Биоэлектрическая активность мозга и поведение крыс в отдаленном периоде после витального стресса
- Авторы: Авалиани Т.В.1, Апраксина Н.К.1, Цикунов С.Г.1
-
Учреждения:
- Институт экспериментальной медицины
- Выпуск: Том 22, № 1 (2022)
- Страницы: 43-50
- Раздел: Оригинальные исследования
- Статья опубликована: 19.07.2022
- URL: https://journals.eco-vector.com/MAJ/article/view/90520
- DOI: https://doi.org/10.17816/MAJ90520
- ID: 90520
Цитировать
Полный текст
Аннотация
Обоснование. Определение возможных биомаркеров, оценивающих выраженность посттравматических симптомов стресса, — актуальная задача для ранней диагностики посттравматических стрессовых расстройств. Проявления эмоциональных состояний как человека, так и животных находят отражение в измененном поведении и в нарушении соотношения основных ритмов и кросскорреляционных связей в электроэнцефалограмме головного мозга, что свидетельствует о развитии патологических процессов.
Цель исследования — анализ поведения и электрокортикограммы у крыс в отсроченный период (на 7-е сутки) после стресса, вызванного угрозой жизни, как показатель формирования посттравматического расстройства.
Материалы и методы. Исследование проводили на половозрелых самках крыс породы Wistar массой 180–200 г (n = 40). Психическую травму моделировали обстоятельствами переживания ситуации гибели партнера от действия хищника и угрозы жизни при помещении крыс в террариум к тигровому питону. У крыс анализировали поведение в тесте «Открытое поле» и биоэлектрическую активность мозга в лобных и затылочных областях, слева и справа, до и после (на 7-е сутки) стрессорного воздействия.
Результаты. В отсроченный период после витального стресса у самок крыс в тесте «Открытое поле» наблюдались измененное эмоциональное поведение и снижение двигательной и исследовательской активности. В электрокортикограмме животных выявлено изменение соотношения основных ритмов, кросскорреляционных связей в правом полушарии и снижение межполушарной асимметрии по показателю индекса тета- и дельта-активности.
Заключение. На 7-е сутки после прекращения воздействия, связанного с угрозой жизни, у экспериментальных животных отмечены расстройства поведения и изменения электрокортикограммы больших полушарий мозга, что свидетельствует о длительно сохраняющихся последствиях однократной психогенной травмы.
Ключевые слова
Полный текст
Список сокращений
ПТСР — посттравматическое стрессовое расстройство; ЭКоГ — электрокортикограмма; ЭЭГ — электроэнцефалограмма.
Обоснование
Проявления эмоциональных состояний как человека, так и животных находят отражение в изменении соотношения основных ритмов электроэнцефалограммы (ЭЭГ) и кросскорреляционных связей биоэлектрической активности мозга. Эти показатели позволяют в реальном времени изучать динамику протекания процессов взаимодействия между структурами головного мозга, нарушение которых в конечном счете и определяет возникновение того или иного расстройства — невротического, психического или эмоционального [1].
В модели психоэмоционального стресса наблюдается изменение спектра мощности и индекса ритмов биоэлектрической активности мозга [2]. Показано, что стресс любого генеза формируется за счет активации лимбико-ретикулярных структур мозга и проявляется изменением электрофизиологических и поведенческих показателей у экспериментальных животных [3]. В связи с этим возникает необходимость определения возможных биомаркеров, оценивающих выраженность посттравматических симптомов стресса. Это нужно для ранней диагностики посттравматических стрессовых расстройств (ПТСР), степени уязвимости и факторов устойчивости к их развитию [4]. Стрессорные воздействия вызывают возникновение условного рефлекса страха [5], что негативно отражается на поведении не только в момент воздействия, но и в отдаленный период. Таким образом, изменения показателей биоэлектрической активности коры больших полушарий и нарушение поведения могут свидетельствовать о развитии патологических процессов в центральной нервной системе, в частности ПТСР.
Цель исследования — анализ поведения и показателей электрокортикограммы (ЭКоГ) крыс в отсроченный период (на 7-е сутки) после витального стресса.
Материалы и методы
Исследование проводили на половозрелых самках крыс породы Wistar массой 180–200 г (n = 40).
