Оценка иммуногенных и протективных свойств рекомбинантных вирусов гриппа, экспрессирующих фрагменты ScaAB белка стрептококков группы В, на модели мышей
- Авторы: Степанова Е.А.1, Исакова-Сивак И.Н.1, Матюшенко В.А.1, Матушкина А.С.1, Смолоногина Т.А.1, Донина С.А.1, Леонтьева Г.Ф.1, Суворов А.Н.1, Руденко Л.Г.1
-
Учреждения:
- Федеральное государственное бюджетное научное учреждение «Институт экспериментальной медицины»
- Выпуск: Том 20, № 3 (2020)
- Страницы: 33-42
- Раздел: Оригинальные исследования
- Статья опубликована: 15.09.2020
- URL: https://journals.eco-vector.com/MAJ/article/view/50307
- DOI: https://doi.org/10.17816/MAJ50307
- ID: 50307
Цитировать
Полный текст
Аннотация
Стрептококки группы В (СГВ) вызывают ряд тяжелых заболеваний у людей. Разработка эффективной вакцины для профилактики инфекций, вызванных СГВ, требует специальных подходов. В настоящем исследовании были сконструированы три рекомбинантных штамма вируса гриппа на основе штамма живой гриппозной вакцины подтипа H7N9, экспрессирующие фрагменты липопротеина ScaAB Streptococcus agalactiae, присоединенные гибким линкером к поверхностному белку вируса – гемагглютинину. Были успешно получены штаммы со вставками ScaAB размером 85, 141 и 200 аминокислот. Рекомбинантные штаммы были способны к росту в развивающихся куриных эмбрионах и культуре клеток MDCK и сохранили температурочувствительный фенотип, характерный для вакцинных вирусов. В результате экспериментальной оценки иммуногенности и протективной активности вакцинных кандидатов на мышах линии BALB/c наиболее перспективным оказался штамм со вставкой в 141 аминокислоту: данный вариант обладал оптимальными показателями иммуногенности против гриппа и СГВ и оказывал защитное действие против обоих патогенов. Это указывает на перспективность дальнейшего изучения рекомбинантной векторной вакцины H7-ScaAB-141 в качестве ассоциированной вирус-бактериальной вакцины, обеспечивающей комбинированную защиту как против вируса гриппа, так и против бактериальных инфекций, вызываемых стрептококками группы В.
Ключевые слова
Полный текст
Introduction
Group B streptococci (Streptococcus agalactiae) (GBS) are a group of common bacterial pathogens that cause a number of severe diseases in newborns, pregnant women and the elderly. The most dangerous manifestation of infection is neonatal sepsis and meningitis, as well as septicemia, which develops in frail elderly patients [1]. The need to develop a safe and effective vaccine against GBS is especially important due to the development of antibiotic resistance in streptococcal strains. The development of vaccines against streptococcal infection requires special approaches: traditional ways of designing a conjugated polysaccharide vaccine do not allow obtaining an effective broadly reactive vaccine due to the high variability of GBS antigenic determinants [2]. With the development of new biotechnological techniques and approaches, it has become possible to use the key proteins of bacterial pathogens to create cross-protective vaccines. Thus, earlier we designed recombinant polypeptides for immunization against GBS based on conservative immunodominant regions of the bacterial proteins, which ensured protection of experimental animals against infection with virulent GBS strains [3–5]. However, immunization with purified proteins usually induces only humoral immune responses and often requires the addition of adjuvants to enhance immunogenicity. To ensure the optimal level of humoral and T-cell immunity to a given pathogen, the correct presentation of the target antigen to the immune cells is needed, which can be achieved using vector systems for the delivery of foreign genetic material to the target cells [6].
Previously, we generated the first prototype vectored vaccines against GBS using a live attenuated influenza vaccine (LAIV) strain as a vector to deliver various fragments of the surface lipoprotein of group B streptococci ScaAB [7]. Since we were unable to rescue a viable recombinant influenza virus carrying the full-length ScaAB protein (287 amino acid residues), several candidates with truncated ScaAB fragments containing important immunodominant B- and T-cell epitopes were generated [7, 8]. The study of the rescued candidates showed that the insertion of an antigenic cassette at the N-terminus of hemagglutinin molecule is a promising strategy to design a combined viral-bacterial vaccine: the virus remains viable and the effect of the foreign insert on the viral growth characteristics is moderate [7]. The most important phenotypic characteristic of the vaccine strains associated with their safety — sensitivity to high incubation temperatures — was preserved in all recombinant viruses, indicating the stability of the attenuated phenotype of LAIV viruses after genetic manipulations [7].
In the present study, we conducted a comparative evaluation of growth characteristics of three recombinant vectored vaccines LAIV-ScaAB, as well as their immunogenicity and protective activity against both the target bacterial pathogen and the influenza virus, using a BALB/c mouse model.
