Ex vivo наблюдение процесса тромбовоспаления у пациентов с хронической сердечной недостаточностью
- Авторы: Коробкина Ю.Д.1, Галкина С.В.1,2, Луговцов А.Е.3, Миронов Н.А.3, Дячук Л.И.3, Орлова Я.А.3, Приезжев А.В.3, Свешникова А.Н.1,2,3
-
Учреждения:
- Центр теоретических проблем физико-химической фармакологии РАН
- Национальный медицинский исследовательский центр детской гематологии, онкологии и иммунологии им. Д. Рогачева
- Московский государственный университет им. М.В. Ломоносова
- Выпуск: Том 25, № 1 (2025)
- Страницы: 72-81
- Раздел: Оригинальные исследования
- Статья опубликована: 31.05.2025
- URL: https://journals.eco-vector.com/MAJ/article/view/639992
- DOI: https://doi.org/10.17816/MAJ639992
- EDN: https://elibrary.ru/GFDVZD
- ID: 639992
Цитировать
Полный текст
Аннотация
Обоснование. Сердечно-сосудистые заболевания — основная причина смертности в мире. Хроническая сердечная недостаточность сопровождается нарушениями гемодинамики, в том числе микрореологических свойств крови. Изменения в деформируемости эритроцитов могут вести к нарушению активации и взаимодействия тромбоцитов и нейтрофилов и способствовать тромбообразованию и прогрессированию хронической сердечной недостаточности.
Цель — определение активности нейтрофилов и тромбообразования в ex vivo модели тромбовоспаления у пациентов с хронической сердечной недостаточностью с одновременной оценкой микрореологии крови.
Материалы и методы. В исследовании участвовали 21 пациент с диагнозом «хроническая сердечная недостаточность» и 8 здоровых добровольцев. Участникам исследования проводили определение биохимического состава плазмы крови и оценку состояния форменных элементов крови. Оценку тромбовоспалительного процесса проводили в цельной гепаринизированной крови с использованием плоско-параллельных проточных камер, покрытых коллагеном I типа, при сдвиговой скорости 100 с–1. Параметры деформируемости эритроцитов измеряли in vitro с помощью метода лазерной дифрактометрии. Агрегацию эритроцитов определяли методом диффузного рассеяния света от образцов цельной крови.
Результаты. Не было обнаружено статистических различий площадей тромба у здоровых людей из группы контроля и у пациентов с хронической сердечной недостаточностью. Однако скорость нейтрофилов у пациентов с хронической сердечной недостаточностью была значимо ниже, чем у здоровых (0,11 ± 0,02 и 0,16 ± 0,04 мкм/с соответственно). Площади тромба у пациентов с хронической сердечной недостаточностью на 5-й и 10-й минуте роста коррелировали с концентрацией эритроцитов и средним объемом эритроцита. С размерами тромба также положительно коррелировали коэффициенты агрегации эритроцитов A1 и A2, характеризующие интенсивность процесса образования линейных и трехмерных агрегатов соответственно. Кроме того, средний объем эритроцита, индексы деформируемости эритроцитов и предел текучести эритроцитов коррелировали со скоростями движения нейтрофилов.
Заключение. Таким образом, хотя при хронической сердечной недостаточности не наблюдается значимого изменения тромбообразования, можно говорить о снижении активности нейтрофилов, возможно, связанном с повышением вязкости крови.
Полный текст
Список сокращений
ХСН — хроническая сердечная недостаточность; ИМТ — индекс массы тела; А1, А2 — линейная и трехмерная агрегация эритроцитов соответственно.
Обоснование
По данным Всемирной организации здравоохранения, сердечно-сосудистые заболевания остаются основной причиной смертности в мире. Хроническая сердечная недостаточность (ХСН) — одно из наиболее часто встречающихся и тяжелых осложнений большинства сердечно-сосудистых заболеваний [1, 2]. Современные исследования показывают, что микрореологические параметры эритроцитов и тромбоцитов могут существенно влиять на развитие и прогрессирование ХСН [1, 2]. Микрореология крови оказывает значительное воздействие на микроциркуляцию, периферическое сосудистое сопротивление и кровообращение в целом [3] и играет важную роль в поддержании нормальной гемодинамики [4, 5].
Такие параметры, как вязкость крови [6], деформируемость эритроцитов [7], их размер [6] и концентрация в крови [8], напрямую влияют на формирование и рост тромба. Эритроциты осуществляют маргинализацию тромбоцитов к стенкам сосуда [9], способствуя тромбообразованию в результате увеличения концентрации тромбоцитов и их активации через механочувствительные процессы [7]. При нарушениях микрореологических свойств крови и повышении ее вязкости происходит замедление кровотока и снижение сдвиговых скоростей, что также приводит тромбообразованию [10]. ХСН часто связывают с измененной активностью тромбоцитов [11] и повышенным тромбообразованием [12].