Стереотаксические операции по установке корковых электродов осуществляли под золетиловым наркозом (0,6 мл/кг) после предварительной премедикации рометаром. Серебряные шаровидные электроды (d = 1 мм) имплантировали в лобные и затылочные области черепа, справа и слева (АР = 3 мм, вперед/назад от брегмы, SD = 2 мм, латерально от сагиттального шва, Н = 0,3 мм — глубина погружения в кости черепа). Стереотаксические координаты определяли по атласу G. Paxinos, C. Watson [6]. Индифферентные электроды располагали на затылочной кости справа и слева от сагиттального шва. Все электроды коммутировались на микроразъеме, зафиксированном на черепе, с предварительно установленными титановыми крепежными скобами самотвердеющей пластмассой. Послеоперационный период составлял 7 сут. Непосредственно во время эксперимента устанавливали телеметрический регистратор биопотенциалов.
За неделю до вживления электродов крысам и на 7-е сутки после стресса в тесте «Открытое поле» в течение трех минут регистрировали длительность и количество актов, а также анализировали поведение: эмоциональное — акты «груминг», «вертикальная стойка»; двигательное — акты «локомоция», «сидит», «движение на месте», «фризинг»; исследовательское — акты «норка», «стойка с упором», «обнюхивание», и суммарное количество актов за трехминутный период. При анализе поведения использовали непараметрический тест Манна – Уитни с уровнем достоверности p ≤ 0,05.
Психическую травму моделировали обстоятельствами переживания ситуации гибели партнера от действия хищника и угрозы собственной жизни при помещении крыс в террариум к тигровому питону [7]. Далее крысы находились в террариуме за прозрачной перегородкой в течение 30–40 мин. Во время нанесения психической травмы у крыс наблюдались выраженные реакции страха (фризинг, сбивание в кучи, вертикальные стойки, продолжительный и измененный груминг). Отдельные животные ажитированно и бесконтрольно перемещались по террариуму.
В настоящем исследовании влияние гормонального фактора в патогенезе посттравматического стрессового расстройства не проводили, фазу эстрального цикла самок крыс не учитывали. Важным в данном эксперименте представлялся акцент на объективизацию чувства ужаса, страха при переживании ситуации угрозы собственной жизни у крыс (момент захвата, удушения и заглатывания сородича хищником), фиксации переживаемого страха животным вне зависимости от нахождения в той или иной фазе эстрального цикла и на развертывание программы ПТСР в ранний отдаленный период.
Биоэлектрическую активность мозга в лобных и затылочных областях, слева и справа, регистрировали до и после (на 7-е сутки) стрессорного воздействия в течение 20 мин с использованием компьютерной программы «Синхро-С» (правообладатель «СинКор», Россия), которая позволяет оценить индекс ритмов и амплитуду колебаний в диапазоне альфа-, бета-, тета- и дельта-частот. Показателем ЭКоГ-активности служил индекс ритма в диапазоне альфа-, бета-, тета- и дельта-частот, представляющий долю ритма, отношение количества колебаний к их общему количеству за 20-минутный интервал с периодом анализа 2 мин.
Зарегистрированные данные ЭКоГ обрабатывали в специальной компьютерной программе, позволяющей выявлять характер взаимодействия корковых зон головного мозга по результатам кросскорреляционного анализа. Для каждой крысы строили профиль фазовых сдвигов ЭКоГ: рассчитывали долю опережающих, отстающих, синхронных связей и моментов отсутствия связей между парами затылочных и лобно-затылочных отведений. Вид связи оценивали по сдвигу максимума кросскорреляционной функции относительно нуля: влево — опережающая, вправо — отстающая, в нуле — синхронная. Если максимум кросскорреляционной функции был меньше 0,3, то фиксировали отсутствие связи. Множество кросскорреляционной функции вычисляли для последовательных отрезков ЭКоГ длительностью 2 с за весь 20-минутный сеанс (в среднем 300–380 отрезков). Сравнивали усредненные профили фазовых сдвигов ЭКоГ самок крыс до стресса и на 7-е сутки после психогенной травмы. Для выявления статистически значимых различий применяли пакет программ Statistica 10, оценку проводили однофакторным дисперсионным анализом для повторных измерений (Repeated Measures ANOVA) с последующими апостериорными сравнениями при помощи t-критерия Стьюдента для зависимых выборок с поправкой на множественные сравнения.
