Апо-форма рекомбинантного лактоферрина человека изменяет уровень полногеномного метилирования ДНК и степень компактизации хроматина в клеточной линии нейробластомы IMR-32
- Авторы: Сучкова И.О.1, Шарруф К.А.1, Сасина Л.К.1, Дергачева Н.И.1, Баранова Т.В.1, Паткин Е.Л.1
-
Учреждения:
- Институт экспериментальной медицины
- Выпуск: Том 22, № 4 (2022)
- Страницы: 77-96
- Раздел: Оригинальные исследования
- Статья опубликована: 01.02.2023
- URL: https://journals.eco-vector.com/MAJ/article/view/112498
- DOI: https://doi.org/10.17816/MAJ112498
- ID: 112498
Цитировать
Полный текст
Аннотация
Обоснование. Нейробластома — одна из часто встречающихся экстракраниальных солидных опухолей детского возраста. На современном этапе значительную роль в развитии новообразований отводят эпигенетическим нарушениям. Поскольку процесс эпигенетических изменений в клетке достаточно динамичен и обратим, то актуально выявление экзогенных веществ, способных влиять на эпигеном и которые могут быть использованы для эпигенетической таргетной терапии различных типов опухолей. Одним из таких потенциальных молекул является лактоферрин. В настоящее время описаны противоопухолевые свойства этого белка из семейства трансферринов, однако практически не известно о его влиянии на эпигеном клеток различных типов новообразований, в том числе нейробластомы.
Цель — исследовать влияние апо-формы экзогенного рекомбинантного лактоферрина человека на жизнеспособность и эпигеномный статус клеток нейробластомы IMR-32.
Материалы и методы. В работе исследованы клетки нейробластомы человека линии IMR-32 после 72 ч воздействия 8 доз рекомбинантного аполактоферрина человека: 0,1, 0,5, 1, 5, 10, 50, 100 и 500 мкг/мл. Проведена количественная оценка уровня полногеномного метилирования ДНК и степени компактизации хроматина в клетках IMR-32 с использованием коммерческих наборов 5-mC DNA ELISA Kit, Global DNA Methylation – LINE-1 Kit, а также ферментативного гидролиза MspI / HpaII и DNaseI.
Результаты. Обнаружено, что рекомбинантный аполактоферрин снижает жизнеспособность IMR-32 и в зависимости от дозы дифференциально влияет на уровень полногеномного метилирования ДНК (СpG-динуклеотидов, CCGG-сайтов, LINE-1-повторов) и степень компактизации хроматина. При этом наблюдается сложная картина эпигеномного клеточного ответа на воздействие аполактоферрина (нелинейная немонотонная зависимость доза – эффект).
Заключение. Предполагается, что аполактоферрин способен модулировать активность генов через эпигенетические механизмы, в частности изменяя паттерн метилирования ДНК и влияя на структуру хроматина, что может быть одним из молекулярных механизмов его противоопухолевого действия.
Полный текст
Список сокращений
АФК — активные формы кислорода; ЛФ — лактоферрин; apo-rhLF — рекомбинантный аполактоферрин человека; DNMT — ДНК-метилтрансфераза; ER — рецептор эстрогена; HIF — фактор, индуцируемый гипоксией.
Обоснование
Нейробластома — одна из наиболее часто встречающихся экстракраниальных солидных опухолей детского возраста, происходящая из симпатогониев (незрелых клеток-предшественников симпатической нервной системы). Она может возникнуть в любой анатомической области, где есть симпатическая нервная система: чаще всего в мозговом слое надпочечников, в симпатическом стволе на любом участке вдоль всего позвоночника (в шейной, грудной и брюшной области), реже в головном мозге и крайне редко в легких и коже. Частота нейробластомы составляет около 7–10 % из всех видов опухолей детского возраста, включая лейкозы [1].
Этиология нейробластомы до сих пор не ясна. Результаты многих исследований указывают на то, что развитие этой опухоли в большинстве случаев обусловлено не только генетическими мутациями, но и изменениями в эпигеноме [2–4]. Так, клинико-патологические особенности нейробластомы (фенотип клеток, степень агрессивности опухоли и стадия заболевания) ассоциированы с изменениями модификаций гистонов (H3K4me1, H3K4me3, H3K27Ac, H3K27me3) [5–7] и метилированием ДНК [2, 8, 9]. При этом обнаружено, что большинство нарушений метилирования ДНК происходит как в промоторах [8, 10], так и вне промоторов определенных генов [10, 11], а также по всему геному [10], в частности в LINE-1-повторах [12–14]. Причем мишенью являются как CpG-динуклеотиды [2, 10], так и не-CpG-сайты (meCpHpG и meCpHpH, где H = A, C или T) [9, 11, 15]. Необходимо подчеркнуть, что в опухолевых клетках гипометилирование LINE-1 — одна из причин геномной нестабильности, и в нейробластоме, например, оно связано с окислительным стрессом, индуцируемым активными формами кислорода (АФК) [13]. Показано, что в некоторых типах новообразований (например, при раке мочевого пузыря) гипометилирование LINE-1 при окислительном стрессе сопровождается ремоделированием хроматина за счет увеличения уровня H3K9me3 и HP1α, и в зависимости от клеточной линии промоторы ретротранспозона LINE-1 становятся обогащены либо H3K4me3 и H3K18ac, либо H3K9me3 и H3K27me3 [16]. Таким образом, актуально проведение исследований, направленных на выявление эпигенетических (эпигеномных) биомаркеров (в частности метилирования CpG-динуклеотидов в различных сайтах и компактизации хроматина) в клетках разных клинико-морфогенетических типов нейробластомы [5–8, 11]. Кроме того, результаты молекулярного анализа эпигеномных изменений, возникающих в малигнизированных клетках по сравнению с нормой, а также после воздействия препаратов, используемых для химиотерапии нейробалстомы, позволят лучше понять возможные причины приобретенной лекарственной устойчивости этого типа новообразований [6]. Поэтому важно исследовать вещества, влияющие на эпигеном и снижающие жизнеспособность клеток нейробластомы, что в дальнейшем может быть использовано для «эпигенетической» терапии в комплексном лечении данного типа опухолей.
В последнее время особое внимание уделяется поиску природных веществ, которые обладают противоопухолевым действием и способствуют снижению побочных эффектов и преодолению лекарственной устойчивости при обычной терапии новообразований. Например, куркумин — полифенольное соединение растительного происхождения — обладает антиоксидантными, противовоспалительными и противоопухолевыми свойствами. При этом его антиоксидантная активность обусловлена хелатированием железа, ингибированием перекисного окисления липидов и удалением АФК [17]. Однако в клетках нейробластомы куркумин индуцирует генерацию АФК. Повышение внутриклеточных уровней АФК подавляет ERK1/2-киназы и стимулирует экспрессию гипоксия-индуцибельного фактора-1 альфа (HIF-1α). В итоге воздействие куркумином приводит к остановке клеточного цикла и апоптозу клеток нейробластомы посредством модуляции сигнальных путей PTEN-Akt, NF-êB, FOXO3a и p53, индукции митохондриальной дисфункции и активации каспазы [18], что и обусловливает противоопухолевый эффект этого вещества.
Другое природное соединение с подобными куркумину свойствами — лактоферрин (ЛФ) — многофункциональный гликопротеин из семейства трансферринов, который обладает несколькими ферментативными активностями: ДНКазной, РНКазной, АТФазной, фосфатазной и амилазной. Данный белок способен обратимо связывать ионы железа и может существовать свободно от Fe2+/Fe3+ (апо-форма ЛФ) или связанно с ним (холо-форма ЛФ). Помимо железа он может взаимодействовать с ионами Cu2+, Zn2+ и Mn2+. ЛФ обладает антибактериальным, антипаразитарным, противовирусным, антиаллергическим, иммуномодулирующим и противоопухолевым действем [19–21]. Он принимает участие в клеточном росте и дифференцировке, может стабилизировать HIF-1α/2α и активировать различные сигнальные пути. Как транскрипционный фактор ЛФ может регулировать экспрессию генов, отвечающих за выживание клетки при гипоксии [22, 23].
ЛФ проявляет свою биологическую активность после взаимодействия со специфическими LPR-рецепторами, которые обнаружены во многих тканях и типах клеток. Установлено, что ЛФ взаимодействует с рецепторами интелектина-1 (оментин-1), CD14 и аполипопротеина Е (белок-1, подобный рецептору ЛПНП, LDL, LRP-1/CD91), а также с Toll-подобными (TLR2, TLR4), цитокиновыми (CXCR4), лектиновыми С-типа (CLRs) рецепторами [19, 24, 25]. Наибольшие концентрации ЛФ определяются в молозиве и молоке, он также присутствует в крови, слезной жидкости, слюне, бронхолегочном лаваже, вагинальных секретах, семенной, синовиальной, спинномозговой жидкостях. Данный белок в организме преимущественно синтезируется эпителиальными клетками и в значительном количестве депонирован в гранулах нейтрофилов [20, 26].
Экспрессия гена LTF ЛФ зависит от типа клеток, регулируется эстрогеновыми и эстроген-подобными рецепторами, может активироваться ретиноевой кислотой, митогенами, факторами роста и модулироваться окислительным стрессом [26–28]. В то же время в опухолевых клетках ЛФ не экспрессируется из-за гиперметилирования ДНК и деацетилирования гистонов промотора гена LTF [29–31]. Помимо этого обнаружено, что генетическая изменчивость LTF значительно повышает восприимчивость к развитию новообразований, а нарушения в метилировании промотора или первого экзона могут иметь тот же эффект, что и мутации различных генов-супрессоров опухолей или протоонкогенов [28]. В модельных экспериментах было выявлено, что сверхэкспрессия гена LTF может ингибировать пролиферацию клеток некоторых опухолей [32]. Установлено, что экзогенный ЛФ способен подавлять рост солидных опухолей, редуцировать метастазирование, индуцировать в малигнизированных клетках апоптоз и в зависимости от типа опухоли блокировать клеточный цикл на стадиях G0/G1, либо G1/S, либо G2/M [21, 26, 27, 30, 33]. Кроме того, показано, что противоопухолевый эффект экзогенного ЛФ сильнее выражен в комплексе с другими веществами, в частности с линолиевой и олеиновой кислотами [34–36]. Все эти данные позволяют некоторым авторам высказывать предположения, что LTF может быть геном-супрессором опухолей [32], и экзогенные формы ЛФ (апо- и/или холо-) и/или его комплекcы с другими веществами можно применять в таргетной терапии новообразований [28, 34, 37], в частности нейробластом и глиобластом [38, 39].
Молекулярный механизм противоопухолевого действия ЛФ в большинстве случаев пока еще не ясен, но предполагается участие эпигенетических механизмов в этом феномене [40]. Например, лактоферрицин B (пептид, полученный из бычьего ЛФ) уменьшает экспрессию DNMT-1 в клетках T-лейкемии Jurkat за счет снижения стабильности ДНК-метилтрансферазы DNMT-1 и времени полужизни мРНК DNMT-1 [41], а комплексы ЛФ с олеиновой кислотой могут изменять структуру хроматина [42].