Чрезмерная активация врожденного иммунитета, в первую очередь, активация нейтрофилов и моноцитов также связана с прогрессией сердечной недостаточности [13]. Активированные нейтрофилы инициируют тромбообразование как по пути затравки для образования тромбоцитарного агрегата [14, 15], так и по контактному пути свертывания плазмы крови от богатых фосфатами внеклеточных ДНК-ловушек нейтрофилов [16, 17]; чрезмерная активация нейтрофилов может привести к нарушению гемостаза и прогрессированию тромботических осложнений при ХСН [18, 19]. Активность нейтрофилов может определяться их взаимодействием с тромбоцитами и эндотелием [16], а также микрореологическим окружением, например, взаимодействием с эритроцитами [15], что может также привести к повышенному тромбообразованию.
Цель — определение активности нейтрофилов и тромбообразования в ex vivo модели тромбовоспаления у пациентов с ХСН с одновременной оценкой микрореологии крови.
Материалы и методы
В работе были использованы реагенты: Annexin V-Alexa Fluor 647 (BioLegend, San Diego, США), DiOC-6, HEPES, бычий сывороточный альбумин, Hoechst-33342, PBS (Sigma-Aldrich, St. Louis, США); фибриллярный коллаген I типа (Chrono-Log Corporation; Havertown; США).
Сбор крови проводили по протоколу, одобренному этическим комитетом Медицинского научно-образовательного центра МГУ им. М.В. Ломоносова (№ 5/23 от 16 октября 2023 г.); от всех доноров и пациентов были получены письменные информированные согласия. Кровь собирали у здоровых взрослых добровольцев (n = 8, мужчины и женщины в возрасте 45–61 года), у пациентов с ХСН (n = 21, возраст 42‒86 лет) в вакуумные пробирки Vacuette© с гепарином лития (18 МЕ/мл крови) или этилендиаминтетрауксусной кислотой (ЭДТА). Эксперименты проводили в течение 3 ч после сбора крови.
Основываясь на данных работ [15, 20], исследования роста тромбов, взаимодействия нейтрофилов с тромбами и их активности производили при помощи флуоресцентной микроскопии путем прокачивания цельной крови, нагруженной красителями DiOC3(6), Hoechst 33342 и Annexin V-Alexa Fluor 647, через проточные камеры, покрытые коллагеном I типа.
Устройство плоско-параллельных проточных камер описано в работах [20, 21]. Использовали параметры канала 0,1 × 18 × 2 мм. На покровные стекла наносили фибриллярный коллаген I типа (0,2 мг/мл), разведенный в уксусной кислоте в течение 1 ч 30 мин при 37°C. Затем стекла промывали дистиллированной водой и вставляли в проточные камеры. После добавления флуоресцентных реагентов DiOC6 (1 мкмоль/л), Hoechst 33342 (2 мкг/мл) и AnnexinV-Alexa647 (10 мкг/мл) кровь перфузировали через камеры со скоростью сдвига 100 с−1. Рост тромба и перемещение лейкоцитов наблюдали в режиме эпифлуоресценции с помощью инвертированного микроскопа Nikon Eclipse Ti (объектив Apo TIRF 100x Oil DIC N2).
Программное обеспечение Nikon NIS-Elements использовали для получения изображений с микроскопа; ImageJ (http://imagej.net/ImageJ) — для обработки изображений. Плагин Manual Tracking в ImageJ и программный пакет trackpy для Python 3.6 использовали для ручного отслеживания гранулоцитов.
Местоположение тромбов определяли с помощью программного пакета ilastik (http://ilastik.org). Площадь тромбоцитарных тромбов рассчитывали как процент экрана, покрытого тромбами (рис. 1, а — пример роста тромба на поле зрения).
Рис. 1. Определение статуса тромбовоспаления у пациентов с хронической сердечной недостаточностью (ХСН): а — плоскопараллельная проточная камера и типичное поле зрения здорового донора на 25-й минуте эксперимента. Композитное изображение (окраска DiOC(6), Hoechst 33342 и Annexin V-Alexa 647). Штриховка — расположение растущего тромба, контуром обведены нейтрофилы, стрелки — траектории движения нейтрофила. Масштабный отрезок 25 мкм; b — площади тромба у пациентов с ХСН и здоровых людей (ЗД) на 300, 600 и 1500-й секундах съемки; c — тромбообразование у пациентов с разным индексом массы тела (ИМТ) на 300-й секунде; d — скорость движения нейтрофилов пациентов с ХСН и здоровых людей. * p < 0,05, ns — отсутствие статистически значимых различий. Статистическая значимость рассчитана с помощью теста Манна‒Уитни.
