёбной занавески, степень напряжения мягкого нёба, наличие гипотрофии мышц и девиации языка. Неврологический статус со стороны каудальной группы черепных нервов оценивали по тяжести нарушений и градировали на 4 степени: 1) отсутствие нарушений; 2) компенсированные нарушения, не приводящие к выраженным нарушениям глотания и выявляющиеся только при отоневрологическом осмотре; 3) выраженные нарушения глотания, для кормления требуется использование назогастрального зонда; 4) грубые нарушения со стороны каудальной группы черепных нервов, для протекции дыхательных путей требуется проведение трахеостомии.
Все операции были выполнены под эндотрахеальным наркозом и комбинированной общей анестезией (пропофол 3–4 мг/кг/ч + фентанил 1,5–4,0 мг/кг/ч). Использовали миорелаксанты короткого действия (рокуроний 0,5–0,9 мг/кг), и только на этапе интубации. ИОМ проводили с использованием модальности КБ-МВП с применением комплекса Нейро-ИОМ-32 Б (Нейрософт, Россия). Стимулирующие винтовые электроды (Medtronic, США) устанавливали на скальпе в точках С3-С4 по международной схеме установки электродов «10–20 %» [2]. Регистрирующие парные электроды (Pras, Medtronic, США) устанавливали после интубации трахеи с помощью жесткого ларингоскопа в полость рта. Для мониторинга IX и X пар черепных нервов игольчатые электроды устанавливали в заднюю стенку глотки, для мониторинга XII пары черепных нервов – в корень языка с двух сторон. IX и X пары черепных нервов были рассмотрены в совокупности из-за сложности дифференциации их нейрофизиологических параметров и схожести их анатомического и функционального строения [3]. Использовали следующие параметры стимуляции: 5 импульсов, длительность каждого 550 мкс, межстимульный интервал 2 мс, интенсивность стимуляции 84–130 мА, через 40 мс после основной серии стимулов подавали единичный стимул с аналогичными параметрами (для исключения активации периферической части черепных нервов). В качестве основного критерия динамики КБ-МВП был принят коэффициент степени снижения (СС) амплитуды моторного вызванного потенциала (МВП), представленный в процентах и показывающий, на сколько процентов от исходного уровня уменьшилась (увеличилась) амплитуда МВП. Значение СС < 0 к концу операции означало нарастание амплитуды МВП, если СС к концу операции был >0, это означало снижение амплитуды МВП.
Другая модальность ИОМ — прямая стимуляция ядер каудальной группы черепных нервов для определения их места локализации в проекции дна IV желудочка. В случае опухоли ствола мозга данные картирования использовали для выбора безопасной зоны рассечения мозгового вещества. Результаты данной модальности не представлены в текущей работе, так как не являются целью исследования.
Статистический анализ данных проведен с помощью языка статистического программирования и среды R (версия 4.2.1) в интегрированной среде разработки RStudio Server. Распределение непрерывных и дискретных количественных переменных в выборке представлены как среднее арифметическое и стандартное отклонение (M ± SD) для нормально распределенных случайных величин, медиана и квартили (Me [Q1; Q3]) для величин, распределение которых отличается от нормального. Категориальные показатели представлены как абсолютное число и доля в процентах [n (%)]. Соответствие выборки нормальному распределению определяли с помощью теста Шапиро – Уилка. Использовали логистический регрессионный анализ с построением ROC-кривых. Тестирование статистических гипотез о различии распределения количественных переменных в независимых выборках проводили с помощью метода Манна – Уитни, критерия Краскела – Уоллиса. Различие в распределениях категориальных переменных тестировали с помощью критерия хи-квадрат и точного критерия Фишера. Нулевую гипотезу в статистических тестах отклоняли при уровне значимости p < 0,05.
Результаты
Характеристика исследуемой группы пациентов
По данным дооперационных МРТ, в зависимости от локализации опухоли имелось следующее распределение.
