Normobaric intermittent postconditioning corrects development of anxiety-depressive state in the experimental model of post-traumatic stress disorder
- Authors: Zenko M.Y.1, Baranova K.A.1, Rybnikova E.A.1
-
Affiliations:
- Pavlov Institute of Physiology of the Russian Academy of Sciences
- Issue: Vol 24, No 4 (2024)
- Pages: 51-59
- Section: Original research
- Published: 25.12.2024
- URL: https://journals.eco-vector.com/MAJ/article/view/636721
- DOI: https://doi.org/10.17816/MAJ636721
- ID: 636721
Cite item
Abstract
BACKGROUND: Despite the rapid increase in the prevalence of post-traumatic stress disorder, there are still no effective drugs for its treatment, therefore, the development of non-drug approaches is an extremely urgent task, which this study is aimed at solving.
AIM: To estimate experimentally the therapeutic effects of hypoxic postconditioning using intermittent normobaric hypoxia in a model of post-traumatic stress disorder-like pathology in rats.
MATERIALS AND METHODS: In the rat model of post-traumatic stress disorder “stress–restress”, the effects of three postconditioning regimes were investigated: three 5-min episodes of hypoxia with 9% oxygen interspaced with 15-min intervals of normoxia (reoxygenation) per day for 3 days after pathogenic stress (hypoxia/normoxia mode); three 5-min episodes of 9% hypoxia interspaced with 3-min intervals of hyperoxia with 30% oxygen in the mixture, per day for 3 days (hypoxia/hyperoxia mode); five 5-min episodes of 12% hypoxia and 3-min 30% O2 hyperoxia per day for 9 days (hypoxia/hyperoxia mode, prolonged). Animal behavior, hypothalamic-pituitary-adrenal axis function and indices of general blood analysis were analysed.
RESULTS: All the modes of normobaric postconditioning to a greater or lesser extent had a corrective effect on the manifestation of pathological symptomatology; however, triple hypoxia/hyperoxia postconditioning was more effective than other modes in terms of the totality of protective and absence of side effects.
CONCLUSIONS: The results suggest that postconditioning using intermittent normobaric hypoxia/hyperoxia for the treatment of anxiety-depressive disorders in humans, including post-traumatic stress disorder, may be a promising approach.
Full Text
Обоснование
Согласно данным медицинской статистики, заболеваемость тревожно-депрессивными расстройствами в России продолжает неуклонно возрастать с каждым годом [1]. Это может быть связано с повышением в современном мире стрессогенной нагрузки на мозг человека, вызванным объективными причинами. Особую медико-социальную проблему составляет рост распространенности посттравматического стрессового расстройства (ПТСР), особенно у комбатантов. ПТСР — это психическое заболевание, которое развивается после экстремально интенсивных стрессорных воздействий угрожающего жизни или ужасающего характера (код 6B40 по МКБ-11). Оно характеризуется наличием повторного переживания в настоящем времени травмирующего события, избеганием всего, что с ним связано, а также постоянным чувством повышенной угрозы, что приводит к нарушениям в личной, социальной и профессиональной сферах, повышенному риску алкоголизации и наркомании, а также суицида1.
При всей актуальности проблемы до сих пор не существует таргетной, патогенетически-обоснованной фармакотерапии ПТСР. Для лечения данного тревожно-депрессивного расстройства применяют антидепрессанты и анксиолитики более широкого спектра действия, в первую очередь из группы селективных ингибиторов обратного захвата серотонина, при этом около 50 % случаев ПТСР демонстрируют фармакорезистентность [2]. Ранее нами в экспериментах на крысах было показано, что гипоксическое гипобарическое посткондиционирование корректирует формирование ПТСР-подобного состояния, причем не только на симптоматическом, но и на патогенетическом уровне, оно является даже более эффективным средством, чем селективный ингибитор обратного захвата серотонина пароксетин [3]. Посткондиционирование — это действие экстремальными факторами умеренной интенсивности на организм, переживший патогенное воздействие, в случае ПТСР это сверхсильное психотравматическое событие. Для посткондиционирования нами были разработаны режимы умеренной гипобарической гипоксии, имитируемой в барокамере, оказывающие наибольший терапевтический эффект. Однако в настоящее время в России не производят барокамеры для человека с необходимыми техническими характеристиками, что снижает трансляционный потенциал разработанных нами методик.