Fig. 1. Determination of thromboinflammatory status in patients with chronic heart failure (СНF). a, Parallel-plate flow chamber and a typical field of view from a healthy donor at the 25th minute of the experiment. Composite image (stained with DiOC(6), Hoechst 33342, and Annexin V-Alexa 647). Dashed line indicates the location of the growing thrombus, neutrophils are outlined, arrows indicate neutrophil migration trajectories. Scale bar: 25 μm. b, Thrombus areas in patients with СНF and healthy donors (HD) at 300, 600, and 1500 seconds of imaging. c, Thrombus formation in patients with different body mass index (BMI) at 300 seconds. d, Neutrophil migration speed in patients with chronic heart failure and healthy donors. * p < 0.05, ns, no statistically significant differences. Statistical significance calculated using the Mann–Whitney test.
Оценку микрореологических свойств эритроцитов (агрегационных и деформационных) проводили по методике [22] с использованием лазерного агрегометра/деформометра эритроцитов RheoScan AnD-300 (RheoMedTekh, Южная Корея) [23], а также вискозиметра Lamy Rheology RM100 CP1000 (Lamy Rheology Instruments, Франция), приобретенного в рамках программы развития МГУ им. М.В. Ломоносова. Измеряли параметры A1 и A2, которые характеризуют суммарный вклад линейных эритроцитарных агрегатов и трехмерных агрегатов соответственно в сигнал светорассеяния в прямом направлениии на исследуемых образцах тонкого слоя цельной крови. Другими словами, параметр A1 характеризует степень выраженности (интенсивность процесса) образования линейных эритроцитарных агрегатов в цельной крови, A2 — трехмерных агрегатов. Измеряли также параметры деформируемости эритроцитов: E3 — степень удлинения эритроцитов при сдвиговом напряжении в потоке 3 Па и предел текучести — минимальное сдвиговое напряжение, необходимое для инициации удлинения эритроцитов, характеризующее механическую жесткость мембраны эритроцитов.
Статистический анализ полученных данных выполняли с помощью программного кода, написанного на Python 3.6 (США), и программного пакета GraphPad Prism. Количественные данные представлены в виде среднего арифметического и стандартного отклонения. Статистическую значимость различий между двумя группами оценивали с помощью критерия Манна‒Уитни. Корреляции показателей рассчитывали по критерию Спирмена. Различия между показателями в группах считали статистически значимыми при p < 0,05.
Результаты
При помощи разработанного ранее метода наблюдения движения нейтрофилов вокруг растущего тромба (рис. 1, а) был оценен статус тромбовоспаления у пациентов с ХСН. Для данной группы пациентов площади тромбов не отличались по сравнению со здоровыми контролями ни в одной рассмотренной временной точке (рис. 1, b). У пациентов с индексом массы тела (ИМТ) < 30 кг/м2 площади тромбов на 300-й секунде были в среднем ниже, чем у пациентов с ожирением (ИМТ ≥ 30 кг/м2) (рис. 1, d).
При этом скорость движения нейтрофила вокруг растущего тромба у пациентов с ХСН была значительно снижена по сравнению со здоровыми (0,11 ± 0,02 и 0,16 ± 0,04 мкм/с соответственно, рис. 1, с). У единственного пациента в выборке с нормальным ИМТ скорость движения нейтрофилов была повышена (0,19 мкм/с), что может указывать на иную причину ХСН, поэтому данный пациент не участвовал в дальнейшем анализе.
