Mytilus edulis hydrolysate enhances proliferation and protects endothelial cells against hypochlorous acid-induced oxidative stress
- Authors: Starikova E.A.1,2,3, Mammedova J.T.1, Porembskaya O.Y.1,4
-
Affiliations:
- Institute of Experimental Medicine
- Almazov National Medical Research Centre
- Academician I.P. Pavlov First St. Petersburg State Medical University
- North-Western State Medical University named after I.I. Mechnikov
- Issue: Vol 22, No 4 (2022)
- Pages: 57-67
- Section: Original research
- Published: 01.02.2023
- URL: https://journals.eco-vector.com/MAJ/article/view/114811
- DOI: https://doi.org/10.17816/MAJ114811
- ID: 114811
Cite item
Abstract
BACKGROUND: Endothelial dysfunction underlies the pathogenesis of many socially significant diseases. The search for new original drugs for the treatment of this condition remains an important scientific and practical task. Anti-inflammatory, anticoagulant and antioxidant effects of bivalve mollusks from the family of mussels (Mytilus edulis) hydrolysate and its derivatives have been described in different model systems.
AIM: The purpose of this study was to investigate the effect of M. edulis hydrolysate on the functional activity of EA.hy926 endothelial cell line.
MATERIALS AND METHODS: The viability and metabolic activity of endothelial cells were studied in MTT-test. To investigate the proliferative activity, a test with staining of cells with crystal violet dye was used. The ability of the preparation to neutralize the toxic effect of HOCl and H2O2 was evaluated using fluorescent dyes and flow cytometry.
RESULTS: It was found that the preparation did not have cytotoxicity and significantly increased the proliferation of endothelial cells in dilutions from 1:10 to 1:60. The preparation had a neutralizing effect against HOCl, and in all the studied dilutions significantly increased the viability of the endothelium. The preparation was not effective against H2O2, and increased H2O2 toxic effect in the maximal studied concentration. At the same time, the anti-inflammatory effect of M. edulis hydrolysate was not confirmed in this model system. The preparation had no effect on the IL-8 production and adhesion molecule CD54 (ICAM-1) and tissue factor CD146 the expression.
CONCLUSIONS: The preparation of M. edulis hydrolysate enhances the proliferation of endothelial cells and is able to neutralize HOCl toxic effects.
Full Text
Background
Blood vessels permeate all organs and tissues of the body; therefore, endothelial dysfunction serves as a universal link in the pathogenesis of various socially significant diseases, such as stroke, heart disease, insulin resistance, and chronic renal failure [1]. Systemic endothelial dysfunction, which occurs in several infectious diseases, often results in the development of severe complications such as acute respiratory distress syndrome, disseminated intravascular coagulation syndrome, and systemic inflammatory response. This conditions are characterized with disrupted endothelial anti-inflammatory, anticoagulant and vasodilatory functions [2–4]. Currently, the vascular endothelium is considered a target of therapeutic intervention aimed at preventing and treating vascular complications in various pathologies [5, 6]. The search for new original substances with endothelium-protective action is an urgent problem of experimental and clinical pharmacology [7]. Marine fauna is a natural resource that provides great opportunities for the development of new pharmaceuticals [8]. Previous studies have shown that the hydrolyzate of bivalve mollusks from the mussel family Mytilus edulis (M. edulis) and its components can have angioprotective properties, a positive effect on the main functions of the endothelium, and anti-inflammatory and anticoagulant effects and regulate the vascular tone [9–18]. Studies of agents based on M. edulis derivatives are scarce, and the mechanisms of action of such drugs are still under-explored. In this study, we examined the antioxidant effect of the M. edulis hydrolyzate agent and its effect on the viability and functional activity of EA.hy926 human endothelial cells.
Materials and methods
The effects of mollusk derivatives on endothelial cells were studied using a previously characterized M. edulis hydrolyzate preparation [9].
Cultivation of EA.hy926 endothelial cells. Endothelial cells of the EA.hy926 line were cultured in DMEM/F12 medium (Biolot, Russia) supplemented with 10% fetal bovine serum (FBS, Sigma, USA), 50 μg/mL gentamicin sulfate, and 2 mmol/L glutamine (Biolot, Russia) and hypoxanthine-aminopterin-thymidine (HAT, Sigma, USA) at 37°C in a humid atmosphere with 5% CO2 in 50–250-mL plastic vials (Sarstedt, Austria). To disintegrate the monolayer, the cells were incubated in Versene solution (Biolot, Russia) for 5–10 min. Reinoculation was performed once every 3–4 days.