У 49 пациентов (61 %) опухоль располагалась в полости IV желудочка: 15 (50 %) детей, 34 (68 %) пациента старше 18 лет. В основном это были опухоли эпендимарной и сосудистой выстилки IV желудочка, а также образования червя и гемисфер мозжечка, распространяющиеся в желудочек и формирующие там основную часть опухоли. У детей в данной подгруппе по гистологической структуре имелось следующее распределение: анапластические эпендимомы — 8 (53 %), медуллобластомы — 4 (26 %), в трех наблюдениях (21 %) отмечали пилоидную астроцитому, атипическую хориоидпапиллому, атипичную тератоидно-рабдоидную опухоль. У пациентов старше 18 лет при локализации опухоли в IV желудочке по гистологической структуре имелось следующее распределение: эпендимомы различной степени злокачественности GI-GIII — 18 (53 %), хориоидпапилломы — 6 (17 %), пилоидные астроцитомы — 3 (9 %), медуллобластомы — 2 (6 %), метастазы — 2 (6 %) и в трех наблюдениях (9 %) — гемангиобластома, В-клеточная лимфома, смешанная герминогенная опухоль. У 31 пациента (39 %) местом локализации опухоли определялся нижний отдел ствола мозга и спиномедуллярная область (спиномедуллярные эпендимомы, реже — астроцитомы). В эту подгруппу вошли 15 детей (50 %) и 16 взрослых пациентов (32 %). У детей в данной подгруппе преобладали пилоидные астроцитомы — 8 (53 %), злокачественные глиомы — 4 (27 %), однократно встречались спиномедуллярные анапластические эпендимома и астроцитома, а также гемангиобластома — 3 (21 %). В группе пациентов старше 18 лет опухоли по гистологической структуре были представлены пилоидными астроцитомами — 7 (44 %), спиномедуллярными эпендимомами — 5 (30 %), гемангиобластомами — 2 (13 %) и единично ганглиоглиомой и спиномедуллярной анапластической астроцитомой — 2 (13 %).
Характеристика проведенного хирургического вмешательства
В большинстве случаев оперативное вмешательство было проведено в первый раз [61 (77 %)]. У 65 (81,3 %) пациентов оперативное вмешательство проводили в положении пронации, остальные пациенты были оперированы в положении сидя на операционном столе. Радикальное удаление опухоли достигнуто у 51 пациента (63,7 %), субтотальное — у 20 (25 %), частичное — у 6 (7,5 %), у 3 пациентов (3,8 %) оперативное вмешательство ограничилось открытой биопсией.
Неврологическая симптоматика со стороны каудальной группы черепных нервов до и после хирургического вмешательства
До операции 23 пациента (28,8 %) имели нарушения иннервации мышц глотки и языка: 12 (15 %) имели негрубую неврологическую симптоматику, выявленные нарушения компенсировались самостоятельно и выявлялись только при отоневрологическом осмотре; 5 (6,3 %) имели выраженные нарушения глотания, которые проявлялись в периодическом поперхивании; 6 (6,3 %) имели выраженную дисфагию, для кормления использовали назогастральный зонд.
После операции нарастание неврологической симптоматики со стороны каудальной группы черепных нервов отмечалось у 28 пациентов (35 %), из них было 12 детей и 16 взрослых. У 18 пациентов (23 %) отмечена вновь возникшая симптоматика, у 10 (12 %) — усугубление уже имеющейся до операции неврологической симптоматики. По тяжести вновь возникшей симптоматики имелось следующее распределение: грубая дисфагия, требующая выполнения трахеостомии для протекции дыхательных путей — 11 (14 %); грубые нарушения иннервации мышц глотки после экстубации, потребовавшие зондового питания — 9 (11 %); умеренные и легкие нарушения иннервации мышц глотки и языка — 8 (10 %).
Результаты интраоперационного нейрофизиологического мониторинга КБ-МВП
Воспроизводимость ответов КБ-МВП составила 94,2 ± 16,6 %. Нами не было получено статистически достоверной разницы в воспроизводимости ответов во взрослой и детской группах пациентов (точный критерий Фишера, р > 0,05). Учитывая данные результаты, а также отсутствие различий в методологии проведения исследования у детей и взрослых, дальнейшие вычисления были проведены в общей группе пациентов.
Кроме этого, воспроизводимость ответов исходно не зависела от неврологического статуса со стороны каудальной группы черепных нервов до операции (точный критерий Фишера, р > 0,05).
При сравнении групп пациентов, у которых отмечалось нарастание неврологической симптоматики со стороны исследуемого нерва, с группой пациентов без нарастания симптоматики была получена статистически достоверная разница по величине СС по всем исследуемым нервам. Коэффициент СС в подгруппе пациентов с нарастанием неврологической симптоматики был статистически достоверно выше (метод Манна – Уитни, р < 0,05). Значения коэффициентов СС по каждому из исследуемых нервов в зависимости от динамики неврологической симптоматики показаны в таблице.