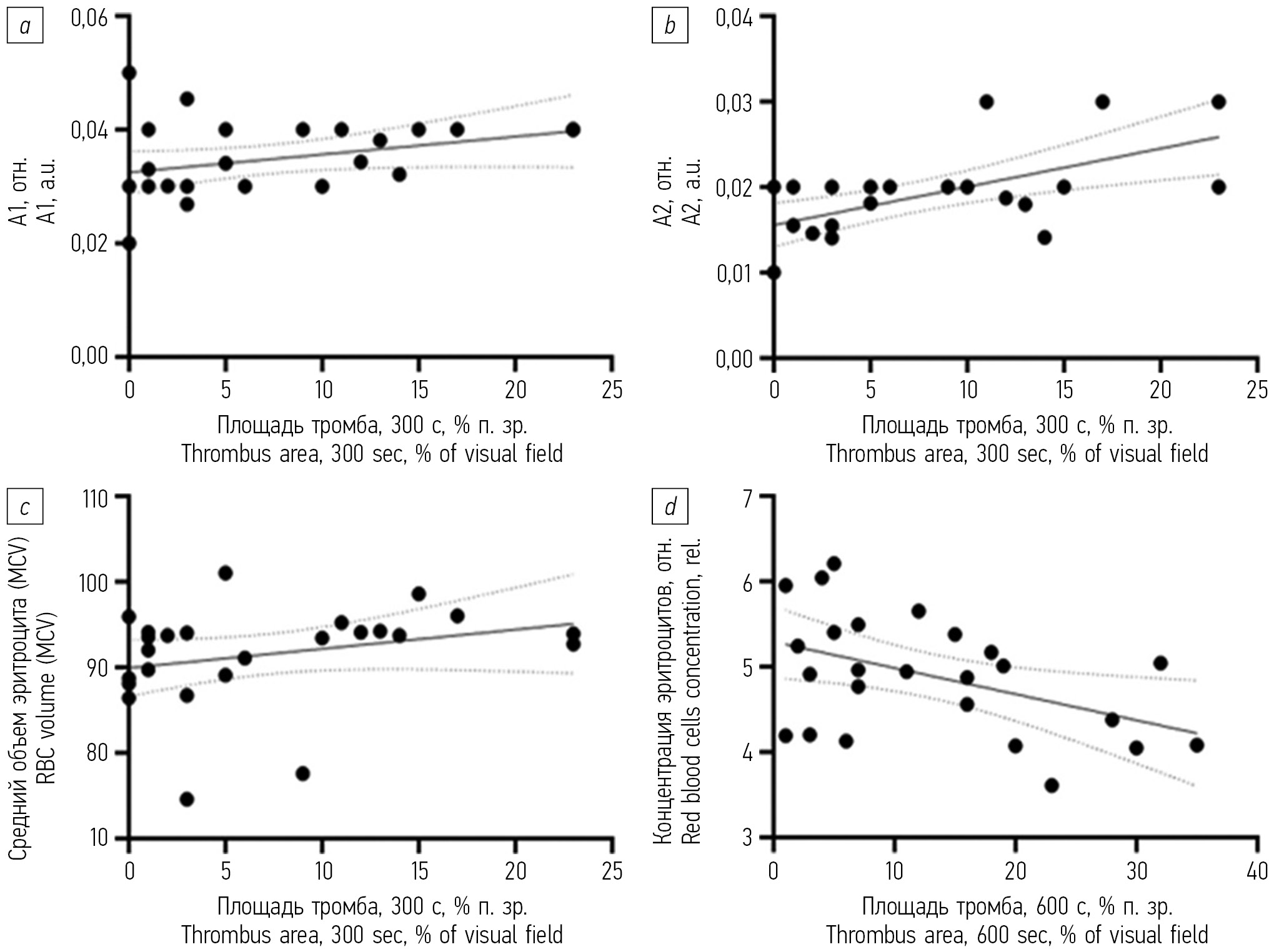
Далее для пациентов с ХСН мы проанализировали связь роста тромба с такими микрореологическими параметрами крови, как размер и концентрация эритроцитов, а также с параметрами, характеризующими линейную и трехмерную агрегацию эритроцитов (A1 и А2 соответственно) (рис. 2). Средний объем эритроцита положительно коррелирует с площадями тромбов на 300-й и 600-й секундах (r = 0,4, p < 0,05 и r = 0,5, p < 0,05 соответственно). Это может объясняться вытеснением эритроцитами более мелких тромбоцитов к краям сосуда из-за гидродинамических эффектов, которое происходит эффективнее для более крупных эритроцитов. На 300-й и 600-й секунде также была обнаружена положительная корреляция параметра A1 с площадями тромбов (r = 0,4, p < 0,05 и r = 0,4, p < 0,05), однако параметр A2, характеризующий линейную агрегацию эритроцитов, коррелировал с площадями тромбов только на 300-й секунде (r = 0,5, p < 0,01) (на 600-й секунде r = 0,35, p = 0,08), что может быть связано с характерными временами линейной и трехмерной агрегации.
Рис. 2. Корреляция площади тромбов на 300-й секунде с параметрами агрегации эритроцитов A1 (а) и А2 (b), со средним объемом эритроцитов (c), c концентрацией эритроцитов на 600-й секунде (r = 0,4, p < 0,05) (d). Представлена линейная интерполяция данных (сплошная линия) и 95% доверительные интервалы (пунктир).