Materials and methods
Viruses. We used recombinant strains of influenza A virus rescued on the backbone of a LAIV master donor virus A/Leningrad/134/17/57 (H2N2),
with surface antigens belonging to influenza virus A/Anhui/1/2013 (H7N9), where hemagglutinin (HA) molecule was modified to express antigenic regions of ScaAB protein. The viruses were generated by the means of reverse genetics using the 8-plasmid system [7]. Overall, three recombinant vaccine candidates were evaluated in our study (see Table). An H7N9 LAIV strain with identical genome composition and intact hemagglutinin was used as a control.
Genome composition of H7N9 LAIV and LAIV-ScaAB recombinant influenza viruses
Vaccine | The source of viral genes | ||
HA | NA | PB2, PB1, PA, NP, M, NS | |
H7N9 LAIV | Anhui | Anhui | Len/17 |
H7-ScaAB-85 | H7-ScaAB-85 | Anhui | Len/17 |
H7-ScaAB-141 | H7-ScaAB-141 | Anhui | Len/17 |
H7-ScaAB-200 | H7-ScaAB-200 | Anhui | Len/17 |
Note. Anhui: А/Anhui/1/2013 (H7N9); Len/17: А/Leningrad/134/17/57 (H2N2).
A virulent H7N9-PR8 reassortant influenza virus containing HA and neuraminidase (NA) genes from influenza A/Anhui/1/2013 (H7N9) strain and the remaining 6 genes from a mouse-adapted A/PR/8/34 (H1N1) virus was used for the challenge infection.
Growth of influenza viruses in developing chicken embryos. The viruses used in the study were grown in the allantoic cavity of 10-11-day-old embryonated chicken eggs (ECE) (LLC poultry farm “Naziya”, Leningrad region). Eggs were infected in the allantoic cavity with 0.2 ml of the virus-containing fluids and incubated at the optimal (33 °C) temperature for 48 hours. The presence of the virus was detected in the hemagglutination assay with 1% chicken red blood cells according to the standard protocol [9]. The 50% embryonic infectious dose was determined by titrating the virus in ECE with tenfold dilutions, in a volume of 0.2 ml. Then the eggs were incubated for 48 hours at 33 °C/38 °C or 6 days at a low temperature (26 °C). The 50% embryonic infectious dose, expressed in lg EID50/ml, was calculated using the method of Reed and Muench [10].
Assessment of the growth characteristics of influenza viruses in MDCK cells. The infectious activity of the viruses in MDCK cells (Madin-Darby canine kidney) was determined by their end-point titration in 96-well plates with confluent cell monolayer. Prior to the infection, the cell monolayer was washed twice with a sterile solution of phosphate-buffered saline (PBS), then prepared 10-fold virus dilutions were added to the wells in a volume of 0.025 ml, 4-6 wells per dilution. After 1-hour adsorption, the inoculum was completely removed, followed by addition of 150 μl of DMEM (Gibco, USA) medium supplemented with trypsin TPCK (Sigma Aldrich, Germany) at a concentration of 1 μg/ml. The cells were incubated at an optimum temperature of 33 °C in an atmosphere of 5% CO2 for 72-96 hours. Then, the virus was detected in the HA assay in and the infectious titer was calculated by the method of Reed and Muench [10] and expressed in lg TCID50/ml.
Cultivation of group B streptococci. Strain H36 Streptococcus agalactiae of Ibc serotype was obtained from the repository of the Department of Molecular Microbiology, IEM. The bacteria were cultured in TCB medium with 5% yeast extract for 24 hours at 37 °C under aerobic conditions, followed by three washes with PBS using centrifugation at 3500 rpm for 20 minutes. For intranasal infection of mice, a 10-fold concentrate of a one-day culture was prepared using PBS.
Evaluation of the replication of viruses and bacteria in the respiratory tract of mice. Groups of female BALB/c mice were intranasally inoculated with studied viruses diluted in PBS to the dose of 6.0 lg EID50 in a volume of 50 μl, under light ether anesthesia. The nasal turbinates and lungs were collected 3 days after infection from 4 animals from each group. Tissue homogenates were prepared in 1 ml of PBS containing an antibiotic-antimycotic using a TissueLyser LT desktop homogenizer (QIAGEN, Germany). The titers of influenza viruses in the homogenates were determined by end-point titration in ECE incubated at 33 °C for 48 hours, according to the method described above.
To determine the level of GBS replication in mice, lungs were collected 5 hours after GBS infection and tissue homogenates were prepared in 1 ml of PBS on a vibration grinder Retsch MM-400 (GmbH). The concentration of bacteria in the supernatants was determined by seeding two-fold dilutions on a solid medium of 5% Columbia blood agar. The number of bacteria was expressed as the number of colony forming units per lung (CFU/lung).
Evaluation of immunogenicity and protective efficacy of vectored vaccines. Groups of female BALB/c mice were immunized with two doses of the engineered vectored vaccines as described above, 21 days apart. Animals immunized with the H7N9 vaccine virus, which was used as a viral vector, were used as a control group. PBS was used as a placebo preparation. On day 21 after the second immunization, blood was collected from 6 animals from each group and serum samples were prepared. The rest of the animals were challenged according to three schemes:
(a) intranasal infection of 4 mice with a virulent reassortant strain H7N9-PR8 at a dose of 5.0 lg EID50. The lungs of mice were harvested on day 3 after infection and viral loads in tissue homogenates was determined as described above.