Таблица. Значения медиан, верхнего и нижнего квартилей коэффициентов степени снижения амплитуды кортикобульбарных моторных вызванных потенциалов в группах пациентов с нарастанием и без нарастания неврологической симптоматики после операции, Me [Q1; Q3]
Table. Values of the medians, upper and lower quartiles of the coefficients of depression of the amplitude of сorticobulbar motor evoked potentails in groups of patients with neurological symptoms and without after surgery, Me [Q1; Q3]
Исследуемый нерв | Есть нарастание симптоматики | Нет нарастания симптоматики | p |
IX+X R | 20 значений | –22,8 [–65,6; 10,8] 55 значений | <0,00001 |
IX+X L | 16 значений | –9,66 [–44,7; 13,15] 57 значений | 0,000013 |
XII R | 16 значений | –15,3 [–63,3; 7,56] 56 значений | <0,00001 |
XII L | 18 значений | –28,6 [–93,0; 8,24] 56 значений | <0,00001 |
При анализе подгруппы пациентов с нарастанием неврологической симптоматики со стороны IX и X пар черепных нервов было проведено сравнение значений СС в зависимости от тяжести неврологических нарушений (нет нарушений, легкие нарушения, зонд, трахеостома) была получена статистически достоверная разница по значениям СС (критерий Краскела – Уоллиса, р < 0,05), то есть СС был значимо выше у пациентов, которым после операции потребовались проведение трахеостомии или установка назогастрального зонда для протекции дыхательных путей.
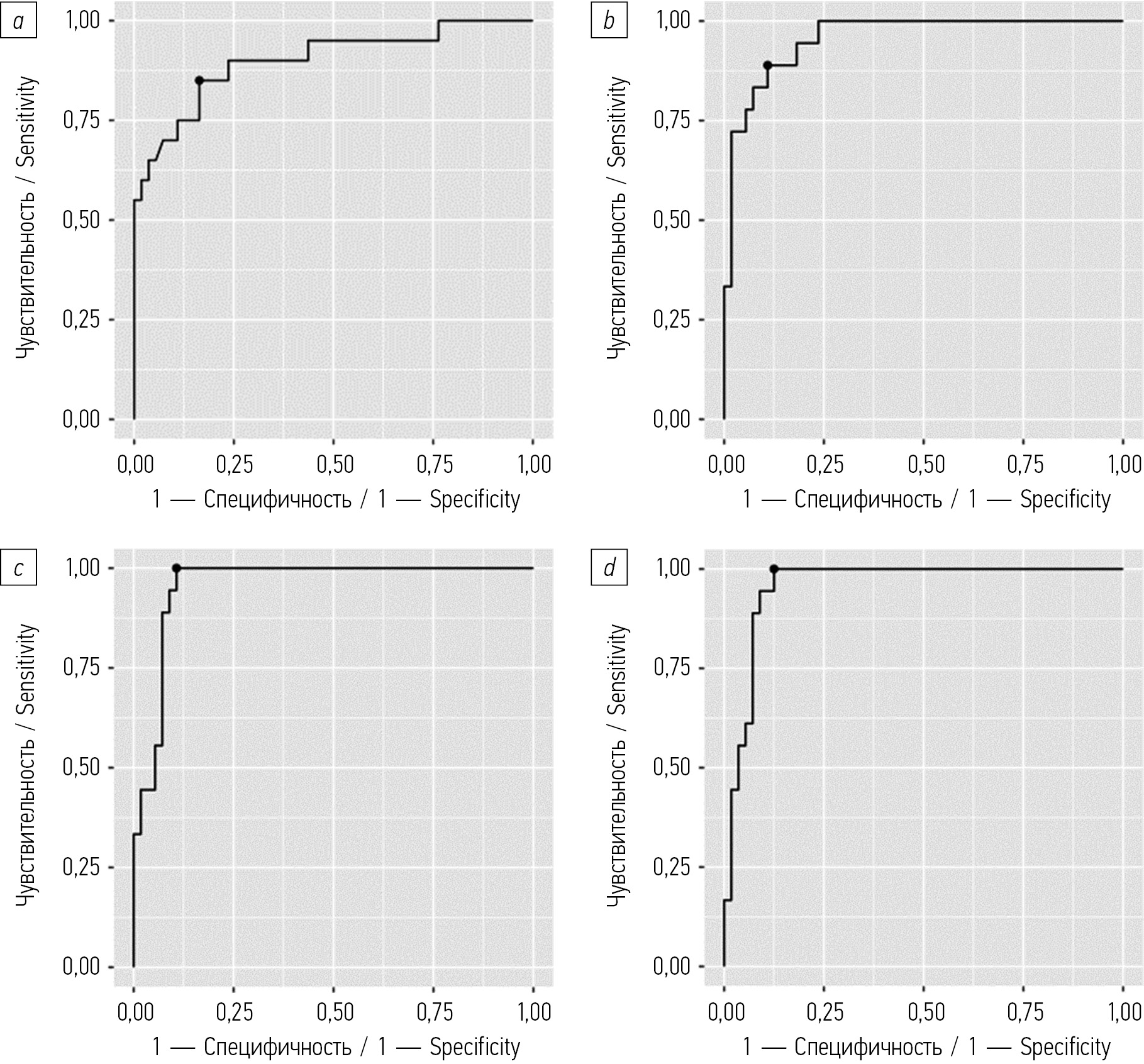
При проведении логистической регрессии были определены чувствительность и специфичность модальности КБ-МВП по каждому исследуемому нерву (IX+X R, IX+X L, XII R, XII L), в среднем они составили 94,4 и 89,2 % соответственно при допустимом пороге снижения амплитуды КБ-МВП 34 %. То есть если в ходе операции происходит снижение амплитуды КБ-МВП на 34 % и более от исходного уровня, то с высокой степенью вероятности можно ожидать нарастание недостаточности со стороны этого нерва. На рис. 1 представлены кривые ROC-анализа для каждого исследуемого нерва.