Evaluation of the effect of M. edulis hydrolyzate on cell viability and metabolic activity. The effect of the agent on endothelial cell viability was assessed based on the activity of mitochondrial dehydrogenases using the 3-(4,5-dimethylthiazol-2-yl)-2,5-diphenyltetrazolium bromide (MTT) assay. For this purpose, endothelial cells were placed into the wells of a 96-well plate (Sarstedt, Austria) at the rate of 0.3 × 106 cells per 100 μL of culture medium and cultivated until a confluent monolayer was formed, which eliminated the possibility of cell proliferation because of contact inhibition inherent in this culture. Thereafter, the culture medium containing 10% FBS was changed to a medium containing 2.5% FBS. The cells were cultured in the presence of the test substance in a humid atmosphere with 5% CO2 at 37°C for 24 h; for the last 4 h of incubation, 10 µL of MTT was added to each well so that the final concentration was 1 µg/mL. After 4 h, 100 μL of the lysis buffer [19, 20] was added to each well and incubated overnight until complete dissolution. The results were analyzed using an automatic spectrophotometer (Bio-Rad, Japan) at a wavelength of 540 nm. The results were expressed as a percentage, taking the optical density in control wells containing the culture medium without additives as 100%.
Evaluation of the proliferative activity of endothelial cells using crystal violet stain. To assess proliferative activity, endothelial cells were dispensed into the wells of a 96-well plate at a concentration of 5 × 103 cells per 100 µL of culture medium with 2.5% FBS, which corresponded to the state of a sparse monolayer. The cells were cultured in the presence of the test substance in a humid atmosphere with 5% CO2 at 37°C for 72 h. Then, the culture medium was removed, and the cell monolayer was fixed/stained with a 0.2% solution of crystal violet prepared in 10% methanol. Subsequently, washing was performed three times with a 10% acetic acid solution, followed by extraction of the stain. The optical density of the solution was recorded using an automatic spectrophotometer (Bio-Rad, Japan) at a wavelength of 570 nm. The proliferative activity of the cells was determined by comparing the optical density in the control and experimental wells. The results were presented as a percentage, taking the optical density in the control wells containing the culture medium without additives as 100%.
Cell survival in the presence of oxidizing agents H2O2 and HOCl. The M. edulis hydrolyzate activity was assessed by its ability to influence endothelial cell viability after their cultivation in the presence of H2O2 and HOCl oxidizing agents. With the pK of HOCl of 7.5 and at physiological pH values, approximately half of the acid was in the molecular form, and the rest was dissociated; hereinafter, by HOCl, we implied the mixture of HOCl/OClˉ present in the medium under study. Cells were transferred into the wells of a 24-well flat-bottomed plate (Sarstedt, Austria) at a concentration of 2.5 × 106 cells in 500 µL of complete culture medium. H2O2 or HOCl was added to each well at a final concentration of 12.5, 25, 50, and 100 µmol/L, and simultaneously with oxidizing agents, the test agent was added at a dilution of 1:5 by volume. After 24 h of incubation at 37°C in a humid atmosphere with 5% CO2, the monolayer was disintegrated with an accutase solution (Sigma, USA). The cells were transferred into test tubes for analysis, and the cell suspension was stained with a YO-PRO® solution (Invitrogen, USA) at a final concentration of 100 nmol/L and with a propidium iodide solution (Sigma, USA) at a final concentration of 2 μg/mL. YO-PRO® is a fluorescent stain that freely penetrates the cells in a state of early apoptosis. Propidium iodide is a fluorescent stain that freely penetrates the cells in a state of necrosis and late apoptosis. The cell suspension was resuspended, and after 5 min of incubation with stains, the samples were analyzed on a Navios flow cytometer (Beckman Coulter, CA, USA).
Estimation of the expression levels of surface molecules on EA.hy926 endothelial cells. EA.hy926 endothelial cells were transferred into the wells of a 12-well plate (Orange Scientific, Belgium) at a concentration of 0.4 × 106 cells per well in 2 mL of DMEM/F12 medium (Biolot, Russia) supplemented with 10% FBS (Gibco, USA), 50 μg/mL gentamicin (Biolot, Russia), 2 mmol/L glutamine (Biolot, Russia), and HAT (Flow laboratories, USA). Refnolin, a pro-inflammatory cytokine TNFα (Sanitas, Lithuania), and/or the test agent was added to some wells at a concentration of 50 U/mL (1 U = 0.06 ng) and incubated for 24 h at 37°C in a humid atmosphere with 5% CO2. After incubation, the contents of each well were collected by 20-min exposure to Versene solution (Biolot, Russia) and placed in microtubes (Sarstedt, Austria). The cells were sedimented on a centrifuge, and the supernatant was collected and frozen at –20°C for subsequent analysis of the cytokine concentration. The expression levels of surface molecules on endothelial cells were assessed using monoclonal antibodies against CD54 (intercellular adhesion molecule 1), labeled with PE (Cat. No. PN IM1239U, Beckman Coulter, USA) and CD142, labeled with PE (Cat. No. 550312, Becton Dickinson, USA). The cells were incubated in the presence of monoclonal antibodies of appropriate specificity for 25 min at room temperature in the dark. The results were recorded after a single wash with physiological saline (Biolot, Russia) containing 0.1% NaN3 (Helicon, Russia). Fluorescence intensity was assessed using a Navios flow cytometer (Beckman Coulter, USA). The results were presented as mean fluorescence intensity.