Установлено, что ЛФ вызывает повышение уровня АФК и уровни свободного железа в клетке [33], что напоминает описанные выше свойства куркумина в клетках нейробластомы [18]. Это может говорить о сходных с куркумином молекулярных механизмах противоопухолевых эффектов ЛФ в клетках нейробластомы с вовлечением HIF-1α/2α [43, 44] и изменениями в эпигеноме [45, 46]. Кроме того, ЛФ имеет широкий спектр эффектов на разные типы клеток, косвенно влияя на механизмы, связанные с метилированием ДНК [47]. Однако в настоящее время отсутствуют публикации, посвященные исследованию роли ЛФ в формировании эпигеномного статуса эукариотических клеток, в том числе малигнизированных, и в частности клеток нейробластомы.
Клеточные линии нейробластомы — важные и экономичные модели, используемые для изучения особенностей развития опухоли и тестирования различных противоопухолевых препаратов [3, 7, 48–50]. Одна из таких линий — IMR-32 — была получена из нейробластомы 13-месячного мальчика европеоидной расы (из абдоминальной массы, которая имитирует большие проекции коры головного мозга) [51].
IMR-32 принадлежит к N-(нейробластному) фенотипу, характеризующемуся как незрелые нервные клетки, предшественники симпатоадреналового клона нервного гребня [3]. Эти клетки обладают холинергическими и адренергическими свойствами. IMR-32 не экспрессирует рецептор эстрогена альфа (ERα), но имеет рецептор эстрогена бета (ERβ) [52, 53]. Эта особенность клеток может быть одним из факторов для перспективного использования экзогенного ЛФ в сочетании с применением стероидных гормонов (эстрогенов) при таргетной терапии нейробластомы. В пользу этого предположения указывают несколько фактов. Во-первых, на разных клеточных линиях рака молочной железы было показано, что в ER-отрицательных клетках противоопухолевый эффект экзогенного ЛФ выражен сильнее, чем в ER-положительных [33]. Во-вторых, метилирование определенных последовательностей ДНК, в том числе LINE-1, находится под регуляцией стероидных гормонов. При этом эстроген, например, в ERα опухолевой линии T47-Kbluc рака молочной железы, индуцировал гипометилирование LINE-1 в отличие от лейкоцитов периферической крови, где не было выявлено корреляции между метилированием LINE-1 и уровнем гормонов на различных стадиях менструального цикла [54]. В третьих, под эстрогенной регуляцией находятся эпигенетические модификации (метилирование ДНК и метилирование гистона H3K4me3) гена Trip10 (Cdc42-взаимодействующий белок-4), который участвует в регуляции клеточного цикла. При этом Trip10 может быть онкогенным или подавляющим рост опухоли в зависимости от клеточного происхождения новообразования, наличия и количества рецепторов к эстрогену (ERα и ERβ). В ER-негативных клетках Trip10 гиперметилирован и неактивен, тогда как в ER-положительных клетках Trip10 гипометилирован и экспрессируется. Например, сверхэкспрессия Trip10 в клетках нейробластомы IMR-32 приводит к усилению пролиферации этих клеток [55]. Таким образом, все представленные выше данные указывают на необходимость проведения исследований по изучению влияния на эпигеном различных клеточных линий нейробластомы как собственно белка ЛФ, так и его комплексов с другими веществами, а также совместно с применением стероидных гормонов.
Цель данной работы — исследование влияния различных доз апо-формы экзогенного рекомбинантного ЛФ человека (apo-rhLF) на жизнеспособность и эпигеномный статус (метилирование ДНК и степень компактизации хроматина) клеток нейробластомы человека линии IMR-32.
Материалы и методы
Культивирование клеток. Линия клеток нейробластомы человека IMR-32 приобретена в Российской коллекции клеточных культур Института цитологии (РККК, Санкт-Петербург, Россия) [51]. Сертификаты, подтверждающие соответствие этой клеточной линии, прилагались. Клетки культивировали в 25 см2 культуральных вентилируемых флаконах для адгезивных культур (Orange Scientific, Бельгия) в инкубаторе при 37 °С в атмосфере 5 % CO2 в 4 мл среды DMEM с добавлением 10 % эмбриональной бычьей сыворотки (Thermo Fischer Scientific, США), 20 ед/мл антимикотиков (Thermo Fischer Scientific, США), 100 ед/мл пенициллина (БиолоТ, Россия) и 100 мкг/мл стрептомицина (БиолоТ, Россия) в течение 24 ч до достижения 25–30 % конфлюэнтности. Затем в опытные образцы добавляли apo-rhLF до конечной концентрации 0,1, 0,5, 1, 5, 10, 50, 100 и 500 мкг/мл. Рекомбинантный лактоферрин человека, выделенный из молока трансгенных коз, был получен в Белорусском государственном университете и РУП «Научно-практический центр НАН Беларуси по животноводству». Продукт имеет официальную торговую марку и содержит около 90 % железо-ненасыщенного ЛФ (апо-ЛФ) [56]. Рабочие растворы (100x и 1x) apo-rhLF были приготовлены на стерильном физиологическом растворе (условия хранения 4 °С). После внесения apo-rhLF культивирование клеток проводили еще в течение 72 ч. Параллельно продолжали культивировать контрольные образцы (интактные клетки). Клетки не синхронизировали по клеточному делению. Было проведено 4 независимых эксперимента по исследованию влияния apo-rhLF на клетки IMR-32.
Определение жизнеспособности клеток. Окраску клеток трипановым синим проводили с некоторыми модификациями, опираясь на стандартный протокол [57]. Клетки снимали с флаконов с помощью раствора Трипсина – Версена, 1 : 3 (БиолоТ, Россия), переносили в пластиковые пробирки 5 мл (Axigen, США), осаждали на центрифуге и ресуспендировали в 1 мл 1×PBS. Из каждого исследуемого образца 800 мкл суспензии клеток оставляли для выделения ядер и геномной ДНК, а 200 мкл использовали для окрашивания трипановым синим (конечная концентрация 0,01 %) в течение 3 мин при комнатной температуре. Центрифугировали при 800 g в течение 1 мин, удаляли краситель. Клетки дважды отмывали в 300 мкл 1×PBS. Осадок клеток ресуспендировали в 100 мкл 4 % раствора параформальдегида и инкубировали в течение 15 мин при комнатной температуре. Центрифугировли при 800 g в течение 1 мин и удаляли фиксирующий раствор. Клетки дважды отмывали в 300 мкл 1×PBS. Подсчет окрашенных и неокрашенных клеток осуществляли в камере Горяева (в 25 больших квадратах). Жизнеспособность клеток (ν), выраженную в процентах, вычисляли по формуле: ν = (100n)/N, где n — количество неокрашенных (живых) клеток, N — всего клеток (неокрашенные и окрашенные).
Получение ядер и выделение геномной ДНК. Суспензию клеток центрифугировали при 800 g в течение 1 мин, удаляли 1×PBS, осадок ресуспендировали в 900 мкл теплого гипотонического раствора (0,5 % KCl) и инкубировали при 37 °C в течение 30 мин. Для последующего анализа эпигеномного статуса клеток каждый образец делили на две аликвоты по 450 мкл: для экспериментов на ядрах (хроматине) и для выделения ДНК. Все образцы центрифугировали при 800 g в течение 5 мин, удаляли гипотонический раствор. В аликвоты для анализа степени компактизации хроматина добавляли по 100 мкл 1×PBS. Ядра ресуспендировали в 1×PBS и определяли их концентрацию с помощью камеры Горяева. Доводили концентрацию до 104 ядер/мкл. Образцы ядер хранили при –20 °С.
Для выделения геномной ДНК из культур клеток использовали неферментативный метод экстракции ДНК высаливанием [58] с некоторыми модификациями. Для этого осадок ядер ресуспендировли в 600 мкл лизирующего буфера (10 ммоль/л TrisHCl, pH 7,6; 10 ммоль/л KCl; 10 ммоль/л MgCl2 · 6H2O; 2 ммоль/л этилен-диамин-тетрауксусной кислоты), добавляли 80 мкл 10 % SDS и инкубировали 30 мин при 37 °C. Затем добавляли 200 мкл 6 М раствора NaCl, плавно перемешивали и инкубировали 15 мин при 4 °C. Центрифугировали при 10 000 g (MiniSpin) 10 мин. Супернатант переносили в новые 1,5 мл центрифужные пробирки, ДНК осаждали изопропанолом, отмывали в 70 % этаноле. Осадок ДНК высушивали и растворяли в 100 мкл 1×ТЕ, содержащего 10 мг/мл РНКазы А (Thermo Fischer Scientific, США). Обработку РНКазой А проводили при 37 °C в течение 1 ч. ДНК осаждали этанолом, высушивали и растворяли в miliQ H2O. Концентрацию ДНК определяли спектрофотометрически (NanoDrop 2000c, Thermo Scientific, США) при длинах волн 260 и 280 нм по стандартной методике. О степени чистоты препаратов ДНК судили по соотношению оптических плотностей D260/D280 и полученным спектрам. Отношение поглощения при 260 нм к поглощению при 280 нм (А260/А280), находящееся в диапазоне 1,8–1,9, свидетельствовало о достаточной степени очистки полученных препаратов ДНК от белковых примесей. Для последующей работы все исследуемые образцы стандартизировали по концентрации ДНК (50 нг/мкл). Качество выделенной ДНК оценивали в 1 % агарозном геле.
Количественная оценка полногеномного метилирования CpG динуклеотидов. Уровень полногеномного метилирования ДНК по CpG динуклеотидам определяли с помощью иммуноферментного анализа с использованием набора 5-mC DNA ELISA Kit, следуя рекомендациям фирмы-производителя (Zymo Research, США). Уровень абсорбции сигнала в стандартных и опытных образцах измеряли при длине волны 419 нм с помощью планшетного ридера CLARIOstar (BMG LABTECH, Германия). Контрольные измерения оптической плотности проводили через каждые 15 мин. В качестве стандартных проб с известным уровнем полногеномного CpG метилирования были использованы образцы коммерческой неметилированной (0 % CpG) и метилированной (100 % CpG) геномной ДНК Escherichia coli (Negative Control and Positive Control for 5-mC ELISA Kits, Zymo Research, США). На основе неметилированной и метилированной ДНК дополнительно были сделаны стандартные образцы, моделирующие 5, 10, 12,5, 25, 37,5, 50, 75 % уровни полногеномного метилирования ДНК. Каждый стандартный и опытный образец был сделан в трех копиях. Полногеномный уровень метилирования CpG динуклеотидов в исследуемых образцах IMR-32 определяли на основе стандартной кривой, описываемой уравнением степенной регрессии: y = 0,000004(x2,718) (I² = 0,999; MAE = 1,5 %; p < 0,001), где y — процент метилированных CpG, x — полученные значения оптической плотности, I2 — индекс детерминации, MAE (mean approximation error) — средняя ошибка аппроксимации. Затем, как было рекомендовано в инструкции, значения уровня метилирования для исследуемых образцов IMR-32, полученные на основе стандартной кривой, умножали на 8,167 — коэффициент разницы в плотности CpG между E. coli и геномом человека [59].