Начиная с середины прошлого века в оздоровительных целях используют интервальную нормобарическую гипоксию, создаваемую путем вдыхания газовых смесей [4–6]. Методика состоит из десятков сеансов периодической гипоксии, называется интервальной (или периодической) гипоксической тренировкой и принципиально отличается от посткондиционирования по параметрам воздействия и задействованным механизмам. Существуют также методики интервальной гипоксической тренировки с применением чередующихся сеансов гипоксии и гипероксии [7, 8]. Подробный сравнительный анализ проведен нами в обзоре [9]. Нормобарическая гипоксия имеет целый ряд существенных преимуществ, таких как удобство и безопасность применения, хорошая контролируемость и переносимость, отсутствие риска баротравмы и «горной болезни», а также наличие необходимого оборудования.
Учитывая эти факторы, нами была поставлена задача оценить возможность применения интервальной нормобарической гипоксии для посткондиционирования, в частности, в модели ПТСР-подобной патологии у крыс. Решение этой задачи — цель настоящего экспериментального исследования.
Материалы и методы
Исследование проводили на самцах крыс линии Вистар массой около 230 г из ресурсов ЦКП «Биоколлекция ИФ РАН». Крыс, содержавшихся в стандартных условиях при свободном доступе к воде и пище, разделили на 4 экспериментальные группы и интактную контрольную по 6 животных: ПТСР-подобная патология (группа ПТСР) и три группы, в которых животные с экспериментальным ПТСР подвергались гипоксическому нормобарическому посткондиционированию в трех различных режимах. При проведении экспериментов были соблюдены принципы, изложенные в директивах Европейского Совета (2010/63/ЕU), и положениях ИФ РАН о работе с животными, используемыми в научных экспериментах.
Моделирование ПТСР. Для индукции экспериментального ПТСР-подобного состояния у крыс применяли хорошо валидизированную модель «стресс–рестресс», признанную одной из наиболее этиологически обоснованных [10]. Ее основу составляет парадигма «травматический стресс–рестресс», в которой воспроизводится патогенетическая роль предшествующей психотравматизации в ситуации, воспринимаемой как угроза для жизни. Процедура стрессирования включала условно «тяжелый» патогенный стресс (2 ч иммобилизации, 20 мин вынужденного плавания и после 15-минутного перерыва воздействие эфиром до обездвиживания). Через 7 сут производили напоминающий условно более «мягкий» рестресс (30 мин иммобилизации), выполняющий роль триггера, запускающего развитие модельного аналога ПТСР с симптоматикой тревожного патологического состояния.
Посткондиционирующие воздействия. Для проведения экспериментов использовали аппарат для получения гипоксических, гипероксических и нормоксических газовых смесей OXYTERRA (производитель ООО «Селлджим-Рус», Россия), позволяющий создавать интервальную нормобарическую гипоксию и гипероксию у человека и лабораторных крыс путем вдыхания газовых смесей с пониженным и повышенным содержанием кислорода. В нашем эксперименте газовые смеси подавали в полугерметичную клетку размерами 15 × 35 × 50 см, разделенную решетчатыми перегородками на идивидуальные отсеки для крыс.
Для исследования были предложены три режима посткондиционирования.
Первый режим включал три 5-минутных эпизода гипоксии с 9 % кислорода в смеси, чередующихся с 15-минутными интервалами нормоксии (реоксигенации), в день в течение 3 дней после рестресса в модели ПТСР — группа ПТСР+3×9/21 % О2. Эффективность этого режима была нами ранее показана в режиме прекондиционирования — для повышения стрессоустойчивости [11].
Второй режим включал три эпизода по 5 мин 9 % гипоксии, чередующихся с 3-минутными интервалами гипероксии с содержанием в смеси 30 % кислорода, в день в течение 3 дней — группа ПТСР+3×9/30 % О2.
Третий режим (удлиненный) состоял из пяти 5-минутных эпизодов 12 % гипоксии и 3-минутной гипероксии (30 % О2) в день в течение 9 дней после рестресса — группа ПТСР+5×12/30 % О2.