Quantification of cytokine secretion in cell culture supernatants. To determine IL-8 concentration in biological fluids, commercial test systems from Cytokin (Russia) were used. Enzyme immunoassay was performed according to the recommendations of the manufacturer.
Statistical data processing. Data were tested for normal distribution using the Shapiro–Wilk test. The significance of differences between the control and experimental samples was assessed by the one-way analysis of variance (ANOVA; p < 0.001), and a pairwise comparison of the mean values was performed using Dunnett and Tukey’s post hoc tests. Data were presented as mean (M) ± standard deviation (SD). Analysis was performed using Statistica 6.0, Microsoft Office Excel 2010, Navios Software 1.0, and GraphPad Prism 8 software.
Results
Effect of M. edulis hydrolyzate on cell viability and metabolic activity. The effects of M. edulis hydrolyzate on the metabolism of endothelial cells have not yet been investigated, and theoretically, the agent could have both inhibitory and stimulating effects on cells. Therefore, the experiment was performed under conditions of reduced (2.5%) serum content in the culture medium so that the effect of the serum did not conceal the possible stimulating effect of the agent. Cultivation in a medium with a high FBS content, i.e., 10%, increased significantly the mitochondrial respiration activity of endothelial cells (Fig. 1). The study agent did not affect the activity of mitochondrial dehydrogenases. The results demonstrated that the agent, in a wide range of concentrations, did not have toxic effects on cells and did not enhance their metabolism.
Effect of the agent on endothelial cell proliferation. Cultivation in the presence of increased (10%) serum content caused a significant increase in cell proliferation compared with this indicator in the control (2.5% FBS) (Fig. 2). The studied agent, in a wide range of concentrations (dilutions from 1:10 to 1:40), also significantly increased the proliferative activity of endothelial cells compared with the control.
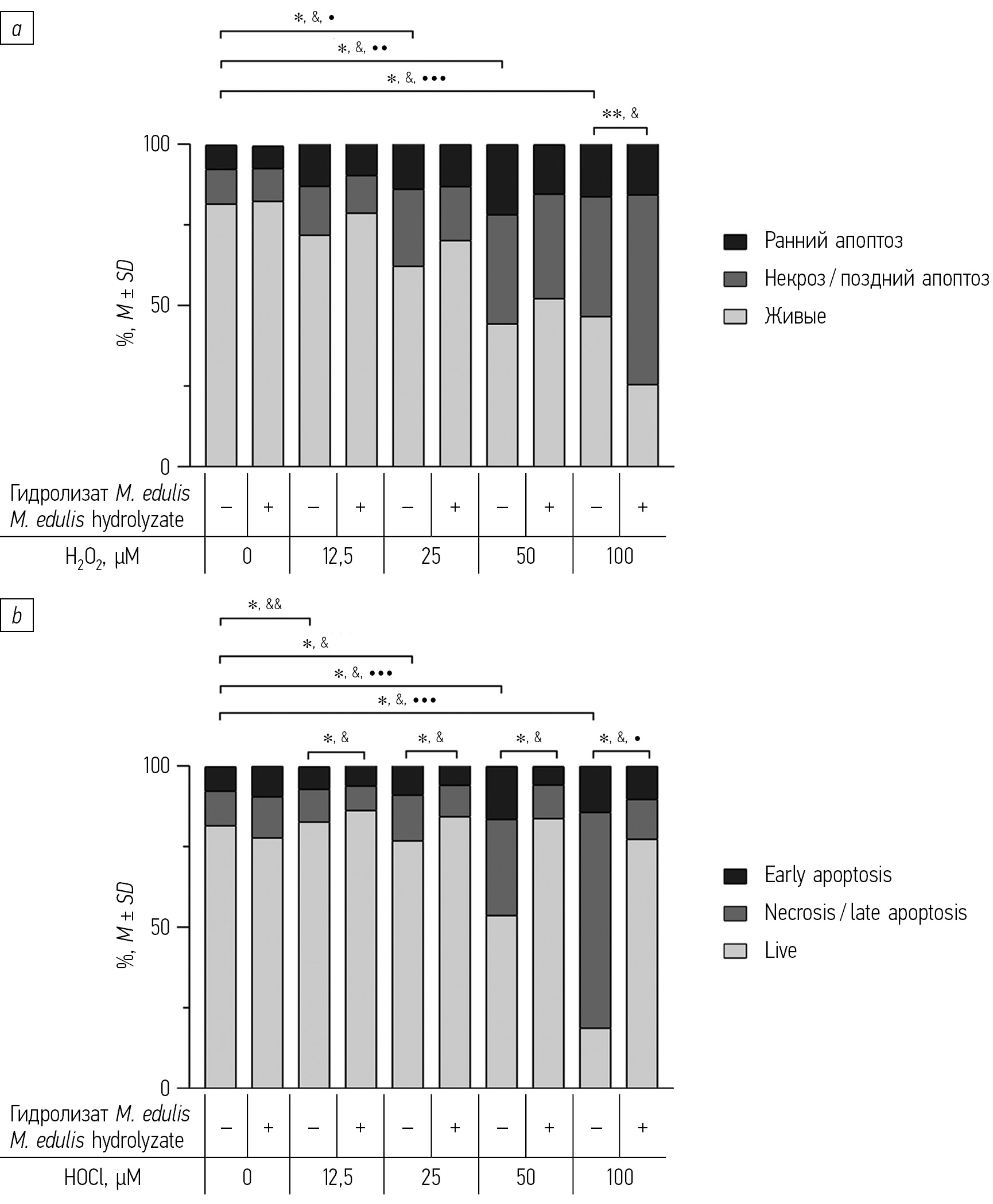
Effect of M. edulis hydrolyzate on endothelial cell viability after incubation in the presence of H2O2 and HOCl. H2O2, at concentrations of ≥25 µmol/L, decreased endothelial cell viability. In this case, a significant decrease was noted in the proportion of living cells with a simultaneous increase in the proportion of cells in the state of necrosis and early apoptosis compared with those in the