Животных содержали в соответствии с правилами, принятыми Европейской конвенцией по защите позвоночных животных, используемых для экспериментальных целей (European Communities Council Directive of 24 November, 1986, 86/609/EEC). Исследование проводили в соответствии с принципами Базельской декларации, Приказом Минздрава РФ от 01.04.2016 № 199н «Об утверждении правил надлежащей лабораторной практики» и с разрешения этического комитета ФГБУ «Институт экспериментальной медицины» № 2/16 от 12.05.2016.
Результаты
Показатели индекса ритмов биоэлектрической активности мозга самок крыс в диапазоне альфа-, бета-, тета- и дельта-частот представлены в табл. 1, 2. Нами не выявлено достоверных изменений биоэлектрической активности мозга по показателю индекса альфа- и бета-ритма в отсроченном периоде, на 7-е сутки после стресса (табл. 1). Значения тета-ритма на 7-е сутки увеличены в правой, а дельта-ритма — в левой затылочной области (табл. 2). Для животных до переживания психотравмирующего воздействия была свойственна асимметрия по показателю индекса ритма в диапазоне бета- и тета-частот в затылочных областях коры полушарий и дельта-активности — между правой и левой лобными отведениями (табл. 1, 2). К 7-м суткам после перенесенного психотравмирующего воздействия асимметрия ЭКоГ-показателей бета-активности между затылочными областями сохраняется (табл. 1) и наблюдается достоверное увеличение (по сравнению с контрольными значениями) индекса дельта-активности в обеих затылочных областях (табл. 2).
Таблица 1. Показатели индекса ритма самок крыс в диапазоне альфа- и бета-активности на 7-е сутки после витального стресса
Table 1. Indicators of the rhythm index of female rats in the range of alpha and beta activity on day 7 after vital stress
Период | Альфа-активность | Бета-активность | ||||||
Фронтальная область | Затылочная область | Фронтальная область | Затылочная область | |||||
левая | правая | левая | правая | левая | правая | левая | правая | |
До стресса | 38,1 ± 0,9 | 39,1 ± 0,6 | 41,2 ± 1,7 | 40,7±1,9 | 34,3 ± 2,4 | 37,0 ± 2,1 | 31,5 ± 2,3 | 36,5 ± 2,7* |
7-е сутки | 39,3 ± 1,0 | 39,6 ± 1,2 | 40,3 ± 2,3 | 40,6 ± 2,3 | 36,1 ± 2,4 | 38,7 ± 1,7 | 31,7 ± 1,0 | 36,1 ± 2,1* |
* p ≤ 0,05 — уровень различий между правой и левой затылочной областью.
Таблица 2. Показатели индекса ритма самок крыс в диапазоне тета- и дельта- активности на 7-е сутки после витального стресса
Table 2. Indicators of the rhythm index of female rats in the range of theta and delta activity on day 7 after vital stress
Период | Тета-активность | Дельта-активность | ||||||
Фронтальная область | Затылочная область | Фронтальная область | Затылочная область | |||||
левая | правая | левая | правая | левая | правая | левая | правая | |
До стресса | 24,5 ± 2,4 | 22,0 ± 2,1 | 25,9 ± 2,4# | 21,2 ± 1,1 | 2,8 ± 1,1# | 1,3 ± 0,2 | 1,2 ± 0,2 | 0,9 ± 0,1 |
7-е сутки | 22,4 ± 2,4 | 20,1 ± 2,2 | 28,0 ± 2,4# | 23,7 ± 1,3 | 2,3 ± 1,7 | 1,3 ± 0,4 | 1,7 ± 0,2*, # | 1,4 ± 0,2* |
* p ≤ 0,05 — уровень различий по сравнению с показателями до стресса; # p ≤ 0,05 — уровень различий между правым и левым полушарием.
С помощью анализа кросскорреляционных связей биоэлектрической активности исследуемых зон по отношению к правой затылочной области на 7-е сутки после стресса выявлены следующие отличия от контрольных показателей. В левой лобной области увеличена доля «ведущей» и «синхронной» активности ЭКоГ и отмечено «отсутствие связи» (3 %); в правой лобной области наблюдалось увеличение «ведущей» и снижение «ведомой» ЭКоГ-активности по отношению к правой затылочной области. В левой затылочной области по отношению к правой затылочной области достоверные изменения отсутствовали (рис. 1).