Количественная оценка полногеномного метилирования сайтов CCGG. Уровень полногеномного метилирования ДНК по сайтам CCGG определяли с помощью метил-чувствительной рестрикции с использованием программного обеспечения ImageJ [60, 61]. В качестве стандартных проб с известным уровнем метилирования были использованы образцы коммерческой неметилированной (<5 % CpG) и метилированной ДНК человека клеточной линии HCT116 DKO (Human methylated and non-methylated DNA Set, Zymo Research, США). На основе неметилированной и метилированной ДНК нами дополнительно были сделаны стандартные образцы, моделирующие 12,5, 37,5, 50, 62,5, 75, 87,5 % уровни полногеномного метилирования ДНК. Каждый стандартный и опытный образец был сделан в трех копиях. Ферментативный гидролиз ДНК проводили с использованием метил-чувствительных эндонуклеаз рестрикции (изошизомеров MspI и HpaII), следуя рекомендациям фирмы-производителя ферментов (Thermo Scientific, США). Денситометрические измерения полученных электрофореграмм ДНК в 1 % агарозных гелях проводили с помощью программного обеспечения ImageJ. Полногеномный уровень метилирования CCGG-сайтов в исследуемых образцах IMR-32 определяли на основе стандартной кривой, описываемой уравнением квадратичной регрессии: y = –750,74x2 + + 2021,70x – 1248,20 (I² = 0,997; MAE = 5,81 %; p < 0,001), где y — процент метилированных CCGG-сайтов, x — полученные значения оптической плотности, выраженные в условных единицах ImageJ, I2 — индекс детерминации, MAE — средняя ошибка аппроксимации.
Количественная оценка полногеномного метилирования LINE-1 повторов. Уровень полногеномного метилирования CpG динуклеотидов в LINE-1 определяли с использованием набора Global DNA – Methylation LINE-1 Kit, следуя рекомендациям фирмы-производителя (Active Motif, США). Протокол включает три основных этапа: ферментативный гидролиз геномной ДНК с помощью эндонуклеазы рестрикции MseI; гибрдизацию фрагментированной геномной ДНК с LINE-1 ДНК-зондом; иммуноферментный анализ с использованием первичных антител против 5-метилцитозина и вторичных антител, конъюгированных с пероксидазой хрена. Уровень абсорбции сигнала в стандартных и опытных образцах измеряли при длине волны 450 нм с помощью планшетного ридера CLARIOstar (BMG LABTECH, Германия). Измерение оптической плотности проводили через 60 мин инкубации с антителами, конъюгированными с пероксидазой хрена. В качестве стандартных проб с известным уровнем полногеномного CpG метилирования были использованы образцы коммерческой неметилированной и метилированной геномной ДНК человека линии Jurkat, входящие в набор Global DNA – Methylation LINE-1 Kit (Active Motif, США). На основе неметилированной и метилированной ДНК дополнительно были сделаны стандартные образцы, моделирующие 5, 10, 25, 50, 80 % уровни полногеномного метилирования ДНК. Каждый стандартный и опытный образец был сделан в трех копиях. Полногеномный уровень метилирования LINE-1 в исследуемых образцах IMR-32 определяли на основе стандартной кривой, описываемой уравнением линейной регрессии: y = 0,10x – 13,33 (R² = 0,996; MAE = 6,05 %; p < 0,001), где y — процент метилированных LINE-1, x — полученные значения оптической плотности, R2 — коэффициент детерминации, MAE — средняя ошибка аппроксимации.
Количественная оценка степени компактизации хроматина. Определение относительной степени компактизации хроматина (полногеномный уровень) проводили с использованием классического биохимического подхода, основанного на чувствительности ДНК к ДНКазе I [62, 63] с последующим денситометрическим анализом электрофореграмм в программе ImageJ [60, 61, 64]. Суспензию ядер (~104 ядер в пробе) обрабатывали 0,009 ед/мкл ДНКазой I в 30 мкл буфера (10 ммоль/л Tris-HCl, pH 7,5 при 25 °C; 2,5 ммоль/л MgCl2; 0,1 ммоль/л СaCl2) (Thermo Fischer Scientific, США) в течение 5 мин при 15 °C. Ферментативный гидролиз останавливали добавлением 1/10 объема 0,5 М раствора этилен-диамин-тетрауксусной кислоты и инкубировали пробы во льду при 4 °C в течение нескольких минут. Затем выделяли геномную ДНК с помощью хлороформ-изоамиловой экстракции. Денситометрические измерения полученных электрофореграмм ДНК (1 % агарозные гели), окрашенных этидием бромида, проводили в программе ImageJ. Для исследуемых образцов с неизвестной степенью компактизации хроматина (в %) ее устанавливали, используя коэффициенты уравнения линейной регрессии y = 226,47x – 128,12 (R2 = 0,967, p < 0,001), полученные по нескольким опорным точкам для условной нулевой (значения по 18 образцам геномной ДНК) и условной 100 % степени компактизации хроматина [в данном случае это «абсолютная» (теоретическая) гетерохроматинизация, равная 1 у. е. оптической плотности в ImageJ]. Для всех исследуемых образцов эксперимент с обработкой ДНКазой I повторяли трижды.
Статистическая обработка данных. При анализе данных по жизнеспособности клеток вычисляли 95 % доверительные интервалы (95 % ДИ) для частот по методу Уилсона с помощью онлайн-калькулятора [65]. Относительный риск (Risk Ratio, RR) воздействия исследуемых доз apo-rhLF, 95 % ДИ для RR, коэффициент ассоциации phi, уровень значимости (p-value), определяли с помощью таблицы сопряженности 2 × 2, используя критерий хи-квадрат Пирсона [65]. Уровень значимости был скорректирован на множественность сравнений (р < 0,006). Все выборки с результатами анализа уровня полногеномного метилирования ДНК (CpG, CCGG, LINE-1) и степени компактизации хроматина были проверены на нормальность распределения с помощью критерия Шапиро – Уилка [66]. С помощью открытого интернет-ресурса для них были вычислены средние значения, медианы, 95 % ДИ для средних, а также 25-й и 75-й процентили (1-й и 3-й квартили, Q1 и Q3) для медианы [67]. Поскольку не во всех исследованных группах было нормальное распределение, то статистический анализ проводили с использованием непараметрических критериев Краскела – Уоллиса (H) и Данна (Q) для попарного сравнения с коррекцией на множественность сравнения методом Бенджамини – Хохберга [68]. Различия считались статистически значимыми при p < 0,006 (поправка на множественность сравнений). Образцы IMR-32 после воздействия apo-rhLF сравнивали с контрольными (интактными) образцами IMR-32. Все данные в этой части исследования представлены как медиана, 25-й и 75-й процентили (Q1 и Q3). Для определения тесноты (силы) связи между исследуемыми признаками и математического описания (определения характера связи) выявленных зависимостей проводили корреляционный и регрессионный анализы с помощью открытых онлайн-сервисов [65, 69–73]. Коэффициенты ранговой корреляции Кендалла (tau) и Спирмена (rho), которые не требуют нормального распределения, 95 % ДИ для tau и rho вычисляли с помощью онлайн-сервисов [65, 71, 72]. Для того чтобы выбрать наиболее адекватную математическую модель (уравнение регрессии), описывающую характер связи между исследуемыми признаками, вычисляли среднюю ошибку аппроксимации (MAE). Значимость модели регрессии проверяли с помощью F-критерия Фишера. Модель считали адекватной при MAE < 7 % и p < 0,05. Для линейной зависимости между исследуемыми параметрами вычисляли коэффициенты корреляции (Rxy) и детерминации (R2xy), а для нелинейной зависимости — индексы корреляции (Ixy) и детерминации (I2xy).
Все диаграммы и графики построены с использованием Microsoft Excel и Power Point.
Результаты
Влияние апо-формы рекомбинантного лактоферрина человека на жизнеспособность клеток IMR-32
В настоящее время для препаратов, содержащих ЛФ, не установлено токсических доз [19]. На основе данных, представленных в ряде работ по изучению экзогенного ЛФ на культурах клеток млекопитающих и человека [74–77], нами было выбрано 8 доз apo-rhLF с целью исследования его влияния на жизнеспособность и эпигеномный статус клеток нейробластомы IMR-32. В исследуемом концентрационном диапазоне не было выявлено летальных и полулетальных доз apo-rhLF для IMR-32 через 72 ч воздействия. Обнаружено, что по сравнению с контролем они приводили к снижению жизнеспособности клеток от 3 до 11 раз в зависимости от дозы (rho = –0,92; 95 % ДИ –0,98 ... –0,65; p < 0,001), при этом наблюдалась нелинейная немонотоная (волновая) зависимость доза – жизнеспособность (рис. 1, табл. 1, 2).
Рис. 1. Жизнеспособность клеток IMR-32 после 72 ч воздействия рекомбинантного лактоферрина человека. Статистически значимые различия с контролем выявлены для всех исследованных доз apo-rhLF (p < 0,001)
Fig. 1. Viability of IMR-32 cells after 72 hours of exposure to recombinant human lactoferrin. Significant differences with control were found for all studied doses of apo-rhLF (p < 0.001)
Таблица 1. Относительный риск снижения жизнеспособности клеток IMR-32 после 72 ч воздействия apo-rhLF по сравнению с контролем
Table 1. Relative risk of the decrease of IMR-32 cells viability after 72 hours of exposure to apo-rhLF in comparison with control
Доза apo-rhLF, мкг/мл | RR | 95 % ДИ | p-value | phi |
0,1 | 4,84 | 3,08–7,62 | <0,001 | 0,13 |
0,5 | 3,21 | 2,01–5,15 | <0,001 | 0,09 |
1 | 9,17 | 5,86–14,36 | <0,001 | 0,23 |
5 | 6,73 | 4,29–10,56 | <0,001 | 0,17 |
10 | 8,79 | 5,65–13,68 | <0,001 | 0,21 |
50 | 10,88 | 6,93–17,09 | <0,001 | 0,27 |
100 | 9,52 | 6,02–15,05 | <0,001 | 0,25 |
500 | 11,14 | 7,08–17,54 | <0,001 | 0,28 |
Примечание. RR — коэффициент риска; ДИ — доверительный интервал; p-value — уровень значимости; phi — коэффициент ассоциации.