Рис. 1. Кривые ROC-анализа для модальности КБ-МВП: а — по IX и X нервам справа (площадь под кривой 0,9); b — по IX и X нервам слева (площадь под кривой 0,96); c — по XII нерву справа (площадь под кривой 0,96); d — по XII нерву слева (площадь под кривой 0,96)
Fig. 1. ROC-curve for the CoMEP: a — right IX and X nerves (area under the curve 0.9); b — left IX and X nerves (area under the curve 0.96); c — right XII nerve (area under the curve 0.96); d — left XII nerve (area under the curve 0.96)
Нижепредставленным клиническим наблюдением показано практическое применение модальности КБ-МВП во время операции.
Клиническое наблюдение
Пациентка Я., 34 года, поступила в НМИЦН 19.05.2021 с диагнозом «опухоль четвертого желудочка». Из анамнеза известно, что 6 мес. назад начали беспокоить головные боли, тошнота, рвота, икота. При выполнении МРТ была диагностирована опухоль четвертого желудочка больших размеров (рис. 2). Пациентке было предложено оперативное вмешательство. По данным неврологического осмотра очаговой неврологической симптоматики не отмечено.
Рис. 2. Дооперационные магнитно-резонансные томограммы с контрастным усилением пациентки Я. в сагиттальной (а) и коронарной (b) проекциях
Fig. 2. Preoperative magnetic resonance imaging studies with contrast of the patient Y. in the sagittal (a) and coronal (b) projections
Операцию выполняли в положении пронации на операционном столе под контролем интраоперационного нейрофизиологического мониторинга с использованием модальности КБ-МВП от мышц, иннервируемых подъязычным и языкоглоточным нервами с двух сторон. До начала операции регистрировали стабильные, хорошо воспроизводимые МВП (рис. 3). Была выполнена костнопластическая субокципитальная краниотомия, вскрыта твердая мозговая оболочка. В области отверстия Мажанди обнаружена опухоль серого цвета. Начато удаление опухоли с помощью окончатого пинцета и отсоса. Опухоль мягкой консистенции, гетерогенного строения, с интенсивным кровоснабжением. В толще опухоли располагались крупные опухолевые сосуды, которые интенсивно кровоточили в процессе удаления опухоли. По мере удаления опухоли эти сосуды коагулировали и пересекали. Опухоль распространялась в оба боковых выворота. На периферии опухоль не была отграничена от вещества мозга, грубо инфильтрировала его. Во время удаления части опухоли, которая инфильтрировала дно IV желудочка, отмечали снижение амплитуды КБ-МВП от всех исследуемых мышц на 70–90 % исходного уровня (рис. 3). Учитывая данные ИОМ, а также предположительно злокачественную гистологическую структуру опухоли по данным срочной биопсии, было принято решение данную часть опухоли не удалять. Проведен гемостаз путем коагуляции сосудов и при помощи гемостатической марли. Гистологическое исследование выявило анапластическую эпендимому WHO G III.