Схема эксперимента. С 1-го по 8-й день эксперимента осуществляли моделирование ПТСР-подобной патологии в парадигме «травматический стресс–рестресс». Гипоксическое посткондиционирование, длившееся 3 или 9 дней, начинали через сутки после рестресса. На 4-е и 5-е сутки после последнего сеанса посткондиционирования проводили поведенческие тестирования, а на 6-й день — исследования крови.
Поведенческие тесты. Для оценки поведения, двигательной активности и уровня тревожности животных использовали тестирование в «открытом поле» и в «приподнятом крестообразном лабиринте» (ПКЛ).
Тест «открытое поле» — классический метод исследования поведения грызунов в новых (стрессогенных) условиях [12], он позволяет оценить уровни локомоторной активности и ориентировочно-исследовательского поведения крыс. Тестирование проводили на 4-й день после последнего воздействия — рестресса в группе ПТСР или последнего сеанса гипоксии/реоксигенации в группах с посткондиционированием — в установке площадью 1 м2 квадратной формы, разбитой на 36 секторов, с источником света сверху в центре установки. Испытуемое животное помещали в центр открытого поля и в течение 5 мин фиксировали его активность, в ходе эксперимента отмечали время латентного периода, количество пересеченных квадратов различных зон установки, время груминга, вертикальных стоек, иммобилизации.
Для изучения уровня тревожности животных и возможного анксиолитического эффекта интервальной гипоксической тренировки был применен поведенческий тест «приподнятый крестообразный лабиринт» [13]. Тестирование проводили на 5-й день после триггерного рестресса или последней гипоксической тренировки в соответствующих группах. Установка представляет собой приподнятый на 1 м над полом лабиринт с двумя открытыми освещенными (стрессогенными) и двумя закрытыми (темными, условно защищенными) рукавами. Крысу помещали в центр установки и в течение 5 мин регистрировали выбор рукавов и центра, время, проведенное во всех этих зонах [13, 14].
Анализ функции гипоталамо-гипофизарно-адренокортикальной системы (ГГАС). Определяли базальный уровень кортикостерона в крови и кривую стрессореактивности ГГАС в ответ на слабый процедурный стресс — взятие пробы периферической крови в нулевой точке. После отбора первой порции крови животных возвращали в клетку до следующей временной точки — 30 и 60 мин. Далее выделяли сыворотку, для чего кровь для образования сгустка помещали в пробирки без антикоагулянта на 30 мин и затем центрифугировали при 3500g в течение 15 мин при температуре 4 °С, затем отбирали супернатант. Полученную сыворотку хранили при –20 °С до проведения исследования базального и стрессорных уровней кортикостерона методом конкурентного иммуноферментного анализа с использованием наборов «Кортикостерон крыса/мышь ИФА» (ООО «Хема», Россия) в двух параллельных пробах.
Общий анализ крови. Немедленно после декапитации животных дозатором отбирали около 0,2 мл туловищной крови в охлажденные микропробирки с этилендиаминтетрауксусной кислотой (ЭДТА)-К3, перемешивали для предотвращения образования сгустков и оставляли на холоде. Клинический анализ крови осуществляли в этот же день с использованием автоматизированного гематологического анализатора BC-20 Vet (Mindray, КНР), который способен выполнять дифференцировку лейкоцитов на 3 субпопуляции и анализ проб, полученных у крыс, по 21 параметру — число, относительное количество, средний объем и ширина распределения элементов крови, содержание гемоглобина, гемато- и тромбокрит и т. д. При анализе использовали режим предварительного разведения, для чего цельную туловищную ЭДТА кровь добавляли в специальный разбавитель непосредственно перед помещением пробы в гемоанализатор в двух параллельных пробах.
Статистическая обработка результатов. Для статистического анализа данных был использован непараметрический U-критерий Манна – Уитни (программный пакет Statistica 12.0). Различия между выборками считали статистически значимыми при р ≤ 0,05. Данные на рисунках представлены в виде среднего ± стандартная ошибка среднего (M ± SEM).