Fig. 2. Correlation of thrombus area at 300 seconds with parameters of RBC aggregation A1 (a) and A2 (b), with an increase in RBC concentration (c), with RBC concentration at 600 seconds (r = 0.4, p < 0.05) (d). Linear interpolation of data (solid line) and 95% confidence intervals (dashed line) are provided.
На 1500-й секунде не было обнаружено связи площади тромба с микрореологическими параметрами крови. При этом площади тромба на 300-й и 600-й секундах коррелировали друг с другом (r = 0,83, p < 0,0001), однако корреляций площадей 1500/300 и 1500/600 не было (r = 0,2, p = 0,3 и r = 0,2, p = 0,25 соответственно). Вероятно, это связано с тем, что площадь тромба на 1500-й секунде описывает уже насыщенную площадь тромба для данной постановки, а не динамику его роста. Единственным параметром, с которым коррелировала площадь тромба, было наличие терапии антагонистами минералокортикоидных рецепторов (r = 0,4, p < 0,05), что может говорить о повышении уровня альдостерона у данной группы пациентов [24].
Нами была также проанализирована связь микрореологии крови с поведением нейтрофилов вокруг растущего тромба (рис. 3). Как и площадь тромбов, скорость нейтрофилов коррелировала с параметрами, характеризующими способность эритроцитов образовывать агрегаты. В отличие от площади тромбов скорости движения нейтрофилов отрицательно коррелировали с параметрами A1 (r = ‒0,5, p < 0,05) и А2 (r = ‒0,5, p < 0,05), что, вероятно, связано с уменьшенным количеством столкновений эритроцитов с нейтрофилами при их агрегации в потоке на низких скоростях сдвига. Наблюдалась обратная зависимость скорости движения нейтрофилов и среднего объема эритроцитов (r = ‒0,55, p < 0,01) и ширины распределения эритроцитов RDW-SD (r = ‒0,4, p < 0,03).
Рис. 3. Корреляция скорости движения нейтрофилов с параметром деформируемости эритроцитов E3 (а), с пределом текучести эритроцитов (b), с параметром агрегации A2 суспензии эритроцитов (с), с шириной распределения эритроцитов (d) для обобщенных данных по пациентам и здоровым донорам. Представлена линейная интерполяция данных (сплошная линия) и 95% доверительные интервалы (пунктир).
Fig. 3. Correlation of neutrophil movement velocity with the erythrocyte deformability parameter E3 (a), with the yield strength of the erythrocytes (b), with the aggregation parameter A2 of the erythrocyte suspension (c), with the erythrocyte width (d) by volume distribution for generalized data on patients and healthy donors. Linear interpolation of the data (solid line) and 95% confidence intervals (dashed line) are shown.
Из всех измеренных индексов деформируемости (E1‒E20 при напряжениях соответственно 1‒20 Па) отрицательно коррелировали со скоростями нейтрофилов E1 (r = ‒0,5, p < 0,05), E2 (r = ‒0,55, p < 0,01), E3 (r = ‒0,6, p < 0,01, рис. 3, а), E4 (r = ‒0,55, p < 0,05) и E5 (r = ‒0,5, p < 0,05), как и предел текучести эритроцитов (r = 0,5, p < 0,05, рис. 3, b).
Скорость нейтрофилов имела отрицательную линейную связь с таким клиническим параметром как функциональный класс ХСН по NYHA (r = ‒0,45, p < 0,05), что указывает на более заметное подавление нейтрофилов при более выраженной ХСН.
Обсуждение
В настоящей работе проанализированы рост тромбов и активность нейтрофилов, адгезирующих к тромбу, у пациентов с ХСН. Наблюдаемые параметры тромбовоспаления коррелируют с показателями микрореологии, что находится в согласии с предыдущими исследованиями, предполагающими, что деформируемость и агрегация эритроцитов могут играть решающую роль в тромбогенезе [4, 7], потенциально способствуя гиперкоагуляционным состояниям у пациентов с ХСН [5].
Сниженная скорость миграции нейтрофилов у пациентов с ХСН по сравнению с контрольной группой, отрицательно коррелирующая с функциональным классом ХСН, может указывать на нарушение функциональности иммунных клеток, вероятно, отражающее хроническое воспаление, связанное с сердечной недостаточностью [5]. Корреляция между движением нейтрофилов и деформируемостью эритроцитов дополнительно указывает на то, что аномальные свойства эритроцитов могут усугублять воспалительные реакции вблизи тромбов у пациентов с ХСН [2].