control (culture medium) (Fig. 3a). The addition of the study agent at a dilution of 1:5 did not significantly affect the studied parameters in all cases, except for the sample with the H2O2 maximum concentration of 100 µmol/L. Moreover, the proportion of living cells was significantly lower, and the proportion of cells in necrosis and early apoptosis was significantly higher than in these indicators under the same conditions without the agent. HOCl of ≥12.5 µmol/L decreased endothelial cell viability (Fig. 3b). In this case, a significant decrease in the proportion of living cells and an increase in the proportion of necrotic cells were also recorded, whereas the proportion of cells in a state of early apoptosis did not change significantly. With a further increase in the concentration of HOCl, the proportion of living cells decreased significantly compared with that in the control. The addition of M. edulis hydrolyzate at a dilution of 1:5 in this case significantly increased endothelial cell viability so that the proportion of living cells did not decrease below the control level. In the presence of the M. edulis hydrolyzate, only at an HOCl concentration of 100 µmol/L, the proportion of living cells became significantly lower than that in the control. Thus, studies have shown that the agent had a neutralizing effect on HOCl, but was ineffective against H2O2.
Effect of M. edulis hydrolyzate on endothelial cell activation. Further, the effect of the M. edulis preparation on spontaneous and induced activation of endothelial cells was analyzed. Thus, we studied the effect of the agent on spontaneous and induced production of the pro-inflammatory cytokine IL-8 and the expressions of activation markers CD54 and CD142. The pro-inflammatory cytokine TNFα was used as a standard inducer. As expected, TNFα significantly increased the production of IL-8 and the expression of the activation marker CD54, but did not influence the expression of CD142 by endothelial cells (Fig. 4). The studied agent, in a wide range of concentrations (dilutions from 1:20 to 1:400), did not significantly affect the spontaneous secretion of IL-8 (Fig. 4a). The effect of the agent on IL-8 secretion induced by TNFα was also not significant; however, there was a tendency to suppress the cytokine production, which was most pronounced at the agent dilution of 1:200. The agent had no significant effects on spontaneous and induced expressions of CD54 and CD142 activation markers by endothelial cells (Fig. 4b, Fig. 4c).