(b) intranasal infection of 10 mice with a virulent reassortant strain H7N9-PR8 at a dose of 5.0 lg EID50. One day after influenza inoculation, mice were infected with group B streptococci intranasally at a dose of 108 CFU per mouse by injecting a bacterial suspension in a volume of 20 μl into both nostrils. Lungs were taken from 6 mice from each group 5 hours after infection with bacteria to determine the titer of GBS in them. On the 3rd day after infection with the virus, lungs were collected from 4 mice to determine the load of the virus in tissue homogenates.
(c) intranasal infection of 6 mice with group B streptococci. 5 hours after infection, lungs were harvested from 6 mice from each group to determine the yield of GBS in them.
Statistical analyses. Statistical analyses and preparation of illustrative material was carried out using the GraphPad Prism software (version 7.0). The distribution parameters were estimated using the Shapiro-Wilk test. The significance of the influence of the estimated parameters on the differences between the groups was determined using analysis of variance or nonparametric Kruskal-Wallis analysis with subsequent comparison of groups using Dunnet’s or Dunn’s tests, respectively. Differences were considered statistically significant at a significance level of p ≤ 0.05.
Results
Generation of a recombinant virus with longer insertion into HA
Initially, to develop a viral-vectored vaccine against GBS a lipoprotein ScaAB was chosen as an antigen, and a fragment of 287 amino acids in size (ScaAB without a transmembrane domain) was selected for vector delivery. Due to the complexity of inserting large cassettes into viral hemagglutinin, three shortened versions of the bacterial antigen, 200, 141 and 85 amino acids long, have also been proposed (Figure 1). The epitope composition of the selected fragments was described earlier [8]. At the first stage, we were able to successfully rescue vaccine candidates with inserts of 141 and 85 amino acids in length [7]; in the current study we also included a virus expressing a 200 amino acid ScaAB fragment containing 5 out of 7 experimentally established B-cell immunogenic epitopes. In addition, it was possible to rescue a genetically stable virus with an insert of 141 amino acids in length, whereas at the previous studies, a similar variant underwent multiple mutational changes during sequential passaging in eggs. Probably, as a result of some influences at the very first stage of virus rescue with an insert of 141 amino acids, a heterogeneous population was generated, from which a significant number of mutant components were subsequently obtained, displacing the original virus. After reassembly of the virus with an insert of 141 amino acids, mutagenesis was no longer observed during passaging.
Fig. 1. Visualization of spatial structure of influenza H7 hemagglutinin with insertion of bacterial antigenic cassettes. The ScaAB cassette is shown on one monomer for better perception. The cassette is linked to N-terminus of HA with a flexible linker. The figure was prepared with UCSF Chimera 1.11.2 software
Evaluation of biological properties of experimental vectored vaccines in vitro
We assessed the ability of recombinant viruses to grow in eggs at the optimal temperature, as well as at elevated (38 °C) and low (26 °C) temperatures to determine the phenotypic characteristics of the viruses. Temperature sensitivity (ts phenotype) was defined as a decrease in the infectious titer at 38 °C by ≥5.0 lg EID50 compared to the optimal temperature of 33 °C. The presence of the ca phenotype (cold adaptation) was detected if their infectious titer at 26 °C was reduced as compared to 33 °C by ≤ 3.0 lg EID50.
The results of phenotypic evaluation of the rescued experimental vectored vaccines H7-ScaAB-85, H7-ScaAB-141 and H7-ScaAB-200, in comparison with the original vaccine virus H7N9 LAIV in eggs at different temperatures are shown on Figure 2. The H7-ScaAB-85 strain did not differ from the control H7N9 LAIV virus by the ability to replicate in eggs at all studied temperatures. Strains with longer inserts had reduced replication activity at both optimal and suboptimal temperatures. The recombinant vaccine strains H7-ScaAB-141 and H7-ScaAB-200 were able to grow at low temperature 26 °C, but virus titers were significantly lower than that of the control H7N9 LAIV strain (the mean difference was 3.5-4.0 lg EID50, indicating the loss of the ca phenotype). The ts phenotype was retained in all three recombinant vaccine viruses (Figure 2).
Fig. 2. Titers of recombinant viruses in developing chicken embryos at different temperatures. EID50 — 50% egg infectious dose. Data are shown as Mean ± standard deviation. The differences between groups were assessed by ANOVA (significant for all three temperatures) with post-hoc Dunnett’s test. Significant differences (Dunnett’s test) are indicated as follows: * p ≤ 0.05, ** p ≤ 0.005. The dotted line indicates detection limit
Comparison of the infectious activity of the H7N9 LAIV vector and the chimeric viruses in MDCK cells at optimal temperature 33 °C showed statistically significant differences (Figure 3). Similar to viral replication in eggs, inserts of large-sized ScaAB protein cassettes (141 and 200 a.a.) statistically significantly reduced the infectious activity of the virus at the optimal temperature, whereas the ScaAB-85 insert did not show this negative effect — the virus actively replicated in MDCK cells at the level of the control vaccine strain LAIV H7N9.