Рис. 3. Мониторинг кортикобульбарных моторных вызванных потенциалов от мышц, иннервируемых языкоглоточным, блуждающим, подъязычным нервами билатерально. При удалении опухоли в области писчего пера отмечается снижение амплитуды моторного вызванного потенциала от всех исследуемых мышц
Fig. 3. In the figure, motor evoked potentials of cranial nerve IX, X, XII are being recorded. Indication shows reduction of MEPs during removal of a tumor in the area of calamus scriptorius
После окончания операции пациентка была переведена в отделение реанимации и интенсивной терапии. На момент прекращения действия средств для наркоза уровень бодрствования оценивался в 15 баллов по шкале комы Глазго. Отмечалось резкое снижение реакции на интубационную трубку, скопление слюны в ротовой полости, невозможность выведения языка за линию зубов. Учитывая интраоперационные и клинические данные, было принято решение о продлении искусственной вентиляции легких (ИВЛ) и седации пропофолом в дозе 3 мг/кг/ч на 12 ч. На следующий день после прекращения седации отмечена положительная динамика в виде появления слабого кашлевого рефлекса на санацию трахеи, нарастания реакции на интубационную трубку. Было принято решение об экстубации. После экстубации у пациентки наблюдали осиплость и скопление слюны в ротовой полости. Эти нарушения не приводили к декомпенсации состояния на фоне слабого кашлевого рефлекса и кормления через назогастральный зонд. Пациентка была переведена в клиническое отделение. При проведении отоневрологического осмотра отмечено двустороннее нарушение функции IX, X, XII пар черепных нервов (провисание мягкого неба, резкое снижение глоточного рефлекса с двух сторон, невозможность выведения языка за линию зубов, осиплость). После занятий с логопедом у пациентки появился незначительный регресс нарушений функции каудальной группы черепных нервов в виде устойчивого кашлевого рефлекса и появления подвижности языка. На 15-е сутки после операции пациентка была выписана по месту жительства для дальнейшего лечения и реабилитации с рекомендациями кормления через назогастральный зонд. Через 3 мес. после операции у пациентки отмечен постепенный регресс бульбарных нарушений, назогастральный зонд был удален, питание осуществлялось через рот без поперхивания. Из симптоматики остались только дизартрия и осиплость.
В данном клиническом наблюдении показана значимость модальности КБ-МВП для прогноза нарастания неврологической симптоматики со стороны каудальной группы черепных нервов после операции. Результаты модальности КБ-МВП в совокупности с клиническими данными определили тактику ведения пациентки в раннем послеоперационном периоде.
Обсуждение
Работа посвящена одной из модальностей интраоперационного нейрофизиологического мониторинга, а именно КБ-МВП. КБ-МВП — результат нейрофизиологической активации кортикобульбарного тракта при стимуляции моторной зоны коры электрическим током (рис. 4) [1, 4, 5].
Рис. 4. Механизм регистрации кортикобульбарных моторных вызванных потенциалов
Fig. 4. The mechanism of registration of corticobulbar motor evoked potentials
Необходимость использования данного метода в нейрохирургии, а именно во время нейрохирургических операций на структурах задней черепной ямки, обусловлена такой особенностью данных операций как высокий риск возникновения бульбарного синдрома после оперативного вмешательства (до 30–50 %), развитие которого нередко требует лечения в отделении реанимации [6–9]. У наших пациентов нарастание симптоматики со стороны каудальной группы черепных нервов наблюдалось в 35 % случаев, 14 % были с грубыми бульбарными нарушениями, им после операции потребовалась трахеостомия и продленная ИВЛ для протекции дыхательных путей. Поэтому существует необходимость оценивать функцию каудальной группы черепных нервов во время оперативного вмешательства для прогнозирования появления бульбарного синдрома с целью определения тактики ведения пациента в раннем послеоперационном периоде (пролонгированная ИВЛ, установка трахеостомы, зондовое питание и т. д.) для снижения риска аспирации и присоединения инфекционных осложнений дыхательных путей [10, 11].
Более подробный анализ особенностей и прогностической значимости методики рассмотрен на примере регистрации потенциалов от мышц, иннервируемых лицевым нервом, — кортиконуклеарных моторных вызванных потенциалов. Именно с их регистрации началась история данной модальности в 2005 г. [12]. В дальнейшем она была модифицирована для регистрации потенциалов от мышц, иннервируемых каудальной группой черепных нервов [4]. На данный момент остается тенденция к более широкому использованию данной модальности в исследовании функции лицевого нерва при хирургическом лечении новообразований мостомозжечкового угла [13–15]. Использование метода КБ-МВП в хирургии объемных образований ствола головного мозга и IV желудочка в доступной литературе представлено достаточно узко [3, 16]. В основном работы посвящены клиническим наблюдениям пациентов с использованием метода КБ-МВП и методологическим описаниям самого метода [17]. В работе Kulmann, выполненной на 63 пациентах с объемными образованиями задней черепной ямки различной гистологической структуры и локализации (в том числе и экстракраниальной локализации, когда существует риск повреждения нерва), показана существенная корреляция между наличием неврологической симптоматики после операции и изменениями параметров КБ-МВП [3]. В нашей работе также показана прогностическая значимость данной модальности, когда существует вероятность повреждения только ядер каудальной группы черепных нервов.