Discussion
This study revealed that the M. edulis hydrolyzate at the analyzed concentrations did not have a toxic effect on endothelial cells (Fig. 1). Moreover, a positive effect of the agent on cells was revealed, consisting in an increase in their proliferative activity (Fig. 2). Previously, the effect of the agent on endothelial proliferation has not been studied. However, in general, our data are consistent with the results of previous studies of the effect of M. edulis hydrolyzate on the barrier function of the endothelium. Thus, the agent reduced significantly vascular permeability in mice, induced by substance 48/80 [9]. In addition, in vitro studies by continuous recording of changes using the ECIS system showed that the agent significantly reduced the permeability of the monolayer of brain microvessels-derived endothelial cell, activated by the lipopolysaccharide [9].
Fig. 1. Effect of M. edulis hydrolyzate on the activity of mitochondrial dehydrogenases in EA.hy926 cells. The effect of the agent on endothelial cells was assessed using the MTT assay. The results were presented as a percentage, and the optical density in the control wells containing the culture medium without additives was 100%. Here and below, data were tested for normal distribution using the Shapiro–Wilk test. The significance of differences between the control and experimental samples was assessed by the one-way analysis of variance (p < 0.001), and a pairwise comparison of the mean values was performed using Dunnett and Tukey’s post hoc tests. Data were presented as mean (M) ± standard deviation (SD). Differences were significant in comparison with the control at * p < 0.001 (n = 24)
Рис. 1. Влияние гидролизата M. edulis на активность митохондриальных дегидрогеназ клеток линии EA.hy926. Влияние препарата на эндотелиальные клетки оценивали с помощью МТТ-теста. Результаты выражали в процентах, принимая за 100 % оптическую плотность в контрольных лунках, содержащих культуральную среду без добавок. Здесь и далее полученные данные проверяли на нормальность распределения с помощью теста Шапиро – Уилка. Оценку достоверности различий между контрольными и опытными выборками проводили методом однофакторного дисперсионного анализа ANOVA (p < 0,001), попарное сравнение средних значений производили при помощи апостериорных тестов Даннетта и Тьюки. Данные представляли как среднее значение (М) ± стандартное отклонение (SD). Различия достоверны по сравнению с контролем при: * р < 0,001; n = 24
Fig. 2. The effect of M. edulis hydrolysate on EA.hy926 cell proliferation. Endothelial cell proliferation was assessed using crystal violet dye. The results were expressed as a percentage, taking the optical density in control wells containing culture medium as 100%. Differences were significant in comparison with the control at * p < 0.001 (n = 18)
Рис. 2. Влияние гидролизата M. edulis на пролиферацию эндотелиальных клеток человека линии EA.hy926. Оценка пролиферативной активности эндотелиальных клеток с использованием красителя кристаллического фиолетового. Результаты выражали в процентах, принимая за 100 % оптическую плотность в контрольных лунках, содержащих культуральную среду без добавок. Различия достоверны по сравнению с контролем при: * р < 0,001, n = 18
M. edulis derivatives contain biologically active substances that can effectively regulate inflammation [21, 22]. Specifically, the consumption of M. edulis reduced the symptoms of rheumatoid arthritis in women and improved their health [22]. Fatty acids of M. edulis had preventive and therapeutic effects on a model of adjuvant-induced arthritis in male Wistar rats [23]. The peptide fraction of the M. edulis hydrolyzate with a molecular weight of >5 kDa suppressed the production of NO, prostaglandin E2, and pro-inflammatory cytokines (TNFα, IL-6, and IL-1b) induced by lipopolysaccharides by RAW264.7 murine macrophages. These effects were associated with the inhibition of NF-kB and mitogen-activated protein kinase signaling cascades and the expression of iNOS and cyclooxygenase-2 [21, 24]. The anti-inflammatory effect of the agent in relation to endothelial cells of the human umbilical cord vein was also confirmed. The M. edulis hydrolyzate enhanced the production of the vasoprotective NO molecule and reduced, vascular cell adhesion molecule 1 expression and IL-6 secretion induced by inflammatory mediators in endothelial cells [9].
The previously established antioxidant effect of the M. edulis hydrolyzate [24] can be considered one of the mechanisms of the anti-inflammatory effect of the agent. Specifically, one antioxidant peptide (Tyr-Pro-Pro-Ala-Lys) was isolated and identified in the composition of M. edulis hydrolyzate proteins, which demonstrated a high activity of neutralizing free radicals and the ability to inhibit oxidative stress in a model system with linoleic acid [25]. In M. edulis hydrolysates, bioactive peptides were also found, which can inhibit the angiotensin-converting enzyme and have chelating and antioxidant properties [26–28]. The results of our study indirectly confirmed the antioxidant properties of the agent. The agent can neutralize the toxic effect of HOCl and increase the survival of endothelial cells in the presence of this oxidizing agent (Fig. 3). However, the anti-inflammatory effect of M. edulis hydrolyzate on EA.hy926 endothelial cells was not revealed, and the agent did not affect TNFα-induced IL-8 production and expression of the CD54 activation marker (Fig. 4). This is probably due to the phenotypic aspects of the EA.hy cell line, which are transformed cells that differ from the primary cultures of endothelial cells used in previous studies of the M. edulis hydrolyzate [9].