Коэффициенты агрегации A1 и A2 положительно коррелировали со скоростью роста тромба, указывая на повышенную агрегацию эритроцитов как на потенциальный фактор развития тромба при ХСН. Эти результаты согласуются с более ранними исследованиями, указывающими на то, что повышенная агрегация эритроцитов может усиливать образование тромбов [25].
В целом, это исследование находится в согласии с существующими данными о том, что изменения микрореологии крови могут играть значительную роль в образовании тромбов и иммунных реакциях у пациентов с ХСН [2].
Заключение
Таким образом, мы показали, что хотя у пациентов с ХСН не выявлено отклонений в тромбообразовании по сравнению со здоровыми добровольцами из группы контроля, нейтрофилы при ХСН находятся в подавленном состоянии, причем снижение активности нейтрофилов наиболее выражено при ожирении, сопровождающем основное заболевание (ИМТ >30 кг/м2). Впервые продемонстрировано, что показатели тромбовоспаления — площади тромбов и подавление активности нейтрофилов — положительно коррелируют с изменениями микрореологии крови, а именно с показателями объема и агрегационной способности эритроцитов.
Дополнительная информация
Источник финансирования. Исследование выполнено при финансовой поддержке Программы развития Междисциплинарной научно-образовательной школы Московского университета «Фотонные и квантовые технологии. Цифровая медицина» (проект № 23-Ш06-03).
Конфликт интересов. Авторы декларируют отсутствие явных и потенциальных конфликтов интересов, связанных с публикацией настоящей статьи.
Этическая экспертиза. Выполнение исследования одобрено локальным этическим комитетом МНОЦ МГУ им. М.В. Ломоносова (протокол № 5/23 от 16.10.2023).
Вклад авторов. Все авторы внесли существенный вклад в разработку концепции, проведение исследования и подготовку статьи, прочли и одобрили финальную версию перед публикацией.
Наибольший вклад распределен следующим образом: Ю.Д.Д. Коробкина — обработка и анализ экспериментальных данных, написание текста, обзор литературы; С.В. Галкина — постановка экспериментов; А.Е. Луговцов — анализ полученных результатов, внесение окончательной правки; Н.А. Миронов — анализ полученных результатов, разработка критериев включения и исключения пациентов; Л.И. Дячук, Я.А. Орлова — анализ полученных результатов, разработка критериев включения и исключения пациентов, внесение окончательной правки; А.В. Приезжев, А.Н. Свешникова — концепция и дизайн исследования, анализ полученных результатов, внесение окончательной правки.
Согласие на публикацию. Авторы получили письменное согласие законных представителей пациентов на публикацию медицинских данных.
Additional information
Funding source: The study was supported by the Development Program of the Interdisciplinary Scientific and Educational School of Moscow University “Photonic and Quantum Technologies. Digital Medicine” (Project No. 23-Ш06-03).
Competing interests: The authors declare that they have no competing interests.
Ethics approval: The study was approved by the local ethics committee of the Lomonosov Moscow State University Scientific and Educational Center (protocol No. 5/23 dated 16.10.2023).
Author contribution: All authors made a substantial contribution to the conception of the study, acquisition, analysis, interpretation of data for the work, drafting and revising the article, final approval of the version to be published and agree to be accountable for all aspects of the study.
Personal contribution of each author: J.J.D. Korobkina: processing of experimental data, analysis of obtained data, writing of text, literature review; S.V. Galkina: setting up the experiments; A.E. Lugovtsov: analysis of the obtained results, making final edits; N.A. Mironov: analysis of the obtained results, development of criteria for inclusion and exclusion of patients; L.I. Dyachuk, I.A. Orlova: analysis of the obtained results, development of criteria for inclusion and exclusion of patients, making final edits; A.V. Priezzhev, A.N. Sveshnikova: concept and design of the study, analysis of the obtained results, making final edits.
Consent for publication: Written consent was obtained from the patient for publication of relevant medical information and all accompanying images within the manuscript.