Таблица 2. Взаимосвязь между дозой, жизнеспособностью и эпигеномным статусом клеток IMR-32, подвергшихся воздействию apo-rhLF (результаты корреляционного анализа)
Table 2. Relationship between dose, viability and epigenomic status of IMR-32 exposed to apo-rhLF (Results of correlation analysis)
Анализируемые параметры (пары сравнения) | Ранговая корреляция Кендалла (линейная зависимость) | Ранговая корреляция Спирмена (линейная, нелинейная зависимость) | ||||
tau (95 % ДИ) | сила связи* | p-value | tau (95 % ДИ) | сила связи* | p-value | |
Взаимосвязь между дозой apo-rhLF и жизнеспособностью и эпигеномными метками IMR-32 | ||||||
LF – CV | –0,78 (–0,95 … –0,23) | Высокая | 0,002 | –0,92 (–0,98 … –0,65) | Весьма высокая | 0,001 |
LF – CpG | –0,31 (–0,81–0,45) | Умеренная | 0,249 | –0,42 (–0,85–0,34) | Умеренная | 0,262 |
LF – CCGG | 0,14 (–0,58–0,74) | Слабая | 0,600 | 0,18 (–0,55–0,75) | Слабая | 0,651 |
LF – LINE-1 | –0,61 (–0,91–0,09) | Заметная | 0,025 | –0,77 (–0,95 … –0,21) | Высокая | 0,021 |
LF – ChrC | –0,25 (–0,79–0,49) | Слабая | 0,345 | –0,46 (–0,86–0,29) | Умеренная | 0,213 |
Взаимосвязь между жизнеспособностью клеток и эпигеномными метками IMR-32 | ||||||
CV – CpG | 0,09 (–0,61–0,71) | Слабая | 0,753 | 0,23 (–0,51–0,78) | Слабая | 0,544 |
CV – CCGG | –0,09 (–0,71–0,61) | Слабая | 0,753 | –0,14 (–0,74–0,58) | Слабая | 0,715 |
CV – LINE-1 | 0,39 (–0,37–0,84) | Умеренная | 0,180 | 0,52 (–0,22–0,88) | Заметная | 0,162 |
CV – ChrC | 0,48 (–0,27–0,87) | Умеренная | 0,075 | 0,58 (–0,14–0,90) | Заметная | 0,104 |
Взаимосвязь между компактизацией хроматина и метилированием ДНК | ||||||
ChrC – CpG | –0,34 (–0,82–0,42) | Слабая | 0,206 | –0,49 (–0,87–0,26) | Умеренная | 0,183 |
ChrC – CCGG | –0,34 (–0,82–0,42) | Слабая | 0,207 | –0,49 (–0,87–0,25) | Умеренная | 0,175 |
ChrC – LINE-1 | –0,03 (–0,68–0,65) | Нет | 0,917 | –0,08 (–0,71–0,61) | Нет | 0,831 |
Взаимосвязь метилирования ДНК в различных сайтах | ||||||
LINE-1 – CpG | 0,59 (–0,11–0,90) | Заметная | 0,028 | 0,81 (0,32–0,96) | Высокая | 0,008 |
LINE-1 – CCGG | –0,09 (–0,71–0,61) | Нет | 0,753 | –0,18 (–0,75–0,55) | Слабая | 0,651 |
CCGG – CpG | –0,06 (–0,70–0,63) | Нет | 0,833 | –0,06 (–0,70–0,63) | Нет | 0,872 |
Примечание: LF — доза apo-rhLF; CV — жизнеспособность клеток; CpG — уровень полногеномного метилирования CpG; CCGG — уровень полногеномного метилирования CCGG; LINE-1 — уровень полногеномного метилирования LINE-1; ChrC — степень компактизации хроматина; * теснота связи по шкале Чеддока.
Эпигеномные изменения в IMR-32, вызванные рекомбинантным аполактоферрином человека
В связи с тем, что результаты некоторых работ указывают на участие ЛФ в метилировании ДНК (через регуляцию экспрессии DNMT-1) и изменение структуры хроматина [41, 42], то следующий этап нашего исследования заключался в количественной оценке полногеномного метилирования ДНК в различных сайтах (CpG-динуклеотиды тотально, а также CpG в составе CCGG-сайтов и LINE-1-повторов) и степени компактизации хроматина в клетках нейробластомы IMR-32, подвергшихся воздействию apo-rhLF.
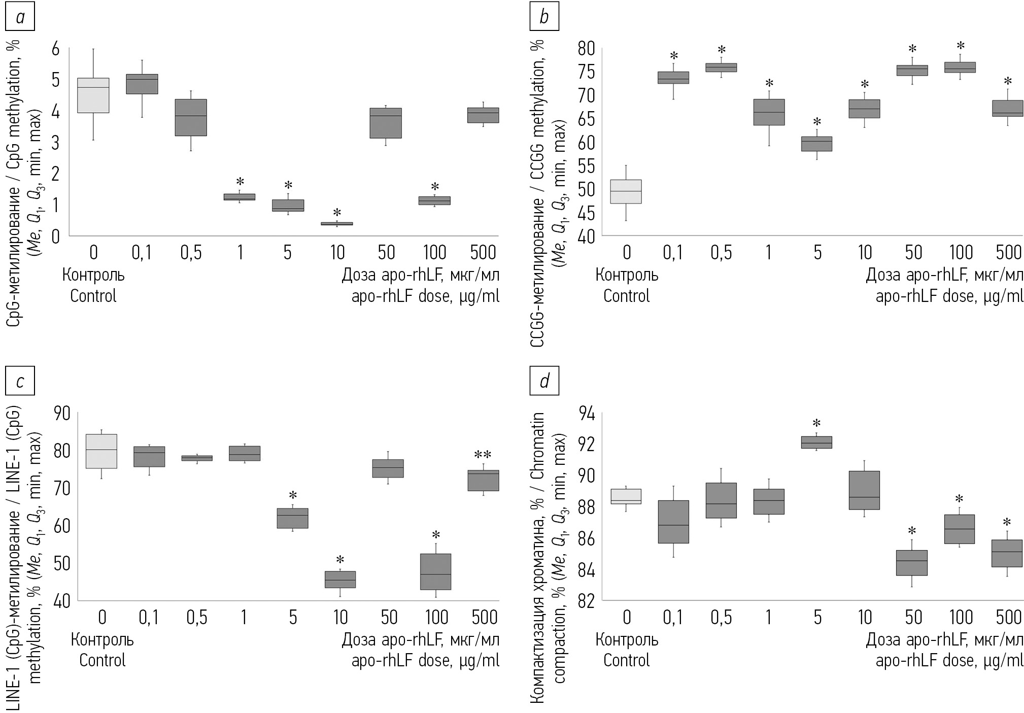
Обнаружено, что воздействие apo-rhLF в течение 72 ч приводило к эпигеномным изменениям в клетках IMR-32. При этом разные дозы по-разному влияли на степень компактизации хроматина (Н = 99,91, ν = 8, p < 0,001) и полногеномное метилирование CpG динуклеотидов на тотальном уровне (Н = 80,82, ν = 8, p < 0,001), CpG в CCGG-сайтах (Н = 158,56, ν = 8, p < 0,001) и CpG в LINE-1 (Н = 73,32, ν = 8, p < 0,001) (рис. 2, табл. 3).
Рис. 2. Изменение уровня полногеномного метилирования ДНК (a–c) и степени компактизации хроматина (d) в клетках IMR-32 после 72 ч воздействия apo-rhLF. * p < 0,001, ** p = 0,004 — статистически значимые различия по сравнению с контролем
Fig. 2. Changes of the genome-wide DNA methylation level (a–c) and chromatin compaction degree (d) in IMR-32 cells after 72 hours of apo-rhLF exposure. * p < 0.001, ** p = 0.004 — significance of differences in comparison with the control
Таблица 3. Эпигеномные эффекты apo-rhLF, выявленные в клетках IMR-32 после 72 ч воздействия
Table 3. Apo-rhLF epigenomic effects that have been identified in IMR-32 cells after 72 hours of exposure
Доза apo-rhLF, мкг/мл | Полногеномное метилирование ДНК | Компактизация хроматина | ||
CpG | LINE-1 | CCGG | ||
0,1 | – | – | ↑1,5* | – |
0,5 | – | – | ↑1,5* | – |
1 | ↓3,9* | – | ↑1,3* | – |
5 | ↓5,2* | ↓1,3* | ↑1,2* | ↑1,1* |
10 | ↓11,8* | ↓1,8* | ↑1,4* | – |
50 | – | – | ↑1,5* | ↓1,1* |
100 | ↓4,3* | ↓1,7* | ↑1,5* | ↓1,02* |
500 | – | ↓1,1** | ↑1,3* | ↓1,04* |
Примечание. ↓ и ↑ — степень снижения и повышения показателей признака по сравнению с контролем (цифрами указано, во сколько раз); * p < 0,001; ** p = 0,004; «–» — нет различий с контролем.
Следует отметить, что как для метилирования ДНК, так и для компактизации хроматина наблюдалась нелинейная немонотонная (волновая) картина связи доза – эффект. При этом доза-зависимый характер изменений метилирования CpG динуклеотидов тотально по всему геному и CpG в составе LINE-1 повторов был практически сходным. В обоих случаях apo-rhLF не изменял метилирования ДНК при дозах 0,1 и 0,5 мкг/мл, но приводил к снижению метилирования ДНК при дозах 5, 10 и 100 мкг/мл. Исключение составили только две дозы: 1 и 500 мкг/мл. Так, по сравнению с контролем 1 мкг/мл apo-rhLF не оказывал существенного влияния на метилирование CpG в составе LINE-1 в отличие от полногеномного метилирования CpG, уровень которого снижался. Доза в 500 мкг/мл, наоборот, приводила к снижению уровня метилирования LINE-1 в отличие от полногеномной оценки CpG-метилирования, где не было обнаружено статистически значимых различий с контролем (рис. 2, a, c).
В то же время при количественной оценке полногеномного метилирования CCGG-сайтов наблюдался абсолютно противоположный эффект влияния апо-ЛФ — apo-rhLF приводил к повышению уровня CCGG-метилирования по сравнению с контролем (рис. 2, b, табл. 3). Необходимо подчеркнуть, что в ряду исследованных доз apo-rhLF в случае CCGG-метилирования, также как для CpG и LINE-1, существует сходный концентрационный диапазон от 0,5 до 50 мкг/мл, в котором прослеживается формирование так называемой ямы по снижению уровня метилирования ДНК. Причем в этом же концентрационном диапазоне наблюдается формирование «вершины» в повышении степени компактизации хроматина.
В отличие от метилирования ДНК, где было выявлено либо снижение (для CpG и LINE-1), либо увеличение (для CCGG) уровня метилирования (по сравнению с контролем), в случае анализа состояния хроматина наблюдалось как повышение (для дозы 5 мкг/мл), так и снижение степени компактизации хроматина (для доз 50, 100 и 500 мкг/мл) по сравнению с контролем (рис. 2, d, табл. 3). При этом наблюдался интересный феномен — практически зеркальные изменения полногеномного метилирования CCGG сайтов и степени компактизации хроматина в ряду исследованных доз apo-rhLF (рис. 2, b, d).
Корреляционный анализ выявил высокую силу связи только для трех пар зависимостей: доза ЛФ – жизнеспособность клеток, доза ЛФ – метилирование LINE-1 и CpG-метилирование – LINE-1-метилирование (см. табл. 2). Полученные коэффициенты ранговой корреляции для некоторых других пар сравниваемых параметров показали заметную и умеренную силу связи по шкале Чеддока (см. табл. 2). Однако их статистическая значимость не подтвердилась, что, вероятно, объясняется немонотонными отношениями сравниваемых признаков, поскольку ранговый коэффициент Спирмена оценивает, насколько хорошо связь между двумя переменными может быть описана с помощью монотонной функции (как линейной, так и нелинейной).