Fig. 3. The effect of M. edulis hydrolysate on the viability of EA.hy926 cells after incubation in the presence of H2O2 (a) and HOCl (b). M. edulis hydrolysate was added in dilution of 1:5 (v/v). Cell viability was assessed by cell staining with fluorescent dyes YO-PRO® and propidium iodide, which freely penetrate into cells in state of early apoptosis and necrosis/late apoptosis, respectively. The samples were analyzed using flow cytometry. The differences are significant for living cells: * р < 0.001, ** р < 0.05; for necrotic cells: & p < 0.001, && p < 0.01; for apoptotic cells: ●●● p < 0.001, ●● p < 0.01, ● p < 0.05; n = 3
Рис. 3. Влияние гидролизата M. edulis на жизнеспособность эндотелиальных клеток EA.hy926 после инкубации в присутствии H2O2 (a) и HOCl (b). Гидролизат M. edulis вносили в разведении 1 : 5 по объему. Жизнеспособность клеток оценивали путем окрашивания флуоресцентными красителями Yo-Pro и йодидом пропидия, которые свободно проникают в клетки, находящиеся в состоянии раннего апоптоза и некроза/позднего апоптоза соответственно. Образцы анализировали с помощью проточной цитометрии. Отличия достоверны для живых клеток: * р < 0,001, ** р < 0,05; для клеток в состоянии некроза: & p < 0,001, && p < 0,01; для клеток в состоянии апоптоза: ●●● p < 0,001, ●● p < 0,01, ● p < 0,05; n = 3
Fig. 4. The effect of M. edulis hydrolysate on the IL-8 secretion (a) and level of activation markers: adhesion molecule CD54 (ICAM-1) (b) and tissue factor CD142 (c) on EA.hy926 cells. The concentration of IL-8 in cell culture supernatants was determined using ELISA. The expression of CD54 and CD142 molecules on endothelial cells was evaluated using monoclonal antibodies and flow cytometry. Differences were significant in comparison with the control at * р < 0,001; n = 8 (a), 4 (b, c)
Рис. 4. Влияние гидролизата M. edulis на секрецию IL-8 (a) и экспрессию активационных маркеров: адгезионной молекулы CD54 (ICAM-1) (b) и тканевого фактора CD142 (c) эндотелиальными клетками EA.hy926. Определение концентрации IL-8 в супернатантах клеточных культур проводили с помощью иммуноферментного анализа. Экспрессию поверхностных молекул CD54 и СD142 на эндотелиальных клетках оценивали с использованием моноклональных антител и проточной цитометрии. Различия достоверны по сравнению с контролем при: * р < 0,001; n = 8 (a), 4 (b, c)
Conclusions
The results of this study revealed that M. edulis hydrolyzate has a beneficial effect on the EA.hy926 endothelial cells, enhances their proliferation, and improves survival in the presence of the oxidizing agent HOCl. Our data confirm that the M. edulis hydrolyzate can be used to develop new agents with vasoprotective action.
Additional information
Funding source. The research was supported by the grant of the Russian Science Foundation No. 22-25-20020, https://rscf.ru/en/project/22-25-20020/, and grant of St. Peterburg Science Foundation in accordance with the agreement No. 46/2022 dated April 14, 2022.
Ethical approval. This article does not contain any studies using animals and humans as subjects.
Conflict of interest. The authors declare the absence of obvious and potential conflicts of interest related to the publication of this article.
Authors̕ contribution. All authors made a significant contribution to the development of the concept and preparation of the article. The largest contribution is distributed as follows: E.A. Starikova — study design, data collection, data analysis and drafting of the manuscript; J.T. Mammedova — data collection, data analysis, graphical design, editing of first draft and final manuscript; O.Ya. Porembskaya — editing of first draft and final manuscript.
Дополнительная информация
Источник финансирования. Исследование выполнено за счет гранта Российского научного фонда № 22-25-20020, https://rscf.ru/project/ 22-25-20020/, и гранта Санкт-Петербургского научного фонда в соответствии с соглашением от 14 апреля 2022 г. № 46/2022.
Соблюдение этических норм. Настоящая статья не содержит каких-либо исследований с использованием в качестве объектов животных и людей.