Об авторах
Юлия Джессика Дмитриевна Коробкина
Центр теоретических проблем физико-химической фармакологии РАН
Email: juliajessika@gmail.com
ORCID iD: 0000-0002-2762-5460
SPIN-код: 6630-3657
аспирант
Россия, МоскваСофия Владимировна Галкина
Центр теоретических проблем физико-химической фармакологии РАН; Национальный медицинский исследовательский центр детской гематологии, онкологии и иммунологии им. Д. Рогачева
Email: s_v_galkina@rambler.ru
ORCID iD: 0009-0006-6321-4489
аспирант; лаборант-исследователь
Россия, Москва; МоскваАндрей Егорович Луговцов
Московский государственный университет им. М.В. Ломоносова
Email: anlug1@gmail.com
ORCID iD: 0000-0001-5222-8267
канд. физ.-мат. наук, старший научный сотрудник физического факультета
Россия, МоскваНикита Александрович Миронов
Московский государственный университет им. М.В. Ломоносова
Email: nikimir29@mail.ru
ORCID iD: 0000-0001-6729-4371
аспирант Медицинского научно-образовательного института
Россия, МоскваЛариса Ивановна Дячук
Московский государственный университет им. М.В. Ломоносова
Email: cardio-heart@yandex.ru
ORCID iD: 0000-0003-0368-9408
канд. мед. наук, заведующая кардиологическим отделением стационара, кардиолог Медицинского научно-образовательного института
Россия, МоскваЯна Артуровна Орлова
Московский государственный университет им. М.В. Ломоносова
Email: YAOrlova@mc.msu.ru
ORCID iD: 0000-0002-8160-5612
д-р мед. наук, заведующая отделом возраст-ассоциированных заболеваний, кардиолог Медицинского научно-образовательного института
Россия, МоскваАлександр Васильевич Приезжев
Московский государственный университет им. М.В. Ломоносова
Email: avp2@mail.ru
ORCID iD: 0000-0003-4216-7653
канд. физ.-мат. наук, доцент физического факультета
Россия, МоскваАнастасия Никитична Свешникова
Центр теоретических проблем физико-химической фармакологии РАН; Национальный медицинский исследовательский центр детской гематологии, онкологии и иммунологии им. Д. Рогачева; Московский государственный университет им. М.В. Ломоносова
Автор, ответственный за переписку.
Email: ASve6nikova@yandex.ru
ORCID iD: 0000-0003-4720-7319
SPIN-код: 7893-4627
д-р физ.-мат. наук, руководитель лаборатории внутриклеточной сигнализации и системной биологии; руководитель лаборатории клеточной биологии и трансляционной медицины; профессор факультета фундаментальной физико-химической инженерии
Россия, Москва; Москва; МоскваСписок литературы
- Miličić D., Jakuš N., Fabijanović D. Microcirculation and heart failure // Curr Pharm Des. 2018. Vol. 24, N 25. P. 2954–2959. doi: 10.2174/1381612824666180625143232
- Tikhomirova I., Petrochenko E., Muravyov A., et al. Microcirculation and blood rheology abnormalities in chronic heart failure // Clin Hemorheol Microcirc. 2017. Vol. 65, N 4. P. 383–391. doi: 10.3233/CH-16206
- Del Buono M.G., Montone R.A., Camilli M., et al. Coronary microvascular dysfunction across the spectrum of cardiovascular diseases // J Am Coll Cardiol. 2021. Vol. 78, N 13. P. 1352–1371. doi: 10.1016/j.jacc.2021.07.042
- Guizouarn H., Barshtein G. Editorial: red blood cell vascular adhesion and deformability, volume II // Front Physiol. 2022. Vol. 13. P. 849608. doi: 10.3389/fphys.2022.849608
- Mohaissen T., Proniewski B., Targosz-Korecka M., et al. Temporal relationship between systemic endothelial dysfunction and alterations in erythrocyte function in a murine model of chronic heart failure // Cardiovasc Res. 2022. Vol. 18, N 12. P. 2610–2624. doi: 10.1093/cvr/cvab306
- Chang H.-Y., Yazdani A., Li X., et al. Quantifying platelet margination in diabetic blood flow // Biophys J. 2018. Vol. 115, N 7. P. 1371–1382. doi: 10.1016/j.bpj.2018.08.031
- Czaja B., Gutierrez M., Závodszky G., et al. The influence of red blood cell deformability on hematocrit profiles and platelet margination // PLOS Comput Biol. 2020. Vol. 16. P. e1007716. doi: 10.1371/journal.pcbi.1007716
- Spann A.P., Campbell J.E., Fitzgibbon S.R., et al. The effect of hematocrit on platelet adhesion: experiments and simulations // Biophys J. 2016. Vol. 111, N 3. P. 577–588. doi: 10.1016/j.bpj.2016.06.024