Fig. 3. Replication of experimental vectored vaccines in MDCK cell culture. Data are shown as Mean ± standard deviation. Mean values are indicated on graph. The differences between groups were assessed by Kruskal-Wallis test (p = 0.0001) with post-hoc Dunn’s test. Significant differences (Dunn’s test) are indicated as follows: * p ≤ 0.05
Studies of experimental vectored vaccines on the BALB/c mouse model
To assess the reproductive activity of the designed vectored vaccines in the upper and lower respiratory tract of mice, the nasal turbinates and lungs were harvested 3 days after intranasal administration of vaccines at a dose of 6.0 lg EID50/50 μl. Virus titers were determined by titration of tissue homogenates in eggs at the optimal temperature. Figure 4 shows that the control strain H7N9 LAIV, used as a viral vector, actively replicated in the upper respiratory tract of mice, while its replication in the lungs was significantly reduced, indicating an attenuated viral phenotype. All the designed vectored vaccines were also unable to grow in the lungs of mice, which indicates the preservation of the vaccine’s attenuated phenotype when a fragment of the bacterial ScaAB protein is inserted into the HA molecule, regardless of the length of the insert. However, the insertion of larger fragments had a negative effect on the level of viral replication in the nasal turbinates: the titer of the ScaAB-141 strain decreased by 1.5 lg EID50, although the difference with the control virus did not reach statistical significance. Insertion of the ScaAB fragment with a size of 200 aa resulted in almost complete inability of the virus to replicate in the mouse respiratory tract (Figure 4, p = 0.02, Dunn’s test).
Fig. 4. Replication of experimental vectored vaccines in respiratory tract of BALB/c mice at 3 d.p.i. Data are shown as Mean ± standard deviation. The differences between groups were assessed by Kruskal-Wallis test (p = 0.03 for nasal turbinates; p = 0.04 for lungs) with post-hoc Dunn’s test. Significant differences (Dunn’s test) compared to H7N9 control LAIV are indicated as follows: * p ≤ 0.05. The dotted line indicates detection limit
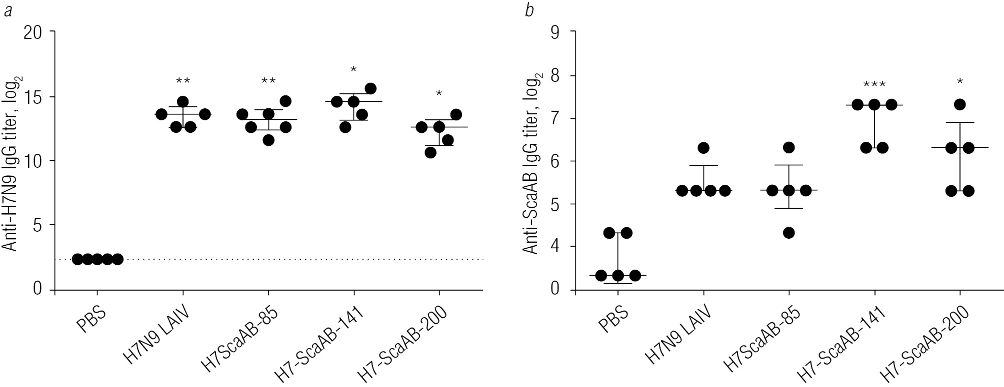
Nevertheless, the assessment of H7N9 influenza-specific humoral immune responses in mice administered two doses of each vaccine showed high immunogenicity of all studied recombinant viruses (Figure 5, a, Kruskal-Wallis test p = 0.0026; p > 0.05 by Dunn’s test for all vectored vaccines compared to the H7N9 LAIV control strain, p < 0.05 for all groups compared to PBS). In the H7-ScaAB-200 group, a 2-fold decrease in virus-specific IgG antibodies was observed in comparison with the control group of H7N9 LAIV, however, this difference was not significantly significant.
Fig. 5. Levels of influenza- or GBS-specific IgG in sera of BALB/c mice, immunized with experimental vectored vaccines. Mice were twice immunized with vaccine viruses at a dose of 6,0 lg EID50/50 µl. Sera were taken at day 21 after the 2nd dose. Levels of IgG to influenza (a) or ScaAB protein (b) were assessed in ELISA. Data are shown as Median with Q1-Q3 range. The differences between groups were assessed by Kruskal-Wallis test (p = 0.001) with post-hoc Dunn’s test. Significant differences (Dunn’s test) compared to PBS group are indicated as follows: * p ≤ 0.05, ** p ≤ 0.005, *** p ≤ 0.0005. The dotted line indicates detection limit
The levels of antibodies detected against the ScaAB protein in all studied groups exceeded the detection limit, which indicates the presence of the background IgG antibodies in BALB/c mice that could react with bacterial antigen. In addition, in the group immunized with the H7N9 LAIV vector, the titers of detected antibodies were noticeably higher than in the control (PBS-immunized group) (Figure 5, b). The detection of anti-ScaAB antibodies in the group of mice that received the control vaccine strain H7N9 LAIV indicates the induction of a fraction of antibodies to the influenza virus that have the ability to cross-react with the bacterial protein. A similar effect was described for pneumococci, where the authors noticed the reduction of the bacterial pathogenic effect in mice vaccinated with an inactivated influenza vaccine [11]. Nevertheless, statistically significant differences in anti-ScaAB IgG levels from the control group (immunized with PBS) were observed only in two groups immunized with the vectored vaccines H7-ScaAB-141 (p = 0.0002, Dunn’s test) and H7-ScaAB-200 (p = 0.011, Dunn’s test) (Figure 5, b).