Результаты и обсуждение
Стрессирование крыс в модели ПТСР «стресс–рестресс» приводило к формированию у них устойчивого тревожно-депрессивного состояния. В тесте «открытое поле» наблюдалось выраженное снижение горизонтальной двигательной активности (рис. 1, a). Изучаемые режимы посткондиционирования нивелировали снижение двигательной активности, в них этот показатель соответствовал контрольным животным, в режимах 3×9/21 % О2 и 3×9/30 % О2 отмечено достоверное повышение горизонтальной двигательной активности в «открытом поле» относительно непосткондиционированной группы ПТСР. В тесте «приподнятый крестообразный лабиринт» в группе ПТСР регистрировали повышенный уровень тревожности, что проявлялось в отсутствии выходов в открытые рукава установки в отличие от всех остальных групп, а также достоверно меньшем времени, проведенном в центре (рис. 1, b, c). В группах режимов 3×9/21 % и 3×9/30 % животные чаще всего по абсолютным показателям выходили в открытые рукава, а в группе ПТСР+3×9/21 % О2 достоверно больше относительно группы ПТСР там находились по продолжительности (рис. 1, b). В группе ПТСР+5×12/30 % О2 только 17 % животных исследовали открытые рукава установки. По показателю времени в центре только группа ПТСР достоверно отличается от контроля, у посткондиционированных животных этот показатель находится в диапазоне контрольных значений (рис. 1, c).
Рис. 1. Результаты поведенческого тестирования в «открытом поле» (а) и «приподнятом крестообразном лабиринте» (b, c). a — количество пройденных периферических квадратов «открытого поля»; b — время, проведенное в открытых рукавах лабиринта; c — время, проведенное в центре лабиринта. * Достоверное отличие относительно контрольной группы; # достоверное отличие относительно группы ПТСР (посттравматическое стрессовое расстройство); p < 0,05, критерий Манна – Уитни
Fig. 1. Results of behavioral testing in the Open Field (a) and Elevated plus maze (b, c). a, number of passed peripheral squares of the Open Field; b, time spent in the open arms of the Elevated plus maze; c, time spent in the center of the Elevated plus maze. * Significant difference from the control group; # significant difference from the post-traumatic stress disorder (PTSD) group; p < 0.05 Mann–Whitney criterion
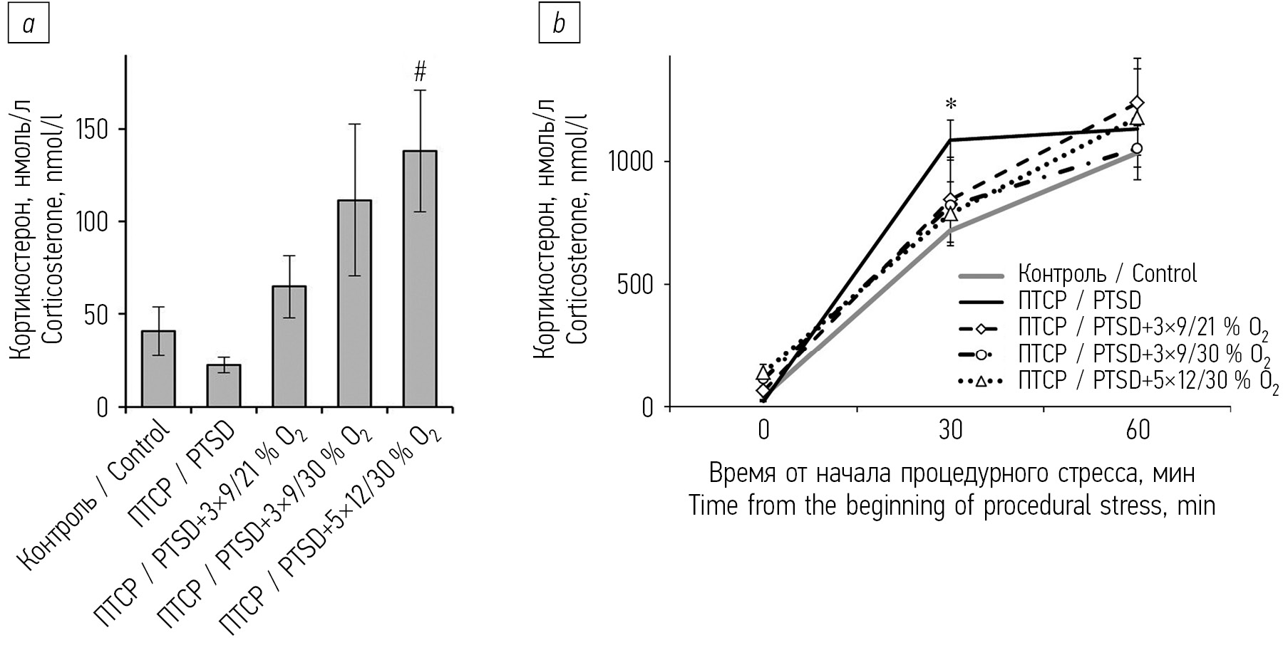
На гормональном уровне по абсолютным значениям самый низкий базальный уровень кортикостерона в крови наблюдался в группе ПТСР (рис. 2, a), однако достоверно (p = 0,012) снижен он только относительно группы ПТСР+5×12/30 % О2, но не контроля. Результаты сопоставимы с литературными данными, указывающими на то, что при ПТСР базальные уровни кортикостерона/кортизола могут быть как снижены, так и неизменны [15]. Посткондиционирование способствовало повышению уровня кортикостерона, которое можно охарактеризовать как дозозависимое — зависящее от интенсивности либо кратности воздействия, поскольку режим гипоксия/нормоксия относительно самый мягкий из трех, а девятидневный режим 5×12/30 % О2 — самый продолжительный. Лишь в случае последнего, удлиненного режима повышение базального уровня кортикостероидного гормона было статистически значимым. Интересно отметить, что сходная зависимость амплитуды и длительности выброса кортикостерона от интенсивности режимов интервальной гипоксической тренировки наблюдалась и при изучении самостоятельного влияния различных интервальных гипоксических воздействий на ГГАС [16].