С помощью регрессионного анализа подобрать адекватную математическую модель для описания выявленных парных зависимостей, а также множественной (многофакторной) немонотонной регрессии на данном этапе исследований нам не удалось, что, по-видимому, связано со сложной (сочетанной) природой биологических эффектов воздействия апо-ЛФ на эпигеном.
Обсуждение
Проведенные исследования показали, что воздействие рекомбинантного ЛФ человека в течение 72 ч снижает жизнеспособность клеток IMR-32. При этом все исследованные дозы apo-rhLF в большей или меньшей степени оказывали влияние на эпигеном клеток нейробластомы, в частности одни дозы изменяли только метилирование ДНК, другие — метилирование и компактизацию хроматина. Кроме того, разные дозы apo-rhLF приводили к разному эффекту по степени компактизации хроматина (повышение либо снижение) при одинаковой картине полногеномного метилирования ДНК (повышенное CCGG-метилирование и сниженное CpG- и/или LINE-1-метилирование). Сравнивая наблюдаемые эффекты apo-rhLF на эпигеномный статус IMR-32, можно предположить, что его воздействие оказывало большее влияние на метилирование ДНК, чем на компактизацию хроматина (и, возможно, на модификации гистонов), поскольку степень выраженности обнаруженных эффектов по сравнению с контролем в первом случае была сильнее, чем во втором (табл. 3). Данное предположение требует проведения дальнейших исследований с использованием антител, специфичных к различным модификациям гистонов.
Особо следует отметить тот факт, что воздействие apo-rhLF на полногеномное метилирование ДНК в клетках IMR-32 имело дифференциальный характер не только в зависимости от дозы, но и от исследуемого сайта метилирования. Так, все дозы apo-rhLF влияли на полногеномный статус метилирования CCGG-сайтов, тогда как только некоторые из исследованных доз затронули LINE-1-повторы и изменили полногеномный уровень CpG-метилирования. При этом обнаруженный CpG-деметилирующий эффект апо-ЛФ по пока не ясной причине, по-видимому, игнорировал CCGG-сайты, оставляя их преимущественно в метилированной форме, на что указывает обнаруженный повышенный уровень CCGG-метилирования по сравнению с контролем.
Интересно отметить, что в исследованных клетках IMR-32 степень компактизации хроматина была выше уровня полногеномного CpG-метилирования ДНК, что отличается от классического представления «чем выше уровень метилирования ДНК, тем сильнее степень компактизации хроматина». При этом мы обнаружили зеркальный характер изменений между полногеномным метилированием ДНК и компактизацией хроматина, а именно при повышении уровня метилирования наблюдалось снижение степени компактизации хроматина и наоборот. Данный феномен особенно хорошо прослеживался в случае CCGG-метилирования (рис. 2, b, d) и несколько слабее был выражен для динуклеотидов LINE-1 и CpG. Можно предположить, что в клетках IMR-32, подвергшихся воздействию apo-rhLF, в формировании структуры хроматина (степени компактизации) большая роль отводится CCGG-сайтам и, возможно, LINE-1-повторам, а не CpG-динуклеотидам как таковым. Это предположение требует дальнейших исследований, в том числе на других клеточных линиях нейробластомы.
Результаты исследования показали сложный нелинейный немонотонный характер влияния рекомбинантного ЛФ человека на жизнеспособность и эпигеномный статус IMR-32. Необходимо подчеркнуть, что чаще всего нелинейные (многофазные) зависимости доза – эффект наблюдаются для различных веществ в низких и сверхмалых дозах [78–80]. Возможным объяснением нелинейной немонотонной зависимости влияния apo-rhLF на IMR-32 является многофункциональная природа ЛФ, когда одни дозы этого белка необходимы для реализации одних биологических процессов, а другие дозы — для других. Вероятно, именно поэтому к настоящему времени не выявлено токсичных доз для ЛФ [19, 74–77]. Безусловно, для того чтобы установить конкретные математические модели рассматриваемых зависимостей, необходимо проанализировать эффекты других доз apo-rhLF в исследуемом диапазоне, а также при разной продолжительности воздействия.
Выявленное нами снижение жизнеспособности клеток IMR-32 после воздействия apo-rhLF согласуется с литературными данными о противоопухолевом эффекте ЛФ. В ряде работ было отмечено, что ЛФ способен стимулировать или ингибировать пролиферацию и миграцию клеток в зависимости от того, действует он на нормальные или на опухолевые клетки [33, 74–77]. Цитотоксичность ЛФ в отношении разных видов опухолевых клеток имеет разные молекулярные механизмы [28, 37]. Это может происходить за счет разрушения клеточной мембраны, индукции апоптоза, остановки клеточного цикла и клеточной иммунореакции [28], а также через взаимодействие с отрицательно заряженными молекулами (например, фосфатидилсерин, липопротеины, O-гликоцилированные муцины и сиаловая кислота, присутствующие на наружной мембране опухолевых клеток) [81, 82]. Например, на различных клеточных линиях нейробластомы человека (Kelly, SK-N-DZ и IMR-32) было показано, что лактоферрицин Lfcin B (фрагмент бычьего ЛФ) обладает цитотоксическим действием через дестабилизации цитоплазматической мембраны и митохондрий [38]. Кроме того, остановка клеточного цикла может быть индуцирована усеченной внутриклеточной изоформой ЛФ (дельта-ЛФ), который выступает в качестве транскрипционного фактора для генов Skp1, Bax, DcpS и SelH [30]. Несмотря на недавно проведенный полногеномный анализ мутаций, для большинства первичных клеточных линий нейробластомы не установлено мутаций-драйверов опухолеобразования, что может указывать на участие эпигенетических механизмов в инициировании новообразований и поддержании их злокачественности [50]. В настоящее время эпигенетические механизмы развития некоторых видов опухолей до конца не ясны. В большинстве случаев установлена роль метилирования ДНК в регуляции экспрессии генов при развитии доброкачественных и недоброкачественных новообразований [9]. Так, одной из особенностей нейробластомы является высокий уровень метилирования ДНК предполагаемых генов-супрессоров опухоли, что может запускать онкогенный процесс, как было показано на клетках нейробластомы in vivo и клеточных линиях in vitro [4, 6, 50].
Поскольку существует большое количество работ, указывающих на противоопухолевое действие ЛФ и его комплексов с другими молекулами [28, 34–36], то наши результаты по снижению жизнеспособности клеток IMR-32 под воздействием apo-rhLF в сочетании с результатами по анализу уровня метилирования ДНК и степени компактизации хроматина могут указывать на возможный эпигенетический механизм противоопухолевого действия апо-формы ЛФ, опосредованный в частности деметилированием CpG, LINE-1 и/или метилированием CCGG-сайтов определенных генов, активирующих защитные свойства клетки от трансформации, причем в зависимости от дозы может отличаться и механизм действия ЛФ. Не исключено, что в разных генах при разных дозах и продолжительности воздействия в этот процесс могут быть вовлечены либо CpG-, либо CCGG-сайты, либо LINE-1, либо и те и другие для разных участков одного и того же гена или разных генов. Для проверки данной гипотезы, безусловно, требуются дальнейшие исследования.
В геноме человека приблизительно 60 % всех промоторов колокализуются с CpG-островками, в противоположность «телам» генов, которые в основном содержат незначительное количество CpG [83, 84]. В отличие от CpG-динуклеотидов CCGG-сайты более равномерно распределены по геному, поэтому вероятность локализации CCGG в теле гена выше, чем в CpG-островках [85]. Так, примерно 51,05 % CCGG-сайтов приходится на мобильные элементы генома (в том числе LINE-1) и 48,16 % — на уникальные последовательности ДНК. При этом доля CpG, расположенных в CCGG-сайтах, относительно всего генома составляет 8,04 % (где 4,14 % находятся в мобильных элементах, 3,90 % локализованы в уникальных последовательностях) [86].
Поскольку метилирование промоторов генов ингибирует транскрипцию, тогда как гипометилирование последовательностей внутри гена может стимулировать транскрипцию с альтернативных промоторов и приводить к экспрессии изоформ белков, обладающих иными свойствами, чем исходный (полноразмерный) белок, или активировать дистальные тканеспецифичные регуляторные элементы [84, 87–89], то можно предположить, что апо-форма ЛФ обладает некой активностью, дифференциально действуя (прямо или опосредованно) на метилирование ДНК в различных участках генома (различая при этом CpG, CCGG и LINE-1), а также влияя на модификации гистонов, изменяя степень компактизации хроматина.
Необходимо отметить, что многие противоопухолевые препараты способны изменять структуру хроматина, дестабилизируя нуклеосомы [90]. Например, в модельных экспериментах на изолированных ядрах HeLa после воздействия комплекса ЛФ с олеиновой кислотой в дозе 500 мкг/мл в течение 15 мин наблюдались некоторые изменения на уровне мелкомасштабной фрактальной организации нуклеосом (0,04–0,08 Å–1), а также в крупномасштабных фрактальных характеристиках структур хроматина, что, как предполагают авторы работы [42], может приводить к уплотнению хроматина и, как следствие, к снижению экспрессии генов, отвечающих за опухолеобразование. Мы выявили увеличение степени компактизации хроматина в клетках нейробластомы IMR-32 только при дозе 5 мкг/мл и после 72 ч воздействия, тогда как другие дозы либо снижали степень компактизации хроматина, либо компактизация хроматина оставалась на уровне значений контрольных образцов. Не исключено, что ЛФ может по-разному влиять на структуру хроматина не только в зависимости от дозы, но и от продолжительности воздействия. Причем разный биологический эффект ЛФ может наблюдаться также в зависимости от изоформы ЛФ, степени гликозилирования, третичной структуры (холо- или апо-форма), от степени олигомеризации и его способности образовывать комплексы с другими молекулами [91]. Эти предположения требуют дальнейших исследований.
Установлено, что к замедлению роста нейробластомы приводит снижение экспрессии генов клеточного цикла, вызванное высокими уровнями HIF-2α [43, 44], тогда как в большинстве солидных опухолей сверхэкспрессия HIF-1α, наоборот, необходима для эффективной инвазии, поддержания их роста, прогрессии и метастазирования [92, 93]. При этом было показано, что в клетках головного мозга у мышей [22, 94] и нейрональных клетках сетчатки [95] ЛФ стабилизирует HIF-1α/2α, что может иметь существенное значение при таргетной терапии. Кроме того, обнаружено, что противоопухолевые эффекты ЛФ более выражены в ER-негативных клеточных линиях рака молочной железы MDA-MB-231 и MDA-MB-468, и его можно использовать в качестве экзогенного модификатора таких характеристик рака как оксидантно-антиоксидантный баланс, скорость апоптоза и прогрессирование клеточного цикла [33]. Таким образом, с учетом этих данных и результатов нашей экспериментальной работы, проведенной на клетках нейробластомы человека линии IMR-32, которые не экспрессирует рецептор ERα, но имеют рецептор ERβ [52, 53], экзогенную апо-форму рекомбинантного ЛФ человека можно рассматривать в качестве перспективного дополнительного агента при лечении нейробластомы. Использование рекомбинантного ЛФ человека при таргетной терапии различных типов нейробластомы, безусловно, требует дальнейших исследований in vivo.