Significant protective activity against influenza virus (H7N9-PR8) was demonstrated for all studied vaccines, except H7-ScaAB-200. In mice immunized with H7-ScaAB-200 challenge virus was detected in the lungs of all animals, and the titers were significantly higher than that in the control group H7N9 LAIV (Figure 6, a, p = 0.015, Dunn’s test). It should be noted that the titer of the challenge virus in the H7-ScaAB-200 group was 3.5-4.0 lg EID50 lower than in the placebo group mice, which indicates the protective antiviral effect of this viral-bacterial construct. Mice immunized with the H7-ScaAB-85 and H7-ScaAB-141 vectored vaccines were almost completely protected from infection with the virulent influenza virus, indicating the absence of negative effects of the corresponding ScaAB inserts on the development of anti-influenza immunity (Figure 6, a).
Fig. 6. Protective efficacy of experimental vectored vaccines in experiment with challenge with influenza (a) or GBS (b) strain. Mice were twice immunized with vaccine viruses at a dose of 6,0 lg EID50/50 µl. 3 weeks after the 2nd dose animals were challenged with GBS or influenza (H7N9-PR8 strain). Part of H7N9-challenged animals were inoculated with GBS strain 24h later (group Virus+GBS). Replication of virus in lungs was assessed at 3 dpi, titers of GBS were assessed 5 hours after challenge. Data are shown as Median with Q1-Q3 range. The differences between groups were assessed by Kruskal-Wallis test (p ≤ 0.05) with post-hoc Dunn’s test. Significant differences (Dunn’s test) compared to PBS group are indicated as follows: * p ≤ 0.05. ** p ≤ 0.005 and are shown as lines for discrete pairs
Assessment of protective efficacy of the vaccines against the strain H36 S. agalactiae revealed the advantage of the vaccine candidate H7-ScaAB-141: in this group, the pulmonary load of GBS 5 hours after infection was significantly reduced compared to the control placebo group (p = 0.002, Dunn’s test), while in groups H7-ScaAB-85 and H7-ScaAB-200 this protective effect was not observed (Figure 6, b). As shown in Figure 6, b, the protective effect of the vaccine H7-ScaAB-141 was observed when vaccinated animals were infected with the bacterial pathogen only, whereas the protective effect was less pronounced with prior infection of mice with the H7N9-PR8 influenza virus (Virus+GBS scheme). These data indicate that the recombinant vectored vaccine H7-ScaAB-141 is a promising candidate with a potential to provide combined protection against both influenza virus and bacterial infections caused by group B streptococci, and further pre-clinical studies of this recombinant vaccine are warranted.
Discussion
The development of viral-vectored vaccines is a promising strategy that allows combining in one preparation the advantages of a live antiviral vaccine with the advantages of genetically engineered vaccines: correct antigen presentation, its efficient delivery, the ability to select immunodominant antigen fragments that generate the effective protective barrier [6]. Influenza viruses as a vector platform are especially interesting due to their high natural antigenic variability, which makes it possible to avoid boosting the immune responses to the vector itself [12, 13]. Cold-adapted influenza viruses, in particular, strains based on the Russian LAIV master donor strain A/Leningrad/134/17/57 is a promising vector delivery system. First, the A/Leningrad/134/17/57 virus and corresponding LAIV strains have undergone numerous clinical and epidemiological trials, which demonstrated its safety, immunogenicity, and protective efficacy for humans [14–16]. The stability of the LAIV attenuated phenotype is ensured by a complex of attenuating mutations in different viral genes, making it impossible to revert to the virulent phenotype [17]. A reverse genetics system has been developed for the Len/17 virus, which allows targeted manipulations with the virus genome, including the insertion of foreign genetic fragments encoding antigenic regions of other pathogens [17]. On the basis of this vector system, we have already developed experimental vectored vaccines against a number of other viral pathogens, which have shown protective efficacy in animal models [18–20].
In this work, the ScaAB lipoprotein of Streptococcus agalactiae was used as an antigen for vectored vaccine development. Preliminary studies of this lipoprotein as a recombinant polypeptide antigen revealed its immunogenicity and protective activity in experimental animals [3, 4]. The study of the epitope composition of ScaAB revealed a number of regions with immunogenic properties, which made it possible to rationally design the antigenic fragments to be included in the vectored vaccine [8, 21].