Рис. 1. Профили связей электрокортикографии по отношению к правой затылочной области у крыс в модели витального стресса. * p ≤ 0,05 — достоверность отличий по сравнению с показателями до стресса
Fig. 1. Profiles of electrocorticography relationships in relation to the right occipital region in rats in a model of vital stress. * p ≤ 0.05 — significance of differences in comparison with indicators before stress
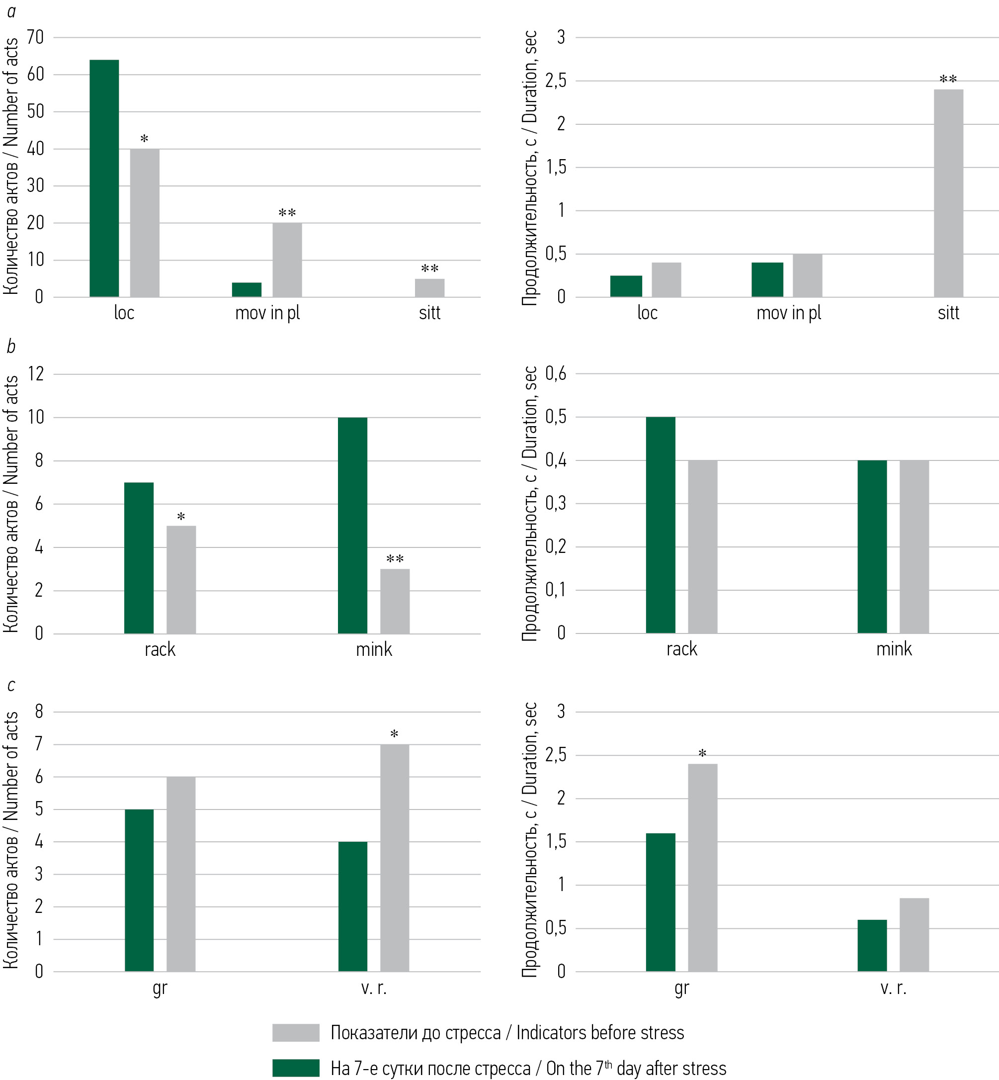
Тестирование животных в открытом поле показало, что на 7-е сутки после витального стресса у крыс снижено количество актов активного двигательного поведения и увеличено количество актов пассивного поведения (движение на месте), длительность этих актов возросла, но достоверных различий не выявлено. После стресса была снижена и исследовательская активность. Увеличена длительность груминга и количество вертикальных стоек, что свидетельствует об эмоциональном напряжении (рис. 2). Количество актов «обнюхивание», которые характеризуют как исследовательское, так и эмоциональное поведение, было снижено в среднем на 13 %, а их длительность — на 40 % и более.