Заключение
Результаты проведенного исследования показали, что apo-rhLF снижает жизнеспособность клеточной линии нейробластомы IMR-32. Обнаружена сложная картина эпигеномного клеточного ответа IMR-32 на воздействие апо-ЛФ (нелинейная немонотонная зависимость доза – эффект). Это, по-видимому, связано со сменой молекулярных механизмов действия apo-rhLF в том или ином концентрационном интервале, что может объясняться многофункциональной природой ЛФ, который принимает участие в различных биологических процессах. При этом апо-форма рекомбинантного ЛФ человека способна «дифференциально» изменять эпигеномный статус клеток IMR-32 в зависимости от дозы, причем этот эффект, скорее всего, в большей степени затрагивает метилирование ДНК, а не степень компактизации хроматина. Apo-rhLF (прямо или опосредованно) «различает» CpG в составе CCGG-сайтов и LINE-1- от СpG-динуклеотидов в других участках генома (механизм этого феномена пока не ясен), и в зависимости от дозы вызывает их метилирование/деметилирование, что в свою очередь, вероятно, модулирует экспрессию генов, отвечающих за клеточную пролиферацию и/или апоптоз, и тем самым снижает жизнеспособность IMR-32. Полученные результаты доказывают необходимость проведения комплексного эпигенетического/эпигеномного анализа в различных потенциальных сайтах метилирования ДНК с одновременным анализом модификаций гистонов и оценкой структуры хроматина у исследуемых биологических объектов с целью выявления биомаркеров, ассоциированных с конкретными биологическими процессами и/или патологиями.
Дополнительная информация
Благодарность. Авторы выражают свою признательность зав. кафедры биохимии, науч. рук. НИЛ биохимии и фармакологии биологически активных веществ биологического факультета Белорусского государственного университета, канд. биол. наук Игорю Викторовичу Семаку и зам. ген. директора по научной работе Республиканского унитарного предприятия «Научно-практический центр Национальной академии наук Беларуси по животноводству», канд. с.-х. наук Александру Ивановичу Будевичу за безвозмездно предоставленный образец рекомбинантного лактоферрина человека. Авторы особо благодарны научному сотруднику отдела молекулярной генетики ФГБНУ «ИЭМ» Анне Юрьевне Елизаровой за помощь в проведении иммуноферментного анализа.
Финансирование. Работа выполнена в рамках государственных заданий Министерства науки и высшего образования РФ: НИР № 0557-2019-0008 (рег. № НИОКТР АААА-А19-119021290134-5) и НИР № FGWG-2022-0012 (рег. № НИОКТР 122020300196-4).
Соблюдение этических норм. Проведение исследования не связано с работой с животными и клиническим материалом.
Конфликт интересов. Авторы декларируют отсутствие явных и потенциальных конфликтов интересов, связанных с подготовкой и публикацией настоящей статьи.
Вклад авторов. Все авторы внесли существенный вклад в разработку концепции и подготовку статьи, прочли и одобрили финальную версию перед публикацией. Наибольший вклад распределен следующим образом: И.О. Сучкова — разработка концепции, планирование экспериментов, выделение ДНК (ядер), определение жизнеспособности клеток, ImageJ-анализ, статистический анализ, подбор литературы, написание рукописи, создание рисунков и таблиц; К.А. Шарруф — ферментативный гидролиз (MspI/HpaII, DNaseI), агарозный электрофорез, ImageJ-анализ, иммуноферментный анализ, подбор литературы, написание черновой версии рукописи; Л.К. Сасина — культивирование клеток; Н.И. Дергачева — иммуноферментный анализ; Т.В. Баранова — подготовка образцов ДНК (ядер) для анализа; Е.Л. Паткин — идея, дизайн исследования, редактирование рукописи.
Additional information
Acknowledgment. The authors would like to express their deepest gratitude to the Head of the Department of Biochemistry, Scientific Supervisor of the Research Laboratory of the Biochemistry and Pharmacology of Biologically Active Substances of the Faculty of Biology of the Belarusian State University, PhD I.V. Semak and to General Director for Research of the RUE “Scientific and Practical Center of the National Academy of Sciences of Belarus for Animal Husbandry” PhD A.I. Budevich, for the donating a sample of recombinant human apo-lactoferrin. The authors are especially grateful to A.Yu. Elizarova, a researcher of the Department of Molecular Genetics of the FSBS “IEM”, for her help in conducting ELISA.
Funding source. The work was carried out within the framework of the state task.
Ethical approval. The study is not related to work on animals and clinical material.
Conflict of interest. The authors have no conflicts of interest regarding the publication of this article.
Authors’ contribution. All authors made significant contributions to concept development, research and paper preparation, read and approved the final version before publication. The largest contribution is distributed as follows: I.O. Suchkova — development of the concept, planning of the experiments, DNA (nucleus) extraction, determination of the cell viability, ImageJ analysis, statistical analysis, selection of literature, writing a manuscript, creating figures and tables; K.A. Sharrouf — enzymatic hydrolysis (MspI/HpaII, DNaseI), agarose electrophoresis, ImageJ analysis, ELISA, literature selection, writing a draft manuscript; L.K. Sasina — cultivation of cell line; N.I. Dergacheva — ELISA; T.V. Baranova — preparation of DNA (nuclei) samples for analysis; E.L. Patkin — idea, study design, editing the manuscript.
Об авторах
Ирина Олеговна Сучкова
Институт экспериментальной медицины
Автор, ответственный за переписку.
Email: irsuchkova@mail.ru
ORCID iD: 0000-0003-2127-0459
SPIN-код: 4155-7314
Scopus Author ID: 6602838276
ResearcherId: H-4484-2014
канд. биол. наук, старший научный сотрудник лаборатории молекулярной цитогенетики развития млекопитающих отдела молекулярной генетики
Россия, Санкт-ПетербургКинда Али Шарруф
Институт экспериментальной медицины
Email: kinda996@yahoo.com
ORCID iD: 0000-0003-0926-0549
магистр биологии, аспирант лаборатории молекулярной цитогенетики развития млекопитающих отдела молекулярной генетики
Россия, Санкт-ПетербургЛюдмила Константиновна Сасина
Институт экспериментальной медицины
Email: sassinal@googlemail.com
ORCID iD: 0000-0002-5848-5544
SPIN-код: 6374-1649
Scopus Author ID: 6602092195
ResearcherId: J-8619-2018
канд. биол. наук, старший научный сотрудник лаборатории молекулярной цитогенетики развития млекопитающих отдела молекулярной генетики
Россия, Санкт-ПетербургНаталья Игоревна Дергачева
Институт экспериментальной медицины
Email: natalia-9999@mail.ru
ORCID iD: 0000-0002-1643-9558
SPIN-код: 3343-2970
Scopus Author ID: 57198516110
ResearcherId: J-8543-2018
магистр биологии, научный сотрудник лаборатории молекулярной цитогенетики развития млекопитающих отдела молекулярной генетики
Россия, Санкт-ПетербургТатьяна Валерьевна Баранова
Институт экспериментальной медицины
Email: tanjabaranova@mail.ru
ORCID iD: 0000-0002-8269-8881
SPIN-код: 1356-1402
Scopus Author ID: 57205972796
канд. биол. наук, младший научный сотрудник лаборатории молекулярной цитогенетики развития млекопитающих отдела молекулярной генетики
Россия, Санкт-ПетербургЕвгений Львович Паткин
Институт экспериментальной медицины
Email: elp44@mail.ru
ORCID iD: 0000-0002-6292-4167
SPIN-код: 4929-4630
Scopus Author ID: 7003713993
ResearcherId: J-7779-2013
д-р биол. наук, профессор, заведующий лабораторией молекулярной цитогенетики развития млекопитающих отдела молекулярной генетики
Россия, Санкт-ПетербургСписок литературы
- Строганова А.М., Карселадзе А.И. Нейробластома: морфологическая структура, молекулярно-генетические особенности и прогностические факторы // Успехи молекулярной онкологии. 2016. Т. 3, № 1. С. 32–43. doi: 10.17650/2313-805X.2016.3.1.32-43
- Gómez S., Castellano G., Mayol G. et al. DNA methylation fingerprint of neuroblastoma reveals new biological and clinical insights // Genome Data. 2015. Vol. 5. P. 360–363. doi: 10.1016/j.gdata.2015.07.016
- Campos Cogo S., Gradowski Farias da Costa do Nascimento T., de Almeida Brehm Pinhatti F. et al. An overview of neuroblastoma cell lineage phenotypes and in vitro models // Exp. Biol. Med. (Maywood). 2020. Vol. 245, No. 18. P. 1637–1647. doi: 10.1177/1535370220949237
- Fetahu I.S., Taschner-Mandl S. Neuroblastoma and the epigenome // Cancer Metastasis Rev. 2021. Vol. 40, No. 1. P. 173–189. doi: 10.1007/s10555-020-09946-y
- Yang Q., Tian Y., Ostler K.R. et al. Epigenetic alterations differ in phenotypically distinct human neuroblastoma cell lines // BMC Cancer. 2010. Vol. 10. P. 286. doi: 10.1186/1471-2407-10-286
- Jubierre L., Jiménez C., Rovira E. et al. Targeting of epigenetic regulators in neuroblastoma // Exp. Mol. Med. 2018. Vol. 50, No. 4. P. 1–12. doi: 10.1038/s12276-018-0077-2
- Upton K., Modi A., Patel K. et al. Epigenomic profiling of neuroblastoma cell lines // Sci. Data. 2020. Vol. 7, No. 1. P. 116. doi: 10.1038/s41597-020-0458-y
- Yáñez Y., Grau E., Rodríguez-Cortez V.C. et al. Two independent epigenetic biomarkers predict survival in neuroblastoma // Clin. Epigenetics. 2015. Vol. 7, No. 1. P. 16. doi: 10.1186/s13148-015-0054-8
- Olsson M., Beck S., Kogner P. et al. Genome-wide methylation profiling identifies novel methylated genes in neuroblastoma tumors // Epigenetics. 2016. Vol. 11, No. 1. P. 74–84. doi: 10.1080/15592294.2016.1138195
- Kiss N.B., Kogner P., Johnsen J.I. et al. Quantitative global and gene-specific promoter methylation in relation to biological properties of neuroblastomas // BMC Med. Genet. 2012. Vol. 13. P. 83. doi: 10.1186/1471-2350-13-83
- Gómez S., Castellano G., Mayol G. et al. DNA methylation fingerprint of neuroblastoma reveals new biological and clinical insights // Epigenomics. 2015. Vol. 7, No. 7. P. 1137–1153. doi: 10.2217/epi.15.49
- Muotri A.R., Marchetto M.C., Coufal N.G. et al. L1 retrotransposition in neurons is modulated by MeCP2 // Nature. 2010. Vol. 468, No. 7322. P. 443–446. doi: 10.1038/nature09544
- Giorgi G., Marcantonio P., Del Re B. LINE-1 retrotransposition in human neuroblastoma cells is affected by oxidative stress // Cell Tissue Res. 2011. Vol. 346, No. 3. P. 383–391. doi: 10.1007/s00441-011-1289-0
- Jönsson M.E., Ludvik Brattås P., Gustafsson C. et al. Activation of neuronal genes via LINE-1 elements upon global DNA demethylation in human neural progenitors // Nat. Commun. 2019. Vol. 10, No. 1. P. 3182. doi: 10.1038/s41467-019-11150-8
- Dyachenko O.V., Schevchuk T.V., Kretzner L. et al. Human non-CG methylation: are human stem cells plant-like? // Epigenetics. 2010. Vol. 5, No. 7. P. 569–572. doi: 10.4161/epi.5.7.12702
- Whongsiri P., Pimratana C., Wijitsettakul U. et al. Oxidative stress and LINE-1 reactivation in bladder cancer are epigenetically linked through active chromatin formation // Free Radic. Biol. Med. 2019. Vol. 134. P. 419–428. doi: 10.1016/j.freeradbiomed.2019.01.031
- Ak T., Gülçin I. Antioxidant and radical scavenging properties of curcumin // Chem. Biol. Interact. 2008. Vol. 174, No. 1. P. 27–37. doi: 10.1016/j.cbi.2008.05.003
- Zhai K., Brockmüller A., Kubatka P. Curcumin’s beneficial effects on neuroblastoma: Mechanisms, challenges, and potential solutions // Biomolecules. 2020. Vol. 10, No. 11. P. 1469. doi: 10.3390/biom10111469
- Борзенкова Н.В., Балабушевич Н.Г., Ларионова Н.И. Лактоферрин: физико-химические свойства, биологические функции, системы доставки, лекарственные препараты и биологически активные добавки (обзор) // Биофармацевтический журнал. 2010. Т. 2, № 3. С. 3–19.