Рис. 2. Базальные (a) и стрессорные (b) уровни кортикостерона в сыворотке крови крыс при формировании тревожно-депрессивного ПТСР-подобного состояния и его коррекции интервальным гипоксическим посткондиционированием. ПТСР — посттравматическое стрессовое расстройство. * Достоверное отличие от контрольной группы; # достоверное отличие от группы ПТСР: p < 0,05
Fig. 2. Baseline (a) and stress (b) levels of corticosterone in blood serum of rats developed PTSD-like pathology and treated with hypoxic postconditioning. PTSD, post-traumatic stress disorder. * Significant difference from control group; # significant difference from PTSD group; p < 0.05
Анализ кривых стрессореактивности ГГАС подтвердил наличие характерной ПТСР-подобной патологии, так как в группе ПТСР отмечался fast feedback-феномен, характерный для ПТСР, — более быстрая и амплитудная фаза активации (p = 0,022 от контроля) и преждевременный (30 мин) запуск фазы инактивации ГГАС, свидетельствующий о включении патологической быстрой обратной связи (рис. 2, b). Все изученные посткондиционирующие режимы предотвращали включение быстрой глюкокортикоидной обратной связи, то есть содержание стрессорного гормона в часовой точке не снижалось относительно 30-минутной, и фаза активации продолжалась, что характерно для нормальной динамики ГГАС в ответ на стресс.
По показателям клинического анализа крови у крыс группы ПТСР наблюдался выраженный лейкоцитоз — достоверный (p = 0,032) рост общего числа лейкоцитов (рис. 3, a) до (10,2 ± 0,47) ×109 клеток/л относительно контрольных 7,96 ± 0,59 клеток/л, который происходил за счет увеличения на четверть количества лимфоцитов (p = 0,023, рис. 3, b) и 35 % подъема моноцитов (p = 0,002, рис. 3, c), содержание которых в большей части проб этой группы настолько превышало норму для здоровых крыс, что классифицировалось гемоанализатором как моноцитоз. Короткие гипо/нормо- и гипо/гипероксический режимы посткондиционирования эффективно нивелировали постстрессорный лейкоцитоз в этой модели, нормализуя количество лимфоцитов и моноцитов в крови. Однако после применения удлиненного режима 5×12/30 % О2 лейкоцитоз сохранялся, и наблюдался сдвиг баланса лимфокиновых и монокиновых эффектов. Повышение числа лимфоцитов с одновременным падением уровня моноцитов может свидетельствовать о повышении эффективности формирования неспецифического иммунитета. Ранее при изучении собственных эффектов разных режимов интервальной гипоксии выраженная и длительная реакция со стороны лимфоидного ростка отмечалась исключительно на наиболее интенсивные гипоксические воздействия, что в сочетании с признаками первичной активации (увеличение эозинофилов и снижение моноцитов) свидетельствовало об умеренном повышении индекса напряженности адаптации [16].