Рис. 2. Акты поведения крыс в тесте «Открытое поле» в норме и на 7-е сутки после витального стресса. Двигательное поведение (a): loc — локомоции, mov in pl — движение на месте, sitt — сидит; исследовательское поведение (b): rack — стойка с упором, mink —заглядывание в норку; эмоциональное поведение (c): gr — груминг, v. r. — вертикальная стойка. * p ≤ 0,05, ** p ≤ 0,01 — достоверность отличий по сравнению с показателями до стресса
Fig. 2. Behavioral acts of rats in the “Open field” test in normal conditions and on the 7th day after vital stress. Motor behavior (a): loc — locomotion, mov in pl — motion in place, sitt — sitting; exploratory behavior (b): rack — stand with emphasis, mink — looking into the mink; emotional behavior (c): gr — grooming, v. r. — vertical rack. * p ≤ 0.05, ** p ≤ 0.01 — reliability of differences compared to the indicators before stress
Обсуждение
Психогенная травма у крыс, вызванная витальным стрессом, приводит к длительному изменению поведения, характерному для ПТСР человека [6]. Одно из типичных проявлений ПТСР — многократное повторное переживание травматических событий в форме навязчивых воспоминаний (флешбэков) [8]. На наш взгляд, изменения в ЭКоГ крыс в отсроченный период коррелируют с ЭЭГ показателями при оценке тяжести ПТСР у человека [9–11]. В нашем исследовании высокий уровень индекса ритма в диапазоне дельта-активности на 7-е сутки после стресса может свидетельствовать о выраженном аверсивном характере психотравмирующего воздействия. По литературным данным, усиление дельта-активности свидетельствует о состоянии отчаяния, ангедонии, то есть об одном из проявлений ПТСР [12, 13]. Если преимущественные изменения ритмов ЭКоГ у самок крыс после витального стресса регистрировались в затылочных областях, то нарушение кросскорреляционных связей по отношению к правой затылочной области изменены в лобных отделах.
Преобладание негативных эмоций при переживании ситуации угрозы жизни связывают прежде всего с правым полушарием. В нашей работе наиболее выраженные изменения кросскорреляционных связей обнаружены именно в правом полушарии. Снижение межполушарной асимметрии по показателю индекса тета- и дельта-активности после переживания ситуации угрозы жизни также может быть вызвано снижением стрессоустойчивости адаптивных возможностей организма к психотравмирующему воздействию.
Тета-ритм, связанный с поисковым поведением, усиливается при эмоциональном напряжении, часто наблюдается при психотических нарушениях, состояниях спутанности сознания, сотрясениях мозга. При этом поведение крыс на 7-е сутки после витального стресса изменилось: снизилось активное двигательное поведение и увеличилось количество актов, характеризующих пассивное поведение. Об эмоциональном напряжении свидетельствует также измененный груминг (рис. 2). Таким образом, как измененные электрофизиологические показатели, так и анормальное поведение наблюдались у крыс в ранней отдаленный период после стресса.
Межполушарная асимметрия может изменяться при стрессе [14], играя существенную роль в адаптационных процессах. Изменение асимметрии свидетельствует о снижении стрессоустойчивости [15]. Известно, что выраженность поведенческих и электрофизиологических нарушений у крыс, переживших витальный стресс, в частности изменение пространственной организации ЭКоГ, зависит от межполушарной асимметрии [16]. Преобладание негативных эмоций при переживании ситуации угрозы жизни связывают прежде всего с правым полушарием [17]. В данной работе было выявлено, что наиболее выраженные изменения кросскорреляционных связей фиксируются именно в правом полушарии. Снижение межполушарной асимметрии по показателю индекса тета- и дельта-активности после переживания ситуации угрозы жизни могут быть связаны со снижением стрессоустойчивости адаптивных возможностей организма к психотравмирующему воздействию, что подтверждается данными по выявлению степени асимметрии в результате влияния сильных или длительных раздражителей [14, 18].