Несмотря на прогностическую значимость данной модальности, существуют технические трудности в получении адекватных и хорошо воспроизводимых ответов еще в начале операции. По литературным данным, воспроизводимость ответов составляет 76–92 % по причине возникновения высокоамплитудного артефакта от стимула вследствие близкого расположения регистрирующих и стимулирующих электродов. Кроме того, в близости от регистрирующих и стимулирующих электродов расположена фиксирующая скоба Мейфилда, которая состоит из медицинской стали, что является сильным ферромагнетиком, усиливающим электромагнитное поле [17]. Все это затрудняет получить адекватные ответы еще в начале операции. В нашей работе в качестве регистрирующих электродов у большинства пациентов мы использовали двойные регистрирующие электроды длиной 12 мм (Pras, Medtronic), тем самым нам удалось повысить воспроизводимость до 94 %. Существуют разногласия по техническим характеристикам проведения исследования. В первую очередь, это место установки стимулирующих пружинных электродов на скальпе в проекции моторной зоны коры головного мозга. Существуют варианты установки электродов в точках C3-Cz/C4-Cz по международной схеме расположения электродов «10–20 %» [2]. Имеются варианты установки С3-С4, С5-Сz/C6-Cz [12, 17]. Во время отработки модальности мы исследовали различные способы установки стимулирующих электродов, различий в воспроизводимости ответов не было выявлено, поэтому предпочтение было отдано варианту в точках С3-С4, так как при данном способе постановки регистрирующих электродов возможен одновременный мониторинг и кортикоспинального тракта, который в ряде случаев также может быть задействован при локализации объемного процесса в стволе мозга.
Одной из задач исследования было определение возможности использования модальности как в детской, так и во взрослой группах пациентов по единому универсальному протоколу исследования. Если говорить о детях, то информация о возможности применения данной модальности в этой возрастной группе ограничена. В ранее проведенном нами исследовании была показана прогностическая значимость данной модальности у детей при оперативных вмешательствах, когда существует риск повреждения ядер и корешков каудальной группы черепных нервов [18]. По причине незавершенности процессов синаптогенеза и миелинизации нервных волокон у детей во время проведения нейрофизиологических исследований могут возникать технические трудности в регистрации ответов, что требует увеличения интенсивности стимуляции, длительности стимула, количества импульсов в пачке стимулов и т. д. [1, 19]. Выбранная нами парадигма проведения исследования считается универсальной, ее можно использовать как у детей, так и у взрослых пациентов.
Еще одной задачей исследования было определение чувствительности и специфичности модальности КБ-МВП, в литературе подобные расчеты на данный момент не представлены. Мы получили значения чувствительности 94,4 % и специфичности 89,2 %, что сопоставимо с другими модальностями ИОМ (транскраниальные МВП, соматосенсорные вызванные потенциалы, D-волна и т. д.), по литературным данным они составляют 80–95 и 60–90 % соответственно [20]. Полученная информация необходима для интерпретации результатов исследования во время операции, так как существует вероятность получения как ложноотрицательных (изменения ответов не происходит, а после операции нарастает неврологическая симптоматика), так и ложноположительных (отмечается снижение ответов, нарастания симптоматики нет) результатов. К основным причинам ложноотрицательных результатов относят нарастание отека мозговой ткани после операции, возникновение ишемических нарушений в области операции, ложноположительных — удаление большого объема опухоли или опорожнение кистозной части объемного образования, а в следствие этого происходит уменьшение объема, через который проходит электрический ток. На возникновение ложноположительных результатов также может влиять положение больного «сидя» на операционном столе, что объясняется постепенным накоплением воздуха в субдуральном пространстве [21]. Для увеличения прогностической значимости модальности рекомендуется использовать допустимый порог снижения амплитуды ответов. При построении регрессионной логистической модели нами был определен данный порог, и он составил 34 %. Представленные расчеты и рассуждения относительно чувствительности и специфичности модальности, а также допустимого порога снижения амплитуды ответа необходимо учитывать, когда происходит анализ данных во время хирургического вмешательства. Кроме этого, во время операции необходимо непрерывное взаимодействие между оперирующим хирургом и нейрофизиологом, чтобы учитывать полноценно всю интраоперационную картину и интраоперационные осложнения для более качественной интерпретации данных интраоперационного нейрофизиологического мониторинга, тем самым увеличивая прогностическую значимость исследования.
Заключение
Таким образом, модальность КБ-МВП — валидный инструмент для оценки состояния кортикобульбарного тракта. Она позволяет достоверно учитывать риски развития дисфагии после операции. Подобный прогноз очень важен, так как дает возможность планировать тактику ведения пациента в первые сутки после операции (продленная ИВЛ, трахеостомия) для предотвращения серьезного осложнения в виде аспирационной пневмонии. Кроме этого, результаты ИОМ в ряде случаев могут регулировать хирургическую тактику и определять ее агрессивность. Требуются дальнейшие исследования и отработка данной методики для внедрения ее в рутинную практику нейрохирургии, а также для понимания того, как должна измениться хирургическая тактика в случае снижения амплитуды МВП в ходе операции.