Рис. 3. Влияние различных режимов посткондиционирования на показатели общего анализа крови крыс в модели посттравматического стрессового расстройства (ПТСР): общее количество лейкоцитов (a); количество лимфоцитов (b), моноцитов (c), эритроцитов (d); стандартное отклонение ширины распределения эритроцитов (RDW-SD) (e); количество крупных тромбоцитов (f). * Достоверное отличие от контрольной группы; # достоверное отличие от группы ПТСР: p < 0,05
Fig. 3. Effects of various hypoxic postconditioning modes on the parameters of the general blood test of rats in the PTSD model: total leukocyte count (a); lymphocyte count (b); monocyte count (c); red blood cell count (d); red cell distribution width — standard deviation (RDW-SD) (e); platelet-large cells (f). * Significant difference from control group; # significant difference from PTSD group; p < 0.05
Были отмечены интересные изменения в компонентах кислород-транспортной системы крови — в количестве эритроцитов и вариативности их размеров, уровне и среднем содержании гемоглобина, гематокрите. При применении удлиненного режима посткондиционирования наблюдалась значимая стимуляция эритропоэза (p < 0,01, рис. 3, d), существенное повышение уровня гемоглобина и гематокрита (данные не представлены). В остальных группах эти показатели изменялись меньше. Известно, что «острые» кондиционирующие гипоксические режимы транзиторно улучшают газотранспортную функцию крови, активируя выброс эритроцитов из депо, что носит временный характер и не затрагивает эритропоэз. Стимуляция гемо- и эритропоэза в большей степени характерна для длительных многонедельных курсов гипоксических тренировок, поэтому, возможно, применение девятидневного режима в нашем случае является промежуточным между кондиционированием и тренировкой. В рассматриваемые сроки отмечается позитивное влияние посткондиционирования на коэффициент вариации и стандартное отклонение ширины распределения эритроцитов (рис. 3, e), причем применение менее интенсивного, но длительного режима наиболее эффективно уменьшает отклонения размеров эритроцитов от среднего нормального (с 31,34 ± 0,54 до 26,07 ± 0,69 фл, p < 0,01). Данный эффект требует некоторого времени для напряжения регуляторных механизмов, направленных на мобилизацию функциональных резервов, и зачастую также ассоциируется с более продолжительными проадаптивными гипоксическими воздействиями, включая акклиматизацию.
Впервые отмечено отсроченное повышение общего числа тромбоцитов, тромбокрита и уровня крупных тромбоцитов (рис. 3, f) в крови крыс после моделирования ПТСР в парадигме «стресс–рестресс». Интересно, что способность посткондиционирования к нормализации содержания и объема тромбоцитов находится в градуальной зависимости от интенсивности и кратности воздействия. Контрольный уровень по числу крупных тромбоцитов достигается только в группе ПТСР+5×12/30 % О2 (p = 0,81, рис. 3, f).
Заключение
Таким образом, в настоящей работе проведено экспериментальное исследование возможностей применения гипоксического посткондиционирования на формирование тревожно-депрессивной ПТСР-подобной патологии у крыс. Проведен сравнительный анализ эффектов нескольких посткондиционирующих режимов с применением гипоксии/нормоксии или гипоксии/гипероксии, то есть реоксигенацию между гипоксическими эпизодами осуществляли либо при нормальном содержании кислорода (21 %), но более длительно (15 мин), либо воздействием гипероксии (30 % O2). Последнее позволило сократить эпизоды реоксигенации с 15 до 3 мин и, соответственно, значительно сократить длительность ежедневной лечебной процедуры с 60 до 24 мин. Проведенные исследования показали, что по совокупности протективных эффектов и отсутствию побочного действия наилучшим оказался режим трехкратного кондиционирования гипоксией 9 % O2, чередующейся с эпизодами гипероксии. По продолжительности процедуры этот режим также оказался наименее длительным, что делает его наиболее перспективным для внедрения в практическое здравоохранение.