Кросскорреляционный анализ и спектральные мощности энцефалографии как при черепно-мозговой травме [19], так и при стрессе позволяют установить патологические взаимоотношения между областями коры и сопоставить эти данные с изменением поведения — снижением двигательной и исследовательской активности и повышенной эмоциональностью крыс при тестировании в ранний отдаленный период. Ранее было показано, что фаза эстрального цикла у самок играет существенную роль в проявлении изменений в поведении и липидном обмене крыс при стрессе [7]. В данной работе мы не анализировали фазу эстрального цикла у самок, тем не менее очевидно, что основные нарушения поведения у крыс до стресса и после перенесенной психогенной травмы совпали. В отличие от результатов, полученных ранее, в данной серии экспериментов у крыс было нарушено эмоциональное поведение: увеличены длительность груминга и количество вертикальных стоек (рис. 2, c).
Таким образом, данное исследование показало, что изменения биоэлектрической активности мозга и нарушение поведения в отсроченный период после стресса свидетельствуют о развитии патологических процессов и требуют в дальнейшем разработки способов предотвращения [20] и/или коррекции [16] данного состояния.
Дополнительная информация
Финансирование. Авторы заявляют об отсутствии внешнего финансирования при проведении исследования.
Конфликт интересов. Авторы декларируют отсутствие явных и потенциальных конфликтов интересов, связанных с подготовкой и публикацией настоящей статьи.
Вклад авторов. Все авторы внесли существенный вклад в разработку концепции, проведение исследования и подготовку статьи, прочли и одобрили финальную версию перед публикацией. Наибольший вклад распределен следующим образом: С.Г. Цикунов, Т.В. Авалиани — идея работы и планирование эксперимента; Н.К. Апраксина, Т.В. Авалиани — проведение экспериментов и обработка материала, написание статьи и подбор литературы; С.Г. Цикунов — редактирование рукописи.
Additional information
Funding. The study had no external funding.
Conflict of interest. The authors have no conflicts of interest regarding the publication of this article.
Author contributions. All authors made a significant contribution to the study and the article preparation, as well as read and approved the final version before its publication. The largest contribution is distributed as follows: S.G. Tsikunov, T.V. Avaliani — idea of work and planning of the experiment; N.K. Apraksina, T.V. Avaliani — conducting experiments and processing the material, writing an article and selecting literature; S.G. Tsikunov — editing the manuscript.
Об авторах
Татьяна Варламовна Авалиани
Институт экспериментальной медицины
Автор, ответственный за переписку.
Email: tanaavaleeani@mail.ru
ORCID iD: 0000-0003-0342-3810
SPIN-код: 3743-1169
канд. биол. наук, старший научный сотрудник лаборатории психофизиологии эмоций Физиологического отдела им. И.П. Павлова
Россия, Санкт-ПетербургНаталья Константиновна Апраксина
Институт экспериментальной медицины
Email: natalapraksina@mail.ru
ORCID iD: 0000-0001-5285-6589
SPIN-код: 2450-9282
канд. биол. наук, старший научный сотрудник лаборатории психофизиологии эмоций Физиологического отдела им. И.П. Павлова
Россия, Санкт-ПетербургСергей Георгиевич Цикунов
Институт экспериментальной медицины
Email: secikunov@yandex.ru
ORCID iD: 0000-0002-7097-1940
SPIN-код: 7771-1940
Scopus Author ID: 6506948997
ResearcherId: E-6273-2014
д-р мед. наук, профессор, руководитель лаборатории психофизиологии эмоций Физиологического отдела им. И.П. Павлова
Россия, Санкт-ПетербургСписок литературы
- Лохов М.И., Фесенко Ю.А., Фесенко Е.В. Интеллект ребенка и профилактика его нарушений. СПб.: ЭЛБИ-СПб., 2008.
- Nedelcovych M.T., Gould R.W., Zhan X. et al. A rodent model of traumatic stress induces lasting sleep and quantitative electroencephalographic disturbances // ACS Chem. Neurosci. 2015. Vol. 6, No. 3. P. 485–493. doi: 10.1021/cn500342u
- Судаков К.В., Умрюхин П.Е. Системные основы эмоционального стресса. М.: ГЭОТАР-Медиа, 2010.
- Yehuda R., Brand S., Golier J.A., Yang R.-K. Clinical correlates of DHEA associated with post-traumatic stress disorder // Acta Psychiatr. Scand. 2006. Vol. 114, No. 3. P. 187–193. doi: 10.1111/j.1600-0447.2006.00801.x
- Lommen M.J.J., Engelhard I.M., Sijbrandij M. et al. Pre-trauma individual differences in extinction learning predict posttraumatic stress // Behav. Res. Ther. 2013. Vol. 51, No. 2. P. 63–67. doi: 10.1016/j.brat.2012.11.004
- Paxinos G., Watson C. The rat brain in stereotaxic coordinates. 6th ed. Academic press, 2007.