- Oh D., Ii S., Takagi S. Numerical study of particle margination in a square channel flow with red blood cells // Fluids. 2022. Vol. 7. P. 96. doi: 10.3390/fluids7030096
- Sloop G.D., De Mast Q., Pop G., et al. The role of blood viscosity in infectious diseases // Cureus. 2020. Vol. 12, N 2. P. e7090. doi: 10.7759/cureus.7090
- Jafri S.M., Ozawa T., Mammen E., et al. Platelet function, thrombin and fibrinolytic activity in patients with heart failure // Eur Heart J. 1992. Vol. 14, N 2. P. 205–212. doi: 10.1093/eurheartj/14.2.205
- Popovic B., Zannad F., Louis H., et al. Endothelial-driven increase in plasma thrombin generation characterising a new hypercoagulable phenotype in acute heart failure // Int J Cardiol. 2019. Vol. 274. P. 195–201. doi: 10.1016/j.ijcard.2018.07.130
- Antipenko S., Mayfield N., Jinno M., et al. Neutrophils are indispensable for adverse cardiac remodeling in heart failure // J Mol Cell Cardiol. 2024. Vol. 189. P. 1–11. doi: 10.1016/j.yjmcc.2024.02.005
- Sveshnikova A.N., Adamanskaya E.A., Panteleev M.A. Conditions for the implementation of the phenomenon of programmed death of neutrophils with the appearance of DNA extracellular traps during thrombus formation // Pediatr Hematol Immunopathol. 2024. Vol. 23. P. 211–218. doi: 10.24287/1726-1708-2024-23-1-211-218
- Korobkin J.D., Deordieva E.A., Tesakov I.P., et al. Dissecting thrombus-directed chemotaxis and random movement in neutrophil near-thrombus motion in flow chambers // BMC Biol. 2024. Vol. 22, N 1. P. 115. doi: 10.1186/s12915-024-01912-2
- Jackson S.P., Darbousset R., Schoenwaelder S.M. Thromboinflammation: challenges of therapeutically targeting coagulation and other host defense mechanisms // Blood. 2019. Vol. 133, N 9. P. 906–918. doi: 10.1182/blood-2018-11-882993
- Sveshnikova A.N., Adamanskaya E.A., Korobkina Yu.D., Panteleev M.A. Intracellular signaling involved in the programmed neutrophil cell death leading to the release of extracellular DNA traps in thrombus formation // Pediatr Hematol Immunopathol. 2024. Vol. 23, N 2. P. 222–230. doi: 10.24287/1726-1708-2024-23-2-222-230
- Tracchi I., Ghigliotti G., Mura M., et al. Increased neutrophil lifespan in patients with congestive heart failure // Eur J Heart Fail. 2009. Vol. 11, N 4. P. 378–385. doi: 10.1093/eurjhf/hfp031
- Tang X., Wang P., Zhang R., et al. KLF2 regulates neutrophil activation and thrombosis in cardiac hypertrophy and heart failure progression // J Clin Invest. 2022. Vol. 132. P. e147191. doi: 10.1172/JCI147191
- Morozova D.S., Martyanov A.A., Obydennyi S.I., et al. Ex vivo observation of granulocyte activity during thrombus formation // BMC Biol. 2022. Vol. 20, N 1. P. 32. doi: 10.1186/s12915-022-01238-x
- Nechipurenko D.Y., Receveur N., Yakimenko A.O., et al. Clot contraction drives the translocation of procoagulant platelets to thrombus surface // Arterioscler Thromb Vasc Biol. 2019. Vol. 39, N 1. P. 37–47. doi: 10.1161/ATVBAHA.118.311390
- Ermolinskiy P.B., Lugovtsov A.E., Maksimov M.K., et al. Interrelation of blood microrheological parameters measured by optical methods and whole blood viscosity in patients suffering from blood disorders: a pilot study // J Biomed Photonics Eng. 2024. Vol. 10, N 2. P. 020306. doi: 10.18287/JBPE24.10.020306
- Priezzhev A.V., Lee K., Firsov N.N., Lademann J. Optical study of RBC aggregation in whole blood samples and single cells. In: Handbook of Optical Biomedical Diagnostics, Second Edition. Volume 2: Methods. SPIE PRESS, 2016.
- Gromotowicz-Poplawska A., Marcinczyk N., Misztal T., et al. Rapid effects of aldosterone on platelets, coagulation, and fibrinolysis lead to experimental thrombosis augmentation // Vascul Pharmacol. 2019. Vol. 122–123. P. 106598. doi: 10.1016/j.vph.2019.106598
- Baskurt O.K., Meiselman H.J. Blood rheology and hemodynamics // Semin Thromb Hemost. 2024. Vol. 50, N 6. P. 902–915. doi: 10.1055/s-0043-1777802
Дополнительные файлы