- Hao L., Shan Q., Wei J. et al. Lactoferrin: major physiological functions and applications // Curr. Protein Pept. Sci. 2019. Vol. 20, No. 2. P. 139–144. doi: 10.2174/1389203719666180514150921
- Алешина Г.М. Лактоферрин — эндогенный регулятор защитных функций организма // Медицинский академический журнал. 2019. Т. 19, № 1. С. 35–44. doi: 10.17816/MAJ19135-44
- Zakharova E.T., Kostevich V.A., Sokolov A.V., Vasilyev V.B. Human apo-lactoferrin as a physiological mimetic of hypoxia stabilizes hypoxia-inducible factor-1 alpha // Biometals. 2012. Vol. 25, No. 6. P. 1247–1259. doi: 10.1007/s10534-012-9586-y
- Sokolov A.V., Dubrovskaya N.M., Kostevich V.A. et al. Lactoferrin Induces erythropoietin synthesis and rescues cognitive functions in the offspring of rats subjected to prenatal hypoxia // Nutrients. 2022. Vol. 14, No. 7. P. 1399. doi: 10.3390/nu14071399
- Suzuki Y.A., Lopez V., Lönnerdal B. Mammalian lactoferrin receptors: structure and function // Cell Mol. Life Sci. 2005. Vol. 62, No. 22. P. 2560–2575. doi: 10.1007/s00018-005-5371-1
- Li Y.Q., Guo C. A review on lactoferrin and central nervous system diseases // Cells. 2021. Vol. 10, No. 7. P. 1810. doi: 10.3390/cells10071810
- García-Montoya I.A., Cendón T.S., Arévalo-Gallegos S., Rascón-Cruz Q. Lactoferrin a multiple bioactive protein: an overview // Biochim. Biophys. Acta. 2012. Vol. 1820, No. 3. P. 226–236. doi: 10.1016/j.bbagen.2011.06.018
- Gibbons J.A., Kanwar R.K., Kanwar J.R. Lactoferrin and cancer in different cancer models // Front. Biosci. (Schol Ed). 2011. Vol. 3, No. 3. P. 1080–1088. doi: 10.2741/212
- Zhang Y., Lima C.F., Rodrigues L.R. Anticancer effects of lactoferrin: underlying mechanisms and future trends in cancer therapy // Nutr. Rev. 2014. Vol. 72, No. 12. P. 763–773. doi: 10.1111/nure.12155
- Iijima H., Tomizawa Y., Iwasaki Y. et al. Genetic and epigenetic inactivation of LTF gene at 3p21.3 in lung cancers // Int. J. Cancer. 2006. Vol. 118, No. 4. P. 797–801. doi: 10.1002/ijc.21462
- Mariller C., Hardivillé S., Hoedt E. et al. Delta-lactoferrin, an intracellular lactoferrin isoform that acts as a transcription factor // Biochem. Cell Biol. 2012. Vol. 90, No. 3. P. 307–319. doi: 10.1139/o11-070
- Porter C.M., Haffner M.C., Kulac I. et al. Lactoferrin CpG island hypermethylation and decoupling of mRNA and protein expression in the early stages of prostate carcinogenesis // Am. J. Pathol. 2019. Vol. 189, No. 11. P. 2311–2322. doi: 10.1016/j.ajpath.2019.07.016
- Zhou Y., Zeng Z., Zhang W. et al. Lactotransferrin: a candidate tumor suppressor-deficient expression in human nasopharyngeal carcinoma and inhibition of NPC cell proliferation by modulating the mitogen-activated protein kinase pathway // Int. J. Cancer. 2008. Vol. 123, No. 9. P. 2065–2072. doi: 10.1002/ijc.23727
- Zalutskii I.V., Lukianova N.Y., Storchai D.M. et al. Influence of exogenous lactoferrin on the oxidant/antioxidant balance and molecular profile of hormone receptor-positive and -negative human breast cancer cells in vitro // Exp. Oncol. 2017. Vol. 39, No. 2. P. 106–111.
- Li H.Y., Li P., Yang H.G. et al. Investigation and comparison of the anti-tumor activities of lactoferrin, α-lactalbumin, and β-lactoglobulin in A549, HT29, HepG2, and MDA231-LM2 tumor models // J. Dairy Sci. 2019. Vol. 102, No. 11. P. 9586–9597. doi: 10.3168/jds.2019-16429
- Li H., Yao Q., Min L. et al. The combination of two bioactive constituents, lactoferrin and linolenic acid, inhibits mouse xenograft esophageal tumor growth by downregulating lithocholyltaurine and inhibiting the JAK2/STAT3-related pathway // ACS Omega. 2020. Vol. 5, No. 33. P. 20755–20764. doi: 10.1021/acsomega.0c01132
- Elizarova A., Sokolov A., Kostevich V. et al. Interaction of lactoferrin with unsaturated fatty acids: in vitro and in vivo study of human lactoferrin/oleic acid complex cytotoxicity // Materials (Basel). 2021. Vol. 14, No. 7. P. 1602. doi: 10.3390/ma14071602
- Cutone A., Rosa L., Ianiro G. et al. Lactoferrin’s anti-cancer properties: safety, selectivity, and wide range of action // Biomolecules. 2020. Vol. 10, No. 3. P. 456. doi: 10.3390/biom10030456
- Eliassen L.T., Berge G., Leknessund A. et al. The antimicrobial peptide, lactoferricin B, is cytotoxic to neuroblastoma cells in vitro and inhibits xenograft growth in vivo // Int. J. Cancer. 2006. Vol. 119, No. 3. P. 493–500. doi: 10.1002/ijc.21886
- Arcella A., Oliva M.A., Staffieri S. et al. In vitro and in vivo effect of human lactoferrin on glioblastoma growth // J. Neurosurg. 2015. Vol. 123, No. 4. P. 1026–1035. doi: 10.3171/2014.12.JNS14512
- Verduci E., Banderali G., Barberi S. et al. Epigenetic effects of human breast milk // Nutrients. 2014. Vol. 6, No. 4. P. 1711–1724. doi: 10.3390/nu6041711
- Zhang T.N., Liu N. Effect of bovine lactoferricin on DNA methyltransferase 1 levels in Jurkat T-leukemia cells // J. Dairy Sci. 2010. Vol. 93, No. 9. P. 3925–3930. doi: 10.3168/jds.2009-3024
- Lebedev D.V., Zabrodskaya Y.A., Pipich V. et al. Effect of alpha-lactalbumin and lactoferrin oleic acid complexes on chromatin structural organization // Biochem. Biophys. Res. Commun. 2019. Vol. 520, No. 1. P. 136–139. doi: 10.1016/j.bbrc.2019.09.116
- Jögi A., Øra I., Nilsson H. et al. Hypoxia alters gene expression in human neuroblastoma cells toward an immature and neural crest-like phenotype // Proc. Natl. Acad. Sci. USA. 2002. Vol. 99, No. 10. P. 7021–7026. doi: 10.1073/pnas.102660199
- Westerlund I., Shi Y., Toskasa K. et al. Combined epigenetic and differentiation-based treatment inhibits neuroblastoma tumor growth and links HIF2α to tumor suppression // Proc. Natl. Acad. Sci. USA. 2017. Vol. 114, No. 30. P. e6137–e6146. doi: 10.1073/pnas.1700655114
- Camuzi D., de Amorim Í., Ribeiro Pinto L.F. et al. Regulation is in the air: the relationship between hypoxia and epigenetics in cancer // Cells. 2019. Vol. 8, No. 4. P. 300. doi: 10.3390/cells8040300
- D’Anna F., Van Dyck L., Xiong J. et al. DNA methylation repels binding of hypoxia-inducible transcription factors to maintain tumor immunotolerance // Genome Biol. 2020. Vol. 21, No. 1. P. 182. doi: 10.1186/s13059-020-02087-z
- Шаруфф К.А., Сучкова И.О. Влияние лактоферрина на эпигенетические характеристики клеток млекопитающих разного типа // Медицинский академический журнал. 2021. Т. 21. № 1. С. 85–95. doi: 10.17816/MAJ6410
- Лебедев Т.Д., Спирин П.В., Орлова Н.Н. и др. Сравнительный анализ экспрессии генов-мишеней противоопухолевой терапии, в клеточных линиях нейробастомы // Молекулярная биология. 2015. Т. 49, № 6. С. 1048–1051. doi: 10.7868/S0026898415050225
- Harenza J.L., Diamond M.A., Adams R.N. et al. Transcriptomic profiling of 39 commonly-used neuroblastoma cell lines // Sci. Data. 2017. Vol. 4. P. 170033. doi: 10.1038/sdata.2017.33
- Ram Kumar R.M., Schor N.F. Methylation of DNA and chromatin as a mechanism of oncogenesis and therapeutic target in neuroblastoma // Oncotarget. 2018. Vol. 9, No. 31. P. 22184–22193. doi: 10.18632/oncotarget.25084
- Полянская Г.Г., Сакута Г.А., Еропкин М.Ю. и др. Каталог российской коллекции клеточных культур позвоночных (РККК П) [Электронный ресурс]. Санкт-Петербург, 2018. Режим доступа: https://incras.ru/wp-content/uploads/2022/05/katalog_rccc_v_2018_rus.pdf. Дата обращения 10.02.2022.