Дополнительная информация
Финансирование. Статья не имела спонсорской поддержки.
Соблюдение этических норм. Выполнение работы и клиническая апробация метода одобрены на заседании локального этического комитета при ФГАУ НМИЦ нейрохирургии им. Н.Н. Бурденко МЗ РФ № 09/2020 от 16.09.2020.
Конфликт интересов. Авторы заявляют об отсутствии конфликта интересов.
Вклад авторов. Все авторы внесли существенный вклад в разработку концепции, проведение исследования и подготовку статьи, прочли и одобрили финальную версию перед публикацией. Наибольший вклад распределен следующим образом: К.Н. Лаптева — концепция и дизайн исследования, сбор материала, написание текста; К.Н. Лаптева, Ю.В. Струнина — статистическая обработка; К.Н. Лаптева, Ю.В. Струнина, А.А. Огурцова — редактирование.
Additional information
Funding source. The article has no sponsorship.
Ethical approval. The performance of the work and the clinical testing of the method were approved at a meeting of the local ethical committee at the N.N. Burdenko National Scientific and Practical Center for Neurosurgery of the Ministry of Healthcare of the Russian Federation No. 09/2020 dated 16.09.2020.
Conflict of interest. The authors declare the absence of explicit and potential conflicts of interest associated with the publication of this article.
Authors’ contribution. All authors made significant contributions to concept development, research and paper preparation, read and approved the final version before publication. The largest contribution is distributed as follows: K.N. Lapteva — the concept and design of the study, data collection, writing the text; K.N. Lapteva, Yu.V. Strunina — statistical analysis; K.N. Lapteva, Yu.V. Strunina, A.A. Ogurtsova — correction.
Об авторах
Кристина Николаевна Лаптева
Национальный медицинский исследовательский центр нейрохирургии им. Н.Н. Бурденко
Автор, ответственный за переписку.
Email: laptevakr@gmail.com
ORCID iD: 0000-0003-1163-7253
Scopus Author ID: 57201638172
младший научный сотрудник лаборатории клинической нейрофизиологии, врач функциональной диагностики
Россия, МоскваАнна Анатольевна Огурцова
Национальный медицинский исследовательский центр нейрохирургии им. Н.Н. Бурденко
Email: aogurtsova@nsi.ru
ORCID iD: 0000-0003-3595-2696
Scopus Author ID: 7801329632
младший научный сотрудник лаборатории клинической нейрофизиологии, врач функциональной диагностики
Россия, МоскваЮлия Владимировна Струнина
Национальный медицинский исследовательский центр нейрохирургии им. Н.Н. Бурденко
Email: UStrunina@nsi.ru
ORCID iD: 0000-0001-5010-6661
SPIN-код: 9799-5066
Scopus Author ID: 56771318400
ведущий инженер лаборатории биомедицинской информатики и искусственного интеллекта
Россия, МоскваСписок литературы
- Sala F., Coppola A., Tramontano V. Intraoperative neurophysiology in posterior fossa tumor surgery in children // Child’s Nerv. Syst. 2015. Vol. 31, No. 10. P. 1791–1806. doi: 10.1007/s00381-015-2893-1
- Jasper H. The ten-twenty electrode system of the International Federation // Electroencephalogr Clin. Neurophysiol. Suppl. 1958. No. 10. P. 371–375.
- Kullmann M., Tatagiba M., Liebsch M., Feigl G. Evaluation of the predictive value of intraoperative changes in motor-evoked potentials of caudal cranial nerves for the postoperative functional outcome // World Neurosurg. 2016. No. 95. P. 329–334. doi: 10.1016/j.wneu.2016.07.078
- Deletis V., Fernandez-Conejero I., Ulkatan S., Costantino P. Methodology for intraoperatively eliciting motor evoked potentials in the vocal muscles by electrical stimulation of the corticobulbar tract // Clin. Neurophysiol. 2009. Vol. 120, No. 2. P. 336–341. doi: 10.1016/j.clinph.2008.11.013
- Deletis V., Fernandez-Conejero I. Intraoperative monitoring and mapping of the functional integrity of the brainstem // J. Clin. Neurol. 2016. Vol. 12, No. 3. P. 262–273. doi: 10.3988/jcn.2016.12.3.262
- Wadhwa R., Toms J., Chittiboina P. et al. Dysphagia following posterior fossa surgery in adults // World Neurosurg. 2014. Vol. 82, No. 5. P. 822–827. doi: 10.1016/j.wneu.2013.01.035
- Lee W., Oh B., Seo H. et al. One-year outcome of postoperative swallowing impairment in pediatric patients with posterior fossa brain tumor // J. Neurooncol. 2016. Vol. 127, No. 1. P. 73–81. doi: 10.1007/s11060-015-2010-z
- Morgan A., Sell D., Ryan M. et al. Pre and post-surgical dysphagia outcome associated with posterior fossa tumour in children // J. Neurooncol. 2008. Vol. 87, No. 3. P. 347–354. doi: 10.1007/s11060-008-9524-6
- Куканов К.К., Тастанбеков М.М., Олюшин В.Е., Пустовой С.В. Ближайшие и отделенные результаты хирургического лечения пациентов с менингиомами области БЗО // Российский нейрохирургический журнал им. проф. А.Л. Поленова. 2017. № 9(1). С. 36–42.