Конфликт интересов. Авторы декларируют отсутствие явных и потенциальных конфликтов интересов, связанных с публикацией настоящей статьи.
Вклад авторов. Все авторы внесли существенный вклад в разработку концепции и подготовку статьи, прочли и одобрили финальную версию перед публикацией. Наибольший вклад распределен следующим образом: Э.А. Старикова — разработка дизайна исследования, проведение экспериментов, написание текста статьи; Дж.Т. Маммедова — проведение экспериментов, статистический анализ данных и их графическое оформление, редактирование статьи; О.Я. Порембская — написание текста и редактирование статьи.
About the authors
Eleonora A. Starikova
Institute of Experimental Medicine; Almazov National Medical Research Centre; Academician I.P. Pavlov First St. Petersburg State Medical University
Author for correspondence.
Email: starickova@yandex.ru
ORCID iD: 0000-0002-9687-7434
Scopus Author ID: 25932312000
Cand. Sci. (Biol.), Senior Research Associate, Department of Immunology; Assistant Professor of Department of Cell Biology and Histology; Assistant Professor, Department of Immunology
Russian Federation, Saint Petersburg; Saint Petersburg; Saint PetersburgJennet T. Mammedova
Institute of Experimental Medicine
Email: jennet_m@mail.ru
ORCID iD: 0000-0003-4381-6993
ResearcherId: H-5067-2017
Research Associate, Department of Immunology
Russian Federation, Saint PetersburgOlga Ya. Porembskaya
Institute of Experimental Medicine; North-Western State Medical University named after I.I. Mechnikov
Email: porembskaya@yandex.ru
ORCID iD: 0000-0003-3537-7409
Scopus Author ID: 56743328700
MD, Cand. Sсi. (Med.), Research Associate; Assistant Professor, Сardio-Vascular Department
Russian Federation, Saint Petersburg; Saint PetersburgReferences
- Castellon X, Bogdanova V. Chronic inflammatory diseases and endothelial dysfunction. Aging Dis. 2016;20(7(1)):81–89. doi: 10.14336/AD.2015.0803
- Keller TT, Mairuhu ATA, de Kruif MD, et al. Infections and endothelial cells. Cardiovasc Res. 2003;60(1):40–48. doi: 10.1016/S0008-6363(03)00354-7
- Prasad M, Leon M, Lerman LO, Lerman A. Viral endothelial dysfunction: a unifying mechanism for COVID-19. Mayo Clin Proc. 2021;96(12):3099–3108. doi: 10.1016/j.mayocp.2021.06.027
- Joffre J, Hellman J, Ince C, Ait-Oufella H. Endothelial responses in sepsis. Am J Respir Crit Care Med. 2020;202(3):361–370. doi: 10.1164/rccm.201910-1911TR
- Glassman PM, Myerson JW, Ferguson LT, et al. Targeting drug delivery in the vascular system: Focus on endothelium. Adv Drug Deliv Rev. 2020;157:96–117. doi: 10.1016/j.addr.2020.06.013
- Porembskaya OY, Starikova EA, Lobastov КV, et al. Target therapy for venous thrombosis: experimental extravagance or tangible future? Khirurg. 2022;(7–8):41–50. (In Russ.) doi: 10.33920/med-15-2204-05
- Tyurenkov IN, Perfilov VN, Ivanova LB, Karamysheva VI. Effect of GABA derivatives on endothelial function and antithrombotic state of the microcirculation in animals with experimental gestosis. Regional blood circulation and microcirculation. 2012;11(2):61–65. (In Russ.) doi: 10.24884/1682-6655-2012-11-2-61-65
- Lu WY, Li HJ, Li QY, Wu YC. Application of marine natural products in drug research. Bioorg Med Chem. 2021;35:116058. doi: 10.1016/j.bmc.2021.116058
- Starikova E, Mammedova J, Ozhiganova A, et al. Protective role of mytilus edulis hydrolysate in lipopolysaccharide-galactosamine acute liver injury. Front Pharmacol. 2021;12:667572. doi: 10.3389/fphar.2021.667572
- Charlet M, Chernysh S, Philippe H, et al. Innate immunity: Isolation of several cysteine-rich antimicrobial peptides from the blood of a mollusc, mytilus edulis. J Biol Chem. 1996;271(36):21808–21813. doi: 10.1074/jbc.271.36.21808
- Mitta G, Hubert F, Dyrynda EA, et al. Mytilin B and MGD2, two antimicrobial peptides of marine mussels: gene structure and expression analysis. Dev Comp Immunol. 2000;24(4):381–393. doi: 10.1016/S0145-305X(99)00084-1