In case of viral pathogens, stimulation of T-cell immune response to an intracellular antigen plays a critical role, whereas in case of a bacterial pathogen, antibody induction is an essential component of protective action. Therefore, it is optimal to insert the bacterial antigenic fragment into the N-terminus of the viral hemagglutinin: in this case, the protein antigen is expressed in the viral particle and will be processed as a structural antigen stimulating the humoral immune responses. We generated recombinant H7N9 influenza viruses with modified hemagglutinin: at the N-terminus of each HA1 subunit an immunogenic ScaAB region (85, 141, or 200 amino acids long) is attached through a flexible linker. In general, the larger size of the insert should lead to an increase in the spectrum of the immune responses to GBS due to the presence of a maximum number of immunogenic epitopes. In addition, the large size should contribute to a more optimal folding of the protein structure due to the interaction of its parts with each other. On the other hand, the presence of an “extra” domain can interfere with the functional activity of the influenza HA protein; therefore, a detailed experimental study of the rescued recombinant vaccines and the assessment of their properties in in vivo experiments are necessary.
In the in vitro experiments, the growth characteristics of the influenza virus decreased with an increase in the size of the bacterial insert: the strain with an insert of 85 amino acids did not differ from the control vaccine strain, whereas the most significant differences were observed for the strain with an insert of 200 amino acids. The two recombinant viruses with inserts of 141 and 200 residues had a reduced ability to grow at low temperatures, but retained the temperature-sensitive phenotype, which is the most important characteristic reflecting the inability of the virus to replicate in the lower respiratory tract, indicating the safety of its use.
The smallest of the studied inserts of bacterial protein (H7-ScaAB-85) had no negative effect on the levels of virus replication in the mouse nasal turbinates, leading to the development of high levels of protective virus-specific antibodies, comparable to those of the control H7N9 LAIV group. However, this bacterial fragment was not sufficient to induce a GBS-specific humoral immune response, and, as a consequence, mice immunized with this vaccine were not protected against bacterial infection. Despite the reduced replicative activity in the in vitro system, the vectored vaccine H7-ScaAB-141 actively replicated in the upper respiratory tract of mice, which also led to the induction of high levels of virus-specific antibodies. In addition, this insert provided the development of GBS-specific antibodies that were able to suppress the growth of GBS in the lungs of immunized mice, thereby indicating the ability of combined vectored vaccines to afford dual protection against viral and bacterial infections. Insertion of a longer ScaAB fragment (strain H7-ScaAB-200) led to a significant decrease in the replicative activity of the virus both in vitro and in vivo. As a result, vaccinated mice were not completely protected against infection with a virulent influenza virus, and, despite the presence of a high number of B- and T-cell epitopes of the ScaAB protein, a weak immune response to this protein was developed in animals.
The data obtained in this study indicate that the proposed strategy for engineering combined viral-bacterial vectored vaccines is very promising, however, in order to design the most effective constructs it is necessary to be aware that the foreign insert should not negatively affect the replicative properties of the recombinant virus, but at the same time the bacterial insert should contain a sufficiently large number of experimental B-cell epitopes.
Overall, as a result of this study, the world’s first recombinant vectored vaccines for combined protection against influenza viruses and bacterial infections were designed using a cold-adapted live attenuated influenza vaccine strain as a viral vector. Experiments on laboratory animals allowed recommending the most promising variant, H7-ScaAB-141, for its further evaluation in preclinical studies: immunization schedule optimization, toxicological studies, different challenge experiments including lethal models; further assessment of safety, immunogenicity and protective efficacy in a ferret model. In case of successful completion of preclinical studies, this candidate can be further recommended for clinical trials on volunteers.
Additional information
Funding. The work was carried out within the framework of the IEM’s budget projects (code 0557-2019-0003; 0557-2019-0002).
Ethical statement. The study was approved by a local ethical committee of the Institute of Experimental Medicine (protocol 1/18 from 26.04.2018).
Conflict of interest. None declared.
Author contribution
E.A. Stepanova — processing of the results, preparation of the manuscript.
I.N. Isakova-Sivak — concept development, drawing up an experiment plan, processing the results, preparing a manuscript.
V.A. Matyushenko — conducting experiments, processing the results.
A.S. Matushkina — conducting experiments.
T.A. Smolonogina — conducting experiments, processing the results.
S.A. Donina — conducting experiments.
G.F. Leontyeva — drawing up a plan of experiments, conducting experiments, processing the results, preparing a manuscript.
A.N. Suvorov — concept development, preparation of an experiment plan, research management.
L.G. Rudenko — concept development, research management.
Об авторах
Е. А. Степанова
Федеральное государственное бюджетное научное учреждение «Институт экспериментальной медицины»
Автор, ответственный за переписку.