Дополнительная информация
Благодарности. Авторы выражают признательность российской производственной компании ООО «Селлджим-Рус» «OXYTERRA» за безвозмездное предоставление для исследований аппарата для получения гипоксических, гипероксических и нормоксических газовых смесей OXYTERRA, модифицированного для экспериментов на грызунах.
Источник финансирования. Работа поддержана средствами федерального бюджета в рамках государственного задания ФГБУН Институт физиологии им. И.П. Павлова РАН (№ 1023032400236-8-3.1.4).
Конфликт интересов. Авторы декларируют отсутствие явных и потенциальных конфликтов интересов, связанных с публикацией настоящей статьи.
Этический комитет. Настоящее исследование было проведено в соответствии с международными и российскими этическими стандартами, а также с положениями Хельсинкской декларации. Протоколы экспериментов утверждены локальной Комиссией по биоэтике.
Вклад авторов. Все авторы внесли существенный вклад в разработку концепции, проведение исследования и подготовку статьи, прочли и одобрили финальную версию перед публикацией.
Наибольший вклад распределен следующим образом: Е.А. Рыбникова, М.Ю. Зенько — работа над рукописью статьи; К.А. Баранова — оформление рисунков и списка литературы.
Additional information
Acknowledgments. The authors express their gratitude to the Russian manufacturing company Sellgim-Rus OXYTERRA for the gratuitous provision of the OXYTERRA apparatus for producing hypoxic, hyperoxic and normoxic gas mixtures, modified for experiments on rodents.
Funding source. The work was supported by funds from the federal budget within the framework of the state assignment of the Pavlov Institute of Physiology of the Russian Academy of Sciences (No. 1023032400236-8-3.1.4).
Competing interests. The authors declare that they have no competing interests.
Ethics approval. This study was conducted in accordance with international and Russian ethical standards, as well as the provisions of the Helsinki Declaration. The experimental protocols were approved by the local Bioethics Commission.
Author contribution. All authors made a substantial contribution to the conception of the study, acquisition, analysis, interpretation of data for the work, drafting and revising the article, final approval of the version to be published and agree to be accountable for all aspects of the study.
Personal contribution of each author: E.A. Rybnikova, M.Yu. Zenko, worked on the manuscript of the article; K.A. Baranova, designed the drawings and the list of references.
1 МКБ-11 для ведения статистики смертности и заболеваемости. Режим доступа: https://icd.who.int/browse/2024-01/mms/ru#2070699808
About the authors
Mikhail Yu. Zenko
Pavlov Institute of Physiology of the Russian Academy of Sciences
Email: zenkomichail@mail.ru
ORCID iD: 0000-0002-9868-0598
SPIN-code: 6632-3116
Research Associate of the Laboratory of Regulation of Brain Neuron Functions
Russian Federation, 6 Makarova Emb., Saint Petersburg, 199034Ksenia A. Baranova
Pavlov Institute of Physiology of the Russian Academy of Sciences
Email: ksentippa@mail.ru
ORCID iD: 0000-0002-2746-2040
SPIN-code: 2648-7415
Cand. Sci. (Biology), Senior Research Associate of the Laboratory of Regulation of Brain Neuron Functions
Russian Federation, 6 Makarova Emb., Saint Petersburg, 199034Elena A. Rybnikova
Pavlov Institute of Physiology of the Russian Academy of Sciences
Author for correspondence.