- Mitta G, Vandenbulcke F, Hubert F, et al. Involvement of Mytilins in mussel antimicrobial defense. J Biol Chem. 2000;275(17):12954–12962. doi: 10.1074/jbc.275.17.1295
- Roch P, Yang Y, Toubiana M, Aumelas A. NMR structure of mussel mytilin, and antiviral–antibacterial activities of derived synthetic peptides. Dev Comp Immunol. 2008;32(3):227–238. doi: 10.1016/j.dci.2007.05.006
- Romestand B, Molina F, Richard V, et al. Key role of the loop connecting the two beta strands of mussel defensin in its antimicrobial activity. Eur J Biochem. 2003;270(13):2805–2813. doi: 10.1046/j.1432-1033.2003.03657.x
- Jung WK, Kim SK. Isolation and characterisation of an anticoagulant oligopeptide from blue mussel, mytilus edulis. Food Chem. 2009;117(4):687–692. doi: 10.1016/j.foodchem.2009.04.077
- Leung M, Stefano GB. Isolation of molluscan opioid peptides. Life Sci. 1983;33 Suppl 1:77–80. doi: 10.1016/0024-3205(83)90448-4
- Feng L, Tu M, Qiao M, et al. Thrombin inhibitory peptides derived from mytilus edulis proteins: identification, molecular docking and in silico prediction of toxicity. Eur Food Res Technol. 2018;244(2):207–217. doi: 10.1007/s00217-017-2946-7
- Qiao M, Tu M, Wang Z, et al. Identification and antithrombotic activity of peptides from blue mussel (mytilus edulis) protein. Int J Mol Sci. 2018;19(1):138. doi: 10.3390/ijms19010138
- Mosmann T. Rapid colorimetric assay for cellular growth and survival: application to proliferation and cytotoxicity assays. J Immunol Methods. 1983;65(1–2):55–63. doi: 10.1016/0022-1759(83)90303-4
- Newman JMB, DiMaria CA, Rattigan S, et al. Relationship of MTT reduction to stimulants of muscle metabo-lism. Chem Biol Interact. 2000;128(2):127–140. doi: 10.1016/s0009-2797(00)00192-7
- Kim YS, Ahn CB, Je JY. Anti-inflammatory action of high molecular weight mytilus edulis hydrolysates fraction in LPS-induced RAW264.7 macrophage via NF-κB and MAPK pathways. Food Chem. 2016;202:9–14. doi: 10.1016/j.foodchem.2016.01.114
- Lindqvist HM, Gjertsson I, Eneljung T, Winkvist A. Influence of blue mussel (mytilus edulis) intake on disease activity in female patients with rheumatoid arthritis: The MIRA randomized cross-over dietary intervention. Nutrients. 2018;10(4):E481. doi: 10.3390/nu10040481
- McPhee S, Hodges L, Wright PFA, et al. Prophylactic and therapeutic effects of mytilus edulis fatty acids on adjuvant-induced arthritis in male wistar rats. Prostaglandins Leukot Essent Fatty Acids. 2010;82(2–3):97–103. doi: 10.1016/j.plefa.2009.12.003
- Park SY, Ahn CB, Je JY. Antioxidant and anti-inflammatory activities of protein hydrolysates from mytilus edulis and ultrafiltration membrane fractions. J Food Biochem. 2014;38(5):460–468. doi: 10.1111/jfbc.12070
- Wang B, Li L, Chi CF, et al. Purification and characterization of a novel antioxidant peptide derived from blue mussel (mytilus edulis) protein hydrolysate. Food Chem. 2013;138(2–3):1713–1719. doi: 10.1016/j.foodchem.2012.12.002
- Je JY, Park PJ, Byun HG, et al. Angiotensin I converting enzyme (ACE) inhibitory peptide derived from the sauce of fermented blue mussel, mytilus edulis. Bioresour Technol. 2005;96(14):1624–1629. doi: 10.1016/j.biortech.2005.01.001
- Rajapakse N, Mendis E, Jung WK, et al. Purification of a radical scavenging peptide from fermented mussel sauce and its antioxidant properties. Food Res Int. 2005;38(2):175–182. doi: 10.1016/j.foodres.2004.10.002
- Neves AC, Harnedy PA, Fitzgerald RJ. Angiotensin converting enzyme and dipeptidyl peptidase-IV inhibitory, and antioxidant activities of a blue mussel (mytilus edulis) meat protein extract and its hydrolysate. J Aquat Food Prod Technol. 2016;25(8):1221–1233. doi: 10.1080/10498850.2015.1051259
Supplementary files