Email: fedorova.iem@gmail.com
ORCID iD: 0000-0002-8670-8645
SPIN-код: 8010-3047
канд. биол. наук, старший научный сотрудник отдела вирусологии им. А.А. Смородинцева
Россия, Санкт-Петербург, РоссияИ. Н. Исакова-Сивак
Федеральное государственное бюджетное научное учреждение «Институт экспериментальной медицины»
Email: isakova.sivak@iemspb.ru
ORCID iD: 0000-0002-2801-1508
SPIN-код: 3469-3600
д-р биол. наук, заведующая лаборатории иммунологии и профилактики вирусных инфекций отдела вирусологии им. А.А. Смородинцева
Россия, Санкт-Петербург, РоссияВ. А. Матюшенко
Федеральное государственное бюджетное научное учреждение «Институт экспериментальной медицины»
Email: matyshenko@iemspb.ru
ORCID iD: 0000-0002-4698-6085
SPIN-код: 1857-1769
научный сотрудник отдела вирусологии им. А.А. Смородинцева
Россия, Санкт-Петербург, РоссияА. С. Матушкина
Федеральное государственное бюджетное научное учреждение «Институт экспериментальной медицины»
Email: anastasiia.evsina@gmail.com
ORCID iD: 0000-0002-9045-0683
SPIN-код: 5437-8402
научный сотрудник отдела вирусологии им. А.А. Смородинцева
Россия, Санкт-Петербург, РоссияТ. А. Смолоногина
Федеральное государственное бюджетное научное учреждение «Институт экспериментальной медицины»
Email: smolonogina@mail.ru
ORCID iD: 0000-0002-2886-6987
SPIN-код: 5419-7677
канд. биол. наук, старший научный сотрудник отдела вирусологии им. А.А. Смородинцева
Россия, Санкт-Петербург, РоссияС. А. Донина
Федеральное государственное бюджетное научное учреждение «Институт экспериментальной медицины»
Email: sveta.donina@gmail.com
ORCID iD: 0000-0002-6502-8341
SPIN-код: 6961-3849
канд. биол. наук, старший научный сотрудник отдела вирусологии им. А.А. Смородинцева
Россия, Санкт-Петербург, РоссияГ. Ф. Леонтьева
Федеральное государственное бюджетное научное учреждение «Институт экспериментальной медицины»
Email: galeonte@yandex.ru
ORCID iD: 0000-0002-9876-6594
SPIN-код: 5204-9252
канд. биол. наук, ведущий научный сотрудник отдела молекулярной микробиологии
Россия, Санкт-Петербург, РоссияА. Н. Суворов
Федеральное государственное бюджетное научное учреждение «Институт экспериментальной медицины»
Email: alexander_suvorov1@hotmail.com
ORCID iD: 0000-0003-2312-5589
SPIN-код: 8062-5281
д-р мед. наук, профессор, член-корреспондент РАН, заведующий отделом молекулярной микробиологии
Россия, Санкт-Петербург, РоссияЛ. Г. Руденко
Федеральное государственное бюджетное научное учреждение «Институт экспериментальной медицины»
Email: vaccine@mail.ru
ORCID iD: 0000-0002-0107-9959
SPIN-код: 4181-1372
д-р мед. наук, профессор, заслуженный деятель науки Российской Федерации, заведующий отделом вирусологии им. А.А. Смородинцева
Россия, Санкт-Петербург, РоссияСписок литературы
- Gransden WR, Eykyn SJ, Phillips I. Septicaemia in the newborn and elderly. J Antimicrob Chemother. 1994;34 Suppl A:
- -119. https://doi.org/10.1093/jac/34.suppl_A.101.
- Heath PT. Status of vaccine research and development of vaccines for GBS. Vaccine. 2016;34(26):2876-2879. https://doi.org/10.1016/j.vaccine.2015.12.072.
- Грабовская К.Б., Леонтьева Г.Ф., Мерингова Л.Ф., и др. Протективные свойства некоторых поверхностных белков стрептококков группы В // Журнал микробиологии, эпидемиологии и иммунобиологии. – 2007. – № 5. – С. 44–50. [Grabovskaya KB, Lеontyeva GF, Mеringova LF, et al. Protective properties of certain external proteins of group B streptococci. Journal of microbiology, epidemiology and immunobiology. 2007;(5):44-50. (In Russ.)]
- Суворов А.Н., Грабовская К.Б., Леонтьева Г.Ф., и др. Рекомбинантные фрагменты консервативных белков стрептококков группы В как основа специфической вакцины // Журнал микробиологии, эпидемиологии и иммунобиологии. – 2010. – № 2. – С. 44–50. [Suvorov AN, Grabovskaya KB, Lеontyeva GF, et al. Recombinant fragments of conservative proteins of group B streptococci as a basis of specific vaccine. Journal of microbiology, epidemiology and immunobiology. 2010;(2):44-50. (In Russ.)]
- Суворов А.Н., Леонтьева Л.Ф., Ермоленко Е.И., и др. Рекомбинантные вакцины и пробиотики как возможные средства защиты от стрептококковых заболеваний // Медицинский академический журнал. – 2010. – Т. 10. – № 2. – С. 32–39. [Suvorov AN, Lеontyeva GF, Ermolenko EI, et al. Recombinant vaccines and probiotics as possible means of protection from streptococcal infections. Medical academic journal. 2010;10(2):32-39. (In Russ.)]. https://doi.org/10.17816/MAJ10232-39.