Email: rybnikovaea@infran.ru
ORCID iD: 0000-0002-8956-726X
SPIN-code: 9663-4704
Dr. Sci. (Biology), Professor of RAS, Vice-director in science, Head of the Laboratory of Regulation of Brain Neuron Functions, Head of the Department of Physiology and Pathology of High Nervous Activity
Russian Federation, 6 Makarova Emb., Saint Petersburg, 199034References
- Deev IA, Kobyakova OS, Starodubov VI, et al. Morbidity of the entire population of Russia in 2023 with a diagnosis established for the first time in life: statistical materials . Moscow; 2024. 152 p. doi: 10.21045/978-5-94116-159-1-2024
- Vasilieva AV, Karavaeva TA, Radionov DS. Pharmacotherapy algorithm for post-traumatic stress disorder. V.M. Bekhterev Review of Psychiatry and Medical Psychology. 2023;57(3):80–91. EDN: VMKTRD doi: 10.31363/2313-7053-2023-762
- Rybnikova EA, Mironova VI, Tyulkova EI, et al. Anxiolytic effect of moderate hypobaric hypoxia in rats in the model of posttraumatic stress disorder. I.P. Pavlov Journal of Higher Nervous Activity . 2008;58(4):486–492. EDN: JJRMCF
- Karash YM, Strelkov RB, Chizhov AYa. Normobaric hypoxia in treatment, prevention and rehabilitation. Moscow: Meditsina; 1988. 352 р. (In Russ.)
- Kolchinskaya AZ, Tsyganova TN, Ostapenko LA. Normobaric interval hypoxic training in medicine and sport . Moscow: Meditsina; 2003. 408 р. (In Russ.) EDN: QLEFFN
- Serebrovskaya TV, Nikolsky IS, Ishchuk VA, et al. Human adaptation to periodic hypoxia: effect on haematopoietic stem cells and immune system. Bulletin of the International Academy of Sciences. Russian Section. 2010;(2):12–17. EDN: NDTXAB
- Behrendt T, Bielitzki R, Behrens M, et al. Effects of intermittent hypoxia–hyperoxia on performance- and health-related outcomes in humans: A systematic review. Sports Med Open . 2022;8(1):70. doi: 10.1186/s40798-022-00450-x
- Uzun AB, Iliescu MG, Stanciu LE, et al. Effectiveness of intermittent hypoxia–hyperoxia therapy in different pathologies with possible metabolic implications. Metabolites. 2023;13(2):181. doi: 10.3390/metabo13020181
- Zenko MY, Rybnikova EA. Hypoxic adaptation and training: historical, biomedical and sports aspects. Aerospace and Environmental Medicine . 2021;55(1):20–26. EDN: NCNYWM doi: 10.21687/0233-528X-2021-55-1-20-26
- Liberzon I, Krstov M, Young EA. Stress-restress: effects on ACTH and fast feedback. Psychoneuroendocrinology . 1997;22(6):443–453 . doi: 10.1016/S0306-4530(97)00044-9
- Zenko MY, Baranova KA, Kukina MV, Rybnikova E.A. The effects of various modes of interval hypoxic training in experimental models of anxiety and depression in rats. I.P. Pavlov Journal of Higher Nervous Activity . 2023;73(6):845–856. EDN: XLISSQ doi: 10.31857/S004446772306014X
- Hall CS. Emotional behavior in the rat. III. The relationship between emotionality and ambulatory activity. J Comp Psychol. 1936;22(3):345. doi: 10.1037/h0059253
- Pellow S, Chopin P, File SE, et al. Validation of open: closed arm entries in an elevated plus-maze as a measure of anxiety in the rat. J Neurosci Methods. 1985;14(3):149–167. doi: 10.1016/0165-0270(85)90031-7
- Walf AA, Frye CA. The use of the elevated plus maze as an assay of anxiety-related behavior in rodents. Nat Protoc. 2007;2(2):322–328. doi: 10.1038/nprot.2007.44
- Yehuda R. Neuroendocrine aspects of PTSD. In: Holsboer F, Ströhle A, eds. Anxiety and Anxiolytic Drugs. Handbook of Experimental Pharmacology . Springer, Berlin: Heidelberg; 2005. Vol. 169. P. 371–403. doi: 10.1007/3-540-28082-0_13
- Baranova KA, Zenko MY, Rybnikova EA. Influence of interval hypoxic training in different regimes on the blood parameters of rats. J Evol Biochem Phys. 2024;60:306–315. doi: 10.1134/S0022093024010228
Supplementary files