- Lee J-M., Anderson P.C., Padgitt J.K. et al. Nrf2, not the estrogen receptor, mediates catechol estrogen-induced activation of the antioxidant responsive element // Biochim. Biophys. Acta. 2003. Vol. 1629, No. 1–3. P. 92–101. doi: 10.1016/j.bbaexp.2003.08.006
- Su C., Rybalchenko N., Schreihofer D.A. et al. Cell models for the study of sex steroid hormone neurobiology // J. Steroids Horm. Sci. 2012. Vol. S2. P. 003. doi: 10.4172/2157-7536.s2-003
- El-Maarri O., Walier M., Behne F. et al. Methylation at global LINE-1 repeats in human blood are affected by gender but not by age or natural hormone cycles // PLoS One. 2011. Vol. 6, No. 1. P. e16252. doi: 10.1371/journal.pone.0016252
- Hsu C.C., Leu Y.W., Tseng M.J. et al. Functional characterization of Trip10 in cancer cell growth and survival // J. Biomed. Sci. 2011. Vol. 18. P. 12. doi: 10.1186/1423-0127-18-12
- Semak I., Budzevich A., Maliushkova E. et al. Development of dairy herd of transgenic goats as biofactory for large-scale production of biologically active recombinant human lactoferrin // Transgenic Res. 2019. Vol. 28, No. 5–6. P. 465–478. doi: 10.1007/s11248-019-00165-y
- Митрошина Е.В., Мищенко Т.А., Ведунова М.В. Определение жизнеспособности клеточных культур: учебно-методическое пособие. Нижний Новгород: Нижегородский госуниверситет им. Н.И. Лобачевского, 2015.
- Suguna S., Nandal D.H., Kamble S. et al. Genomic DNA isolation from human whole blood samples by non-enzymatic salting out method // Int. J. Pharm. Pharmac. Sci. 2014. Vol. 6, No. 6. P. 198–199.
- zymoresearch.com [Электронный ресурс] 5-mC DNA ELISA Kit. Режим доступа: https://www.zymoresearch.com/products/ 5-mc-dna-elisa-kit. Дата обращения: 04.05.2022.
- Suchkova I.O., Sasina L.K., Dergacheva N.I. et al. The influence of low dose bisphenol A on whole genome DNA methylation and chromatin compaction in different human cell lines // Toxicol in Vitro. 2019. Vol. 58. P. 26–34. doi: 10.1016/j.tiv.2019.03.010
- Schneider C.A., Rasband W.S., Eliceiri K.W. NIH Image to ImageJ: 25 years of image analysis // Nat. Methods. 2012. Vol. 9, No. 7. P. 671–675. doi: 10.1038/nmeth.2089
- Ling G., Waxman D.J. DNase I digestion of isolated nulcei for genome-wide mapping of DNase hypersensitivity sites in chromatin // Methods Mol. Biol. 2013. Vol. 977. P. 21–33. doi: 10.1007/978-1-62703-284-1_3
- Lu Q., Richardson B. DNase I hypersensitivity analysis of chromatin structure // Methods Mol. Biol. 2004. Vol. 287. P. 77–86. doi: 10.1385/1-59259-828-5:077
- Keuser B., Khobta A., Galle K. et al. Influences of histone deacetylase inhibitors and resveratrol on DNA repair and chromatin compaction // Mutagenesis. 2013. Vol. 28, No. 5. P. 569–576. doi: 10.1093/mutage/get034
- VassarStats. Website for statistical computation [Электронный ресурс]. Режим доступа: http://vassarstats.net. Дата обращения: 08.03.2022.
- Statistics Kingdom [Электронный ресурс]. Режим доступа: http://www.statskingdom.com. Дата обращения: 08.03.2022.
- BoxPlot online [Электронный ресурс]. Режим доступа: http://www.physics.csbsju.edu/stats/bulk.stats.n.plot_NGROUP_form.html. Дата обращения: 15.12.2020.
- Navendu Vasavada. Online web statistical calculators. [Электронный ресурс]. Режим доступа: http://astatsa.com. Дата обращения: 05.04.2022.
- МНК и регрессионный анализ Онлайн [Электронный ресурс] // Математический форум Math Help Planet. Режим доступа: http://mathhelpplanet.com/static.php?p=onlayn-mnk-i-regressionniy-analiz. Дата обращения: 05.04.2022.
- Уравнение нелинейной регрессии онлайн [Электронный ресурс] // ООО Новый семестр. Режим доступа: https://math.semestr.ru/corel/noncorel.php. Дата обращения: 05.04.2022.
- Wessa P. Free Statistics Software. Office for Research Development and Education. version 1.2.1 [Электронный ресурс]. Режим доступа: https://www.wessa.net. Дата обращения: 05.04.2022.
- Wessa P. Multivariate Correlation Matrix (v1.0.11) in Free Statistics Software (v1.2.1), Office for Research Development and Education. 2016. [Электронный ресурс]. Режим доступа: https://www.wessa.net/rwasp_pairs.wasp. Дата обращения: 05.04.2022.
- Polynomial Regression Calculator [Электронный ресурс] // Stats Blue. Режим доступа: https://stats.blue/Stats_Suite/polynomial_regression_calculator.html. Дата обращения: 13.10.2022.
- Yanaihara A., Toma Y., Saito H., Yanaihara T. Cell proliferation effect of lactoferrin in human endometrial stroma cells // Mol. Hum. Reprod. 2000. Vol. 6, No. 5. P. 469–473. doi: 10.1093/molehr/6.5.469
- Lorget F., Clough J., Oliveira M. et al. Lactoferrin reduces in vitro osteoclast differentiation and resorbing activity // Biochem. Biophys. Res. Commun. 2002. Vol. 296, No. 2. P. 261–266. doi: 10.1016/s0006-291x(02)00849-5
- Buccigrossi V., de Marco G., Bruzzese E. et al. Lactoferrin induces concentration-dependent functional modulation of intestinal proliferation and differentiation // Pediatr. Res. 2007. Vol. 61, No. 4. P. 410–414. doi: 10.1203/pdr.0b013e3180332c8d
- Jiang R., Lopez V., Kelleher S.L., Lönnerdal B. Apo- and holo-lactoferrin are both internalized by lactoferrin receptor via clathrin-mediated endocytosis but differentially affect ERK-signaling and cell proliferation in Caco-2 cells // J. Cell Physiol. 2011. Vol. 226, No. 11. P. 3022–3031. doi: 10.1002/jcp.2265
- Бабушкина Н.А., Островская Л.А., Рыкова В.А. и др. Моделирование эффективности действия противоопухолевых препаратов в сверхмалых дозах для оптимизации режимов введения // Проблемы управления. 2005. Т. 4. С. 47–54.
- Генераленко Н.Ю., Крюкова Л.Ю., Пушкин И.А. Эффекты малых и сверхмалых доз биологически активных веществ // Научные и образовательные проблемы гражданской защиты. 2010. № 3. С. 6–7.
- Bellavite P., Ortolani R., Pontarollo F. et al. Immunology and homeopathy. 5. The rationale of the ‘Simile’ // Evid. Based Complement. Alternat. Med. 2007. Vol. 4, No. 2. P. 149–163. doi: 10.1093/ecam/nel117
- Utsugi T., Schroit A.J., Connor J. et al. Elevated expression of phosphatidylserine in the outer membrane leaflet of human tumor cells and recognition by activated human blood monocytes // Cancer Res. 1991. Vol. 51, No. 11. P. 3062–3066.
- Damiens E., El Yazidi I., Mazurier J. et al. Role of heparan sulphate proteoglycans in the regulation of human lactoferrin binding and activity in the MDA-MB-231 breast cancer cell line // Eur. J. Cell Biol. 1998. Vol. 77, No. 4. P. 344–351. doi: 10.1016/S0171-9335(98)80093-9
- Antequera F. Structure, function and evolution of CpG island promoters // Cell Mol. Life Sci. 2003. Vol. 60, No. 8. P. 1647–1658. doi: 10.1007/s00018-003-3088-6
- Lakshminarasimhan R., Liang G. The role of DNA methylation in cancer // Adv. Exp. Med. Biol. 2016. Vol. 945. P. 151–172. doi: 10.1007/978-3-319-43624-1_7
- Ball M.P., Li J.B., Gao Y. et al. Targeted and genome-scale strategies reveal gene-body methylation signatures in human cells // Nat. Biotechnol. 2009. Vol. 27, No. 4. P. 361–368. doi: 10.1038/nbt.1533
- Fazzari M.J., Greally J.M. Epigenomics: beyond CpG islands // Nat. Rev. Genet. 2004. Vol. 5, No. 6. P. 446–455. doi: 10.1038/nrg1349
- Kulis M., Queirós A.C., Beekman R., Martín-Subero J.I. Intragenic DNA methylation in transcriptional regulation, normal differentiation and cancer // Biochim. Biophys. Acta. 2013. Vol. 1829, No. 11. P. 1161–1174. doi: 10.1016/j.bbagrm.2013.08.001
- Lou S., Lee H.M., Qin H. et al. Whole-genome bisulfite sequencing of multiple individuals reveals complementary roles of promoter and gene body methylation in transcriptional regulation // Genome Biol. 2014. Vol. 15, No. 7. P. 408. doi: 10.1186/s13059-014-0408-0
- Nagarajan R.P., Zhang B., Bell R.J. et al. Recurrent epimutations activate gene body promoters in primary glioblastoma // Genome Res. 2014. Vol. 24, No. 5. P. 761–774. doi: 10.1101/gr.164707.113
- Gurova K.V. Chromatin stability as a target for cancer treatment // Bioessays. 2019. Vol. 41, No. 1. P. e1800141. doi: 10.1002/bies.201800141
- Furmanski P., Li Z.P., Fortuna M.B. et al. Multiple molecular forms of human lactoferrin. Identification of a class of lactoferrins that possess ribonuclease activity and lack iron-binding capacity // J. Exp. Med. 1989. Vol. 170, No. 2. P. 415–429. doi: 10.1084/jem.170.2.415
- Talks K.L., Turley H., Gatter K.C. et al. The expression and distribution of the hypoxia-inducible factors HIF-1alpha and HIF-2alpha in normal human tissues, cancers, and tumor-associated macrophages // Am. J. Pathol. 2000. Vol. 157, No. 2. P. 411–421. doi: 10.1016/s0002-9440(10)64554-3
- Zhong H., De Marzo A.M., Laughner E. et al. Overexpression of hypoxia-inducible factor 1alpha in common human cancers and their metastases // Cancer Res. 1999. Vol. 59, No. 22. P. 5830–5835.
- Kostevich V.A., Sokolov A.V., Kozlov S.O. et al. Functional link between ferroxidase activity of ceruloplasmin and protective effect of apo-lactoferrin: studying rats kept on a silver chloride diet // Biometals. 2016. Vol. 29, No. 4. P. 691–704. doi: 10.1007/s10534-016-9944-2
- Ibuki M., Shoda C., Miwa Y. et al. Lactoferrin has a therapeutic effect // Front. Pharmacol. 2020. Vol. 11. P. 174. doi: 10.3389/fphar.2020.00174
Дополнительные файлы