- Draper SJ, Heeney JL. Viruses as vaccine vectors for infectious diseases and cancer. Nat Rev Microbiol. 2010;8(1):62-73. https://doi.org/10.1038/nrmicro2240.
- Smolonogina TA, Isakova-Sivak IN, Kotomina TS, et al. Generation of a vaccine against group B streptococcal infection on the basis of cold-adapted influenza A vurus. Mol Gen Microbiol Virol. 2019;34(1):25-34. https://doi.org/10.3103/S0891416819010087.
- Fedorova EA, Smolonogina TA, Isakova-Sivak IN, et al. Modelling of 3D structure of chimeric constructs based on hemagglutinin of influenza virus and immunogenic epitopes of Streptococcus agalactiae. Bull Exp Biol Med. 2018;164(6):743-748. https://doi.org/10.1007/s10517-018-4071-4.
- WHO Global Influenza Surveillance Network. Manual for the laboratory diagnosis and virological surveillance of influenza. Geneva: World Health Organization; 2011. Available from: http://154.72.196.19/sites/default/files/resource/Manual%20for%20the%20Laboratory%20diagnosis%20and%20virological%20surveillance%20of%20influenza.pdf.
- Reed LJ, Muench H. A simple method of estimating fifty per cent endpoints 12. Am J Epidemiol. 1938;27(3):493-497. https://doi.org/10.1093/oxfordjournals.aje.a118408.
- Huber VC, Peltola V, Iverson AR, McCullers JA. Contribution of vaccine-induced immunity toward either the HA or the NA component of influenza viruses limits secondary bacterial complications. J Virol. 2010;84(8):4105-4108. https://doi.org/10.1128/JVI.02621-09.
- Isakova-Sivak I, Tretiak T, Rudenko L. Cold-adapted influenza viruses as a promising platform for viral-vector vaccines. Expert Rev Vaccines. 2016;15(10):1241-1243. https://doi.org/10.1080/14760584.2016.1208088.
- Li J, Arévalo MT, Zeng M. Engineering influenza viral vectors. Bioengineered. 2013;4(1):9-14. https://doi.org/10.4161/bioe.21950.
- Rudenko LG, Desheva JA, Korovkin S, et al. Safety and immunogenicity of live attenuated influenza reassortant H5 vaccine (phase I-II clinical trials). Influenza Other Respir Viruses. 2008;2(6):203-209. https://doi.org/10.1111/j.1750-2659.2008.00064.x.
- Rudenko LG, Arden NH, Grigorieva EP, et al. Immunogenicity and efficacy of Russian live attenuated and US inactivated influenza vaccines used alone and in combination in nursing home residents. Vaccine. 2000;19(2-3):308-318. https://doi.org/10.1016/s0264-410x(00)00153-5.
- Rudenko LG, Lonskaya NI, Klimov AI, et al. Clinical and epidemiological evaluation of a live, cold-adapted influenza vaccine for 3-14-year-olds. Bull World Health Organ. 1996;74(1):77-84.
- Isakova-Sivak I, Chen LM, Matsuoka Y, et al. Genetic bases of the temperature-sensitive phenotype of a master donor virus used in live attenuated influenza vaccines: A/Leningrad/134/17/57 (H2N2). Virology. 2011;412(2):297-305. https://doi.org/10.1016/j.virol.2011.01.004.
- Isakova-Sivak IN, Matyushenko VA, Stepanova EA, et al. Recombinant live attenuated influenza vaccine viruses carrying conserved T-cell epitopes of human adenoviruses induce functional cytotoxic T-cell responses and protect mice against both infections. Vaccines (Basel). 2020;8(2):196. https://doi.org/10.3390/vaccines8020196.
- Kotomina T, Isakova-Sivak I, Stepanova E, et al. Neutralizing epitope of the fusion protein of respiratory syncytial virus embedded in the HA molecule of LAIV virus is not sufficient to prevent RS virus pulmonary replication but ameliorates lung pathology following RSV infection in mice. Open Microbiol J. 2020;14(1):147-156. https://doi.org/10.2174/1874285802014010147.
- Matyushenko V, Kotomina T, Kudryavtsev I, et al. Conserved T-cell epitopes of respiratory syncytial virus (RSV) delivered by recombinant live attenuated influenza vaccine viruses efficiently induce RSV-specific lung-localized memory T cells and augment influenza-specific resident memory T-cell responses. Antiviral Res. 2020;182:104864. https://doi.org/10.1016/j.antiviral.2020.104864.
- Vorobieva EI, Meringova LF, Leontieva GF, et al. Analysis of recombinant group B streptococcal protein ScaAB and evaluation of its immunogenicity. Folia Microbiol (Praha). 2005;50(2):172-176. https://doi.org/10.1007/BF02931468
Дополнительные файлы