- Цикунов С.Г., Пшеничная А.Г., Клюева Н.Н. и др. Витальный стресс вызывает длительные расстройства поведения и обмена липидов у самок крыс // Обзоры по клинической фармакологии и лекарственной терапии. 2016. Т. 14, № 4. C. 32–41. doi: 10.17816/RCF14432-41
- Kirkpatrick H.A., Heller G.M. Post-traumatic stress disorder: Theory and treatment update // Int. J. Psychiatry Med. 2014. Vol. 47, No. 4. P. 337–346. doi: 10.2190/PM.47.4.h
- Набиев Р.Г., Кондратьева О.Г., Шибкова Д.З. Изменения функционального состояния центральной нервной системы при формировании посттравматического стрессового расстройства // Современные проблемы науки и образования. 2015. № 3. C. 595–602.
- Шадрина И.В., Дедова К.Н., Пугачёв А.Н. Нейрофизиологические особенности работы головного мозга (по результатам анализа показателей ЭЭГ) и их влияние на психологические характеристики у пациентов с посттравматическим стрессовым расстройством // Вестник Южно-Уральского государственного университета. Серия: Образование, здравоохранение, физическая культура. 2011. № 7(224). C. 84–86.
- Lobo I., Portugal L.C., Figueira I. et al. EEG correlates of the severity of posttraumatic stress symptoms: a systematic review of the dimensional PTSD literature // J. Affect Disord. 2015. Vol. 1, No. 183. P. 210–220. doi: 10.1016/j.jad.2015.05.015
- Knyazev G.G. EEG delta oscillations as a correlate of basic homeostatic and motivational processes // Neurosci. Biobehav. Rev. 2012. Vol. 36, No. 1. P. 677–695. doi: 10.1016/j.neubiorev.10.002
- Schutter D., van Honk J. Decoupling of midfrontal delta–beta oscillations after testosterone administration // Int. J. Psychophysiol. 2004. Vol. 53, No. 1. P. 71–73. doi: 10.1016/j.ijpsycho.2003.12.012
- Aftanas L.I., Reva N.V., Varlamov A.A. et al. Analysis of evoked EEG synchronization and desynchronization in conditions of emotional activation in humans: temporal and topographic characteristics // Neurosci. Behav. Physiol. 2004. Vol. 34, No. 8. P. 859–867. doi: 10.1023/b:neab.0000038139.39812.eb
- Егоров А.Ю. Функциональная асимметрия мозга и важность развития клинического направления в эволюционной физиологии // Тенденции развития физиологических наук. VI сессия, посвященная 150-летию со дня рождения И.П. Павлова, Санкт-Петербург, 25–26 ноября 1999. СПб.: Наука, 2000. С. 159–160.
- Чуян Е.Н., Горная О.И. Изменение коэффициента моторной асимметрии у крыс при адаптации к гипоксическому стрессу // Физика живого. 2009. Т. 17, № 1. С. 165–168.
- Авалиани Т.В., Константинов К.В., Быкова А.В. и др. Коррекция функционального состояния самок крыс методом ЭЭГ-зависимого акустического воздействия в модели витального стресса // Нейрокомпьютеры: разработка, применение. 2014. № 7. C. 5–11.
- Спиридонова М.Д. Особенности спектров мощности ЭЭГ при переживании чувства страха // Молодой ученый. 2013. № 8. C. 130–132.
- Сысоев Ю.И., Пьянкова В.А., Крошкина К.А. и др. Кросскорреляционный и когерентный анализ электрокортикограмм крыс, перенесших черепно-мозговую травму // Российский физиологический журнал им. И.М. Сеченова. 2020. Т. 106, № 3. C. 315–328. doi: 10.31857/S0869813920030085
- Авалиани Т.В., Клюева Н.Н., Апраксина Н.К., Цикунов С.Г. Прекондиционирование тяжелой психической травмы методом звукового воздействия // Обзоры по клинической фармакологии и лекарственной терапии. 2018. Т. 16, № S1. С. 9–10.
Дополнительные файлы