- Thompson J., Newman L., Boop F., Sanford R. Management of postoperative swallowing dysfunction after ependymoma surgery // Childs Nerv. Syst. 2009. Vol. 25, No. 10. P. 1249–1252. doi: 10.1007/s00381-009-0880-0
- Горячев А.С., Савин И.А., Пуцилло М.В. и др. Шкала оценки и терапевтическая стратегия при нарушении глотания у больных с повреждением ствола головного мозга // Вопросы нейрохирургии. 2006. № 4. С. 24–28.
- Dong C., Macdonald D., Akagami R. et al. Intraoperative facial motor evoked potential monitoring with transcranial electrical stimulation during skull base surgery // Clin. Neurophysiol. 2005. Vol. 116, No. 3. P. 588–596. doi: 10.1016/j.clinph.2004.09.013
- Matthies C., Raslan F., Schweitzer T. et al. Facial motor evoked potentials in cerebellopontine angle surgery: technique, pitfalls and predictive value // Clin. Neurol. Neurosurg. 2011. Vol. 113, No. 10. P. 872–879. doi: 10.1016/j.clineuro.2011.06.011
- Fukuda M., Oishi T., Takao A. et al. Facial nerve motor-evoked potential monitoring during skull base surgery predicts facial nerve outcome // J. Neurol. Neurosurg. Psychiatry. 2008. Vol. 79, No. 9. P. 1066–1070. doi: 10.1136/jnnp.2007.130500
- Goto T., Muraoka H., Kodama K. et al. Intraoperative monitoring of motor evoked potential for the facial nerve using a cranial peg-screw electrode and a “Threshold-level” stimulation method // Skull Base. 2010. Vol. 20, No. 6. P. 429–434. doi: 10.1055/s-0030-1261270
- Ito E., Ichikawa M., Itakura T. et al. Motor evoked potential monitoring of the vagus nerve with transcranial electrical stimulation during skull base surgeries // J. Neurosurg. 2013. Vol. 118, No. 1. P. 195–201. doi: 10.3171/2012.10.JNS12383
- Morota N., Ihara S., Deletis V. Intraoperative neurophysiology for surgery in and around the brainstem: role of brainstem mapping and corticobulbar tract motor-evoked potential monitoring // Childs Nerv. Syst. 2010. Vol. 26, No. 4. P. 513–521. doi: 10.1007/s00381-009-1080-7
- Лаптева К.Н., Огурцова А.А., Кадыров Ш.У. и др. Мониторинг кортикобульбарных моторных вызванных потенциалов при хирургическом удалении опухолей ствола головного мозга и четвертого желудочка у пациентов детского возраста // Вестник неврологии, психиатрии и нейрохирургии. 2022. № 9. С. 666–673. doi: 10.33920/med-01-2209-04
- Kim K., Cho C., Bang M. et al. Intraoperative neurophysiological monitoring: a review of techniques used for brain tumor surgery in children // J. Korean Neurosurg. Soc. 2018. Vol. 61, No. 3. P. 363–375. doi: 10.3340/jkns.2018.0078
- Bir M., Gupta U., Jaryal A. et al. Predictive value of intraoperative D-wave and m-MEP neurophysiological monitoring in patients with preoperative motor deficits in immediate and late postoperative period // J. Craniovertebr. Junction Spine. 2021. Vol. 12, No. 1. P. 26–32. doi: 10.4103/jcvjs.JCVJS_76_20
- Acioly M., Liebsch M., Carvalho C. et al. Transcranial electrocortical stimulation to monitor the facial nerve motor function during cerebellopontine angle surgery // Neurosurgery. 2010. Vol. 66, No. 6 Suppl Operative. P. 354–361. doi: 10.1227/01.neu.0000369654.41677.b7
Дополнительные файлы






